大学英语试卷及答案
- 格式:docx
- 大小:15.90 KB
- 文档页数:5
大学英语四级真题试卷(附答案)一、写作(30分钟)Directions:For this part, you are allowed 30 minutes to write an essay on the topic “The Advantages and Disadvantages of Online Shopping”. You should write at least 120 words but no more than 180 words.二、听力理解(25分钟)Section ADirections: In this section, you will hear three news reports. At the end of each news report, you will hear two or three questions. Both the news report and the questions will be spoken only once. After you hear a question, you must choose the best answer from the four choices marked A), B), C) and D). Then mark the corresponding letter on Answer Sheet 1 with a single line through the centre.News Report 11. A) A new art exhibition was opened.B) A famous artist's work was stolen.C) An art museum was renovated.D) A new art technique was discovered.2. A) The value of the stolen artworks.B) The description of the suspect.C) The security measures of the museum.D) The impact on the art community.News Report 23. A) To encourage people to use public transportation.B) To reduce traffic accidents.C) To promote the use of electric vehicles.D) To improve the city's air quality.4. A) By building more subway lines.B) By offering free bus rides.C) By restricting car usage.D) By improving bike lanes.News Report 35. A) The increase in the number of international students.B) The new policies for international education.C) The challenges faced by international students.D) The benefits of studying abroad.6. A) Language barriers.B) Cultural differences.C) High tuition fees.D) All of the above.Section BDirections: In this section, you will hear two long conversations. At the end of each conversation, you will hear four questions. Both the conversation and the questions will be spoken only once. After you hear a question, you must choose the best answer from the four choices marked A), B), C) and D). Then mark the corresponding letter on Answer Sheet 1 with a single line through the centre.Conversation 17. A) At a concert hall.B) At a movie theater.C) At a sports stadium.D) At a restaurant.8. A) To watch a game.B) To attend a concert.C) To see a movie.D) To have a dinner.9. A) The tickets are sold out.B) The event has been cancelled.C) There are only standing tickets left.D) The price of the tickets is too high.10. A) Try another venue.B) Wait for a refund.C) Look for tickets online.D) Choose another event.Conversation 211. A) She is planning a vacation.B) She is moving to a new city.C) She is looking for a new job.D) She is decorating her house.12. A) The cost of living.B) The job opportunities.C) The climate.D) The local culture.13. A) It has a high cost of living.B) It has few job openings.C) It has a nice climate.D) It has a rich culture.14. A) She will consider other options.B) She will visit the city first.C) She will make a decision soon.D) She will ask for more information.Section CDirections: In this section, you will hear three passages. At the end of each passage, you will hear three questions. Both the passage and the questions will be spoken only once. After you hear a question, you must choose the best answer from the four choices marked A), B), C) and D). Then mark the corresponding letter on Answer Sheet 1 with a single line through the centre.Passage 115. A) It's a new fitness trend.B) It's a traditional dance form.C) It's a type of exercise equipment.D) It's a popular sport among the elderly.16. A) It improves flexibility.B) It builds muscle strength.C) It helps with weight loss.D) It enhances mental focus.17. A) By following online tutorials.B) By joining a fitness class.C) By practicing at home alone.D) By watching professional performances.Passage 218. A) The history of the Internet.B) The development of social media.C) The impact of the Internet on communication.D) The future of online communication.19. A) It has made communication faster and easier.B) It has reduced face - to - face interaction.C) It has created new forms of language.D) All of the above.20. A) To be more cautious about online information.B) To use the Internet less frequently.C) To learn new online communication skills.D) To embrace the changes brought by the Internet.Passage 321. A) A new scientific research project.B) The discovery of a new planet.C) The exploration of outer space.D) The development of space technology.22. A) It may have water.B) It has a similar atmosphere to Earth.C) It is very close to our solar system.D) It has signs of life.23. A) Sending more space probes.B) Building a space station.C) Conducting further research.D) Colonizing the planet.三、阅读理解(40分钟)Section ADirections: In this section, there is a passage with ten blanks. You are required to select one word for each blank from a list of choices given in a word bank following the passage. Read the passage through carefully before making your choices. Each choice in the word bank is identified by a letter. Please mark the corresponding letter for each item on Answer Sheet 2 with a single line through the centre. You may not use any of the words in the word bank more than once.Online education has become increasingly popular in recent years. It offers many __24__ for both students and educators. For students, it provides flexibility as theycan study at their own __25__ and from any location with an Internet connection. This is especially beneficial for those who have busy schedules or live in remote areas.Educators also find online education advantageous. They can reach a larger number of students and use various multimedia resources to __26__ their teaching. However, online education also has some challenges. One of the main issues is the lack of face - to -face interaction, which may make it difficult for students to stay __27__ and motivated.A) engagedB) advantagesC) paceD) enhanceE) disadvantagesF) accessG) onlineH) traditionalI) isolatedJ) motivatedSection BDirections: In this section, you are going to read a passage with ten statements attached to it. Each statement contains information given in one of the paragraphs. Identify the paragraph from which the information is derived. You may choose a paragraph more than once. Each paragraph is marked with a letter. Answer the questions by marking the corresponding letter on Answer Sheet 2.The Role of Volunteers in SocietyA) Volunteers play a vital role in our society. They contribute their time and energy tovarious causes without expecting any financial reward. Their work has a significant impact on different aspects of community life.B) In the field of education, volunteers can help in schools. They may assist teachers in the classroom, tutor students, or organize extracurricular activities. This not only eases the workload of educators but also provides additional support to students. C) Volunteers are also active in the healthcare sector. They can visit patients in hospitals, offer comfort and support, and sometimes help with simple medical tasks under the supervision of medical staff. Their presence can make a big difference to the well - being of patients.D) Another area where volunteers are much needed is in environmental protection. They participate in activities such as tree - planting, beach clean - ups, and recycling campaigns. These efforts contribute to improving the environment and raising public awareness of environmental issues.E) During disasters and emergencies, volunteers are often the first to respond. They provide food, shelter, and medical assistance to those affected. Their quick action can save lives and help communities recover more quickly.F) Volunteering also has personal benefits for those who engage in it. It can enhance their social skills, as they work with different people. It can also give them a sense of satisfaction and fulfillment knowing that they are making a positive difference in the world.G) However, being a volunteer also comes with challenges. Sometimes, there may be a lack of resources or proper training, which can affect the quality of their work. Volunteers need to be prepared to face these difficulties.H) To encourage more people to volunteer, organizations and governments should provide better support. This includes offering training programs, improving communication channels, and recognizing the efforts of volunteers.I) In conclusion, volunteers are an essential part of our society. Their contributions are invaluable, and we should all consider getting involved in volunteer activities to make our world a better place.J) The number of volunteer opportunities is constantly increasing. With thedevelopment of society, new areas and projects are emerging that require the help of volunteers.28. Volunteers can assist in teaching and extracurricular activities in schools.29. Volunteers can provide support to patients in hospitals.30. Volunteers are involved in environmental protection activities.31. Volunteers are crucial during disasters.32. Volunteering can improve social skills and bring satisfaction.33. Volunteers may face challenges due to lack of resources or training.34. More support should be provided to encourage volunteering.35. Volunteers are important in society and more people should get involved.36. The number of volunteer opportunities is growing.37. Volunteers work without financial compensation.Section CDirections: There are 2 passages in this section. Each passage is followed by some questions or unfinished statements. For each of them there are four choices marked A), B), C) and D). You should decide on the best choice and mark the corresponding letter on Answer Sheet 2.Passage 1The concept of a sharing economy has gained popularity in recent years. Platforms like Uber and Airbnb have changed the way people travel and find accommodation. The sharing economy allows people to share their under - utilized assets, such as cars and spare rooms, with others.This model has several benefits. For owners, it can generate extra income. For users, it provides more options and usually at a lower cost than traditional services. However, there are also some issues. There may be concerns about the quality of the shared assets and the reliability of the people involved. In addition, regulatorychallenges exist as the sharing economy operates in a different way from traditional industries.38. What is the main topic of this passage?A) The advantages of the sharing economy.B) The disadvantages of the sharing economy.C) The introduction and analysis of the sharing economy.D) The comparison between the sharing economy and traditional industries.39. What are the benefits of the sharing economy according to the passage?A) Only for owners to make money.B) Only for users to get cheaper services.C) Both for owners to earn income and users to have more options at lower cost.D) To reduce the number of unused assets.40. What are the problems of the sharing economy?A) Only quality issues.B) Only reliability issues.C) Quality, reliability, and regulatory issues.D) High cost for users.Passage 2Music has always been an important part of human culture. It has the power to influence our emotions, memories, and even behavior. Different types of music can have different effects. For example, classical music is often associated with relaxation and concentration, while fast - paced music can boost energy and motivation.Music is also used in various settings. In educational institutions, it can be used to enhance learning. In hospitals, it can help reduce patients' stress and anxiety. In the workplace, it can improve productivity and create a more pleasant environment.41. What is the main idea of this passage?A) The history of music.B) The different types of music.C) The effects and uses of music.D) The importance of music in culture.42. What can classical music do according to the passage?A) Boost energy.B) Increase motivation.C) Aid in relaxation and concentration.D) Improve productivity.43. Where can music be used according to the passage?A) Only in educational institutions.B) Only in hospitals.C) Only in the workplace.D) In educational institutions, hospitals, and the workplace.四、翻译(30分钟)Directions: For this part, you are allowed 30 minutes to translate a passage from Chinese into English.中国的长城是世界著名的奇迹之一。
大学英语4一、单项选择题(共15小题,每题3分,共45分)1.The color of my umbrella is different from ____ of yours.( )A.thisB.thatC.itD.one2.The old couple decided to _____ a boy and a girl thoughthey had three children of their own. ( )A.adaptB.acceptC.receiveD.adopt3.She didn’t see Smith, _______.()A.neither did IB.nor didn’t IC.neither I didD.so didn’t I4.The problem _______ at tomorrow’s meeting is a verydifficult one. ()A.being discussedB.discussedC.to be discussedD.to discuss5.He doesn’t know _______ to stay or not. ()A.whetherB.ifC.eitherD.if he will6.People appreciate_______ with him because he has a goodsense of humor. ( )A.to workB.to have workedC.workingD.have working7.We had some trouble _____ the house and nobody seemed_____ where it was. ( )A.in finding; knowingB.finding; to knowC.to find; knowingD.to find; to know8.The meeting _____ over, we all left the room. ( )A.isB.to beC.beingD.would be9.I used to sleep with the window ______.( )A.openedB.openC.openingD.to open10. _______ by the police, the kidnappers had no choicebut to surrender. ( )A.surroundedB.surroundingC.having surroundedD.to be surrounded11.____ her mother had come, her face lit up. ( )A.HearingB.Having heardC.When hearingD.When she heard12.It was ______ he said ______ disappointed me. ( )A.what; thatB.that; whatC.that; whenD.it; when13.I didn’t go to t he concert. But I do wish I ______ there. ()A.wasB.had beenC.wereD.went14.______ no problems arise in those two bodies, thiscountry will be as stable as Mount Tai. ( )A.So thatB.So long asC.As soon asD.So as to15.If she had worked harder, she ______ the examinationyesterday. ( )A.would passB.had passedC.passD.would have passed二、阅读理解〔共5小题,每题6分,共计30分〕Welcome to the Franklin Business Institute E244 Conversational English class. The object of this course is to learn how to converse fluently and effectively in English. For the next 10 weeks we will finely tune your skills in the art of debating and role-playing. We will also practice speech rhythm and diction with an emphasis on enunciation(清晰的发音) and specific speech problems faced by those who are studying English as a foreign language.Numerous discussions on a wide variety of subjects will be held, including topics in business, fiction, travel, differences between Western and Chinese Culture, education and life experience.You will have many opportunities to give oral presentations and voice your opinions on the various topics that we plan to cover. It is very important that you talk as much as you can. Don't wait for your instructor to ask you to speak. If you have a question, ask it. Additionally, if you have any questions about anything your fellow students say, please feel free to ask.1. What kind of the course is E244? ( )A. It's a composition one.B. It's a conversational one.C. It's for listening skill.D. It's a grammar one.2. The purpose of this course is to make the students ________.( )A. remember those unknown wordsB. know various rules of English grammarC. learn how to write their term papersD. express themselves fluently and effectively in English3. How long will the course take? ( )A. 5 weeks.B. 10 weeks.C. One month.D. Two months.4. Which topic will not be held during the study? ( )A. Education.B. Politics.C. Culture.D. Business.5. It's very important for those who take E244 to ________.( )A. talk as much as they canB. prepare the course before the clasC. look up every unknown word and phraseD. recite each lesson三、英译汉〔共5小题,每题5分,共计25分〕1. To my amazement, there was a small piece of whiteness, shining softly like the mercury, even without moonshine.2. For colleagues in the East, the pain is more likely to come through a pay cut.3. In the Confucian societies of East Asia, individual differences in endowment are assumed to be modest, and differences in achievement are thought to be due largely to effort.4. Researchers reported women who suppressed their anger felt more like swearing than men.5. It hadn’t occurred to me that others hadn’t figured it out.大学英语4试卷答案一、单项选择1.B2.D3.A4.C5.A6.C7.B8.C9.B 10.A11.D 12.A 13.B 14.B 15.D二、阅读理解1.B2.D3.B4.B5.A三、英译汉1. 我甚是奇怪,没有月光,却有一块小小的白色,水银般柔和地亮着。
大学英语试卷及答案《大学英语》试卷考试时间:90分钟闭卷任课老师:班级:学号:姓名:成绩:Ⅰ.MatchthewordsincolumnAwiththeexplanationsincolumnB .(15points)ColumnAColumnB1.terma..easytogetto2.departmentb.acceptsth.astrue3.overseasc.givegreatpleasureto4.charged.oneofseveraldivisioninauniversity,etc.5.worthe.abroad6.believef.oneoftheperiodsintowhichtheacademicyearisdivided7.somewhatg..becomelesstense;rest8.convenienth..goodofusefulenoughtodoorhave9.relaxi.responsibility,careorcontrol10.delightj.alittleII.Multiplechoicequestions(15points)Therearefivesentencesinthissection.Beneatheachsentenceth erearefourchoicesmarkedA,B,CandD.Chooseoneor morethatyouthinkaresuitable.11.Takeyourcamerawithyou.We’dliketotakesomeofthebeau tifulpark.A.paintingsB.picturesC.filesD.films12.Theisveryuseful.Shecanhelpsmetofindmanygoodbooks.A.employerB.memberC.monitorD.librarian13.Smallcarsareoffuel,sotheyhavemoreappealforconsumers.A.freeB.shortC.typicalD.economical14.NextSundayisherbirthday.I______herabicycleasapresent.A.allowB.giveC.offerD.promise15.IwasinssmallcountrysideinChina.A.broughtupB.bringupC.raisedupD.raiseup16.MissYangislikelytobeforpromotion.A.sentB.recommendedC.advisedD.reported17.Thenumberofpeopleinvited_________fifty,butanumberofth em___________absentfordifferentreasons.A.were;wasB.was;wasC.was;wereD.were;were18.Chineseartsaregreatinterestmanyforeigners.A.in…toB.of…toC.in…inD.of…in19.Departmentstoresofferabigofitems.A.kindB.varietyC.typeD.model20.Themorningflightistousaswewillarriveintimetoattendthea fternoonmeeting.A.directB.quickC.suitableD.inclusiveIII.Readingcomprehension:(20points)AAsshewalkedroundthehugedepartmentstore,Edithreflectedh owdifficultitwastochooseasuitableChristmaspresentf orherfather.Shewishthathewasaseasytopleaseashermother,whow asalwaysdelightedwithperfumeBesides,shoppongatthistimeoftheyearwasamostdisgreeableexpe rience:peopletrodonyourtoes,pokedyouwitht heirelbowsandalmostknockedyouoverintheirhastetogettoabarga inaheadofyou.Partlytohavearest,Edithpausedinfrontofacounterwheresome attracivetieswereondisplay."Theyarerealsilk,"thea ssistantassuredher,tryingtotempther."Worthdoubletheprice."But editknewfrompastexperiencethatherchoiceoftieshardlyeverpleasedherfather.Shemovedonreluctantlyandthenquitebychance,stoppedwhe reasmallcrowdofmanhadgatheredroundacounter. Shefoundsomegoodqualitypipesonsale-----andthepriceswereveryreasonable.Edithdidnothesitateforlong:alt houghherfatheronlysmokedapipeoccasionally,sheknewthatthiswasapr esentwhichwasbundtopleasehim.Whenshegothome,withhersmallwell-chosenpresentconcealedinherhandbag,herparentswerealreadyat thesuppertable.Hermotherwasinanespeciallycheerfulmood,"Yourfatherh asatlasttodecidedtostopsmoking."Sheinformedh erdaughter.21.Edith'sfather_______.A.didnotlikepresentB.nevergotpresentC.preferredtiesD.wasdifficulttochooseapresentfor22.TheassistantspoketoEdithbecausesheseemed_______.A.attractiveB.interestedintiesC.tiredD.inneedofcomfort23.Edithstoppedatthenextcounter_________.A.puroselyB.suddenlyC.unwillinglyD.accidentally24.Edith'sfathersmokedapipe_______.A.whenhewasobligedB.onsocialoccasionsC.fromtimetotimeD.whenhewasdelighted25.Shoppingwasverydisagreeableatthattimeoftheyearbecau se_______.A.coustomerstrodoneachother'stoesB.coustomerspokedeachotherwiththeirelbowsC.customersknockedeachotherD.customersweredoingtheirshoppinginagreathurryBIarrivedinLondonatlast.Therailwaystationwasbig,blackandda rk.Ididn'tknowthewaytomyhotel,soIaskedaporter.Ino tonlyspokeEnglishverycarefully,butveryclearlyaswell.Theporter,h owever,couldnotunderstandme.Irepeatedmyquestion severaltimesandatlastheunderstood.Heansweredme,buthespoke neitherslowlynorclearly."I'maforeigner,"Isaid.Thenhes pokeslowly,butIstillcouldn'tunderstandhim.Myteacherneverspok eEnglishlikethat.TheporterandIlookedateachotherand smiled.ThenhesaidsomethingandIunderstoodit."You'llsoonlearnE nglish,"hesaid.ItseemstomethatinEnglandeachmansp eaksadifferentlanguage.Englishmenunderstandeachother,butIdo n'tunderstandthem.DotheyspeakEnglish?26.Whycouldn'ttheporterunderstandthewriterwhenhespoke English?A.Becausehecouldn'tspeakidiomatic(地道的)English.B.BecausetheporterunderstandtheLondondialect(方言).C.BecausehespokenotBritishEnglishbutAmericanEnglish.D.Becausehewasaforeigner.27."InEngland,eachmanspeaksadifferentlanguage."Thewriter thinkssobecause_____.A.somepeoplespeakEnglish,whileothersdon'tB.hedoesn'tunderstandnativespeakersspeakEnglishC.noteveryEnglishmanspeaksEnglishD.eachEnglishmancanspeakseverallanguages28.Thispassageindicatesthatthebestwaytolearnaspokenlang uageistolearnit______A.fromnativespeakersB.intheclassroomC.overtheradioD.throughTVEarthquakeinCentral ChinaKills14BEIJING(AP)—Amagnitude(级别)5.7earthquakeshookpartofcentralChinaonSaturday,killedatlea st14peopleandinjurednearly400,theofficialsaid.TheofficialXinhuaNewsAgencysaidthequakehappenedaroun d9:00 a.m.localtime,withtheepicentre(震中)inRuichang,acityof420,000 inJiangxiprovince.Hundredsofhomescollapsed(倒塌)andthousandsweredamaged,Xinhuasaid.“Theearthquakethismorningwasquitescary,”saidashopkee perinRuichangreachedbytelephonewhowouldonl ygivehersurname—Zhou.ManypeopleinRuichangwerestayingoutsideforfearofaftersho cks(余震).Shesaidshefeltamildertremblingoftheeartharound1:00p.m.Tentsweresetupoutsideahospitaltreatingsomeofthe377injure d.TheUnitedStatesNationalEarthquakeInformationCentrerepor tedthequakewasmagnitude5.5.29.Wherecanwemostprobablyfindsuchapassage?A.Inasciencebook.B.Inanewspaper.C.Inamagazine.D.Inanadvertisement.30.Abouthowmanypeoplewerekilledandinjuredintheearthqu ake?A.14B.400C.414D.377IV.Fillingtheblanks(15points) Fillintheblankswiththeproperformofthewordsgiveninthebrackets.31.Youhavetowashthemastheyhavedifferentcolors.(separate)32.Everyonefeelsafterthefinals.(relax)33.EnglishisanlanguageofSouth Africa.(office)34.Youmusthaveapassporttopass.(custom)35.Thoughheistired,thetechnicianisstillverybusy.(experience)36.Couldyougiveussomeonwhatplacestosee?(suggest)37.StudentsshouldbecarefulinputtingtheirpersonalontheInte rnet.(particular)38.E-mailsareconsideredastheirfavoritemeansofbyyoungpeople.(com municate)39.I’dliketomakeafortwodoubleroomsonTuesday.(reserve)40.Lifeisfullofifyouarewell-prepared.(opportunity)V.Translation(25points)41.购物前弄清楚自己到底要买什么。
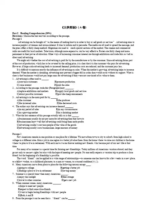
《大学英语》(A卷)Part I Reading Comprehension(30%)Directions:Choose the best answers according to the passage.Passage1Advertising can be thought of“as the means of making known in order to buy or sell goods or services”.Advertising aims to increase people’s awareness and arouse interest.It tries to inform and to persuade.The media are all used to spread the message,and the press offers a fairly cheap method.Magazines are used to reach special sections of the market.The cinema and commercial radio are useful for local markets.Television,although more expensive,can be very effective.Posters are fairly cheap and more permanent in their power of attraction.Other ways of increasing consumer interest are through exhibitions and trade fairs as well as direct mail advertising.We might ask whether the cost of advertising is paid for by the manufacturer or by the consumer.Since advertising forms partof the cost of production,which has to be covered by the selling price,it is clear that it is the customer who pays for advertising. However,if large scale advertising leads to increased demand,production costs are reduced,and the customer pays less.It is difficult to measure exactly the influence of advertising on sales.When the market is growing,advertising helps to increase demand.When the market is shrinking,advertising may prevent a bigger fall in scales than would occur without its support.What is clear is that businesses would not pay large sums for advertising if they were not convinced of its value to them.1、Advertising is often used to______.A)convince customers B)promote productionC)raise interest D)push the sales2、According to the passage,trade fair(Paragraph1)may_______.A)replace exhibitions and markets B)supply local goods and servicesC)attract possible customers D)provide cheap amusements3、Advertising is in the main paid for by______.A)the customer B)the producerC)the increased sales D)the decreased costs4、The author says that advertising can increase demand_______.A)in any period of sales B)in any circumstancesC)in a growing market D)in a shrinking market5、What the last sentence of this passage actually tells us is that______.A)businessmen usually do not pay more for advertising than they have toB)businessmen know well that advertising could bring them more profitsC)advertising couldn’t convince people of the value of the goodsD)advertising usually costs businessmen,large amounts of moneyPassage2Few Americans remain in one position or one place for a lifetime.We move from town to city to suburb,from high school to college in a different state,form a job in one region to a better job elsewhere,from the home where we raise our children to the home where we plan to live in retirement.With each move we are forever making new friends,who become part of our new life at that time.For many of us summer is a special time for forming new friendships.Today millions of Americans vacation abroad,and they go not only to see new sights but also with the hope of meeting new people.No one really expects a vacation trip to produce a close friend,but the beginning of a friendship is possible.The word“friend”can be applied to a wide range of relationships—to someone one has known for a few weeks in a new place, to a fellow worker,to a childhood playmate,to a man or woman,to a trusted confidant(知已)。
大学英语试卷考卷及答案大学英语试卷及答案一、单项选择1. I had neither a raincoat nor an umbrella. _____ I got wet through.A. It is the reason.B. That is whyC. There is whyD. It is how2. Whenever my uncle came to see me, he____ bring me some candy.A. willB. wouldC. wasD. should3. She is fond of____ stamps.A. collectB. to collectC. collectingD. collection4. ____you have any questions or needs, please contact the manager after 5:00 . on weekends.A. BecauseB. WhereC. IfD. Though5. This problem is____ his ability and I do not think he can solve it.A. toB. inC. beyondD. under6. Jack would rather spend time complaining than____ the problem by himself.A. solveB. solvedC. solvesD. solve7. It worried her a bit____ her hair was turning gray.A. whileB. thatC. ifD. for8. Can you make sure____ the gold ringA. where Alice had putB. where had Alice putC. where Alice has putD. where has Alice put9. ____the day went on, the weather got worse.A. WithB. SinceC. WhileD. As10. I t is required that anyone applying for a driver license____a set of tests.A. takeB. takesC. tookD. will take二、选词填空1. I fully agree to the arrangement and it.2. We make mistakes when we do things in a hurry.3. In spite of difficulties, they decided to with the work.4. Try to how many steps it will take to get to a close object.5. My grandmother was becoming more and more sad and frail as the years.6. It will be necessary to all the paint before applying a new layer.三、阅读理解It is so easy to earn rewards!A wide range of partners whether you goTo make traveling even easier, Air France offers you Frequency Plus(常旅客里程奖励计划)through an extensive network of our partners. T ogether, they give you endless opportunities to earn Miles and a wide choice of Rewards, from airline tickets, hotel room-nights, car rentals and more.Partners in ChinaIf you are a Frequency Plus member registered in china, you have even more choices with rewards from our local partners. For more information, please contact your local Air France office.First rewards start as low as 20,000 Miles!Your Temporary CardStart earning the Miles that will make you get your first Reward, nowa)Show your Temporacy Card and simply give your Card number when making a reservationand at check-in for your flight. In this way, you will begin to earn Miles even before receiving your Permanent Card.b)Fill in and return your personal membership(会员) application today. Yourapplication must be received within 3 weeks of your flight.Remember, you will enjoy an extra 3,000 Bonus Miles(额外奖励历程) for your fist trip with Air France within 6 months of joining. Fly today and earn Rewards sooner!1. Air France carries out its Frequency Plus_____.A. through its reduced ticket pricesB. through its extensive network of partnersC. by providing convenient flight schedulesD. by offering excellent services on board2. In order to get the first reward, passengers must fly at least____.A. for 6 monthsB. 20,000 milesC. 3,000 bonus MilesD. once in three weeks3. Passengers can begin to earn Miles_____.A. if they reserve tickets at a hotelB. if they buy tickets at the airportC. before receiving the Permanent CardD. after receiving the Permanent Card4. Passengers should send their application to Air France____.A. upon receiving the application formB. within 3 weeks of their first flightC. before their first flight with Air FranceD. within 6 months of joining the program5. The extra bonus Miles for a passenger first trip with Air France within 6 monthsof joining is____.A. 2,000 milesB. 3,000 milesC. 20,000 milesD. 30,000 miles四、完型填空If you were to begin a new job tomorrow, you would bring with you some basic strengths and weaknesses. Success or 1 in your work would depend, to 2 great extent,3 your ability to use your strengths and weaknesses to the best advantage. 4the utmost importance is your attitude. A person 5 begins a job convinced thathe isn't going to like it or is 6 that he is going to ail is exhibiting a weaknesswhich can only hinder his success. On the other hand, a person who is secure 7 his belief that he is probably as capable 8 doing the work as anyone else andwho is willing to make a cheerful attempt 9 it possesses a certain strengthof purpose. The chances are that he will do well。
《大学英语》期末考试试卷附答案第一部分交际用语(10分)1—5小题:阅读下面的小对话,从A、B、C三个选项中选出一个能填入空白处的最佳选项,并在答题纸上写出所选的字母符号。
(每题2分,共10分)1. ---- My mother is retired. My father is a manager.A.What do your parents do?B. Where are your parents?C. What are your parents doing right now?2. -- What time does the train leave?A. On Tuesday.B. In the morning.C. At half past five.3. -- Excuse me, how do I get to the gym, please?A. You take the number 66 bus from the supermarket.B. You get off outside the supermarket.C. I'd like to see them.4. -- What does your sister look like?A. She likes singing.B. She's tall and wears glasses.C. She looks depressed.5. -- Would you like to go with us?A. I'd love to.B. I would like.C. It's fine to go.第二部分词汇与结构(40分)6—25小题:阅读下面的句子和对话,从A、B、C三个选项中选出一个能填人空白处的最佳选项,并在答题纸上写出所选的字母符号。
(每题2分,共40分)6. John is only accountant in my son's company.A.aB. anC. the7. There four children in the picture.A. isB. areC. have8. We often have supper at home.A. usB. ourC. ours9. Chris worried about the presentation last week?A. IsB. WasC. Were10. I sometimes go to the pub Friday.A. onB. inC. at11. London is capital of Britain, and it is great city, too.A. the, aB. a, theC. a,a12. Have you got cream, please?A. someB. anyC./13. Lily and Lucy are a picture-book in their room.A. lookingB. watchingC. reading14. I have two brothers. One is a driver, is a policeman.A. oneB. otherC. the other15.- is the man near the bank? -- Oh, he is Tom.A. WhatB. WhoC. How16. Which is , the Yangtze River or the Yellow River?A. a bit longB. longerC. more long17. I'm sorry she's not in. Would you like to a message?A. keepB. restC. leave18. He goes to work foot but comes back home taxi.A. on, byB. by, onC. by, by19. My aunt for her friends at home.A. enjoys cookingB. enjoys to cookC. enjoy cooking20. does the flat cost a month?A. How manyB. How muchC. How about21. Rose is than Frank.A. very easy-goingB. much easy-goingC. much more easy-going22. He is a good student. He early.A. come alwaysB. always comesC. always come23.- I like documentaries on TV. -- So I.A. amB. doC. have24. I buy any wine.A. need notB. don~t needC. don't need to25. When for London?A. is she flyingB. she fliesC. she is going to fly第三部分阅读理解(20分)26—30小题:阅读下列短文,从A、B、C三个选项中选出厂个正确答案,并在答题纸上写出所选的字母符号。
《大学英语》试卷考试时间:90分钟闭卷任课老师:班级:学号:姓名:成绩:Ⅰ.Match the words in column A with the explanations in column B. (15 points)Column A Column B1.term a.. easy to get to2.department b. accept sth.as true3.overseas c. give great pleasure to4.charge d. one of several division in a university, etc.5.worth e. abroad6.believe f. one of the periods into which the academicyear is divided7.somewhat g.. become less tense; rest8.convenient h.. good of useful enough to do or have9.relax i. responsibility, care or control10.delight j. a littleII.Multiple choice questions (15 points)There are five sentences in this section. Beneath each sentence there are four choices marked A, B, C and D. Choose one or more that you think are suitable. 11. Take your camera with you. We’d like to take some of the beautiful park.A. paintingsB. picturesC. filesD. films12. The is very useful. She can helps me to find many good books.A. employerB. memberC. monitorD. librarian13. Small cars are of fuel, so they have more appeal for consumers.A. freeB. shortC. typicalD. economical14. Next Sunday is her birthday.I ______her a bicycle as a present.A.allowB.giveC.offerD.promise15. I was in s small countryside in China.A. brought upB. bring upC. raised upD. raise up16. Miss Yang is likely to be for promotion.A. sentB. recommendedC. advisedD. reported17. The number of people invited _________ fifty, but a number of them___________ absent for different reasons.A.were; wasB. was; wasC. was; wereD.were; were18. Chinese arts are great interest many foreigners.A. in…toB. of…toC. in…inD. of…in19. Department stores offer a big of items.A. kindB. varietyC. typeD. model20.The morning flight is to us as we will arrive in time to attend theafternoon meeting.A.directB. quickC. suitableD. inclusiveIII.R eading comprehension: (20 points)AAs she walked round the huge department store,Edith reflected how difficult it was to choose a suitable Christmas present for her father.She wish that he was as easy to please as her mother, who was always delighted with perfume Besides,shoppong at this time of the year was a most disgreeable experience :people trod on your toes,poked you with their elbows and almost knocked you overin their haste to get to a bargain ahead of you.Partly to have a rest, Edith paused in front of a counter where some attracive ties were on display. "They are real silk," the assistant assured her, trying to tempt her. "Worth double the price." But edit knew from past experience that her choice of ties hardly ever pleased her father.She moved on reluctantly and then quite by chance, stopped where a small crowd of man had gathered round a counter. She found some good quality pipes on sale-----and the prices were very reasonable. Edith did not hesitate for long : although her father only smoked a pipe occasionally, she knew that this was a present which was bund to please him.When she got home,with her small well-chosen present concealed in her handbag, her parents were already at the supper table. Her mother was in an especially cheerful mood, "Your father has at last to decided to stop smoking." She informed her daughter.21.Edith's father _______.A.did not like presentB.never got presentC.preferred tiesD.was difficult to choose a present for22.The assistant spoke to Edith because she seemed_______.A.attractiveB.interested in tiesC.tiredD.in need of comfort23.Edith stopped at the next counter_________.A.puroselyB.suddenlyC.unwillinglyD.accidentally24.Edith's father smoked a pipe_______.A.when he was obligedB.on social occasionsC.from time to timeD.when he was delighted25.Shopping was very disagreeable at that time of the year because_______.A.coustomers trod on each other's toesB.coustomers poked each other with their elbowsC.customers knocked each otherD.customers were doing their shopping in a great hurryBI arrived in London at last. The railway station was big, black and dark. I didn't know the way to my hotel, so I asked a porter. I not only spoke English very carefully, but very clearly as well. The porter, however, could not understand me. I repeated my question several times and at last he understood. He answered me, but he spoke neither slowly nor clearly. "I'm a foreigner," I said. Then he spoke slowly, but I still couldn't understand him. My teacher never spoke English like that. The porter and I looked at each other and smiled. Then he said something and I understood it. "You'll soon learn English," he said. It seems to me that in England each man speaks a different language. Englishmen understand each other, but I don't understand them. Do they speak English?26. Why couldn't the porter understand the writer when he spoke English?A. Because he couldn't speak idiomatic(地道的)English.B. Because the porter understand the London dialect(方言).C. Because he spoke not British English but American English.D. Because he was a foreigner.27."In England, each man speaks a different language." The writer thinks so because _____.A. some people speak English, while others don'tB. he doesn't understand native speakers speak EnglishC. not every Englishman speaks EnglishD. each Englishman can speak several languages28. This passage indicates that the best way to learn a spoken language is to learn it ______A. from native speakersB. in the classroomC. over the radioD. through TVEarthquake in Central China Kills 14BEIJING (AP)—A magnitude (级别) 5.7 earthquake shook part of central China on Saturday, killed at least 14 people and injured nearly 400, the official said.The official Xinhua News Agency said the quake happened around 9:00 a.m. local time, with the epicentre(震中) in Ruichang, a city of 420,000 in Jiangxi province.Hundreds of homes collapsed(倒塌) and thousands were damaged, Xinhua said.“The earthquake this morning was quite scary,”said a shopkeeper in Ruichang reached by telephone who would only give her surname—Zhou.Many people in Ruichang were staying outside for fear of aftershocks (余震).She said she felt a milder trembling of the earth around 1:00 p.m.Tents were set up outside a hospital treating some of the 377 injured.The United States National Earthquake Information Centre reported the quakewas magnitude 5.5.29.Where can we most probably find such a passage?A. In a science book.B. In a newspaper.C. In a magazine.D. In an advertisement.30. About how many people were killed and injured in the earthquake?A. 14B. 400C. 414D. 377IV.Filling the blanks (15 points )Fill in the blanks with the proper form of the words given in the brackets.31. You have to wash them as they have different colors.( separate)32. Everyone feels after the finals. ( relax )33. English is an language of South Africa. ( office )34. You must have a passport to pass . (custom)35. Though he is tired, the technician is still very busy.( experience )36. Could you give us some on what places to see? ( suggest )37. Students should be careful in putting their personal on the Internet.( particular)38. E-mails are considered as their favorite means of by young people.( communicate)39. I’d like to make a for two double rooms on Tuesday. ( reserve )40. Life is full of if you are well-prepared. ( opportunity )V.Translation ( 25 points )41.购物前弄清楚自己到底要买什么。
大学英语考试练习试题及答案(试卷版)一、交际英语1.- How do you like our city?- _________A.I came here by plane.B.Oh, I love it. It's so exciting.C.It's quite difficult to answer.D.What do you think of it?答案:B2.- Are you going on holiday for a long time? - _________A.It was a long time.B.Two weeks ago.C.No. Only a couple of days.D.Not long time ago.答案:C3.- Thank you ever so much for your lovely gift. - _________A.Never mindB.I'm glad you like it.C.Please don't say so.D.No, It's not so good.答案:B4.- What day is today?- _________A.It's March 6.B.It's a fine day today.C.It's March.D.It's Monday.答案:D5.- Thank you for your invitation.- _________A.It doesn't matter.B.It's a pleasure.C.It's a small thing.D.I'll appreciate it.答案:B二、阅读理解My grandparents can be good fun. They are retired, so they don't workanymore. My grandfather is 68 and my grandmother is 67, but they are not tooold to be active. They exercise by playing golf and they go out for mealsand to the theater. Sometimes they take me out, too. We have a good time. Theyalso go on great holidays. Last year, they went to China and walked along theGreat Wall!Sometimes, my grandparents like to criticize me. They think that childrentoday have an easy life. Life was very different when they were young and thereare many things about my life that they do not understand. They tell me, overand over, how they had to start work at 16. They know that I will go on touniversity and won't be getting a job until I am 22! They also think that Ihave too many possessions, such as mobile phones, computers and PSPs. When theywere young, they did not have anything like that. What they do not realize isthat they cannot compare children at present time. They had the same kinds ofthings as the rest of people of their age, so do I. It would be very strange ifI only had the possessions that they had when they were my age.6.My grandparents sometimes criticize me. One reason is that childrentoday have an easy life.A.TB.F答案:A7.Grandparents don't work anymore because they are tired.A.TB.F答案:B8.Grandparents had the same kinds of things as people of their age whenthey were young.A.TB.F答案:A9.The sentence "but they are not too old to be active" meansthat they are old, so they are not active.A.TB.F答案:B10.My grandparents don't understand many things about my life.A.TB.F答案:AWhen I was a little girl, my brothers and I collected stamps for manyyears. My mother didn't use to work during the week, but she worked in the postoffice near our house on Saturdays, and she used to bring home all the newstamps as soon as they were issued (发行).On the day of the World Cup football final in London in 1966, we were veryexcited because England were playing West Germany in the final. When we werehaving lunch, my mother toldus to go to the post office straightaway after thematch if England won, but she didn't tell us why. At 2 o'clock my mother wentback to work as usual, while the rest of the family were watching the footballon TV at home. Although she wasn't watching the match, she was listening to iton the radio.England won 4:2 and so my brothers and I ran to the post office. As weburst in, my mother was standing behind the counter. She was waiting to sell usa very special limited edition with ENGLAND WINNERS on each stamp. Wewere over the moon.We still have it today,and perhaps it is worth a lot of money.1)、This passage mainly tells us ______.A.the author and her brother used to like stamps very muchB.the author had a very kind motherC.the author and her brothers had an unforgettable experience incollecting stampsD.their mother used to support them by working in the post office答案:C2)、According to the passage, her mother workedin the post office ______.A.during the weekB.on SaturdaysC.on SundaysD.for six days答案:B3)、Their mother told them to go to the postoffice straightaway after the match if England won, but she didn't tell themwhy. Why do you think she did that?A.She wanted to give them a surprise.B.She doubted if she would get the stamps.C.She forgot to do that.D.She thought it unnecessary to tell them the reason.答案:A4)、What does the sentence "We were over themoon." mean?A.We jumped high.B.We were extremely happy about it.C.We watched the moon for a long time.D.We couldn't sleep the whole night.答案:B5)、What is the best title for this passage?A.My ChildhoodB.My MotherC.A Precious StampD.A Memorable Experience in Collecting Stamps答案:D三、词汇与语法16.We offered him our congratulations _______ his passing the collegeentrance exams.A.atB.onC.forD.of答案:B17.It was not ________ midnight that they discovered the children were notin their bedroom.A.beforeB.atC.afterD.until答案:D18.The workers are busy ____models for the exhibition.A.to makeB.with makingC.being makingD.making答案:D19.His mother _____alone since his father died.A.livedB.livesC.has livedD.is living答案:C20.The harder you study, ____ you will learn.A.muchB.manyC.the moreD.much more答案:C四、完型填空Mumu is a Chinese boy. But now he___21__in the UK. He lives and ___22__with Mr and Mrs Green in London. They are very nice to him. But they likedifferent food.For breakfast, Mr and Mrs Green would like milk, eggs and some vegetables,sometimes they have fruits. Mumu would like milk and eggs, but he wouldn't likevegetables at the breakfast time.Lunch is at one ___23___. Mr and Mrs Green usually have large hamburgers.Mumu doesn't like them. He thinks they're ___24___. He would like some rice.After that, he'd like some fruits. ___25___ Mr and Mrs Green usually haveafternoon tea.For dinner, Mr and Mrs Green have soup, beef, vegetables and fruit. Mumuwouldn't like any beef, he'd like some noodles.21.A.eatsB.isC.ButD.o'clockE.bad答案:B22.A.eatsB.isC.ButD.o'clockE.bad答案:A23.A.eatsB.isC.ButD.o'clockE.bad答案:D24.A.eatsB.isC.ButD.o'clockE.bad答案:E25.A.eatsB.isC.ButD.o'clockE.bad答案:C五、英译汉26.Would you mind waiting outside?答案:请你在外面等,好吗?27.Jim will go to his teacher whenever he has questions.答案:吉姆一有问题就找他的老师。
《大学英语》试卷及答案学号: 姓名:专业层次:分数:一.单项选择题(本大题共15小题,每小题2分,共30分)1。
The Business Banking Department is on_____C_______second floor。
A。
/ B。
aC。
the2. Maria often has a walk with______C______parents in the morning。
A. sheB。
theirC。
her3. There_____B_______four children in the picture。
A. is B。
are C。
have4。
I'd like______A______oranges,please。
A。
some B。
anyC。
/5. ______B______does the flat cost a month?A。
How manyB。
How much C。
How about6. I’m bad at spelling,but Jane is_____B_______than me。
A。
badB。
worse C。
less7。
He______B______in Beijing, but his parents____________in Hangzhou。
A。
live,lives B。
lives, live C. live,live8。
—I'm enjoying the long summer evenings.-____A________am I。
A。
So B。
NeitherC。
Nor9. I usually get up_____A_______7 o’clock in the moring。
A.at B。
in C. on10。
It often______B______in winter in the north of China。
A。
snow B。
大学英语(3)一、单项选择题(本大题共60分,共 60 小题,每小题 1 分)1. You’d better not ( ) every word in the dictionary while you are reading the articles.A. look forB. look outC. look alikeD. look up2. The reason for all the changes being made ( ) to us.A. explainedB. had explainedC. was explainedD. were explained3. I can’t ( ) her endless complaint noise a moment longer.A. endureB. hearC. shareD. quarrel4. There can be no doubt ( )it was Keats that-composed the poems recited at the English evening.A. whoB. thatC. as toD. about whom5. It ( ) twelve o’clock now; there is nobody in the street.A. can beB. will beC. should beD. must be6. I’ll never get married—I don’t want to spend my life surrounded by dirty washing and ().A. A children screamingB. B screaming childrenC. C screamed childrenD. D children screamed7. They said they were happy they had put their trust ( ) me.A. inB. onC. onD. to with8.I''''ll never forget () the Alps for the first time. The sight was impressive.A. A seeB. B to seeC. C seenD. D seeing9. At an ( ) moment I’ll offer the visitors some coffee.A. appreciateB. acknowledgedC. approximateD. appropriate10. When ( ) the childhood, I can’t help thinking of my grandmother, who had given me endless love and care.A. looking towardsB. looking back onC. playing backD. reminding of11. “I’ll buy this car," the customer said, " if you''ll ( ) check for the money."A. acceptB. takeC. haveD. receive12. Albert ( ) his homework yesterday, so he couldn''t come to the party.A. must doB. may have doneC. ought to doD. had to do13. People of all ( ) would like their tax payment to be reasonably used for their benefit.A. rangesB. ranksC. stagesD. scans14. She could not move with her shirt ( ) on a nail.A. was caughtB. to be caughtC. caughtD. have been caught15. If you want to say you love someone, it’s best to do this ( ).A. in privateB. in personC. to privateD. to person16. We ( ) that it was a trick to get our money.A. surprisedB. suspectedC. surveyedD. suggested17.Beethoven is my favorite musician. I regard him as () other musicia ns.A. A superior toB. B more superior thanC. C more superior toD. D superior than18. Let''''s have a cup of coffee while watching TV, ( ) ?A. will youB. do youC. shall weD. do we19. Poultry ( ) expensive in this city.A. isB. areC. wasD. has been20. I shall show you my photographs as soon as they ( ) ready.A. will beB. will have beenC. have beenD. are21. The students ( ) to the President about the bad food in the canteen.A. contributedB. indicatedC. submittedD. complained22. He is not ( ) he used to be.A. whatB. thatC. whenD. like23. Mary ( ) be in Paris because I saw her in town only an hour ago.A. mustn''tB. can''tC. isn''tD. may not24. The piece of wood was ( ) down the river.A. fallingB. driftingC. swimmingD. floating25. The company offers a great ( ) of services to students.A. varietyB. varyC. variousD. variously26.We welcome rain, but a (an)() large amount of rainfall will caus e floods.A. A extensivelyB. B extremelyC. C speciallyD. D constantly27. The furniture in her room is quite different from ( ) in the exhibition hail.A. thatB. one thatC. onesD. those ones28. We’re workin g hard, so the job ( ) by tomorrow evening.A. has doneB. has been doneC. will have be doneD. will do29. His application for the executive position in that world-famous corporation has been turned down () inadequate experience in management.A. A in the name ofB. B on the grounds ofC. C in the light ofD. D for the purpose of30. Helen has a good imagination; she can make up ( ) stories.A. eleganceB. marvelousC. tremendousD. adventurous31. If you ( ) that late movie last night, you wouldn’t b e sleepy now.A. hadn’t watchedB. didn’t watchC. haven’t watchedD. wouldn’t have watched32. There was so much noise that the speaker couldn''t make himself( ) .A. heardB. hearingC. hearD. to hear33. The number of errors ( ) surprising.A. will beB. wereC. have beenD. was34. My brother has just arrived, but I didn’t know he ( ) to see me until yesterday afternoon.A. comeB. cameC. was comingD. is coming35. He didn’t go out to play ( ) he had finished his homework.A. untilB. ifC. sinceD. but36. Power station employ ( )water to produce electricity.A. dropB. droppingC. fallenD. falling37. ( ) the labs, we were taken to see the library.A. ShowingB. Be ShownC. Having been shownD. Being shown38.() what you intended, I should not have wasted my time trying to ex plain matters to you.A. A I had realizedB. B Had I realizedC. C Realized had ID. D Had realized I39. ( ) you missed the train, why not stay for lunch?A. AsB. BecauseC. NowD. Now that40. Sarah is the only one of the young girls who ( ) in the band.B. playsC. is playedD. play with41. We’ll be more than happy to have you here as the guests; that’sa ( ) invitation.A. bearingB. enduringC. toleratingD. standing42. A power failure completely ( )the cake Judy was bakingA. damagedB. hurtC. spoiledD. harm43. “Sorry, I’m late, Sir,” “You ( ) earlier.”A. must have comeB. can have comeC. will have comeD. should have come44. Mr. Kenny has not yet returned my bo oks, but when ( ) I’ll lend them to you.A. they areB. he hasC. they doD. he does45. ( ) table tennis was accepted as a regular part of the Olympic Games.A. Not until 1986 thatB. It was in 1986 whenC. It was not until 1986 thatD. It was until 1986 that46. You may ( ) do it yourself ( ) leave,it to meA. both…andB. neither … norC. whether…orD. either… or47. The president, along with his wife and daughter, ( ) a visit to China.A. are payingB. is payingC. payD. have been paying48. He warned them that the rules should be kept, not ( )B. objectedC. committedD. refused49. It has been quite difficult for her to ( ) since her husband died last year.A. get inB. get acrossC. get overD. get by50. It is a common theme in my fiction stories that the world may one day be ( ) by insectsA. broken inB. run overC. taken overD. filled in51. Never ( ) him in such a good mood.A. have foundB. I FindC. have I foundD. found I52. The old man said that he was opposed ( ) the marriage of his son.A. byB. toC. fromD. against53.Sometimes earthquakes cause tidal waves and, () in the case of Japa n, these can be dangerous.A. A asB. B likeC. C such asD. D just like54. Never before ( ) felt himself so powerfully attracted to the creative idea.A. he hadB. had heC. he hasD. has he55. Distance Education affords me an opportunity to ( ) my own goals and personal work.A. pursueB. persuadeC. promoteD. gain56. You’d better have ( ) for this plan in case it is rejected bythe committee.A. agriculturesB. alternativesC. aptitudeD. attitude57. The way we choose to bring up our children is of ()importance.A. A vitalB. B vagueC. C vividD. D vigorous58. She was greatly shocked by the way ( ) things were done in that country.A. whatB. whichC. by whichD. in which59. I managed those four years without ever having a friend ( ) my house.A. to visitB. visitingC. visitedD. visit60. My brother seldom does his homework in the morning , ( ) .A. so does TomB. Tom is tooC. nor does TomD. Tom doesn’t too二、阅读理解单项选择题(本大题共40分,共 4 小题,每小题 10 分)1. How can English teachers accelerate the language learning of their students? One way is to teach students how to learn more effectively and efficiently. Learning strategies are "Procedures or techniquesthat learners can use to facilitate a learning task." Instructing students of English in learning strategies can help them becomebetter learners. In addition, skill in using learning strategies assists students in becoming independent, confident learners. Finally, students become more motivated as they begin to understand the relationship between their use of strategies and success in learning English. Students need to develop an awareness of the learningprocess and strategies that lead to success. Students who reflect on their own thinking are more likely to engage in planning how to proceed with a learning task, monitoring their own performance on an ongoing basis, finding solutions to problems encountered, andevaluating themselves upon task completion. These activities may be difficult for students accustomed to having a teacher who solves all their learning problems and is the sole judge of their progress. Teachers need to encourage students to rely more on themselves. Because learning strategies are mental processes with few observable manifestations, teachers need to find ways to make the strategies as concrete as possible. When students are able to use the strategies their teachers have taught them, and to do so without prompting, then they need to explore new strategies, new applications, and new opportunities for self-regulated learning.(1). Better learning strategies can make language learning more( ).A. funB.interestingC.efficientD.exciting(2). Students who reflect on their own ( )will be more successful in learning.A. thinkingB.evaluationC.performanceD. activities(3). Teachers should encourage students to rely more on ( )A. booksB.notesC.tutorsD.themselves(4). Learning strategies are unobservable mental processes, so teachers should make them ( )A.simplerB.more familiarC.more concreteD. more applicable(5). Which of the following statements is true? ( )A. Students learn learning strategies from the teachers only.B.Learning strategies are completely unobservable.C.Students need to explore new learning strategies for themselves.D.Teache rs are the sole judges of students’ progress.2. Most animals have little connection with animals of different kind, unless they hunt them for food. Sometimes, however, two kinds of animals come together in a partnership ( 伙伴关系 ) which does goodto both of them. You may have noticed some birds sitting on the backs of sheep. This is not because they want a ride, but because they find easy food in the parasites (寄生虫 ) on sheep. The sheep allow the birds to do so because they remove the cause of discomfort. So although they can manage without each other, they do better together. Sometimes an animal has a plant partner. The relationship develops until the two partners cannot manage without each other. This is so in the corals (珊瑚) of the sea. In their skins they havetiny plants act as "dustman", taking some of the waste products form the corals and giving inreturn oxygen which the animal needs to breathe. If the plants are killed, or are ever prevented from lighting so that they cannot live normally, the corals will die.(1). Some birds like to sit ona sheep because ( ).A. they can eat its parasitesB. they depend on the sheep for existenceC. they enjoy traveling with the sheepD. they find the position most comfortable(2). The underlined word "they" in the last sentence of the first paragraph refers to ( ).A. birds and parasitesB. birds and sheepC. parasites and sheepD. sheep, birds and parasites(3). What does the second paragraph mainly discuss? ( )A. Some animals and plants depend on each other for existence.B. Some animals and plants develop their relationship easily.C. Some plants depend on each other for fooD. Some animals live better together.(4). What does this article talk about? ( )A. Two kinds of animals for a partnership.B. Most animals only have connection with animals.C. The connection between the living things.D. Corals have some connection with plants.3. Exercise is one of the few factors with a positive role in long-term maintenance of body weight. Unfortunately, that message has not gotten through to the average American, who would rather try switching to “light” beer and low-calorie bread than increase physical exertion. Doctors found that less than one-fourth of overweight adults who were trying to reduce weight said they were combining exercise with their diet.Still, exercise’s supporting role in weight reduction is necessary.A study confirmed that those who dieted without exercise regained almost all their old weight, while those who worked exercise into their daily routine maintained their new weight.If you have been sedentary and decide to start walking one mile a day, the added exercise could burn an extra 100 calories daily. In a year’ time, assuming no increase in food intake, you could lost ten pounds. By increasing the distance of your walks gradually and making other dietary adjustments, you may lose even more weight.(1). According to the passage, what is the advantage of exercise mentioned by the author? ( )A. It can help you keep good health.B.It can help you maintain body weight.C. It can help you get rid of illness.D.It can help you find a good job.(2). When American people decided to lose their weight, what would they rather try? ( )A. To do exercise.B. To try some “light” beer.C. To try some “light” beer and low-calorie bread.D. To try both A and C.(3). The following statements are true except ( ).A. If people try some special food such as “light” beer when they want to lose weight, they would not regain their old weight.B. Both the diet and exercise play an important role in losing weight.C. Few American people who were trying to reduce weight would do exercise with their diet.D. If people walk one mile daily, and keep doing so for one year with diet, he would lost tenpounds.(4). The word “reduce” (Para. 1 ) probably means ( ).A. decreaseB. loseC. lessenD. cut down(5). This passage is mainly about ( ).A. the meaning of exerciseB. the way to reduce weightC. the relation between lose weight and exerciseD. the importance of losing weight4. Bill Gates, the head of the world’s biggest computer softwarecompany, the Microsoft Corporation, has a mission: “to put a computer on every office desk and in every home”. Bill Gates has had this mission since he was a university student years ago. This deep personal interest, together with his technical skills and his business marketing skills helped him to create a giant computer company and to make him wealthy.Although he is so wealthy, Bill Gates does not want to give up. He is still very interested in his vision and he travels the globe, making quick stops in cities to sell the new software products of his company.The central vision of Bill Gates is the “information highway”. This is a network for computers that will link every home, office and shop in the future. This computer network system will have an effect on business, shopping and education. Bill Gates says that the main use of this new technology will be in communication. It will be a way to find people with common interests and to share opinions with them. But is this communication by computer along the “information highway” really a good thing? Won’t we be sitting at home, only “socializing” with our computer, paying big compani es money so that we can receive information that some large communication corporation somewhere had decided is “acceptable” for us to read? No, says Bill Gates, he thinks that the phrase “information highway” is aterrible phrase. It makes people think that we are all going down the same road, he says. In fact, the computer network will let us choose our own intellectual direction. It will give us freedom. It will also bring good to society, because it will allow for the spread of education. When more and more people receive education, the gap between the rich and the poor will narrow.In the meantime, however, the gap between the rich and the poor is still there. To be added to this now is the gap between those with computers and those without.(1). Ever since he was a college student, Bill Gates has ________.A. become very interested in the computerB. set up a goal to popularize the computerC. discovered great potentials in computer businessD. dreamed of having a giant computer company(2). Bill Gates’ success depends on the following except__________A. his vision and his travel over the globeB. his technical skills and business marketing skillsC. his deep personal interest in developing computer scienceD. his strong desire to make big money(3). The word “vision” ( para.3) probably means________.A. SightB. ideaC. effortD. daydream(4). The “information highway” will mainly be used _______A. in human communicationB. to help link every home, office and shopC. in business, shopping and educationD. to narrow the gap between the rich and the poor(5). The best title for this passage is probably _________A. Bill Gates, his Vision and MissionB. Computer and InformationC. Advantages of the Computer NetworkD. One of the World’s Computer Giants答案:一、单项选择题(60分,共 60 题,每小题 1 分)1. D2. C3. A4. B5. D6. B7. B8. D9. D 10. B 11. A 12. D 13. B14. C 15. B 16. B 17. A 18. C 19. B 20. D 21. D 22. A 23. B 24. B 25.A 26.B 27. A 28.C 29. B 30. B 31. A 32. A 33.D 34. C 35. A 36. D37. D 38. B 39. D 40. B 41. D 42. C 43. D 44. D 45. C 46. D 47. B 48.A 49. C 50. C 51.B 52. B 53. A 54. D 55. A 56. B 57. A 58. D 59. D60. B二、阅读理解单项选择题(40分,共 4 题,每小题 10 分)1.(1). C (2). A (3). D (4). C (5). C2.(1). A (2). B (3). A (4). C3.(1). B (2). C (3). A (4). B (5). C4.(1). B (2). D (3). B (4). A (5). A。
《大学英语》期末考试试卷附答案《大学英语》期末考试试卷附答案第一部分交际用语(10分)1—5小题:阅读下面的小对话,从A、B、C三个选项中选出一个能填入空白处的最佳选项,并在答题纸上写出所选的字母符号。
(每题2分,共10分)1. ---- My mother is retired. My father is a manager.A.What do your parents do?B. Where are your parents?C. What are your parents doing right now?2. -- What time does the train leave?A. On Tuesday.B. In the morning.C. At half past five.3. -- Excuse me, how do I get to the gym, please?A. You take the number 66 bus from the supermarket.B. You get off outside the supermarket.C. I'd like to see them.4. -- What does your sister look like?A. She likes singing.B. She's tall and wears glasses.C. She looks depressed.5. -- Would you like to go with us?A. I'd love to.B. I would like.C. It's fine to go.第二部分词汇与结构(40分)6—25小题:阅读下面的句子和对话,从A、B、C三个选项中选出一个能填人空白处的最佳选项,并在答题纸上写出所选的字母符号。
(每题2分,共40分)6. John is only accountant in my son's company.A.aB. anC. the7. There four children in the picture.A. isB. areC. have8. We often have supper at home.A. usB. ourC. ours9. Chris worried about the presentation last week?A. IsB. WasC. Were10. I sometimes go to the pub Friday.A. onB. inC. at11. London is capital of Britain, and it is great city, too.A. the, aB. a, theC. a,a12. Have you got cream, please?A. someB. anyC./13. Lily and Lucy are a picture-book in their room.A. lookingB. watchingC. reading14. I have two brothers. One is a driver, is a policeman.A. oneB. otherC. the other15.- is the man near the bank? -- Oh, he is Tom.A. WhatB. WhoC. How16. Which is , the Y angtze River or the Yellow River?A. a bit longB. longerC. more long17. I'm sorry she's not in. Would you like to a message?A. keepB. restC. leave18. He goes to work foot but comes back home taxi.A. on, byB. by, onC. by, by19. My aunt for her friends at home.A. enjoys cookingB. enjoys to cookC. enjoy cooking20. does the flat cost a month?A. How manyB. How muchC. How about21. Rose is than Frank.A. very easy-goingB. much easy-goingC. much more easy-going22. He is a good student. He early.A. come alwaysB. always comesC. always come23.- I like documentaries on TV. -- So I.A. amB. doC. have24. I buy any wine.A. need notB. don~t needC. don't need to25. When for London?A. is she flyingB. she fliesC. she is going to fly第三部分阅读理解(20分)26—30小题:阅读下列短文,从A、B、C三个选项中选出厂个正确答案,并在答题纸上写出所选的字母符号。
大学英语试卷考卷及答案一、选择题(每题2分,共30分)1. 下面哪个单词的重音在第二个音节上?A. The book was bought me.B. The book was bought me.C. The book bought me.D. The book was bought from me.A. responsibilityB. abilityC. possibilityD.reliability4. 请选择正确的介词填空:______ the morning, I usually go for a walk.A. OnB. InC. AtD. OfA. She is more taller than her sister.B. He runs faster than anyone else in his class.C. This book is more interesting than that one.D. My brother is more stronger than me.A. RunB. SingC. DanceD. KnowledgeA. I am eating breakfast now.B. She will go to the supermarket after lunch.C. They have finished their homework.D. He was watching TV yesterday evening.A. HappyB. HappinessC. HappenD. Happily9. 请选择正确的连词填空:______ you finish your homework, you can go out to play.A. BecauseB. IfC. AlthoughD. WhenA. I had finished my homework before dinner.B. She had gone to the library after class.C. They had eaten breakfast when I arrived.D. He had watched the movie last night.二、完形填空(每题2分,共20分)Without hesitation, Jack decided to (14) ______ the bean. He planted it in his garden and waited (15) ______ for the beanstalk to grow. The next morning, to his (16) ______, the beanstalk had grown tall enough to reach the sky.Jack climbed the beanstalk with great (17) ______ and finally arrived at the (18) ______. There, he found a giant who (19) ______ a golden harp. Jack knew that the harp was worth a fortune, so he (20) ______ it and climbed back down the beanstalk.11. A. lived in B. lived on C. lived with D. lived at12. A. grow B. grew C. growing D. to grow13. A. castle B. village C. forest D. mountain14. A. buy B. sell C. plant D. pick15. A. patiently B. angrily C. sadly D. happily16. A. surprise B. shock C. disappointment D. excitement17. A. courage B. fear C. sadness D. joy18. A. castle B. village C. forest D. mountain19. A. owned B. found C. lost D. stole20. A. borrowed B. took C. brought D. caught三、阅读理解(每题3分,共30分)The Importance of Learning EnglishOne of the main reasons why English is so important is that it is the (22) ______ language of the Internet. Most websites and online content are written in English. This means that if you want to access information from around the world, you need to be able to understand English.Another reason is that English is the (23) ______ language of science and technology. Many scientific papers and research studies are published in English. If you want to stay updated on the latest developments in your field, you need to be able to read and write in English.However, learning English is not an easy task. It requires time, effort, and dedication. Many people find it challenging to master the (25) ______ and grammar of English. But with the right methods and resources, anyone can一、选择题答案1. B2. A3. A4. B5. B6. D7. B8. A9. B10. A二、完形填空答案11. A12. A13. A14. A15. A16. A17. A18. A19. A20. B三、阅读理解答案21. international22. dominant23. primary25. vocabulary1. 语法知识被动语态:选择题第2题,完形填空第20题比较级:选择题第5题时态:选择题第7题,完形填空第11题连词:选择题第9题2. 词汇知识名词、形容词、动词辨析:选择题第6题、第8题介词:选择题第4题词义理解:完形填空第12题、第13题、第17题、第19题词汇运用:阅读理解第25题3. 阅读理解主旨大意:阅读理解第21题事实细节:阅读理解第22题、第23题、第24题推理判断:阅读理解第25题各题型知识点详解及示例:1. 选择题被动语态:正确答案为A,示例:The book was bought me.(这本书是我买的。
大学英语试卷及答案一、单项选择1. I had neither a raincoat nor an umbrella. _____ I got wet through.A. It is the reason.B. That is whyC. There is whyD. It is how2. Whenever my uncle came to see me, he____ bring me some candy.A. willB. wouldC. wasD. should3. She is fond of____ stamps.A. collectB. to collectC. collectingD. collection4. ____you have any questions or needs, please contact the manager after 5:00 p.m. on weekends.A. BecauseB. WhereC. IfD. Though5. This problem is____ his ability and I do not think he can solve it.A. toB. inC. beyondD. under6. Jack would rather spend time complaining than____ the problem by himself.A. solveB. solvedC. solvesD. solve7. It worried her a bit____ her hair was turning gray.A. whileB. thatC. ifD. for8. Can you make sure____ the gold ring?A. where Alice had putB. where had Alice putC. where Alice has putD. where has Alice put9. ____the day went on, the weather got worse.A. WithB. SinceC. WhileD. As10. I t is required that anyone applying for a driver license____ a set of tests.A. takeB. takesC. tookD. will take二、选词填空1. I fully agree to the arrangement and it.2. We make mistakes when we do things in a hurry.3. In spite of difficulties, they decided to with the work.4. Try to how many steps it will take to get to a close object.5. My grandmother was becoming more and more sad and frail as the years.6. It will be necessary to all the paint before applying a newlayer.三、阅读理解It is so easy to earn rewards!A wide range of partners whether you goTo make traveling even easier, Air France offers you Frequency Plus(常旅客里程奖励计划)through an extensive network of our partners. Together, they give you endless opportunities to earn Miles and a wide choice of Rewards, from airline tickets, hotel room-nights, car rentals and more.Partners in ChinaIf you are a Frequency Plus member registered in china, you have even more choices with rewards from our local partners. For more information, please contact your local Air France office.First rewards start as low as 20,000 Miles!Your Temporary CardStart earning the Miles that will make you get your first Reward, nowa)Show your Temporacy Card and simply give your Card number when making areservation and at check-in for your flight. In this way, you will begin to earn Miles even before receiving your Permanent Card.b)Fill in and return your personal membership(会员) application today. Yourapplication must be received within 3 weeks of your flight.Remember, you will enjoy an extra 3,000 Bonus Miles(额外奖励历程) for your fist trip with Air France within 6 months of joining. Fly today and earn Rewards sooner!1. Air France carries out its Frequency Plus_____.A. through its reduced ticket pricesB. through its extensive network of partnersC. by providing convenient flight schedulesD. by offering excellent services on board2. In order to get the first reward, passengers must fly at least____.A. for 6 monthsB. 20,000 milesC. 3,000 bonus MilesD. once in three weeks3. Passengers can begin to earn Miles_____.A. if they reserve tickets at a hotelB. if they buy tickets at the airportC. before receiving the Permanent CardD. after receiving the Permanent Card4. Passengers should send their application to Air France____.A. upon receiving the application formB. within 3 weeks of their first flightC. before their first flight with Air FranceD. within 6 months of joining the program5. The extra bonus Miles for a passenger first trip with Air France within 6 monthsof joining is____.A. 2,000 milesB. 3,000 milesC. 20,000 milesD. 30,000 miles四、完型填空If you were to begin a new job tomorrow, you would bring with you some basic strengths and weaknesses. Success or 1 in your work would depend, to 2 great extent, 3 your ability to use your strengths and weaknesses to the best advantage. 4 the utmost importance is your attitude. A person 5 begins a job convinced that he isn't going to like it or is 6 that he is going to ail is exhibiting a weakness which can only hinder his success. On the other hand, a person who is secure 7 his belief that he is probably as capable 8 doing the work as anyone else and who is willing to make a cheerful attempt 9 it possesses a certain strength of purpose. The chances are that he will do well。
大学英语试卷试题及答案一、听力理解(共20分)1. 根据所听对话,选择正确的答案。
(每题2分,共10分)(1) A) 8:00 B) 9:00 C) 10:00(2) A) 5 dollars B) 10 dollars C) 15 dollars(3) A) At a restaurant B) At a library C) At a park(4) A) To buy a gift B) To meet a friend C) To go to a concert(5) A) Sunny B) Rainy C) Cloudy2. 根据所听短文,回答问题。
(每题2分,共10分)(1) What is the main topic of the passage?A) The importance of exerciseB) The benefits of a healthy dietC) The impact of stress on health(2) What does the speaker suggest as a way to reduce stress?A) Regular exerciseB) A balanced dietC) Adequate sleep(3) According to the passage, which of the following is NOT a sign of stress?A) Difficulty sleepingB) Increased appetiteC) Feeling anxious(4) What is the relationship between stress and the immune system?A) Stress weakens the immune systemB) Stress strengthens the immune systemC) There is no relationship between stress and the immune system(5) What is the speaker's overall message?A) To live a stress-free lifeB) To manage stress effectivelyC) To avoid all sources of stress二、阅读理解(共30分)1. 阅读以下短文,选择正确的答案。
大学英语试题及答案一、交际英语1。
- Can I help you, sir?- _________A。
No,I don’t need your help。
B。
Yes。
I'd like to withdraw some money。
C.Well,leave me alone.D.Don't bother me!答案:B2。
— I wonder if I could use your computer tonight?- ___________ I'm not using it right now.A。
Sure, here you are.B。
I don’t know.C。
It doesn’t matter。
D。
Who cares?答案:A3.— Excuse me, how much is the jacket?— It’s 499 Yuan。
________A.Oh, no. That’s OK!B。
How do you like it?C.Which do you prefer?D。
Would you like to try it on?答案:D4。
— It's rather cold in here. Do you mind if I close the window?- ________A.Yes, please。
B。
No,please.C。
Sure,please。
D。
I don't like it。
答案:B5.- Do you mind my smoking here?- _______A。
No,thanks.B.Yes,I do。
C。
Yes. I'd rather not。
D.Good idea.答案:B二、阅读理解Peter arrived home and discovered that he had forgotten his door key. He rangthe bell,but nobody came to open the door。
大学英语试卷及答案【篇一:大学英语试卷及答案】>学号:姓名:专业层次: 分数:一.单项选择题(本大题共15小题,每小题2分,共30分)1. the business banking department ison_____c_______second floor.a. /b. ac. the2. maria often has a walk with______c______parents in the morning.a. sheb. theirc. her3. there_____b_______four children in the picture.a. isb. arec. have4. i’d like______a______oranges, please.a. someb. anyc. /5. ______b______does the flat cost a month?a. how manyb. how muchc. how about6. i’m bad at spelling, but jane i s_____b_______than me.a. badb. worsec. less7. he______b______in beijing, but his parents____________in hangzhou.a. live, livesb. lives, livec. live, live8. - i’m enjoying the long summer evenings.-____a________am i.a. sob. neitherc. nor9. i usually get up_____a_______7 o’clock in the moring.a. atb. inc. on10. it often______b______in winter in the north of china.a. snowb. snowsc. is snowing11. —the second bedroom isn’t big enough.— yes, i agree. it is______b______.a. smallb. too smallc. enough small12. this is his book. could you give it_____a_______him?a. tob. withc. for13. i’m interested _____a_______cooking.a. inb. toc. at14. i’d like to_______b_____you to a party this saturday.a. joinb. invitec. leave15. when_______a_____for london?a. is she flyingb. she fliesc. she is going to fly二.阅读理解(本大题共15小题,每小题2分,共30分)passage ain britain people usually have a doctor near their home or in their town. this is the local doctor. you have to register with a doctor before you can make an appointment. you usually have to fill in a form and the doctor examines you. families often all register with the same doctor.doctors often work together in groups, and the name of the place where they work is a doctors surgery. the government pays for this system, and it is free to go to see your doctor.if the doctor decides that you need treatment he can prescribe medicine. for example he can prescribe antibiotics for an infection. medicine can be tablets to take with water or liquidto drink. the doctor writes the prescription. you take the prescription to the chemists, and the chemist will make up the medicine for you. you usually have to pay some money for the medicine --- but you dont have to pay the full price.16. british people usually go a long way to see a doctor.ba. right.b. wrong.c. doesnt say.17. some rich british families dont register with the same doctor.ca. right.b. wrong.c. doesnt way.18. british people dont have to pay when they see their doctor. aa. right.b. wrong.c. doesnt say.19.doctors always work alone in their own doctors surgery.ba. right.b. wrong.c. doesnt say.20. british people usually have to pay for their prescription at the chemists. aa. right.b. wrong.c. doesnt say.passage bhello, everyone. id like to talk about myself. my name is lily. i am an it worker. i work at the abc company in shanghai. now i am working as a trainee (实习) information technologymanager. i am in charge of about 45 people. i am here on my own. my family is in hong kong. i dont have any brothers, but i have a sister. she works on newspaper advertisements. she is now sitting in front of the tv set and watching me on tv in our house in hong kong. i believe, my mother and father aretogether with her too. i would like to say hello to my family. hi, mum and dad! hello, rose! can you see me and hear me clearly?i am now in the tv studio (演播室) of shanghai tv station. we are making a program about our company. these people aroundme are my colleagues. that one over there is our boss.21. lily works in it. aa. right.b. wrong.c. doesnt say.22. lily has got a big family in hong kong. ba. right.b. wrong.c. doesnt say.23. lily is working on a training program in the tv studio of shanghai tv station. ba. right.b. wrong.c. doesnt say.24. lily is going to be the it manager. ca. right.b. wrong.c. doesnt say.25. lilys boss and her colleagues are in shanghai now. aa. right.b. wrong.c. doesnt say.passage clet me tell you about my new job. its great. i work for centre company. they have an office in london. i am the deputy marketing manager. i am in charge of newspaper advertisements. i like working here, but i dont like traveling by tube. its too busy! there are some very nice colleagues, and i often eat lunch with them in the canteen. we start work at nine oclock. lunch is from one oclock to two oclock. then i finish work at 6 oclock. my brother works near my office. he is in insurance, and sometimes we have a drink in the pub in the evening.26. the writer ______b______ new job.a. doesnt like hisb. likes hisc. is looking for a27. the writer works in _____b_______.a. insuranceb. marketingc. computers28. the writer thinks the tube is too_____c_______.a. noisyb. slowc. busy29. the writer works for about _____a_______ on weekdays.a. 8 hoursb. 9 hoursc. 10 hours30.the writer and his brother _____a_______ .a. sometimes see each otherb. never see each otherc. see each other every day三.完成句子(本大题共10小题,每小题2分,共20分)section axiaoyan: i’ve got my fitness programme from the gym for this month,mary.xiaoyan: tomorrow-tuesday-i haven’t got a class. i do gym.do you do gym with?xiaoyan: nobody, i do two gym sessions on my own a week.xiaoyan: this month, i do aerobics on saturdays and tai chi on mondays.do you do next month?xiaoyan: i do three gym sessions,but i don’t do tai chi—there isn’t a class.isn’t there a class?xiaoyan: the trainer is on holiday. but it starts again the month after next. so,the month after next, i do two gym sessions again and i do tai chi.mary: well, good luck! enjoy yourself!section bdirections: 用适当的介词填空36. i’37. i’his boss.’s her bi rthday.四.汉译英(本大题共10小题,每小题2分,共20分)41.她每天晚上都得工作。
《大学英语》试卷及答案一.单项选择题(本大题共 15小题,每小题2分,共30分)1. The Bus in ess Banking Departme nt is on __ C ______ sec ond floor.A. /B. aC. the2. Maria ofte n has a walk with ____ C _____ p are nts in the morni ng.3. There ____ B ______ f our childre n in the picture.A. isB. areC. have4.1' like ______ A _____ oran ges, please.A. someB. anyC. /5. B does the flat cost a mon th?6. I'm bad at spelli ng, but Jane is ____ B ______ than me.7. He ____ B _____ i n Beijing, but his parents __________ in Han gzhou.A. live, livesB. lives, liveC. live, live8. - I'm enjoying the long summer eve nin gs.- A __________ am I.A. SoB. NeitherC. Nor9. I usually get up ___ A ______ 7 o 'clock in the moring.A. atB. inC. onB in win ter in the n orth of China. A. snow B. snows 11. — The sec ond bedroom isnC big eno ugh.— Yes, I agree. It is _____ B _____ .A. smallB. too small 12. This is his book. Could you give it A __________ 13. I C m interested ___ A ______ cooking.A. inB. to 14. I C like to ______ B ____ y ou to a party this Saturday.A. joinB. i nviteC. leave 15. WhenA for Lon do n?.阅读理解(本大题共 15小题,每小题2分,共30分)学号:姓名: ____________ 专业层次: _____________ 分数: _____________A. sheB. theirC. herA. How manyB. How muchC. How aboutA. badB. worseC. less C. is snowing C. eno ughsmall him ?A. toB. withC. for 10. It oftenC. at A. is she flyingB. she fliesC. she is going to flyPassage AIn Britain people usually have a doctor near their home or in their town. This is the local doctor. You have to register with a doctor before you can make an appointment. You usually have to fill in a form and the doctor examines you. Families often all register with the same doctor.Doctors often work together in groups, and the name of the place where they work is a Doctor's Surgery. The government pays for this system, and it is free to go to see your doctor.If the doctor decides that you need treatment he can prescribe medicine. For example he can prescribe antibiotics for an infection. Medicine can be tablets to take with water or liquid to drink. The doctor writes the prescription. You take the prescription to the chemist's, and the chemist will make up the medicine for you. You usually have to pay some money for the medicine --- but you don't have to pay the full price.16. British people usually go a long way to see a doctor. BA. Right.B. Wrong.C. Doesn't say.17. Some rich British families don't register with the same doctor. CA. Right.B. Wrong.C. Doesn't way.18. British people don't have to pay when they see their doctor. AA. Right.B. Wrong.C. Doesn't say.19. Doctors always work alone in their own Doctor's Surgery. B A. Right. B. Wrong. C. Doesn't say.20. British people usually have to pay for their prescription at the chemist's. AA. Right.B. Wrong.C. Doesn't say.Passage BHello, everyone. I'd like to talk about myself. My name is Lily. I am an IT worker. I work at the ABC company in Shanghai. Now I am working as a trainee (实习) Information Technology Manager. I am in charge of about 45 people. I am here on my own. My family is in Hong Kong. I don't have any brothers, but I have a sister. She works on newspaper advertisements. She is now sitting in front of the TV set and watching me on TV in our house in Hong Kong. I believe, my mother and father are together with her too. I would like to say hello to my family. Hi, Mum and Dad! Hello, Rose! Can you see me and hear me clearly? I am now in the TV studio (演播室) of Shanghai TV Station. We are making a program about our company. These people around me are my colleagues. That one over there is our boss.21. Lily works in IT. AA. Right.B. Wrong.C. Doesn't say.22. Lily has got a big family in Hong Kong. BA. Right.B. Wrong.C. Doesn't say.23. Lily is working on a training program in the TV studio of Shanghai TV Station. BA. Right.B. Wrong.C. Does n't say.24. Lily is going to be the IT Man ager. CA. Right.B. Wrong.C. Does n't say.25. Lily's boss and her colleagues are in Shan ghai now. AA. Right.B. Wrong.C. Does n't say.Passage CLet me tell you about my new job. It's great. I work for Centre Compa ny. They have an office in London. I am the Deputy Marketi ng Man ager. I am in charge of n ewspaper advertiseme nts. I like work ing here, but I don't like traveli ng by tube. It's too busy! There are some very nice colleagues, and I ofte n eat lunch with them in the can tee n. We start work at nine o'clock. Lunch is from one o'clock to two o'clock. Then I finish work at 6 o'clock. My brother works n ear my office. He is in in sura nee, and sometimes we have a drink in the pub in the evening.26. The writer ______ B ____ new job.A. does n't like hisB. likes hisC. is look ing for a27. The writer works in _____ B ______ .A. in sura neeB. marketi ngC. computers28. The writer thi nks the tube is too ___ C _______ .A. n oisyB. slowC. busy29. The writer works for about ____ A ______ on weekdays.A. 8 hoursB. 9 hoursC. 10 hours30. The writer and his brother ____ A ______ .A. sometimes see each otherB. n ever see each otherC. see each other every day三•完成句子(本大题共10小题,每小题2分,共20分)Section ADirections:用动词的适当形式,将下列句子补充完整,每个动词只能用一次。