2019学年广东省深圳市南山区八年级下学期期末数学试卷【含答案及解析】
- 格式:docx
- 大小:388.04 KB
- 文档页数:16
2018-2019学年广东省东莞市八年级(下)期末数学试卷一、选择题:每小题2分,共20分1.(2分)若式子有意义,则x的取值范围是()A.x≥B.x>C.x≤D.x<2.(2分)一次函数y=﹣2x+1的图象不经过()A.第一象限B.第二象限C.第三象限D.第四象限3.(2分)衡量一组数据波动大小的统计量是()A.平均数B.众数C.中位数D.方差4.(2分)的结果是()A.B.C.D.25.(2分)某篮球队5名主力队员的身高(单位:cm)分别是174,179,180,174,178,则这5名队员身高的中位数是()A.174 B.177 C.178 D.1806.(2分)在Rt△ABC中,∠B=90°,∠C=30°,AC=2,则AB的长为()A.1 B.2 C.D.7.(2分)下列各组线段中,能够组成直角三角形的一组是()A.1cm,2cm,3cm B.2cm,3cm,4cm C.4cm,5cm,6cm D.1cm,cm,cm8.(2分)如图,在△ABC中,点E、F分别是AB、AC的中点,则下列结论不正确的是()A.EF∥BC B.BC=2EF C.∠AEF=∠B D.AE=AF9.(2分)在▱ABCD中,对角线AC、BD相交于点O,若AC=8,BD=6,AB=5,则△AOB 的周长为()A.11 B.12 C.13 D.1410.(2分)如图,一只蚂蚁从O点出发,沿着扇形OAB的边缘匀速爬行一周,设蚂蚁的运动时间为t,蚂蚁到O点的距离为S,则S关于t的函数图象大致为()A.B.C.D.二、填空题:每小题3分,共15分11.(3分)已知数据:5,7,9,10,7,9,7,这组数据的众数是.12.(3分)一次函数y=(m+2)x,若y随x的增大而增大,则m的取值范围是.13.(3分)已知a=,b=,则ab= .14.(3分)如图,三个正方形恰好围成一个直角三角形,它们的面积如图所示,则正方形A的面积为.15.(3分)如图,已知点P是正方形ABCD的对角线BD上的一点,且BP=BC,则∠PCD 的度数是.三、解答题(一):每小题5分,共25分16.(5分)计算:(+3)÷2﹣3.17.(5分)为了解2路公共汽车的运营情况,公交部门统计了某天2路公共汽车每个运行班次的载客量,得到如表各项数据.(1)求出以上表格中a= ,b= ;(2)计算该2路公共汽车平均每班的载客量是多少?18.(5分)如图,在四边形ABCD中,∠BAD=∠BCD,∠1=∠2,求证:四边形ABCD是平行四边形.19.(5分)将直线l1:y=2x﹣3向下平移2个单位后得到直线l2.(1)写出直线l2的函数关系式;(2)判断点P(﹣1,3)是否在直线l2上?20.(5分)如图,在△ABC中,D为BC上的一点,AC=4,CD=3,AD=5,AB=4.(1)求证:∠C=90°;(2)求BD的长.四、解答题(二):每小题8分,共40分21.(8分)观察下列各式,发现规律:=2;=3;=4;…(1)填空:= ,= ;(2)计算(写出计算过程):;(3)请用含自然数n(n≥1)的代数式把你所发现的规律表示出来.22.(8分)某商场连续5个月统计了A、B两种品牌冰箱的销售情况(单位:台).A品牌:15,16,17,13,14B品牌:10,14,15,20,16(1)求出A品牌冰箱数据的方差;(2)已知B品牌冰箱月销售量的平均数为=15,方差为S B2=10.4,你认为这两种品牌冰箱哪一种的月销量比较稳定?23.(8分)如图,在▱ABCD中,点P是AB边上一点(不与A,B重合),CP=CD,过点P作PQ⊥CP,交AD边于点Q,连结CQ.(1)若∠BPC=∠AQP,求证:四边形ABCD是矩形;(2)在(1)的条件下,当AP=2,AD=6时,求AQ的长.24.(8分)如图,直线y=kx+b与坐标轴相交于点M(3,0),N(0,4).(1)求直线MN的解析式;(2)根据图象,写出不等式kx+b≥0的解集;(3)若点P在x轴上,且点P到直线y=kx+b的距离为,直接写出符合条件的点P的坐标.25.(8分)如图,在菱形ABCD中,AB=4,∠BAD=120°,△AEF为等边三角形,点E,F分别在菱形的边BC,CD上滑动,且E,F不与B,C,D重合.(1)求证:BE=CF;(2)当点E,F在BC,CD上滑动时,四边形AECF的面积是否发生变化?如果不变,求出这个定值,如果变化,说明理由.2015-2016学年广东省东莞市八年级(下)期末数学试卷参考答案与试题解析一、选择题:每小题2分,共20分1.(2分)若式子有意义,则x的取值范围是()A.x≥B.x>C.x≤D.x<【分析】直接利用二次根式有意义的条件,(a≥0),进而得出答案.【解答】解:∵式子有意义,∴3x﹣1≥0,解得:x≥.故选:A.【点评】此题主要考查了二次根式有意义的条件,正确把握二次根式的定义是解题关键.2.(2分)一次函数y=﹣2x+1的图象不经过()A.第一象限B.第二象限C.第三象限D.第四象限【分析】先根据一次函数y=﹣2x+1中k=﹣2,b=1判断出函数图象经过的象限,进而可得出结论.【解答】解:∵一次函数y=﹣2x+1中k=﹣2<0,b=1>0,∴此函数的图象经过一、二、四象限,不经过第三象限.故选C【点评】本题考查的是一次函数的性质,即一次函数y=kx+b(k≠0)中,当k<0,b>0时,函数图象经过一、二、四象限.3.(2分)衡量一组数据波动大小的统计量是()A.平均数B.众数C.中位数D.方差【分析】根据方差的意义:体现数据的稳定性,集中程度,波动性大小;方差越小,数据越稳定.【解答】解:由于方差反映数据的波动情况,衡量一组数据波动大小的统计量是方差.故选D.【点评】此题主要考查统计的有关知识,主要包括平均数、中位数、众数、方差的意义.4.(2分)的结果是()A.B.C.D.2【分析】本题考查了二次根式的加减运算,应先化为最简二次根式,再将被开方数相同的二次根式进行合并.【解答】解:原式=2=.故选C.【点评】合并同类二次根式的实质是合并同类二次根式的系数,根指数与被开方数不变.5.(2分)某篮球队5名主力队员的身高(单位:cm)分别是174,179,180,174,178,则这5名队员身高的中位数是()A.174 B.177 C.178 D.180【分析】中位数是指将一组数据按大小顺序排列后,处在最中间的一个数(或处在最中间的两个数的平均数).【解答】解:数据从小到大的顺序排列为174,174,178,179,180,∴这组数据的中位数是178.【点评】本题为统计题,考查中位数的意义.中位数是将一组数据从小到大(或从大到小)重新排列后,最中间的那个数(最中间两个数的平均数),叫做这组数据的中位数.6.(2分)在Rt△ABC中,∠B=90°,∠C=30°,AC=2,则AB的长为()A.1 B.2 C.D.【分析】根据含30°角的直角三角形性质得出AB=AC,代入求出即可.【解答】解:∵在Rt△ABC中,∠B=90°,∠C=30°,∴AB=AC=×2=1,故选:A.【点评】本题考查了含30°角的直角三角形性质的应用,能根据含30°角的直角三角形性质得出AB=AC是解此题的关键.7.(2分)下列各组线段中,能够组成直角三角形的一组是()A.1cm,2cm,3cm B.2cm,3cm,4cm C.4cm,5cm,6cm D.1cm,cm,cm【分析】先用三角形的三边的关系两边之和大于第三边,和两边之差小于第三边判断,再用勾股定理逆定理进行判断即可.【解答】解:A:12+22≠32,所以1cm,2cm,3cm不能构成三角形,即不能组成直角三角形.B:∵2+3>4,∴2cm,3cm,4cm能构成三角形,∵22+32≠42,所以不能组成直角三角形.C:∵4+5>6,∴4cm,5cm,6能构成三角形,∵42+52≠62,所以不能组成直角三角形,D:∵1+>,∴1cm,cm,cm能构成三角形,∵12+()2=()2,所以能直故选D.【点评】此题是勾股定理逆定理题,主要考查了三角形的三边关系,勾股定理逆定理,熟练掌握勾股定理逆定理是解本题的关键.8.(2分)如图,在△ABC中,点E、F分别是AB、AC的中点,则下列结论不正确的是()A.EF∥BC B.BC=2EF C.∠AEF=∠B D.AE=AF【分析】根据三角形中位线定理即可判断.【解答】解:∵AE=EB,AF=FC,∴EF∥BC,EF=BC,即BC=2EF,∴∠AEF=∠B,故A、B、C正确,D错误.故选D.【点评】本题考查三角形中位线定理:三角形的中位线平行于第三边并且等于第三边的一半,解题的关键是记住三角形中位线定理,属于中考常考题型.9.(2分)在▱ABCD中,对角线AC、BD相交于点O,若AC=8,BD=6,AB=5,则△AOB的周长为()A.11 B.12 C.13 D.14【分析】根据平行四边形对角线互相平分,求出OA、OB即可解决问题.【解答】解:如图,∵四边形ABCD是平行四边形,∴AO=OC=AC=4,BO=OD=BD=3,∵AB=5,∴△AOB的周长为OA+OB+AB=4+3+5=12.故选B.【点评】本题考查平行四边形的性质,三角形周长等知识,解题的关键是记住平行四边形的性质:对角线互相平分,属于中考基础题,常考题型.10.(2分)如图,一只蚂蚁从O点出发,沿着扇形OAB的边缘匀速爬行一周,设蚂蚁的运动时间为t,蚂蚁到O点的距离为S,则S关于t的函数图象大致为()A.B.C.D.【分析】根据蚂蚁在上运动时,随着时间的变化,距离不发生变化可得正确选项.【解答】解:一只蚂蚁从O点出发,沿着扇形OAB的边缘匀速爬行,在开始时经过OA这一段,蚂蚁到O点的距离随运动时间t的增大而增大;到弧AB这一段,蚂蚁到O点的距离S不变,走另一条半径时,S随t的增大而减小.故选:C.【点评】本题主要考查动点问题的函数图象;根据随着时间的变化,距离不发生变化抓住问题的特点得到图象的特点是解决本题的关键.二、填空题:每小题3分,共15分11.(3分)已知数据:5,7,9,10,7,9,7,这组数据的众数是7 .【分析】根据众数的定义:出现次数最多的数叫做众数进行解答即可.【解答】解:7出现的次数最多,所以众数是7.故答案为7.【点评】本题考查了众数的概念.注意众数是指一组数据中出现次数最多的数据,它反映了一组数据的多数水平,一组数据的众数可能不是唯一的.12.(3分)一次函数y=(m+2)x,若y随x的增大而增大,则m的取值范围是m>﹣2 .【分析】先根据函数的增减性列出关于m的不等式,求出m的取值范围即可.【解答】解:∵一次函数y=(m+2)x中,y随x的增大而增大,∴m+2>0,解得m>﹣2.故答案为:m>﹣2.【点评】本题考查的是正比例函数的性质,熟知正比例函数的增减性是解答此题的关键.13.(3分)已知a=,b=,则ab= ﹣2 .【分析】根据a=,b=,利用平方差公式可以求得ab的值.【解答】解:∵a=,b=,∴ab==3﹣5=﹣2,故答案为:﹣2.【点评】本题考查二次根式的化简求值,解题的关键是找出所求式子与已知式子之间的关系.14.(3分)如图,三个正方形恰好围成一个直角三角形,它们的面积如图所示,则正方形A的面积为36 .【分析】要求正方形A的面积,则要知它的边长,而A正方形的边长是直角三角形的一直角边,利用另外两正方形的面积可求得该直角三角形的斜边和另一直角边,再用勾股定理可解.【解答】解:根据正方形的面积与边长的平方的关系得,图中面积为64和100的正方形的边长是8和10;解图中直角三角形得A正方形的边长:=6,所以A正方形的面积为36.故答案是:36.【点评】此题考查了正方形的面积公式与勾股定理,比较简单.15.(3分)如图,已知点P是正方形ABCD的对角线BD上的一点,且BP=BC,则∠PCD 的度数是22.5°.【分析】根据正方形的性质可得到∠DBC=∠BCA=45°又知BP=BC,从而可求得∠BCP的度数,从而就可求得∠ACP的度数,进而得出∠PCD的度数.【解答】解:∵ABCD是正方形,∴∠DBC=∠BCA=45°,∵BP=BC,∴∠BCP=∠BPC=(180°﹣45°)=67.5°,∴∠ACP度数是67.5°﹣45°=22.5°.∴∠PCD=45°﹣22.5°=22.5°,故答案为:22.5°【点评】此题主要考查了正方形的性质,关键是根据正方形的对角线平分对角的性质,平分每一组对角解答.三、解答题(一):每小题5分,共25分16.(5分)计算:(+3)÷2﹣3.【分析】首先进行二次根式的化简,然后进行同类二次根式的合并.【解答】解:原式=(4+3)÷2﹣3×=2+﹣2=.【点评】本题考查了二次根式的混合运算,解答本题的关键是掌握二次根式的化简及同类二次根式的合并.17.(5分)为了解2路公共汽车的运营情况,公交部门统计了某天2路公共汽车每个运行班次的载客量,得到如表各项数据.(1)求出以上表格中a= 31 ,b= 51 ;(2)计算该2路公共汽车平均每班的载客量是多少?【分析】(1)利用组中值的定义写出第2、3组的组中值即可得a和b的值;(2)利用组中值表示各组的平均数,然后根据加权平均数的计算方法求解.【解答】解:(1)a=31,b=51,故答案为31;51;(2)=43(次)答:该2路公共汽车平均每班的载客量是43次.【点评】本题考查了加权平均数:若n个数x1,x2,x3,…,x k的权分别是w1,w2,w3,…,w k,则(x1w1+x2w2+…+x k w k)叫做这n个数的加权平均数.18.(5分)如图,在四边形ABCD中,∠BAD=∠BCD,∠1=∠2,求证:四边形ABCD是平行四边形.【分析】由∠1=∠2得出AB∥CD,再证出∠CAD=∠BCA,得出AD∥BC,从而得出四边形ABCD 是平行四边形.【解答】证明:∵∠1=∠2,∴AB∥CD,∵∠BAD=∠BCD∴∠BAD﹣∠1=∠BCD﹣∠2,∴∠CAD=∠BCA,∴AD∥BC,∴四边形ABCD是平行四边形.【点评】本题考查了平行四边形的判定、平行线的判定;熟练掌握平行四边形的判定方法,证出AD∥BC是解决问题的关键.19.(5分)将直线l1:y=2x﹣3向下平移2个单位后得到直线l2.(1)写出直线l2的函数关系式;(2)判断点P(﹣1,3)是否在直线l2上?【分析】(1)根据一次函数图象与几何变换得到直线y=2x﹣3向下平移2个单位得到的函数解析式为y=2x﹣3﹣2.(2)把x=﹣1代入解析式解答即可.【解答】解:(1)直线y=2x﹣3向下平移2个单位得到的函数解析式为y=2x﹣3﹣2=2x﹣5;(2)当x=﹣1时,y=2×(﹣1)﹣5=﹣7≠3,∴P(﹣1,3)不在直线l2上.【点评】本题考查了一次函数图象与几何变换:一次函数y=kx+b(k、b为常数,k≠0)的图象为直线,当直线平移时k不变,当向上平移m个单位,则平移后直线的解析式为y=kx+b+m.20.(5分)如图,在△ABC中,D为BC上的一点,AC=4,CD=3,AD=5,AB=4.(1)求证:∠C=90°;(2)求BD的长.【分析】(1)根据勾股定理的逆定理可证∠C=90°;(2)在Rt△ACB中,先根据勾股定理得到BC的长,再根据线段的和差关系可求BD的长.【解答】(1)证明:∵AC2+CD2=42+32=25,AD2=52=25,∴AC2+CD2=AD2,∴△ACD是直角三角形,且∠C=90°;(2)解:在Rt△ACB中,∠C=90°∴BC===8,∴BD=BC﹣CD=8﹣3=5.【点评】本题考查了勾股定理的逆定理,勾股定理,注意熟练掌握勾股定理的逆定理和勾股定理是解题的关键.四、解答题(二):每小题8分,共40分21.(8分)观察下列各式,发现规律:=2;=3;=4;…(1)填空:= 5,= 6;(2)计算(写出计算过程):;(3)请用含自然数n(n≥1)的代数式把你所发现的规律表示出来.【分析】(1)根据已知等式得出规律,写出所求结果即可;(2)利用二次根式性质计算得到结果即可;(3)归纳总结得到一般性规律,写出即可.【解答】解:(1)根据题意得:=5;=6;故答案为:5;6;(2)====2015;(3)归纳总结得:=(n+1)(自然数n≥1).【点评】此题考查了二次根式的性质与化简,熟练掌握运算法则是解本题的关键.22.(8分)某商场连续5个月统计了A、B两种品牌冰箱的销售情况(单位:台).A品牌:15,16,17,13,14B品牌:10,14,15,20,16(1)求出A品牌冰箱数据的方差;(2)已知B品牌冰箱月销售量的平均数为=15,方差为S B2=10.4,你认为这两种品牌冰箱哪一种的月销量比较稳定?【分析】(1)利用方差公式计算出A品牌的方差即可;(2)根据方差的意义,判断这两种品牌冰箱月销售量的稳定性.【解答】解:(1)=(15+16+17+13+14)÷5=15(台)∴=[(15﹣15)2+(16﹣15)2+(17﹣15)2+(13﹣15)2+(14﹣15)2]=2;(2)∵B品牌冰箱月销售量的方差为S B2=10.4,A品牌冰箱月销售量的方差为2,∴<S B2,∴A品牌冰箱月销售量比较稳定,B品牌冰箱月销售量不稳定.【点评】本题主要考查了方差的计算,用“先平均,再求差,然后平方,最后再平均”得到的结果表示一组数据偏离平均值的情况,这个结果叫方差,通常用s2来表示.方差越大,则数据不稳定;反之,数据较稳定.23.(8分)如图,在▱ABCD中,点P是AB边上一点(不与A,B重合),CP=CD,过点P作PQ⊥CP,交AD边于点Q,连结CQ.(1)若∠BPC=∠AQP,求证:四边形ABCD是矩形;(2)在(1)的条件下,当AP=2,AD=6时,求AQ的长.【分析】(1)证出∠A=90°即可;(2)由HL证明Rt△CDQ≌Rt△CPQ,得出DQ=PQ,设AQ=x,则DQ=PQ=6﹣x,由勾股定理得出方程,解方程即可.【解答】(1)证明:∵∠BPQ=∠BPC+∠CPQ=∠A+∠AQP,又∠BPC=∠AQP,∴∠CPQ=∠A,∵PQ⊥CP,∴∠A=∠CPQ=90°,∴四边形ABCD是矩形;(2)解:∵四边形ABCD是矩形∴∠D=∠CPQ=90°,在Rt△CDQ和Rt△CPQ中,,∴Rt△CDQ≌Rt△CPQ(HL)),∴DQ=PQ,设AQ=x,则DQ=PQ=6﹣x在Rt△APQ中,AQ2+AP2=PQ2∴x2+22=(6﹣x)2,解得:x=∴AQ的长是.【点评】本题考查了平行四边形的性质、矩形的判定与性质,三角形全等的判定和性质,勾股定理的应用等知识;熟练掌握平行四边形的性质,证明四边形是矩形是解决问题的关键.24.(8分)如图,直线y=kx+b与坐标轴相交于点M(3,0),N(0,4).(1)求直线MN的解析式;(2)根据图象,写出不等式kx+b≥0的解集;(3)若点P在x轴上,且点P到直线y=kx+b的距离为,直接写出符合条件的点P的坐标.【分析】(1)把点M、N的坐标分别代入一次函数解析式,列出关于系数k、b的方程组,通过解方程组求得它们的值;(2)直线y=kx+b在x轴及其上方的部分对应的x的取值范围即为所求;(3)作△OMN的高OA.在Rt△OMN中利用勾股定理求出MN==5.根据三角形的面积公式求出OA===,则点P的坐标是(0,0);在x轴上作O关于M的对称点为(6,0),易得(6,0)到直线y=kx+b的距离也为.【解答】解:(1)∵直线y=kx+b与坐标轴相交于点M(3,0),N(0,4),所以,解得:,∴直线MN的解析式为:y=﹣x+4;(2)根据图形可知,当x≤3时,y=kx+b在x轴及其上方,即kx+b≥0,则不等式kx+b≥0的解集为x≤3;(3)如图,作△OMN的高OA.在Rt△OMN中,∵OM=3,ON=4,∠MON=90°,∴MN==5.∵S△OMN=MN•OA=OM•ON,∴OA===,∴点P的坐标是(0,0);在x轴上作O关于M的对称点为(6,0),易得(6,0)到直线y=kx+b的距离也为,所以点P的坐标是(0,0)或(6,0).【点评】本题考查了一次函数与一元一次不等式,待定系数法求一次函数解析式,三角形的面积,点到直线的距离,勾股定理.难度适中.25.(8分)如图,在菱形ABCD中,AB=4,∠BAD=120°,△AEF为等边三角形,点E,F分别在菱形的边BC,CD上滑动,且E,F不与B,C,D重合.(1)求证:BE=CF;(2)当点E,F在BC,CD上滑动时,四边形AECF的面积是否发生变化?如果不变,求出这个定值,如果变化,说明理由.【分析】(1)利用菱形的性质和等边三角形的性质,根据SAS证明△ABE≌△ACF,即可求得BE=CF;(2)根据△ABE≌△ACF可得S△ABE=S△ACF,根据S四边形AECF=S△AEC+S△ACF=S△AEC+S△ABE=S得出四边形AECF的面积不会发生变化;再作AH⊥BC于点H.求出AH的值,根据S △ABC=S△ABC=BC•AH,代入计算即可求解.四边形AECF【解答】(1)证明:∵在菱形ABCD中,∠BAD=120°,∴∠B=60°,∠BAC=∠BAD=60°,∴△ABC为等边三角形,∴AB=BC=AC.∵△AEF为等边三角形,∴AE=AF,∠EAF=60°,∴∠BAC﹣∠EAC=∠EAF﹣∠EAC,即∠BAE=∠CAF,∴△BAE≌△CAF,∴BE=CF;(2)解:四边形AECF的面积不会发生变化.理由如下:∵△BAE≌△CAF,∴S△ABE=S△ACF,∴S四边形AECF=S△AEC+S△ACF=S△AEC+S△ABE=S△ABC,∵△ABC的面积是定值,∴四边形AECF的面积不会发生变化.如图,作AH⊥BC于点H.∵AB=AC=BC=4,∴BH=BC=2,AH=AB•sin∠B=4×=2,∴S四边形AECF=S△ABC=BC•AH=×4×2=4.【点评】本题考查了菱形的性质、全等三角形判定与性质及三角形面积的计算,求证△ABE ≌△ACF是解题的关键,难度适中.。
2018-2019学年广东省深圳市南山区九年级(上)期末数学试卷一、选择题:(每题3分,共36分)1.(3分)如图所示的工件的主视图是()A .B .C .D .2.(3分)反比例函数y =﹣的图象在()A .第一、三象限C .第二、四象限B .第一、二象限D .第三、四象限3.(3分)如图,直线l 1∥l 2∥l 3,两条直线AC 和DF 与l 1,l 2,l 3分别相交于点A 、B 、C 和点D 、E 、F .则下列比例式不正确的是()A .=B .=C .=D .=4.(3分)下列说法不正确的是()A .所有矩形都是相似的B .若线段a =5cm ,b =2cm ,则a :b =5:2C .若线段AB =cm ,C 是线段AB 的黄金分割点,且AC >BC ,则AC =cmD .四条长度依次为lcm ,2cm ,2cm ,4cm 的线段是成比例线段5.(3分)根据下面表格中的对应值:xax +bx +c 2 3.24﹣0.022 3.250.01 3.260.03判断关于x 的方程ax +bx +c =0(a ≠0)的一个解x 的范围是()A .x <3.24C .3.25<x <3.26B .3.24<x <3.25D .x >3.266.(3分)下列说法不正确的是()A .一组同旁内角相等的平行四边形是矩形B .一组邻边相等的菱形是正方形C .有三个角是直角的四边形是矩形D .对角线相等的菱形是正方形7.(3分)一个盒子里装有若干个红球和白球,每个球除颜色以外都相同.5位同学进行摸球游戏,每位同学摸10次(摸出1球后放回,摇匀后再继续摸),其中摸到红球数依次为8,5,9,7,6,则估计盒中红球和白球的个数是()A .红球比白球多C .红球,白球一样多B .白球比红球多D .无法估计8.(3分)如图,在△ABC 中,∠A =78°,AB =4,AC =6,将△ABC 沿图示中的虚线剪开,剪下的阴影三角形与原三角形不相似的是()A .B .C .D .229.(3分)设a 、b 是两个整数,若定义一种运算“△”,a △b =a +b +ab ,则方程(x +2)△x =1的实数根是()A .x 1=x 2=1B .x 1=0,x 2=1C .x 1=x 2=﹣1D .x 1=1,x 2=﹣210.(3分)如图,矩形AEHC 是由三个全等矩形拼成的,AH 与BE 、BF 、DF 、DG 、CG 分别交于点P 、Q 、K 、M 、N .设△BPQ ,△DKM ,△CNH 的面积依次为S 1,S 2,S 3.若S 1+S 3=20,则S 2的值为()A .6B .8C .10D .1211.(3分)某县为做大旅游产业,在2015年投入资金3.2亿元,预计2017年投入资金6亿元,设旅游产业投资的年平均增长率为x ,则可列方程为()A .3.2+x =6C .3.2(1+x )=6B .3.2x =6D .3.2(1+x )=6212.(3分)如图,正方形ABCD 中,点E 、F 、G 分别为边AB 、BC 、AD 上的中点,连接AF 、DE 交于点M ,连接GM 、CG ,CG 与DE 交于点N ,则结论①GM ⊥CM ;②CD =DM ;③四边形AGCF 是平行四边形;④∠CMD =∠AGM 中正确的有()个.A .1B .2C .3D .4二、填空题:(每题3分,满分12分)13.(3分)顺次连接矩形各边中点所得四边形为形.14.(3分)已知点A (x 1,3),B (x 2,6)都在反比例函数y =或“>”或“=”)15.(3分)如图,在Rt △ABC 纸片上可按如图所示方式剪出一正方体表面展开图,直角三角形的两直角边与正方体展开图左下角正方形的边共线,斜边恰好经过两个正方形的顶点,已知BC =24cm ,则这个展开图可折成的正方体的体积为cm .3的图象上,则x 1x 2(填“<”16.(3分)如图,正方形ABCD 的边长为5,点A 的坐标为(﹣4,0),点B 在y 轴上,若反比例函数y =(k ≠0)的图象过点C ,则该反比例函数的表达式为;三、解答题:(17题6分,18题6分,19题7分,20题、21题、22题每题8分,23题9分,共52分)17.(6分)用适当的方法解下列方程:(1)(x ﹣2)﹣16=0(2)5x +2x ﹣1=0.18.(6分)如图,在6×8的网格图中,每个小正方形边长均为1dm ,点O 和△ABC 的顶点均为小正方形的顶点.(1)以O 为位似中心,在网格图中作△A ′B ′C ′和△ABC 位似,且位似比为1:2;(2)台风“山竹”过后,深圳一片狼藉,小明测量发现一棵被吹倾斜了的树影长为3米,与地面的夹角为45°,同时小明还发现大树树干和影子形成的三角形和△ABC 相似(树干对应BC 边),22求原树高(结果保留根号)19.(7分)阅读对话,解答问题:(1)分别用a 、b 表示小冬从小丽、小兵袋子中抽出的卡片上标有的数字,请用树状图法或列表法写出(a ,b )的所有取值;(2)求在(a ,b )中使关于x 的一元二次方程x ﹣ax +2b =0有实数根的概率.20.(8分)已知,如图,在矩形ABCD 中,对角线AC 与BD 相交于点O ,过点C 作BD 的平行线,过点D 作AC 的平行线,两线交于点P .①求证:四边形CODP 是菱形.②若AD =6,AC =10,求四边形CODP 的面积.221.(8分)如图,在平面直角坐标系中,直线l 1:y =﹣x 与反比例函数y =的图象交于A ,B 两点(点A 在点B 左侧),已知A 点的纵坐标是2;(1)求反比例函数的表达式;(2)根据图象直接写出﹣x >的解集;(3)将直线l 1:y =x 沿y 向上平移后的直线l 2与反比例函数y =在第二象限内交于点C ,如果△ABC 的面积为30,求平移后的直线l 2的函数表达式.22.(8分)学校为奖励“汉字听写大赛”的优秀学生,派王老师到商店购买某种奖品,他看到如图所示的关于该奖品的销售信息,便用1400元买回了奖品,求王老师购买该奖品的件数.购买件数不超过30件超过30件销售价格单价40元每多买1件,购买的所有衬衫单价降低0.5元,但单价不得低于30元23.(9分)已知:如图,在Rt △ABC 中,∠C =90°,AC =3cm ,BC =4cm ,点P 从点B 出发,沿BC 向点C 匀速运动,速度为lcm /s ;同时,点Q 从点A 出发,沿AB 向点B 匀速运动,速度为2cm /s ;当一个点停止运动时,另一个点也停止运动连接PQ ,设运动时间为t (s )(0<t <2.5),解答下列问题:(1)①BQ =,BP =;(用含t 的代数式表示)②设△PBQ 的面积为y (cm ),试确定y 与t 的函数关系式;(2)在运动过程中,是否存在某一时刻t ,使△PBQ 的面积为△ABC 面积的二分之一?如果存在,求出t 的值;不存在,请说明理由;(3)在运动过程中,是否存在某一时刻t ,使△BPQ 为等腰三角形?如果存在,求出t 的值;不存在,请说明理由.22018-2019学年广东省深圳市南山区九年级(上)期末数学试卷参考答案与试题解析一、选择题:(每题3分,共36分)1.(3分)如图所示的工件的主视图是()A .B .C .D .【分析】主视图、左视图、俯视图是分别从物体正面、侧面和上面看,所得到的图形,本题找到从正面看所得到的图形即可.【解答】解:从物体正面看,看到的是一个横放的矩形,且一条斜线将其分成一个直角梯形和一个直角三角形.故选:B .【点评】本题考查了三视图的知识,主视图是从物体的正面看得到的视图,解答时学生易将三种视图混淆而错误的选其它选项,难度适中.2.(3分)反比例函数y =﹣的图象在()A .第一、三象限C .第二、四象限B .第一、二象限D .第三、四象限【分析】根据反比例函数y =(k ≠0)的图象是双曲线;当k >0,双曲线的两支分别位于第一、第三象限,在每一象限内y 随x 的增大而减小;当k <0,双曲线的两支分别位于第二、第四象限,在每一象限内y 随x 的增大而增大进行解答.【解答】解:∵k =﹣1,∴图象在第二、四象限,故选:C .【点评】此题主要考查了反比例函数的性质,关键是掌握反比例函数图象的性质.3.(3分)如图,直线l 1∥l 2∥l 3,两条直线AC 和DF 与l 1,l 2,l 3分别相交于点A 、B 、C 和点D 、E 、F .则下列比例式不正确的是()A .=B .=C .=D .=【分析】根据平行线分线段成比例即可得到结论.【解答】解:∵l 1∥l 2∥l 3,∴,,,,故选:D .【点评】本题主要考查平行线分线段成比例,掌握平行线所分线段对应成比例是解题的关键.4.(3分)下列说法不正确的是()A .所有矩形都是相似的B .若线段a =5cm ,b =2cm ,则a :b =5:2C .若线段AB =cm ,C 是线段AB 的黄金分割点,且AC >BC ,则AC =cmD .四条长度依次为lcm ,2cm ,2cm ,4cm 的线段是成比例线段【分析】根据相似多边形的性质,矩形的性质,成比例线段,黄金分割判断即可.【解答】解:所有矩形对应边的比不一定相等,不一定都是相似的,A 不正确,符合题意;若线段a =5cm ,b =2cm ,则a :b =5:2,B 正确,不符合题意;线段AB =则AC =cm ,C 是线段AB 的黄金分割点,且AC >BC ,AB =(cm ),C 正确,不符合题意;四条长度依次为lcm ,2cm ,2cm ,4cm 的线段是成比例线段,D 正确,不符合题意;故选:A .【点评】本题考查的是相似多边形的性质,矩形的性质,成比例线段,黄金分割,掌握它们的概念和性质是解题的关键.5.(3分)根据下面表格中的对应值:xax +bx +c 2 3.24﹣0.022 3.250.01 3.260.03判断关于x 的方程ax +bx +c =0(a ≠0)的一个解x 的范围是()A.x<3.24C.3.25<x<3.262B.3.24<x<3.25 D.x>3.26【分析】根据表中数据得到x=3.24时,ax+bx+c=﹣0.02;x=3.25时,ax+bx+c=0.01,则x取2.24到2.25之间的某一个数时,使ax+bx+c=0,于是可判断关于x的方程ax+bx+c=0(a≠0)的一个解x的范围是3.24<x<3.25.【解答】解:∵x=3.24时,ax+bx+c=﹣0.02;x=3.25时,ax+bx+c=0.01,∴关于x的方程ax+bx+c=0(a≠0)的一个解x的范围是3.24<x<3.25.故选:B.【点评】本题考查了估算一元二次方程的近似解:用列举法估算一元二次方程的近似解,具体方法是:给出一些未知数的值,计算方程两边结果,当两边结果愈接近时,说明未知数的值愈接近方程的根.6.(3分)下列说法不正确的是()A.一组同旁内角相等的平行四边形是矩形B.一组邻边相等的菱形是正方形C.有三个角是直角的四边形是矩形D.对角线相等的菱形是正方形【分析】利用正方形的判定、平行四边形的性质,菱形的性质,矩形的判定分别判断后即可确定正确的选项.【解答】解:A、一组同旁内角相等的平行四边形是矩形,正确;B、一组邻边相等的菱形是正方形,错误;C、有三个角是直角的四边形是矩形,正确;D、对角线相等的菱形是正方形,正确.故选:B.【点评】本题考查了正方形的判定,平行四边形的性质,菱形的性质,矩形的判定,熟练运用这些性质解决问题是本题的关键.7.(3分)一个盒子里装有若干个红球和白球,每个球除颜色以外都相同.5位同学进行摸球游戏,每位同学摸10次(摸出1球后放回,摇匀后再继续摸),其中摸到红球数依次为8,5,9,7,6,则估计盒中红球和白球的个数是()A.红球比白球多C.红球,白球一样多B.白球比红球多D.无法估计222222【分析】计算出摸出红球的平均数后分析,若得到到的平均数大于5,则说明红球比白球多,反之则不是.【解答】解:∵5位同学摸到红球的频率的平均数为∴红球比白球多.故选:A .【点评】考查利用频率估计概率.大量反复试验下频率稳定值即概率.易错点是得到红球可能的情况数.8.(3分)如图,在△ABC 中,∠A =78°,AB =4,AC =6,将△ABC 沿图示中的虚线剪开,剪下的阴影三角形与原三角形不相似的是()=7,A .B .C .D .【分析】根据相似三角形的判定定理对各选项进行逐一判定即可.【解答】解:A 、阴影部分的三角形与原三角形有两个角相等,故两三角形相似,故本选项错误;B 、阴影部分的三角形与原三角形有两个角相等,故两三角形相似,故本选项错误;C 、两三角形的对应边不成比例,故两三角形不相似,故本选项正确.D 、两三角形对应边成比例且夹角相等,故两三角形相似,故本选项错误;故选:C .【点评】本题考查的是相似三角形的判定,熟知相似三角形的判定定理是解答此题的关键.9.(3分)设a 、b 是两个整数,若定义一种运算“△”,a △b =a +b +ab ,则方程(x +2)△x =1的实数根是()A .x 1=x 2=1B .x 1=0,x 2=1C .x 1=x 2=﹣1D .x 1=1,x 2=﹣222【分析】根据题中的新定义将所求方程化为普通方程,左边化为完全平方式,开方转化为两个一元一次方程,求出一次方程的解即可得到原方程的解.【解答】解:∵a △b =a +b +ab ,∴(x +2)△x =(x +2)+x +x (x +2)=1,整理得:x +2x +1=0,即(x +1)=0,解得:x 1=x 2=﹣1.故选:C .【点评】此题考查了解一元二次方程﹣配方法,利用此方法解方程时,首先将方程二次项系数化为1,常数项移到方程右边,然后方程左右两边都加上一次项系数一半的平方,左边化为完全平方式,右边合并为一个非负常数,开方转化为两个一元一次方程来求解.10.(3分)如图,矩形AEHC 是由三个全等矩形拼成的,AH 与BE 、BF 、DF 、DG 、CG 分别交于点P 、Q 、K 、M 、N .设△BPQ ,△DKM ,△CNH 的面积依次为S 1,S 2,S 3.若S 1+S 3=20,则S 2的值为()222222A .6B .8C .10D .12【分析】由条件可证明△BPQ ∽△DKM ∽△CNH ,且能求得其相似比,再根据相似三角形的面积比等于相似比的平方,结合条件可求得S 2.【解答】解:∵矩形AEHC 是由三个全等矩形拼成的,∴AB =BD =CD ,AE ∥BF ∥DG ∥CH ,∴四边形BEFD ,四边形DFGC 是平行四边形,∠BQP =∠DMK =∠CHN ,∴BE ∥DF ∥CG∴∠BPQ =∠DKM =∠CNH ,∵△ABQ ∽△ADM ,△ABQ ∽△ACH ,∴==,==,∴△BPQ ∽△DKM ∽△CNH ,∴=,∴=,=,∴S 2=4S 1,S 3=9S 1,∵S 1+S 3=20,∴S 1=2,∴S 2=8.故选:B .【点评】本题主要考查相似三角形的判定和性质,掌握相似三角形的判定方法及相似三角形的面积比等于相似比的平方是解题的关键.11.(3分)某县为做大旅游产业,在2015年投入资金3.2亿元,预计2017年投入资金6亿元,设旅游产业投资的年平均增长率为x ,则可列方程为()A .3.2+x =6C .3.2(1+x )=6B .3.2x =6D .3.2(1+x )=62【分析】设这两年投入资金的年平均增长率为x ,根据题意可得,2015的投入资金×(1+增长率)2=2017年的投入资金,据此列方程.【解答】解:设这两年投入资金的年平均增长率为x ,由题意得,3.2(1+x )=6.故选:D .【点评】本题考查了由实际问题抽象出一元二次方程,解答本题的关键是读懂题意,设出未知数,找出合适的等量关系,列出方程.12.(3分)如图,正方形ABCD 中,点E 、F 、G 分别为边AB 、BC 、AD 上的中点,连接AF 、DE 交于点M ,连接GM 、CG ,CG 与DE 交于点N ,则结论①GM ⊥CM ;②CD =DM ;③四边形AGCF 是平行四边形;④∠CMD =∠AGM 中正确的有()个.2A .1B .2C .3D .4【分析】要证以上问题,需证CN 是DN 是垂直平分线,即证N 点是DM 中点,利用中位线定理即可,利用反证法证明④不成立即可.【解答】解:∵AG ∥FC 且AG =FC ,∴四边形AGCF 为平行四边形,故③正确;∴∠GAF =∠FCG =∠DGC ,∠AMN =∠GND在△ADE和△BAF中,∵,∴△ADE≌△BAF(SAS),∴∠ADE=∠BAF,∵∠ADE+∠AEM=90°∴∠EAM+∠AEM=90°∴∠AME=90°∴∠GND=90°∴∠DE⊥AF,DE⊥CG.∵G点为AD中点,∴GN为△ADM的中位线,即CG为DM的垂直平分线,∴GM=GD,CD=CM,故②错误;在△GDC和△GMC中,∵,∴△GDC≌△GMC(SSS),∴∠CDG=∠CMG=90°,∠MGC=∠DGC,∴GM⊥CM,故①正确;∵∠CDG=∠CMG=90°,∴G、D、C、M四点共圆,∴∠AGM=∠DCM,∵CD=CM,∴∠CMD=∠CDM,在Rt△AMD中,∠AMD=90°,∴DM<AD,∴DM<CD,∴∠DMC≠∠DCM,∴∠CMD ≠∠AGM ,故④错误.故选:B .【点评】本题考查了正方形的性质的运用,全等三角形的判定与性质的运用及平行四边形的性质的运用.在解答中灵活运用正方形的中点问题解决问题,灵活运用了几何图形知识解决问题.二、填空题:(每题3分,满分12分)13.(3分)顺次连接矩形各边中点所得四边形为菱形.【分析】作出图形,根据三角形的中位线定理可得EF =GH =AC ,FG =EH =BD ,再根据矩形的对角线相等可得AC =BD ,从而得到四边形EFGH 的四条边都相等,然后根据四条边都相等的四边形是菱形解答.【解答】解:如图,连接AC 、BD ,∵E 、F 、G 、H 分别是矩形ABCD 的AB 、BC 、CD 、AD 边上的中点,∴EF =GH =AC ,FG =EH =BD (三角形的中位线等于第三边的一半),∵矩形ABCD 的对角线AC =BD ,∴EF =GH =FG =EH ,∴四边形EFGH 是菱形.故答案为:菱形.【点评】本题考查了三角形的中位线定理,菱形的判定,矩形的性质,作辅助线构造出三角形,然后利用三角形的中位线定理是解题的关键.14.(3分)已知点A (x 1,3),B (x 2,6)都在反比例函数y =或“>”或“=”)【分析】根据反比例函数的性质,可得答案.【解答】解:由题意,得k =﹣3,图象位于第二象限,或第四象限,在每一象限内,y 随x 的增大而增大,∵3<6,的图象上,则x 1<x 2(填“<”∴x 1<x 2,故答案为<.【点评】本题考查了反比例函数的性质,熟练掌握反比例函数的性质是解题关键.15.(3分)如图,在Rt △ABC 纸片上可按如图所示方式剪出一正方体表面展开图,直角三角形的两直角边与正方体展开图左下角正方形的边共线,斜边恰好经过两个正方形的顶点,已知BC =24cm ,则这个展开图可折成的正方体的体积为27cm .3【分析】首先设这个展开图围成的正方体的棱长为xcm ,然后延长FE 交AC 于点D ,根据三角函数的性质,可求得AC 的长,然后由相似三角形的对应边成比例,即可求得答案.【解答】解:如图,设这个展开图围成的正方体的棱长为xcm ,延长FE 交AC 于点D ,则EF =2xcm ,EG =xcm ,DF =4xcm ,∵DF ∥BC ,∴∠EFG =∠B ,∵tan ∠EFG =∴tan B ==,=,∵BC =24cm ,∴AC =12cm ,∴AD =AC ﹣CD =12﹣2x (cm )∵DF ∥BC ,∴△ADF ∽△ACB ,∴即==,,解得:x =3,即这个展开图围成的正方体的棱长为3cm ,∴这个展开图可折成的正方体的体积为27cm .3故答案为:27.【点评】此题考查了相似三角形的判定与性质以及三角函数等知识.此题难度适中,注意掌握辅助线的作法,注意数形结合思想与方程思想的应用.16.(3分)如图,正方形ABCD的边长为5,点A的坐标为(﹣4,0),点B在y轴上,若反比例函数y=(k≠0)的图象过点C,则该反比例函数的表达式为y=;【分析】过点C作CE⊥y轴于E,根据正方形的性质可得AB=BC,∠ABC=90°,再根据同角的余角相等求出∠OAB=∠CBE,然后利用“角角边”证明△ABO和△BCE全等,根据全等三角形对应边相等可得OA=BE=4,CE=OB=3,再求出OE,然后写出点C的坐标,再把点C的坐标代入反比例函数解析式计算即可求出k的值.【解答】解:如图,过点C作CE⊥y轴于E,在正方形ABCD中,AB=BC,∠ABC=90°,∴∠ABO+∠CBE=90°,∵∠OAB+∠ABO=90°,∴∠OAB=∠CBE,∵点A的坐标为(﹣4,0),∴OA=4,∵AB=5,∴OB==3,在△ABO和△BCE中,,∴△ABO ≌△BCE (AAS ),∴OA =BE =4,CE =OB =3,∴OE =BE ﹣OB =4﹣3=1,∴点C 的坐标为(3,1),∵反比例函数y =(k ≠0)的图象过点C ,∴k =xy =3×1=3,∴反比例函数的表达式为y =.故答案为:y =.【点评】此题考查的是反比例函数图象上点的坐标特点,涉及到正方形的性质,全等三角形的判定与性质,反比例函数图象上的点的坐标特征,作辅助线构造出全等三角形并求出点D 的坐标是解题的关键.三、解答题:(17题6分,18题6分,19题7分,20题、21题、22题每题8分,23题9分,共52分)17.(6分)用适当的方法解下列方程:(1)(x ﹣2)﹣16=0(2)5x +2x ﹣1=0.【分析】(1)利用直接开平方法求解可得;(2)利用公式法求解可得.【解答】解:(1)∵(x ﹣2)﹣16=0,∴(x ﹣2)=16,∴x ﹣2=4或x ﹣2=﹣4,2222解得:x 1=﹣2,x 2=6;(2)∵a =5,b =2,c =﹣1,∴△=2﹣4×5×(﹣1)=24>0,则x =即x 1==,x 2=,.2【点评】本题考查了一元二次方程的解法.解一元二次方程常用的方法有直接开平方法,配方法,公式法,因式分解法,要根据方程的特点灵活选用合适的方法.18.(6分)如图,在6×8的网格图中,每个小正方形边长均为1dm ,点O 和△ABC 的顶点均为小正方形的顶点.(1)以O 为位似中心,在网格图中作△A ′B ′C ′和△ABC 位似,且位似比为1:2;(2)台风“山竹”过后,深圳一片狼藉,小明测量发现一棵被吹倾斜了的树影长为3米,与地面的夹角为45°,同时小明还发现大树树干和影子形成的三角形和△ABC 相似(树干对应BC 边),求原树高(结果保留根号)【分析】(1)在OA ,OB ,OC 上分别截取OA ′=OA ,OB ′=OB ,OC ′=OC ,首尾顺次连接A ′,B ′,C ′即为所求;(2)先得出OB =OC =4,BC =4代入求出EF 即可得答案.【解答】解:(1)如图1所示,△A ′B ′C ′即为所求.,∠ABC =∠DEF =45°,从而由△DEF ∽△ABC 知=,(2)∵OB =OC =4,∴∠OBC =∠DEF =45°,BC =∵△DEF ∽△ABC ,∴=,即=,米.,=4,∴EF =2答:原树高为2【点评】此题考查了位似三角形的作法和勾股定理等知识,得出位似图形的对应点的坐标是解题关键.19.(7分)阅读对话,解答问题:(1)分别用a 、b 表示小冬从小丽、小兵袋子中抽出的卡片上标有的数字,请用树状图法或列表法写出(a ,b )的所有取值;(2)求在(a ,b )中使关于x 的一元二次方程x ﹣ax +2b =0有实数根的概率.【分析】(1)用列表法易得(a ,b )所有情况;(2)看使关于x 的一元二次方程x ﹣ax +2b =0有实数根的情况占总情况的多少即可.【解答】解:(1)(a ,b )对应的表格为:ab1234(1,1)(2,1)(3,1)(4,1)22123(1,2)(2,2)(3,2)(4,2)(1,3)(2,3)(3,3)(4,3)(2)∵方程x ﹣ax +2b =0有实数根,∴△=a ﹣8b ≥0.∴使a ﹣8b ≥0的(a ,b )有(3,1),(4,1),(4,2),∴.222【点评】如果一个事件有n 种可能,而且这些事件的可能性相同,其中事件A 出现m 种结果,那么事件A 的概率P (A )=.注意本题是放回实验;一元二次方程有实数根,根的判别式为非负数.20.(8分)已知,如图,在矩形ABCD 中,对角线AC 与BD 相交于点O ,过点C 作BD 的平行线,过点D 作AC 的平行线,两线交于点P .①求证:四边形CODP 是菱形.②若AD =6,AC =10,求四边形CODP 的面积.【分析】①根据DP ∥AC ,CP ∥BD ,即可证出四边形CODP 是平行四边形,由矩形的性质得出OC =OD ,即可得出结论;②根据勾股定理可求CD =8,由S△COD =S △ADC =××AD ×CD =12=S 菱形CODP ,可求四边形CODP 的面积.【解答】证明:①∵DP ∥AC ,CP ∥BD∴四边形CODP 是平行四边形,∵四边形ABCD 是矩形,∴BD =AC ,OD =BD ,OC =AC ,∴OD =OC ,∴四边形CODP 是菱形.②∵AD =6,AC =10∴DC =∵AO =CO =8∴S △COD =S △ADC =××AD ×CD =12∵四边形CODP 是菱形,∴S △COD =S 菱形CODP =12,∴S 菱形CODP =24【点评】本题主要考查矩形性质和菱形的判定;熟练掌握菱形的判定方法,由矩形的性质得出OC =OD 是解决问题的关键.21.(8分)如图,在平面直角坐标系中,直线l 1:y =﹣x 与反比例函数y =的图象交于A ,B 两点(点A 在点B 左侧),已知A 点的纵坐标是2;(1)求反比例函数的表达式;(2)根据图象直接写出﹣x >的解集;(3)将直线l 1:y =x 沿y 向上平移后的直线l 2与反比例函数y =在第二象限内交于点C ,如果△ABC 的面积为30,求平移后的直线l 2的函数表达式.【分析】(1)直线l 1经过点A ,且A 点的纵坐标是2,可得A (﹣4,2),代入反比例函数解析式可得k 的值;(2)依据直线l 1:y =﹣x 与反比例函数y =的图象交于A ,B 两点,即可得到不等式﹣x >的解集为x <﹣4或0<x <4;(3)设平移后的直线l 2与x 轴交于点D ,连接AD ,BD ,依据CD ∥AB ,即可得出△ABC 的面积与△ABD 的面积相等,求得D (15,0),即可得出平移后的直线l 2的函数表达式.【解答】解:(1)∵直线l 1:y =﹣x 经过点A ,A 点的纵坐标是2,∴当y =2时,x =﹣4,∴A (﹣4,2),∵反比例函数y =的图象经过点A ,∴k =﹣4×2=﹣8,∴反比例函数的表达式为y =﹣;(2)∵直线l 1:y =﹣x 与反比例函数y =的图象交于A ,B 两点,∴B (4,﹣2),∴不等式﹣x >的解集为x <﹣4或0<x <4;(3)如图,设平移后的直线l 2与x 轴交于点D ,连接AD ,BD ,∵CD ∥AB ,∴△ABC 的面积与△ABD 的面积相等,∵△ABC 的面积为30,∴S △AOD +S △BOD =30,即OD (|y A |+|y B |)=30,∴×OD ×4=30,∴OD =15,∴D (15,0),设平移后的直线l 2的函数表达式为y =﹣x +b ,把D (15,0)代入,可得0=﹣×15+b ,解得b =,.∴平移后的直线l 2的函数表达式为y =﹣x +【点评】本题考查了反比例函数与一次函数的交点问题,待定系数法求函数的解析式,函数图象上点的坐标特征,一次函数图象与几何变换以及三角形的面积.解决问题的关键是依据△ABC 的面积与△ABD 的面积相等,得到D 点的坐标为(15,0).22.(8分)学校为奖励“汉字听写大赛”的优秀学生,派王老师到商店购买某种奖品,他看到如图所示的关于该奖品的销售信息,便用1400元买回了奖品,求王老师购买该奖品的件数.购买件数不超过30件超过30件销售价格单价40元每多买1件,购买的所有衬衫单价降低0.5元,但单价不得低于30元【分析】根据题意首先表示出每件商品的价格,进而得出购买商品的总钱数,进而得出等式求出答案.【解答】解:∵30×40=1200<1400,∴奖品数超过了30件,设总数为x 件,则每件商品的价格为:[40﹣(x ﹣30)×0.5]元,根据题意可得:x [40﹣(x ﹣30)×0.5]=1400,解得:x 1=40,x 2=70,∵x =70时,40﹣(70﹣30)×0.5=20<30,∴x =70不合题意舍去,答:王老师购买该奖品的件数为40件.【点评】此题主要考查了一元二次方程的应用,根据题意正确表示出每件商品的价格是解题关键.23.(9分)已知:如图,在Rt △ABC 中,∠C =90°,AC =3cm ,BC =4cm ,点P 从点B 出发,沿BC 向点C 匀速运动,速度为lcm /s ;同时,点Q 从点A 出发,沿AB 向点B 匀速运动,速度为2cm /s ;当一个点停止运动时,另一个点也停止运动连接PQ ,设运动时间为t (s )(0<t <2.5),解答下列问题:(1)①BQ =5﹣2t ,BP =t ;(用含t 的代数式表示)②设△PBQ 的面积为y (cm ),试确定y 与t 的函数关系式;(2)在运动过程中,是否存在某一时刻t ,使△PBQ 的面积为△ABC 面积的二分之一?如果存在,求出t 的值;不存在,请说明理由;(3)在运动过程中,是否存在某一时刻t ,使△BPQ 为等腰三角形?如果存在,求出t 的值;不存在,请说明理由.2【分析】(1)①先利用勾股定理求出AB ,即可得出结论;②先作出高,进而得出△BDQ ∽△BCA ,表示出DQ ,最后用三角形的面积公式即可得出结论;(2)先求出△ABC 的面积,再利用△PBQ 的面积为△ABC 面积的二分之一,建立方程,进而判断出此方程无解,即可得出结论;(3)分三种情况,利用等腰三角形的性质和相似三角形的性质得出比例式建立方程求解即可得出结论.【解答】解:(1)①在Rt △ABC 中,AC =3cm ,BC =4cm ,根据勾股定理得,AB =5cm ,由运动知,BP =t ,AQ =2t ,∴BQ =AB ﹣AQ =5﹣2t ,故答案为:5﹣2t ,t ;②如图1,过点Q 作QD ⊥BC 于D ,∴∠BDQ =∠C =90°,∵∠B =∠B ,∴△BDQ ∽△BCA ,∴∴,,∴DQ =(5﹣2t )∴y =S △PBQ =BP •DQ =×t ×(5﹣2t )=﹣t +t ;(2)不存在,理由:∵AC =3,BC =4,∴S △ABC =×3×4=6,由(1)知,S △PBQ =﹣t +t ,22∵△PBQ 的面积为△ABC 面积的二分之一,∴﹣t +t =3,∴2t ﹣5t +10=0,∵△=25﹣4×2×10<0,∴此方程无解,即:不存在某一时刻t ,使△PBQ 的面积为△ABC 面积的二分之一;(3)由(1)知,AQ =2t ,BQ =5﹣2t ,BP =t ,∵△BPQ 是等腰三角形,∴①当BP =BQ 时,∴t =5﹣2t ,∴t =,②当BP =PQ 时,如图2过点P 作PE ⊥AB 于E ,∴BE =BQ =(5﹣2t ),∵∠BEP =90°=∠C ,∠B =∠B ,∴△BEP ∽△BCA ,∴,22∴∴t =,③当BQ =PQ 时,如图3,过点Q 作QF ⊥BC 于F ,∴BF =BP =t ,∵∠BFQ =90°=∠C ,∠B =∠B ,∴△BFQ ∽△BCA ,∴,∴∴t =,,即:t为秒或秒或秒时,△BPQ为等腰三角形.【点评】此题是三角形综合题,主要考查了勾股定理,三角形的面积公式,相似三角形的判定和性质,用方程的思想解决问题是解本题的关键.。
2019-2020学年广东省广州市越秀区八年级第二学期期末数学试卷一、选择题1.的计算结果是()A.2B.9C.6D.32.在下列计算中,正确的是()A.B.C.D.3.在体育中考跳绳项目中,某小组的8位成员跳绳次数如下:175、176、175、180、179、176、180、176,这组数据的众数为()A.175B.176C.179D.1804.若菱形的两条对角线长分别为8和6,则这个菱形的面积是()A.96B.48C.24D.125.在竞选班干部时,某同学表达能力、组织能力、责任心的得分分别是90分,80分,85分.若依次按20%,40%,40%的比例确定最终得分,则这个人的最终得分是()A.82分B.84分C.85分D.86分6.在下列各组数中,不能作为直角三角形的三边长的是()A.,,B.30,40,50C.1,,2D.5,12,137.如图,矩形OABC的边OA长为2,边AB长为1,OA在数轴上,以原点O为圆心,对角线OB的长为半径画弧,交正半轴于一点,则这个点表示的实数是()A.2.5B.2C.D.8.如图,EF过平行四边形ABCD对角线的交点O,交AD于点E,交BC于点F,若平行四边形ABCD的周长是36,OE=3,则四边形ABFE的周长为()A.21B.24C.27D.189.下列有关一次函数y=﹣2x+1的说法中,错误的是()A.y的值随着x增大而减小B.当x>0时,y>1C.函数图象与y轴的交点坐标为(0,1)D.函数图象经过第一、二、四象限10.如图1,四边形ABCD为一块矩形草坪,小明从点B出发,沿BC→CD→DA运动至点A停止.设小明运动路程为x,△ABP的面积为y,y关于x的函数图象如图2所示.矩形草坪ABCD的边CD的长度是()A.6B.8C.10D.14二.填空题11.二次根式有意义,则x的取值范围是.12.“赵爽弦图”巧妙地利用面积关系证明了勾股定理,如图所示的“赵爽弦图”是由四个全等的直角三角形和一个小正方形拼成的一个大正方形,设直角三角形较长直角边长为a,较短直角边长为b,若a=4,b=3,则大正方形的面积是.13.将直线y=2x向上平移1个单位长度后得到的直线是.14.数据﹣2、﹣1、0、1、2的方差是.15.如图,一次函数y=mx+n与一次函数y=kx+b的图象交于点A(1,2),则关于x的不等式mx+n>kx+b的解集是.16.如图,四边形ABCD是正方形,BC=,点G为边CD上一点,CG=1,以CG为边作正方形CEFG,对于下列结论:①正方形ABCD的面积是3;②BG=2;③∠FED=45°;④BG⊥DE.其中正确的结论是(请写出所有正确结论的序号).三、解答题17.计算:.18.如图,在△ABC中,AB=15,AC=20,BC=25.(1)求证:∠BAC=90°;(2)作AH⊥BC,H为垂足,求AH的长.19.如图,四边形ABCD是正方形,对角线AC、BD相交于点F,∠E=90°,ED=EC.求证:四边形DFCE是正方形.20.为了解某小区使用共享单车的情况,某研究小组随机采访该小区10位居民,得到这10位居民一周内使用共享单车的次数分别是:16,12,15,22,16,0,7,27,16,9.(1)计算这10位居民一周内使用共享单车的平均次数;(2)这组数据的中位数是;(3)某位居民一周内使用共享单车15次,能不能说该居民一周内使用共享单车的次数处于所有被采访居民的中上水平?试说明理由.21.如图,在平面直角坐标系中,直线y=﹣2x+10与y轴交于点A,与x轴交于点B,另一条直线经过点A和点C(﹣2,8),且与x轴交于点D.(1)求直线AD的解析式;(2)求△ABD的面积.22.如图,△ABC中,AH⊥BC于点H,点D,E分别是AB,AC的中点,连接DH,EH,DE.(1)求证:AD=DH;(2)若四边形ADHE的周长是30,△ADE的周长是21,求BC的长.23.某公司计划组织员工到某地旅游,甲、乙两家旅行社的服务质量相同,且报价都是每人2000元.经过协商:甲旅行社表示可给予每位游客七五折(按报价75%)优惠;乙旅行社表示可先免去一位游客的旅游费用,其余游客八折(按报价80%)优惠.设该公司参加旅游的人数是x人,选择甲旅行社所需费用为y1元,选择乙旅行社所需费用为y2元.请解答下列问题:(1)请分别写出y1,y2与x之间的关系式.(2)在甲、乙两家旅行社中,你认为选择哪家旅行社更划算?24.如图,已知直线y=﹣2x+8与坐标轴跟别交于A,B两点,与直线y=2x交于点C.(1)求点C的坐标;(2)若点P在y轴上,且,求点P的坐标;(3)若点M在直线y=2x上,点M横坐标为m,且m>2,过点M作直线平行于y轴,该直线与直线y=﹣2x+8交于点N,且MN=1,求点M的坐标.25.如图1,四边形ABCD是矩形,点O位于对角线BD上,将△ADE,△CBF分别沿DE、BF翻折,点A,点C都恰好落在点O处.(1)求证:∠EDO=∠FBO;(2)求证:四边形DEBF是菱形:(3)如图2,若AD=2,点P是线段ED上的动点,求2AP+DP的最小值.参考答案一、选择题1.的计算结果是()A.2B.9C.6D.3【分析】求出的结果,即可选出答案.解:=3,故选:D.2.在下列计算中,正确的是()A.B.C.D.【分析】根据各个选项中的式子,可以计算出正确的结果,从而可以解答本题.解:=3﹣=2,故选项A正确;=1,故选项B错误;,故选项C错误;==,故选项D错误;故选:A.3.在体育中考跳绳项目中,某小组的8位成员跳绳次数如下:175、176、175、180、179、176、180、176,这组数据的众数为()A.175B.176C.179D.180【分析】根据众数的概念求解可得.解:这组数据中176出现3次,次数最多,所以众数为176,故选:B.4.若菱形的两条对角线长分别为8和6,则这个菱形的面积是()A.96B.48C.24D.12【分析】根据菱形的面积等于对角线乘积的一半计算即可.解:∵四边形ABCD是菱形,∴S=×6×8=24.故选:C.5.在竞选班干部时,某同学表达能力、组织能力、责任心的得分分别是90分,80分,85分.若依次按20%,40%,40%的比例确定最终得分,则这个人的最终得分是()A.82分B.84分C.85分D.86分【分析】根据题意和加权平均数的计算方法,可以计算出这个人的最终得分.解:90×20%+80×40%+85×40%=84(分),即这个人的最终得分是84分,故选:B.6.在下列各组数中,不能作为直角三角形的三边长的是()A.,,B.30,40,50C.1,,2D.5,12,13【分析】根据勾股定理的逆定理:如果三角形有两边的平方和等于第三边的平方,那么这个三角形是直角三角形.如果没有这种关系,这个就不是直角三角形.解:A、()2+()2≠()2,不符合勾股定理的逆定理,故本选项符合题意;B、302+402=502,符合勾股定理的逆定理,故本选项不符合题意;C、12+()2=22,符合勾股定理的逆定理,故本选项不符合题意;D、52+122=132,符合勾股定理的逆定理,故本选项不符合题意;故选:A.7.如图,矩形OABC的边OA长为2,边AB长为1,OA在数轴上,以原点O为圆心,对角线OB的长为半径画弧,交正半轴于一点,则这个点表示的实数是()A.2.5B.2C.D.【分析】本题利用实数与数轴的关系及直角三角形三边的关系(勾股定理)解答即可.解:由勾股定理可知,∵OB=,∴这个点表示的实数是.故选:D.8.如图,EF过平行四边形ABCD对角线的交点O,交AD于点E,交BC于点F,若平行四边形ABCD的周长是36,OE=3,则四边形ABFE的周长为()A.21B.24C.27D.18【分析】先由ASA证明△AOE≌△COF,得OE=OF,AE=CF,再求得AB+BC=18,由平行四边形ABFE的周长=AB+AE+BF+EF=AB+BF+CF+2OE,即可求得答案.解:∵四边形ABCD为平行四边形,对角线的交点为O,∴AB=CD,AD=BC,OA=OC,AD∥BC,∴∠EAO=∠FCO,在△AOE和△COF中,,∴△AOE≌△COF(ASA),∴OE=OF,AE=CF,∵平行四边形ABCD的周长为36,∴AB+BC=×36=18,∴四边形ABFE的周长=AB+AE+BF+EF=AB+BF+CF+2OE=AB+BC+2×3=18+6=24故选:B.9.下列有关一次函数y=﹣2x+1的说法中,错误的是()A.y的值随着x增大而减小B.当x>0时,y>1C.函数图象与y轴的交点坐标为(0,1)D.函数图象经过第一、二、四象限【分析】根据一次函数的性质分别判断后即可确定正确的选项.解:A、∵k=﹣2<0,∴y的值随着x增大而减小,正确,不符合题意;B、∵k=﹣2<0,∴y的值随着x增大而减小,∴当x>0时,y<1,错误,符合题意;C、∵当x=0时,y=1,∴函数图象与y轴的交点坐标为(0,1),正确,不符合题意;D、∵k=﹣2<0,b=1>0,∴函数图象经过第一、二、四象限,正确,不符合题意,故选:B.10.如图1,四边形ABCD为一块矩形草坪,小明从点B出发,沿BC→CD→DA运动至点A停止.设小明运动路程为x,△ABP的面积为y,y关于x的函数图象如图2所示.矩形草坪ABCD的边CD的长度是()A.6B.8C.10D.14【分析】点P从点B运动到点C的过程中,y与x的关系是一个一次函数,运动路程为6时,面积发生了变化,说明BC的长为6,当点P在CD上运动时,三角形ABP的面积保持不变,就是矩形ABCD面积的一半,并且动路程由6到14,说明CD的长为8.解:结合图形可以知道,P点在BC上,△ABP的面积为y增大,当x在6﹣﹣14之间得出,△ABP的面积不变,得出BC=6,CD=14﹣6=8,故选:B.二.填空题11.二次根式有意义,则x的取值范围是x≥5.【分析】根据二次根式的意义,被开方数是非负数列出方程,解方程即可.解:根据题意得:x﹣5≥0,解得x≥5.故答案为:x≥5.12.“赵爽弦图”巧妙地利用面积关系证明了勾股定理,如图所示的“赵爽弦图”是由四个全等的直角三角形和一个小正方形拼成的一个大正方形,设直角三角形较长直角边长为a,较短直角边长为b,若a=4,b=3,则大正方形的面积是25.【分析】求出大正方形的边长即可.解:由勾股定理可知大正方形的边长===5,∴大正方形的面积为25,故答案为25.13.将直线y=2x向上平移1个单位长度后得到的直线是y=2x+1.【分析】先判断出直线经过坐标原点,然后根据向上平移,横坐标不变,纵坐标加求出平移后与坐标原点对应的点,然后利用待定系数法求一次函数解析式解答.解:直线y=2x经过点(0,0),向上平移1个单位后对应点的坐标为(0,1),∵平移前后直线解析式的k值不变,∴设平移后的直线为y=2x+b,则2×0+b=1,解得b=1,∴所得到的直线是y=2x+1.故答案为:y=2x+1.14.数据﹣2、﹣1、0、1、2的方差是2.【分析】根据题目中的数据可以求得这组数据的平均数,然后根据方差的计算方法可以求得这组数据的方差.解:由题意可得,这组数据的平均数是:,∴这组数据的方差是:=2,故答案为:2.15.如图,一次函数y=mx+n与一次函数y=kx+b的图象交于点A(1,2),则关于x的不等式mx+n>kx+b的解集是x>1.【分析】观察函数图象得到当x>1时,直线y=mx+n在直线y=kx+b的上方,于是得到不等式mx+n>kx+b的解集.解:根据图象可知,不等式mx+n>kx+b的解集为x>1.故答案为:x>1.16.如图,四边形ABCD是正方形,BC=,点G为边CD上一点,CG=1,以CG为边作正方形CEFG,对于下列结论:①正方形ABCD的面积是3;②BG=2;③∠FED=45°;④BG⊥DE.其中正确的结论是①②④(请写出所有正确结论的序号).【分析】由正方形的性质可得BC=CD,∠BCD=90°,正方形ABCD的面积=BC2=3,可判断①;由勾股定理可求BG的长,可判断②;由正方形的性质可得∠GEF=45°,可判断③;由“SAS”可证△BCG≌△DCE,可得BH⊥DE,可判断④,即可求解.解:∵四边形ABCD是正方形,BC=,∴BC=CD,∠BCD=90°,正方形ABCD的面积=BC2=3,故①正确;∵BC=,CG=1,∴BG===2,故②正确,如图,连接GE,延长BG交DE于H,∵四边形CEFG是正方形,∴CG=CE,∠GCE=∠BCG=90°,∠GEF=45°,∵∠FED<∠GEF,∴∠FED<45°,故③错误,∵CG=CE,∠GCE=∠BCG=90°,BC=CD,∴△BCG≌△DCE(SAS),∴∠GBC=∠CDE,∵∠CDE+∠DEC=90°,∴∠GBC+∠DEC=90°,∴∠BHE=90°,∴BH⊥DE,故④正确,故答案为:①②④.三、解答题17.计算:.【分析】根据二次根式的乘除法和减法可以解答本题解:=﹣+2=2+.18.如图,在△ABC中,AB=15,AC=20,BC=25.(1)求证:∠BAC=90°;(2)作AH⊥BC,H为垂足,求AH的长.【分析】(1)根据勾股定理的逆定理求出即可;(2)设BH=x,则HC=25﹣x,由勾股定理得出方程152﹣x2=202﹣(25﹣x)2,求出x,再根据勾股定理求出AH即可.【解答】(1)证明:∵AB2+AC2=152+202=625,BC2=252=625,∴AB2+AC2=BC2,∴∠BAC=90°;(2)解:设BH=x,则HC=25﹣x,∵AH⊥BC,∴∠AHB=∠AHC=90°,在Rt△AHB和Rt△AHC中,由勾股定理得:AH2=AB2﹣BH2=AC2﹣CH2,即152﹣x2=202﹣(25﹣x)2,解得:x=10,即BH=10,由勾股定理得:AH===5.19.如图,四边形ABCD是正方形,对角线AC、BD相交于点F,∠E=90°,ED=EC.求证:四边形DFCE是正方形.【分析】根据正方形的判定和性质定理即可得到结论.解:∵四边形ABCD是正方形,∴∠FDC=∠DCF=45°,∵∠E=90°,ED=EC,∴∠EDC=∠ECD=45°,∴∠FCE=∠FDE=∠E=90°,∴四边形DFCE是矩形,∵DE=CE,∴四边形DFCE是正方形.20.为了解某小区使用共享单车的情况,某研究小组随机采访该小区10位居民,得到这10位居民一周内使用共享单车的次数分别是:16,12,15,22,16,0,7,27,16,9.(1)计算这10位居民一周内使用共享单车的平均次数;(2)这组数据的中位数是15.5;(3)某位居民一周内使用共享单车15次,能不能说该居民一周内使用共享单车的次数处于所有被采访居民的中上水平?试说明理由.【分析】(1)根据平均数的概念,将所有数的和除以10即可;(2)将数据按照大小顺序重新排列,计算出中间两个数的平均数即是中位数;(3)用样本平均数估算总体的平均数.解:(1)根据题意得:×(0+7+9+12+15+16×3+22+27)=14(次),答:这10位居民一周内使用共享单车的平均次数是14次;(2)按照从小到大的顺序新排列后,第5、第6个数分别是15和16,所以中位数是(15+16)÷2=15.5,故答案为:15.5;(3)不能;∵15次小于中位数15.5次,∴某位居民一周内使用共享单车15次,不能说该居民一周内使用共享单车的次数处于所有被采访居民的中上水平.21.如图,在平面直角坐标系中,直线y=﹣2x+10与y轴交于点A,与x轴交于点B,另一条直线经过点A和点C(﹣2,8),且与x轴交于点D.(1)求直线AD的解析式;(2)求△ABD的面积.【分析】(1)先直线AB的解析式求出A点坐标,再根据点A与点C的坐标即可求得直线AD的解析式;(2)根据直线AB的解析式求得点B的坐标,根据直线AD的解析式求得点D的坐标,再根据点A的坐标即可求得△ABD的面积.解:(1)∵直线y=﹣2x+10与y轴交于点A,∴A(0,10).设直线AD的解析式为y=kx+b,∵直线AD过A(0,10),C(﹣2,8),∴,解得,∴直线AD的解析式为y=x+10;(2)∵直线y=﹣2x+10与x轴交于点B,∴B(5,0),∵直线AD与x轴交于点D,∴D(﹣10,0),∴BD=15,∵A(0,10),∴△ABD的面积=BD•OA=×15×10=75.22.如图,△ABC中,AH⊥BC于点H,点D,E分别是AB,AC的中点,连接DH,EH,DE.(1)求证:AD=DH;(2)若四边形ADHE的周长是30,△ADE的周长是21,求BC的长.【分析】(1)根据直角三角形的性质即可得到即可;(2)根据直角三角形的性质得到AD=DH=AB,AE=HE=AC,求得AD+AE=×30=15,得到DE=21﹣15=6,根据三角形中位线定理即可得到结论.解:(1)∵AH⊥BC,∴∠AHB=90°,∵点D是AB的中点,∴AD=DH=AB;(2)∵AH⊥BC,∴∠AHB=∠AHC=90°,∵点D,E分别是AB,AC的中点,∴AD=DH=AB,AE=HE=AC,∵四边形ADHE的周长是30,∴AD+AE=×30=15,∵△ADE的周长是21,∴DE=21﹣15=6,∵点D,E分别是AB,AC的中点,∴DE是△ABC的中位线,∴BC=2DE=12.23.某公司计划组织员工到某地旅游,甲、乙两家旅行社的服务质量相同,且报价都是每人2000元.经过协商:甲旅行社表示可给予每位游客七五折(按报价75%)优惠;乙旅行社表示可先免去一位游客的旅游费用,其余游客八折(按报价80%)优惠.设该公司参加旅游的人数是x人,选择甲旅行社所需费用为y1元,选择乙旅行社所需费用为y2元.请解答下列问题:(1)请分别写出y1,y2与x之间的关系式.(2)在甲、乙两家旅行社中,你认为选择哪家旅行社更划算?【分析】(1)根据甲、乙旅行社的不同的优惠方案,可求出函数关系式,(2)根据(1)的结论列方程或不等式解答即可.解:(1)由题意,得y1=2000×75%×x=1500x,y2=2000×80%(x﹣1)=1600x﹣1600;(2)①当y1=y2时,即:1500x=1600x﹣1600,解得,x=160,②当y1>y2时,即:1500x>1600x﹣1600,解得,x<160,③当y1<y2时,即:1500x<1600x﹣1600,解得,x>160,答:当x<160时,乙旅行社费用较少,当x=160,时,两个旅行社费用相同,当x>160时,甲旅行社费用较少.24.如图,已知直线y=﹣2x+8与坐标轴跟别交于A,B两点,与直线y=2x交于点C.(1)求点C的坐标;(2)若点P在y轴上,且,求点P的坐标;(3)若点M在直线y=2x上,点M横坐标为m,且m>2,过点M作直线平行于y轴,该直线与直线y=﹣2x+8交于点N,且MN=1,求点M的坐标.【分析】(1)解析式联立,解方程组即可求得;(2)根据题意求得OP的长,从而求得P的坐标;(3)根据题意得到2m﹣(﹣2m+8)=1,求得m的值,即可求得M的坐标.解:(1)由,解得,∴点C的坐标为(2,4);(2)∵直线y=﹣2x+8与坐标轴跟别交于A,B两点,∴A(0,8),B(4,0),∴OA=8,∵点P在y轴上,且,∴OP=OA=4,∴P的坐标为(0,4)或(0,﹣4);(3)∵点M在直线y=2x上,点M横坐标为m,且m>2,∴M(m,2m),N(m,﹣2m+8),∵MN=1,∴2m﹣(﹣2m+8)=1,∴m=,∴点M的坐标为(,).25.如图1,四边形ABCD是矩形,点O位于对角线BD上,将△ADE,△CBF分别沿DE、BF翻折,点A,点C都恰好落在点O处.(1)求证:∠EDO=∠FBO;(2)求证:四边形DEBF是菱形:(3)如图2,若AD=2,点P是线段ED上的动点,求2AP+DP的最小值.【分析】(1)由折叠的性质得出△ADE≌△ODE,△CFB≌△OFB,则∠ADE=∠ODE =ADB,∠CBF=∠OBF=∠CBD,则可得出结论;(2)证得四边形DEBF是平行四边形,由全等三角形的性质得出∠A=∠DOE=90°,则可得出结论;(3)过点P作PH⊥AD于点H,得出∠ADE=∠ODE=∠ODF=30°,得出2AP+PD =2PA+2PH=2(AP+PH),过点O作OM⊥AD,与DE的交点即是2AP+PD的值最小的点P的位置.而此时(2AP+PD)的最小值=2OM,求出OM的长,则可得出答案.【解答】(1)证明:∵四边形ABCD是矩形,∴AD∥BC,∴∠ADB=∠CBD,∵将△ADE,△CBF分别沿DE、BF翻折,点A,点C都恰好落在点O处.∴△ADE≌△ODE,∴△CFB≌△OFB,∴∠ADE=∠ODE=∠ADB,∠CBF=∠OBF=∠CBD,∴∠EDO=∠FBO;(2)证明:∵∠EDO=∠FBO,∴DE∥BF,∵四边形ABCD是矩形,∴AB∥CD,AD=BC,∠A=90°,∵DE∥BF,AB∥CD,∴四边形DEBF是平行四边形,又∵△ADE△≌△ODE,∴∠A=∠DOE=90°,∴EF⊥BD,∴四边形DEBF是菱形;(3)解:过点P作PH⊥AD于点H,∵四边形DEBF是菱形,△ADE≌△ODE,∴∠ADE=∠ODE=∠ODF=30°,∴在Rt△DPH中,2PH=PD,∴2AP+PD=2PA+2PH=2(AP+PH),过点O作OM⊥AD,与DE的交点即是2AP+PD的值最小的点P的位置.而此时(2AP+PD)的最小值=2OM,∵△ADE≌△ODE,AD=2,∴AD=DO=2,在Rt△OMD中,∵∠ODA=2∠ADE=60°,∴∠DOM=30°,∴DM=DO=1,∵DM2+OM2=DO2,∴12+OM2=22,∴OM=,∴(2PA+PD)的最小值为2OM=2.。
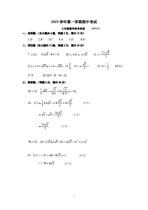
2019学年第一学期期中考试八年级数学参考答案 2019.11一、选择题:(本大题共6题,每题2分,满分12分)D .1 B .2 C .3 A .4 D .5 D .6二、填空题(本大题共12题,每题2分,满分24分).71≤x 33.8 3.9-π 2,0.1021==x x 231.11+>x )143)(143.(12-+++y y 43.13 x y 55.14=.1521>m 1.16± 4.17 )303,0.18-,)或((三、简答题:(每题5分,满分30分).19计算:)0(2531931>+-a aa a a a解:原式=53331aa a aa a +•-•----------(3分)=53aa a a +-----------(1分)=53aa ------------(1分).20计算:02)1()123()832)(328(-+---+解:原式=1)2619(52+--- ----------- (3分) =2670+------------ (2分).21解方程:12)32312=-x ( 解: 36)322=-x ( --------------------(1分) 632=-x 或632-=-x --------------------(2分)29=x 或23-=x --------------------(2分) ∴原方程的根为 23,2921-==x x.22解方程:0)52)(1()52(2=+--+x x x x解:0)]1(2)[52(=--+x x x --------------------(1分)0)1)(52(=++x x --------------------(1分)01,052=+=+x x --------------------(1分)25-=x 或1-=x -----------------(2分) ∴原方程的根为1,2521-=-=x x.23 解方程:x x 2222=+ 解:02222=+-x x --------------------(1分)0)2(2=-x --------------------(2分) 221==x x --------------------(2分) ∴原方程的根为221==x x.24 用配方法解方程:0181622=++x x解: 982-=+x x --------------------(1分) 1691682+-=++x x --------------------(1分)7)42=+x (--------------------(1分)或74=+x 74-=+x --------------------(2分)74 ,或74--=+-=x x ∴原方程的根为74,7421--=+-=x x.25先化简,再求值:2))(2y x y xy x ++-(,其中5,5-==y x 解:2)(y x -2)(y x + --------------------(1分) =[)(y x -)(y x +]2 --------------------(2分) =2)y x -( --------------------(1分) =222y xy x +-当5,5-==y x 时原式=5+10+5 --------------------( 3分)=20 --------------------(1分).26解:(1)01172=-++m x x --------------------(1分)m 45+=∆>0--------------------(2分)45->m --------------------(1分) (2) 当1-=m 时,--------------------(1分)11172-=++x x --------------------(1分)解得3,421-=-=x x --------------------(2分)∴原方程的根为3,421-=-=x x.72解:(1)200(1+2%)a =288 --------------------(2分)解得20=a --------------------(1分)答:a 的值20.(2)22%)1(200%)1200a a --+(=12 --------------------(3分) 解得%5.1%=a --------------------(2分)答:甲区的工作量的平均每月增长率%5.1..28 (1))16,18(D(2) 设)31,(),31,(),2,(b a B b b C a a A 则 由AB BC =,得b a a b 312-=- 得a b 49=∴)43,(a a B ∴直线OB 的解析式为x y 43=(3) )43,49(),2,(a a C a a A 170434921221249四边边=••-••-•=a a a a a a S oADC 解得舍去)(8,821-==a a ∴)6,18(C。
017-2018学年下学期期末考试八年级数学试题说明:1.考试用时100分钟,满分为120分;2.答卷前,考生务必用黑色字迹的签字笔或钢笔在答题卷上填写自己的姓名、考试号、座位号等;3.考生必须用黑色字迹钢笔或签字笔作答,答案必须写在答题卷各题目区域内相应位置上;如需改动,先划掉原来的答案,然后再写上新的答案;不准使用铅笔和涂改液.不按以上要求作答的答案无效;4.考生务必保持答题卷的整洁.考试结束时,将答题卷交回.一、选择题(本大题10小题,每小题3分,共30分;在每小题列出的四个选项中,只有一个是正确的,请将正确答案填写在答题卷相应的位置上).1.有意义,则x 的取值范围是( ). A .3x ≥B .3x >C .3x ≤D .3x <2.下列各式中属于最简二次根式的是( ).A B .12D .5.0 3.一次数学测验中,某小组五位同学的成绩分别是:110,105,90,95,90.则这五个数据的中位数是( ).A .90B .95C .100D .1054.下表记录了甲、乙、丙、丁四名跳高运动员最近几次选拔赛成绩的平均数与方差:根据表中数据,要从中选择一名成绩好且发挥稳定的运动员参加比赛,应该选择( ). A .甲B .乙C .丙D .丁5.下列各组数中,不能构成直角三角形的是( ).A .3,4,5B .6,8,10C .4,5,6D .5,12,13 6.点A (1,-2)在正比例函数(0)y kx k =≠的图象上,则k 的值是( ). A .1B .-2C .12D .12-7.一次函数y =3x -2的图象不经过( ).A .第一象限B .第二象限C .第三象限D .第四象限8.如图,在△ABC 中,点D ,E 分别是AB ,AC 的中点, 若BC =6,则DE 等于( ). A .3 B .4 C .5 D .69.如图,□ABCD 中,下列说法一定正确的是( ). A .AC =BD B .AC ⊥BD C .AB =CD D .AB =BC10.如图,将一个长为10cm ,宽为8cm 的矩形纸片对折两次后,沿所得矩形两邻边中点的连线(虚线)剪下,再打开,得到的菱形的面积为( ). A .210cmB .220cmC .240cmD .280cm第9题图 第10题图二、填空题(本大题6小题,每小题4分,共24分;请将下列各题的正确答案填写在答题卷相应的位置上).11.在新年晚会的投飞镖游戏环节中,7名同学的投掷成绩(单位:环)分别是:7,9,9,4,9,8,8,则这组数据的众数是.12.若x 、y 为实数,且满足,则x +y 的值是.13.在直角三角形中,两条直角边分别是3cm 和4cm ,则斜边上的中线长是cm . 14.一次函数y =(m -3)x +5的函数值y 随着x 的增大而减小,则m 的取值范围. 15.一次函数y =kx +3的图象如图所示,则方程kx +3=0的解为.16.如图(1),已知小正方形ABCD 的面积为1,把它的各边延长一倍得到新正方形A 1B 1C 1D 1;把正方形A 1B 1C 1D 1边长按原法延长一倍得到正方形A 2B 2C 2D 2(如图(2));以此下去···,则正方形A 4B 4C 4D 4的面积为__________.三、解答题(一)(本大题3小题,每小题6分,共18分). 17.01)-+.18.已知,如图在ΔABC 中,AB =BC =AC =2cm ,AD 是边BC 上的高.求AD 的长.第15题图第16题图(1)1B 1C 1D 1A BC D D 2A 2B 2C 2D 1C 1B 1A 1A BC D 第16题图(2)19.如图,□ABCD 中,E 、F 分别是AD 、BC 的中点,求证:BE =DF .四、解答题(二)(本大题3小题,每小题7分,共21分). 20.一次函数y =2x -4的图像与x 轴的交点为A ,与y 轴的交点为B . (1)A ,B 两点的坐标分别为A (,),B (,); (2)在平面直角坐标系中,画出此一次函数的图像.21.某校为了提升初中学生学习数学的兴趣,培养学生的创新精神,举办“玩转数学”比赛.现有甲、乙两个小组进入决赛,评委从研究报告、小组展示、答辩三个方面为各小组打分,各项成绩均按百分制记录.甲、乙两个小组各项得分如下表:(1)计算各小组的平均成绩,并从高分到低分确定小组的排名顺序;(2)如果研究报告、小组展示、答辩按照4:3:3计算成绩,哪个小组的成绩最高?22.如图,在海上观察所A ,我边防海警发现正北5km 的B 处有一可疑船只正在向东方向12km 的C 处行驶.我边防海警即刻派船前往C 处拦截.若可疑船只的行驶速度为60km/h ,则我边防海警船的速度为多少时,才能恰好在C 处将可疑船只截住?12km CAB 5km五、解答题(三)(本大题3小题,每小题9分,共27分). 23.观察下列各式:312311=+; 413412=+; 514513=+;…… 请你猜想:(1=,=;(2) 计算(请写出推导过程). (3)请你将猜想到的规律用含有自然数n (n ≥1)的代数式表达出来. .24.如图1,将一张矩形纸片ABCD 沿着对角线BD 向上折叠,顶点C 落到点E 处,BE 交AD 于点F .(1)求证:BF =DF ;(2)如图2,过点D 作DG ∥BE ,交BC 于点G ,连结FG 交BD 于点O .①求证:四边形BFDG 是菱形; ②若AB =3,AD =4,求FG 的长.25.已知一次函数y =kx +b 的图象过P (1,4),Q (4,1)两点,且与x 轴交于A 点.(1)求此一次函数的解析式; (2)求△POQ 的面积;(3)已知点M 在x 轴上,若使MP +MQ 的值最小, 求点M 的坐标及MP +MQ 的最小值.参考答案1-10、ABBBC BBACA11、912、013、14、m<315、x=316、62517、18、19、证明:∵四边形ABCD是平行四边形,∴AD∥BC,AD=BC,∵AE=CF,∴DE=BF,DE∥BF,∴四边形DEBF是平行四边形,∴BE=DF.20、解:(1)A(2,0)、B(0,-4).(2)作直线AB,直线AB就是此一次函数的图象.21、(1)乙组第一名、甲组第二名(2)甲组成绩最高22、23、24、(1)证明:如图1,根据折叠,∠DBC=∠DBE,又AD∥BC,∴∠DBC=∠ADB,∴∠DBE=∠ADB,∴DF=BF;(2)①∵四边形ABCD是矩形,∴AD∥BC,∴FD∥BG,又∵DG∥BE,∴四边形BFDG是平行四边形,∵DF=BF,∴四边形BFDG是菱形;②∵AB=3,AD=4,∴BD=5.25、解:(1)把P(1,4),Q(4,1)代入一次函数解析式,则此一次函数的解析式为y=-x+5;(2)对于一次函数y=-x+5,令y=0,得到x=5,∴A(5,0),(3)如图,作Q点关于x轴的对称点Q′,连接PQ′交x轴于点M,则MP+MQ的值最小.∵Q(4,1),∴Q′(4,-1).设直线PQ′的解析式为y=mx+n.2017-2018八年级(下)期末数学试卷一、选择题(本题共10小题,每小题3分,共30分,在每小题给出的四个选项中,只有一个选项正确,请将你认为正确答案的序号填在题后的括号内)1.(3分)要使二次根式有意义,字母的取值范围是()A.x≥B.x≤C.x>D.x<2.(3分)下列计算正确的是()A.+=B.2+=2C.=+D.﹣=03.(3分)下列四组线段中,可以构成直角三角形的是()A.1,, B.2,3,4 C.1,2,3 D.4,5,64.(3分)一次函数y=﹣x+1的图象不经过的象限是()A.第一象限B.第二象限C.第三象限D.第四象限5.(3分)在中山市举行“慈善万人行”大型募捐活动中,某班50位同学捐款金额统计如下:则在这次活动中,该班同学捐款金额的众数和中位数分别是()A.20元,30元B.20元,35元C.100元,35元D.100元,30元6.(3分)10名学生的平均成绩是x,如果另外5名学生每人得90分,那么整个组的平均成绩是()A.B.C. D.7.(3分)如图,在平行四边形ABCD中,AD=8,点E,F分别是BD,CD的中点,则EF 等于()A.2 B.3 C.4 D.68.(3分)矩形具有而平行四边形不一定具有的性质是()A.对角相等B.对边相等C.对角线相等D.对角线互相平分9.(3分)如图,在△ABC中,∠A=45°,∠B=30°,CD⊥AB,垂足为D,CD=1,则AB 的长为()A.B.2 C.D.210.(3分)直线y=﹣kx+k﹣3与直线y=kx在同一坐标系中的大致图象可能是()A.B.C.D.二、填空题(本题共8小题,每小题3分,共24分,请将答案直接填写在题中的横线上)11.(3分)计算:=.12.(3分)某茶叶厂用甲,乙,丙三台包装机分装质量为200g的茶叶,从它们各自分装的茶叶中分别随机抽取了20盒,得到它们的实际质量的方差如下表所示:根据表中数据,可以认为三台包装机中,包装茶叶的质量最稳定是.13.(3分)如图,在菱形ABCD中,AC=8,BD=6,则△ABC的周长是.14.(3分)一次函数y=(2m﹣1)x+1,若y随x的增大而增大,则m的取值范围是15.(3分)如图,已知一次函数y=kx+b的图象如图所示,当y≤0时,x的取值范围是.16.(3分)某公司招聘一名人员,应聘者小王参加面试和笔试,成绩(100分制)如表所示:如果面试平均成绩与笔试成绩按6:4的比确定,请计算出小王的最终成绩.17.(3分)如图,E为正方形ABCD对角线BD上一点,且BE=BC,则∠DCE=.18.(3分)如图,Rt△ABC中,∠ABC=90°,点D,F分别是AC,AB的中点,CE∥DB,BE∥DC,AD=3,DF=1,四边形DBEC面积是三、解答题(3小题,共32分)19.(20分)计算:(1)+﹣(2)2(3)(+3﹣)(4)(2﹣3)2﹣(4+3)(4﹣3)20.(6分)如图,四边形ABCD中,AB=AD=2,BC=3,CD=1,∠A=90°,请问△BCD是直角三角形吗?请说明你的理由.21.(6分)已知:实数a,b在数轴上的位置如图所示,化简:+2﹣|a﹣b|.四、解答题(2小题,共16分)22.(8分)如图,已知直线l1:y=2x+3,直线l2:y=﹣x+5,直线l1、l2分别交x轴于B、C两点,l1、l2相交于点A.(1)求A、B、C三点坐标;(2)求△ABC的面积.23.(8分)如图,菱形ABCD对角线交于点O,BE∥AC,AE∥BD,EO与AB交于点F.(1)试判断四边形AEBO的形状,并说明你的理由;(2)求证:EO=DC.五、解答题(2小题,共18分)24.(9分)某商场销售国外、国内两种品牌的智能手机,这两种手机的进价和售价如表所示该商场计划购进两种手机若干部,共需14.8万元,预计全部销售后可获毛利润共2.7万元.[毛利润=(售价﹣进价)×销售量](1)该商场计划购进国外品牌、国内品牌两种手机各多少部?(2)通过市场调研,该商场决定在原计划的基础上,减少国外品牌手机的购进数量,增加国内品牌手机的购进数量.已知国内品牌手机增加的数量是国外品牌手机减少的数量的3倍,而且用于购进这两种手机的总资金不超过15.6万元,该商场应该怎样进货,使全部销售后获得的毛利润最大?并求出最大毛利润25.(9分)四边形ABCD是正方形,AC与BD,相交于点O,点E、F是直线AD上两动点,且AE=DF,CF所在直线与对角线BD所在直线交于点G,连接AG,直线AG交BE 于点H.(1)如图1,当点E、F在线段AD上时,求证:∠DAG=∠DCG;(2)如图1,猜想AG与BE的位置关系,并加以证明;(3)如图2,在(2)条件下,连接HO,试说明HO平分∠BHG.2017-2018学年广东省潮州市湘桥区八年级(下)期末数学试卷参考答案一、选择题1.B ;2.D ;3.A ;4.C ;5.A ;6.D ;7.C ;8.C ;9.C ;10.B ; 二、填空题 11.﹣; 12.乙; 13.18; 14.m >; 15.x ≤2;16.89.6分; 17.22.5°; 18.4;三、解答题(3小题,共32分)19.(1)4(2)35 (3)23 (4)49-20.21.;四、解答题(2小题,共16分) 22.23、五、解答题(2小题,共18分)24、25、2017-2018学年下学期期末考试八年级数学试卷一、选择题(本大题共12小题,每小题3分,共36分在每小题给出的A、B、C、D四个选项中,只有一项符合题目要求.)1.点M(1,2)关于y轴对称点的坐标为()A.(﹣1,2)B.(﹣1,﹣2)C.(1,﹣2)D.(2,﹣1)【专题】常规题型.【分析】根据关于y轴对称的点,纵坐标相同,横坐标互为相反数解答.【解答】解:点M(1,2)关于y轴对称点的坐标为(-1,2).故选:A.【点评】本题考查了关于x轴、y轴对称的点的坐标,解决本题的关键是掌握好对称点的坐标规律:(1)关于x轴对称的点,横坐标相同,纵坐标互为相反数;(2)关于y轴对称的点,纵坐标相同,横坐标互为相反数;(3)关于原点对称的点,横坐标与纵坐标都互为相反数.2.如图所示是一些常用图形的标志,其中是轴对称图形但不是中心对称图形的是()【专题】常规题型.【分析】根据轴对称图形与中心对称图形的概念求解.【解答】解:A、是轴对称图形,也是中心对称图形,故此选项错误;B、是轴对称图形,不是中心对称图形,故此选项正确;C、不是轴对称图形,是中心对称图形,故此选项错误;D、是轴对称图形,也是中心对称图形,故此选项错误.故选:B.【点评】本题考查了中心对称图形与轴对称图形的概念:轴对称图形的关键是寻找对称轴,图形两部分沿对称轴折叠后可重合;中心对称图形是要寻找对称中心,旋转180度后与原图重合.3.关于函数y=﹣x+3,下列结论正确的是()A.它的图象必经过点(1,1)B.它的图象经过第一、二、三象限C.它的图象与y轴的交点坐标为(0,3)D.y随x的增大而增大【专题】函数及其图象.【分析】根据一次函数的性质对各选项进行逐一判断即可.【解答】解:A、∵当x=1时,y=2,∴图象不经过点(1,1),故本选项错误;B、∵k=-1<0,b=3>0,∴图象经过第一、二、四象限,故本选项错误C、∵当x=0时,y=3,∴图象与y轴的交点坐标为(0,3),故本选项正确;D、∵k=-1<0,∴y随x的增大而减小,故本选项错误;故选:C.【点评】本题考查的是一次函数的性质,熟知一次函数y=kx+b(k≠0),当k>0,y随x的增大而增大,函数从左到右上升;k<0,y随x的增大而减小,函数从左到右下降是解答此题的关键.4.如图,在▱ABCD中,AD=8,点E,F分别是BD,CD的中点,则EF等于()A.2 B.3 C.4 D.5【分析】由四边形ABCD是平行四边形,根据平行四边形的对边相等,可得BC=AD=8,又由点E、F分别是BD、CD的中点,利用三角形中位线的性质,即可求得答案.【解答】解:∵四边形ABCD是平行四边形,∴BC=AD=8,∵点E、F分别是BD、CD的中点,故选:C.【点评】此题考查了平行四边形的性质与三角形中位线的性质.此题比较简单,注意掌握数形结合思想的应用.5.如图所示的是一扇高为2m,宽为1.5m的长方形门框,光头强有一些薄木板要通过门框搬进屋内,在不能破坏门框,也不能锯短木板的情况下,能通过门框的木板最大的宽度为()A.1.5m B.2m C.2.5m D.3m【专题】计算题.【分析】利用勾股定理求出门框对角线的长度,由此即可得出结论.【解答】故选:C.【点评】本题考查了勾股定理的应用,利用勾股定理求出长方形门框对角线的长度是解题的关键.6.如图,Rt△ABC中,∠C=90°,AD平分∠BAC,交BC于点D,AB=10,S△ABD=15,则CD的长为()A.3 B.4 C.5 D.6【分析】过点D作DE⊥AB于E,根据角平分线上的点到角的两边距离相等可得DE=CD,然后利用△ABD的面积列式计算即可得解.【解答】解:如图,过点D作DE⊥AB于E,∵∠C=90°,AD平分∠BAC,∴DE=CD,解得DE=3.故选:A.【点评】本题考查了角平分线上的点到角的两边距离相等的性质,三角形的面积,熟记性质是解题的关键.7.如图,△ABC中,∠C=90°,AC=3,∠B=30°,点P是BC边上的动点,则AP长不可能是()A.3.5 B.4.2 C.5.8 D.7【分析】利用垂线段最短分析AP最小不能小于3;利用含30度角的直角三角形的性质得出AB=6,可知AP最大不能大于6.此题可解.【解答】解:根据垂线段最短,可知AP的长不可小于3;∵△ABC中,∠C=90°,AC=3,∠B=30°,∴AB=6,∴AP的长不能大于6.故选:D.【点评】本题主要考查了垂线段最短的性质和含30度角的直角三角形的理解和掌握,解答此题的关键是利用含30度角的直角三角形的性质得出AB=6.8.如图,四边形ABCD是长方形,AB=3,AD=4.已知A(﹣,﹣1),则点C的坐标是()A.(﹣3,)B.(,﹣3)C.(3,) D.(,3)【分析】由矩形的性质可知AB=CD=3,AD=BC=4,【解答】解:∵四边形ABCD是长方形,∴AB=CD=3,AD=BC=4,故选:D.【点评】本题主要考查了矩形的性质和坐标的平移,根据平移的性质解决问题是解答此题的关键.9.如图,四边形ABCD的对角线交于点O,下列哪组条件不能判断四边形ABCD是平行四边形()A.OA=OC,OB=OD B.∠BAD=∠BCD,AB∥CDC.AD∥BC,AD=BC D.AB=CD,AO=CO【分析】根据平行四边形的判定:①两组对边分别平行的四边形是平行四边形;②两组对边分别相等的四边形是平行四边形;③两组对角分别相等的四边形是平行四边形;④对角线互相平分的四边形是平行四边形;⑤一组对边平行且相等的四边形是平行四边形,对每个选项进行筛选可得答案.【解答】解:A、根据对角线互相平分,可得四边形是平行四边形,故此选项可以证明四边形ABCD是平行四边形;B、根据AB∥CD可得:∠ABC+∠BCD=180°,∠BAD+∠ADC=180°,又由∠BAD=∠BCD可得:∠ABC=∠ADC,根据两组对角对应相等的四边形是平行四边形可以判定;C、根据一组对边平行且相等的四边形是平行四边形可以证明四边形ABCD是平行四边形;D、AB=CD,AO=CO不能证明四边形ABCD是平行四边形.故选:D.【点评】本题主要考查平行四边形的判定问题,熟练掌握平行四边形的性质,能够熟练判定一个四边形是否为平行四边形.10.如图,一艘巡逻船由A港沿北偏西60°方向航行5海里至B岛,然后再沿北偏东30°方向航行4海里至C岛,则A、C两港相距()A.4海里B.海里 C.3海里D.5海里【专题】计算题.【分析】连接AC,根据方向角的概念得到∠CBA=90°,根据勾股定理计算即可.【解答】解:连接AC,由题意得,∠CBA=90°,故选:B.【点评】本题考查的是勾股定理的应用和方向角,掌握勾股定理、正确标注方向角是解题的关键.11.如图,购买一种苹果,所付款金额y(元)与购买量x(千克)之间的函数图象由线段OA和射线AB组成,则一次购买5千克这种苹果比分五次购买1千克这种苹果可节省()元.A.4 B.5 C.6 D.7【分析】观察函数图象找出点的坐标,利用待定系数法求出线段OA和设AB的函数关系式,再分别求出当x=1和x=5时,y值,用10×5-44即可求出一次购买5千克这种苹果比分五次购买1千克这种苹果节省的钱数.【解答】解:设y关于x的函数关系式为y=kx+b,当0≤x≤2时,将(0,0)、(2,20)代入y=kx+b中,∴y=8x+4(x≥2).当x=1时,y=10x=10;当x=5时,y=44.10×5-44=6(元).故选:C.【点评】本题考查了一次函数的应用、待定系数法求一次函数解析式以及一次函数图象上点的坐标特征,观察函数图象找出点的坐标,利用待定系数法求出线段OA和设AB的函数关系式是解题的关键.12.已知:如图,在矩形ABCD中,AB=4,AD=6.延长BC到点E,使CE=2,连接DE,动点F从点B 出发,以每秒2个单位的速度沿BC﹣CD﹣DA向终点A运动,设点F的运动时间为y秒,当y的值为()秒时,△ABF和△DCE全等.A.1 B.1或3 C.1或7 D.3或7【分析】分点F在BC上和点F在AD上两种情况进行讨论,根据题意得出BF=2t=2和AF=16-2t=2即可求得.【解答】解:当点F在BC上时,∵在△ABF与△DCE中,∴△ABF≌△DCE,由题意得:BF=2t=2,所以t=1,点F在AD上时,∵在△ABF与△DCE中,∴△ABF≌△DCE,由题意得:AF=16-2t=2,解得t=7.所以,当t的值为1或7秒时.△ABF和△DCE全等.故选:C.【点评】本题考查了全等三角形的判定,关键是根据三角形全等的判定方法有:ASA,SAS,AAS,SSS,HL解答.二、填空题(本大题共6小题,每小题3分,共18分13.将直线y=2x+4向下平移3个单位,则得到的新直线的解析式为.【专题】一次函数及其应用.【分析】根据函数的平移规律,可得答案.【解答】解:将直线y=2x+4向下平移3个单位,得y=2x+4-3,化简,得y=2x+1,故答案为:y=2x+1.【点评】本题考查了一次函数图象与几何变换,利用函数图象的平移规律:上加下减,左加右减是解题关键.14.在平面直角坐标系中,点A(x,y)在第三象限,则点B(x,﹣y)在第象限.【专题】平面直角坐标系.【分析】根据各象限内点的坐标特征,可得答案.【解答】解:由点A(x,y)在第三象限,得x<0,y<0,∴x<0,-y>0,点B(x,-y)在第二象限,故答案为:二.【点评】本题考查了各象限内点的坐标的符号特征,记住各象限内点的坐标的符号是解决的关键,四个象限的符号特点分别是:第一象限(+,+);第二象限(-,+);第三象限(-,-);第四象限(+,-).15.若三角形三边分别为6,8,10,那么它最长边上的中线长是.【专题】计算题.【分析】根据勾股定理的逆定理可得三角形是直角三角形,再根据直角三角形斜边上的中线等于斜边的一半即可求解.【解答】解:∵三角形三边分别为6,8,10,62+82=102∴该三角形为直角三角形.∵最长边即斜边为10,∴斜边上的中线长为:5.故答案为:5.【点评】此题主要考查学生对勾股定理的逆定理及直角三角形斜边上的中线的性质的理解及运用.16.如图,在▱ABCD中,BE、CE分别平分∠ABC、∠BCD,E在AD上,BE=12cm,CE=5cm.则▱ABCD的周长为,面积为.【分析】根据角平分线的定义和平行线的性质得到等腰三角形ABE和等腰三角形CDE和直角三角形BCE.根据直角三角形的勾股定理得到BC=13.根据从而求得该平行四边形的周长;根据直角三角形的面积可以求得平行四边形BC边上的高.【解答】解:∵BE、CE分别平分∠ABC、∠BCD,∵AD∥BC,AB∥CD,∴∠2=∠3,∠BCE=∠CED,∠ABC+∠BCD=180°,∴∠1=∠2,∠DCE=∠CED,∠3+∠BCE=90°,∴AB=AE,CD=DE,∠BEC=90°,在直角三角形BCE中,根据勾股定理得:BC=13cm,根据平行四边形的对边相等,得到:AB=CD,AD=BC,∴平行四边形的周长等于:AB+BC+CD+AD=6.5+13+6.5+13=39cm.故答案为:39cm,60cm2.【点评】本题主要考查了平行四边形的性质,在平行四边形中,当出现角平分线时,一般可构造等腰三角形,进而利用等腰三角形的性质解题.17.如图,直线AB的解析式为y=x+4,与y轴交于点A,与x轴交于点B,点P为线段AB上的一个动点,作PE⊥y轴于点E,PF⊥x轴于点F,连接EF,则线段EF的最小值为.【专题】函数及其图象.【分析】由矩形的性质可知EF=OP,可知当OP最小时,则EF有最小值,由垂线段最短可知当OP ⊥AB时,满足条件,由条件可证明△AOB∽△OPB,利用相似三角形的性质可求得OP的长,即可求得EF的最小值.【解答】∴A(0,4),B(-3,0).∵PE⊥y轴于点E,PF⊥x轴于点F,∴四边形PEOF是矩形,且EF=OP,∵O为定点,P在线段上AB运动,∴当OP⊥AB时,OP取得最小值,此时EF最小,∵A(0,4),点B坐标为(-3,0),∴OA=4,O B=3,故答案为125【点评】本题考查的是一次函数图象上点的坐标特点,熟知坐标轴上点的坐标特点是解答此题的关键.18.如图,某小区有一块直角三角形绿地,量得直角边AC=4m,BC=3m,考虑到这块绿地周围还有足够多的空余部分,于是打算将这块绿地扩充成等腰三角形,且扩充部分是以AC为一条直角边的直角三角形,则扩充的方案共有种.【专题】分类讨论.【分析】由于扩充所得的等腰三角形腰和底不确定,若设扩充所得的三角形是△ABD,则应分为①AB=AD,②AB=BD,③AD=BD,3种情况进行讨论.【解答】解:如图所示:故答案是:3.【点评】此题主要考查了等腰三角形的性质以及勾股定理的应用,关键是正确进行分类讨论.三、解答题(本大题共8小题,满分66分.解答应写出文字说明、证明过程或演算步骤.)19.(7分)如图,点E、F在线段BD上,AF⊥BD,CE⊥BD,AD=CB,DE=BF,求证:AF=CE.【专题】常规题型.【分析】首先证明BE=DF,然后依据HL可证明Rt△ADF≌Rt△CBE,从而可得到AF=CE.【解答】证明:∵DE=BF,∴DE+EF=BF+EF,即DF=BE.∴Rt△ADF≌Rt△CBE.∴AF=CE.【点评】本题主要考查的是全等三角形的性质和判定,熟练掌握全等三角形的性质和判定定理是解题的关键.20.(8分)直线AB与x轴交于点A(1,0),与y轴交于点B(0,﹣2).(1)求直线AB的表达式.(2)若直线AB上有一动点C,且S△BOC=2,求点C的坐标.【专题】常规题型.【分析】(1)根据待定系数法得出解析式即可;(2)设C点坐标,根据三角形面积公式解答即可.【解答】解:(1)设直线解析式为y=kx+b,∵直线AB与x轴交于点A(1,0),与y轴交于点B(0,-2).【点评】本题考查了一次函数图象上点的坐标特征:一次函数图象上点的坐标满足其解析式.21.(8分)如图,在平面直角坐标系中,网格中每一个小正方形的边长为1个单位长度,(1)请在所给的网格内画出以线段AB、BC为边的菱形,并写出点D的坐标.(2)线段BC的长为,菱形ABCD的面积等于【专题】作图题;网格型.【分析】(1)菱形要求四边相等,根据AB,BC的位置及长度可确定D点位置及坐标,如图所示;(2)在网格中,运用勾股定理求BC、对角线AC,BD的长度,再计算面积.【解答】(1)解:正确画出图(4分)D(-2,1)(5分)【点评】本题考查了菱形的性质,图形画法,菱形面积的求法及勾股定理的运用,需要形数结合,培养学生动手能力.22.(8分)为了庆祝即将到来的2018年国庆节,某校举行了书法比赛,赛后整理了参赛同学的成绩,并制作了如下两幅不完整的统计图表请根据以上图表提供的信息,解答下列问题:(1)这次共调查了名学生;表中的数m= ,n= .(2)请补全频数直方图;(3)若绘制扇形统计图,则分数段60≤x<70所对应的扇形的圆心角的度数是.【专题】统计的应用.【分析】(2)求出70~80的人数,画出直方图即可;(3)根据圆心角=360°×百分比即可解决问题;【解答】解:(1)30÷0.15=200,m=200×0.45=90,故答案为200,90,0.30.(2)频数直方图如图所示,故答案为54°【点评】本题考查了数据的分析,以及读频数分布直方图的能力和利用统计图获取信息的能力.利用统计图获取信息时,必须认真观察、分析、研究统计图,才能作出正确的判断和解决问题.23.(8分)某产品每件的成本为10元,在试销阶段每件产品的日销售价x(元)与产品的日销售量y(件)之间的关系如下表:(1)观察与猜想y与x的函数关系,并说明理由.(2)求日销售价定为30元时每日的销售利润.【专题】常规题型.【分析】(1)设y与x的函数关系式为y=kx+b,任取两对,利用待定系数法求函数解析式;(2)将x=30代入求得y的值,然后依据销售利润=每件的利润×销售件数即可.【解答】解:(1)设经过点(15,25)(20,20)的函数关系式为y=kx+b.∴y=-x+40.∴y与x的函数关系式是y=-x+40;(2)当x=30时,y=-30+40=10,每日的销售利润=(30-10)×10=200元.【点评】本题主要考查待定系数法求一次函数解析式,熟练掌握待定系数法求一次函数解析式的步骤和方法是解题的关键.24.(8分)如图,点B、C分别在直线y=2x和y=kx上,点A、D是x轴上的两点,且四边形ABCD是正方形.(1)若正方形ABCD的边长为2,则点B、C的坐标分别为.(2)若正方形ABCD的边长为a,求k的值.【专题】一次函数及其应用.【分析】(1)根据正方形的边长,运用正方形的性质表示出点B、C的坐标;(2)根据正方形的边长,运用正方形的性质表示出C点的坐标,再将C的坐标代入函数中,从而可求得k的值.【解答】解:(1)∵正方形边长为2,∴AB=2,在直线y=2x中,当y=2时,x=1,∴B(1,2),∵OA=1,OD=1+2=3,∴C(3,2)故答案为:(1,2),(3,2);【点评】本题主要考查正方形的性质与正比例函数的综合运用,灵活运用正方形的性质是解题的关键.25.(9分)如图,在△ABC中,∠ACB=90°,点D,E分别是边BC,AB上的中点,连接DE并延长至点F,使EF=2DE,连接CE、AF.(1)证明:AF=CE;(2)当∠B=30°时,试判断四边形ACEF的形状并说明理由.【分析】(1)由三角形中位线定理得出DE∥AC,AC=2DE,求出EF∥AC,EF=AC,得出四边形ACEF是平行四边形,即可得出AF=CE;(2)由直角三角形的性质得出证出△AEC是等边三角形,得出AC=CE,即可得出结论.【解答】(1)证明:∵点D,E分别是边BC,AB上的中点,∴DE∥AC,AC=2DE,∵EF=2DE,∴EF∥AC,EF=AC,∴四边形ACEF是平行四边形,∴AF=CE;(2)解:当∠B=30°时,四边形ACEF是菱形;理由如下:∵∠ACB=90°,∠B=30°,∴△AEC是等边三角形,∴AC=CE,又∵四边形ACEF是平行四边形,∴四边形ACEF是菱形.【点评】本题考查了平行四边形的判定与性质、菱形的判定、三角形中位线定理、直角三角形斜边上的中线性质、等边三角形的判定与性质;熟练掌握平行四边形的判定与性质,证明三角形是等边三角形是解决问题的关键.26.(10分)如图1,在正方形ABCD中,点E是AB上一点,点F是AD延长线上一点,且DF=BE,连接CE、CF.(1)求证:CE=CF.(2)在图1中,若点G在AD上,且∠GCE=45°,则GE=BE+GD成立吗?为什么?(3)根据你所学的知识,运用(1)、(2)解答中积累的经验,完成下列各题,如图2,在四边形ABCD。
2019-2020学年广东揭阳市普宁市八年级第二学期期末数学试卷一、选择题(共10小题).1.下列图案中是中心对称图形但不是轴对称图形的是()A.B.C.D.2.下列各式中,从左边到右边的变形是因式分解的是()A.(x+2y)(x﹣2y)=x2﹣4y2B.x2y﹣xy2﹣1=xy(x﹣y)﹣1C.a2﹣4ab+4b2=(a﹣2b)2D.ax+ay+a=a(x+y)3.不等式﹣2x+6>0的解集在数轴上表示正确的是()A.B.C.D.4.如图,在△ABC中,AB=3,BC=6,AC=4,点D,E分别是边AB,CB的中点,那么DE的长为()A.1.5B.2C.3D.45.如图是“一带一路”示意图,若记北京为A地,莫斯科为B地,雅典为C地,分别连接AB、AC、BC,形成一个三角形.若想建立一个货物中转仓,使其到A、B、C三地的距离相等,则中转仓的位置应选在()A.△ABC三条中线的交点处B.△ABC三条高所在直线的交点处C.△ABC三条角平分线的交点处D.△ABC三边的垂直平分线的交点处6.如图,▱ABCD中,点O为对角线AC、BD的交点,下列结论错误的是()A.AC=BD B.AB∥DC C.BO=DO D.∠ABC=∠CDA 7.对于实数a、b、c中,给出下列命题:①若a<b,则a﹣c<b﹣c;②若ab>c,则a>;③若﹣3a>2a,则a<0;④若a>b,则ac2>bc2.其中真命题有()A.①②B.①③C.②④D.③④8.下列各分式中,最简分式是()A.B.C.D.9.关于x的方程无解,则m的值为()A.﹣5B.﹣8C.﹣2D.510.如图,在△ABC中,∠B=30°,∠C=45°,AD平分∠BAC交BC于点D,DE⊥AB,垂足为E.若DE=1,则BC的长为()A.3B.+C.+2D.2+二、填空题(共7小题.)11.分解因式:2x3﹣18x=.12.分式方程+=1的解为.13.若一个正多边形的每一个外角都是30°,则这个正多边形的内角和等于度.14.用反证法证明“三角形的三个内角中,至少有一个大于或等于60°”时,应先假设.15.如图,将等腰直角△ABC沿BC方向平移得到△A1B1C1.若BC=3,△ABC与△A1B1C1重叠部分面积为2,则BB1=.16.如图,函数y1=﹣2x与y2=ax+3的图象相交于点A(m,2),则关于x的不等式﹣2x ≤ax+3的解集是.17.如图,在直角坐标系中,已知点A(﹣3,0),B(0,4),对△OAB连续作旋转变换,依次得到△1、△2、△3、△4…,则△2020的直角顶点的坐标为.三、解答题(一)(本大题3小题,每小题6分,共18分.)18.解不等式组,并把解集在数轴上表示出来.19.先化简,再求值:•﹣(+1),其中x=﹣6.20.在△ABC中,AB=AC,∠BAC=120°,AB边的垂直平分线交AB于D,交BC于E,求证:BE=CE.四、解答题(二)(本大题3小题,每小题8分,共24分.)21.已知平行四边形ABCD.(1)尺规作图:作∠BAD的平分线交直线BC于点E,交DC延长线于点F(要求:尺规作图,保留作图痕迹,不写作法);(2)在(1)的条件下,求证:CE=CF.22.某学习平台为提高学生的积极性,推出学习积分,所得积分可兑换礼品.某品牌的圆珠笔每支需要40积分,笔芯每支需要10积分.现积分超市推出以下两种活动:活动一:按兑换物品所需的积分打八折扣积分;活动二:兑换一支圆珠笔送两支笔芯.王叔叔有1000积分,想兑换这种圆珠笔10支,笔芯x支(x≥20).(1)请你分别写出活动一、活动二兑换所需的积分y1,y2与笔芯x(支)之间的函数关系式;(2)若只能选择一种兑换活动,请你帮助王叔叔判断选择哪种活动更优惠.23.如图,等边△ABC中,D、E分别为AB、AC的中点,延长BC至点F,使CF=BC,连接CD和EF.(1)求证:四边形DCFE是平行四边形;(2)求∠F的度数.五、解答题(三)(本大题2小题,每小题10分,共20分.)24.为防控“新型冠状病毒”,某超市分别用1600元、6000元购进两批防护口罩,第二批防护口罩每个进货价格比第一批贵2元,购进的数量是第一批的3倍.(1)第一批口罩进货单价多少元?(2)若这两次购进防护口罩过程中所产生其他费用不少于600元,那么该超市这两批防护口罩的平均购进单价至少为多少元?25.将▱OABC放在平面直角坐标系中,O为原点,点C(﹣6,0),点A在第一象限,OA =2,∠A=60°,AB与y轴交于点N.(1)如图①,求点A的坐标;(2)如图②,将平行四边形OABC绕点O逆时针旋转得到平行四边形OA′B′C',当点A的对应点A′落在y轴正半轴上时,求旋转角及点B的对应点B′的坐标;(3)将平行四边形OABC绕点A旋转得到平行四边形DAEF,使点B的对应点E落在直线OA上,请在图③中画出旋转后的图形,并直接写出OE、AB、BC之间的关系.参考答案一、选择题(本大题共10小题,每小题3分,共30分.)1.下列图案中是中心对称图形但不是轴对称图形的是()A.B.C.D.【分析】根据轴对称图形与中心对称图形的概念求解.如果一个图形沿着一条直线对折后两部分完全重合,这样的图形叫做轴对称图形,这条直线叫做对称轴.如果一个图形绕某一点旋转180°后能够与自身重合,那么这个图形就叫做中心对称图形,这个点叫做对称中心.解:A、是中心对称图形,也是轴对称图形,不符合题意;B、不是中心对称图形,是轴对称图形,不符合题意;C、是中心对称图形,不是轴对称图形,符合题意;D、不是轴对称图形,也不是中心对称图形,不符合题意.故选:C.2.下列各式中,从左边到右边的变形是因式分解的是()A.(x+2y)(x﹣2y)=x2﹣4y2B.x2y﹣xy2﹣1=xy(x﹣y)﹣1C.a2﹣4ab+4b2=(a﹣2b)2D.ax+ay+a=a(x+y)【分析】根据因式分解的意义:把一个多项式化成几个整式积的形式,左边是一个多项式,右边是整式的积的形式,进行判断即可.解:根据因式分解的意义:把一个多项式化成几个整式积的形式,A、右边不是积的形式,故本选项错误;B、右边最后不是积的形式,故本选项错误;C、右边是(a﹣2b)(a﹣2b),故本选项正确;D、结果是a(x+y+1),故本选项错误.故选:C.3.不等式﹣2x+6>0的解集在数轴上表示正确的是()A.B.C.D.【分析】不等式﹣2x+6>0的解集是x<3,小于应向左画,且不包括3时,应用空心圆表示,不能用实心的原点表示3这一点,据此可求得不等式的解以及解集再数轴上的表示.解:不等式移项,得﹣2x>﹣6,系数化1,得x<3;∵不包括3时,应用圈表示,不能用实心的原点表示3这一点答案;故选:B.4.如图,在△ABC中,AB=3,BC=6,AC=4,点D,E分别是边AB,CB的中点,那么DE的长为()A.1.5B.2C.3D.4【分析】根据三角形中位线定理解答即可.解:∵点D,E分别是边AB,CB的中点,∴DE=AC=2,故选:B.5.如图是“一带一路”示意图,若记北京为A地,莫斯科为B地,雅典为C地,分别连接AB、AC、BC,形成一个三角形.若想建立一个货物中转仓,使其到A、B、C三地的距离相等,则中转仓的位置应选在()A.△ABC三条中线的交点处B.△ABC三条高所在直线的交点处C.△ABC三条角平分线的交点处D.△ABC三边的垂直平分线的交点处【分析】根据题意和线段垂直平分线的性质,可以解答本题.解:∵到A、B、C三地的距离相等,∴中转仓的位置应选在△ABC三边的垂直平分线的交点处,故选:D.6.如图,▱ABCD中,点O为对角线AC、BD的交点,下列结论错误的是()A.AC=BD B.AB∥DC C.BO=DO D.∠ABC=∠CDA 【分析】根据平行四边形的性质即可判断.解:∵四边形ABCD是平行四边形,∴AB∥CD,OB=OD,∠ABC=∠ADC,∴B、C、D正确,故选:A.7.对于实数a、b、c中,给出下列命题:①若a<b,则a﹣c<b﹣c;②若ab>c,则a>;③若﹣3a>2a,则a<0;④若a>b,则ac2>bc2.其中真命题有()A.①②B.①③C.②④D.③④【分析】根据不等式的性质对各命题的真假进行判断.解:若a<b,则a﹣c<b﹣c,所以①为真命题;若ab>c,当b>0时,则a>,所以②为假命题;若﹣3a>2a,则a<0,所以③为真命题;若a>b,当c≠0时,则ac2>bc2.所以④为假命题.故选:B.8.下列各分式中,最简分式是()A.B.C.D.【分析】最简分式是指分子和分母没有公因式.解:(A)原式=,故A不是最简分式;(B)原式==,故B不是最简分式;(C)原式=,故C是最简分式;(D)原式==,故D不是最简分式;故选:C.9.关于x的方程无解,则m的值为()A.﹣5B.﹣8C.﹣2D.5【分析】分式方程去分母转化为整式方程,由分式方程无解得到x+1=0,求出x的值,代入整式方程求出m的值即可.解:去分母得:3x﹣2=2x+2+m,由分式方程无解,得到x+1=0,即x=﹣1,代入整式方程得:﹣5=﹣2+2+m,解得:m=﹣5,故选:A.10.如图,在△ABC中,∠B=30°,∠C=45°,AD平分∠BAC交BC于点D,DE⊥AB,垂足为E.若DE=1,则BC的长为()A.3B.+C.+2D.2+【分析】如图.过点D作DF⊥AC于F.首先证明DE=DF=1,解直角三角形分别求出BD,DC即可解决问题.解:如图.过点D作DF⊥AC于F.∵AD平分∠BAC,DE⊥AB,DF⊥AC,∴DE=DF=1,在Rt△BED中,∵∠BED=90°,∠B=30°,∴BD=2DE=2,在Rt△DFC中,∵∠DFC=90°,∠C=45°,∴CD=DF=,∴BC=BD+CD=2+,故选:D.二、填空题(本大题共7小题,每小题4分,共28分.)11.分解因式:2x3﹣18x=2x(x+3)(x﹣3).【分析】先提取公因式2x,再对余下的多项式利用平方差公式继续分解.解:原式=2x(x2﹣9)=2x(x+3)(x﹣3),故答案为:2x(x+3)(x﹣3).12.分式方程+=1的解为x=1.【分析】根据解分式方程的步骤,即可解答.解:方程两边都乘以x﹣2,得:3﹣2x﹣2=x﹣2,解得:x=1,检验:当x=1时,x﹣2=1﹣2=﹣1≠0,所以分式方程的解为x=1,故答案为:x=1.13.若一个正多边形的每一个外角都是30°,则这个正多边形的内角和等于1800度.【分析】根据任何多边形的外角和都是360°,利用360除以外角的度数就可以求出外角和中外角的个数,即多边形的边数.n边形的内角和是(n﹣2)•180°,把多边形的边数代入公式,就得到多边形的内角和.解:多边形的边数:360°÷30°=12,正多边形的内角和:(12﹣2)•180°=1800°.14.用反证法证明“三角形的三个内角中,至少有一个大于或等于60°”时,应先假设三角形的三个内角都小于60°.【分析】熟记反证法的步骤,直接填空即可.解:用反证法证明“三角形的三个内角中,至少有一个大于或等于60°”时,应先假设三角形的三个内角都小于60°.15.如图,将等腰直角△ABC沿BC方向平移得到△A1B1C1.若BC=3,△ABC与△A1B1C1重叠部分面积为2,则BB1=.【分析】重叠部分为等腰直角三角形,设B1C=2x,则B1C边上的高为x,根据重叠部分的面积列方程求x,再求BB1.解:设B1C=2x,根据等腰三角形的性质可知,重叠部分为等腰直角三角形,则B1C边上的高为x,∴×x×2x=2,解得x=(舍去负值),∴B1C=2,∴BB1=BC﹣B1C=.故答案为.16.如图,函数y1=﹣2x与y2=ax+3的图象相交于点A(m,2),则关于x的不等式﹣2x ≤ax+3的解集是x≥﹣1.【分析】首先利用待定系数法求出A点坐标,再以交点为分界,结合图象写出不等式﹣2x≤ax+3的解集即可.解:∵函数y1=﹣2x过点A(m,2),∴﹣2m=2,解得:m=﹣1,∴A(﹣1,2),∴不等式﹣2x<ax+3的解集为x≥﹣1.故答案为:x≥﹣1.17.如图,在直角坐标系中,已知点A(﹣3,0),B(0,4),对△OAB连续作旋转变换,依次得到△1、△2、△3、△4…,则△2020的直角顶点的坐标为(8076,0).【分析】根据勾股定理列式求出AB的长,再根据第四个三角形与第一个三角形的位置相同可知每三个三角形为一个循环组依次循环,然后求出一个循环组旋转前进的长度,再用2020除以3,根据商为673余数为1,可知第20,20个三角形的直角顶点为循环组的最后一个三角形的顶点,求出即可.解:∵点A(﹣3,0)、B(0,4),∴AB==5,由图可知,每三个三角形为一个循环组依次循环,一个循环组前进的长度为:4+5+3=12,∵2020÷3=673…1,∴△2020的直角顶点是第673个循环组的最后一个三角形的直角顶点,∵673×12=8076,∴△2019的直角顶点的坐标为(8076,0).故答案为(8076,0).三、解答题(一)(本大题3小题,每小题6分,共18分.)18.解不等式组,并把解集在数轴上表示出来.【分析】分别求出各不等式的解集,再求出其公共解集,并把解集在数轴上表示出来即可.解:,由①得x≤1,由②得x>﹣2,故不等式组的就为﹣2<x≤1.把解集在数轴上表示出来为:19.先化简,再求值:•﹣(+1),其中x=﹣6.【分析】根据分式的加减法和乘法可以化简题目中的式子,然后将x的值代入化简后的式子即可解答本题.解:•﹣(+1)===,当x=﹣6时,原式==.20.在△ABC中,AB=AC,∠BAC=120°,AB边的垂直平分线交AB于D,交BC于E,求证:BE=CE.【分析】先根据等腰三角形性质和三角形内角和定理求出∠B=∠C=30°,根据线段垂直平分线性质和等腰三角形性质求出∠BAD=30°,根据含30度角的直角三角形性质解答即可.【解答】证明:∵AB=AC,∠BAC=120°∴∠B=∠C=30°,又∵DE垂直平分AB∴EA=EB∴∠EAB=∠B=30°∴∠CAE=120°﹣30°=90°,∴在Rt△AEC中∵∠C=30°,∴AE=CE∴BE=CE.四、解答题(二)(本大题3小题,每小题8分,共24分.)21.已知平行四边形ABCD.(1)尺规作图:作∠BAD的平分线交直线BC于点E,交DC延长线于点F(要求:尺规作图,保留作图痕迹,不写作法);(2)在(1)的条件下,求证:CE=CF.【分析】(1)作∠BAD的平分线交直线BC于点E,交DC延长线于点F即可;(2)先根据平行四边形的性质得出AB∥DC,AD∥BC,故∠1=∠2,∠3=∠4.再由AF平分∠BAD得出∠1=∠3,故可得出∠2=∠4,据此可得出结论.解:(1)如图所示,AF即为所求;(2)∵四边形ABCD是平行四边形,∴AB∥DC,AD∥BC,∴∠1=∠2,∠3=∠4.∵AF平分∠BAD,∴∠1=∠3,∴∠2=∠4,∴CE=CF.22.某学习平台为提高学生的积极性,推出学习积分,所得积分可兑换礼品.某品牌的圆珠笔每支需要40积分,笔芯每支需要10积分.现积分超市推出以下两种活动:活动一:按兑换物品所需的积分打八折扣积分;活动二:兑换一支圆珠笔送两支笔芯.王叔叔有1000积分,想兑换这种圆珠笔10支,笔芯x支(x≥20).(1)请你分别写出活动一、活动二兑换所需的积分y1,y2与笔芯x(支)之间的函数关系式;(2)若只能选择一种兑换活动,请你帮助王叔叔判断选择哪种活动更优惠.【分析】(1)根据题意可以得到两种活动下兑换所需的积分y1,y2与笔芯x(支)之间的函数关系式;(2)再利用分类讨论的方法即可得到王叔叔选择哪种活动更优惠.解:由题意可得,y1=(40×10+10x)×0.8=8x+320,y2=40×10+10(x﹣10×2)=10x+200;(2)当y1=y2时,8x+320=10x+200,得x=60,当y1<y2时,8x+320<10x+200,得x>60,当y1>y2时,8x+320>10x+200,得x<60,当y1=1000时,8x+320=1000,得x=85,当y2=1000时,10x+200=1000,得x=80,∴当x=60时,选择活动一和活动二一样优惠,当60<x≤85时,选择活动一更优惠,当20≤x<60时,选择活动二更优惠.23.如图,等边△ABC中,D、E分别为AB、AC的中点,延长BC至点F,使CF=BC,连接CD和EF.(1)求证:四边形DCFE是平行四边形;(2)求∠F的度数.【分析】(1)直接利用三角形中位线定理得出四边形DCFE是平行四边形即可;(2)由平行四边形的性质得出CD∥FE,则∠F=∠BCD,由等边三角形的性质得出∠BCD=30°,即可得出∠F=30°.【解答】(1)证明:∵D、E分别为AB、AC的中点,∴DE为△ABC的中位线,∴DE∥BC,DE=BC,∵CF=BC,∴DE=CF,∵DE∥CF,∴四边形DCFE是平行四边形,(2)解:由(1)得:四边形DCFE是平行四边形,∴CD∥FE,∴∠F=∠BCD,∵△ABC是等边三角形,D是AB的中点,∴∠ACB=60°,CD平分∠ACB,∴∠BCD=30°,∴∠F=30°.五、解答题(三)(本大题2小题,每小题10分,共20分.)24.为防控“新型冠状病毒”,某超市分别用1600元、6000元购进两批防护口罩,第二批防护口罩每个进货价格比第一批贵2元,购进的数量是第一批的3倍.(1)第一批口罩进货单价多少元?(2)若这两次购进防护口罩过程中所产生其他费用不少于600元,那么该超市这两批防护口罩的平均购进单价至少为多少元?【分析】(1)设第一批口罩进货单价为x元,则第二批口罩进货单价为(x+2)元,根据数量=总价÷单价结合第二批购进的数量是第一批的3倍,即可得出关于x的分式方程,解之经检验后即可得出结论;(2)根据数量=总价÷单价可求出第一批购进的数量,结合第二批购进的数量是第一批的3倍可求出第二批购进的数量,设该超市这两批防护口罩的平均购进单价为y元,根据总价=单价×数量结合这两次购进防护口罩过程中所产生其他费用不少于600元,即可得出关于y的一元一次不等式,解之取其中的最小值即可得出结论.解:(1)设第一批口罩进货单价为x元,则第二批口罩进货单价为(x+2)元,依题意,得:=3×,解得:x=8,经检验,x=8是原方程的解,且符合题意.答:第一批口罩进货单价为8元.(2)第一批购进数量为1600÷8=200(个),第二批购进数量为200×3=600(个).设该超市这两批防护口罩的平均购进单价为y元,依题意,得:(200+600)y≥1600+6000+600,解得:y≥10.25.答:该超市这两批防护口罩的平均购进单价至少为10.25元.25.将▱OABC放在平面直角坐标系中,O为原点,点C(﹣6,0),点A在第一象限,OA =2,∠A=60°,AB与y轴交于点N.(1)如图①,求点A的坐标;(2)如图②,将平行四边形OABC绕点O逆时针旋转得到平行四边形OA′B′C',当点A的对应点A′落在y轴正半轴上时,求旋转角及点B的对应点B′的坐标;(3)将平行四边形OABC绕点A旋转得到平行四边形DAEF,使点B的对应点E落在直线OA上,请在图③中画出旋转后的图形,并直接写出OE、AB、BC之间的关系.【分析】(1)利用含30度角的直角三角形的性质求出AN,ON即可得出结论;(2)先求出A'B'=6,∠OA'B'=60°,进而利用含30度角的直角三角形的性质求出B'E,AE即可得出结论;(3)分顺时针旋转和逆时针旋转两种情况,由旋转的性质可求解.解:(1)如图①,在Rt△AON中,∠A=60°,∴∠AON=30°,∵OA=2,∴AN=1,ON=,∴A(1,);(2)如图②,过点B'作B'E⊥y轴于E,∵C(﹣6,0),∴OC=6,∵四边形ABCO是平行四边形,∴AB=OC=6,当点A的对应点A′落在y轴正半轴上时,旋转角为∠AOA'=30°,由旋转知,A'B'=AB=6,OA'=OA=2,∠OA'B=∠A=60°,∴∠A'B'E=30°,∴A'E=3,B'E=3,∴OE=A'E﹣OA'=3﹣2=1,∴B'(﹣3,﹣1);(3)如图3,①当顺时针旋转时,∠BAE=120°,∵将平行四边形OABC绕点A旋转得到平行四边形DAEF,∴AB=AE,∵四边形ABCO是平行四边形,∴BC=OA,∴OE=OA+AE=BC+AB;①当逆时针旋转时,∠BAE'=60°,∵将平行四边形OABC绕点A旋转得到平行四边形DAE'F',∴AB=AE',∵四边形ABCO是平行四边形,∴BC=OA,∴OE=AE'﹣AO=AB﹣BC;综上所述:OE=BC+AB或OE=AB﹣BC.。
广东省深圳市宝安区八年级上学期期末数学试卷一、选择题(12*3=36分)1.下列各数中,无理数的是()A.B.C.D.3.14152.在军事演习中,利用雷达跟踪某一“敌方”目标,需要确定该目标的()A.方向 B.距离 C.大小 D.方向与距离3.一次函数的图象不经过的象限是()A.第一象限 B.第二象限 C.第三象限 D.第四象限4.在直角坐标系中,点A(a,3)与点B(﹣4,b)关于y轴对称,则a+b的值是()A.﹣7 B.﹣1 C.1 D.75.已知x=1,y=2是方程ax+y=5的一组解,则a的值是()A.﹣3 B.﹣2 C.3 D.76.如图所示:某商场有一段楼梯,高BC=6m,斜边AC是10米,如果在楼梯上铺上地毯,那么需要地毯的长度是()A.8m B.10m C.14m D.24m7.某特警队为了选拔“神枪手”,甲、乙、丙、丁四人进人射击比赛,每人10次射击成绩的平均数都是9.8环,方差分别为S甲2=0.63,S乙2=0.51,S丙2=0.42,S丁2=0.45,则四人中成绩最稳定的是()A.甲B.乙C.丙D.丁8.如图,AB∥CD,EF与AB、CD分别相交于点E、F,EP⊥EF,与∠EFD的平分线FP相交于点P,且∠BEP=40°,则∠EPF的度数是()A.25°B.65°C.75°D.85°9.下列命题中,假命题的是()A.同旁内角相等,两直线平行B.等腰三角形的两个底角相等C.同角(等角)的补角相等D.三角形的一个外角大于任何一个与它不相邻的内角10.2015年亚洲杯足球冠军联赛恒大队广州主场,小李在网上预订了小组赛和淘汰赛两个阶段的球票共10张,总价为5600元.其中小组赛球票每张500元,淘汰赛每张800元,问小李预定了小组赛和淘汰赛的球票各多少张?设小李预定了小组赛球票x张,淘汰赛球票y张,可列方程组()A.B.C.D.11.如图,长方形ABCD的边AB=1,BC=2,AP=AC,则点P所表示的数是()A.5 B.﹣2.5 C.D.12.一辆汽车在行驶过程中,路程y(千米)与时间x(小时)之间的函数关系如图4所示,已知开始1小时的行驶速度是60千米/时,那么1小时以后的速度是()A.70千米/时B.75千米/时C.105千米/时D.210千米/时二、填空题(3*4=12分)13.9的算术平方根是.14.如图,已知函数y=ax+b和y=kx的图象交于点P,根据图象可得,二元一次方程组的根是.15.去年“双11”购物节的快递量暴增,某快递公司要在街道旁设立一个派送还点,向A、B两居民区投送快递,派送点应该设在什么地方,才能使它到A、B的距离之和最短?快递员根据实际情况,以街道为x 轴,建立了如图所示的平面直角坐标系,测得坐标A(﹣2,2)、B(6,4),则派送点的坐标是.16.如图,△ABC中,AB=6,BC=8,AC=10,把△ABC沿AP折叠,使边AB与AC重合,点B落在AC 边上的B′处,则折痕AP的长等于.三、解答题17.计算(1)(2).18.(1)(2).19.迎接学校“元旦”文艺汇演,2015~2016学年度八年级某班的全体同学捐款购买了表演道具,经过充分的排练准备,最终获得了一等奖.班长对全体同学的捐款情况绘制成下表:捐款金额5元10元15元20元捐款人数10人15人5人由于填表时不小心把墨水滴在了统计表上,致使表中数据不完整,但知道捐款金额为10元的人数为全班人数的30%,结合上表回答下列问题:(1)该班共有名同学;(2)该班同学捐款金额的众数是元,中位数是元.(3)如果把该班同学的捐款情况绘制成扇形统计图,则捐款金额为20元的人数所对的扇形圆心角为度.20.如图,四边形ABCD中,点F是BC中点,连接AF并延长,交于DC的延长线于点E,且∠1=∠2.(1)求证:△ABF≌△ECF;(2)若AD∥BC,∠B=125°,求∠D的度数.21.列方程解应用题:小张第一次在商场购买A、B两种商品各一件,花费60元;第二次购买时,发现两种商品的价格有了调整:A商品涨价20%,B商品降价10%,购买A、B两种商品各一件,同样花费60元.求A、B两种商品原来的价格.22.某专营商场销售一种品牌电脑,每台电脑的进货价是0.4万元.图中的直线l1表示该品牌电脑一天的销售收入y1(万元)与销售量x(台)的关系,已知商场每天的房租、水电、工资等固定支出为3万元.(1)直线l1对应的函数表达式是,每台电脑的销售价是万元;(2)写出商场一天的总成本y2(万元)与销售量x(台)之间的函数表达式:;(3)在图的直角坐标系中画出第(2)小题的图象(标上l2);(4)通过计算说明:每天销售量达到多少台时,商场可以盈利.23.如图,长方形AOBC在直角坐标系中,点A在y轴上,点B在x轴上,已知点C的坐标是(8,4).(1)求对角线AB所在直线的函数关系式;(2)对角线AB的垂直平分线MN交x轴于点M,连接AM,求线段AM的长;(3)若点P是直线AB上的一个动点,当△PAM的面积与长方形OABC的面积相等时,求点P的坐标.广东省深圳市宝安区八年级上学期期末数学试卷参考答案一、选择题(12*3=36分)1.下列各数中,无理数的是()A.B.C.D.3.1415【考点】无理数.【分析】无理数就是无限不循环小数.理解无理数的概念,一定要同时理解有理数的概念,有理数是整数与分数的统称.即有限小数和无限循环小数是有理数,而无限不循环小数是无理数.由此即可判定选择项.【解答】解:A、是无理数,选项正确;B、=5是整数,是有理数,选项错误;C、是分数,是有理数,选项错误;D、3.1415是有限小数,是有理数,选项错误.故选A.【点评】此题主要考查了无理数的定义,其中初中范围内学习的无理数有:π,2π等;开方开不尽的数;以及像0.1010010001…,等有这样规律的数.2.在军事演习中,利用雷达跟踪某一“敌方”目标,需要确定该目标的()A.方向 B.距离 C.大小 D.方向与距离【考点】坐标确定位置.【分析】直接利用点的坐标确定位置需要知道其方向与距离进而得出答案.【解答】解:利用雷达跟踪某一“敌方”目标,需要确定该目标的方向与距离.故选:D.【点评】此题主要考查了点的坐标确定位置,正确利用点的位置确定方法是解题关键.3.一次函数的图象不经过的象限是()A.第一象限 B.第二象限 C.第三象限 D.第四象限【考点】一次函数图象与系数的关系.【分析】由k=>0,可知图象经过第一、三象限,又b=﹣1<0,直线与y轴负半轴相交,图象经过第四象限,由此得解即可.【解答】解:∵y=x﹣1,∴k=>0,图象经过第一、三象限,b=﹣1<0,直线与y轴负半轴相交,图象经过第四象限,即一次函数y=x﹣1的图象经过第一、三、四象限,不经过第二象限.故选B.【点评】本题主要考查一次函数图象在坐标平面内的位置与k、b的关系.解答本题注意理解:直线y=kx+b 所在的位置与k、b的符号有直接的关系.k>0时,直线必经过一、三象限.k<0时,直线必经过二、四象限.b>0时,直线与y轴正半轴相交.b=0时,直线过原点;b<0时,直线与y轴负半轴相交.4.在直角坐标系中,点A(a,3)与点B(﹣4,b)关于y轴对称,则a+b的值是()A.﹣7 B.﹣1 C.1 D.7【考点】关于x轴、y轴对称的点的坐标.【分析】根据关于y轴对称的点,纵坐标相同,横坐标互为相反数解答即可.【解答】解:由题意得,a=4,b=3,则a+b=7,故选:D.【点评】本题考查的是关于x、y轴对称点的坐标特点,关于x轴对称的点,横坐标相同,纵坐标互为相反数;关于y轴对称的点,纵坐标相同,横坐标互为相反数;关于原点对称的点,横坐标与纵坐标都互为相反数.5.已知x=1,y=2是方程ax+y=5的一组解,则a的值是()A.﹣3 B.﹣2 C.3 D.7【考点】二元一次方程的解.【分析】根据解方程解的定义,将x=1,y=2代入方程ax+y=5,即可求得a的值.【解答】解:根据题意,将x=1,y=2代入方程ax+y=5,得:a+2=5,解得:a=3,故选:C.【点评】本题考查了二元一次方程的解,要求理解什么是二元一次方程的解,并会把x,y的值代入原方程验证二元一次方程的解.6.如图所示:某商场有一段楼梯,高BC=6m,斜边AC是10米,如果在楼梯上铺上地毯,那么需要地毯的长度是()A.8m B.10m C.14m D.24m【考点】勾股定理的应用.【分析】先根据直角三角形的性质求出AB的长,再根据楼梯高为BC的高=6m,楼梯的宽的和即为AB的长,再把AB、BC的长相加即可.【解答】解:∵△ABC是直角三角形,BC=6m,AC=10m∴AB===8(m),∴如果在楼梯上铺地毯,那么至少需要地毯为AB+BC=8+6=14(米).故选:C.【点评】本题考查的是勾股定理的应用,解答此题的关键是找出楼梯的高和宽与直角三角形两直角边的等量关系7.某特警队为了选拔“神枪手”,甲、乙、丙、丁四人进人射击比赛,每人10次射击成绩的平均数都是9.8环,方差分别为S甲2=0.63,S乙2=0.51,S丙2=0.42,S丁2=0.45,则四人中成绩最稳定的是()A.甲B.乙C.丙D.丁【考点】方差.【分析】根据方差的意义可作出判断.方差是用来衡量一组数据波动大小的量,方差越小,表明这组数据分布比较集中,各数据偏离平均数越小,即波动越小,数据越稳定【解答】解:∵S甲2=0.63,S乙2=0.51,S丙2=0.42,S丁2=0.45,∴S甲2>S乙2>S2丁>S2丙,∴成绩最稳定的是丙.故选:C.【点评】本题考查方差的意义.方差是用来衡量一组数据波动大小的量,方差越大,表明这组数据偏离平均数越大,即波动越大,数据越不稳定;反之,方差越小,表明这组数据分布比较集中,各数据偏离平均数越小,即波动越小,数据越稳定.8.如图,AB∥CD,EF与AB、CD分别相交于点E、F,EP⊥EF,与∠EFD的平分线FP相交于点P,且∠BEP=40°,则∠EPF的度数是()A.25°B.65°C.75°D.85°【考点】平行线的性质.【分析】由题可直接求得∠BEF,然后根据两直线平行,同旁内角互补可知∠DFE,根据角平分线的性质可求得∠EFP,最后根据三角形内角和求出∠EPF.【解答】解:∵EP⊥EF,∴∠PEF=90°,∵∠BEP=40°,∴∠BEF=∠PEF+∠BEP=130°,∵AB∥CD,∴∠EFD=180°﹣∠BEF=50°,∵FP平分∠EFD,∴∠EFP=0.5×∠EFD=25°,∴∠P=180°﹣∠PEF﹣∠EFP=65°;故选:B.【点评】本题考查了平行线的性质、三角形内角和定理、角平分线的定义;熟记:两直线平行,同旁内角互补;求出∠EFD的度数是解决问题的突破口.9.下列命题中,假命题的是()A.同旁内角相等,两直线平行B.等腰三角形的两个底角相等C.同角(等角)的补角相等D.三角形的一个外角大于任何一个与它不相邻的内角【考点】命题与定理.【分析】利用平行线的判定、等腰三角形的性质、补角的定义及三角形的外角的性质分别判断后即可确定正确的选项.【解答】解:A、同旁内角互补,两直线平行,故错误,是假命题;B、等腰三角形的两个底角相等,正确,是真命题;C、同角(等角)的补角相等,正确,为真命题;D、三角形的一个外角大于任何一个与它不相邻的内角,正确,为真命题.故选A.【点评】本题考查了命题与定理的知识,解题的关键是能够了解平行线的判定、等腰三角形的性质、补角的定义及三角形的外角的性质,难度不大.10.2015年亚洲杯足球冠军联赛恒大队广州主场,小李在网上预订了小组赛和淘汰赛两个阶段的球票共10张,总价为5600元.其中小组赛球票每张500元,淘汰赛每张800元,问小李预定了小组赛和淘汰赛的球票各多少张?设小李预定了小组赛球票x张,淘汰赛球票y张,可列方程组()A.B.C.D.【考点】由实际问题抽象出二元一次方程组.【分析】设小李预定了小组赛和淘汰赛的球票各x张,y张,根据10张球票共5600元,列方程组求解.【解答】解:设小李预定了小组赛和淘汰赛的球票各x张,y张,由题意得,,故选C【点评】本题考查了二元一次方程组的应用,解答本题的关键是读懂题意,设出未知数,找出合适的等量关系,列方程组求解.11.如图,长方形ABCD的边AB=1,BC=2,AP=AC,则点P所表示的数是()A.5 B.﹣2.5 C.D.【考点】实数与数轴.【分析】根据勾股定理求出长方形ABCD的对角线AC的长,即为AP的长,进而求出点P所表示的数.【解答】解:∵长方形ABCD的边AB=1,BC=2,∴AC==,∴AP=AC=,∴点P所表示的数为﹣.故选D.【点评】本题考查了实数与数轴,利用勾股定理求出长方形ABCD的对角线AC的长是解题的关键.12.一辆汽车在行驶过程中,路程y(千米)与时间x(小时)之间的函数关系如图4所示,已知开始1小时的行驶速度是60千米/时,那么1小时以后的速度是()A.70千米/时B.75千米/时C.105千米/时D.210千米/时【考点】一次函数的应用.【分析】直接利用函数图象得出汽车行驶3小时一共行驶210km,再利用开始1小时的行驶速度是60千米/时,进而得出1小时后的平均速度.【解答】解:由题意可得:汽车行驶3小时一共行驶210km,则一小时后的平均速度为:(210﹣60)÷2=75(km/h),故选:B.【点评】此题主要考查了一次函数的应用,根据图象得出正确信息是解题关键.二、填空题(3*4=12分)13.9的算术平方根是3.【考点】算术平方根.【分析】9的平方根为±3,算术平方根为非负,从而得出结论.【解答】解:∵(±3)2=9,∴9的算术平方根是|±3|=3.故答案为:3.【点评】本题考查了数的算式平方根,解题的关键是牢记算术平方根为非负.14.如图,已知函数y=ax+b和y=kx的图象交于点P,根据图象可得,二元一次方程组的根是.【考点】一次函数与二元一次方程(组).【分析】由图可知:两个一次函数的交点坐标为(﹣2,﹣1);那么交点坐标同时满足两个函数的解析式,而所求的方程组正好是由两个函数的解析式所构成,因此两函数的交点坐标即为方程组的解.【解答】解:函数y=ax+b和y=kx的图象交于点P(﹣2,﹣1),即x=﹣2,y=﹣1同时满足两个一次函数的解析式.所以关于x,y的方程组的解是.故答案为:.【点评】此题考查一次函数与方程组问题,方程组的解就是使方程组中两个方程同时成立的一对未知数的值,而这一对未知数的值也同时满足两个相应的一次函数式,因此方程组的解就是两个相应的一次函数图象的交点坐标.15.去年“双11”购物节的快递量暴增,某快递公司要在街道旁设立一个派送还点,向A、B两居民区投送快递,派送点应该设在什么地方,才能使它到A、B的距离之和最短?快递员根据实际情况,以街道为x轴,建立了如图所示的平面直角坐标系,测得坐标A(﹣2,2)、B(6,4),则派送点的坐标是(,0).【考点】轴对称-最短路线问题;坐标确定位置.【分析】可先找点A关于x轴的对称点C,求得直线BC的解析式,直线BC与x轴的交点就是所求的点.【解答】解:作A关于x轴的对称点C,则C的坐标是(﹣2,﹣2).设BC的解析式是y=kx+b,则,解得:,则BC的解析式是y=x﹣.令y=0,解得:x=.则派送点的坐标是(,0).故答案是(,0).【点评】本题考查了对称的性质以及待定系数法求函数的解析式,正确确定派送点的位置是关键.16.如图,△ABC中,AB=6,BC=8,AC=10,把△ABC沿AP折叠,使边AB与AC重合,点B落在AC 边上的B′处,则折痕AP的长等于3.【考点】翻折变换(折叠问题).【分析】首先证明∠B=90°,设PB=PB′=x,在RT△PB′C中利用勾股定理求出x,再在RT△APB中利用勾股定理求出AP即可.【解答】解:∵AB=6,BC=8,AC=10,∴AB2+BC2=AC2,∴∠B=90°∵△APB′是由APB翻折,∴AB=AB′=6,PB=PB′,∠B=∠AB′P=∠PB′C=90°设PB=PB′=x,在RT△PB′C中,∵B′C=AC﹣AB=4,PC=8﹣x,∴x2+42=(8﹣x)2,∴x=3,∴AP===3,故答案为3.【点评】本题考查勾股定理的逆定理、勾股定理、翻折不变性等知识,证明∠B=90°是解题的关键,属于2016届中考常考题型.三、解答题17.计算(1)(2).【考点】实数的运算;零指数幂.【分析】(1)直接利用二次根式乘法运算法则结合零指数幂的性质化简求出答案;(2)首先化简二次根式,进而合并求出答案.【解答】解:(1)=+2+1=+3;(2)=3﹣2﹣1=﹣1.【点评】此题主要考查了实数运算以及二次根式的化简,正确化简二次根式是解题关键.18.(1)(2).【考点】解二元一次方程组.【专题】计算题;一次方程(组)及应用.【分析】(1)方程组利用代入消元法求出解即可;(2)方程组利用加减消元法求出解即可.【解答】解:(1),把①代入②得:x+4x﹣6=14,解得:x=5,把x=5代入①得:y=7,则方程组的解为;(2),①×3+②得:11x=﹣11,即x=﹣1,把x=﹣1代入①得:y=2,则方程组的解为.【点评】此题考查了解二元一次方程组,熟练掌握运算法则是解本题的关键.19.迎接学校“元旦”文艺汇演,2015~2016学年度八年级某班的全体同学捐款购买了表演道具,经过充分的排练准备,最终获得了一等奖.班长对全体同学的捐款情况绘制成下表:捐款金额5元10元15元20元捐款人数10人15人5人由于填表时不小心把墨水滴在了统计表上,致使表中数据不完整,但知道捐款金额为10元的人数为全班人数的30%,结合上表回答下列问题:(1)该班共有50名同学;(2)该班同学捐款金额的众数是10元,中位数是12.5元.(3)如果把该班同学的捐款情况绘制成扇形统计图,则捐款金额为20元的人数所对的扇形圆心角为86.4度.【考点】众数;扇形统计图;中位数.【分析】(1)由于知道捐款金额为10元的人数为全班人数的36%,由此即可求出该班共有多少人;(2)首先利用(1)的结果计算出捐15元的同学人数,然后利用中位数、众数的定义即可求出捐款金额的众数和中位数;(3)由于捐款金额为20元的人数为12人,由此求出捐款金额为20元的人数是总人数的百分比,然后乘以360°就知道扇形的圆心角.【解答】解:(1)∵18÷36%=50,∴该班共有50人;(2)∵捐15元的同学人数为50﹣(7+18+12+3)=10,∴学生捐款的众数为10元,又∵第25个数为10,第26个数为15,∴中位数为(10+15)÷2=12.5元;(3)依题意捐款金额为20元的人数所对应的扇形圆心角的度数为360°×=86.4°.故答案为:50,10,12.5,86.4.【点评】此题考查了一组数据的众数、中位数和扇形统计图等知识,解题的关键是从统计表中整理出有关解题信息,难度不大.20.如图,四边形ABCD中,点F是BC中点,连接AF并延长,交于DC的延长线于点E,且∠1=∠2.(1)求证:△ABF≌△ECF;(2)若AD∥BC,∠B=125°,求∠D的度数.【考点】全等三角形的判定与性质.【分析】(1)根据AAS即可判定△ABF≌△ECF.(2)利用平行四边形对角相等即可证明.【解答】(1)证明:在△ABF和△ECF中,,∴△ABF≌△ECF(AAS).(2)解:∵∠1=∠2(已知),∴AB∥ED(内错角相等,两直线平行),∵AD∥BC(已知),∴四边形ABCD是平行四边形(两组对边平行的四边形是平行四边形),∴∠D=∠B=125°(平行四边形的对角相等).【点评】本题考查全等三角形的判定和性质、平行四边形的判定和性质,利用平行四边形的性质证明角相等是解题的关键.属于2016届中考常考题型.21.列方程解应用题:小张第一次在商场购买A、B两种商品各一件,花费60元;第二次购买时,发现两种商品的价格有了调整:A商品涨价20%,B商品降价10%,购买A、B两种商品各一件,同样花费60元.求A、B两种商品原来的价格.【考点】二元一次方程组的应用.【分析】设A种商品原来的价格为x元,B种商品原来的价格为y元,根据题意列出两个二元一次方程,解方程组求出x和y的值即可.【解答】解:设A种商品原来的价格为x元,B种商品原来的价格为y元,根据题意可得:,整理得:,由①×1.2﹣②得.答:A商品原来的价格为20元,B商品价格为40元.【点评】本题考查了二元一次方程组的应用,解题的关键是读懂题意,找出之间的数量关系列出二元一次方程组,此题难度不大.22.某专营商场销售一种品牌电脑,每台电脑的进货价是0.4万元.图中的直线l1表示该品牌电脑一天的销售收入y1(万元)与销售量x(台)的关系,已知商场每天的房租、水电、工资等固定支出为3万元.(1)直线l1对应的函数表达式是y=0.8x,每台电脑的销售价是0.8万元;(2)写出商场一天的总成本y2(万元)与销售量x(台)之间的函数表达式:y2=0.4x+3;(3)在图的直角坐标系中画出第(2)小题的图象(标上l2);(4)通过计算说明:每天销售量达到多少台时,商场可以盈利.【考点】一次函数的应用.【分析】(1)由函数图象知,y与x成正比例函数关系且过(5,4),待定系数法可求得直线l1对应的函数表达式,再根据每台电脑售价=每天销售收入÷销售量可得;(2)根据:每天总成本=电脑的总成本+每天的固定支出,可列函数关系式;(3)根据(2)中函数关系式,确定两点(0,3),(5,5),作射线即可;(4)根据:商场每天利润=电脑的销售收入﹣每天的总成本,列出函数关系式,根据题意得到不等式、解不等式即可.【解答】解:(1)设y=kx,将(5,4)代入,得k=0.8,故y=0.8x,每台电脑的售价为:=0.8(万元);(2)根据题意,商场每天的总成本y2=0.4x+3;(3)如图所示,(3)商场每天的利润W=y﹣y2=0.8x﹣(0.4x+3)=0.4x﹣3,当W>0,即0.4x﹣3>0时商场开始盈利,解得:x>7.5.答:每天销售量达到8台时,商场可以盈利.【点评】本题主要考查一次函数的实际应用,熟悉一次函数解析式的求法、图象的画法及根据实际问题列函数关系式是一次函数的基础.23.如图,长方形AOBC在直角坐标系中,点A在y轴上,点B在x轴上,已知点C的坐标是(8,4).(1)求对角线AB所在直线的函数关系式;(2)对角线AB的垂直平分线MN交x轴于点M,连接AM,求线段AM的长;(3)若点P是直线AB上的一个动点,当△PAM的面积与长方形OABC的面积相等时,求点P的坐标.【考点】一次函数综合题.【分析】(1)由坐标系中点的意义结合图形可得出A、B点的坐标,设出对角线AB所在直线的函数关系式,由待定系数法即可求得结论;(2)由相似三角形的性质找到BM的长度,再结合OM=OB﹣BM得出OM的长,根据勾股定理即可得出线段AM的长;(3)先求出直线AM的解析式,设出P点坐标,由点到直线的距离求出AM边上的高h,再结合三角形面积公式与长方形面积公式即可求出P点坐标.【解答】解:(1)∵四边形AOBC为长方形,且点C的坐标是(8,4),∴AO=CB=4,OB=AC=8,∴A点坐标为(0,4),B点坐标为(8,0).设对角线AB所在直线的函数关系式为y=kx+b,则有,解得:,∴对角线AB所在直线的函数关系式为y=﹣x+4.(2)∵四边形AOBC为长方形,且MN⊥AB,∴∠AOB=∠MNB=90°,又∵∠ABO=∠MBN,∴△AOB∽△MNB,∴.∵AO=CB=4,OB=AC=8,∴由勾股定理得:AB==4,∵MN垂直平分AB,∴BN=AN=AB=2.===,即MB=5.OM=OB﹣MB=8﹣5=3,由勾股定理可得:AM==5.(3)∵OM=3,∴点M坐标为(3,0).又∵点A坐标为(0,4),∴直线AM的解析式为y=﹣x+4.∵点P在直线AB:y=﹣x+4上,∴设P点坐标为(m,﹣m+4),点P到直线AM:x+y﹣4=0的距离h==.△PAM的面积S△PAM=AM•h=|m|=S OABC=AO•OB=32,解得m=±,故点P的坐标为(,﹣)或(﹣,).【点评】本题考查了坐标系中点的意义、相似三角形的判定及性质、勾股定义、点到直线的距离、三角形和长方形的面积公式,解题的关键:(1)根据坐标系中点的意义,找到A、B点的坐标;(2)由相似三角形的相似比找出BM的长度;(3)结合点到直线的距离、三角形和长方形的面积公式找到关于m的一元一次方程.本题属于中等题,难度不大,(1)小问容易得出结论;(2)没有直接找OM长度,而是利用相似三角形找出BM的长度,此处部分学生可能会失分;(3)难度不大,运算量不小,这里尤其要注意点P有两个.广东省深圳市龙岗区八年级(上册)期末数学试卷一、选择题(每小题3分,共36分)1.数学,,π,,0.中无理数的个数是( )A.1 B.2 C.3 D.42.下列长度的线段不能构成直角三角形的是( )A.8,15,17 B.1.5,2,3 C.6,8,10 D.5,12,133.如图,笑脸盖住的点的坐标可能为( )A.(5,2)B.(3,﹣4)C.(﹣4,﹣6)D.(﹣1,3)4.点M(2,1)关于x轴对称的点的坐标是( )A.(1,﹣2)B.(﹣2,1)C.(2,﹣1)D.(﹣1,2)5.下列各式中,正确的是( )A.=±4 B.±=4 C.=﹣3 D.=﹣46.若函数y=(k﹣1)x|k|+b+1是正比例函数,则k和b的值为( )A.k=±1,b=﹣1 B.k=±1,b=0 C.k=1,b=﹣1 D.k=﹣1,b=﹣17.在Rt△ABC中,∠C=90°,AC=9,BC=12,则点C到AB的距离是( )A.B.C.D.8.下列命题中,不成立的是( )A.两直线平行,同旁内角互补B.同位角相等,两直线平行C.一个三角形中至少有一个角不大于60度D.三角形的一个外角大于任何一个内角9.为筹备班级的初中毕业联欢会,班长对全班学生爱吃哪几种水果作了民意调查.那么最终买什么水果,下面的调查数据中最值得关注的是( )A.中位数B.平均数C.众数 D.加权平均数10.2016年“龙岗年货博览会”在大运中心体育馆展销,小丽从家出发前去购物,途中发现忘了带钱,于是打电话让妈妈马上从家里送来,同时小丽也往回走,遇到妈妈后聊了一会儿,接着继续前往大运中心体育馆.设小丽从家出发后所用时间为t,小丽与体育馆的距离为S,下面能反映S与t的函数关系的大致图象是( )A. B.C.D.11.如图,∠x的两条边被一直线所截,用含α和β的式子表示∠x为( )A.α﹣β B.β﹣α C.180°﹣α+βD.180°﹣α﹣β12.如图,把一个等腰直角三角形放在间距是1的横格纸上,三个顶点都在横格上,则此三角形的斜边长是( )A.3 B. C.2D.2二、填空题(每小题3分,共12分)13.16的平方根是__________.14.数据3,4,6,8,x,7的众数是7,则数据4,3,6,8,2,x的中位数是__________.15.观察下列各式:=﹣1,=,=2﹣…请利用你发现的规律计算:(+++…+)×(+)=__________.16.如图,在矩形ABCD中,AB=3,BC=4,现将点A、C重合,使纸片折叠压平,折痕为EF,那么重叠部分△AEF的面积=__________.三、解答题(第17题5分,第18题6分,第19题7分,第20题8分,第21题8分,第22题9分,第23题9分,共52分)17.计算:﹣||﹣4+.18.解方程组:.19.每年9月举行“全国中学生数学联赛”,成绩优异的选手可参加“全国中学生数学冬令营”,冬令营再选拔出50名优秀选手进入“国家集训队”.第31界冬令营已于2015年12月在江西省鹰谭一中成功举行.现将脱颖而出的50名选手分成两组进行竞赛,每组25人,成绩整理并绘制成如下的统计图:请你根据以上提供的信息解答下列问题:(1)请你将表格补充完整:平均数中位数众数方差一组74 __________ __________ 104二组__________ __________ __________ 72(2)从本次统计数据来看,__________组比较稳定.。
2019-2020学年度第二学期期末考试八年级数学试题一、选择题:(每题2分,12小题,共24分)1.下列四个图形中,既是轴对称图形,又是中心对称图形的是()A.B.C.D.2.下面的多边形中,内角和与外角和相等的是()A.B.C.D.3.长和宽分别是a,b的长方形的周长为10,面积为6,则a2b+ab2的值为()A.15 B.16 C.30 D.604.如图,AB∥CD∥EF,AC=4,CE=6,BD=3,则DF的值是()A.4.5 B.5 C.2 D.1.55.如图,BE、CD相交于点A,连接BC,DE,下列条件中不能判断△ABC∽ADE的是()A.∠B=∠D B.∠C=∠E C.=D.=6.关于x的元二次方程2x2+4x﹣c=0有两个不相等的实数根,则实数c可能的取值为()A.﹣5 B.﹣2 C.0 D.﹣87.某超市今年二月份的营业额为82万元,四月份的营业额比三月份的营业额多20万元,若二月份到四月份每个月的月销售额增长率都相同,若设增长率为x,根据题意可列方程()A.82(1+x)2=82(1+x)+20 B.82(1+x)2=82(1+x)C.82(1+x)2=82+20 D.82(1+x)=82+208.如图,▱ABCD中,对角线AC、BD相交于点O,OE⊥BD交AD于点E,连接BE,若▱ABCD的周长为28,则△ABE的周长为()A.28 B.24 C.21 D.149.如图,已知菱形OABC的两个顶点O(0,0),B(2,2),若将菱形绕点O以每秒45°的速度逆时针旋转,则第2019秒时,菱形两对角线交点D的横坐标为()A.B.C.1 D.﹣110.如图,菱形ABCD的对角线AC、BD相交于点O,过点C作CE⊥AD于点E,连接OE,若OB=8,S菱形ABCD=96,则OE的长为()A.2B.2C.6 D.811.如图,在Rt△ABC中,∠ACB=90°,AC=6,BC=12,点D在边BC上,点E在线段AD 上,EF⊥AC于点F,EG⊥EF交AB于点G.若EF=EG,则CD的长为()A.3.6 B.4 C.4.8 D.512.如图,四边形ABCD中,AC⊥BC,AD∥BC,BC=3,AC=4,AD=6.M是BD的中点,则CM的长为()A.B.2 C.D.3二、填空题:(每题2分,8小题,共16分)13.因式分解:m2n+2mn2+n3=.14.若分式有意义,则实数x的取值范围是.15.若关于x的分式方程=有增根,则m的值为.16.设x1,x2是一元二次方程x2﹣x﹣1=0的两根,则x1+x2+x1x2=.17.如图,菱形ABCD的对角线AC,BD交于点O,AC=4,BD=16,将△ABO沿点A到点C 的方向平移,得到△A′B′O′,当点A′与点C重合时,点A与点B′之间的距离为.18.如图,在△ABC中,BC的垂直平分线MN交AB于点D,CD平分∠ACB.若AD=2,BD=3,则AC的长.19.如图,在Rt△ABC中,∠B=90°,AB=2,BC=3,D、E分别是AB、AC的中点,延长BC至点F,使CF=BC,连接DF、EF,则EF的长为.20.如图,边长为2的正方形ABCD中,AE平分∠DAC,AE交CD于点F,CE⊥AE,垂足为点E,EG⊥CD,垂足为点G,点H在边BC上,BH=DF,连接AH、FH,FH与AC交于点M,以下结论:①FH=2BH;②AC⊥FH;③S△ACF=1;④CE=AF;⑤EG2=FG•DG,其中正确结论的有(只填序号).三、计算题:(4小题,共18分)21.(1)化简;(m+2+)•(2)先化简,再求值;(+x+2)÷,其中|x|=222.解方程:(1)x2﹣2x﹣5=0;(2)=.四、解答题:(5小题,共42分)23.阅读下列材料:已知实数m,n满足(2m2+n2+1)(2m2+n2﹣1)=80,试求2m2+n2的值解:设2m2+n2=t,则原方程变为(t+1)(t﹣1)=80,整理得t2﹣1=80,t2=81,∴t =±9因为2m2+n2≥0,所以2m2+n2=9.上面这种方法称为“换元法”,把其中某些部分看成一个整体,并用新字母代替(即换元),则能使复杂的问题简单化.根据以上阅读材料内容,解决下列问题,并写出解答过程.已知实数x,y满足(4x2+4y2+3)(4x2+4y2﹣3)=27,求x2+y2的值.24.某书店积极响应政府“改革创新,奋发有为”的号召,举办“读书节“系列活动.活动中故事类图书的标价是典籍类图书标价的1.5倍,若顾客用540元购买图书,能单独购买故事类图书的数量恰好比单独购买典籍类图书的数量少10本.(1)求活动中典籍类图书的标价;(2)该店经理为鼓励广大读者购书,免费为购买故事类的读者赠送图1所示的精致矩形包书纸.在图1的包书纸示意图中,虚线是折痕,阴影是裁剪掉的部分,四角均为大小相同的正方形,正方形的边长为折叠进去的宽度.已知该包书纸的面积为875cm2(含阴影部分),且正好可以包好图2中的《中国故事》这本书,该书的长为21cm,宽为15cm,厚为1cm,请直接写出该包书纸包这本书时折叠进去的宽度.25.如图,在△ABC中,AB=AC,AD是BC边的中线,过点A作BC的平行线,过点B作AD 的平行线,两线交于点E.(1)求证:四边形ADBE是矩形;(2)连接DE,交AB与点O,若BC=8,AO=3,求△ABC的面积.26.如图,已知:AD为△ABC的中线,过B、C两点分别作AD所在直线的垂线段BE和CF,E、F为垂足,过点E作EG∥AB交BC于点H,连结HF并延长交AB于点P.(1)求证:DE=DF(2)若BH:HC=11:5;①求:DF:DA的值;②求证:四边形HGAP为平行四边形.27.如图,矩形ABCD中,AB=12,AD=9,E为BC上一点,且BE=4,动点F从点A出发沿射线AB方向以每秒3个单位的速度运动.连接DF,DE,EF.过点E作DF的平行线交射线AB于点H,设点F的运动时间为t(不考虑D、E、F在一条直线上的情况).(1)填空:当t=时,AF=CE,此时BH=;(2)当△BEF与△BEH相似时,求t的值;(3)当F在线段AB上时,设△DEF的面积为S,△DEF的周长为C.①求S关于t的函数关系式;②直接写出C的最小值.参考答案与试题解析一.选择题(共12小题)1.下列四个图形中,既是轴对称图形,又是中心对称图形的是()A.B.C.D.【分析】根据轴对称图形与中心对称图形的概念求解.【解答】解:A、是轴对称图形,不是中心对称图形,故此选项错误;B、不是轴对称图形,是中心对称图形,故此选项错误;C、是轴对称图形,不是中心对称图形,故此选项错误;D、既是轴对称图形,又是中心对称图形,故此选项正确.故选:D.2.下面的多边形中,内角和与外角和相等的是()A.B.C.D.【分析】根据多边形的内角和公式(n﹣2)•180°与多边形的外角和定理列式进行计算即可得解.【解答】解:设多边形的边数为n,根据题意得(n﹣2)•180°=360°,解得n=4.故选:B.3.长和宽分别是a,b的长方形的周长为10,面积为6,则a2b+ab2的值为()A.15 B.16 C.30 D.60【分析】直接利用矩形面积求法结合提取公因式法分解因式计算即可.【解答】解:∵长和宽分别是a,b的长方形的周长为10,面积为6,∴2(a+b)=10,ab=6,故a+b=5,则a2b+ab2=ab(a+b)=30.故选:C.4.如图,AB∥CD∥EF,AC=4,CE=6,BD=3,则DF的值是()A.4.5 B.5 C.2 D.1.5【分析】直接根据平行线分线段成比例定理即可得出结论.【解答】解:∵直线AB∥CD∥EF,AC=4,CE=6,BD=3,∴=,即=,解得DF=4.5.故选:A.5.如图,BE、CD相交于点A,连接BC,DE,下列条件中不能判断△ABC∽ADE的是()A.∠B=∠D B.∠C=∠E C.=D.=【分析】分别根相似三角形的判定方法,逐项判断即可.【解答】解:∵∠BAC=∠DAE,∴当∠B=∠D或∠C=∠E时,可利用两角对应相等的两个三角形相似证得△ABC∽ADE,故A、B选项可判断两三角形相似;当=时,可得=,结合∠BAC=∠DAE,则可证得△ABC∽△AED,而不能得出△ABC∽△ADE,故C不能判断△ABC∽ADE;当=时,结合∠BAC=∠DAE,可证得△ABC∽△ADE,故D能判断△ABC∽△ADE;故选:C.6.关于x的元二次方程2x2+4x﹣c=0有两个不相等的实数根,则实数c可能的取值为()A.﹣5 B.﹣2 C.0 D.﹣8【分析】利用一元二次方程根的判别式(△=b2﹣4ac)可以判断方程的根的情况,有两个不相等的实根,即△>0【解答】解:依题意,关于x的一元二次方程,有两个不相等的实数根,即△=b2﹣4ac=42+8c>0,得c>﹣2根据选项,只有C选项符合,故选:C.7.某超市今年二月份的营业额为82万元,四月份的营业额比三月份的营业额多20万元,若二月份到四月份每个月的月销售额增长率都相同,若设增长率为x,根据题意可列方程()A.82(1+x)2=82(1+x)+20 B.82(1+x)2=82(1+x)C.82(1+x)2=82+20 D.82(1+x)=82+20【分析】根据题意可以列出相应的方程,本题得以解决.【解答】解:由题意可得,82(1+x)2=82(1+x)+20,故选:A.8.如图,▱ABCD中,对角线AC、BD相交于点O,OE⊥BD交AD于点E,连接BE,若▱ABCD的周长为28,则△ABE的周长为()A.28 B.24 C.21 D.14【分析】先判断出EO是BD的中垂线,得出BE=ED,从而可得出△ABE的周长=AB+AD,再由平行四边形的周长为24,即可得出答案.【解答】解:∵四边形ABCD是平行四边形,∴OB=OD,AB=CD,AD=BC,∵平行四边形的周长为28,∴AB+AD=14∵OE⊥BD,∴OE是线段BD的中垂线,∴BE=ED,∴△ABE的周长=AB+BE+AE=AB+AD=14,故选:D.9.如图,已知菱形OABC的两个顶点O(0,0),B(2,2),若将菱形绕点O以每秒45°的速度逆时针旋转,则第2019秒时,菱形两对角线交点D的横坐标为()A.B.C.1 D.﹣1【分析】根据菱形的性质及中点的坐标公式可得点D坐标,再根据旋转的性质可得旋转后点D的坐标.【解答】解:菱形OABC的顶点O(0,0),B(2,2),得D点坐标为(,),即(1,1).∴OD=每秒旋转45°,则第2019秒时,得45°×2019,45°×2019÷360=252.375周,OD旋转了252又周,菱形的对角线交点D的坐标为(﹣,0),故选:B.10.如图,菱形ABCD的对角线AC、BD相交于点O,过点C作CE⊥AD于点E,连接OE,若OB=8,S菱形ABCD=96,则OE的长为()A.2B.2C.6 D.8【分析】由菱形的性质得出BD=16,由菱形的面积得出AC=12,再由直角三角形斜边上的中线性质即可得出结果.【解答】解:∵四边形ABCD是菱形,∴OA=OC,OB=OD=BD,BD⊥AC,∴BD=16,∵S菱形ABCD═AC×BD=96,∴AC=12,∵CE⊥AD,∴∠AEC=90°,∴OE=AC=6,故选:C.11.如图,在Rt△ABC中,∠ACB=90°,AC=6,BC=12,点D在边BC上,点E在线段AD 上,EF⊥AC于点F,EG⊥EF交AB于点G.若EF=EG,则CD的长为()A.3.6 B.4 C.4.8 D.5【分析】根据题意和三角形相似的判定和性质,可以求得CD的长,本题得以解决.【解答】解:作DH∥EG交AB于点H,则△AEG∽△ADH,∴,∵EF⊥AC,∠C=90°,∴∠EFA=∠C=90°,∴EF∥CD,∴△AEF∽△ADC,∴,∴,∵EG=EF,∴DH=CD,设DH=x,则CD=x,∵BC=12,AC=6,∴BD=12﹣x,∵EF⊥AC,EF⊥EG,DH∥EG,∴EG∥AC∥DH,∴△BDH∽△BCA,∴,即,解得,x=4,∴CD=4,故选:B.12.如图,四边形ABCD中,AC⊥BC,AD∥BC,BC=3,AC=4,AD=6.M是BD的中点,则CM的长为()A.B.2 C.D.3【分析】延长BC到E使BE=AD,则四边形ACED是平行四边形,根据三角形的中位线的性质得到CM=DE=AB,根据跟勾股定理得到AB===5,于是得到结论.【解答】解:延长BC到E使BE=AD,则四边形ACED是平行四边形,∵BC=3,AD=6,∴C是BE的中点,∵M是BD的中点,∴CM=DE=AB,∵AC⊥BC,∴AB===5,∴CM=,故选:C.二.填空题(共8小题)13.因式分解:m2n+2mn2+n3=n(m+n)2.【分析】首先提取公因式n,再利用完全平方公式分解因式得出答案.【解答】解:m2n+2mn2+n3=n(m2+2mn+n2)=n(m+n)2.故答案为:n(m+n)2.14.若分式有意义,则实数x的取值范围是x≠5 .【分析】根据分式有意义的条件可得x﹣5≠0,再解即可.【解答】解:由题意得:x﹣5≠0,解得:x≠5,故答案为:x≠5.15.若关于x的分式方程=有增根,则m的值为 3 .【分析】分式方程去分母转化为整式方程,由分式方程有增根求出x的值,代入计算即可求出m的值.【解答】解:去分母得:3x=m+3,由分式方程有增根,得到x﹣2=0,即x=2,把x=2代入方程得:6=m+3,解得:m=3,故答案为:316.设x1,x2是一元二次方程x2﹣x﹣1=0的两根,则x1+x2+x1x2=0 .【分析】直接根据根与系数的关系求解.【解答】解:∵x1、x2是方程x2﹣x﹣1=0的两根,∴x1+x2=1,x1×x2=﹣1,∴x1+x2+x1x2=1﹣1=0.故答案为:0.17.如图,菱形ABCD的对角线AC,BD交于点O,AC=4,BD=16,将△ABO沿点A到点C 的方向平移,得到△A′B′O′,当点A′与点C重合时,点A与点B′之间的距离为10 .【分析】由菱形的性质得出AC⊥BD,AO=OC=AC=2,OB=OD=BD=8,由平移的性质得出O'C=OA=2,O'B'=OB=8,∠CO'B'=90°,得出AO'=AC+O'C=6,由勾股定理即可得出答案.【解答】解:∵四边形ABCD是菱形,∴AC⊥BD,AO=OC=AC=2,OB=OD=BD=8,∵△ABO沿点A到点C的方向平移,得到△A'B'O',点A'与点C重合,∴O'C=OA=2,O'B'=OB=8,∠CO'B'=90°,∴AO'=AC+O'C=6,∴AB'===10;故答案为10.18.如图,在△ABC中,BC的垂直平分线MN交AB于点D,CD平分∠ACB.若AD=2,BD=3,则AC的长.【分析】证出∠ACD=∠DCB=∠B,证明△ACD∽△ABC,得出=,即可得出结果.【解答】解:∵BC的垂直平分线MN交AB于点D,∴CD=BD=3,∴∠B=∠DCB,AB=AD+BD=5,∵CD平分∠ACB,∴∠ACD=∠DCB=∠B,∵∠A=∠A,∴△ACD∽△ABC,∴=,∴AC2=AD×AB=2×5=10,∴AC=.故答案为:.19.如图,在Rt△ABC中,∠B=90°,AB=2,BC=3,D、E分别是AB、AC的中点,延长BC至点F,使CF=BC,连接DF、EF,则EF的长为.【分析】连接DE,CD,根据三角形中位线的性质得到DE∥BC,DE=BC,推出四边形DCFE是平行四边形,得到EF=CD,根据勾股定理即可得到结论.【解答】解:连接DE,CD,∵D、E分别是AB、AC的中点,∴DE∥BC,DE=BC,∴DE∥CF,∵CF=BC,∴DE=CF,∴四边形DCFE是平行四边形,∴EF=CD,∵在Rt△ABC中,∠B=90°,AB=2,BC=3,∴CD===,∴EF=CD=,故答案为:.20.如图,边长为2的正方形ABCD中,AE平分∠DAC,AE交CD于点F,CE⊥AE,垂足为点E,EG⊥CD,垂足为点G,点H在边BC上,BH=DF,连接AH、FH,FH与AC交于点M,以下结论:①FH=2BH;②AC⊥FH;③S△ACF=1;④CE=AF;⑤EG2=FG•DG,其中正确结论的有①②④⑤(只填序号).【分析】①②、证明△ABH≌△ADF,得AF=AH,再得AC平分∠FAH,则AM既是中线,又是高线,得AC⊥FH,证明BH=HM=MF=FD,则FH=2BH;所以①②都正确;③可以直接求出FC的长,计算S△ACF≠1,错误;④根据正方形边长为2,分别计算CE和AF的长得结论正确;⑤利用相似先得出EG2=FG•CG,再根据同角的三角函数列式计算CG的长为1,则DG=CG,得出⑤也正确.【解答】解:①②如图1,∵四边形ABCD是正方形,∴AB=AD,∠B=∠D=90°,∠BAD=90°,∵AE平分∠DAC,∴∠FAD=∠CAF=22.5°,在△ABH和△ADF中,,∴△ABH≌△ADF(SAS),∴AH=AF,∠BAH=∠FAD=22.5°,∴∠HAC=∠FAC,∴HM=FM,AC⊥FH,∵AE平分∠DAC,∴DF=FM,∴FH=2DF=2BH,故①②正确;③在Rt△FMC中,∠FCM=45°,∴△FMC是等腰直角三角形,∵正方形的边长为2,∴AC=2,MC=DF=2﹣2,∴FC=2﹣DF=2﹣(2﹣2)=4﹣2,S△AFC=CF•AD≠1,故③不正确;④AF==2,∵△ADF∽△CEF,∴=,∴CE=,∴CE=AF,故④正确;⑤延长CE和AD交于N,如图2,∵AE⊥CE,AE平分∠CAD,∴CE=EN,∵EG∥DN,∴CG=DG,在Rt△FEC中,EG⊥FC,∴∠GEF=∠GCE,∴△EFG∽△CEG,∴=,∴EG2=FG•CG,∴EG2=FG•DG,故选项⑤正确;故答案为:①②④⑤.三、计算题:(4小题,共18分)21.(1)化简;(m+2+)•(2)先化简,再求值;(+x+2)÷,其中|x|=2【分析】(1)原式括号中两项通分并利用同分母分式的加法法则计算,约分即可得到结果;(2)原式括号中两项通分并利用同分母分式的加法法则计算,约分得到最简结果,求出x的值代入计算即可求出值.【解答】解:(1)原式=•=•=m+1;(2)原式=•=,由|x|=2,得到x=2或﹣2(舍去),当x=2时,原式=19.22.解方程:(1)x2﹣2x﹣5=0;(2)=.【分析】(1)利用公式法求解可得;(2)两边都乘以(x+1)(x﹣2)化为整式方程,解之求得x的值,继而检验即可得.【解答】解:(1)∵a=1,b=﹣2,c=﹣5,∴△=4﹣4×1×(﹣5)=24>0,则x==1±,∴;(2)两边都乘以(x+1)(x﹣2),得:x+1=4(x﹣2),解得x=3,经检验x=3是方程的解.四、解答题:(5小题,共42分)23.阅读下列材料:已知实数m,n满足(2m2+n2+1)(2m2+n2﹣1)=80,试求2m2+n2的值解:设2m2+n2=t,则原方程变为(t+1)(t﹣1)=80,整理得t2﹣1=80,t2=81,∴t =±9因为2m2+n2≥0,所以2m2+n2=9.上面这种方法称为“换元法”,把其中某些部分看成一个整体,并用新字母代替(即换元),则能使复杂的问题简单化.根据以上阅读材料内容,解决下列问题,并写出解答过程.已知实数x,y满足(4x2+4y2+3)(4x2+4y2﹣3)=27,求x2+y2的值.【分析】设t=x2+y2(t≥0),则原方程转化为(4t+3)(4t﹣3)=27,然后解该方程即可.【解答】解:设t=x2+y2(t≥0),则原方程转化为(4t+3)(4t﹣3)=27,整理,得16t2﹣9=27,所以t2=.∵t≥0,∴t=.∴x2+y2的值是.【点评】考查了换元法解一元二次方程,换元的实质是转化,关键是构造元和设元,理论依据是等量代换,目的是变换研究对象,将问题移至新对象的知识背景中去研究,从而使非标准型问题标准化、复杂问题简单化,变得容易处理.24.某书店积极响应政府“改革创新,奋发有为”的号召,举办“读书节“系列活动.活动中故事类图书的标价是典籍类图书标价的1.5倍,若顾客用540元购买图书,能单独购买故事类图书的数量恰好比单独购买典籍类图书的数量少10本.(1)求活动中典籍类图书的标价;(2)该店经理为鼓励广大读者购书,免费为购买故事类的读者赠送图1所示的精致矩形包书纸.在图1的包书纸示意图中,虚线是折痕,阴影是裁剪掉的部分,四角均为大小相同的正方形,正方形的边长为折叠进去的宽度.已知该包书纸的面积为875cm2(含阴影部分),且正好可以包好图2中的《中国故事》这本书,该书的长为21cm,宽为15cm,厚为1cm,请直接写出该包书纸包这本书时折叠进去的宽度.【分析】(1)设典籍类图书的标价为x元,根据购买两种图书的数量差是10本,列出方程并解答;(2)矩形面积=(2宽+1+2折叠进去的宽度)×(长+2折叠进去的宽度).【解答】解:(1)设典籍类图书的标价为x元,由题意,得﹣10=.解得x=18.经检验:x=18是原分式方程的解,且符合题意.答:典籍类图书的标价为18元;(2)设折叠进去的宽度为ycm,则(2y+15×2+1)(2y+21)=875,化简得y2+26y﹣56=0,∴y=2或﹣28(不合题意,舍去),答:折叠进去的宽度为2cm.【点评】此题考查了分式方程和一元二次方程的应用,(2)题结合了矩形面积的求法考查了图形的折叠问题,能够得到折叠进去的宽度和矩形纸的长、宽的关系,是解决问题的关键.25.如图,在△ABC中,AB=AC,AD是BC边的中线,过点A作BC的平行线,过点B作AD 的平行线,两线交于点E.(1)求证:四边形ADBE是矩形;(2)连接DE,交AB与点O,若BC=8,AO=3,求△ABC的面积.【分析】(1)先求出四边形ADBE是平行四边形,根据等腰三角形的性质求出∠ADB=90°,根据矩形的判定得出即可;(2)根据矩形的性质得出AB=DE=2AO=6,求出BD,根据勾股定理求出AD,根据三角形面积公式求出即可.【解答】(1)证明:∵AE∥BC,BE∥AD,∴四边形ADBE是平行四边形,∵AB=AC,AD是BC边的中线,∴AD⊥BC,即∠ADB=90°,∴四边形ADBE为矩形;(2)解:∵在矩形ADBE中,AO=3,∴AB=2AO=6,∵D是BC的中点,∴DB=BC=4,∵∠ADB=90°,∴AD===2,∴△ABC的面积=BC•AD=×8×2=8.【点评】本题考查了等腰三角形的性质和矩形的性质和判定,能求出四边形ADCE是矩形是解此题的关键.26.如图,已知:AD为△ABC的中线,过B、C两点分别作AD所在直线的垂线段BE和CF,E、F为垂足,过点E作EG∥AB交BC于点H,连结HF并延长交AB于点P.(1)求证:DE=DF(2)若BH:HC=11:5;①求:DF:DA的值;②求证:四边形HGAP为平行四边形.【分析】(1)由AAS证明△BDE≌△CDF,即可得出结论;(2)①设BH=11x,则HC=5x,BC=16x,则,DH=3x,由平行线得出△EDH∽△ADB,得出,即可得出结论;②求出=,证出FH∥AC,即PH∥AC,即可得出结论.【解答】(1)证明:∵AD为△ABC的中线,∴BD=CD,∵BE⊥AD,CF⊥AD,∴∠BED=∠CFD=90°,在△BDE和△CDF中,,∴△BDE≌△CDF(AAS),∴DE=DF;(2)①解:设BH=11x,则HC=5x,BC=16x,则,DH=3x,∵EG∥AB,∴△EDH∽△ADB,∴,∵DE=DF,∴;②证明:∵,∴,∵,∴=,∴FH∥AC,∴PH∥AC,∵EG∥AB,∴四边形HGAP为平行四边形.【点评】本题考查了平行四边形的判定、平行线的判定、全等三角形的判定与性质、相似三角形的判定与性质等知识;熟练掌握平行四边形的判定是关键.27.如图,矩形ABCD中,AB=12,AD=9,E为BC上一点,且BE=4,动点F从点A出发沿射线AB方向以每秒3个单位的速度运动.连接DF,DE,EF.过点E作DF的平行线交射线AB于点H,设点F的运动时间为t(不考虑D、E、F在一条直线上的情况).(1)填空:当t=时,AF=CE,此时BH=;(2)当△BEF与△BEH相似时,求t的值;(3)当F在线段AB上时,设△DEF的面积为S,△DEF的周长为C.①求S关于t的函数关系式;②直接写出C的最小值.【分析】(1)在Rt△ABC中,利用勾股定理可求得AB的长,即可得到AD、t的值,从而确定AE的长,由DE=AE﹣AD即可得解.(2)若△DEG与△ACB相似,要分两种情况:①AG:DE=DH:GE,②AH:EG=DH:DE,根据这些比例线段即可求得t的值.(需注意的是在求DE的表达式时,要分AD>AE和AD<AE两种情况);(3)分别表示出线段FD和线段AD的长,利用面积公式列出函数关系式即可.【解答】解:(1)∵BC=AD=9,BE=4,∴CE=9﹣4=5∵AF=CE即:3t=5,∴t=,∵EH∥DF∴△DAF∽△EBH,∴=即:=解得:BH=;当t=时,AF=CE,此时BH=;(2)由EH∥DF得∠AFD=∠BHE,又∵∠A=∠CBH=90°∴△EBH∽△DAF,∴即=∴BH=当点F在点B的左边时,即t<4时,BF=12﹣3t此时,当△BEF∽△BHE时:即42=(12﹣3t)×解得:t1=2此时,当△BEF∽△BEH时:有BF=BH,即12﹣3t=解得:t2=当点F在点B的右边时,即t>4时,BF=3t﹣12此时,当△BEF∽△BHE时:即42=(3t﹣12)×解得:t3=2+2(3)①∵EH∥DF∴△DFE的面积=△DFH的面积=FH•AD=(12﹣3t+t)×9=54﹣②如图,∵BE=4,∴CE=5,根据勾股定理得,DE=13,是定值,所以当C最小时DE+EF最小,作点E关于AB的对称点E'连接DE,此时DE+EF最小,在Rt△CDE'中,CD=12,CE'=BC+BE'=BC+BE=13,根据勾股定理得,DE'==,∴C的最小值=13+.【点评】此题考查了勾股定理、轴对称的性质、平行四边形及梯形的判定和性质、解直角三角形、相似三角形等相关知识,综合性强,是一道难度较大的压轴题.。
2022—2023学年度第一学期期末教学质量监测八年级数学试题一、选择题1. 4的平方根是( )A. ±2B. 2C. ﹣2D. 16 【答案】A【解析】【分析】根据平方根的定义,求数a 的平方根,也就是求一个数x ,使得x 2=a ,则x 就是a 的一个平方根.【详解】∵(±2 )2=4,∴4的平方根是±2,故选A .【点睛】本题主要考查平方根的定义,熟练掌握平方根的定义是解题的关键.2. 下列运算错误的是( )A.2=B.1=C. 2=D. =【答案】D【解析】【分析】直接利用二次根式的性质,二次根式的乘法运算法则和平方差公式计算,进而得出答案.详解】解:A2=,故此选项正确,不符合题意; B、321−=−=,故此选项正确,不符合题意; C 2=,故此选项正确,不符合题意;D=故选:D .【点睛】本题主要考查了二次根式的性质以及二次根式的乘法运算,平方差公式,正确掌握相关运算法则是解题关键.3. 在一次校园歌曲演唱比赛中,小红对七位评委老师给自己打出的分数进行了分析,并制作如下表格: 平均数 众数 中位数 方差【9.15 9.2 9.1 0.2如果去掉一个最高分和一个最低分,那么表格中数据一定不会发生变化的是( )A. 中位数B. 众数C. 平均数D. 方差【答案】A【解析】【分析】根据中位数的定义:位于中间位置或中间两数的平均数可以得到去掉一个最高分和一个最低分不影响中位数.【详解】解:去掉一个最高分和一个最低分对中位数没有影响,故选:A .【点睛】本题考查了统计量的选择,解题的关键是了解中位数、众数、平均数及方差的定义.4. 将一副直角三角尺如图放置,已知AE ∥BC ,则∠AFD 的度数是( )A. 45°B. 50°C. 60°D. 75°【答案】D【解析】 【分析】本题主要根据直角尺各角的度数及三角形内角和定理解答.【详解】解:∵∠C=30°,∠DAE=45°,AE ∥BC ,∴∠EAC=∠C=30°,∠FAD=45﹣30=15°,在△ADF 中根据三角形内角和定理得到:∠AFD=180﹣90﹣15=75°.故选D .5. 下列命题:①当n 取正整数时,231n n ++的值是质数;②22a b =,则a b =;③如果1∠和2∠是对顶角,那么12∠=∠;④以8,15,19为边长的三角形是直角三角形.是真命题的有( )A. 1个B. 2个C. 3个D. 4个【答案】A【解析】【分析】通过举反例即可判断①,由两个数的平方相等,那么这两个数相等或互为相反数可判断②,由对顶角相等可判断③,由勾股定理的逆定理可判断④,即可解答.【详解】当6n =时,2231636155n n +++×+而55511=×不是一个质数,则①不是真命题; 若22a b =,则a b =±,则②不是真命题;如果1∠和2∠是对顶角,那么12∠=∠,则③是真命题;∵22281519+≠,∴以8,15,19为边长的三角形不是直角三角形,则④不是真命题;综上所述,是真命题的有1个,故选:A .【点睛】本题考查了命题的真假,涉及质数、开平方、对顶角相等和勾股定理的逆定理,熟练掌握知识点是解题的关键.6. 在直角坐标系中,已知点3,2A m ,点B n是直线()0y kx b k =+<上的两点,则m ,n 的大小关系是( )A. m n <B. m n >C. m n ≥D. m n ≤【答案】A【解析】 【分析】因为直线()0y kx b k =+<,所以随着自变量的增大,函数值会减小,根据这点即可得到问题解答.【详解】解:∵因为直线()0y kx b k =+<, ∴y 随着x 的增大而减小,∵32>2,∴32> ∴m <n ,故选:A .【点睛】此题考查了一次函数的图象和性质,解题的关键是正确判断一次函数的增减性并灵活运用. 7. 我国古代《算法统宗》里有这样一首诗:“我问开店李三公,众客都来到店中,一房七客多七客,一房九客一房空.”诗中后面两句的意思是:如果一间客房住7人,那么有7人无房可住;如果一间客房住9人,那么就空出一间客房,若设该店有客房x 间,房客y 人,则列出关于x 、y 的二元一次方程组正确的是( )A. ()7791x y x y −= −=B. ()7791x y x y += −=C. 7791x y x y += −=D. 7791x y x y −= −=【答案】B【解析】 【分析】设该店有客房x 间,房客y 人;根据题意一房七客多七客,一房九客一房空得出方程组即可.【详解】解:设该店有客房x 间,房客y 人;根据题意得:()7791x y x y +=−= , 故选:B .【点睛】本题考查了二元一次方程组的应用;根据题意得出方程组是解决问题的关键.8. 如图,13AB AC ==,BP CP ⊥,8BP =,6CP =,则四边形ABPC 的面积为( )A. 48B. 60C. 36D. 72【答案】C【解析】 【分析】连接BC ,过点A 作AD BC ⊥于点D ,勾股定理求得BC ,根据等腰三角形的性质得出152CD DB BC ===,在Rt △ABD 中,勾股定理求得AD ,进而根据1122ABC PBC S S BC AD PC PB −=×−× ,即可求解. 详解】解:如图,连接BC ,过点A 作AD BC ⊥于点D ,∵BP CP ⊥,8BP =,6CP =,∴10BC ,【∵13AB AC ==,AD BC ⊥, ∴152CD DB BC ===,在Rt △ABD 中,12AD∴四边形ABPC 的面积为1122ABC PBC S S BC AD PC PB −=×−× 1110126860243622=××−××=−=, 故选:C .【点睛】本题考查了等腰三角形的性质,勾股定理,掌握勾股定理是解题的关键.9. 甲、乙两位同学放学后走路回家,他们走过的路程s (千米)与所用的时间t (分钟)之间的函数关系如图所示.根据图中信息,下列说法错误的是( )A. 前10分钟,甲比乙的速度慢B. 经过20分钟,甲、乙都走了1.6千米C. 甲的平均速度为0.08千米/分钟D. 经过30分钟,甲比乙走过的路程少【答案】D【解析】【分析】结合函数关系图逐项判断即可. 【详解】A 项,前10分钟,甲走了0.8千米,乙走了1.2千米,则甲比乙的速度慢,故A 项正确,故不符合题意;B 项,前20分钟,根据函数关系图可知,甲、乙都走了1.6千米,故B 正确,故不符合题意;C 项,甲40分钟走了3.2千米,则其平均速度为:3.2÷40=0.08千米/分钟,故C 项正确,故不符合题意;D 项,经过30分钟,甲走了2.4千米,乙走了2.0千米,则甲比乙多走了0.4千米,故D 项错误,故符合题意;故选:D .【点睛】本题考查了一次函数的图像及其在行程问题中的应用,理解函数关系图是解答本题的关键. 10. 如图,A ABC CB =∠∠,BD 、CD 、AD 分别平分ABC 的内角ABC ∠、外角ACF ∠、外角EAC ∠,以下结论:①AD BC ∥;②ACBADB ??;③12BDC BAC ∠=∠;④90ADC ABD ∠+∠=°.其中正确的结论有( )A. 1个B. 2个C. 3个D. 4个【答案】C【解析】 【分析】根据角平分线的定义得出,22ABC ABD DBC ∠=∠=∠,2EAC EAD ∠=∠,2ACF DCF ∠=∠,根据三角形的内角和定理得出,180BAC ABC ACB ∠+∠+∠=°,根据三角形外角性质得出EAC ABC ACB ACF ABC BAC ∠=∠+∠∠=∠+∠,,根据已知结论逐步推理,即可判断各项.【详解】解:①∵AD 平分EAC ∠,∴2EAC EAD ∠=∠,∵EAC ABC ACB ∠=∠+∠,A ABC CB =∠∠,∴2EAC ABC ∠=∠,∴EAD ABC ∠=∠,∴AD BC ∥,故①正确;②∵AD BC ∥,∴ADB DBC ∠=∠,∵BD 平分ABC ∠,A ABC CB =∠∠,∴22ABC ACB DBC ADB ∠=∠=∠=∠,故②错误;③∵180DCF ACD ACB ∠°+∠+∠=,ACD DCF ∠=∠,∴2180DCF ACB ∠+∠=°,∵BDC DBC DCF ∠+∠=∠,∴22180BDC DBC ACB °∠+∠+∠=,∴2180ABC BDC ACB ∠°+∠+∠=,∵180BAC ABC ACB ∠+∠+∠=°,∴2BAC BDC ∠=∠, ∴12BDC BAC ∠=∠,故③正确; ④∵BD 平分ABC ∠,∴ABD DBC ∠=∠,∵AD BC ∥,∴ADB DBC ∠=∠,∴ABD ADB ∠=∠,∵CD 平分ACF ∠,∴2ACF DCF ∠=∠,∵2180ADB CDB DCF DCF ACB ∠+∠=∠∠+∠=°,,∴222180DCF ABC DCF ABD °∠+∠=∠+∠=,∴90DCF ABD ∠+∠=°,∵AD BC ∥,∴ADC DCF ∠=∠,∴90ADC ABD ∠+∠=°,故④正确;综上,正确的有①③④,共3个,故选:C .【点睛】本题考查了三角形外角的性质、角平分线的定义、平行线的性质、三角形内角和定理的应用,主要考查学生的推理能力,有一定难度. 二、填空题11.在实数范围内有意义,则x 的取值范围为______.【答案】x ≥-3【解析】【分析】直接利用二次根式的定义分析得出答案.【详解】解:依题意有x +3≥0,解得:x ≥-3.故答案为:x ≥-3.【点睛】此题主要考查了二次根式有意义条件,正确掌握定义是解题关键.12. 如图是国庆阅兵时,战机在空中展示的轴对称队形.以飞机B ,C 所在直线为x 轴、队形的对称轴为的y 轴,建立平面直角坐标系,若飞机E 的坐标为()40,35−,则飞机D 的坐标为________.【答案】()40,35−−【解析】【分析】根据轴对称的性质即可得到结论.【详解】解:∵飞机()40,35E −与飞机D 关于y 轴对称,∴飞机D 坐标为()40,35−−,故答案为:()40,35−−.【点睛】本题考查了轴对称的性质,准确理解题意,熟练掌握知识点是解题的关键.13. 一次函数y kx b =+的图像经过点()2,3A ,每当x 增加1个单位时,y 增加3个单位,则此函数图像向上平移2个单位长度的表达式是________.【答案】31y x =−. 【解析】【分析】根据平面直角坐标系中平移的性质求出函数经过的另一点,再根据待定系数法即可求出函数解析式.【详解】解:∵函数图像经过点()23A ,,每当x 增加1个单位时,y 增加3个单位, ∴函数图像经过点()36,, ∴根据题意可得方程:3263k b k b =+ =+∴解方程得:33k b = =− ∴一次函数的解析式为:33y x =−,的∴函数图像向上平移2个单位长度的表达式为:33231y x x −+−,故答案为:31y x =−. 【点睛】本题考查了确定一次函数解析式的方法待定系数法,函数图像平移的相关知识点,掌握一次函数平移规律是解题的关键.14. 若关于x ,y 的方程组111222a x b y c a x b y c += += 的解为56x y = = ,则方程组()()()()1112221111a x b y c a x b y c −++= −++= 的解为____________.【答案】65x y = =【解析】【分析】设x ﹣1=m ,y +1=n ,方程组变形后求出解得到m 与n 的值,进而求出x 与y 的值即可;【详解】解:设x ﹣1=m ,y +1=n ,则方程组可化为111222a m b n c a m b n c += += , ∵关于x ,y 的方程组111222a x b y c a x b y c += += 的解为56x y = = ∴解得:56m n = =, 即1516x y −= +=, 所以65x y = =, 故答案为:65x y = =. 【点睛】此题考查了解解二元一次方程组,以及二元一次方程组的解,熟练掌握方程组的解法是解本题的关键.15. 教材上曾让同学们探索过线段的中点坐标:在平面直角坐标系中,若两点A (x 1,y 1)、B (x 2,y 2),所连线段AB 的中点是M ,则M 的坐标为(122x x +,122y y +),例如:点A (1,2)、点B (3,6),则线段AB 的中点M 的坐标为(132+,262+),即M (2,4)请利用以上结论解决问题:在平面直角坐标系中,若点E (a ﹣1,a ),F (b ,a ﹣b ),线段EF 的中点G 恰好位于x 轴上,且到y 轴的距离是2,则2a +b 的值等于_____. 【答案】203或﹣4 【解析】【分析】根据线段的中点坐标公式即可得到结论.【详解】解:∵点E (a ﹣1,a ),F (b ,a ﹣b ),∴中点G (a-1+b 2,2a-b 2), ∵中点G 恰好位于x 轴上,且到y 轴的距离是2, ∴a-1+b =222a-b =02, 解得:115a =310b =3,22a =-1b =-2 , ∴2a +b =203或﹣4; 故答案为:203或﹣4. 【点睛】此题考查坐标与图形性质,中点坐标公式,关键是根据线段的中点坐标公式解答.三、解答题16. 计算:(1(2; (3(101212− +−−+− . 【答案】(1;(2)1; (3)8.【解析】【分析】(1)根据二次根式的性质计算即可求解;(2)根据立方根,二次根式的乘除法法则计算即可;(3)根据负整数指数幂,零指数幂的法则计算即可求解.【小问1详解】; 【小问2详解】3=3=−32=−1=;【小问3详解】(101212− −−+− ()4121=+−−+4121=+++8=.【点睛】本题考查了二次根式的混合运算、负整数指数幂和零指数幂,掌握相关的运算法则是解题的关键.17. 解方程组:111,522x y x y +− −=− +=. 【答案】13x y =−= 【解析】【分析】原方程组化简后用代入消元法求解. 详解】解:原方程组化简,得25172x y x y −=− +=①②, 【②×5+①,得7x=-7,∴x=-1,把x=-1代入②,得-1+y=2,∴y=3,∴13xy=−=.【点睛】本题考查了二元一次方程组的解法,其基本思路是消元,消元的方法有:加减消元法和代入消元法两种,灵活选择合适的方法是解答本题的关键.18. 某单位计划从内部招聘管理人员一名,对甲、乙、丙三名候选人进行了笔试和面试两项测试,三人的测试成绩如表所示:根据录用程序,组织200名职工对三人利用投票推荐的方式进行民主评议,三人得票率(没有弃权票,每位职工只能推荐1人)如图所示,每得一票记1分.测试项目测试成绩/分甲乙丙笔试75 80 90面试93 70 68(1)请算出三人的民主评议得分,甲得_____分,乙得______分,丙得______分;(2)根据实际需要,单位将笔试、面试、民主评议三项测试得分按4:3:3的比例确定个人成绩,那么谁将被录用?【答案】(1)50,80,70(2)丙将被录用【解析】【分析】(1)用200分别乘以扇形统计图中甲、乙、丙的百分比即可;(2)根据加权平均数的计算方法分别计算三人的个人成绩,进行比较即可.【小问1详解】甲:20025%50×=分,乙:20040%80×=分,丙:20035%70×=分.故答案为:50,80,70;【小问2详解】如果将笔试、面试、民主评议三项测试得分按4:3:3的比例确定个人成绩,那么, 甲的个人成绩为:47539335072.9433×+×+×=++(分) 乙的个人成绩为:48037038077433×+×+×=++(分). 丙的个人成绩为:49036837077.4433×+×+×=++(分) 由于丙的个人成绩最高,所以候选人丙将被录用.【点睛】本题考查加权平均数的计算和扇形统计图,要注意各部分的权重与相应的数据的关系,牢记加权平均数的计算公式是解题的关键.19. 如图,一个无盖长方体的小杯子放置在桌面上,6cm AB BC ==,10cm CD =;(1)一只蚂蚁从A 点出发,沿小杯子外表面爬到D 点,求蚂蚁怎样走最短,最短路程是多少?(2)为了怕杯子落入灰尘又方便使用,现在需要给杯子盖上盖子,并把一双筷子放进杯子里,请问,筷子的最大长度是多少?【答案】(1)如方法一的路线最短,最短路线为(2)筷子的最大长度是【解析】【分析】(1)分别讨论将面ABEF 和面BCDE 展开,将面ABEF 和上底面展开两种情况,再利用勾股定理计算,进而比较即可求解;(2)当筷子沿AD 倾斜放的时候,能够放的最长,利用勾股定理计算即可.【小问1详解】方法一:将面ABEF 和面BCDE 展开,如图,∵6cm AB BC ==,10cm CD =,∴12cm,90AC C =∠=°,由勾股定理得AD ;方法二:将面ABEF 和上底面展开,如图,∵6cm AB DE ==,10cm BE =,∴16cm,90DB B =∠=°,由勾股定理得AD ===;所以,如方法一的路线最短,最短路线为;【小问2详解】如图,当筷子沿AD 倾斜放的时候,能够放的最长,∵6cm AB BC ==,10cm CD =,∴由勾股定理得AC,∴AD =,所以,筷子的最大长度是.【点睛】本题考查了勾股定理的应用,准确理解题意,熟练掌握勾股定理是解题的关键.20. 某商场第1次用39万元购进A ,B 两种商品,销售完后获得利润6万元,它们的进价和售价如表(总利润=单价利润×销售量): 价格商品进价(元/件) 售价(元/件) A1200 1350 B 1000 1200(1)该商场第1次购进A ,B 两种商品各多少件?(2)商场第2次以原进价购进A ,B 两种商品,购进A 商品的件数不变,而购进B 商品的件数是第1次的2倍,A 商品按原售价销售,而B 商品打折销售,若两种商品销售完毕,要使得第2次经营活动获得利润等于5.4万元,则B 种商品是按几折销售的?【答案】(1)商场第1次购进A 商品200件,B 商品150件(2)B 种商品打九折销售的【解析】【分析】(1)设第1次购进A 商品x 件,B 商品y 件,根据该商场第1次用39万元购进A 、B 两种商品且销售完后获得利润6万元,即可得出关于x 、y 的二元一次方程组,解之即可得出结论;(2)设B 商品打m 折出售,根据总利润=单件利润×销售数量,即可得出关于m 的一元一次方程,解之即可得出结论.【小问1详解】解:设第1次购进A 商品x 件,B 商品y 件.根据题意得:()()12001000390000135012001200100060000x y x y += −+−= , 解得:200150x y = =. 答:商场第1次购进A 商品200件,B 商品150件.【小问2详解】设B 商品打m 折出售.根据题意得:()200135012001502120010005400010m ×−+×××−=, 解得:9m =.答:B 种商品打九折销售的. 【点睛】本题考查了二元一次方程组的应用以及一元一次方程的应用,解题的关键是:(1)找准等量关系,正确列出二元一次方程组;(2)找准等量关系,正确列出一元一次方程.21. 如图,在平面直角坐标系中,一次函数1210y x =−+的图象与x 轴交于点A ,与一次函数2223y x =+的图象交于点B .(1)求点B 的坐标;(2)C 为x 轴上点A 右侧一个动点,过点C 作y 轴的平行线,与一次函数1210y x =+的图象交于点D ,与一次函数2223y x =+的图象交于点E .当3CE CD =时,求DE 的长; (3)直线y kx k =−经过定点()1,0,当直线与线段AB (含端点)有交点时k 的正整数值是________. 【答案】(1)()3,4(2)8 (3)1或2【解析】【分析】(1)联立可直接得点B 的坐标;(2)设点C 的横坐标为m ,则(),210D m m −+,2,23E m m +,由3CE CD =求出m ,即可得DE 的长;(3)分别求解当直线y kx k =−也经过点()3,4B 时,当直线y kx k =−也经过点A 时k 的值即可求解. 【小问1详解】 解:令221023x x −++,解得3x =,4y ∴=,B ∴点坐标为()3,4.【小问2详解】解:设点C 的横坐标为m ,则(),210D m m −+,2,23E m m +, 223CE m ∴=+,210CD m =−, 3CE CD = , ∴()2232103m m +=−,解得6m =. ()6,2D ∴−,()6,6E ,8DE ∴=.【小问3详解】直线y kx k =−经过定点()1,0, 当直线y kx k =−经过点()3,4B 时,43k k =−,解得2k =;当直线y kx k =−经过点A 时, 解得0k =;∴直线y kx k =−经过定点()1,0,当直线与线段AB (含端点)有交点时k 的正整数值是1或2, 故答案为:1或2.【点睛】本题是一次函数综合题,考查了待定系数法求一次函数解析式,函数图象上点的坐标特征,两点的距离等知识,灵活运用这些知识解决问题是本题的关键.22. 如图,长方形ABCD (对边平行且相等,四个角都是直角)中,6,8AB AD ==,点P 在边BC 上,且不与点B 、C 重合,直线AP 与DC 的延长线交于点E .(1)当点P 是BC 的中点时,求证:ABP ECP △≌△;(2)将APB △沿直线AP 折叠得到APB ′ ,点B ′落在长方形ABCD 的内部,延长PB ′交直线AD 于点F .①证明FA FP =,并求出在(1)条件下AF 的值;②连接B C ′,求PCB ′△周长的最小值.【答案】(1)见解析 (2)①证明见解析,132AF =;②PCB ′△周长的最小值为12. 【解析】【分析】(1)根据长方形的性质得AB CD ∥,可得BAP E B BCE ∠=∠∠=∠,,利用AAS 即可得出结论; (2)①根据平行线的性质和折叠的性质得出FAP APF ∠=∠,等角对等边即可得FA FP =,设FA x =,在Rt AB F ′△中,由勾股定理求即可解;②可得PCB ′△的周长8CP P C CB C B B B B C ′′′=+++=+′=,当点B ′恰好位于对角线AC 上时,CB AB ′+′最小,在Rt ABC △中,由勾股定理得10AC =,据此求解即可得PCB ′△周长的最小值.【小问1详解】证明:∵长方形ABCD 中,∴AB CD ∥,∴BAP E B BCE ∠=∠∠=∠,,∵点P 是BC 的中点,∴BP CP =,∴(AAS)ABP ECP △≌△;【小问2详解】解:①∵长方形ABCD 中,∴AD BC ∥,∴APB FAP ∠=∠,由折叠得APB APF ∠=∠,∴FAP APF ∠=∠,∴FA FP =,长方形ABCD 中,68AB AD ==,,∴8BC AD ==,∵点P 是BC 的中点,∴4BP CP ==,由折叠得6A B B A ′==,4PB PB ′==,90B AB P AB F ∠=∠=∠=′′°,设FA x =,则FP x =,∴4FB x ′=−,在Rt AB F ′△中,222AF F B A B ′+′=,∴222(4)6x x =−+, 解得132x =,即132AF =; ②由折叠得6A B B A ′==,4PB PB ′==, ∴PCB ′△的周长8CP P C CB C B B B B C ′′′=+++=+′=,连接B C AC ′,,∵AB B C AC ′′+>,∴当点B ′B ′恰好位于对角线AC 上时,CB AB ′+′最小,在Rt ABC △中,68AB BC ==,,∴10AC =,∴CB ′的最小值4AC AB ′=−=,∴PCB ′△周长的最小值88412CB ′=+=+=.【点睛】本题属于四边形综合题,考查了折叠的性质,全等三角形的判定和性质,等腰三角形的判定和性质以及勾股定理等知识,掌握折叠是一种轴对称,折叠前后的图形对应角相等、对应边相等,灵活运用相关的性质是解题的关键.。
南山区2021-2022学年第一学期八年级期末考试数学试卷一.选择题(每题3分,共30分)1. 下列线段能组成直角三角形的一组是()A. 1,2,2B. 3,4,5C.2 D. 5,6,7【答案】B【解析】【分析】根据勾股定理的逆定理逐项分析即可.【详解】解:A、∵12+22≠22,∴该三角形不符合勾股定理的逆定理,故不能组成直角三角形;B、∵32+42=52,∴该三角形符合勾股定理的逆定理,故能组成直角三角形;C、∵2+222,∴该三角形不符合勾股定理的逆定理,故不能组成直角三角形;D、∵52+62≠72,∴该三角形不符合勾股定理的逆定理,故不能组成直角三角形.故选:B.【点睛】本题考查了勾股定理逆定理,如果三角形两边的平方和等于第三边的平方,那么这个三角形是直角三角形,在一个三角形中,即如果用a,b,c表示三角形的三条边,如果a2+b2=c2,那么这个三角形是直角三角形.2. 在如图所示的直角坐标系中,M,N的坐标分别为()A. M(2,-1),N(2,1)B. M(-1,2),N(2,1)C. M(-1,2),N(1,2)D. M(2,-1),N(1,2)【答案】B【解析】【分析】【详解】点M在第二象限,那么横坐标小于0,是-1,纵坐标大于0,是2,即点M的坐标是(-1,2),点N在第一象限,那么它的横、纵坐标都大于0,即点N 的坐标为(2,1)故选B .考点:点的坐标.3. 在一次投篮训练中,甲、乙、丙、丁四人各进行10次投篮,每人投篮成绩的平均数都是8,方差分别为S 甲2=0.24,S 乙2=0.42,S 丙2=0.56,S 丁2=0.75,成绩最稳定的是( )A. 甲.B. 乙C. 丙D. 丁【答案】A【解析】【分析】根据方差的意义,即可求解.【详解】解:∵S 甲2=0.24,S 乙2=0.42,S 丙2=0.56,S 丁2=0.75∴2222甲乙丁丙<<<S S S S∴成绩最稳定是甲故选A【点睛】此题考查了方差的意义,方差反应一组数据的波动情况,方差越小数据越稳定,理解方差的意义是解题的关键.4. 若a<b ,且a 与b 为连续整数,则a 与b 的值分别为( )A. 1;2B. 2;3C. 3;4D. 4;5 【答案】B【解析】【分析】先估算出的范围,进而即可求解.∴2<3,∴a 与b 的值分别为2,3.故选B .【点睛】本题主要考查无理数的估算,掌握算术平方根的意义是解题的关键.5. 将一副三角板(30,45A E ∠°∠°==)按如图所示方式摆放,使得//BA EF ,则AOF ∠等于( ) 的A. 75°B. 90°C. 105°D. 115°【答案】A【解析】 【分析】根据平行线的性质和三角形外角的性质进行计算,即可得到答案.【详解】解://,30BA EF A ∠°Q =,30FCA A ∴∠=∠=°.45F E ∠∠°Q ==,304575AOF FCA F ∴∠∠+∠°+°°===.故选A .【点睛】本题考查平行线的性质和三角形外角的性质,解题的关键是掌握平行线的性质和三角形外角的性质.6. 下列计算结果,正确的是( )A.3 B.C. 1D. 2=5【答案】D【解析】【分析】利用二次根式的性质对A 、D 进行判断;根据二次根式的加减法对B 、C 进行判断.【详解】解:A 、原式=3,所以A 选项错误;B不能合并,所以B 选项错误;C 、原式C 选项错误;D 、原式=5,所以D 选项正确.故选:D . 【点睛】本题考查了二次根式的混合运算:先把二次根式化为最简二次根式,然后进行二次根式的乘除运算,再合并即可.在二次根式的混合运算中,如能结合题目特点,灵活运用二次根式的性质,选择恰当的解题途径,往往能事半功倍.7. 一次函数y kx b =+的图象如图所示,则下列结论正确的是( )A. 0k <B. 1b =−C. y 随x 的增大而减小D. 当2x >时,0kx b +<【答案】B【解析】【分析】根据一次函数的图象与性质判断即可. 【详解】由图象知,k ﹥0,且y 随x 的增大而增大,故A 、C 选项错误;图象与y 轴负半轴的交点坐标为(0,-1),所以b=﹣1,B 选项正确;当x ﹥2时,图象位于x 轴的上方,则有y ﹥0即+kx b ﹥0,D 选项错误,故选:B .【点睛】本题考查一次函数的图象与性质,利用数形结合法熟练掌握一次函数的图象与性质是解答本题的关键.8. 下列命题错误的个数有( )①实数与数轴上的点一一对应;②无限小数就是无理数;③三角形的一个外角大于任何一个和它不相邻的内角;④两条直线被第三条直线所截,同旁内角互补.A. 1个B. 2个C. 3个D. 4个【答案】B【解析】【分析】根据实数与数轴的关系可判断①为真命题;根据无理数定义可判断②为假命题;根据三角形的一个外角性质可判断③为真命题;根据平行线性质可判断④为假命题即可.【详解】解:实数与数轴上的点一一对应,所以①为真命题;无限不循环小数是无理数,所以②为假命题;三角形的一个外角大于任何一个和它不相邻的内角,所以③为真命题;两条平行直线被第三条直线所截,同旁内角互补,所以④为假命题;∴命题不正确的有两个.故选:B .【点睛】本题考查实数与数轴的关系,无理数定义,三角形外角性质,平行线性质,掌握实数与数轴的关系,无理数定义,三角形外角性质,平行线性质是解题关键.9. 勾股定理是几何中的一个重要定理,在我国算书《网醉算经》中就有“若勾三,股四,则弦五”的记载.如图1,是由边长相等的小正方形和直角三角形构成的,可以用其面积关系验证勾股定理.图2是由图1放入矩形内得到的,∠BAC=90°,AB=3,BC=5,点D ,E ,F ,G ,H ,I 都在矩形KLMJ 的边上,则矩形KLMJ 的面积为( )A. 121B. 110C. 100D. 90【答案】B【解析】 【分析】延长AB 交KF 于点O ,延长AC 交GM 于点P ,可得四边形AOLP 是正方形,然后求出正方形的边长,再求出矩形KLMJ 的长与宽,然后根据矩形的面积公式列式计算即可得解.【详解】解:如图,延长AB 交KF 于点O ,延长AC 交GM 于点P ,则四边形OALP 是矩形. 90CBF ∠=° ,90ABC OBF ∴∠+∠=°,又 直角ABC ∆中,90ABC ACB ∠+∠=°,OBF ACB ∴∠=∠,在OBF ∆和ACB ∆中,BAC BOF ACB OBF BC BF ∠=∠ ∠=∠ =, ()OBF ACB AAS ∴∆≅∆,AC OB =∴,同理:ACB PGC ∆≅∆,PC AB ∴=,OA AP ∴=,所以,矩形AOLP 是正方形,边长347AO AB AC =+=+=,所以,3710KL =+=,4711LM =+=,因此,矩形KLMJ 的面积为1011110×=,故选B .【点睛】本题考查了勾股定理的证明,作出辅助线构造出正方形是解题的关键.10. A ,B 两地相距640km ,甲、乙两辆汽车从A 地出发到B 地,均匀速行驶,甲出发1小时后,乙出发沿同一路线行驶,设甲、乙两车相距s (km ),甲行驶的时间为t (h ),s 与t 的关系如图所示,下列说法:①甲车行驶的速度是60km/h ,乙车行驶的速度是80km/h ;②乙出发4h 后追上甲;③甲比乙晚到53h ;④甲车行驶8h 或913h ,甲,乙两车相距80km .其中正确的个数是( )A. 1个B. 2个C. 3个D. 4个【答案】C【解析】 【分析】根据图象可得甲车行驶的速度是60÷1=60km /h ,再由甲先出发1h ,乙出发3h 后追上甲,可得到乙车行驶的速度是80km /h ,故①正确;故②错误;根据图象可得当乙到达B 地时,甲乙相距100km ,从而得到甲比乙晚到100÷60=53h ,故③正确;然后分两种情况:当乙车在甲车前,且未到达B 地时和当乙车到达B 地后时,可得④正确.【详解】解:①由图可得,甲车行驶的速度是60÷1=60km /h ,∵甲先出发1h,乙出发3h后追上甲,∴3(v乙-60)=60,∴v乙=80km/h,即乙车行驶的速度是80km/h,故①正确;②∵当t=1时,乙出发,当t=4时,乙追上甲,∴乙出发3h后追上甲,故②错误;③由图可得,当乙到达B地时,甲乙相距100km,∴甲比乙晚到100÷60=53h,故③正确;④由图可得,当乙车在甲车前,且未到达B地时,则60t+80=80(t-1)解得t=8;当乙车到达B地后时,60t+80=640,解得t=91 3,∴甲车行驶8h或913h,甲,乙两车相距80km,故④正确;综上所述,正确的个数是3个.故选:C【点睛】本题主要考查了函数的图象,能从函数的获取准确信息,利用数形结合思想解答是解题的关键.二.填空题(每题3分,共15分)11.有意义,则x的取值范围是________.【答案】5x≥【解析】【分析】根据二次根式有意义的条件:被开方数≥0,列不等式即可.【详解】根据二次根式有意义的条件:50x−≥解得:5x≥故答案为5x≥【点睛】此题考查的是二次根式有意义的条件,解决此题的关键是根据二次根式有意义的条件:被开方数≥0,列不等式.12. 将直线y=3x向上平移3个单位,得到直线____.【答案】y=3x+3【解析】【分析】根据“上加下减”的平移规律填空.【详解】解:将一次函数y =3x 向上平移3个单位,所得图象的函数解析式为:y =3x +3,故答案为:y =3x +3.【点睛】本题考查了一次函数图象与几何变换.直线平移变换的规律:对直线y =kx 而言:上下移动,上加下减;左右移动,左加右减.13. 如图,直线:AB y kx b =+与直线:CD y mx n =+交于点E (3,1),则关于x ,y 的二元一次方程组y kx b y mx n =+ =+的解为___.【答案】31x y = = 【解析】【分析】利用方程组的解就是两个相应的一次函数图象的交点坐标解决问题.【详解】解:∵直线:AB y kx b =+与直线:CD y mx n =+交于点E (3,1), ∴关于x ,y 的二元一次方程组y kx b y mx n =+ =+ 的解为31x y = = ; 故答案为:31x y = =. 【点睛】本题考查了一次函数与二元一次方程(组):方程组的解就是使方程组中两个方程同时成立的一对未知数的值,而这一对未知数的值也同时满足两个相应的一次函数式,因此方程组的解就是两个相应的一次函数图象的交点坐标.14. 已知M(2n-m,5)和N(13,m)关于x轴对称,则(m+n)2022的值为_______.【答案】1【解析】【分析】根据关于x轴对称的点,横坐标相等,纵坐标互为相反数求得,m n值,然后代入计算即可.【详解】解:∵点M(2n-m,5)与点N(13,m)关于x轴对称,∴2n-m=13,m=-5,解得m=-5,n=4,∵(m+n)2022=(-1)2022=1,故答案为:1.【点睛】本题考查关于x轴、y轴对称的点的坐标特征,熟练掌握坐标特征是解题的关键.15. 如图,在直角坐标系中,矩形ABCO的边OA在x轴上,边OC在y轴上,点B的坐标为(4,8),将矩形沿对角线AC翻折,B点落在D点的位置,且AD交y轴于点E,那么点D的坐标为______________.【答案】1224,55骣琪-琪桫.【解析】【分析】过D作DF⊥x轴于F,根据折叠可以证明△CDE≌△AOE,然后利用全等三角形的性质得到OE=DE,OA=CD=4,设OE=x,那么CE=8﹣x,DE=x,利用勾股定理即可求出OE的长度,而利用已知条件可以证明△AEO∽△ADF,而AD=AB=8,接着利用相似三角形的性质即可求出DF、AF的长度,也就求出了D的坐标.【详解】解:如图,过D作DF⊥x轴于F,∵点B的坐标为(4,8),∴AO=4,AB=8,根据折叠可知:CD=OA,而∠D=∠AOE=90°,∠DEC=∠AEO,∴△CDE≌△AOE,∴OE=DE,OA=CD=4,设OE=x,那么CE=8﹣x,DE=x,∴在Rt△DCE中,CE2=DE2+CD2,∴(8﹣x)2=x2+42,∴x=3,又DF⊥AF,∴DF∥EO,∴△AEO∽△ADF,而AD=AB=8,∴AE=CE=8﹣3=5,∴AE OE AO AD DF AF==,即5348DF AF ==,∴DF=245,AF=325,∴OF=3212455-=,∴D的坐标为1224,55骣琪-琪桫.故答案是:1224,55骣琪-琪桫.三.解答题(共55分)16. 计算及解方程组:(1(2-2;(3));(4)222312nmm n-=+=.【答案】(1)6 (2)2(3)1+(4)m=3,n=2【解析】【分析】(1)先根据二次根式的乘法法则计算,然后将二次根式化简即可;(2)先化简二次根式,合并同类二次根式,约分,再计算减法即可;(3)根据平方差公式计算,化简二次根式为最简二次根式,然后合并即可;(4)利用加减消元法解二元一次方程组,先整理,标号,两式相减,求出n=2,再代入求出m即可.【小问1详解】6;【小问2详解】-22321−=−=;【小问3详解】解:),=22−+=1+;【小问4详解】解:222312nmm n-=+=整理得242312m nm n-=①+=②,②-①得4n=8,解得n =2,把n =2代入②得m =3,∴32m n = =. 【点睛】本题考查二次根式混合计算,二元一次方程组的解法,掌握二次根式混合计算,二元一次方程组的解法是解题关键.17. 深圳市近期正在创建第六届全国文明城市,学校倡议学生利用双休日参加义工活动,为了解同学们的活动情况学校随机调查了部分同学的活动时间,并用得到的数据绘制了不完整的统计图,根据图中信息回答下列问题:(1)将条形统计图补充完整;(2)扇形图中“1.5小时”部分圆心角是多少度,活动时间的平均数是多少个小时,众数是多少小时,中位数是多少个小时;(3)若该学校共有900人参与义工活动,请你估计工作时长一小时以上(不包括一小时)的学生人数.【答案】(1)条形统计图补充完整见解析;(2)144°,1.32小时,1.5小时,1.5小时;(3)522人【解析】【分析】(1)根据扇形统计图的性质,计算得随机调查的同学总数,再结合条形统计图性质分析,即可得到答案;(2)根据扇形统计图的性质,可计算得扇形图中“1.5小时”部分圆心角;结合题意,根据平均数、众数和中位数的性质计算,即可得到答案;(3)根据用样品评估总体的性质计算,即可得到答案.【详解】(1)随机调查的同学总数为:30÷30%=100(人)∴“1.5小时”对应同学人数为:100-12-30-18=40(人)补全统计如图所示:的(2)扇形图中“1.5小时”部分圆心角是:360°×40100=144° 活动时间的平均数为:0.512130 1.540218100×+×+×+×=1.32(小时) ∵活动时间出现次数最多的是1.5小时,出现40次∴众数为1.5小时,将100个学生的活动时间从小到大排序后处在第50、51位的都是1.5小时,∴中位数是1.5小时;(3)工作时长一小时以上(不包括一小时)学生人数为:900×4018100+=522(人). 【点睛】本题考查了调查统计的知识;解题的关键是熟练掌握抽样调查、条形统计图、扇形统计图、众数、中位数、平均数、用样本评估总体的性质,从而完成求解.18. 在我国古代数学著作《九章算术》中记载了一个有趣的问题,这个问题的意思是:有一个水池,水面是一个边长为10尺的正方形,在水池正中央有一根新生的芦苇,它高出水面1尺,如图所示,如果把这根芦苇垂直拉向岸边,它的顶端恰好到达岸边的水面.那么水深多少?芦苇长为多少?【答案】水深12尺;芦苇长为13尺.【解析】【详解】试题分析:找到题中的直角三角形,设水深为x 尺,根据勾股定理解答.试题解析;设水深为x 尺,则芦苇长为(x+1)尺,根据勾股定理得:22210()(1)2x x +=+,解得:x=12(尺),芦苇的长度=x+1=12+1=13(尺).的答:水池深12尺,芦苇长13尺.考点:勾股定理的应用.19. 为了响应市委和市政府“绿色环保,节能减排”的号召,幸福商场用3300元购进甲、乙两种节能灯共计100只,很快售完.这两种节能灯的进价、售价如下表:进价(元/只)售价(元/只)甲种节能灯30 40乙种节能灯35 50(1)求幸福商场甲、乙两种节能灯各购进了多少只?(2)全部售完100只节能灯后,商场共计获利多少元?【答案】(1)商场购进甲种节能灯40只,购进乙种节能灯60只(2)商场共计获利1300元【解析】【分析】(1)设商场购进甲种节能灯x只,购进乙种节能灯y只,根据幸福商场用3300元购进甲、乙两种节能灯共计100只,即可得出关于x、y的二元一次方程组,解之即可得出结论;(2 )根据总利润=每只甲种节能灯的利润×购进数量+每只乙种节能灯的利润×购进数量,即可求出结论.【小问1详解】解:设商场购进甲种节能灯x只,购进乙种节能灯y只,根据题意得:30353300 {100x yx y+=+=,解得:4060 xy==.答:商场购进甲种节能灯40只,购进乙种节能灯60只.【小问2详解】40(4030)60(5035)1300×−+×−=(元).答:商场共计获利1300元.【点睛】本题主要考查了二元一次方程组的应用,解题关键是要读懂题目的意思,根据题目给出的条件,找出合适的等量关系,列出方程组求解.20. 在如图的直角坐标系中,每个小方格都是边长为1个单位的正方形,△ABC的三个顶点都在格点上(每个小方格的顶点叫格点),点A 的坐标为(-2,3).(1)请画出△ABC 关于x 轴对称的A B C ′′′ (不写画法,其中,,A B C ′′′分别是A ,B ,C 的对应点); (2)直接写出,,A B C ′′′三点的坐标:A ′(_______),B ′(_______),C ′(_______);(3)在y 轴上求作一点P ,使P A +PB 的值最小.(简要写出作图步骤)【答案】(1)见解析 (2)(-2,-3),(-3,-1),(1,2)(3)见解析【解析】【分析】(1)根据题意,分别作点,,A B C 关于x 轴的对称点 ,,A B C ′′′,再顺次连接,即可求解; (2)根据若两点关于x 轴对称,横坐标相等,纵坐标互为相反数,即可求解;(3)根据A 点和点A ″关于y 轴对称,可得AP A P ′′=,从而得到当点,,B P A ′′三点共线时, P A +PB 值最小,即可求解.【小问1详解】解:如图所示:A B C ′′′ 即为所求;【小问2详解】解:如图所示:()()()2,3,31,12A B C ′−′−′-,-,; 【小问3详解】解:如图所示:作A 点关于y 轴对称点A ″,连接A B ″,交y 轴于点P ,P 点即为所求,的理由:∵A 点和点A ″关于y 轴对称,∴AP A P ′′=,∴AP BP A P BP ′′+=+,∴当点,,B P A ′′三点共线时, P A +PB 的值最小,即点P 位于A B ′′与y 轴的交点处时,P A +PB 的值最小.【点睛】本题主要考查了坐标与图形的变换——轴对称图形,最短路径问题,熟练掌握若两点关于x 轴对称,横坐标相等,纵坐标互为相反数是解题的关键.21. 【问题背景】∠MON =90°,点A 、B 分别在OM 、ON 上运动(不与点O 重合).【问题思考】(1)如图①,AE 、BE 分别是∠BAO 和∠ABO 的平分线,随着点A 、点B 的运动,∠AEB = .(2)如图②,若BC 是∠ABN 的平分线,BC 的反向延长线与∠OAB 的平分线交于点D .①若∠BAO =70°,则∠D = °.②随着点A 、B 的运动,∠D 的大小会变吗?如果不会,求∠D 的度数;如果会,请说明理由;【问题拓展】(3)在图②的基础上,如果∠MON =a ,其余条件不变,随着点A 、B 的运动(如图③),∠D = .(用含a 的代数式表示)【答案】(1)135°;(2)①45;②∠D 的度数不随着点A 、B 的运动而发生变化;∠D =45°;(3)12α.【解析】【分析】(1)根据三角形的内角和定理和角平分线的定义即可得到结论;(2)①根据三角形的内角和定理和角平分线的定义进行计算即可得到结论;②设∠BAD =β,再根据三角形的内角和定理和角平分线的定义进行计算即可得到结论;(3)设,BAO x ∠=° 而,MON AOB α∠=∠= 再利用角平分线的含义与三角形的外角的性质分别表示,,,DBO ABO BAD ∠∠∠ 再利用三角形的内角和定理可得答案.【详解】解:(1)90MON AOB ∠=∠=° ,∴∠OAB +∠OBA =90°,∵AE 、BE 分别是∠BAO 和∠ABO 角的平分线,∴∠BAE =12OAB ∠,∠ABE =12ABO ∠, ∴∠BAE +∠ABE =()12OAB ABO ∠+∠=45°, ∴∠AEB =135°; 故答案为:135°;(2)①∵∠AOB =90°,∠BAO =70°,∴∠ABO =20°,∴∠ABN =160°,∵BC 是∠ABN 的平分线,∴∠OBD =∠CBN =1160802×°=°, ∵AD 平分∠BAO , ∴∠DAB =35°,∴∠D =180°-∠ABD -∠BAD =180********°−°−°−°=°,故答案为:45°;②∠D 的度数不随A 、B 的移动而发生变化, 设∠BAD =β,∵AD 平分∠BAO ,∴∠BAO =2β,∵∠AOB =90°,∴∠ABN =180°-∠ABO =∠AOB +∠BAO =90+2β°,∵BC 平分∠ABN , ∴∠ABC =45+β°,∵∠ABC =180°-∠ABD =∠D +∠BAD ,∴∠D =∠ABC -∠BAD =45+45ββ°−=°;(3)设,BAO x ∠=° 而,MON AOB α∠=∠=∵∠BAO 与ABN ∠的平分线交于点,D()()11111,,22222BAD BAO x DBO NBC ABN AOB BAO x α∴∠=∠=°∠=∠=∠=∠+∠=+° 而180180,ABOAOB BAO x α∠=°−∠−∠=°−−° 180D ABD DAB ∴∠=°−∠−∠()()11180+18022x x x αα=°−°−°−−°−° 1.2α= 故答案为:1.2α 【点睛】本题考查了三角形的内角和定理,三角形的外角的性质,角平分线的定义,熟练掌握三角形的内角和定理与三角形的外角的性质是解题的关键.22. 如图,在平面直角坐标系中,直线AB :y =kx +1(k ≠0)交y 轴于点A ,交x 轴于点B (3,0),点P 是直线AB 上方第一象限内的动点.(1)求直线AB 的表达式和点A 的坐标;(2)点P 是直线x =2上一动点,当△ABP 面积与△ABO 的面积相等时,求点P 的坐标;(3)当△ABP 为等腰直角三角形时,请直接写出点P 的坐标.【答案】(1)y =13−x +1,点A (0,1) (2)点P 的坐标是(2,43) (3)点P 的坐标是(4,3)或(1,4)或(2,2)【解析】【分析】(1)把B 的坐标代入直线AB 的解析式,即可求得k 的值,然后在解析式中,令0x =,求得y 的值,即可求得A 的坐标;(2)过点A 作AM PD ⊥,垂足为M ,求得AM 的长,即可求得BPD ∆和PAD ∆的面积,二者的和即的可表示PAB S ∆,在根据ABP ∆的面积与ABO ∆的面积相等列方程即可得答案; (3)分三种情况:当P 为直角顶点时,过P 作PN y ⊥轴于N ,过B 作BM PN ⊥于M ,由()APN PBM AAS ∆≅∆,可得1AN PN +=①,3PN AN +=②,即得(2,2)P ;当A 为直角顶点时,过P 作PK y ⊥轴于K ,由APK BAO ∆≅∆,可得(1,4)P ,当B 为直角顶点时,过P 作PR x ⊥轴于R ,同理可得(4,3)P .【小问1详解】解: 直线:1(0)AB y kx k =+≠交y 轴于点A ,交x 轴于点(3,0)B , 031k ∴+,13k ∴=−, ∴直线AB 的解析式是113y x =−+. 当0x =时,1y =,∴点(0,1)A ;【小问2详解】解:如图1,过点A 作AM PD ⊥,垂足为M ,则有2AM =,设(2,)P n ,2x = 时,11133y x =−+=, 1(2,)3D ∴, P 在点D 的上方,13PD n ∴=−,11112()2233APD S AM PD n n ∆∴=⋅=××−=−, 由点(3,0)B ,可知点B 到直线2x =的距离为1,即BDP ∆的边PD 上的高长为1, 11111()()2323BPD S n n ∆∴=××−=−, 3122PAB APD BPD S S S n ∆∆∆∴=+=−; ABP ∆ 的面积与ABO ∆的面积相等, ∴31113222n −=××, 解得43n =, 4(2,)3P ∴; 【小问3详解】解:当P 为直角顶点时,过P 作PN y ⊥轴于N ,过B 作BM PN ⊥于M , 如图2:ABP ∆ 为等腰直角三角形, AP BP ∴=,90NPA BPM PBM ∠=°−∠=∠, 90ANP BMP ∠=∠=° , ()APN PBM AAS ∴∆≅∆, BM PN ∴=,PM AN =, 90NOB ONM OBM ∠=∠=∠=° , ∴四边形OBMN 是矩形, 3MN OB ∴==,1BM ON AN PN ==+=①, 3PN PM PN AN ∴+=+=②, 由①②解得2PN =,1AN =,2ON OA AN ∴===,(2,2)P ∴;当A 为直角顶点时,过P 作PK y ⊥轴于K ,如图3:ABP ∆ 为等腰直角三角形,AP AB ∴=,90KAP OAB ABO ∠=°−∠=∠,而90PKA AOB ∠=∠=°, ()APK BAO AAS ∴∆≅∆,3AK OB ∴==,1PK OA ==,4OK OA AK ∴=+=,(1,4)P ∴,当B 为直角顶点时,过P 作PR x ⊥轴于R ,如图4:同理可证()AOB BRP AAS ∆≅∆,1BR OA ∴==,3PR OB ==,(4,3)P ∴,综上所述,P 坐标为:(2,2)或(1,4)或(4,3).【点睛】本题考查一次函数综合应用,解题的关键是作辅助线,构造全等三角形,利用全等三角形对应边相等解决问题.。
2021-2022学年广东省深圳市南山区八年级(上)期末数学试卷一、选择题(每题3分,共30分)1.(3分)下列线段能组成直角三角形的一组是()A.1,2,2B.3,4,5C.,2,D.5,6,7 2.(3分)在如图所示的直角坐标系中,M,N的坐标分别为()A.M(2,﹣1),N(2,1)B.M(﹣1,2),N(2,1)C.M(﹣1,2),N(1,2)D.M(2,﹣1),N(1,2)3.(3分)在一次投篮训练中,甲、乙、丙、丁四人各进行10次投篮,每人投篮成绩的平均数都是8,方差分别为S甲2=0.24,S乙2=0.42,S丙2=0.56,S丁2=0.75,成绩最稳定的是()A.甲.B.乙C.丙D.丁4.(3分)若a<<b,且a与b为连续整数,则a与b的值分别为()A.1;2B.2;3C.3;4D.4;55.(3分)将一副三角板(∠A=30°,∠E=45°)按如图所示方式摆放,使得BA∥EF,则∠AOF等于()A.75°B.90°C.105°D.115°6.(3分)下列计算结果,正确的是()A.=﹣3B.=C.2﹣=1D.()2=5 7.(3分)一次函数y=kx+b的图象如图所示,则下列结论正确的是()A.k<0B.b=﹣1C.y随x的增大而减小D.当x>2时,kx+b<08.(3分)下列命题错误的个数有()①实数与数轴上的点一一对应;②无限小数就是无理数;③三角形的一个外角大于任何一个和它不相邻的内角;④两条直线被第三条直线所截,同旁内角互补.A.1个B.2个C.3个D.4个9.(3分)勾股定理是几何中的一个重要定理,在我国古算书《周髀算经》中就有“若勾三,股四,则弦五”的记载.如图1是由边长相等的小正方形和直角三角形构成的,可以用其面积关系验证勾股定理.图2是由图1放入矩形内得到的,∠BAC=90°,AB=3,BC =5,点D,E,F,G,H,I都在矩形KLMJ的边上,则矩形KLMJ的面积为()A.121B.110C.100D.9010.(3分)A,B两地相距640km,甲、乙两辆汽车从A地出发到B地,均匀速行驶,甲出发1小时后,乙出发沿同一路线行驶,设甲、乙两车相距s(km),甲行驶的时间为t(h),s与t的关系如图所示,下列说法:①甲车行驶的速度是60km/h,乙车行驶的速度是80km/h;②乙出发4h后追上甲;③甲比乙晚到h;④甲车行驶8h或9h,甲,乙两车相距80km;其中正确的个数是()A.1个B.2个C.3个D.4个二、填空题(每题3分,共15分)11.(3分)使二次根式有意义的x的取值范围是.12.(3分)将直线y=3x向上平移3个单位,得到直线.13.(3分)如图,直线AB:y=kx+b与直线CD:y=mx+n交于点E(3,1),则关于x的二元一次方程组的解为.14.(3分)已知M(2n﹣m,5)和N(13,m)关于x轴对称,则(m+n)2022的值为.15.(3分)如图,在直角坐标系中,矩形ABCO的边OA在x轴上,边OC在y轴上,点B 的坐标为(4,8),将矩形沿对角线AC翻折,B点落在D点的位置,且AD交y轴于点E,那么点D的坐标为.三、解答题(共55分)16.(12分)计算及解方程组:(1);(2)﹣2;(3)(﹣)(+)+﹣;(4).17.(5分)深圳市近期正在创建第六届全国文明城市,学校倡议学生利用双休日参加义工活动,为了解同学们的活动情况学校随机调查了部分同学的活动时间,并用得到的数据绘制了不完整的统计图,根据图中信息回答下列问题:(1)将条形统计图补充完整;(2)扇形图中“1.5小时”部分圆心角是度,活动时间的平均数是,众数是小时,中位数是小时;(3)若该学校共有900人参与义工活动,请你估计工作时长一小时以上(不包括一小时)的学生人数为.18.(5分)在我国古代数学著作《九章算术》中记载了一道有趣的问题,这个问题的意思是:有一个水池,水面是一个边长为10尺的正方形.在水池正中央有一根新生的芦苇,它高出水面1尺.如果把这根芦苇垂直拉向岸边,它的顶端恰好到达岸边的水面.请问这个水池的深度和这根芦苇的长度各为多少?19.(8分)为了响应市委和市政府“绿色环保,节能减排”的号召,幸福商场用3300元购进甲、乙两种节能灯共计100只,很快售完.这两种节能灯的进价、售价如下表:进价(元/只)售价(元/只)甲种节能灯3040乙种节能灯3550(1)求幸福商场甲、乙两种节能灯各购进了多少只?(2)全部售完100只节能灯后,商场共计获利多少元?20.(7分)在如图的直角坐标系中,每个小方格都是边长为1个单位的正方形,△ABC的三个顶点都在格点上(每个小方格的顶点叫格点),点A的坐标为(﹣2,3).(1)请画出△ABC关于x轴对称的△A′B′C′(不写画法,其中A′,B′,C′分别是A,B,C的对应点);(2)直接写出A',B',C'三点的坐标:A′(),B′(),C′();(3)在y轴上求作一点P,使PA+PB的值最小.(简要写出作图步骤)21.(8分)(问题背景)∠MON=90°,点A、B分别在OM、ON上运动(不与点O重合).(问题思考)(1)如图①,AE、BE分别是∠BAO和∠ABO的平分线,随着点A、点B的运动,∠AEB=.(2)如图②,若BC是∠ABN的平分线,BC的反向延长线与∠OAB的平分线交于点D.①若∠BAO=70°,则∠D=°.②随着点A、B的运动,∠D的大小会变吗?如果不会,求∠D的度数;如果会,请说明理由;(问题拓展)(3)在图②的基础上,如果∠MON=α,其余条件不变,随着点A、B的运动(如图③),∠D=.(用含α的代数式表示)22.(10分)如图,在平面直角坐标系中,直线AB:y=kx+1(k≠0)交y轴于点A,交x 轴于点B(3,0),点P是直线AB上方第一象限内的动点.(1)求直线AB的表达式和点A的坐标;(2)点P是直线x=2上一动点,当△ABP的面积与△ABO的面积相等时,求点P的坐标;(3)当△ABP为等腰直角三角形时,请直接写出点P的坐标.2021-2022学年广东省深圳市南山区八年级(上)期末数学试卷参考答案与试题解析一、选择题(每题3分,共30分)1.【分析】根据勾股定理的逆定理:如果三角形有两边的平方和等于第三边的平方,那么这个是直角三角形判定则可.如果有这种关系,这个就是直角三角形.【解答】解:A、∵12+22≠22,∴该三角形不符合勾股定理的逆定理,故不能组成直角三角形;B、∵32+42=52,∴该三角形符合勾股定理的逆定理,故能组成直角三角形;C、∵()2+22≠()2,∴该三角形不符合勾股定理的逆定理,故不能组成直角三角形;D、∵52+62≠72,∴该三角形不符合勾股定理的逆定理,故不能组成直角三角形.故选:B.【点评】本题考查了勾股定理的逆定理,在应用勾股定理的逆定理时,应先认真分析所给边的大小关系,确定最大边后,再验证两条较小边的平方和与最大边的平方之间的关系,进而作出判断.2.【分析】应先判断象限内点的坐标的符号特点,进而找相应坐标.【解答】解:点M在第二象限,那么横坐标小于0,是﹣1,纵坐标大于0,是2,即M 点的坐标为(﹣1,2);又因为点N在第一象限,那么它的横,纵坐标都大于0,即N的坐标为(2,1).故选:B.【点评】本题主要考查了平面直角坐标系中各个象限内点的符号,注意先找横坐标,再找纵坐标.3.【分析】根据方差的意义求解可得.【解答】解:∵S甲2=0.24,S乙2=0.42,S丙2=0.56,S丁2=0.75,∴S甲2<S乙2<S丙2<S丁2,∴成绩最稳定的是甲,故选:A.【点评】本题主要考查方差,解题的关键是掌握方差的意义:方差是反映一组数据的波动大小的一个量.方差越大,则平均值的离散程度越大,稳定性也越小;反之,则它与其平均值的离散程度越小,稳定性越好.4.【分析】根据4<7<9,结合a<<b,且a与b为连续整数,即可得出a、b的值.【解答】解:∵4<7<9,∴2<<3,∵a<<b,且a与b是两个连续整数,∴a=2,b=3.故选:B.【点评】本题考查了估算无理数的大小,解题的关键是找出2<<3.5.【分析】依据AB∥EF,即可得∠FCA=∠A=30°,由∠F=∠E=45°,利用三角形外角性质,即可得到∠AOF=∠FCA+∠F=30°+45°=75°.【解答】解:∵BA∥EF,∠A=30°,∴∠FCA=∠A=30°.∵∠F=∠E=45°,∴∠AOF=∠FCA+∠F=30°+45°=75°.故选:A.【点评】本题主要考查了平行线的性质,解题时注意:两直线平行,内错角相等.6.【分析】利用二次根式的性质对A、D进行判断;根据二次根式的加减法对B、C进行判断.【解答】解:A、原式=3,所以A选项错误;B、与不能合并,所以B选项错误;C、原式=,所以C选项错误;D、原式=5,所以D选项正确.故选:D.【点评】本题考查了二次根式的混合运算:先把二次根式化为最简二次根式,然后进行二次根式的乘除运算,再合并即可.在二次根式的混合运算中,如能结合题目特点,灵活运用二次根式的性质,选择恰当的解题途径,往往能事半功倍.7.【分析】直接利用一次函数的性质结合函数图象上点的坐标特点得出答案.【解答】解:如图所示:A、图象经过第一、三、四象限,则k>0,故此选项错误;B、图象与y轴交于点(0,﹣1),故b=﹣1,正确;C、k>0,y随x的增大而增大,故此选项错误;D、当x>2时,kx+b>0,故此选项错误;故选:B.【点评】此题主要考查了一次函数与一元一次不等式,正确数形结合分析是解题关键.8.【分析】利用实数的性质、无理数的定义、三角形的外角的性质及平行线的性质分别判断后即可确定正确的选项.【解答】解:①实数与数轴上的点一一对应,正确,不符合题意;②无限不循环小数就是无理数,故原命题错误,符合题意;③三角形的一个外角大于任何一个和它不相邻的内角,正确,不符合题意;④两条平行直线被第三条直线所截,同旁内角互补,故原命题错误,符合题意.错误的有2个,故选:B.【点评】考查了命题与定理的知识,解题的关键是了解实数的性质、无理数的定义、三角形的外角的性质及平行线的性质,难度不大.9.【分析】延长AB交KF于点O,延长AC交GM于点P,可得四边形AOLP是正方形,然后求出正方形的边长,再求出矩形KLMJ的长与宽,然后根据矩形的面积公式列式计算即可得解.【解答】解:如图,延长AB交KF于点O,延长AC交GM于点P,所以,四边形AOLP是正方形,∵∠BAC=90°,AB=3,BC=5,∴AC===4,∴AO=AB+AC=3+4=7,∴KL=3+7=10,LM=4+7=11,因此,矩形KLMJ的面积为10×11=110,故选:B.【点评】本题考查了勾股定理的证明,作出辅助线构造出正方形是解题的关键.10.【分析】根据函数图象即可得到甲车行驶的速度以及乙车行驶的速度;根据函数图象即可得到乙出发4h后追上甲;根据图象,当乙到达B地时,甲乙相距100km,据此可得甲比乙晚到h;根据甲,乙两车相距80km,列出方程进行求解即可.【解答】解:①由图可得,甲车行驶的速度是60÷1=60km/h,∵甲先出发1h,乙出发3h后追上甲,∴3(v﹣60)=60,乙=80km/h,∴v乙即乙车行驶的速度是80km/h,故①正确;②∵当t=1时,乙出发,当t=4时,乙追上甲,∴乙出发3h后追上甲,故②错误;③由图可得,当乙到达B地时,甲乙相距100km,∴甲比乙晚到100÷60=h,故③正确;④由图可得,当60t+80=80(t﹣1)时,解得t=8;当60t+80=640时,解得t=9,∴甲车行驶8h或9h,甲,乙两车相距80km,故④正确;综上所述,正确的个数是3个.故选:C.【点评】本题主要考查了一次函数的应用,解决问题的关键是根据函数图象获得关键的信息,利用行程问题的数量关系列式计算.二、填空题(每题3分,共15分)11.【分析】根据二次根式有意义的条件可得x﹣5≥0,再解即可.【解答】解:由题意得:x﹣5≥0,解得:x≥5,故答案为:x≥5.【点评】此题主要考查了二次根式有意义的条件,关键是掌握二次根式中的被开方数是非负数.12.【分析】利用一次函数“上加下减”的平移规律即可得出答案.【解答】解:将直线y=3x向上平移3个单位,得到直线:y=3x+3.故答案为y=3x+3.【点评】此题主要考查了一次函图象与平移变换,正确记忆平移规律“左加右减,上加下减”是解题关键.13.【分析】利用方程组的解就是两个相应的一次函数图象的交点坐标进行判断.【解答】解:∵直线AB:y=kx+b与直线CD:y=mx+n交于点E(3,1),则关于x的二元一次方程组的解为,故答案为:.【点评】本题考查了一次函数与二元一次方程(组):方程组的解就是使方程组中两个方程同时成立的一对未知数的值,而这一对未知数的值也同时满足两个相应的一次函数式,因此方程组的解就是两个相应的一次函数图象的交点坐标.14.【分析】根据两个点关于x轴对称,先求出m,n的值,然后代入进行计算即可.【解答】解:∵M(2n﹣m,5)和N(13,m)关于x轴对称,∴2n﹣m=13,m=﹣5,∴把m=﹣5代入2n﹣m=13中得:2n﹣(﹣5)=13,∴n=4,∴(m+n)2022=(﹣5+4)2022=1,故答案为:1.【点评】本题考查了关于x轴、y轴对称点的坐标,熟练掌握关于x轴、y轴对称点的坐标特征是解题的关键.15.【分析】过D作DF⊥x轴于F,根据折叠可以证明△CDE≌△AOE,然后利用全等三角形的性质得到OE=DE,OA=CD=4,设OE=x,那么CE=8﹣x,DE=x,利用勾股定理即可求出OE的长度,而利用已知条件可以证明△AEO∽△ADF,而AD=AB=8,接着利用相似三角形的性质即可求出DF、AF的长度,也就求出了D的坐标.【解答】解:如图,过D作DF⊥x轴于F,∵点B的坐标为(4,8),∴AO=4,AB=8,根据折叠可知:CD=OA,而∠D=∠AOE=90°,∠DEC=∠AEO,∴△CDE≌△AOE,∴OE=DE,OA=CD=4,设OE=x,那么CE=8﹣x,DE=x,∴在Rt△DCE中,CE2=DE2+CD2,∴(8﹣x)2=x2+42,∴x=3,又DF⊥AF,∴DF∥EO,∴△AEO∽△ADF,而AD=AB=8,∴AE=CE=8﹣3=5,∴==,即,∴DF=,AF=,∴OF=﹣4=,∴D的坐标为(﹣,).故答案是:(﹣,).【点评】此题主要考查了图形的折叠问题,也考查了坐标与图形的性质,解题的关键是把握折叠的隐含条件,利用隐含条件得到全等三角形和相似三角形,然后利用它们的性质即可解决问题.三、解答题(共55分)16.【分析】(1)利用二次根式的乘法法则运算;(2)利用二次根式的除法法则运算;(3)先利用平方差公式计算,然后化简后合并即可;(4)先把原方程组整理为,然后利用加减消元法解方程组.【解答】解:(1)原式===6;(2)原式=+1﹣2=2+1﹣2=1;(3)原式=3﹣2+2﹣=1+;(4)原方程组整理为,②﹣①得4n=8,解得n=2,把n=2代入①得2m﹣4=4,解得m=3,所以原方程组的解为.【点评】本题考查了二次根式的混合运算,熟练掌握二次根式的性质、二次根式的乘法法则和除法法则是解决问题的关键.也考查了解二元一次方程组.17.【分析】(1)从两个统计图中可得到,工作时间为1小时的有30人,占调查人数的30%,可求出调查总人数,进而求出“工作时间为1.5小时”的人数,补全条形统计图;(2)扇形图中“1.5小时”部分占360°的,求出圆心角度数,利用加权平均数的计算方法计算出工作时间的平均数,观察工作时间出现次数最多的数即为众数,将100个人的工作时间从小到大排序后,找出在第50、51位的两个数的平均数即为中位数,(3)样本中,工作时间大于1小时占调查人数的,根据全校900人中,工作时间大于1小时也占58%,进而求出人数即可.【解答】解:(1)30÷30%=100(人)100﹣12﹣30﹣18=40(人)补全统计如图所示:(2)360°×=144°,活动时间的平均数为:=1.32(小时)活动时间出现次数最多的是1.5小时,出现40次,因此众数为1.5小时,将100个学生的活动时间从小到大排序后处在第50、51位的都是1.5小时,因此中位数是1.5小时,故答案为:144,1.32小时,1.5,1.5.(3)900×=522(人),故答案为:522.【点评】考查条形统计图、扇形统计图的意义和制作方法,从两个统计图中获取数量和数量关系是解决问题的关键,样本估计总体是统计中常用的方法,同时还考查众数、中位数、平均数的意义及计算方法.18.【分析】首先设水池的深度为x尺,则这根芦苇的长度为(x+1)尺,根据勾股定理可得方程x2+52=(x+1)2,再解即可.【解答】解:设水池的深度为x尺,由题意得:x2+52=(x+1)2,解得:x=12,则x+1=13,答:水深12尺,芦苇长13尺.【点评】此题主要考查了勾股定理的应用,在应用勾股定理解决实际问题时勾股定理与方程的结合是解决实际问题常用的方法,关键是从题中抽象出勾股定理这一数学模型,画出准确的示意图.领会数形结合的思想的应用.19.【分析】(1)设商场购进甲种节能灯x只,购进乙种节能灯y只,根据幸福商场用3300元购进甲、乙两种节能灯共计100只,即可得出关于x、y的二元一次方程组,解之即可得出结论;(2)根据总利润=每只甲种节能灯的利润×购进数量+每只乙种节能灯的利润×购进数量,即可求出结论.【解答】解:(1)设商场购进甲种节能灯x只,购进乙种节能灯y只,根据题意得:,解得:.答:商场购进甲种节能灯40只,购进乙种节能灯60只.(2)40×(40﹣30)+60×(50﹣35)=1300(元).答:商场共计获利1300元.【点评】本题考查二元一次方程组的应用,解题的关键是:(1)找准等量关系,正确列出二元一次方程组;(2)根据数量关系,列式计算.20.【分析】(1)根据关于x轴对称点的性质得出对应点位置,进而得出答案;(2)利用所画图形写出各点坐标即可;(3)利用轴对称求出最短路径即可.【解答】解:(1)如图所示:△A′B′C′即为所求;(2)如图所示:A′(﹣2,﹣3),B′(﹣3,﹣1),C′(1,2);(3)如图所示:P点即为所求,找到A点关于y轴对称点A″,连接A″B,交y轴于点P,此时PA+PB的值最小.【点评】此题主要考查了轴对称变换以及利用轴对称求最短路径,根据题意得出对应点坐标是解题关键.21.【分析】(1)根据三角形的内角和定理和角平分线的定义即可得到结论;(2)①根据三角形的内角和定理和角平分线的定义即可得到结论;②由①的思路可得结论;(3)在②的基础上,将90°换成α即可.【解答】解:(1)∵∠MON=90°,∴∠OAB+∠OBA=90°,∵AE、BE分别是∠BAO和∠ABO角的平分线,∴∠BAE=∠BAO,∠ABE=∠ABO,∴∠BAE+∠ABE=(∠BAO+∠ABO)=45°,∴∠AEB=135°;故答案为:135°;(2)①∵∠AOB=90°,∠BAO=70°,∴∠ABO=20°,∠ABN=160°,∵BC是∠ABN的平分线,∴∠OBD=∠CBN=×160°=80°,∵AD平分∠BAO,∴∠DAB=35°,∴∠D=180°﹣∠ABD﹣∠BAD﹣∠AOB=180°﹣80°﹣35°﹣20°=45°,故答案为:45;②∠D的度数不随A、B的移动而发生变化,设∠BAD=x,∵AD平分∠BAO,∴∠BAO=2x,∵∠AOB=90°,∴∠ABN=180°﹣∠ABO=∠AOB+∠BAO=90+2x,∵BC平分∠ABN,∴∠ABC=45°+x,∵∠ABC=180°﹣∠ABD=∠D+∠BAD,∴∠D=∠ABC﹣∠BAD=45°+x﹣x=45°;(3)设∠BAD=x,∵AD平分∠BAO,∴∠BAO=2x,∵∠AOB=α,∴∠ABN=180°﹣∠ABO=∠AOB+∠BAO=α+2x,∵BC平分∠ABN,∴∠ABC=+x,∵∠ABC=180°﹣∠ABD=∠D+∠BAD,∴∠D=∠ABC﹣∠BAD=+x﹣x=;故答案为:.【点评】本题考查了三角形的内角和定理,角平分线的定义,熟练掌握三角形的内角和定理是解题的关键.22.【分析】(1)把B的坐标代入直线AB的解析式,即可求得k的值,然后在解析式中,令x=0,求得y的值,即可求得A的坐标;(2)过点A作AM⊥PD,垂足为M,求得AM的长,即可求得△BPD和△PAD的面积,,在根据△ABP的面积与△ABO的面积相等列方程即可得答案;二者的和即可表示S△P AB(3)分三种情况:当P为直角顶点时,过P作PN⊥y轴于N,过B作BM⊥PN于M,由△APN≌△PBM(AAS),可得AN+1=PN①,PN+AN=3②,即得P(2,2);当A 为直角顶点时,过P作PK⊥y轴于K,由△APK≌△BAO,可得P(1,4),当B为直角顶点时,过P作PR⊥x轴于R,同理可得P(4,3).【解答】解:(1)∵直线AB:y=kx+1(k≠0)交y轴于点A,交x轴于点B(3,0),∴0=3k+1,∴k=﹣,∴直线AB的解析式是y=﹣x+1.当x=0时,y=1,∴点A(0,1);(2)如图1,过点A作AM⊥PD,垂足为M,则有AM=2,设P(2,n),∵x=2时,y=﹣x+1=,∴D(2,),∵P在点D的上方,∴PD=n﹣,=AM•PD=×2×(n﹣)=n﹣,∴S△APD由点B(3,0),可知点B到直线x=2的距离为1,即△BDP的边PD上的高长为1,=×1×(n﹣)=(n﹣),∴S△BPD=S△APD+S△BPD=n﹣;∴S△P AB∵△ABP的面积与△ABO的面积相等,∴n﹣=×1×3,解得n=,∴P(2,);(3)当P为直角顶点时,过P作PN⊥y轴于N,过B作BM⊥PN于M,如图2:∵△ABP为等腰直角三角形,∴AP=BP,∠NPA=90°﹣∠BPM=∠PBM,∵∠ANP=∠BMP=90°,∴△APN≌△PBM(AAS),∴BM=PN,PM=AN,∵∠NOB=∠ONM=∠OBM=90°,∴四边形OBMN是矩形,∴MN=OB=3,BM=ON=AN+1=PN①,∴PN+PM=PN+AN=3②,由①②解得PN=2,AN=1,∴ON=OA=AN=2,∴P(2,2);当A为直角顶点时,过P作PK⊥y轴于K,如图3:∵△ABP为等腰直角三角形,∴AP=AB,∠KAP=90°﹣∠OAB=∠ABO,而∠PKA=∠AOB=90°,∴△APK≌△BAO(AAS),∴AK=OB=3,PK=OA=1,∴OK=OA+AK=4,∴P(1,4),当B为直角顶点时,过P作PR⊥x轴于R,如图4:同理可证△AOB≌△BRP(AAS),∴BR=OA=1,PR=OB=3,∴P(4,3),综上所述,P坐标为:(2,2)或(1,4)或(4,3).【点评】本题考查一次函数综合应用,解题的关键是作辅助线,构造全等三角形,利用全等三角形对应边相等解决问题.。
2019-2020学年广东省广州市花都区八年级(下)期末数学试卷一、选择题(本大题共10题,每题3分,满分30分.在每题给出的四个选项中,只有一项是符合题目的要求.)1.(3分)(2020春•花都区期末)下列二次根式中,最简二次根式是( )A.B.C.D.2.(3分)(2020春•花都区期末)新冠疫情期间,某地有五家医院的医生踊跃报名驰援武汉,人数分别为17,17,18,19,21,以上数据的中位数为( )A.17B.18C.18.5D.193.(3分)(2020春•花都区期末)如图,点D和点E分别是BC和BA的中点,已知AC=4,则DE为( )A.1B.2C.4D.84.(3分)(2020春•花都区期末)下列算式中,运算错误的是( )A.B.C.D.()2=35.(3分)(2020春•花都区期末)甲、乙两人进行射击测试,每人10次射击成绩平均是均为9.2环,方差分别为S甲2、S乙2,若甲的成绩更稳定,则S甲2、S乙2的大小关系为( )A.S甲2>S乙2B.S甲2<S乙2C.S甲2=S乙2D.无法确定6.(3分)(2020春•花都区期末)如图,在菱形ABCD中,对角线BD=4,AC=3BD,则菱形ABCD的面积为( )A.96B.48C.24D.67.(3分)(2020春•花都区期末)如图,在四边形ABCD中,对角线AC、BD相交于点O,下列条件不能判定四边形ABCD为平行四边形的是( )A.AB∥CD,AD∥BC B.AD∥BC,AB=CDC.OA=OC,OB=OD D.AB=CD,AD=BC8.(3分)(2020春•花都区期末)若正比例函数y=(m﹣2)x的图象经过点A(x1,y1)和点B(x2,y2),当x1<x2时,y1>y2,则m的取值范围是( )A.m>0B.m<0C.m>2D.m<29.(3分)(2020春•花都区期末)如图,△ABE、△BCF、△CDG、△DAH是四个全等的直角三角形,其中,AE=5,AB=13,则EG的长是( )A.7B.6C.7D.710.(3分)(2020春•花都区期末)如图,点O为平面直角坐标系的原点,点A在x轴正半轴上,四边形OABC是菱形.已知点B坐标为(3,),则直线AC的函数解析式为( )A.yx B.yx+2C.yx D.yx+2二、填空题(本大题共6题,每题3分,满分18分.)11.(3分)(2020春•花都区期末)数据1,2,2,5,8的众数是 .12.(3分)(2020春•花都区期末)式子有意义时,实数x的取值范围为 .13.(3分)(2020春•花都区期末)直线yx﹣1向上平移m个单位长度,得到直线yx+3,则m= .14.(3分)(2020春•花都区期末)已知一个三角形工件尺寸(单位dm)如图所示,则高h= dm.15.(3分)(2020春•花都区期末)已知直线y=x+b和y=ax﹣3交于点P(2,1),则关于x的方程x+b=ax﹣3的解为 .16.(3分)(2020春•花都区期末)如图,正方形ABCD的边长为,O是对角线BD上一动点(点O与端点B,D不重合),OM⊥AD于点M,ON⊥AB于点N,连接MN,则MN 长的最小值为 .三、解答题(本大题共9题,满分72分.解答须写出文字说明、证明过程和演算步骤.)17.(6分)(2020春•花都区期末)计算(1);(2)()().18.(7分)(2020春•花都区期末)已知函数y=x+2.(1)填表,并画出这个函数的图象;x…0 …y=x+2… 0…(2)判断点A(﹣3,1)是否在该函数的图象上,并说明理由.19.(7分)(2020春•花都区期末)如图,四边形ABCD是矩形,对角线AC与BD相交于点O,∠AOD=60°,AD=2,求AC的长度.20.(7分)(2020春•花都区期末)在“世界读书日”前夕,某校开展了“让阅读滋养心灵”的读书活动.为了解该校学生在此次活动中的课外阅读情况,从中随机抽取50名学生,调查他们课外阅读书籍的数量,将收集的数据整理成如图所示统计图.(1)求这组数据的平均数;(2)该校共有800名学生,估计该校全体学生在这次活动中课外阅读书籍的总量大约是多少本?21.(8分)(2020春•花都区期末)如图,在△ABC中,D是AB的中点,AC=2,BC=2,AB=2,延长AC到E,使得CE=CD,连接BE.(1)求证:∠ACB=90°;(2)求线段BE的长度.22.(9分)(2020春•花都区期末)如图,在平行四边形ABCD中,点E是边AD的中点,连接CE并延长交BA的延长线于点F,连接AC,DF.求证:(1)△AEF≌△DEC;(2)四边形ACDF是平行四边形.23.(9分)(2020春•花都区期末)今年,“地摊经济”成为了社会关注的热门话题.小明从市场得知如下信息:甲商品乙商品进价(元/件)355售价(元/件)458小明计划购进甲、乙商品共100件进行销售.设小明购进甲商品x件,甲、乙商品全部销售完后获得利润为y元.(1)求出y与x之间的函数关系式;(2)小明用不超过2000元资金一次性购进甲,乙两种商品,求x的取值范围;(3)在(2)的条件下,若要求甲,乙商品全部销售完后获得的利润不少于632.5元,请说明小明有哪些可行的进货方案,并计算哪种进货方案的利润最大.24.(9分)(2020春•花都区期末)如图,在四边形ABCD中,AB∥CD,∠ADC=90°,AD=12cm,AB=18cm,CD=23cm,动点P从点A出发,以1cm/s的速度向点B运动,同时动点Q从点C出发,以2cm/s的速度向点D运动,其中一个动点到达端点时,另一个动点也随之停止运动,设运动时间为t秒.(1)当t=3时,PB= cm.(2)当t为何值时,直线PQ把四边形ABCD分成两个部分,且其中的一部分是平行四边形?(3)四边形PBQD能否成为菱形?若能,求出t的值;若不能,请说明理由.25.(10分)(2020春•花都区期末)如图①,在矩形OACB中,点A、B分别在x轴、y 轴正半轴上,点C在第一象限,OA=8,OB=6.(1)请直接写出点C的坐标;(2)如图②,点F在BC上,连接AF,把△ACF沿着AF折叠,点C刚好与线段AB 上一点C'重合,求线段CF的长度;(3)如图③,动点P(x,y)在第一象限,且y=2x﹣6,点D在线段AC上,是否存在直角顶点为P的等腰直角△BDP,若存在,请求出点P的坐标;若不存在,请说明理由.2019-2020学年广东省广州市花都区八年级(下)期末数学试卷答案与试题解析一、选择题(本大题共10题,每题3分,满分30分.在每题给出的四个选项中,只有一项是符合题目的要求.)1.(3分)(2020春•花都区期末)下列二次根式中,最简二次根式是( )A.B.C.D.【考点】最简二次根式.【分析】根据最简二次根式的概念判断即可.解:A、,是最简二次根式;B、3,被开方数中不含能开得尽方的因数,不是最简二次根式;C、2,被开方数中不含能开得尽方的因数,不是最简二次根式;D、,被开方数不含分母,不是最简二次根式;故选:A.【点评】本题考查的是最简二次根式的概念,掌握被开方数不含分母、被开方数中不含能开得尽方的因数或因式的二次根式是最简二次根式是解题的关键.2.(3分)(2020春•花都区期末)新冠疫情期间,某地有五家医院的医生踊跃报名驰援武汉,人数分别为17,17,18,19,21,以上数据的中位数为( )A.17B.18C.18.5D.19【考点】中位数.【分析】直接根据中位数的定义可得答案.解:根据中位数的定义知,这组数据的中位数为18,故选:B.【点评】本题主要考查中位数,将一组数据按照从小到大(或从大到小)的顺序排列,如果数据的个数是奇数,则处于中间位置的数就是这组数据的中位数.如果这组数据的个数是偶数,则中间两个数据的平均数就是这组数据的中位数.3.(3分)(2020春•花都区期末)如图,点D和点E分别是BC和BA的中点,已知AC=4,则DE为( )A.1B.2C.4D.8【考点】三角形中位线定理.【分析】根据三角形中位线定理解答即可.解:∵点D和点E分别是BC和BA的中点,∴DE是△ABC的中位线,∴DEAC4=2,故选:B.【点评】本题考查的是三角形中位线定理,掌握三角形的中位线平行于第三边,且等于第三边的一半是解题的关键.4.(3分)(2020春•花都区期末)下列算式中,运算错误的是( )A.B.C.D.()2=3【考点】二次根式的混合运算.【分析】直接利用二次根式的混合运算法则计算得出答案.解:A、,正确,不合题意;B、,正确,不合题意;C、,无法计算,故此选项符合题意;D、()2=3,正确,不合题意;故选:C.【点评】此题主要考查了二次根式的混合运算,正确掌握相关运算法则是解题关键.5.(3分)(2020春•花都区期末)甲、乙两人进行射击测试,每人10次射击成绩平均是均为9.2环,方差分别为S甲2、S乙2,若甲的成绩更稳定,则S甲2、S乙2的大小关系为( )A.S甲2>S乙2B.S甲2<S乙2C.S甲2=S乙2D.无法确定【考点】方差.【分析】根据方差的性质进行判断即可.解:∵每人10次射击成绩平均是均为9.2环,甲的成绩更稳定,∴S甲2<S乙2,故选:B.【点评】本题考查的是方差的性质,掌握方差反映了一组数据的波动大小,方差越大,波动性越大,反之也成立是解题的关键.6.(3分)(2020春•花都区期末)如图,在菱形ABCD中,对角线BD=4,AC=3BD,则菱形ABCD的面积为( )A.96B.48C.24D.6【考点】菱形的性质.【分析】根据菱形的面积等于对角线乘积的一半解答.解:∵BD=4,AC=3BD,∴AC=12,∴菱形ABCD的面积为AC×BD24.故选:C.【点评】本题主要考查菱形的性质,利用对角线求面积的方法,在求菱形的面积中用得较多,需要熟练掌握.7.(3分)(2020春•花都区期末)如图,在四边形ABCD中,对角线AC、BD相交于点O,下列条件不能判定四边形ABCD为平行四边形的是( )A.AB∥CD,AD∥BC B.AD∥BC,AB=CDC.OA=OC,OB=OD D.AB=CD,AD=BC【考点】平行四边形的判定.【分析】根据平行四边形的判定方法即可判断.解:A、根据两组对边分别平行的四边形是平行四边形,可以判定;B、无法判定,四边形可能是等腰梯形,也可能是平行四边形;C、根据对角线互相平分的四边形是平行四边形,可以判定;D、根据两组对边分别相等的四边形是平行四边形,可以判定;故选:B.【点评】本题考查平行四边形的判定,解题的关键是熟练掌握平行四边形的判定方法,属于中考常考题型.8.(3分)(2020春•花都区期末)若正比例函数y=(m﹣2)x的图象经过点A(x1,y1)和点B(x2,y2),当x1<x2时,y1>y2,则m的取值范围是( )A.m>0B.m<0C.m>2D.m<2【考点】一次函数图象上点的坐标特征.【分析】根据正比例函数的大小变化规律判断k的符号.解:根据题意,知:y随x的增大而减小,则k<0,即m﹣2<0,m<2.故选:D.【点评】本题考查了一次函数的性质:当k>0时,y随x的增大而增大;当k<0时,y 随x的增大而减小.9.(3分)(2020春•花都区期末)如图,△ABE、△BCF、△CDG、△DAH是四个全等的直角三角形,其中,AE=5,AB=13,则EG的长是( )A.7B.6C.7D.7【考点】全等三角形的应用;勾股定理的应用.【分析】根据勾股定理求出BE,证明四边形EFGH为正方形,根据正方形的性质、勾股定理计算,得到答案.解:由勾股定理得,BE12,∵△ABE、△BCF、△CDG、△DAH是四个全等的直角三角形,∴∠AEB=∠BFC=∠CGD=90°,BF=CG=DH=AE=5,∴∠FEB=∠EFC=∠FGD=90°,EF=EH=12﹣5=7,∴四边形EFGH为正方形,∴EG7,【点评】本题考查的是全等三角形的应用,掌握全等三角形的对应边相等、对应角相等是解题的关键.10.(3分)(2020春•花都区期末)如图,点O为平面直角坐标系的原点,点A在x轴正半轴上,四边形OABC是菱形.已知点B坐标为(3,),则直线AC的函数解析式为( )A.yx B.yx+2C.yx D.yx+2【考点】待定系数法求一次函数解析式;菱形的性质.【分析】过B点作BH⊥x轴于H点,菱形的对角线的交点为P,如图,设菱形的边长为t,则OA=AB=t,在Rt△ABH中利用勾股定理得到(3﹣t)2+()2=t2,解方程求出t得到A(2,0),再利用P为OB的中点得到P,然后利用待定系数法求直线AC的解析式即可.解:过B点作BH⊥x轴于H点,菱形的对角线的交点为P,如图,∵四边形ABCO为菱形,∴OP=BP,OA=AB,设菱形的边长为t,则OA=AB=t,∵点B坐标为(3,),∴BH,AH=3﹣t,在Rt△ABH中,(3﹣t)2+()2=t2,解得t=2,∴A(2,0),∵P为OB的中点,∴P,设直线AC的解析式为y=kx+b,把A(2,0),P代入得,解得,∴直线AC的解析式为yx+2.【点评】本题考查了待定系数法求一次函数解析式:先设出函数的一般形式,如求一次函数的解析式时,先设y=kx+b;将自变量x的值及与它对应的函数值y的值代入所设的解析式,得到关于待定系数的方程或方程组;然后解方程或方程组,求出待定系数的值,进而写出函数解析式.也考查了菱形的性质.二、填空题(本大题共6题,每题3分,满分18分.)11.(3分)(2020春•花都区期末)数据1,2,2,5,8的众数是 2 .【考点】众数.【分析】众数是一组数据中出现次数最多的数据,注意众数可以不止一个.解:在这一组数据中2是出现次数最多的,故众数是2.故2.【点评】本题为统计题,考查了众数的定义,是基础题型.12.(3分)(2020春•花都区期末)式子有意义时,实数x的取值范围为 x≥3 .【考点】二次根式有意义的条件.【分析】根据二次根式中的被开方数必须是非负数列出不等式,解不等式即可.解:由题意得,x﹣3≥0,解得,x≥3,故x≥3.【点评】本题考查的是二次根式有意义的条件,掌握二次根式中的被开方数必须是非负数是解题的关键.13.(3分)(2020春•花都区期末)直线yx﹣1向上平移m个单位长度,得到直线yx+3,则m= 4 .【考点】一次函数图象与几何变换.【分析】首先求出直线yx﹣1向上平移m个单位长度得到y1+m,再与yx+3,即可求得m的值.解:直线yx﹣1向上平移m个单位长度,得到直线yx+3,∴﹣1+m=3,解得m=4,故答案为4.【点评】此题主要考查了一次函数图象与几何变换,关键是掌握直线y=kx+b向上平移a个单位,则解析式为y=kx+b+a,向下平移a个单位,则解析式为y=kx+b﹣a.14.(3分)(2020春•花都区期末)已知一个三角形工件尺寸(单位dm)如图所示,则高h= 4 dm.【考点】勾股定理的应用.【分析】过点A作AD⊥BC于点D,由等腰三角形的性质可知AD是BC的垂直平分线,故可得出BD的长,根据勾股定理求出AD的长即可.解:过点A作AD⊥BC于点D,则AD=h,∵AB=AC=5dm,BC=6dm,∴AD是BC的垂直平分线,∴BDBC=3dm.在Rt△ABD中,ADdm,即h=4(dm).答:h的长为4dm.故4.【点评】本题考查的是勾股定理的应用,根据题意作出辅助线,构造出直角三角形是解答此题的关键.15.(3分)(2020春•花都区期末)已知直线y=x+b和y=ax﹣3交于点P(2,1),则关于x的方程x+b=ax﹣3的解为 x=2 .【考点】一次函数与一元一次方程;一次函数与二元一次方程(组).【分析】利用函数图象交点坐标为两函数解析式组成的方程组的解解决问题.解:∵直线y=x+b和y=ax﹣3交于点P(2,1),∴当x=2时,x+b=ax﹣3=1,即关于x的方程x+b=ax﹣3的解为x=2.故答案为x=2.【点评】本题考查了一次函数与二元一次方程(组):方程组的解就是两个相应的一次函数图象的交点坐标.16.(3分)(2020春•花都区期末)如图,正方形ABCD的边长为,O是对角线BD上一动点(点O与端点B,D不重合),OM⊥AD于点M,ON⊥AB于点N,连接MN,则MN 长的最小值为 1 .【考点】垂线段最短;矩形的判定与性质;正方形的性质;轴对称的性质.【分析】连接AO,可证四边形AMON是矩形,可得AO=MN,当AO⊥BD时,AO有最小值,即MN有最小值,由等腰直角三角形的性质可求解.解:如图,连接AO,∵四边形ABCD是正方形,∴AB=AD,BDAB=2,∠DAB=90°,又∵OM⊥AD,ON⊥AB,∴四边形AMON是矩形,∴AO=MN,∵当AO⊥BD时,AO有最小值,∴当AO⊥BD时,MN有最小值,此时AB=AD,∠BAD=90°,AO⊥BD,∴AOBD=1,∴MN的最小值为1,故1.【点评】本题考查了正方形的性质,矩形的判定和性质,垂线段最短等知识,证明AO=MN是本题的关键.三、解答题(本大题共9题,满分72分.解答须写出文字说明、证明过程和演算步骤.)17.(6分)(2020春•花都区期末)计算(1);(2)()().【考点】平方差公式;二次根式的混合运算.【分析】(1)首先化简二次根式,然后再合并同类二次根式即可;(2)利用平方差计算乘法,再计算加减即可.解:(1)原式=2;(2)原式=5﹣3﹣2=0.【点评】此题主要考查了二次根式的混合运算,关键是掌握二次根式的混合运算与有理数的混合运算一致,运算顺序先乘方再乘除,最后加减,有括号的先算括号里面的.18.(7分)(2020春•花都区期末)已知函数y=x+2.(1)填表,并画出这个函数的图象;x…0 ﹣2 …y=x+2… 2 0…(2)判断点A(﹣3,1)是否在该函数的图象上,并说明理由.【考点】一次函数的图象;一次函数的性质;一次函数图象上点的坐标特征.【分析】(1)分别代入x=0,y=0求出与之对应的y,x的值,再描点、连线,即可画出函数图象;(2)代入x=﹣3求出与之对应的y值,再将其与1比较后即可得出结论.解:(1)当x=0时,y=0+2=2;当y=0时,x+2=0,解得:x=﹣2.描点、连线,画出函数图象,如图所示.故2;﹣2.(2)点A(﹣3,1)不在该函数的图象上,理由如下:当x=﹣3时,y=﹣3+2=﹣1,﹣1≠1,∴点A(﹣3,1)不在该函数的图象上.【点评】本题考查了一次函数图象上点的坐标特征以及一次函数的图象,解题的关键是:(1)分别代入x=0,y=0求出与之对应的y,x的值;(2)代入x=﹣3求出与之对应的y值.19.(7分)(2020春•花都区期末)如图,四边形ABCD是矩形,对角线AC与BD相交于点O,∠AOD=60°,AD=2,求AC的长度.【考点】等边三角形的判定与性质;矩形的性质.【分析】根据矩形的性质和等边三角形的性质,可以得到OA的长,从而可以求得AC 的长.解:∵四边形ABCD是矩形,∴OA=OC=OB=OD,∵∠AOD=60°,AD=2,∴△AOD是等边三角形,∴OA=OD=2,∴AC=2OA=4,即AC的长度为4.【点评】本题考查矩形的性质、等边三角形的判定与性质,解答本题的关键是明确题意,利用数形结合的思想解答.20.(7分)(2020春•花都区期末)在“世界读书日”前夕,某校开展了“让阅读滋养心灵”的读书活动.为了解该校学生在此次活动中的课外阅读情况,从中随机抽取50名学生,调查他们课外阅读书籍的数量,将收集的数据整理成如图所示统计图.(1)求这组数据的平均数;(2)该校共有800名学生,估计该校全体学生在这次活动中课外阅读书籍的总量大约是多少本?【考点】用样本估计总体;加权平均数.【分析】(1)根据加权平均数的定义列式计算可得;(2)用总人数乘以样本中课外阅读书籍的平均数即可得.解:(1)这组数据的平均数为2.3(本);(2)估计该校全体学生在这次活动中课外阅读书籍的总量大约是800×2.3=1840(本).【点评】本题主要考查加权平均数,解题的关键是掌握加权平均数的定义和样本估计总体思想的运用.21.(8分)(2020春•花都区期末)如图,在△ABC中,D是AB的中点,AC=2,BC=2,AB=2,延长AC到E,使得CE=CD,连接BE.(1)求证:∠ACB=90°;(2)求线段BE的长度.【考点】直角三角形斜边上的中线;勾股定理;勾股定理的逆定理.【分析】(1)利用勾股定理的逆定理判定AC⊥BC;(2)在直角△BCE中,利用勾股定理来求BE的长度.(1)证明:∵在△ABC中,AC=2,BC=2,AB=2,∴AC2=4,BC2=8,AB2=12,∴AC2+BC2=AB2.∴∠ACB=90°;(2)由(1)知,∠ACB=90°,则∠BCE=90°.∵D是AB的中点,AB=2,CE=CD,∴CE=CDAB.∴在直角△BCE中,由勾股定理得:BE.【点评】本题主要考查了勾股定理,勾股定理的逆定理,直角三角形斜边上的中线.注意:勾股定理应用的前提条件是在直角三角形中.22.(9分)(2020春•花都区期末)如图,在平行四边形ABCD中,点E是边AD的中点,连接CE并延长交BA的延长线于点F,连接AC,DF.求证:(1)△AEF≌△DEC;(2)四边形ACDF是平行四边形.【考点】全等三角形的判定与性质;平行四边形的判定与性质.【分析】(1)△AEF≌△DEC;(2)四边形ACDF是平行四边形.解:(1)∵在平行四边形ABCD中,AB∥CD,∴∠FAE=∠CDE,∵点E是边AD的中点,∴AE=DE,在△AEF和△DEC中,,∴△AEF≌△DEC(ASA);(2)∵△AEF≌△DEC,∴AF=DC,∵AF∥DC,∴四边形ACDF是平行四边形.【点评】本题考查了平行四边形的判定与性质,解决本题的关键是掌握平行四边形的判定与性质.23.(9分)(2020春•花都区期末)今年,“地摊经济”成为了社会关注的热门话题.小明从市场得知如下信息:甲商品乙商品进价(元/件)355售价(元/件)458小明计划购进甲、乙商品共100件进行销售.设小明购进甲商品x件,甲、乙商品全部销售完后获得利润为y元.(1)求出y与x之间的函数关系式;(2)小明用不超过2000元资金一次性购进甲,乙两种商品,求x的取值范围;(3)在(2)的条件下,若要求甲,乙商品全部销售完后获得的利润不少于632.5元,请说明小明有哪些可行的进货方案,并计算哪种进货方案的利润最大.【考点】一元一次不等式的应用;一次函数的应用.【分析】(1)由y=甲商品利润+乙商品利润,可得解析式;(2)由用不超过2000元资金一次性购进甲,乙两种商品,列出不等式组,即可求解;(3)由获得的利润不少于632.5元,列出不等式可求x的范围,由一次函数的性质可求解.解:(1)由题意可得:y=(45﹣35)x+(8﹣5)(100﹣x)=7x+300;(2)由题意可得:35x+5(100﹣x)≤2000,∴x≤50,又∵x≥0,∴0≤x≤50;(3)由题意可得:(45﹣35)x+(8﹣5)(100﹣x)≥632.5,∴x≥47.5,∴47.5≤x≤50,又∵x为整数,∴x=48,49,50,∴进货方案有:甲商品进48件,乙商品进52件;甲商品进49件,乙商品进51件;甲商品进50件,乙商品进50件;∵y=7x+300,∴y随x的增大而增大,∴当x=50时,有最大利润.∴当甲商品进50件,乙商品进50件,利润有最大值.【点评】本题考查了一次函数的应用,一元一次不等式的应用,找到正确的数量关系是本题的关键.24.(9分)(2020春•花都区期末)如图,在四边形ABCD中,AB∥CD,∠ADC=90°,AD=12cm,AB=18cm,CD=23cm,动点P从点A出发,以1cm/s的速度向点B运动,同时动点Q从点C出发,以2cm/s的速度向点D运动,其中一个动点到达端点时,另一个动点也随之停止运动,设运动时间为t秒.(1)当t=3时,PB= 15 cm.(2)当t为何值时,直线PQ把四边形ABCD分成两个部分,且其中的一部分是平行四边形?(3)四边形PBQD能否成为菱形?若能,求出t的值;若不能,请说明理由.【考点】四边形综合题.【分析】(1)先求出AP,即可求解;(2)分两种情况讨论,由平行四边形的性质可求解;(3)由菱形的性质可求DP=BP,由勾股定理可求解.解:(1)当t=3时,则AP=3×1=3cm,∴PB=AB﹣AP=18﹣3=15cm,故15.(2)若四边形PBCQ是平行四边形,∴PB=CQ,∴18﹣t=2t,∴t=6,若四边形PQDA是平行四边形,∴AP=DQ,∴t=23﹣2t,∴t,综上所述:t=6或;(3)如图,若四边形PBQD是菱形,∴BP=DP,∵AP2+AD2=DP2,∴AP2+144=(18﹣AP)2,∴AP=5,∴t5,∴当t=5时,四边形PBQD为菱形.【点评】本题是四边形综合题,考查了菱形的性质,平行四边形的性质,勾股定理,熟练运用这些性质解决问题是本题的关键.25.(10分)(2020春•花都区期末)如图①,在矩形OACB中,点A、B分别在x轴、y 轴正半轴上,点C在第一象限,OA=8,OB=6.(1)请直接写出点C的坐标;(2)如图②,点F在BC上,连接AF,把△ACF沿着AF折叠,点C刚好与线段AB 上一点C'重合,求线段CF的长度;(3)如图③,动点P(x,y)在第一象限,且y=2x﹣6,点D在线段AC上,是否存在直角顶点为P的等腰直角△BDP,若存在,请求出点P的坐标;若不存在,请说明理由.【考点】一次函数综合题.【分析】(1)由矩形的性质可得BC=OA=8,AC=OB=6,AC∥OB,BC∥OA,即可求解;(2)由折叠的性质的可得AC=AC'=6,CF=C'F,∠C=∠AC'F=60°,由勾股定理可求CF的长;(3)分两种情况讨论,利用全等三角形的性质可求PF=BE,EP=DF,即可求解.解:(1)∵四边形ABCD是矩形,∴BC=OA=8,AC=OB=6,AC∥OB,BC∥OA,∴点C的坐标(8,6);(2)∵BC=8,AC=6,∴AB10,∵把△ACF沿着AF折叠,点C刚好与线段AB上一点C'重合,∴AC=AC'=6,CF=C'F,∠C=∠AC'F=60°,∴BC'=AB﹣AC'=4,∵BF2=C'F2+C'B2,∴(8﹣CF)2=CF2+16,∴CF=3;(3)设点P(a,2a﹣6),当点P在BC下方时,如图③,过点P作EF∥BC,交y轴于E,交AC于F,∵△BPD是等腰直角三角形,∴BP=PD,∠BPD=90°,∴EF∥BC,∴∠BEP=∠BOA=90°,∠PFD=∠CAO=90°,∴∠BPE+∠DPF=∠DPF+∠PDF,∴∠BPE=∠PDF,∴△BPE≌△PDF(AAS),∴PF=BE=6﹣(2a﹣6)=12﹣2a,EP=DF,∵EF=EP+PF=a+12﹣2a=8,∴a=4,∴点P(4,2);当点P在BC的上方时,如图④,过点P作EF∥BC,交y轴于E,交AC的延长线于F,同理可证△BPE≌△PDF,∴BE=PF=2a﹣6﹣6=2a﹣12,∵EF=EP+PF=a+2a﹣12=8,∴a,∴点P,综上所述:点P坐标为(4,2)或.【点评】本题是一次函数综合题,考查了一次函数的性质,全等三角形的判定和性质,矩形的性质,折叠的性质,勾股定理等知识,利用分类讨论思想解决问题是本题的关键.。
2019-2020学年广东省深圳市南山区七年级(上)期末数学试卷一、选择题(本题有12小题,每小题3分,共36分.在每小题给出的四个选项中,只有一项是符合题目要求的,请将正确的选项用铅笔涂在答题卡上.)1.(3分)下列调查中,最适合采用普查方式进行的是()A.对深圳市居民日平均用水量的调查B.对一批LED节能灯使用寿命的调查C.对央视“新闻60分”栏目收视率的调查D.对某中学教师的身体健康状况的调查2.(3分)在下列日常生活的操作中,能体现基本事实“两点之间,线段最短”的是()A.用两颗钉子固定一根木条B.把弯路改直可以缩短路程C.用两根木桩拉一直线把树栽成一排D.沿桌子的一边看,可将桌子排整齐3.(3分)2017年11月19日上午8:00,“2017华润•深圳南山半程马拉松赛”在华润深圳湾体育中心(“春茧”)前正式开跑,共有约16000名选手参加了比赛.16000用科学记数法可表示为()A.0.16×104B.0.16×105C.1.6×104D.1.6×105 4.(3分)下列计算正确的是()A.3x2y﹣2x2y=x2y B.5y﹣3y=2C.3a+2b=5ab D.7a+a=7a25.(3分)如图,已知线段AB=10cm,M是AB中点,点N在AB上,NB=2cm,那么线段MN的长为()A.5cm B.4cm C.3cm D.2cm6.(3分)下列结论中,正确的是()A.单项式3xy27的系数是3,次数是2B.单项式m的次数是1,没有系数C.单项式﹣xy2z的系数是﹣1,次数是4D.多项式2x2+xy+3是三次三项式7.(3分)若x2+3x﹣5的值为7,则3x2+9x﹣2的值为()A.44B.34C.24D.148.(3分)有理数a在数轴上的位置如图所示,下列各数中,可能在0到1之间的是()A.|a|﹣1B.|a|C.﹣a D.a+19.(3分)如图是小刚一天中的作息时间分配的扇形统计图,如果小刚希望把自己每天的阅读时间调整为2小时,那么他的阅读时间需增加()A.105分钟B.60分钟C.48分钟D.15分钟10.(3分)如图为一无盖长方体盒子的展开图(重叠部分不计),可知该无盖长方体的容积为()A.4B.6C.12D.811.(3分)某商场举办“迎新春送大礼”的促销活动,全场商品一律打八折销售.王老师买了一件商品,比标价少付了50元,那么他购买这件商品花了()A.250元B.200元C.150元D.100元12.(3分)如图所示,∠BAC=90°,AD⊥BC,则下列结论中,正确的个数为()①AB⊥AC;②AD与AC互相垂直;③点C到AB的垂线段是线段AB;④点A到BC的距离是线段AD的长度;⑤线段AB的长度是点B到AC的距离;⑥AD+BD>AB.A.2个B.3个C.4个D.5个二、填空题:(本题共有4题,每小题3分,共12分.把答案填在答题卡上)13.(3分)如图所示,截去正方体一角变成一个新的多面体,这个多面体有个面.14.(3分)a的相反数是−32,则a的倒数是.15.(3分)x,y表示两个数,规定新运算“※”及“△”如下:x※y=6x+5y,x△y=3xy,那么(﹣2※3)△(﹣4)=.16.(3分)如图都是由同样大小的黑棋子按一定规律摆出的图案,第①个图案有4个黑棋子,第②个图案有9个黑棋子,第③个图案有14个黑棋子,…,依此规律,第n个图案有1499个黑棋子,则n=.三、解答题(本大题有7题,其中17题9分,18题8分,19题7分,20题7分,21题7分,22题7分,23题7分,共52分,把答案填在答题卷上)17.(9分)计算:(1)(﹣4)×3+(﹣18)÷(﹣2)(2)−22+(23−34)×12(3)先化简,再求值:x2﹣(5x2﹣4y)+3(x2﹣y),其中x=﹣1,y=2.18.(8分)解答下列方程的问题(1)已知x=3是关于x的方程:4x﹣a=3+ax的解,那么a的值是多少?(2)解方程:5x−76+1=3x−14.19.(7分)如图1,是由一些棱长为单位1的相同的小正方体组合成的简单几何体.(1)图中有个小正方体;(2)请在图1右侧方格中分别画出几何体的主视图、左视图;(3)不改变(2)中所画的主视图和左视图,最多还能在图1中添加个小正方体.20.(7分)随着互联网的发展,同学们的学习习惯也有了改变,一些同学在做题遇到困难时,喜欢上网查找答案.针对这个问题,某校调查了部分学生对这种做法的意见(分为:赞成、无所谓、反对),并将调查结果绘制成图1和图2两个不完整的统计图.请根据图中提供的信息,解答下列问题:(1)此次抽样调查中,共调查了多少名学生?(2)将图1补充完整;(3)求出扇形统计图中持“反对”意见的学生所在扇形的圆心角的度数;(4)根据抽样调查结果,请你估计该校1500名学生中有多少名学生持“无所谓”意见.21.(7分)我们已学习了角平分线的概念,那么你会用他们解决有关问题吗?(1)如图1所示,将长方形笔记本活页纸片的一角折过去,使角的顶点A落在A′处,BC为折痕.若∠ABC=54°,求∠A′BD的度数.(2)在(1)条件下,如果又将它的另一个角也斜折过去,并使BD边与BA′重合,折痕为BE,如图2所示,求∠CBE的度数.22.(7分)阅读理解:高斯上小学时,有一次数学老师让同学们计算“从1到100这100个正整数的和”.许多同学都采用了依次累加的计算方法,计算起来非常烦琐,且易出错.聪明的小高斯经过探索后,给出了下面漂亮的解答过程. 解:设s=1+2+3+…+100,①则s=100+99+98+…+1,②①+②,得2s=101+101+101+ (101)(两式左右两端分别相加,左端等于2S ,右端等于100个101的和)所以2s=100×101,s=12×100×101=5050③ 所以1+2+3+…+100=5050.后来人们将小高斯的这种解答方法概括为“倒序相加法”.请解答下面的问题:(1)请你运用高斯的“倒序相加法”计算:1+2+3+ (200)(2)请你认真观察上面解答过程中的③式及你运算过程中出现类似的③式,猜想:1+2+3+…+n= .(3)计算:101+102+103+ (2018)23.(7分)以下是两张不同类型火车的车票(“D ××××次”表示动车,“G ××××次”表示高铁):(1)根据车票中的信息填空:该列动车和高铁是 向而行(填“相”或“同”).(2)已知该弄动车和高铁的平均速度分别为200km/h 、300km/h ,两列火车的长度不计.①经过测算,如果两列火车直达终点(即中途都不停靠任何站点),高铁比动车将早到lh ,求A 、B 两地之间的距离.②在①中测算的数据基础上,已知A 、B 两地途中依次设有5个站点P 1、P 2、P 3、P 4、P 5,且AP 1=P 1P 2=P 2P 3=P 3P 4=P 4P 5=P 5B ,动车每个站点都停靠,高铁只停靠P 2、P 4两个站点,两列火车在每个停靠站点都停留5min .求该列高铁追上动车的时刻.2019-2020学年广东省深圳市南山区七年级(上)期末数学试卷参考答案与试题解析一、选择题(本题有12小题,每小题3分,共36分.在每小题给出的四个选项中,只有一项是符合题目要求的,请将正确的选项用铅笔涂在答题卡上.)1.(3分)下列调查中,最适合采用普查方式进行的是()A.对深圳市居民日平均用水量的调查B.对一批LED节能灯使用寿命的调查C.对央视“新闻60分”栏目收视率的调查D.对某中学教师的身体健康状况的调查【考点】全面调查与抽样调查【分析】由普查得到的调查结果比较准确,但所费人力、物力和时间较多,而抽样调查得到的调查结果比较近似,进而得出答案.【解答】解:A、对深圳市居民日平均用水量的调查,适合抽样调查,故此选项错误;B、对一批LED节能灯使用寿命的调查,适合抽样调查,故此选项错误;C、对央视“新闻60分”栏目收视率的调查,适合抽样调查,故此选项错误;D、对某中学教师的身体健康状况的调查,适合全面调查,故此选项正确;故选:D.【点评】本题考查了抽样调查和全面调查的区别,选择普查还是抽样调查要根据所要考查的对象的特征灵活选用,一般来说,对于具有破坏性的调查、无法进行普查、普查的意义或价值不大,应选择抽样调查,对于精确度要求高的调查,事关重大的调查往往选用普查.2.(3分)在下列日常生活的操作中,能体现基本事实“两点之间,线段最短”的是()A.用两颗钉子固定一根木条B.把弯路改直可以缩短路程C.用两根木桩拉一直线把树栽成一排D.沿桌子的一边看,可将桌子排整齐【考点】线段的性质:两点之间线段最短【分析】根据实际、线段的性质判断即可.【解答】解:A、用两颗钉子固定一根木条体现基本事实“两点确定一条直线”;B、把弯路改直可以缩短路程体现基本事实“两点之间,线段最短”;C、用两根木桩拉一直线把树栽成一排体现基本事实“两点确定一条直线”;D、沿桌子的一边看,可将桌子排整齐体现基本事实“线段的延长线”;故选:B.【点评】本题考查的是线段的性质,掌握两点之间,线段最短是解题的关键.3.(3分)2017年11月19日上午8:00,“2017华润•深圳南山半程马拉松赛”在华润深圳湾体育中心(“春茧”)前正式开跑,共有约16000名选手参加了比赛.16000用科学记数法可表示为()A.0.16×104B.0.16×105C.1.6×104D.1.6×105【考点】科学记数法—表示较大的数【分析】科学记数法的表示形式为a×10n的形式,其中1≤|a|<10,n为整数.确定n的值时,要看把原数变成a时,小数点移动了多少位,n的绝对值与小数点移动的位数相同.当原数绝对值>1时,n是正数;当原数的绝对值<1时,n是负数.【解答】解:16000用科学记数法可表示为1.6×104,故选:C.【点评】此题考查科学记数法的表示方法.科学记数法的表示形式为a×10n的形式,其中1≤|a|<10,n为整数,表示时关键要正确确定a的值以及n的值.4.(3分)下列计算正确的是()A.3x2y﹣2x2y=x2y B.5y﹣3y=2C.3a+2b=5ab D.7a+a=7a2【考点】合并同类项【分析】根据合并同类项的法则:把同类项的系数相加,所得结果作为系数,字母和字母的指数不变进行计算即可.【解答】解:A、3x2y﹣2x2y=x2y,故原题计算正确;B、5y﹣3y=2y,故原题计算错误;C、3a和2b不是同类项,不能合并,故原题计算错误;D、7a+a=8a,故原题计算错误;故选:A.【点评】此题主要考查了合并同类项,关键是掌握合并同类项的法则.5.(3分)如图,已知线段AB=10cm,M是AB中点,点N在AB上,NB=2cm,那么线段MN的长为()A.5cm B.4cm C.3cm D.2cm【考点】两点间的距离【分析】根据M是AB中点,先求出BM的长度,则MN=BM﹣BN.【解答】解:∵AB=10cm,M是AB中点,∴BM=12AB=5cm,又∵NB=2cm,∴MN=BM﹣BN=5﹣2=3cm.故选:C.【点评】本题考查了线段的长短比较,根据点M是AB中点先求出BM的长度是解本题的关键.6.(3分)下列结论中,正确的是()A.单项式3xy27的系数是3,次数是2B.单项式m的次数是1,没有系数C.单项式﹣xy2z的系数是﹣1,次数是4D.多项式2x2+xy+3是三次三项式【考点】单项式;多项式【分析】根据单项式的次数与系数定义分别判断得出即可.【解答】解:A、单项式3xy27的系数是37,次数是3,故此选项错误;B、单项式m的次数是1,系数是1,故此选项错误;C、单项式﹣xy2z的系数是﹣1,次数是4,故此选项正确;D、多项式2x2+xy+3是三次二项式,故此选项错误.故选:C.【点评】此题主要考查了单项式的次数与系数的定义,熟练掌握相关的定义是解题关键.7.(3分)若x2+3x﹣5的值为7,则3x2+9x﹣2的值为()A.44B.34C.24D.14【考点】代数式求值【分析】先由x2+3x﹣5=7得x2+3x=12,再整体代入到原式=3(x2+3x)﹣2,计算可得.【解答】解:∵x2+3x﹣5=7,∴x2+3x=12,则原式=3(x2+3x)﹣2=3×12﹣2=36﹣2=34,故选:B.【点评】本题主要考查代数式的求值,解题的关键是掌握整体代入思想的运用.8.(3分)有理数a在数轴上的位置如图所示,下列各数中,可能在0到1之间的是()A.|a|﹣1B.|a|C.﹣a D.a+1【考点】数轴;绝对值;有理数大小比较【分析】根据数轴得出﹣2<a<﹣1,再逐个判断即可.【解答】解:A、∵从数轴可知:﹣2<a<﹣1,∴|a|﹣1大约0<|a|﹣1<1,故本选项符合题意;B、∵从数轴可知:﹣2<a<﹣1,∴|a|>1,故本选项不符合题意;C、∵从数轴可知:﹣2<a<﹣1,∴﹣a>1,故本选项不符合题意;D、∵从数轴可知:﹣2<a<﹣1,∴a+<0,故本选项不符合题意;故选:A.【点评】本题考查了数轴和绝对值、有理数的大小,能根据数轴得出﹣2<a<﹣1是解此题的关键.9.(3分)如图是小刚一天中的作息时间分配的扇形统计图,如果小刚希望把自己每天的阅读时间调整为2小时,那么他的阅读时间需增加()A.105分钟B.60分钟C.48分钟D.15分钟【考点】扇形统计图【分析】扇形统计图中扇形的圆心角与百分比成正比,从图中可以求出原用于阅读的时间,则他的阅读需增加时间可求.【解答】解:原用于阅读的时间为24×(360﹣135﹣120﹣30﹣60)÷360=1(小时),∴把自己每天的阅读时间调整为2时,那么他的阅读时间需增加1小时.故选:B.【点评】本题考查扇形统计图及相关计算.在扇形统计图中,每部分占总部分的百分比等于该部分所对应的扇形圆心角的度数与360°的比.10.(3分)如图为一无盖长方体盒子的展开图(重叠部分不计),可知该无盖长方体的容积为()A.4B.6C.12D.8【考点】几何体的展开图【分析】根据观察、计算,可得长方体的长、宽、高,根据长方体的体积公式,可得答案.【解答】解:长方体的高是1,宽是3﹣1=2,长是6﹣2=4,长方体的容积是4×2×1=8,故选:D.【点评】本题考查了几何体的展开图,展开图折叠成几何体,得出长方体的长、宽、高是解题关键.11.(3分)某商场举办“迎新春送大礼”的促销活动,全场商品一律打八折销售.王老师买了一件商品,比标价少付了50元,那么他购买这件商品花了()A.250元B.200元C.150元D.100元【考点】一元一次方程的应用【分析】设这件商品的原价为x元,则他购买这件商品花了0.8x元,根据原价﹣现价=差额,即可得出关于x的一元一次方程,解之即可得出结论.【解答】解:设这件商品的原价为x元,则他购买这件商品花了0.8x元,根据题意得:x﹣0.8x=50,解得:x=250,∴0.8x=0.8×250=200.故选:B.【点评】本题考查了一元一次方程的应用,找准等量关系,正确列出一元一次方程是解题的关键.12.(3分)如图所示,∠BAC=90°,AD⊥BC,则下列结论中,正确的个数为()①AB⊥AC;②AD与AC互相垂直;③点C到AB的垂线段是线段AB;④点A到BC的距离是线段AD的长度;⑤线段AB的长度是点B到AC的距离;⑥AD+BD>AB.A.2个B.3个C.4个D.5个【考点】点到直线的距离【分析】根据点到直线的距离,垂直的定义,三角形三边的关系,可得答案.【解答】解:由∠BAC=90°,AD⊥BC,得AB⊥AC,故①正确;AD与AC不垂直,故②错误;点C到AB的垂线段是线段AC的长,故③错误;点A到BC的距离是线段AD的长度,故④正确;线段AB的长度是点B到AC的距离,故⑤正确;AD+BD>AB,故⑥正确;故选:C.【点评】本题考查了点到直线的距离,利用点到直线的距离,垂直的定义,三角形三边的关系是解题关键.二、填空题:(本题共有4题,每小题3分,共12分.把答案填在答题卡上)13.(3分)如图所示,截去正方体一角变成一个新的多面体,这个多面体有7个面.【考点】截一个几何体【分析】截去正方体一角变成一个多面体,这个多面体多了一个面、棱不变,少了一个顶点.【解答】解:仔细观察图形,正确地数出多面体的面数是7.故答案为:7.【点评】本题考查了正方体的截面.关键是明确正方体的面数,顶点数,棱的条数,形数结合,求出截去一个角后得到的几何体的面数,顶点数,棱的条数.14.(3分)a的相反数是−32,则a的倒数是23.【考点】相反数;倒数【分析】直接利用相反数的定义得出a 的值,再利用倒数的定义得出答案.【解答】解:∵a 的相反数是−32,∴a=32, 则a 的倒数是:23. 故答案为:23. 【点评】此题主要考查了倒数与相反数,正确把握相关定义是解题关键.15.(3分)x ,y 表示两个数,规定新运算“※”及“△”如下:x ※y=6x +5y ,x △y=3xy ,那么(﹣2※3)△(﹣4)= ﹣36 .【考点】有理数的混合运算【分析】根据x ※y=6x +5y ,x △y=3xy ,可以计算出题目中所求式子的值.【解答】解:∵x ※y=6x +5y ,x △y=3xy ,∴(﹣2※3)△(﹣4)=[6×(﹣2)+5×3]△(﹣4)=3△(﹣4)=3×3×(﹣4)=﹣36,故答案为:﹣36.【点评】本题考查有理数的混合运算,解答本题的关键是明确有理数混合运算的计算方法.16.(3分)如图都是由同样大小的黑棋子按一定规律摆出的图案,第①个图案有4个黑棋子,第②个图案有9个黑棋子,第③个图案有14个黑棋子,…,依此规律,第n 个图案有1499个黑棋子,则n= 300 .【考点】规律型:图形的变化类【分析】仔细观察每一个图形中黑棋子的个数与图形序列号的关系,找到规律,利用规律求解即可.【解答】解:观察图1有5×1﹣1=4个黑棋子;图2有5×2﹣1=9个黑棋子;图3有5×3﹣1=14个黑棋子;图4有5×4﹣1=19个黑棋子;…图n有5n﹣1个黑棋子,当5n﹣1=1499,解得:n=300,故答案:300【点评】本题考查了图形的变化类问题,解题的关键是能够仔细观察并发现图形的变化规律,难度不大.三、解答题(本大题有7题,其中17题9分,18题8分,19题7分,20题7分,21题7分,22题7分,23题7分,共52分,把答案填在答题卷上)17.(9分)计算:(1)(﹣4)×3+(﹣18)÷(﹣2)(2)−22+(23−34)×12(3)先化简,再求值:x2﹣(5x2﹣4y)+3(x2﹣y),其中x=﹣1,y=2.【考点】有理数的混合运算;整式的加减—化简求值【分析】(1)先计算乘除法,再计算加减即可得;(2)先计算乘方、利用乘法分配律去掉括号,再计算乘法,最后计算加减可得;(3)先根据整式的混合运算顺序和运算法则化简原式,再将x、y的值代入计算可得.【解答】解:(1)(﹣4)×3+(﹣18)÷(﹣2)=﹣12+9=﹣3;(2)原式=−4+23×12−34×12=﹣4+8﹣9=﹣5;(3)原式=x2﹣5x2+4y+3x2﹣3y=x2﹣5x2+3x2+4y﹣3y=﹣x2+y,当x=﹣1,y=2时,原式=﹣(﹣1)2+2=﹣1+2=1.【点评】本题主要考查有理数的混合运算和整式的化简求值,解题的关键是熟练掌握有理数和整式的混合运算顺序和运算法则.18.(8分)解答下列方程的问题(1)已知x=3是关于x的方程:4x﹣a=3+ax的解,那么a的值是多少?(2)解方程:5x−76+1=3x−14.【考点】解一元一次方程【分析】(1)直接把x的值代入,进而求出答案;(2)首先去分母进而去括号,再移项合并同类项得出答案.【解答】解:(1)∵x=3是的方程:4x﹣a=3+ax的解,∴12﹣a=3+3a,∴﹣a﹣3a=3﹣12,∴﹣4a=﹣9,∴a=9 4;(2)去分母得:2(5x﹣7)+12=3(3x﹣1)10x﹣14+12=9x﹣3,10x﹣9x=﹣3+14﹣12,解得:x=﹣1.【点评】此题主要考查了一元一次方程的解法,正确掌握解题方法是解题关键.19.(7分)如图1,是由一些棱长为单位1的相同的小正方体组合成的简单几何体.(1)图中有10个小正方体;(2)请在图1右侧方格中分别画出几何体的主视图、左视图;(3)不改变(2)中所画的主视图和左视图,最多还能在图1中添加4个小正方体.【考点】作图﹣三视图【分析】(1)最前面1排1个小正方体,中间1排有3个正方体,最后面一排共6个小正方体,再计算总和即可.(2)由已知条件可知,主视图有3列,每列小正方数形数目分别为3,1,2,左视图有3列,每列小正方形数目分别为3,2,1;据此可画出图形.(3)不改变(2)中所画的主视图和左视图,最多还能在图1中添加第一排的右边2列的2个,第2排的右边第3列的2个,然后可得答案.【解答】解:(1)正方体的个数:1+3+6=10,(2)如图所示:;(3)不改变(2)中所画的主视图和左视图,最多还能在图1中添加第一排的右边2列的2个,第2排的右边第3列的2个,2+2=4.答:最多还能在图1中添加4个小正方体.故答案为:10;4.【点评】此题主要考查了三视图,在画图时一定要将物体的边缘、棱、顶点都体现出来,看得见的轮廓线都画成实线,看不见的画成虚线,不能漏掉.20.(7分)随着互联网的发展,同学们的学习习惯也有了改变,一些同学在做题遇到困难时,喜欢上网查找答案.针对这个问题,某校调查了部分学生对这种做法的意见(分为:赞成、无所谓、反对),并将调查结果绘制成图1和图2两个不完整的统计图.请根据图中提供的信息,解答下列问题:(1)此次抽样调查中,共调查了多少名学生?(2)将图1补充完整;(3)求出扇形统计图中持“反对”意见的学生所在扇形的圆心角的度数;(4)根据抽样调查结果,请你估计该校1500名学生中有多少名学生持“无所谓”意见.【考点】用样本估计总体;扇形统计图;条形统计图【分析】(1)根据统计图中的数据可以求得此次抽样调查中,共调查了多少名学生;(2)根据(1)中的结果和统计图中的数据可以求得反对的人数,从而可以将条形统计图补充完整;(3)根据统计图中的数据可以求得扇形统计图中持“反对”意见的学生所在扇形的圆心角的度数;(4)根据统计图中的数据可以估计该校1500名学生中有多少名学生持“无所谓”意见.【解答】解:(1)130÷65%=200,答:此次抽样调查中,共调查了200名学生;(2)反对的人数为:200﹣130﹣50=20,补全的条形统计图如右图所示;(3)扇形统计图中持“反对”意见的学生所在扇形的圆心角的度数是:20 200×360°=36°;(4)1500×50200=375,答:该校1500名学生中有375名学生持“无所谓”意见.【点评】本题考查条形统计图、扇形统计图、用样本估计总体,解答本题的关键是明确题意,找出所求问题需要的条件,利用数形结合的思想解答.21.(7分)我们已学习了角平分线的概念,那么你会用他们解决有关问题吗?(1)如图1所示,将长方形笔记本活页纸片的一角折过去,使角的顶点A落在A′处,BC为折痕.若∠ABC=54°,求∠A′BD的度数.(2)在(1)条件下,如果又将它的另一个角也斜折过去,并使BD边与BA′重合,折痕为BE,如图2所示,求∠CBE的度数.【考点】角平分线的定义;角的计算【分析】(1)由折叠的性质可得∠A′BC=∠ABC=54°,由平角的定义可得∠A′BD=180°﹣∠ABC ﹣∠A′BC ,可得结果;(2)由(1)的结论可得∠DBD′=72°,由折叠的性质可得∠2=12∠DBD′=12×72°=36°,由角平分线的性质可得∠1=54°,再相加即可求解.【解答】解:(1)∵∠ABC=54°,∴∠A′BC=∠ABC=54°,∴∠A′BD=180°﹣∠ABC ﹣∠A′BC=180°﹣54°﹣54°=72°;(2)由(1)的结论可得∠DBD′=72°,∴∠2=12∠DBD′=12×72°=36°,∠ABD′=108°, ∴∠1=12∠ABD′=12×108°=54°, ∴∠CBE=∠1+∠2=90°.【点评】本题主要考查了角平分线的定义,根据角平分线的定义得出角的度数是解答此题的关键.22.(7分)阅读理解:高斯上小学时,有一次数学老师让同学们计算“从1到100这100个正整数的和”.许多同学都采用了依次累加的计算方法,计算起来非常烦琐,且易出错.聪明的小高斯经过探索后,给出了下面漂亮的解答过程. 解:设s=1+2+3+…+100,①则s=100+99+98+…+1,②①+②,得2s=101+101+101+ (101)(两式左右两端分别相加,左端等于2S ,右端等于100个101的和)所以2s=100×101,s=12×100×101=5050③ 所以1+2+3+…+100=5050.后来人们将小高斯的这种解答方法概括为“倒序相加法”.请解答下面的问题:(1)请你运用高斯的“倒序相加法”计算:1+2+3+ (200)(2)请你认真观察上面解答过程中的③式及你运算过程中出现类似的③式,猜想:1+2+3+…+n= 12n (n +1) . (3)计算:101+102+103+ (2018)【考点】有理数的混合运算;规律型:数字的变化类【分析】(1)原式利用高斯的“倒序相加法”计算即可求出值;(2)归纳总结得到一般性规律,写出即可;(3)原式变形后,利用高斯的“倒序相加法”计算即可求出值.【解答】解:设s=1+2+3+…+100①,则s=100+99+98+…+1②,①+②,得2s=101+101+101+…+101,(两式左右两端分别相加,左端等于2s ,右端等于100个101的和)所以2s=100×101,s=12×100×101=5050③, 所以1+2+3+…+100=5050,后来人们将小高斯的这种解答方法概括为“倒序相加法”.请解答下面的问题:(1)1+2+3+…+200,s=1+2+3+…+200①,则s=200+199+198+…+1②,①+②,得2s=201+201+201+ (201)所以2s=200×201,s=12×200×201=20100, 所以1+2+3+…+200=20100;(2)猜想:1+2+3+…+n=12n (n +1); 故答案为:12n (n +1); (3)s=101+102+103+…+2018①,则s=2018+2017+2016+…+1②,①+②,得2s=2119+2119+2119+ (2119)所以2s=(2018﹣100)×2119,s=12×1918×2119=2032121, 所以101+102+103+…+2018=2032121.【点评】此题考查了有理数的混合运算,熟练掌握运算法则是解本题的关键.23.(7分)以下是两张不同类型火车的车票(“D××××次”表示动车,“G××××次”表示高铁):(1)根据车票中的信息填空:该列动车和高铁是同向而行(填“相”或“同”).(2)已知该弄动车和高铁的平均速度分别为200km/h、300km/h,两列火车的长度不计.①经过测算,如果两列火车直达终点(即中途都不停靠任何站点),高铁比动车将早到lh,求A、B两地之间的距离.②在①中测算的数据基础上,已知A、B两地途中依次设有5个站点P1、P2、P3、P4、P5,且AP1=P1P2=P2P3=P3P4=P4P5=P5B,动车每个站点都停靠,高铁只停靠P2、P4两个站点,两列火车在每个停靠站点都停留5min.求该列高铁追上动车的时刻.【考点】一元一次方程的应用【分析】(1)根据两车的出发地及目的地,即可得出两车方向相同;(2)①设A、B两地之间的距离为xkm,根据时间=路程÷速度结合高铁比动车少用2小时,即可得出关于x的一元一次方程,解之即可得出结论;②根据AP1=P1P2=P2P3=P3P4=P4P5=P5B可求出每个相邻站点距离,利用时间=路程÷速度可求出两车经过每个相邻站点的时间,结合两车出发的时间及停靠站点休息的时间可得出高铁在P2站、P3站之间追上动车,设高铁经过t小时之后追上动车,根据路程=时间×速度,即可得出关于t的一元一次方程,解之即可得出t值,再加上出发时间即可求出结论.【解答】解:(1)∵动车和高铁均从A地到B地,∴两车方向相同.故答案为:同.(2)①设A、B两地之间的距离为xkm,根据题意得:x 200﹣x 300=2, 解得:x=1200.答:A 、B 两地之间的距离是1200km .②每个相邻站点距离为1200÷6=200km ,动车到每一站所花时间为200÷200×60=60(分钟),高铁到每一站所花时间为200÷300×60=40(分钟).∵60÷(60﹣40)=3,∴高铁在P 2站、P 3站之间追上动车.设高铁经过t 小时之后追上动车,根据题意得:(t ﹣560)×300=(t +1﹣560×2)×200, 解得:t=2312, ∴7:00+2312=8:55. 答:该列高铁在8:55追上动车.【点评】本题考查了一元一次方程的应用,解题的关键是:(1)根据车票上起始站找出结论;(2)①找准等量关系,正确列出一元一次方程;②通过分析两车的行驶过程,找出高铁追上动车的大致位置.数学期末考注意事项期末考试眼瞅着就要到了,同学们正紧张地进行复习,其实,考试也有考试的学问和技巧。
嘉定区2019学年第二学期八年级期末质量调研数学试卷(时间:90分钟,满分:100分)考生注意:1.本试卷含三个大题,共25题;2.答题时,考生务必按答题要求在答题纸规定的位置上作答,在草稿纸、本试卷上答题一律无效;3.除第一、二大题外,其余各题如无特别说明,都必须在答题纸的相应位置上写出推理或计算的主要步骤.一、选择题:(本大题共6题,每题3分,满分18分)1.一次函数32y x =--的截距是()A.3- B.2- C.2 D.3【答案】B【解析】【分析】计算当x =0时对应的y 值即得答案.【详解】解:当x =0时,y =﹣2,所以一次函数32y x =--的截距是﹣2.故选:B .【点睛】本题考查了一次函数的相关知识,属于基本题型,正确得出当x =0时对应的y 值是解题关键.2.如果关于x 的方程(3)2020a x -=的解为负数,那么实数a 的取值范围是()A.3a < B.3a = C.3a > D.3a ≠【答案】A【解析】【分析】由方程的解为负数直接得出a -3<0,解不等式即可得出答案.【详解】解:∵关于x 的方程(a -3)x =2020的解为负数,∴a -3<0,解得a <3,故选:A .【点睛】本题主要考查解一元一次不等式的基本能力,严格遵循解不等式的基本步骤是关键,尤其需要注意不等式两边都乘以或除以同一个负数不等号方向要改变.3.下列方程中,有实数根的是()A.410x += B.10+= C.x =- D.22111x x x =--【答案】C【解析】【分析】利用乘方的意义可对A 进行判断;通过解无理方程可对B 、C 进行判断;通过解分式方程可对D 进行判断.【详解】解:A 、x 4≥0,x 4+1>0,方程x 4+1=0没有实数解;B 1=-,任何数的算术平方根是非负数,故原方程没有实数解;C 、两边平方得x +2=x 2,解得x 1=-1,x 2=2,经检验,原方程的解为x =-1;D 、去分母得x =1,经检验x =1是原方程的增根,故原方程没有实数解,故选:C .【点睛】本题主要考查了无理方程:解无理方程的基本思想是把无理方程转化为有理方程来解,在变形时要注意根据方程的结构特征选择解题方法.用乘方法(即将方程两边各自乘同次方来消去方程中的根号)来解无理方程,往往会产生增根,应注意验根.4.将只有颜色不同的3个白球、2个黑球放在一个不透明的布袋中.下列四个选项,不正确的是()A.摸到白球比摸到黑球的可能性大B.摸到白球和黑球的可能性相等C.摸到红球是确定事件D.摸到黑球或白球是确定事件【答案】B【解析】【分析】根据随机事件发生的可能性的计算方法和确定事件的概念逐一判断即得答案.【详解】解:A 、由白球的数量比黑球的数量多可得摸到白球比摸到黑球的可能性大,所以本选项说法正确,不符合题意;B 、摸到白球和黑球的可能性不相等,所以本选项说法错误,符合题意;C 、摸到红球是不可能事件,属于确定事件,所以本选项说法正确,不符合题意;D 、摸到黑球或白球是必然事件,属于确定事件,所以本选项说法正确,不符合题意.故选:B .【点睛】本题考查了可能性的大小和确定事件的概念,属于基础题型,熟练掌握上述基本知识是关键.5.下列四个命题中,假命题是()A.有两个内角相等的梯形是等腰梯形B.等腰梯形一定有两个内角相等C.两条对角线相等的梯形是等腰梯形D.等腰梯形的两条对角线相等【答案】A【解析】【分析】利用直角梯形可对A 进行判断;根据等腰梯形的性质对B 、D 进行判断;根据等腰梯形的判定方法对C 进行判断.【详解】解:A 、有两个内角相等的梯形是等腰梯形,如:直角梯形,故这个命题为假命题;B 、等腰梯形一定有两个内角相等,这个命题为真命题;C 、两条对角线相等的梯形是等腰梯形,这个命题为真命题;D 、等腰梯形的两条对角线相等,这个命题为真命题.故选:A .【点睛】本题考查了命题与定理和梯形的性质和判定,命题的“真”“假”是就命题的内容而言.任何一个命题非真即假.要说明一个命题的正确性,一般需要推理、论证,而判断一个命题是假命题,只需举出一个反例即可.6.已知四边形ABCD 是矩形,点O 是对角线AC 与BD 的交点.下列四种说法:①向量AO 与向量OC 是相等的向量;②向量OA 与向量OC 是互为相反的向量;③向量AB 与向量CD 是相等的向量;④向量BO 与向量BD 是平行向量.其中正确的个数为()A.1B.2C.3D.4【答案】C【解析】【分析】利用矩形的性质,相等向量,平行向量的定义一一判断即可.【详解】解:如图:∵四边形ABCD 是矩形,∴AB=CD ,AB ∥CD ,OA=OC ,OB=OD ,∴①向量AO 与向量OC 是相等的向量,正确.②向量OA 与向量OC 是互为相反的向量,正确.③向量AB 与向量CD是相等的向量;错误.④向量BO 与向量BD 是平行向量.正确.故选:C .【点睛】本题考查平面向量,矩形的性质等知识,长度相等且方向相同的两个向量叫做相等向量,平行向量也叫共线向量,是方向相同或相反的非零向量.二.填空题:(本大题共12题,每题2分,满分24分)7.已知一次函数()32f x x =+,那么()1f -=______.【答案】1-【解析】【分析】代入1x =-,即可求出()1f -的值.【详解】当1x =-时,()()13121f -=⨯-+=-.故答案为:1-.【点睛】本题考查了一次函数图象上点的坐标特征,牢记直线上任意一点的坐标都满足函数关系式y kx b =+是解题的关键.8.如果将直线12y x =沿y 轴向下平移2个单位,那么平移后所得直线的表达式是______.【答案】122y x =-【解析】【分析】根据平移时k 的值不变,只有b 发生变化即可得到结论.【详解】解:原直线的k=12,b=0;向下平移2个单位长度,得到了新直线,那么新直线的k=12,b=0-2=-2.∴新直线的解析式为y=12x-2.故答案是:y=12x-2.【点睛】本题考查了一次函数图象的几何变换,难度不大,要注意平移后k 值不变.9.已知函数37y x =-+,当1y <时,自变量x 的取值范围是______.【答案】2x >【解析】【分析】由题意可得关于x 的不等式,解不等式即得答案.【详解】解:当1y <时,371x -+<,解得:2x >.故答案为:2x >.【点睛】本题考查了已知函数的范围求自变量的范围,属于基本题型,熟练掌握基础知识是解题关键.10.二项方程32160x +=在实数范围内的解是_______.【答案】2x =-【解析】【分析】先移项,再将三次项系数化为1,最后根据立方根的定义求解可得.【详解】解:∵32160x +=,∴3216x =-,∴38x =-,则2x ==-故答案为:2x =-.【点睛】本题主要考查立方根,解题的关键是掌握立方根的定义.11.用换元法解方程()223141x x x x-+=-,若设21x y x =-,那么所得到的关于y 的整式方程为________.【答案】2430y y -+=【解析】【分析】根据方程特点,设21x y x =-,则原方程可化为34y y +=,再去分母化为整式方程即得答案.【详解】解:设21x y x =-,则原方程可化为34y y +=,去分母,得234y y +=,即2430y y -+=.故答案为:2430y y -+=.【点睛】本题考查了换元法解分式方程,用换元法解一些复杂的分式方程是比较常见的一种方法,熟练掌握该方法是关键.12.方程2=的解是__________.【答案】5x =.【解析】试题分析:原方程两边平方,得:x -1=4,所以,5x =.故答案为5x =.考点:根式方程.13.某校八年级在“停课不停学”期间,积极开展网上答疑活动.在某时间段共开放7个网络教室,其中1个是语文答疑教室,3个是数学答疑教室,3个是英语答疑教室.为了解学校的八年级学生参与网上答疑的情况,学校教学管理人员随机进入一个网络教室,那么他进入数学答疑教室的概率为__________.【答案】37【解析】【分析】根据概率公式解答即可.【详解】解:∵在7个网络教室中有3个是数学答疑教室,∴学校教学管理人员随机进入一个网络教室是数学答疑教室的概率=37.故答案为:37.【点睛】本题考查了简单的概率计算,属于基础题型,正确理解题意、熟练掌握计算的方法是关键.14.已知一个梯形的中位线长为5cm ,其中一条底边的长为6cm ,那么该梯形的另一条底边的长是__________cm .【答案】4【解析】【分析】根据梯形中位线定理解答即可.【详解】解:设该梯形的另一条底边的长是x cm ,根据题意得:()1652x +=,解得:x =4,即该梯形的另一条底边的长是4cm .故答案为:4.【点睛】本题考查了梯形中位线定理,属于基本题目,熟练掌握该定理是解题关键.15.已知菱形的边长为2cm ,一个内角为60︒,那么该菱形的面积为__________2cm .【答案】【解析】【分析】连接AC ,过点A 作AM ⊥BC 于点M ,根据菱形的面积公式即可求出答案.【详解】解:过点A 作AM ⊥BC 于点M ,∵菱形的边长为2cm ,∴AB =BC =2cm ,∵有一个内角是60°,∴∠ABC =60°,∴∠BAM =30°,∴112BM AB ==(cm ),∴AM ==(cm ),∴此菱形的面积为:2=(cm 2).故答案为:【点睛】本题主要考查了菱形的性质和30°直角三角形性质,解题的关键是熟练运用菱形的性质,本题属于基础题型.16.已知梯形的两底长分别为2和8,两腰的长分别为4与a ,那么字母a 的取值范围为_____________.【答案】210a <<【解析】【分析】画出图形如图,作DE ∥AB 交BC 于E ,则四边形ABED 是平行四边形,设DE =AB =a ,求出CE 的长后,在△CDE 中由三角形的三边关系即可得出答案.【详解】解:如图所示:在梯形ABCD 中,AD ∥BC ,AD =2,BC =8,CD =4,AB =a ,作DE ∥AB 交BC 于E ,则四边形ABED 是平行四边形,∴DE =AB =a ,BE =AD =2,∴CE =BC ﹣BE =8﹣2=6,在△CDE 中,由三角形的三边关系得:CE ﹣CD <DE <CE +CD ,即6﹣4<DE <6+4,∴2<a <10;故答案为:2<a <10.【点睛】本题考查了梯形的性质、平行四边形的判定与性质、三角形的三边关系等知识,正确添加辅助线、灵活应用三角形的三边关系是解题的关键.17.已知四边形ABCD ,点O 是对角线AC 与BD 的交点,且OA OC =,请再添加一个条件,使得四边形ABCD 成为平行四边形,那么添加的条件可以是_____________.(用数学符号语言表达)【答案】OB OD=【解析】【分析】由题意OA=OC ,即一条对角线平分,根据平行四边形的判定方法,可以平分另一条对角线,也可以根据三角形全等,得出答案.【详解】解:如图所示:∵OA=OC ,由定理:两条对角线互相平分的四边形是平行四边形,∴可以是OB=OD (答案不唯一).故答案为:OB=OD (答案不唯一).【点睛】本题考查了平行四边形的判定,一般有几种方法:①两组对边分别平行的四边形是平行四边形,②一组对边平行且相等的四边形是平行四边形,③两组对边分别相等的四边形是平行四边形,④两条对角线互相平分的四边形是平行四边形,⑤两组对角分别相等的四边形是平行四边形.18.贾老师用四个大小、形状完全相同的小长方形围成了一个大正方形,如果大正方形的面积为3,且3m n =那么图中阴影部分的面积是___________.【答案】34【解析】【分析】由大正方形的面积为3可得()23m n +=,由3m n =可得2n 的值,而阴影部分是边长为(m -n )的正方形,进一步即可求出其面积.【详解】解:由题意,得()23m n +=,∵3m n =,∴()233n n +=,即2316n =,阴影部分是边长为(m -n )的正方形,其面积为()()2223344m n n n n -=-==.故答案为:34.【点睛】本题考查了完全平方公式的几何背景和代数式变形求值,属于常考题型,熟练掌握基本知识、灵活应用整体思想是关键.三.解答题:(本大题共7题,满分58分)19.解方程:2121111x x x x +-=--+【答案】10x =【解析】【分析】分式方程去分母转化为整式方程,求出整式方程的解得到x 的值,经检验即可得到分式方程的解.【详解】解:()2121x x +-=-20x x +=120,1x x ==-经检验:10x =是原方程的根,21x =-是增根,舍去.∴原方程的根是10x =.【点睛】此题考查了解分式方程,利用了转化的思想,解分式方程注意要检验.20.解方程组:222,{230.x y x xy y -=--=【答案】1111x y =⎧⎨=-⎩2231x y =⎧⎨=⎩【解析】【详解】x 2-2xy-3y 2="0"(x-y)2-4y 2=0又因:x-y=2代入上式4-4y 2=0y=1或y=-1再将y=1、y=-1分别代入x-y=2则x=1、x=3∴1111x y =⎧⎨=-⎩2231x y =⎧⎨=⎩21.如图,已知向量a 、b ,用直尺与圆规先作向量a b + ,再作向量a b - .(不写画法,保留画图痕迹,并在答案中注明所求作的向量.【答案】图见解析;【解析】【分析】利用三角形法则求解即可.【详解】解:如图,AB a b =+ ,CD a b =-.【点睛】本题考查作图-复杂作图,平面向量,三角形法则等知识,解题的关键是熟练掌握基本知识,属于中考常考题型.22.某市为了美化环境,计划在一定的时间内完成绿化面积200万亩的任务,后来市政府调整了原定计划,不但绿化面积要在原计划的基础上增加20%,而且要提前1年完成任务,经测算要完成新的计划,平均每年的绿化面积必须比原计划多20万亩,求原计划平均每年的绿化面积.【答案】原计划平均每年完成绿化面积40万亩.【解析】【分析】本题的相等关系是:原计划完成绿化时间−实际完成绿化实际=1.设原计划平均每年完成绿化面积x 万亩,则原计划完成绿化完成时间200x 年,实际完成绿化完成时间:200(120%)20x ++年,列出分式方程求解【详解】解:设原计划平均每年完成绿化面积x 万亩.根据题意可列方程:200200(120%)120x x +-=+去分母整理得:26040000x x +-=解得:140x =,2100x =-经检验:140x =,2100x =-都是原分式方程的根,因为绿化面积不能为负,所以取40x =.答:原计划平均每年完成绿化面积40万亩.【点睛】本题考查了分式方程的应用.分析题意,找到关键描述语,找到合适的等量关系是解决问题的关键.列分式方程解应用题的检验要分两步:第一步检验它是否是原方程的根,第二步检验它是否符合实际问题.23.已知平行四边形ABCD ,对角线AC 、BD 相交于点O ,且CA CB =,延长BC 至点E ,使CE BC =,联结DE .(1)当AC BD ⊥时,求证:2BE CD =;(2)当90ACB ∠=︒时,求证:四边形ACED 是正方形.【答案】(1)见解析(2)见解析【解析】【分析】(1)根据已知条件得到四边形ABCD 是菱形.求得BC=CD .得到BE=2BC ,于是得到结论;(2)根据平行四边形的性质得到AD=BC ,AD ∥BE ,求得AD=CE ,AD ∥CE ,推出平行四边形ACED 是矩形,根据正方形的判定定理即可得到结论.【详解】(1)证明:∵四边形ABCD 是平行四边形,又∵AC BD ⊥,∴四边形ABCD 是菱形.∴BC CD =.又∵CE BC =,∴2BE BC =,∴2BE CD =.(2)证明:∵四边形ABCD 是平行四边形,∴AD BC =,//AD BE ,又∵CE BC =,∴AD CE =,//AD CE ,∴四边形ACED 是平行四边形.∵90ACB ∠=︒∴平行四边形ACED 是矩形.又∵CA CB =,∴CA CE =.∴矩形ACED 是正方形.【点睛】本题考查了正方形的判定,平行四边形的性质,矩形的判定,菱形的判定和性质,熟练掌握各定理是解题的关键.24.在平面直角坐标系xOy 中,已知一次函数43y x b =-+的图像与x 轴、y 轴分别相交于点A 、B ,且与两坐标轴所围成的三角形的面积为6.(1)直接写出点A 与点B 的坐标(用含b 的代数式表示);(2)求b 的值;(3)如果一次函数43y x b =-+的图像经过第二、三、四象限,点C 的坐标为(2,m ),其中0m >,试用含m 的代数式表示△ABC 的面积.【答案】(1)3(,0)4A b ;(0,)B b (2)4±(3)3102m +【解析】【分析】(1)由一次函数43y x b =-+的图象与x 轴、y 轴分别相交于点A 、B ,令y=0求出x ,得到A 点坐标;令x=0,求出y ,得到B 点坐标;(2)根据一次函数43y x b =-+的图象与两坐标轴所围成的三角形的面积为6列出方程,即可求出b 的值;(3)根据一次函数43y x b =-+的图象经过第二、三、四象限,得出b=-4,确定A (-3,0),B (0,-4).利用待定系数法求出直线AC 的解析式,再求出D (0,35m ),那么BD=35m+4,再根据S △ABC =S △ABD +S △DBC ,即可求解.【详解】解:(1)∵一次函数y=43-x+b 的图象与x 轴、y 轴分别相交于点A 、B ,∴当y=0时,43-x+b=0,解得x=34b ,则A (34b ,0),当x=0时,y=b ,则B (0,b );故3(,0)4A b ;(0,)B b ;(2)∵1136224AOB S OA OB b b =⋅⋅=⋅⋅= ∴216b =,∴4b =±;(3)∵函数图像经过二、三、四象限,∴4b =-,∴443y x =--.∴(3,0)A -,(0,4)B -.设直线AC 的解析式为y kx t =+,将A 、C 坐标代入得032k tm k t=-+⎧⎨=+⎩解得535m k t m ⎧=⎪⎪⎨⎪=⎪⎩设直线AC 与y 轴交于点D ,则(0)53D m ,.∴345BD m =+∵ABC ABD CBDS S S =+ ∴13(4)(32)102532ABC S m m =⋅+⋅+=+ .【点睛】本题考查了一次函数图象上点的坐标特征,三角形的面积,一次函数的性质,利用待定系数法求一次函数的解析式.25.已知四边形ABCD 是正方形,将线段CD 绕点C 逆时针旋转α(090α︒<<︒),得到线段CE ,联结BE 、CE 、DE.过点B 作BF ⊥DE 交线段DE 的延长线于F .(1)如图,当BE=CE 时,求旋转角α的度数;(2)当旋转角α的大小发生变化时,BEF ∠的度数是否发生变化?如果变化,请用含α的代数式表示;如果不变,请求出BEF ∠的度数;(3)联结AF ,求证:DE =.【答案】(1)30°;(2)不变;45°;(3)见解析【解析】【分析】(1)利用图形的旋转与正方形的性质得到△BEC 是等边三角形,从而求得α=∠DCE=30°.(2)因为△CED 是等腰三角形,再利用三角形的内角和即可求∠BEF=18045CED CEB ︒-∠-∠=︒.(3)过A 点与C 点添加平行线与垂线,作得四边形AGFH 是平行四边形,求得△ABG ≌△ADH.从而求得矩形AGFH 是正方形,根据正方形的性质证得△AHD ≌△DIC ,从而得出结论.【详解】(1)证明:在正方形ABCD 中,BC=CD.由旋转知,CE=CD,又∵BE=CE,∴BE=CE=BC,∴△BEC 是等边三角形,∴∠BCE=60°.又∵∠BCD=90°,∴α=∠DCE=30°.(2)∠BEF 的度数不发生变化.在△CED 中,CE=CD,∴∠CED=∠CDE=1809022=︒-αα︒-,在△CEB 中,CE=CB,∠BCE=90α︒-,∴∠CEB=∠CBE=1804522BCE α︒-∠=︒+,∴∠BEF=18045CED CEB ︒-∠-∠=︒.(3)过点A 作AG ∥DF 与BF 的延长线交于点G ,过点A 作AH ∥GF 与DF 交于点H ,过点C 作CI ⊥DF 于点I易知四边形AGFH 是平行四边形,又∵BF ⊥DF ,∴平行四边形AGFH 是矩形.∵∠BAD=∠BGF=90°,∠BPF=∠APD ,∴∠ABG=∠ADH.又∵∠AGB=∠AHD=90°,AB=AD ,∴△ABG ≌△ADH.∴AG=AH ,∴矩形AGFH 是正方形.∴∠AFH=∠FAH=45°,∴AH=AF∵∠DAH+∠ADH=∠CDI+∠ADH=90°∴∠DAH=∠CDI又∵∠AHD=∠DIC=90°,AD=DC ,∴△AHD ≌△DIC∴AH=DI ,∵DE=2DI ,∴DE=2AH=AF识,解题的关键是灵活运用所学知识解决问题,属于中考常考题型.。
2019-2020学年广东省广州市番禺区八年级第二学期期末数学试卷一、选择题(共10小题).1.二次根式有意义的条件是()A.x>2B.x≥2C.x<2D.x≤22.下列各组数中不能作为直角三角形的三边长的是()A.3,4,5B.13,14,15C.5,12,13D.15,8,17 3.下面是某八年级(2)班第1组女生的体重(单位:kg):35,36,42,42,68,40,38,这7个数据的中位数是()A.68B.43C.42D.404.矩形、菱形、正方形都具有的性质是()A.对角线相等B.对角线互相垂直C.对角线互相平分D.对角线平分对角5.一次函数y=﹣3x+1的图象不经过()A.第一象限B.第二象限C.第三象限D.第四象限6.如图,在菱形ABCD中,E,F分别是AB,AC的中点,若EF=2,则菱形ABCD的周长为()A.16B.8C.D.47.下列各式计算正确的是()A.B.C.D.=﹣=3﹣2=18.把直线y=﹣2x向上平移后得到直线AB,若直线AB经过点(m,n),且2m+n=8,则直线AB的表达式为()A.y=﹣2x+4B.y=﹣2x+8C.y=﹣2x﹣4D.y=﹣2x﹣89.如图,在正方形ABCD的外侧,作等边三角形ADE,连接BE,则∠AEB的度数为()A.10°B.15°C.20°D.12.5°10.如图,在菱形ABCD中,AB=AC=1,点E、F分别为边AB、BC上的点,且AE=BF,连接CE、AF交于点H,连接DH交AC于点O,则下列结论:①△ABF≌△CAE;②∠FHC=∠B;③△ADO≌△ACH;④S菱形ABCD=;其中正确的结论个数是()A.1个B.2个C.3个D.4个二、填空题11.计算:=.12.在平行四边形ABCD中,若∠A=38°,则∠C=.13.直线y=2x﹣3与y轴的交点坐标.14.两人从同一地点同时出发,一人以30m/min的速度向北直行,一人以30m/min的速度向东直行,10min后他们相距m.15.甲、乙两车从A城出发前往B城,在整个行程中,汽车离开A城的距离y与时刻t的对应关系如图所示,则当乙车到达B城时,甲车离B城的距离为km.16.如图,在矩形ABCD中,AB=6,BC=4,将矩形沿AC折叠,点D落在D′处,则重叠部分△AFC的面积为.三、解答题17.计算:(1)(2)(3)18.甲、乙两名射击运动员各进行10次射击,甲的成绩是7,7,8,9,8,9,10,9,9,9.乙的成绩如图所示(单位:环)(1)分别计算甲、乙两人射击成绩的平均数;(2)若要选拔一人参加比赛,应派哪一位?请说明理由.19.如图,一架2.5m长的梯子AB斜靠在一竖直的墙AO上,这时AO为2.4m,如果梯子的顶端A沿墙下滑0.4m,则梯子底端B也外移0.4m吗?为什么?20.已知直线y=kx+b的图象经过点(2,4)和点(﹣2,﹣2).(1)求b的值;(2)求关于x的方程kx+b=0的解;(3)若(x1,y1)、(x2,y2)为直线上两点,且x1<x2,试比较y1、y2的大小.21.如图,在▱ABCD中,BE∥DF,且分别交对角线AC于点E,F,连接ED,BF.(1)求证:AE=CF;(2)若AB=9,AC=16,AE=4,BF=3,求四边形ABCD的面积.#DLQZ22.已知点A(8,0)及第一象限的动点P(x,y),且x+y=10,设△OPA的面积为S.(1)求S关于x的函数解析式,并写出x的取值范围;(2)画出函数S的图象,并求其与正比例函数S=2x的图象的交点坐标;(3)当S=12时,求P点坐标.23.如图,在平行四边形ABCD中,E,F分别是AB,CD的中点,DE,BF与对角线AC 分别交于点M,N,连接MF,NE.(1)求证:DE∥BF;(2)判断四边形MENF是何特殊的四边形?并对结论给予证明.24.甲、乙两家商场平时以同样价格出售相同的商品,春节期间两家商场都让利酬宾,其中甲商场所有商品按8折出售,乙商场对一次购物中超过300元后的价格部分打7折.(1)以x(单位:元)表示商品原价,y(单位:元)表示购物金额,分别就两家商场的让利方式写出y与x的函数解析式;(2)在同一直角坐标系中画出(1)中函数的图象;(3)春节期间如何选择这两家商场去购物更省钱?25.如图,在边长为a的正方形ABCD中,作∠ACD的平分线交AD于F,过F作直线AC 的垂线交AC于P,交CD的延长线于Q,又过P作AD的平行线与直线CF交于点E,连接DE,AE,PD,PB.(1)求AC,DQ的长;(2)四边形DFPE是菱形吗?为什么?(3)探究线段DQ,DP,EF之间的数量关系,并证明探究结论;(4)探究线段PB与AE之间的数量关系与位置关系,并证明探究结论.参考答案一、选择题(本大题共10小题,每小题2分,满分20分,在每小题给出的四个选项中,只有一项是符合题目要求的.)1.二次根式有意义的条件是()A.x>2B.x≥2C.x<2D.x≤2【分析】根据被开方数大于等于0列式计算即可得解.解:由题意得,x﹣2≥0,解得x≥2.故选:B.2.下列各组数中不能作为直角三角形的三边长的是()A.3,4,5B.13,14,15C.5,12,13D.15,8,17【分析】先分别求出两小边的平方和和最长边的平方,再看看是否相等即可.解:A、∵32+42=52,∴以3,4,5为边能组成直角三角形,故本选项不符合题意;B、∵132+142≠152,∴以13,14,15为边不能组成直角三角形,故本选项符合题意;C、∵52+122=132,∴以5,12,13为边能组成直角三角形,故本选项不符合题意;D、∵82+152=172,∴以8,15,17为边能组成直角三角形,故本选项不符合题意;故选:B.3.下面是某八年级(2)班第1组女生的体重(单位:kg):35,36,42,42,68,40,38,这7个数据的中位数是()A.68B.43C.42D.40【分析】根据中位数的概念求解.解:这组数据按照从小到大的顺序排列为:35,36,38,40,42,42,68,则中位数为40.故选:D.4.矩形、菱形、正方形都具有的性质是()A.对角线相等B.对角线互相垂直C.对角线互相平分D.对角线平分对角【分析】根据正方形的性质,菱形的性质及矩形的性质分别分析各个选项,从而得到答案.解:A、对角线相等,菱形不具有此性质,故本选项错误;B、对角线互相垂直,矩形不具有此性质,故本选项错误;C、对角线互相平分,正方形、菱形、矩形都具有此性质,故本选项正确;D、对角线平分对角,矩形不具有此性质,故本选项错误;故选:C.5.一次函数y=﹣3x+1的图象不经过()A.第一象限B.第二象限C.第三象限D.第四象限【分析】根据题目中的函数解析式和一次函数的性质,可以判断该函数的图象经过哪几个象限,不经过哪个象限,本题得以解决.解:∵一次函数y=﹣3x+1,k=﹣3,b=1,∴该函数图象经过第一、二、四象限,不经过第三象限,故选:C.6.如图,在菱形ABCD中,E,F分别是AB,AC的中点,若EF=2,则菱形ABCD的周长为()A.16B.8C.D.4【分析】根据三角形的中位线定理求出BC,再根据菱形的四条边解答即可.解:∵E、F分别是AB、AC的中点,∴EF是△ABC的中位线,∴BC=2EF=2×2=4,∵四边形ABCD是菱形,∴AB=BC=CD=AD=4,∴菱形ABCD的周长=4×4=16.故选:A.7.下列各式计算正确的是()A.B.C.D.=﹣=3﹣2=1【分析】利用二次根式的加减法对A、B进行判断;根据二次根式的性质对C进行判断;根据二次根式的乘法法则对D进行判断.解:A、与不能合并,所以A选项错误;B、原式=3,所以B选项错误;C、原式=2,所以C选项错误;D、原式=﹣=3﹣2=1,所以D选项正确.故选:D.8.把直线y=﹣2x向上平移后得到直线AB,若直线AB经过点(m,n),且2m+n=8,则直线AB的表达式为()A.y=﹣2x+4B.y=﹣2x+8C.y=﹣2x﹣4D.y=﹣2x﹣8【分析】由题意知,直线AB的斜率,又已知直线AB上的一点(m,n),所以用直线的点斜式方程y﹣y0=k(x﹣x0)求得解析式即可.解:∵直线AB是直线y=﹣2x平移后得到的,∴直线AB的k是﹣2(直线平移后,其斜率不变)∴设直线AB的方程为y﹣y0=﹣2(x﹣x0)①把点(m,n)代入①并整理,得y=﹣2x+(2m+n)②∵2m+n=8 ③把③代入②,解得y=﹣2x+8,即直线AB的解析式为y=﹣2x+8.故选:B.9.如图,在正方形ABCD的外侧,作等边三角形ADE,连接BE,则∠AEB的度数为()A.10°B.15°C.20°D.12.5°【分析】根据等边三角形的性质及正方形的性质可得到AB=AE,从而可求得∠BAE的度数,则∠AEB的度数就不难求了.解:根据等边三角形和正方形的性质可知AB=AE,∴∠BAE=90°+60°=150°,∴∠AEB=(180°﹣150°)÷2=15°.故选:B.10.如图,在菱形ABCD中,AB=AC=1,点E、F分别为边AB、BC上的点,且AE=BF,连接CE、AF交于点H,连接DH交AC于点O,则下列结论:①△ABF≌△CAE;②∠FHC=∠B;③△ADO≌△ACH;④S菱形ABCD=;其中正确的结论个数是()A.1个B.2个C.3个D.4个【分析】证得△ABC是等边三角形,则可得∠B=∠EAC=60°,由SAS即可证得△ABF ≌△CAE,可得∠BAF=∠ACE,EC=AF,由外角性质可得∠FHC=∠B,①②正确;由∠OAD=60°=∠EAC≠∠HAC,③△ADO≌△ACH不正确;求出△ABC的面积=AB2=,得菱形ABCD的面积=,④不正确;即可得出结论.解:∵四边形ABCD是菱形,∴AB=BC,∵AB=AC,∴AB=BC=AC,即△ABC是等边三角形,∴AB=CA,∠EAC=∠B=60°,同理:△ADC是等边三角形∴∠OAD=60°,在△ABF和△CAE中,,∴△ABF≌△CAE(SAS);∴∠BAF=∠ACE,EC=AF,∵∠FHC=∠ACE+∠FAC=∠BAF+∠FAC=∠BAC=60°,∴∠FHC=∠B,故①正确,②正确;∵∠OAD=60°=∠EAC≠∠HAC,故③△ADO≌△ACH不正确;∵△ABC是等边三角形,AB=AC=1,∴△ABC的面积=AB2=,∴菱形ABCD的面积=2△ABC的面积=,故④不正确;故选:B.二、填空题11.计算:=.【分析】原式利用二次根式乘法法则计算即可得到结果.解:原式==,故答案为:12.在平行四边形ABCD中,若∠A=38°,则∠C=38°.【分析】由平行四边形四边形的性质可得∠A=∠C=38°.解:∵四边形ABCD是平行四边形,∴∠A=∠C,∵∠A=38°,∴∠C=38°,故答案为:38°.13.直线y=2x﹣3与y轴的交点坐标(0,﹣3).【分析】求出当x=0时,y的值,由此即可得出直线与y轴的交点坐标.解:由题意得:当x=0时,y=2×0﹣3=﹣3,即直线与y轴交点坐标为(0,﹣3),故答案为(0,﹣3).14.两人从同一地点同时出发,一人以30m/min的速度向北直行,一人以30m/min的速度向东直行,10min后他们相距300m.【分析】根据方位角可知两人所走的方向正好构成了直角.然后根据路程=速度×时间,再根据勾股定理,即可求得两人之间的距离.解:设10min后,OA=OB=30×10=300(m),甲乙两人相距AB===300(m).答:10min后,甲乙两人相距300m,故答案为:300.15.甲、乙两车从A城出发前往B城,在整个行程中,汽车离开A城的距离y与时刻t的对应关系如图所示,则当乙车到达B城时,甲车离B城的距离为60km.【分析】由图示知:A,B两城相距300km,甲车从5:00出发,乙车从6:00出发;甲车10:00到达B城,乙车9:00到达B城;计算出乙车的平均速度为:300÷(9﹣6)=100(km/h),当乙车7:30时,乙车离A的距离为:100×1.5=150(km),得到点A(7.5,150)点B(5,0),设甲的函数解析式为:y=kt+b,把点A(7.5,150),B (5,0)代入解析式,求出甲的解析式,当t=9时,y=60×9﹣300=240,所以9点时,甲距离开A的距离为240km,则当乙车到达B城时,甲车离B城的距离为:300﹣240=60km.解:如图,由图示知:A,B两城相距300km,甲车从5:00出发,乙车从6:00出发;甲车10:00到达B城,乙车9:00到达B城;乙车的平均速度为:300÷(9﹣6)=100(km/h),当乙车7:30时,乙车离A的距离为:100×1.5=150(km),∴点A(7.5,150)由图可知点B(5,0)设甲的函数解析式为:y=kt+b,把点A(7.5,150),B(5,0)代入y=kt+b得:,解得:,∴甲的函数解析式为:y=60t﹣300,当t=9时,y=60×9﹣300=240,∴9点时,甲距离开A的距离为240km,∴则当乙车到达B城时,甲车离B城的距离为:300﹣240=60km.故答案为:60.16.如图,在矩形ABCD中,AB=6,BC=4,将矩形沿AC折叠,点D落在D′处,则重叠部分△AFC的面积为.【分析】因为BC为AF边上的高,要求△AFC的面积,求得AF即可,求证△AFD′≌△CFB,得BF=D′F,设D′F=x,则在Rt△AFD′中,根据勾股定理求x,所以AF=AB﹣BF.解:由于折叠可得:AD′=BC,∠D′=∠B,又∠AFD′=∠CFB,∴△AFD′≌△CFB,∴D′F=BF,设D′F=x,则AF=6﹣x,在Rt△AFD′中,(6﹣x)2=x2+42,解之得:x=,∴AF=AB﹣FB=6﹣=,∴S△AFC=•AF•BC=,故答案为:.三、解答题17.计算:(1)(2)(3)【分析】(1)直接合并同类二次根式即可;(2)利用平方差公式计算;(3)先把二次根式化为最简二次根式,然后合并即可.解:(1)原式=3;(2)原式=(2)2﹣()2=12﹣6=6;(3)原式=2+3=5.18.甲、乙两名射击运动员各进行10次射击,甲的成绩是7,7,8,9,8,9,10,9,9,9.乙的成绩如图所示(单位:环)(1)分别计算甲、乙两人射击成绩的平均数;(2)若要选拔一人参加比赛,应派哪一位?请说明理由.【分析】(1)利用加权平均数的计算方法进行计算即可;(2)计算甲、乙两人的方差、中位数,通过比较得出答案.解:(1)甲==8.5(环)==8.5(环),乙答:甲、乙两人射击成绩的平均数都是8.5环;(2)=[(7﹣8.5)2×2+(8﹣8.5)2×2+(9﹣8.5)2×5+(10﹣8.5)2]=0.85,═[(7﹣8.5)2×3+(8﹣8.5)2×2+(9﹣8.5)2×2+(10﹣8.5)2×3]=1.45,甲的中位数是9环,乙的中位数是8.5环,由于两人的平均数相同,甲的方差小于乙的方差,甲的中位数大于乙的中位数,所以应派甲去参加比赛.19.如图,一架2.5m长的梯子AB斜靠在一竖直的墙AO上,这时AO为2.4m,如果梯子的顶端A沿墙下滑0.4m,则梯子底端B也外移0.4m吗?为什么?【分析】先根据勾股定理求出OB的长,再根据梯子的长度不变求出OD的长,根据BD =OD﹣OB即可得出结论.解:∵Rt△OAB中,AB=2.5m,AO=2.4m,∴OB===0.7m;同理,Rt△OCD中,∵CD=2.5m,OC=2.4﹣0.4=2m,∴OD===1.5m,∴BD=OD﹣OB=1.5﹣0.7=0.8(m).答:梯子底端B向外移了0.8米.20.已知直线y=kx+b的图象经过点(2,4)和点(﹣2,﹣2).(1)求b的值;(2)求关于x的方程kx+b=0的解;(3)若(x1,y1)、(x2,y2)为直线上两点,且x1<x2,试比较y1、y2的大小.【分析】(1)利用待定系数法求一次函数解析式,从而得到b的值;(2)利用k、b的值得到次函数解析式为y=x+1,然后解方程x+1=0即可;(3)利用一次函数的性质解决问题.解:(1)根据题意得,解得,即b的值为1;(2)一次函数解析式为y=x+1,当y=0时,x+1=0,解得x=﹣;(3)∵k=>0,∴y随x的增大而增大,∵x1<x2,∴y1<y2.21.如图,在▱ABCD中,BE∥DF,且分别交对角线AC于点E,F,连接ED,BF.(1)求证:AE=CF;(2)若AB=9,AC=16,AE=4,BF=3,求四边形ABCD的面积.#DLQZ【分析】(1)首先由平行四边形的性质可得AB=CD,AB∥CD,再根据平行线的性质可得∠BAE=∠DCF,∠BEC=∠DFA,然后根据AAS定理判定△ABE≌△CDF,即可证明得到AE=CF;(2)通过作辅助线求出△ABC的面积,即可得到四边形ABCD的面积.解:(1)证明:∵在平行四边形ABCD中,AB=CD,AB∥CD,∴∠BAC=∠DCA,又∵BE∥DF,∴∠BEF=∠DFE,∴∠BEA=∠DFC,∴在△ABE和△CDF中,,∴△ABE≌△CDF,∴AE=CF;(2)连接BD交AC于点O,作BH⊥AC交AC于点H,∵在平行四边形ABCD中,AC、BD是对角线,∴AO=CO=8,AF=12,∵AB2+BF2=92+=144,AF2=144,∴AB2+BF2=AF2,∴∠ABF=90°,∴BH=,∴S平行四边形ABCD=2S△ABC=.22.已知点A(8,0)及第一象限的动点P(x,y),且x+y=10,设△OPA的面积为S.(1)求S关于x的函数解析式,并写出x的取值范围;(2)画出函数S的图象,并求其与正比例函数S=2x的图象的交点坐标;(3)当S=12时,求P点坐标.【分析】(1)根据△OAP的面积=OA×y÷2列出函数解析式,及点P(x,y)在第一象限内求出自变量的取值范围.(2)根据S=﹣4x+40画出函数图象,并与正比例函数S=2x联立方程组,即可求出交点坐标.(3)将S=12代入(1)求出的解析式中即可.解:(1)依题意有S=×8×(10﹣x)=﹣4x+40,∵点P(x,y)在第一象限内,∴x>0,y=10﹣x>0,解得:0<x<10,故关于x的函数解析式为:S=﹣4x+40 (0<x<10);(2)∵解析式为S=﹣4x+40(0<x<10);∴函数图象经过点(10,0)(0,40)(但不包括这两点的线段).所画图象如下:令,解得:,所以交点坐标为(,),(3)将S=12代入S=﹣4x+40,得:12=﹣4x+40,解得:x=7,故点P(7,3).23.如图,在平行四边形ABCD中,E,F分别是AB,CD的中点,DE,BF与对角线AC 分别交于点M,N,连接MF,NE.(1)求证:DE∥BF;(2)判断四边形MENF是何特殊的四边形?并对结论给予证明.【分析】(1)由平行四边形的性质可得AB∥CD,AB=CD;由中点性质可得BE=AE =AB=CD=DF=CF,由一组对边平行且相等的四边形是平行四边形,可证四边形EBFD为平行四边形,可得DE∥BF;(2)由“AAS”可证△AME≌△CNF,可得ME=FN,由一组对边平行且相等的四边形是平行四边形,可证四边形MENF为平行四边形,【解答】证明:(1)∵四边形ABCD是平行四边形,∴AB∥CD,AB=CD.∵E、F分别是AB、CD的中点,∴BE=AE=AB=CD=DF=CF,∵BE∥DF,∴四边形EBFD为平行四边形,∴DE∥BF;(2)四边形MENF是平行四边形,理由如下:∵DE∥BF,∴∠CDM=∠CFN.∵四边形ABCD是平行四边形,∴AB∥CD,AB=CD.∴∠BAC=∠DCA,∠CDM=∠AEM,∴∠AEM=∠CFN,在△AME和△CNF中,,∴△AME≌△CNF(AAS),∴ME=FN,又∵DE∥BF,∴四边形MENF是平行四边形.24.甲、乙两家商场平时以同样价格出售相同的商品,春节期间两家商场都让利酬宾,其中甲商场所有商品按8折出售,乙商场对一次购物中超过300元后的价格部分打7折.(1)以x(单位:元)表示商品原价,y(单位:元)表示购物金额,分别就两家商场的让利方式写出y与x的函数解析式;(2)在同一直角坐标系中画出(1)中函数的图象;(3)春节期间如何选择这两家商场去购物更省钱?【分析】(1)根据两家商场的让利方式分别列式整理即可;(2)利用两点法作出函数图象即可;(3)求出两家商场购物付款相同的x的值,然后根据函数图象作出判断即可.解:(1)甲商场:y=0.8x,乙商场:y=x(0≤x≤300),y=0.7(x﹣300)+300=0.7x+90,即y=0.7x+90(x>300);(2)如图所示;(3)当0.8x=0.7x+90时,x=900,所以,x<900时,甲商场购物更省钱,x=900时,甲、乙两商场购物更花钱相同,x>900时,乙商场购物更省钱.25.如图,在边长为a的正方形ABCD中,作∠ACD的平分线交AD于F,过F作直线AC 的垂线交AC于P,交CD的延长线于Q,又过P作AD的平行线与直线CF交于点E,连接DE,AE,PD,PB.(1)求AC,DQ的长;(2)四边形DFPE是菱形吗?为什么?(3)探究线段DQ,DP,EF之间的数量关系,并证明探究结论;(4)探究线段PB与AE之间的数量关系与位置关系,并证明探究结论.【分析】(1)利用勾股定理求出AC,再证明△FDQ≌△FPA得到QD=AP,结合CD =CP求出结果;(2)先证明DE∥PF,结合EP∥DF得到四边形DFPE是平行四边形,再由EF⊥DP 得到菱形;(3)根据菱形的性质得到2DG=DP,2GF=EF,再证明QD=DF,最后利用勾股定理证明线段关系;(4)证明△ADE≌BAP,得到AE=BP,∠EAD=∠ABP,延长BP,与AE交于点H,利用∠EAD=∠ABP,得到∠PHA=90°,即可判定关系.解:(1)AC=,∵CF平分∠BCD,FD⊥CD,FP⊥AC,∴FD=FP,又∠FDQ=∠FPA,∠DFQ=∠PFA,∴△FDQ≌△FPA(ASA),∴QD=AP,∵点P在正方形ABCD对角线AC上,∴CD=CP=a,∴QD=AP=AC﹣PC=()a;(2)∵FD=FP,CD=CP,∴CF垂直平分DP,即DP⊥CF,∴ED=EP,则∠EDP=∠EPD,∵FD=FP,∴∠FDP=∠FPD,而EP∥DF,∴∠EPD=∠FDP,∴∠FPD=∠EPD,∴∠EDP=∠FPD,∴DE∥PF,而EP∥DF,∴四边形DFPE是平行四边形,∵EF⊥DP,∴四边形DFPE是菱形;(3)DP2+EF2=4QD2,理由是:∵四边形DFPE是菱形,设DP与EF交于点G,∴2DG=DP,2GF=EF,∵∠ACD=45°,FP⊥AC,∴△PCQ为等腰直角三角形,∴∠Q=45°,可得△QDF为等腰直角三角形,∴QD=DF,在△DGF中,DG2+FG2=DF2,∴有(DP)2+(EF)2=QD2,整理得:DP2+EF2=4QD2;(4)∵∠DFQ=45°,DE∥FP,∴∠EDF=45°,又∵DE=DF=DQ=AP=()a,AD=AB,∴△ADE≌BAP(SAS),∴AE=BP,∠EAD=∠ABP,延长BP,与AE交于点H,∵∠HPA=∠PAB+∠PBA=∠PAB+∠DAE,∠PAB+∠DAE+∠HAP=90°,∴∠HPA+∠HAP=90°,∴∠PHA=90°,即BP⊥AE,综上:BP与AE的关系是:垂直且相等.。
2019-2020学年重庆八中八年级(下)期末数学试卷一.选择题(共10小题).1.下面学习平台的图标中,是轴对称图形的是()A.B.C.D.2.方程x2=4x的解是()A.x=4B.x=2C.x=4或x=0D.x=03.下列各组中的四条线段成比例的是()A.a=,b=3,c=2,d=B.a=4,b=6,c=5,d=10C.a=2,b=,c=2,d=D.a=2,b=3,c=4,d=14.下列分解因式正确的是()A.2x2﹣xy﹣x=2x(x﹣y﹣1)B.﹣xy2+2xy﹣3y=﹣y(xy﹣2x﹣3)C.x(x﹣y)﹣y(x﹣y)=(x﹣y)2D.x2﹣x﹣3=x(x﹣1)﹣35.将方程x2+4x+1=0配方后,原方程变形为()A.(x+2)2=3B.(x+4)2=3C.(x+2)2=﹣3D.(x+2)2=﹣5 6.已知:∠MON,如图,小静进行了以下作图:①在∠MON的两边上分别截取OA,OB,使OA=OB;②分别以点A,B为圆心,OA长为半径作弧,两弧交于点C;③连接AC,BC,AB,OC.若OC=2,S四边形OACB=4,则AB的长为()A.5B.4C.3D.27.已知反比例函数y=的图象上有两点A(x1,y1),B(x2,y2),当x1<0<x2时,有y1<y2,则m的取值范围是()A.m<0B.m>0C.m<D.m>8.(多选题)下列命题是假命题的是.A.一组对边平行,另一组对边相等的四边形是平行四边形B.对角线互相平分的四边形是平行四边形C.菱形的对角线互相垂直平分且相等D.对角线互相垂直的四边形是菱形9.如图,四边形ABCD为矩形纸片,把纸片ABCD折叠,使点B恰好落在CD边的中点E 处,折痕为AF,若CD=6,则AF等于()A.B.C.D.810.如图,已知点A、B在反比例函数y=的图象上,AB经过原点O,过点A作x轴的垂线与反比例函数y=的图象交于点C,连接BC,则△ABC的面积是()A.8B.6C.4D.3二、填空题(共4小题).11.使分式有意义的x的取值范围是.12.已知一个正n边形的每个内角都为144°,则边数n为.13.现有三张分别标有数字2,3,4的卡片;它们除了数字外完全相同,把卡片背面朝上洗匀,从中任意抽取一张,将上面的数字记为a;将卡片放回后,再次任意抽取一张,将上面的数字记为b,则点(a,b)在直线y=x+1图象上的概率为.14.如图,将边长为2cm的正方形ABCD沿其对角线AC剪开,再把△ABC沿着AD方向平移,得到△A′B′C′,若两个三角形重叠部分的面积是1cm2,则它移动的距离AA′等于cm.三、解答题:(共54分)解答时每小题必须给出必要的演算过程或推理步骤,请将解答书写在答题卡中对应的位置上.15.(1)解方程:2x2﹣3x﹣3=0;(2)解方程:.16.先化简(x+1﹣)÷,再从0,1,2中选出你喜欢的x的值代入求解.17.如图,四边形ABCD中,已知AB⊥BC,CD⊥BC,且AB=CD.(1)求证:四边形ABCD为矩形;(2)对角线AC,BD相交于O,AE⊥BD,垂足为E,已知AB=3,AD=4,求△AEO 的面积.18.某建筑公司为了完成一项工程,设计了两种施工方案.方案一:甲工程队单独做需40天完成;方案二:乙工程队先做30天后,甲、乙两工程队一起再合做20天恰好完成任务.请问:(1)乙工程队单独做需要多少天才能完成任务?(2)现将该工程分成两部分,甲工程队做其中一部分工程用了x天,乙工程队做另一部分工程用了y天,若x,y都是正整数,且甲工程队做的时间不到15天,乙工程队做的时间不到70天,那么两工程队实际各做了多少天?19.目前“在线支付”给我们的生活带来了很多便利,初二数学小组在校内对“你最认可的四大新生事物”进行调查,随机调查了m人(每名学生必选一种且只能从这四种中选择一种)并将调查结果绘制成如下不完整的统计图.(1)根据图中信息求出m=,n=;(2)请你帮助他们将这两个统计图补全;(3)根据抽样调查的结果,请估算全校2000名学生中,大约有多少人最认可“微信”这一新生事物?(4)已知A、B两位同学都最认可“微信”,C同学最认可“支付宝”,D同学最认可“网购”.从这四名同学中抽取两名同学,请你通过树状图或表格,求出这两位同学最认可的新生事物不一样的概率.20.某养殖户为了预防“猪瘟”的侵袭,每天对猪场进行药熏消毒.一瓶药物在释放过程中,一个圈舍内每立方米空气中含药量y(毫克)与时间x(分钟)之间满足正比例函数关系;已知一个圈舍内一瓶药物打开后10分钟释放完毕,此时圈舍内每立方米的空气中含药量为30毫克,药物释放完后,y与x之间满足反比例函数关系.(1)分别求当0≤x≤10和x>10时,y与x之间满足的函数关系式;(2)请补全函数图象;(3)据测定,当空气中每立方米的含药量不低于15毫克时,消毒才有效.根据函数图象,你知道这次熏药的有效消毒时间大约是多少分钟?四、(本大题共5个小题,每小题4分,共20分,其中21是单项选择题,22题是多项选择题)请将每小题的答案直接填在答题卡中对应的横线上..21.小明上午8:00从家出发,外出散步,到重庆图书馆看了一会儿杂志,继续以相同的速度散步一段时间,然后回家.如图描述了小明在散步过程中离家的路程s(米)与所用时间t(分)之间的函数关系,则下列信息错误的是()A.小明看杂志用了20分钟B.小明一共走了1600米C.小明回家的速度是80米/分D.上午8:32小明在离家800米处23.若多项式x3+x+m含有因式x2﹣x+2,则m的值是.24.端午节,中国四大传统节日之一,是集祈福攘灾、欢庆娱乐和饮食为一体的民俗大节.端午食粽之习俗,自古以来在中国各地盛行不衰,已成了中华民族影响最大、覆盖面最广的民间饮食习俗之一.端午节当日,小明,爸爸和妈妈一起包粽子,假设三个人每分钟各自包的粽子数不变.当小明包三分钟后,爸爸才开始动手包;当爸爸包三分钟后,妈妈才开始动手包;已知爸爸包了12分钟时,所包的粽子数与小明所包的粽子数相同,妈妈包了20分钟时,所包的粽子数与小明所包的粽子数相同.则妈妈包分钟,妈妈和爸爸所包的粽子数相同.25.如图,在正方形ABCD中,AB=4,E为BD上一点,BE=3,过点E作EF⊥BD交AD于点H,交BA延长线于点F,M为AD上一点,过点E作EN⊥EM交CD于点N,EN=,连接BN,FM,G为FM中点,连接EG,则EG=.五、解答题:(本大题共3个小题,共30分)解答时每小题必须给出必要的演算过程或推理步骤,请将解答书写在答题卡中对应的位置上.26.一个四位整数abcd(千位数字为a,百位数字为b,十位数字为c,个位数字为d),若满足a+b=c+d=k,那么,我们称这个四位整数abcd为“k类等和数”.例如:3122是一个“4类等和数”,因为:3+1=2+2=4;5417不是一个“k类等和数”,因为5+4=9,1+7=8,9≠8.(1)写出最小的“3类等和数”是,最大的“8类等和数”是.(2)若一个四位整数是“k类等和数”且满足+=56(a,c≠0),求满足条件的所有“k类等和数”的个数,并把它们写出来.27.如图,在平面直角坐标系中,直线y=与x轴、y轴分别交于A、C两点,在x轴的正半轴有一点B满足OA=2OB,连接CB.(1)如图1,点E在线段CB上,点F在直线AC上,连接EF且满足EF平行于y轴,且S△AEF=S△ABC,请求出此时点E的坐标.若点P为直线AC上一动点,求PB+PE的最小值;(2)如图2,现将△OBC绕O点逆时针旋转60°,得到△OB′C′,将△AOC沿着直线OC'平行移动得到△A′O′C″,若在平移过程中当△C″C'B'是等腰三角形,请直接写出点C″的坐标.28.如图,平行四边形ABCD中,BC=BD,点F是线段AB的中点,过点C作CG⊥DB交BD于点G,CG延长线交DF于点H,且CH=DB.(1)如图1,若DH=1,求FH的值;(2)如图1,连接FG,求证:DB=FG+HG;(3)如图2,延长CH交AD于点M,延长FG交CD于点N,直接写出的值.参考答案一.选择题(共10个小题,每小题.3分,共30分)1.下面学习平台的图标中,是轴对称图形的是()A.B.C.D.解:A、不是轴对称图形,故此选项不合题意;B、不是轴对称图形,故此选项不合题意;C、不是轴对称图形,故此选项不合题意;D、是轴对称图形,故此选项符合题意;故选:D.2.方程x2=4x的解是()A.x=4B.x=2C.x=4或x=0D.x=0解:原方程可化为:x2﹣4x=0,提取公因式:x(x﹣4)=0,∴x=0或x=4.故选:C.3.下列各组中的四条线段成比例的是()A.a=,b=3,c=2,d=B.a=4,b=6,c=5,d=10 C.a=2,b=,c=2,d=D.a=2,b=3,c=4,d=1解:A.×3≠2×,故本选项错误;B.4×10≠5×6,故本选项错误;C.2×=×2,故本选项正确;D.4×1≠3×2,故本选项错误;故选:C.4.下列分解因式正确的是()A.2x2﹣xy﹣x=2x(x﹣y﹣1)B.﹣xy2+2xy﹣3y=﹣y(xy﹣2x﹣3)C.x(x﹣y)﹣y(x﹣y)=(x﹣y)2D.x2﹣x﹣3=x(x﹣1)﹣3【分析】根据提公因式法和公式法进行判断求解.解:A、公因式是x,应为2x2﹣xy﹣x=x(2x﹣y﹣1),错误;B、符号错误,应为﹣xy2+2xy﹣3y=﹣y(xy﹣2x+3),错误;C、提公因式法,正确;D、右边不是积的形式,错误;故选:C.【点评】本题考查了多项式的因式分解,符号的变化是学生容易出错的地方,要克服.5.将方程x2+4x+1=0配方后,原方程变形为()A.(x+2)2=3B.(x+4)2=3C.(x+2)2=﹣3D.(x+2)2=﹣5【分析】配方法的一般步骤:(1)把常数项移到等号的右边;(2)把二次项的系数化为1;(3)等式两边同时加上一次项系数一半的平方.解:∵x2+4x+1=0,∴x2+4x=﹣1,∴x2+4x+4=﹣1+4,∴(x+2)2=3.故选:A.【点评】此题考查了配方法解一元二次方程,解题时要注意解题步骤的准确使用.选择用配方法解一元二次方程时,最好使方程的二次项的系数为1,一次项的系数是2的倍数.6.已知:∠MON,如图,小静进行了以下作图:①在∠MON的两边上分别截取OA,OB,使OA=OB;②分别以点A,B为圆心,OA长为半径作弧,两弧交于点C;③连接AC,BC,AB,OC.若OC=2,S四边形OACB=4,则AB的长为()A.5B.4C.3D.2【分析】根据作法判定出四边形OACB是菱形,再根据菱形的面积等于对角线乘积的一半列式计算即可得解.解:由作图可得,OA=OB=BC=AC,∴四边形AOBC是菱形,∴S菱形AOBC=OC×AB,即4=,解得AB=4,故选:B.【点评】本题考查了菱形的判定与性质,解题时注意:菱形的面积等于对角线乘积的一半,判定出四边形OACB是菱形是解题的关键.7.已知反比例函数y=的图象上有两点A(x1,y1),B(x2,y2),当x1<0<x2时,有y1<y2,则m的取值范围是()A.m<0B.m>0C.m<D.m>【分析】先根据当x1<0<x2时,有y1<y2,判断出1﹣2m的符号,求出m的取值范围即可.解:∵反比例函数y=的图象上有两点A(x1,y1),B(x2,y2),当x1<0<x2时,有y1<y2,∴反比例函数的图象在一三象限,∴1﹣2m>0,解得m<.故选:C.【点评】本题考查的是反比例函数图象上点的坐标特点,先根据题意判断出反比例函数y =的图象在一、三象限是解答此题的关键.8.(多选题)下列命题是假命题的是A、C、D.A.一组对边平行,另一组对边相等的四边形是平行四边形B.对角线互相平分的四边形是平行四边形C.菱形的对角线互相垂直平分且相等D.对角线互相垂直的四边形是菱形【分析】根据平行四边形的判定方法对A、B进行判断;根据菱形的性质对C进行判断;根据菱形的判定方法对D进行判断.解:A、一组对边平行且这组对边相等的四边形是平行四边形,所以A选项为假命题;B.对角线互相平分的四边形是平行四边形,所以B选项为真命题;C.菱形的对角线互相垂直平分,所以C选项为假命题;D.对角线互相垂直的平行四边形是菱形,所以D选项为假命题.故答案为A、C、D.【点评】本题考查了命题与定理:命题的“真”“假”是就命题的内容而言.任何一个命题非真即假.要说明一个命题的正确性,一般需要推理、论证,而判断一个命题是假命题,只需举出一个反例即可.9.如图,四边形ABCD为矩形纸片,把纸片ABCD折叠,使点B恰好落在CD边的中点E 处,折痕为AF,若CD=6,则AF等于()A.B.C.D.8【分析】先图形折叠的性质得到BF=EF,AE=AB,再由E是CD的中点可求出ED的长,再求出∠EAD的度数,设FE=x,则AF=2x,在△ADE中利用勾股定理即可求解.解:由折叠的性质得BF=EF,AE=AB,因为CD=6,E为CD中点,故ED=3,又因为AE=AB=CD=6,所以∠EAD=30°,则∠FAE=(90°﹣30°)=30°,设FE=x,则AF=2x,在△AEF中,根据勾股定理,(2x)2=62+x2,x2=12,x1=2,x2=﹣2(舍去).AF=2×2=4.故选:A.【点评】解答此题要抓住折叠前后的图形全等的性质解答.10.如图,已知点A、B在反比例函数y=的图象上,AB经过原点O,过点A作x轴的垂线与反比例函数y=的图象交于点C,连接BC,则△ABC的面积是()A.8B.6C.4D.3【分析】设A(a,),根据A、B两点关于原点对称得B点坐标,由AC⊥x轴,两点的横坐标相等,结合C点在反比例函数y=的图象上,求得C点坐标,进而求得AC,B到AC的距离,再运用三角形的面积公式,便可求得结果.解:设A(a,),则B(﹣a,﹣),C(a,﹣),∴AC=,B点到AC的距离为:a﹣(﹣a)=2a,∴△ABC的面积=,故选:B.【点评】本题考查了反比例函数的图象与性质,三角形的面积计算,关键是用同一个字母表示A、B、C三点的坐标.二、填空题(本大题共4个小题,每小题4分,共16分)请将每小题的答案直接填在答题卡中对应的横线上.11.使分式有意义的x的取值范围是x≠﹣2.【分析】根据分式有意义,分母不等于0列不等式求解即可.解:由题意得,x+2≠0,解得x≠﹣2.故答案为:x≠﹣2.【点评】此题主要考查了分式有意义的条件,正确把握相关定义是解题关键.12.已知一个正n边形的每个内角都为144°,则边数n为十.解:由题意得,(n﹣2)•180°=144°•n,解得n=10.故答案为:十.13.现有三张分别标有数字2,3,4的卡片;它们除了数字外完全相同,把卡片背面朝上洗匀,从中任意抽取一张,将上面的数字记为a;将卡片放回后,再次任意抽取一张,将上面的数字记为b,则点(a,b)在直线y=x+1图象上的概率为.解:画树状图为:共有9种等可能的结果,其中点(a,b)在直线y=x+1图象上的结果为(2,2),(4,3),所以点(a,b)在直线y=x+1图象上的概率=.故答案为.14.如图,将边长为2cm的正方形ABCD沿其对角线AC剪开,再把△ABC沿着AD方向平移,得到△A′B′C′,若两个三角形重叠部分的面积是1cm2,则它移动的距离AA′等于1cm.【分析】本题考查了等腰直角三角形的判定和性质及平移的基本性质.解:设CD与A′C′交于点H,AC与A′B′交于点G,由平移的性质知,A′B′与CD平行且相等,∠ACB′=45°,∠DHA′=∠DA′H=45°,∴△DA′H是等腰直角三角形,A′D=DH,四边形A′GCH是平行四边形,∵S A′GCH=HC•B′C=(CD﹣DH)•DH=1cm2,∴DH=A′D=1cm,∴AA′=AD﹣A′D=1cm.故答案为1.三、解答题:(共54分)解答时每小题必须给出必要的演算过程或推理步骤,请将解答书写在答题卡中对应的位置上.15.(1)解方程:2x2﹣3x﹣3=0;(2)解方程:.解:(1)2x2﹣3x﹣3=0,b2﹣4ac=(﹣3)2﹣4×2×(﹣3)=33,x=,x1=,x2=;(2)方程两边都乘以2(x﹣1)得:2=3+2x﹣2,解得:x=0.5,检验:当x=0.5时,2(x﹣1)≠0,所以x=0.5是原方程的解,即原方程的解是x=0.5.16.先化简(x+1﹣)÷,再从0,1,2中选出你喜欢的x的值代入求解.解:(x+1﹣)÷===﹣,∵当x=0,1时原式无意义,∴x=2,当x=2时,原式=﹣.17.如图,四边形ABCD中,已知AB⊥BC,CD⊥BC,且AB=CD.(1)求证:四边形ABCD为矩形;(2)对角线AC,BD相交于O,AE⊥BD,垂足为E,已知AB=3,AD=4,求△AEO 的面积.【解答】(1)证明:∵AB⊥BC,CD⊥BC,∴AB∥CD,∵AB=CD,∴四边形ABCD是平行四边形,∵AB⊥BC,∴∠ABC=90°,∴四边形ABCD为矩形;(2)解:∵四边形ABCD为矩形,∴∠BAC=90°,∵AB=3,AD=4,∴BD=5,∵S△ABD=AB•AD=BD•AE,∴3×4=5AE,∴AE=,∵AC=BD=5,∴AO=AC=,∵AE⊥BD,∴OE===,∴△AEO的面积==.18.某建筑公司为了完成一项工程,设计了两种施工方案.方案一:甲工程队单独做需40天完成;方案二:乙工程队先做30天后,甲、乙两工程队一起再合做20天恰好完成任务.请问:(1)乙工程队单独做需要多少天才能完成任务?(2)现将该工程分成两部分,甲工程队做其中一部分工程用了x天,乙工程队做另一部分工程用了y天,若x,y都是正整数,且甲工程队做的时间不到15天,乙工程队做的时间不到70天,那么两工程队实际各做了多少天?解:(1)设乙工程队单独做需要x天完成任务,由题意,得:+20×=1,解得:x=100,经检验,x=100是原方程的解.答:乙工程队单独做需要100天才能完成任务;(2)根据题意得:+=1,整理得:y=100﹣x.∵y<70,∴100﹣x<70.解得:x>12.又∵x<15且为整数,∴x=13或14.当x=13时,y不是整数,所以x=13不符合题意,舍去.当x=14时,y=100﹣×14=100﹣35=65.答:甲队实际做了14天,乙队实际做了65天.19.解:(1)∵被调查的总人数m=10÷10%=100人,∴支付宝的人数所占百分比n%=×100%=35%,即n=35,故答案为:100、35;(2)网购人数为100×15%=15人,微信对应的百分比为×100%=40%,补全图形如下:(3)估算全校2000名学生中,最认可“微信”这一新生事物的人数为2000×40%=800(人);答:大约有800人最认可“微信”这一新生事物.(4)列表如下:共有12种等可能情况,这两位同学最认可的新生事物不一样的有10种;所以这两位同学最认可的新生事物不一样的概率为P==.20.某养殖户为了预防“猪瘟”的侵袭,每天对猪场进行药熏消毒.一瓶药物在释放过程中,一个圈舍内每立方米空气中含药量y(毫克)与时间x(分钟)之间满足正比例函数关系;已知一个圈舍内一瓶药物打开后10分钟释放完毕,此时圈舍内每立方米的空气中含药量为30毫克,药物释放完后,y与x之间满足反比例函数关系.(1)分别求当0≤x≤10和x>10时,y与x之间满足的函数关系式;(2)请补全函数图象;(3)据测定,当空气中每立方米的含药量不低于15毫克时,消毒才有效.根据函数图象,你知道这次熏药的有效消毒时间大约是多少分钟?【分析】(1)根据函数图象找出点的坐标,再根据点的坐标利用待定系数法即可求出一次函数和反比例函数的关系式;(2)根据(1)中所求解析式画出图象即可;(3)将y=15分别代入两函数关系式中求出x值,二者做差即可得出结论.解:(1)当0≤x≤10时,设y=ax(a≠0);当x>10时,设y=(k≠0).将(10,30)代入y=ax,得30=10a,解得a=3,∴y=3x(0≤x≤10).将(10,30)代入y=,得30=,解得:k=300,∴y=(x>10);(2)如图所示:(3)当y=3x=15时,x=5;当y==15时,x=20.20﹣5=15(分钟).答:这次熏药的有效消毒时间大约是15分钟.【点评】本题考查了反比例函数的应用、待定系数法求函数解析式以及一次函数(反比例)函数图象上点的坐标特征,解题的关键是:(1)根据点的坐标利用待定系数法求出函数关系式;(2)将y=15代入两函数关系式求出x的值.四、(本大题共5个小题,每小题4分,共20分,其中21是单项选择题,22题是多项选择题)请将每小题的答案直接填在答题卡中对应的横线上..21.小明上午8:00从家出发,外出散步,到重庆图书馆看了一会儿杂志,继续以相同的速度散步一段时间,然后回家.如图描述了小明在散步过程中离家的路程s(米)与所用时间t(分)之间的函数关系,则下列信息错误的是()A.小明看杂志用了20分钟B.小明一共走了1600米C.小明回家的速度是80米/分D.上午8:32小明在离家800米处【分析】根据函数图象中的数据可以判断各个选项中的说法是否正确,注意题目中说小明到重庆图书馆室看了一会儿杂志,继续以相同的速度散步一段时间,由图象可知小明前400米用时8分钟,则从图书馆出来继续散步用的时间也是8分钟.解:由图可得,小明看杂志用了28﹣8=20分钟,故选项A不合题意,小明一共走了800+800=1600米,故选项B不合题意,小明回家的速度是800÷(46﹣28﹣8)=80米/分,故选项C不合题意,上午8:36小明在离家800米处,故选项D符合题意,故选:D.【点评】本题考查函数图象,解答本题的关键是明确题意,利用数形结合的思想解答.23.若多项式x3+x+m含有因式x2﹣x+2,则m的值是2.【分析】设另一个因式是x+a,根据已知得出(x2﹣x+2)(x+a)=x3+x+m,再进行化简,即可求出a、m值.解:∵多项式x3+x+m含有因式x2﹣x+2,∴设另一个因式是x+a,则(x2﹣x+2)(x+a)=x3+x+m,∵(x2﹣x+2)(x+a)=x3+ax2﹣x2﹣ax+2x+2a=x3+(a﹣1)x2+(﹣a+2)x+2a,∴a﹣1=0,2a=m,解得:a=1,m=2,故答案为:2.【点评】本题考查了因式分解的定义和多项式乘以多项式法则,能得出关于a、m的方程是解此题的关键.24.端午节,中国四大传统节日之一,是集祈福攘灾、欢庆娱乐和饮食为一体的民俗大节.端午食粽之习俗,自古以来在中国各地盛行不衰,已成了中华民族影响最大、覆盖面最广的民间饮食习俗之一.端午节当日,小明,爸爸和妈妈一起包粽子,假设三个人每分钟各自包的粽子数不变.当小明包三分钟后,爸爸才开始动手包;当爸爸包三分钟后,妈妈才开始动手包;已知爸爸包了12分钟时,所包的粽子数与小明所包的粽子数相同,妈妈包了20分钟时,所包的粽子数与小明所包的粽子数相同.则妈妈包75分钟,妈妈和爸爸所包的粽子数相同.【分析】设小明每分钟包x个粽子,妈妈包y分钟,妈妈和爸爸所包的粽子数相同,则爸爸每分钟包x个粽子,妈妈每分钟包x个粽子,根据爸爸和妈妈所包的粽子数相同,即可得出关于y的一元一次方程,解之即可得出结论.解:设小明每分钟包x个粽子,妈妈包y分钟,妈妈和爸爸所包的粽子数相同,则爸爸每分钟包x=x个粽子,妈妈每分钟包x=x个粽子,依题意得:x(3+y)=xy,即(3+y)=y,解得:y=75.故答案为:75.【点评】本题考查了一元一次方程的应用以及列代数式,根据各数量之间的关系,利用含x的代数式表示出爸爸、妈妈每分钟包的粽子的数量是解题的关键.25.如图,在正方形ABCD中,AB=4,E为BD上一点,BE=3,过点E作EF⊥BD交AD于点H,交BA延长线于点F,M为AD上一点,过点E作EN⊥EM交CD于点N,EN=,连接BN,FM,G为FM中点,连接EG,则EG=.解:过点G作∥AD,过E作EK⊥AD于K,与PQ交于点P,如图,∵四边形ABCD为正方形,AB=4,∴BD=AB=4,∠ADB=∠CDB=∠ABD=45°,∵BE=3,EF⊥BD,∴EF=BE=3,DE=EH=BD﹣BE=,∠EHD=45°,∴EK=DK=KH=1,∵EN⊥EM,∴∠MEN=∠DEH=90°,∴∠NED=∠MEH,∴△DEN≌△HEM(ASA),∴EN=EM=,∴MK=,∴DM=DK﹣MK=,∴AM=AD﹣DM=4﹣,∵AH=AD﹣DH=4﹣2=2,HF=EF﹣EH=3,∴AF=,∵G为MF的中点,PQ∥AD,∴AQ=,GQ=,∵∠AKP=∠KAQ=∠AQP=90°,∴四边形AKPQ为矩形,∴PK=AQ=1,PQ=AK=4﹣1=3,∴EP=EK+PK=1+1=2,PG=PQ﹣GQ=3﹣,∴.故答案为:.五、解答题(共3个小题,共30分)26.一个四位整数abcd(千位数字为a,百位数字为b,十位数字为c,个位数字为d),若满足a+b=c+d=k,那么,我们称这个四位整数abcd为“k类等和数”.例如:3122是一个“4类等和数”,因为:3+1=2+2=4;5417不是一个“k类等和数”,因为5+4=9,1+7=8,9≠8.(1)写出最小的“3类等和数”是1203,最大的“8类等和数”是8080.(2)若一个四位整数是“k类等和数”且满足+=56(a,c≠0),求满足条件的所有“k类等和数”的个数,并把它们写出来.解:(1)最小的“3类等和数”是1203,最大的“8类等和数”是8080.(2)∵+=56(a,c≠0),∴b+d=6或16,∴b=0,d=6(不合题意);b=1,d=5(不合题意);b=2,d=4(不合题意);b=3,d=3(不合题意);b=4,d=2(不合题意);b=5,d=1(不合题意);b=6,d=0(不合题意);b=7,d=9,a=3,c=1,即3719;b=8,d=8,a=2,c=2,即2828;b=9,d=7,a=1,c=3,即1937.综上所述,满足条件的所有“k类等和数”的个数是3,分别是3719,2828,1937.故答案为:1203,8080.27.如图,在平面直角坐标系中,直线y=与x轴、y轴分别交于A、C两点,在x轴的正半轴有一点B满足OA=2OB,连接CB.(1)如图1,点E在线段CB上,点F在直线AC上,连接EF且满足EF平行于y轴,且S△AEF=S△ABC,请求出此时点E的坐标.若点P为直线AC上一动点,求PB+PE的最小值;(2)如图2,现将△OBC绕O点逆时针旋转60°,得到△OB′C′,将△AOC沿着直线OC'平行移动得到△A′O′C″,若在平移过程中当△C″C'B'是等腰三角形,请直接写出点C″的坐标.解:(1)对于y=,令y==0,解得x=﹣4,令x=0,则y=,故点A、C的坐标分别为(﹣4,0)、(0,),∵OA=2OB=4,则OB=2,故点B(2,0),由点B、C的坐标得,直线BC的表达式为y=﹣x+,则S△ABC=×AB×CO×=××6×==S△AEF,设点E(m,﹣m+),则点F(m,m+),则S△AEF=×EF×(x E﹣x A)=(m++m﹣)×(m+4)=,解得m=﹣5(舍去)或1,故点E的坐标为(1,);作点B关于直线AC的对称点B′,连接EB′交AC于点P,则点P为所求点.理由:PB+PE=PB′+PE=B′E为最小,由直线AC的表达式知,∠BAC=30°,连接AB',根据图形的对称性,则∠BAB′=60°,连接BP,则△ABB′为边长为6的等边三角形,则点B′(﹣1,3);由点B′和点E的坐标得,直线B′E==,即PB+PE的最小值为;(2)将△OBC绕O点逆时针旋转60°,连接BB′,则△OBB′为等边三角形,同理可得,点B′的坐标为(1,),分别过点B′、C′作x轴的垂线,垂足分别为H、M,∵∠C′OM+∠MC′O=90°,∠C′OM+∠B′OH=90°,∴∠B′OH=∠OC′M,∴Rt△OMC′∽Rt△B′HO,∵C′O=CO=,OB′=OB=2,∴Rt△OMC′和Rt△B′HO的相似比为:2=,∴OM=×B′H=×=2,同理可得C′M=,故点C′的坐标为(﹣2,),则OM:C′M=:1,故设图形向左平移m个单位,则向上平移了m个单位,故点C″的坐标为(﹣2﹣m,+m),由点C、′C″、B′的坐标得:C′C″2=(m)2+m2,C″B′2=(3+m)2+(m ﹣)2,B′C′2=,当C′C″=C″B′时,则(m)2+m2=(3+m)2+(m﹣)2,解得:m=﹣;当C″C′=B′C′时,(m)2+m2=,解得,m=;当C″B′=B′C′时,(3+m)2+(m﹣)2=,解得,m=0或﹣;故点C″的坐标为(﹣,)或(﹣2﹣,+)或(﹣2+,﹣)或(﹣2,)或(2,﹣).28.如图,平行四边形ABCD中,BC=BD,点F是线段AB的中点,过点C作CG⊥DB交BD于点G,CG延长线交DF于点H,且CH=DB.(1)如图1,若DH=1,求FH的值;(2)如图1,连接FG,求证:DB=FG+HG;(3)如图2,延长CH交AD于点M,延长FG交CD于点N,直接写出的值.【解答】(1)证明:如图1中,∵四边形ABCD是平行四边形,∴AD=BC,AB=CD,AB∥CD,∵BD=BC,∴AD=BD,∵AF=FB,∴DF⊥AB,∴DF⊥DC,∵CG⊥BD,∴∠CDH=∠CGD=∠DFB=90°,∴∠BDF+∠CDG=90°,∠CDG+∠DCH=90°,∴∠BDF=∠DCH,∵CH=DB,∴△DFB≌△CDH(AAS),∴DH=BF,CD=DF,∴AB=DF,∵AB=2BF,∴DF=2DH=2,∴FH=DH=1.(2)解:如图1中,过点F作FJ⊥BD于J,FK⊥CH交CH的延长线于K.过点D作DT⊥DF交FG的延长线于T,连接CT,设FT交CD于N.∵∠K=∠FJG=∠KGJ=90°,∴四边形FKGJ是矩形,∴∠FKJ=90°,∵∠DFB=90°,∴∠KFH=∠BFJ,∵∠K=∠FJB=90°,FH=FB,∴△FKH≌△FJB(AAS),∴FK=FJ,∵FK⊥GK,FJ⊥GJ,∴FG平分∠KGJ,∴∠FGH=∠FGJ=45°,∵∠DGT=∠FGJ=45°,∠GDT=90°,∴DG=DT,∵∠FDC=∠GDT=90°,∴∠FDG=∠CDT,∵DF=DC,∴△FDG≌△CDT(SAS),∴FG=CT,∠DFN=∠TCN,∵∠DNF=∠CNF,∴∠FDN=∠CTN=90°,∵∠TGC=∠FGK=45°,∴TG=TC,CG=CT=FG,∴BD=CH=GH+CG=GH+FG,∴DB=FG+HG.(3)解:如图2中,过点N作NT⊥DG于T,NQ⊥CG于Q.设AF=FB=FH=DH=a,则AB=DF=CD=2a,BD=CH=a,由(2)可知,∠NGT=∠NGQ=45°,∵NT⊥DG于T,NQ⊥CG于Q,∴NT=NQ,∴===,∵DG==a,∴BG=a,CG==a,∴==,∴CN=a,∵DG:BG=2:3,DM∥BC,∴DM:BC=DG:BG=2:3,∴DM=×a=a,∴==.。
2019-2020学年广东省惠州市四校联考八年级第二学期期末数学试卷一、选择题(共10小题).1.(3分)下列二次根式,最简二次根式是()A.B.C.D.2.(3分)下列计算正确的是()A. B.C.D.3.(3分)下列各线段的长,能构成直角三角形的是()A.2,3,4 B.5,12,13 C.4,6,9 D.5,11,13 4.(3分)点A(x1,y1)、B(x2,y2)都在直线y=kx+2(k<0)上,且x1<x2,则y1、y2的大小关系是()A.y1 =y2B.y1 <y2C.y1 >y2D.y1 ≥y25.(3分)一组数据3、2、4、5、2,则这组数据的众数是()A.2 B.3 C.3.2 D.46.(3分)下列命题中,真命题是()A.两对角线相等的四边形是矩形B.两对角线互相垂直的四边形是菱形C.两对角线互相垂直平分且相等的四边形是正方形D.一组对边相等另一组对边平行的四边形是平行四边形7.(3分)如图,在四边形ABCD中,AB=CD,BC=AD,若∠D=120°,则∠C的度数为()A.60°B.70°C.80°D.90°8.(3分)直角三角形两条直角边长分别是5和12,则第三边上的中线长为()A.5 B.6 C.6.5 D.129.(3分)一次函数y=kx+k的图象可能是()A.B.C.D.10.(3分)甲、乙两人分别从A,B两地同时出发,相向而行,匀速前往B地、A地,两人相遇时停留了4min,又各自按原速前往目的地,甲、乙两人之间的距离y(m)与甲所用时间x(min)之间的函数关系如图所示.有下列说法:①A,B之间的距离为1200m;②乙行走的速度是甲的1.5倍;③b=800;④a=30.以上结论正确的有()A.①②B.①②③C.①③④D.①②④二、填空题(本大题7小题,每小题4分,共28分)11.(4分)函数y=的自变量取值范围是.12.(4分)计算(+)(﹣)的结果等于.13.(4分)如图,函数y1=﹣2x和y2=ax+3的图象相交于点A(﹣1,m),则关于x的不等式﹣2x≥ax+3的解集是.14.(4分)已知菱形的两条对角线长分别是6和8,则这个菱形的面积为.15.(4分)一次函数y=2x﹣3与y=x+1的图象的交点坐标为.16.(4分)若一个直角三角形的三边分别为x,4,5,则x=.17.(4分)如图,四边形ABCD,AD∥BC,AB⊥BC,AD=1,AB=2,BC=3,P为AB 边上的一动点,以PD,PC为边作平行四边形PCQD,则对角线PQ的长的最小值是.三、解答题(一)(本大题3小题,每小题6分,共18分)18.(6分)(+1)2﹣2(﹣1).19.(6分)如图,在▱ABCD中,已知点E和点F分别在AD和BC上,且AE=CF,连结CE和AF,试说明四边形AFCE是平行四边形.20.(6分)一次函数图象经过(3,1),(2,0)两点.(1)求这个一次函数的解析式;(2)求当x=6时,y的值.四、解答题(二)(本大题3小题,每小题8分,共24分)21.(8分)在开展“学雷锋社会实践”活动中,某校为了解全校1000名学生参加活动的情况,随机调查了50名学生每人参加活动的次数,并根据数据绘成如图的条形统计图:(1)这50个样本数据的中位数是次,众数是次;(2)求这50个样本数据的平均数;(3)根据样本数据,估算该校1000名学生大约有多少人参加了4次实践活动.22.(8分)如图,在菱形ABCD中,对角线AC与BD交于点O,过点C作AC的垂线,过点D作BD的垂线,两直线相交于点E.(1)求证:四边形OCED是矩形;(2)若CE=1,CD=,求四边形的ABCD面积.23.(8分)某工厂计划生产A、B两种产品共50件,已知A产品成本2000元/件,售价2300元/件;B种产品成本3000元/件,售价3500元/件,设该厂每天生产A种产品x件,两种产品全部售出后共可获利y元.(1)求出y与x的函数表达式;(2)如果该厂每天最多投入成本140000元,那么该厂生产的两种产品全部售出后最多能获利多少元?五、解答题(三)(本大题2小题,每小题10分,共20分)24.(10分)如图,直线y=kx+6与x轴、y轴分别相交于点E、F,点E的坐标为(﹣8,0),点A的坐标为(﹣6,0),点P是直线EF上的一个动点.(1)求k的值;(2)点P在第二象限内的直线EF上的运动过程中,写出△OPA的面积S与x的函数表达式,并写出自变量x的取值范围;(3)探究,当点P在直线EF上运动时,△OPA的面积可能是15吗,若能,请求出点P的坐标;若不能,说明理由.25.(10分)已知,▱ABCD中∠ABC=90°,AB=4cm,BC=8cm,AC的垂直平分线EF 分别交AD、BC于点E、F,垂足为O.(1)如图1,连接AF、CE.求证:四边形AFCE为平行四边形.(2)如图1,求AF的长.(3)如图2,动点P、Q分别从A、C两点同时出发,沿△AFB和△CDE各边匀速运动一周.即点P自A→F→B→A停止,点Q自C→D→E→C停止.在运动过程中,点P的速度为每秒1cm,点Q的速度为每秒0.8cm,设运动时间为t秒,若当A、P、C、Q四点为顶点的四边形是平行四边形时,求t的值.参考答案一、选择题(本大题10小题,每小题3分,共30分)在每小题列出的四个选项中,只有一个是正确的.1.(3分)下列二次根式,最简二次根式是()A.B.C.D.解:A、被开方数含开的尽的因数,故A不符合题意;B、被开方数含分母,故B不符合题意;C、被开方数不含分母;被开方数不含能开得尽方的因数或因式,故C符合题意;D、被开方数含能开得尽方的因数或因式,故D不符合题意;故选:C.2.(3分)下列计算正确的是()A. B.C.D.解:A、不是同类二次根式,不能合并,此选项错误;B、不是同类二次根式,不能合并,此选项错误;C、÷==3,此选项正确;D、()2=2,此选项错误.故选:C.3.(3分)下列各线段的长,能构成直角三角形的是()A.2,3,4 B.5,12,13 C.4,6,9 D.5,11,13 解:∵22+32≠42,故选项A中的三条选段的长不能构成直角三角形;∵52+122=132,故选项B中的三条选段的长能构成直角三角形;∵42+62≠92,故选项C中的三条选段的长不能构成直角三角形;∵52+112≠132,故选项D中的三条选段的长不能构成直角三角形;故选:B.4.(3分)点A(x1,y1)、B(x2,y2)都在直线y=kx+2(k<0)上,且x1<x2,则y1、y2的大小关系是()A.y1 =y2B.y1 <y2C.y1 >y2D.y1 ≥y2解:∵直线y=kx+b中k<0,∴函数y随x的增大而减小,∴当x1<x2时,y1>y2.故选:C.5.(3分)一组数据3、2、4、5、2,则这组数据的众数是()A.2 B.3 C.3.2 D.4解:在这组数据中2出现了2次,出现的次数最多,则这组数据的众数是2;故选:A.6.(3分)下列命题中,真命题是()A.两对角线相等的四边形是矩形B.两对角线互相垂直的四边形是菱形C.两对角线互相垂直平分且相等的四边形是正方形D.一组对边相等另一组对边平行的四边形是平行四边形解:A、两对角线相等的平行四边形是矩形,所以A选项为假命题;B、两对角线互相垂直平分的四边形是菱形,所以B选项为假命题;C、两对角线互相垂直平分且相等的四边形是正方形,所以C选项为真命题;D、一组对边相等另一组对边也相等的四边形是平行四边形,所以D选项为假命题;故选:C.7.(3分)如图,在四边形ABCD中,AB=CD,BC=AD,若∠D=120°,则∠C的度数为()A.60°B.70°C.80°D.90°解:∵AB=CD,BC=AD,∴四边形ABCD是平行四边形,∴AD∥BC,∴∠C+∠D=180°,∵∠D=120°,∴∠A=60°.故选:A.8.(3分)直角三角形两条直角边长分别是5和12,则第三边上的中线长为()A.5 B.6 C.6.5 D.12解:∵直角三角形两条直角边长分别是5和12,∴斜边==13,∴第三边上的中线长为×13=6.5.故选:C.9.(3分)一次函数y=kx+k的图象可能是()A.B.C.D.解:当k>0时,函数图象经过一、二、三象限;当k<0时,函数图象经过二、三、四象限,故B正确.故选:B.10.(3分)甲、乙两人分别从A,B两地同时出发,相向而行,匀速前往B地、A地,两人相遇时停留了4min,又各自按原速前往目的地,甲、乙两人之间的距离y(m)与甲所用时间x(min)之间的函数关系如图所示.有下列说法:①A,B之间的距离为1200m;②乙行走的速度是甲的1.5倍;③b=800;④a=30.以上结论正确的有()A.①②B.①②③C.①③④D.①②④解:①当x=0时,y=1200,∴A、B之间的距离为1200m,结论①正确;②乙的速度为1200÷(24﹣4)=60(m/min),甲的速度为1200÷12﹣60=40(m/min),60÷40=1.5,∴乙行走的速度是甲的1.5倍,结论②正确;③b=(60+40)×(24﹣4﹣12)=800,结论③正确;④a=1200÷40+4=34,结论④错误.故结论正确的有①②③,故选:B.二、填空题(本大题7小题,每小题4分,共28分)11.(4分)函数y=的自变量取值范围是x≥2.解:根据题意得:x﹣2≥0且x+1≠0解得:x≥2.12.(4分)计算(+)(﹣)的结果等于3.解:(+)(﹣)=()2﹣()2=6﹣3=3,故答案为:3.13.(4分)如图,函数y1=﹣2x和y2=ax+3的图象相交于点A(﹣1,m),则关于x的不等式﹣2x≥ax+3的解集是x≤﹣1.解:∵函数y1=﹣2x和y2=ax+3的图象相交于点A(﹣1,m),∴不等式﹣2x≥ax+3的解集为x≤﹣1,故答案为:x≤﹣1.14.(4分)已知菱形的两条对角线长分别是6和8,则这个菱形的面积为24.解:∵菱形的两条对角线长分别是6和8,∴这个菱形的面积为6×8÷2=24故答案为2415.(4分)一次函数y=2x﹣3与y=x+1的图象的交点坐标为(4,5).解:联立两个一次函数的解析式有:,解得;所以两个函数图象的交点坐标是(4,5),故答案为(4,5).16.(4分)若一个直角三角形的三边分别为x,4,5,则x=3或.解:设第三边为x,(1)若5是直角边,则第三边x是斜边,由勾股定理得:52+42=x2,∴x=;(2)若5是斜边,则第三边x为直角边,由勾股定理得:32+x2=52,∴x=3;∴第三边的长为3或.故答案为:3或.17.(4分)如图,四边形ABCD,AD∥BC,AB⊥BC,AD=1,AB=2,BC=3,P为AB 边上的一动点,以PD,PC为边作平行四边形PCQD,则对角线PQ的长的最小值是4.解:过点Q作QH⊥BC,交BC的延长线于点H,如图:∵AD∥BC,∴∠ADC=∠DCH,即∠ADP+∠PDC=∠DCQ+∠QCH,∵PD∥CQ,∴∠PDC=∠DCQ,∴∠ADP=∠QCH,又∵PD=CQ,∠A=∠CHQ=90°,∴△ADP≌△HCQ(AAS),∴AD=HC,∵AD=1,BC=3,∴BH=4,∴当PQ⊥AB时,PQ的长最小,即为4.故答案为:4.三、解答题(一)(本大题3小题,每小题6分,共18分)18.(6分)(+1)2﹣2(﹣1).解:原式=2+2+1﹣2+2=5.19.(6分)如图,在▱ABCD中,已知点E和点F分别在AD和BC上,且AE=CF,连结CE和AF,试说明四边形AFCE是平行四边形.【解答】证明:∵四边形ABCD是平行四边形,∴AD∥BC,∵AE=CF,∴四边形AFCE是平行四边形.20.(6分)一次函数图象经过(3,1),(2,0)两点.(1)求这个一次函数的解析式;(2)求当x=6时,y的值.解:(1)设一次函数解析式为y=kx+b,把(3,1),(2,0)代入得,解得,所以一次函数解析式为y=x﹣2;(2)当x=6时,y=x﹣2=6﹣2=4.四、解答题(二)(本大题3小题,每小题8分,共24分)21.(8分)在开展“学雷锋社会实践”活动中,某校为了解全校1000名学生参加活动的情况,随机调查了50名学生每人参加活动的次数,并根据数据绘成如图的条形统计图:(1)这50个样本数据的中位数是3次,众数是4次;(2)求这50个样本数据的平均数;(3)根据样本数据,估算该校1000名学生大约有多少人参加了4次实践活动.解:(1)∵在这组样本数据中,4出现了18次,出现的次数最多,∴这组数据的众数是4次.∵将这组样本数据按从小到大的顺序排列,其中处在中间的两个数都是3,=3次,∴这组数据的中位数是3次;故答案为,3,4.(2)观察条形统计图,可知这组样本数据的平均数==3.3次,则这组样本数据的平均数是3.3次.(3)1000×=360(人)∴该校学生共参加4次活动约为360人.22.(8分)如图,在菱形ABCD中,对角线AC与BD交于点O,过点C作AC的垂线,过点D作BD的垂线,两直线相交于点E.(1)求证:四边形OCED是矩形;(2)若CE=1,CD=,求四边形的ABCD面积.【解答】(1)证明:∵四边形ABCD是菱形,∴AC⊥BD,∴∠COD=90°.∵CE⊥AC,DE⊥BD,∴∠BDC=∠E=90°∴平行四边形OCED是矩形;(2)解:由(1)知,四边形OCED是菱形,则CE=OD=1∵四边形ABCD是菱形,∴BD=2OD=2,AC=2OC,AC⊥BD∴,∴AC=2OC=4∴菱形ABCD的面积为:AC•BD=×4×2=4.23.(8分)某工厂计划生产A、B两种产品共50件,已知A产品成本2000元/件,售价2300元/件;B种产品成本3000元/件,售价3500元/件,设该厂每天生产A种产品x件,两种产品全部售出后共可获利y元.(1)求出y与x的函数表达式;(2)如果该厂每天最多投入成本140000元,那么该厂生产的两种产品全部售出后最多能获利多少元?解:(1)由题意可得,y=(2300﹣2000)x+(3500﹣3000)(50﹣x)=﹣200x+25000,即y与x的函数表达式为y=﹣200x+25000;(2)∵该厂每天最多投入成本140000元,∴2000x+3000(50﹣x)≤140000,解得,x≥10,∵y=﹣200x+25000,∴当x=10时,y取得最大值,此时y=23000,答:该厂生产的两种产品全部售出后最多能获利23000元.五、解答题(三)(本大题2小题,每小题10分,共20分)24.(10分)如图,直线y=kx+6与x轴、y轴分别相交于点E、F,点E的坐标为(﹣8,0),点A的坐标为(﹣6,0),点P是直线EF上的一个动点.(1)求k的值;(2)点P在第二象限内的直线EF上的运动过程中,写出△OPA的面积S与x的函数表达式,并写出自变量x的取值范围;(3)探究,当点P在直线EF上运动时,△OPA的面积可能是15吗,若能,请求出点P的坐标;若不能,说明理由.解:(1)点E的坐标为(﹣8,0),且在直线y=kx+6上,则﹣8k+6=0,解得,;(2)∵点P(x,y)是第二象限内的直线上的一个动点,∴,∴;(3)当点P在x轴的上方时,由题意得,=15,整理,得,解得,,则.此时点P的坐标是;当点P在x轴的下方时,y=﹣5,此时综上所述,△OPA的面积是15时,点P的坐标为或.25.(10分)已知,▱ABCD中∠ABC=90°,AB=4cm,BC=8cm,AC的垂直平分线EF 分别交AD、BC于点E、F,垂足为O.(1)如图1,连接AF、CE.求证:四边形AFCE为平行四边形.(2)如图1,求AF的长.(3)如图2,动点P、Q分别从A、C两点同时出发,沿△AFB和△CDE各边匀速运动一周.即点P自A→F→B→A停止,点Q自C→D→E→C停止.在运动过程中,点P的速度为每秒1cm,点Q的速度为每秒0.8cm,设运动时间为t秒,若当A、P、C、Q四点为顶点的四边形是平行四边形时,求t的值.解:(1)∵四边形ABCD是矩形,∴AD∥BC,∴∠CAD=∠ACB,∠AEF=∠CFE.∵EF垂直平分AC,∴OA=OC.在△AOE和△COF中,,∴△AOE≌△COF(AAS),∴OE=OF(AAS).∵EF⊥AC,∴四边形AFCE为菱形.即四边形AFCE为平行四边形.②设菱形的边长AF=CF=xcm,则BF=(8﹣x)cm,在Rt△ABF中,AB=4cm,由勾股定理,得16+(8﹣x)2=x2,解得:x=5,∴AF=5.(2)由作图可以知道,P点AF上时,Q点CD上,此时A,C,P,Q四点不可能构成平行四边形;同理P点AB上时,Q点DE或CE上,也不能构成平行四边形.∴只有当P点在BF上,Q点在ED上时,才能构成平行四边形,∴以A,C,P,Q四点为顶点的四边形是平行四边形时,∴PC=QA,∵点P的速度为每秒1cm,点Q的速度为每秒0.8cm,运动时间为t秒,∴PC=t,QA=12﹣0.8t,∴t=12﹣0.8t,解得:t=.∴以A,C,P,Q四点为顶点的四边形是平行四边形时,t=秒.。
2019学年广东省深圳市南山区八年级下学期期末数学
试卷【含答案及解析】
姓名___________ 班级____________ 分数__________
一、选择题
1. 下列各式从左到右的变形为分解因式的是()
A.m2﹣m﹣6=(m+2)(m﹣3)
B.(m+2)(m﹣3)=m2﹣m﹣6
C.x2+8x﹣9=(x+3)(m﹣3)+8x
D.18x3y2=3x3y2•6
2. 在下列交通标志中,是中心对称图形的是()
3. )若代数式有意义,则x应满足()
A.x=0 B.x≠1 C.x≥﹣5 D.x≥﹣5且x≠1
4. 一个多边形的每个内角均为108°,则这个多边形是()边形.
A.4 B.5 C.6 D.7
5. 如图,直线l经过第二、三、四象限,l的解析式是y=(m﹣2)x+n,则m的取值范围在数轴上表示为()
6. 如图,△ABC中,AB=AC,∠A=40°,延长AC到D,使CD=BC,点P是∠ABD和∠ADB的平分线的交点,则∠BPD的度数是()
A.105° B.110° C.130° D.145°
7. 如图,三条公路两两相交,现计划修建一个油库,要求油库到这三条公路的距离相等,那么选择油库的位置有()处.
A.1 B.2 C.3 D.4
8. 下列命题中是真命题的有()个.
①相等的角是对顶角;
②两直线被第三条直线所截,内错角相等;
③若m2=n2,则m=n;
④平行四边形的对角线互相平分;
⑤一组对边平行,一组对边相等的四边形是平行四边形.
A.0 B.1 C.2 D.3
9. 如图,平行四边形ABCD中,∠ABC=60°,E、F分别在CD和BC的延长线上,AE∥BD,EF⊥BC,EF=,则AB的长是()
A.0.5 B.1 C.1.5 D.2
10. 如图,Rt△ABC中,∠ACB=90°,BC=3,AC=4,AB的垂直平分线DE交BC的延长线于点E,则CE的长为()
A. B. C. D.
11. 直线l1:y=k1x+b与直线l2:y=k2x在同一平面直角坐标系中的图象如图所示,则关于x的不等式k2x>k1x+b的解集为()
A.x>3 B.x<3 C.x>﹣1 D.x<﹣1
12. 如图,平行四边形ABCD的面积为acm2,对角线交于点O;以AB、AO为邻边作平行四边形AOC1B,连接AC1交BD于O1,以AB、AO1为邻边作平行四边形AO1C2B;…;依此类推,则平行四边形AOn﹣1CnB的面积为()cm2.
A. B. C. D.
二、填空题
13. 如图,将Rt△ABC绕直角顶点顺时针旋转90°,得到△A′B′C,连结AA′,若
∠AA′B′=20°,则∠B的度数为°.
14. 如果不等式组的解集是x>3,那么m的取值范围是.
15. 在平行四边形ABCD中,BC边上的高为4,AB=5,AC=2,则平行四边形ABCD的周长等于.
16. 已知分式方程的的解x是正数,则m的取值范围是 _.
三、解答题
17. (1)分解因式:3x3﹣12x2y+12xy2.
(2)先化简,再求值:,其中x=﹣2.
18. 解不等式组,并把解集在数轴上表示出来.
19. 如图,E,F是平行四边形ABCD的对角线AC上的点,CE=AF.请你猜想:BE与DF有怎样的位置关系和数量关系?并对你的猜想加以证明:
猜想:;
证明:.
20. (7分)华联商场预测某品牌衬衫能畅销市场,先用了8万元购入这种衬衫,面市后
果然供不应求,于是商场又用了17.6万元购入第二批这种衬衫,所购数量是第一批购入
量的2倍,但单价贵了4元.商场销售这种衬衫时每件定价都是58元,最后剩下的150
件按定价的八折销售,很快售完.试求:
(1)第一次购买这种衬衫的单价是多少?
(2)在这两笔生意中,华联商场共赢利多少元?
21. (7分)在△ABC中,AB=AC,CG⊥BA交BA的延长线于点G.一等腰直角三角尺按如
图所示的位置摆放,该三角尺的直角顶点为F,一条直角边与AC边在一条直线上,另一条直角边恰好经过点B.
(1)在图1中请你通过观察猜想BF与CG满足的数量关系,并证明你的结论.
(2)当三角尺沿AC方向平移到图2所示的位置时,一条直角边仍与AC边在同一直线上,另一条直角边交BC边于点D,过点D作DE⊥BA于点E.此时请你通过观察、猜想DE、DF
与CG满足的数量关系,并证明你的猜想.
22. (8分)某园林部门决定利用现有的349盆甲种花卉和295盆乙种花卉搭配A、B两种园艺造型共50个,摆放在迎宾大道两侧.已知搭配一个A种造型需甲种花卉8盆,乙种
花卉4盆;搭配一个B种造型需甲种花卉5盆,乙种花卉9盆.
(l)某校2015届九年级某班课外活动小组承接了这个园艺造型搭配方案的设计,问符合
题意的搭配方案有几种?请你帮助设计出来;
(2)若搭配一个A种造型的成本是200元,搭配一个B种造型的成本是360元,试说明(1)中哪种方案成本最低,最低成本是多少元?
23. (9分)如图,在平面直角坐标系中,点A,B的坐标分别为(﹣3,0),(0,6).动点P从点O出发,沿x轴正方向以每秒1个单位的速度运动,同时动点C从B出发,沿射线BO方向以每秒2个单位的速度运动,以CP,CO为邻边构造平行四边形PCOD,在线段OP延长线上取点E,使PE=AO,设点P运动的时间为t秒.
(1)直接写出当点C运动到线段OB的中点时,求t的值及点E的坐标.
(2)当点C在线段OB上运动时,四边形ADEC的面积为S.
①求证:四边形ADEC为平行四边形.
②写出s与t的函数关系式,并求出t的取值范围.
(3)是否存在某一时刻,使OC是PC的一半?若存在,求出t的值,若不存在,请说明理由.
参考答案及解析
第1题【答案】
第2题【答案】
第3题【答案】
第4题【答案】
第5题【答案】
第6题【答案】
第7题【答案】
第8题【答案】
第9题【答案】
第10题【答案】
第11题【答案】
第12题【答案】
第13题【答案】
第14题【答案】
第15题【答案】
第16题【答案】
第17题【答案】
第18题【答案】
第19题【答案】
第20题【答案】
第21题【答案】
第22题【答案】
第23题【答案】。