测试技术部分课后习题参考答案
- 格式:docx
- 大小:251.33 KB
- 文档页数:19
现测课后习题答案第1章1. 直接的直接的 间接的间接的2. 测量对象测量对象 测量方法测量方法 测量设备测量设备3. 直接测量直接测量 间接测量间接测量 组合测量组合测量 直读测量法直读测量法 比较测量法比较测量法 时域测量时域测量 频域测量频域测量 数据域测量数据域测量4. 维持单位的统一,保证量值准确地传递维持单位的统一,保证量值准确地传递 基准量具基准量具 标准量具标准量具 工作用量具工作用量具5. 接触电阻接触电阻 引线电阻引线电阻6. 在对测量对象的性质、特点、测量条件(环境)认真分析、全面了解的前提下,根据对测量结果的准确度要求选择恰当的测量方法(方式)和测量设备,进而拟定出测量过程及测量步骤。
度要求选择恰当的测量方法(方式)和测量设备,进而拟定出测量过程及测量步骤。
7. 米(m) 秒(s) 千克(kg) 安培(A) 8. 准备准备 测量测量 数据处理数据处理9. 标准电池标准电池 标准电阻标准电阻 标准电感标准电感 标准电容标准电容第2章填空题1. 系统系统 随机随机 粗大粗大 系统系统2. 有界性有界性 单峰性单峰性 对称性对称性 抵偿性抵偿性3. 置信区间置信区间 置信概率置信概率4. 最大引用最大引用 0.6% 5. 0.5×10-1 [100.1[100.1ΩΩ,100.3100.3ΩΩ] 6. ±7.9670×10-4 ±0.04% 7. 测量列的算术平均值测量列的算术平均值8. 测量装置的误差不影响测量结果,但测量装置必须有一定的稳定性和灵敏度测量装置的误差不影响测量结果,但测量装置必须有一定的稳定性和灵敏度 9. ±6Ω10. [79.78V ,79.88V] 计算题 2. 解: (1)该电阻的平均值计算如下:128.504nii xx n===å该电阻的标准差计算如下:该电阻的标准差计算如下:21ˆ0.0331n i in n s ===-å(2)用拉依达准则有,测量值28.40属于粗大误差,剔除,重新计算有以下结果:属于粗大误差,剔除,重新计算有以下结果:28.511ˆ0.018x s ¢=¢=用格罗布斯准则,置信概率取0.99时有,n=15,a=0.01,查表得,查表得0(,) 2.70g n a =所以,所以,0ˆ(,) 2.700.0330.09g n a s =´=可以看出测量值28.40为粗大误差,剔除,重新计算值如上所示。
第2章习题及解答1.判断正误(1)凡频谱是离散的信号必然是周期信号。
( × )准周期信号(2)任何周期信号都由频率不同,但成整倍数比的离散的谐波叠加而成。
( × )(3)周期信号的频谱是离散的,非周期信号的频谱也是离散的。
( × )(4)周期单位脉冲序列的频谱仍为周期单位脉冲序列。
( √ )(5)非周期变化的信号就是随机信号。
( × )准周期信号(6)非周期信号的幅值谱表示的是其幅值谱密度与时间的函数关系。
( × )(7)信号在时域上波形有所变化,必然引起频谱的相应变化。
( × )(8)各态历经随机过程是平稳随机过程。
( √ )(9)平稳随机过程的时间平均统计特征等于该过程的集合平均统计特征。
( √ )(10)非周期信号的频谱都是连续的。
( × ) 准周期信号(11)单位脉冲信号的频谱是无限带宽谱(√)(12)直流信号的频谱是冲击谱(√)2.选择正确答案填空(1)描述周期信号的数学工具是(B )。
A.相关函数B. 傅里叶级数C. 拉普拉斯变换D. 傅里叶变换(2)描述非周期信号的数学工具是( C )。
A.三角函数B. 拉普拉斯变换C. 傅里叶变换D. 傅里叶级数(3)将时域信号进行时移,则频域信号将会( D )A.扩展B. 压缩C. 不变D. 仅有相移(4)瞬变信号的傅里叶变换的模的平方的意义为( C )A.信号的一个频率分量的能量B. 在f处的微笑频宽内,频率分量的能量与频宽之比C. 在f处单位频宽中所具有的功率(5)概率密度函数是在(C)域,相关函数是在(A)域,功率谱密度函数是在(D)域描述随机信号。
A.时间B. 空间C. 幅值D. 频率 (6) 白噪声信号的自相关函数是(C )A.相关函数B. 奇函数C. 偶函数D. 不存在3.已知方波信号傅里叶级数,请描述式中各常数相的物理意义,并绘出频谱图。
见书中例题4.已知锯齿波信号傅里叶级数,请描述式中各常数相的物理意义,并绘出频谱图。
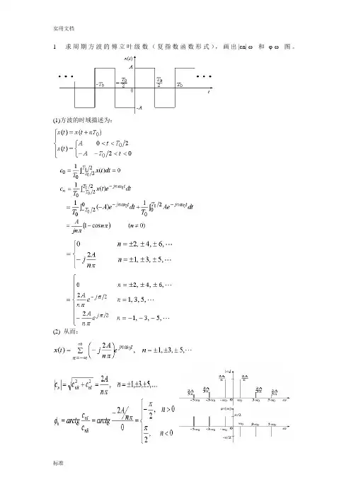
1 求周期方波的傅立叶级数(复指数函数形式),画出|cn|-ω和ϕ-ω图。
(1)方波的时域描述为:(2) 从而:2 . 求正弦信号的绝对均值和均方根值。
(1)(2)3.求符号函数和单位阶跃函数的频谱解:(1)因为不满足绝对可积条件,因此,可以把符合函数看作为双边指数衰减函数:其傅里叶变换为:(2)阶跃函数:4. 求被截断的余弦函数的傅里叶变换。
解:(1)被截断的余弦函数可以看成为:余弦函数与矩形窗的点积,即:(2)根据卷积定理,其傅里叶变换为:5.设有一时间函数f(t)及其频谱如图所示。
现乘以余弦函数cosω0t(ω0>ωm)。
在这个关系中函数f(t)称为调制信号,余弦函数cosω0t称为载波。
试求调幅信号的f(t)cosω0t傅氏变换,并绘制其频谱示意图。
又:若ω0<ωm将会出现什么情况?解:(1)令(2) 根据傅氏变换的频移性质,有:频谱示意图如下:(3) 当ω0<ωm时,由图可见,出现混叠,不能通过滤波的方法提取出原信号f(t)的频谱。
6.求被截断的余弦函数的傅立叶变换。
解:方法一:方法二:(1)其中为矩形窗函数,其频谱为:(2)根据傅氏变换的频移性质,有:第二章4. 求指数衰减函数的频谱函数,()。
并定性画出信号及其频谱图形。
解:(1)求单边指数函数的傅里叶变换及频谱(2)求余弦振荡信号的频谱。
利用函数的卷积特性,可求出信号的频谱为其幅值频谱为a a`b b`c c`题图信号及其频谱图注:本题可以用定义求,也可以用傅立叶变换的频移特性求解。
5 一线性系统,其传递函数为,当输入信号为时,求:(1);(2);(3);(4)。
解:(1) 线性系统的输入、输出关系为:已知,则由此可得:(2) 求有两种方法。
其一是利用的傅立叶逆变换;其二是先求出,再求,其三是直接利用公式求。
下面用第一种方法。
(3)由可得:(4) 可以由的傅立叶逆变换求得,也可以直接由、积分求得:第三章1.说明线性系统的频率保持性在测量中的作用。
内蒙古⼯业⼤学测试技术课后答案第⼀章第⼀章习题1-1:被测参量的三个特征是什么?请说明三个特征的内容,并指出被测参量与被测信号的区别。
被测参量有三个特征,即物理、量值、时变特征。
分别反映被测参量的物理性质,量值⼤⼩和时间变化的情况。
⽽被测参量与被测信号区别在于被测信号不涉及其物理性质。
1-2:连续信号和模拟信号的区别是什么?复杂周期信号和准周期信号的区别是什么?连续信号是在我们所要研究的时间范围内,对于任意时间都可给出确定函数值或幅值的信号。
其幅值可以是连续的,也可以是离散的。
若幅值和时间都是连续信号⼜称模拟信号。
离散信号则是时间上是离散的,只在某些不连续的规定瞬时给出函数值,其它时间没有定义的信号。
简单周期信号即指简谐信号,⽽复杂周期信号是由和基频成整数倍的信号组合⽽成的周期信号。
复杂周期信号与准周期信号的区别在于复杂周期信号各简谐分量中任意两个分量的频率⽐值都是有理数,⽽准周期信号中总会有两个分量的的频率⽐值为⽆理数。
1-3:在对动态信号进⾏分析时,为何要采⽤频域描述⽅法?由于信号的时域描述只能反映信号的幅值随时间变化的特征,除简谐波外⼀般不能揭⽰信号的频率组成成分。
为了研究信号的频率结构和各频率成份的幅值⼤⼩,相位关系,所以应对信号进⾏频域描述。
1-4:在动态测试⼯作中,频谱的概念及其分析⽅法有何意义或应⽤?频谱就是通过某种信号分析⽅法将时间信号中的各频率成份分离并进⾏排列的结果,常⽤的是频谱图。
其中频率与幅值的关系谱图,称为幅频图,频率与相位关系的谱图称为相频图。
信号不同域的描述,只是为了使所研究信号特征更为突出,频谱分析在故障诊断,设计测量系统,选择使⽤测量仪器和完成不失真测量等都有重要意义。
例如:判定机器的振动裂度,在机器的故障诊断中寻找振源,确定仪器设备的固有频率和使⽤范围等⽅⾯。
1-5:确定性信号可分为⼏⼤类?它们的频谱具有那些异同点?确定性信号是指可以⽤明确的数学表达式进⾏描述的信号。
《绪论》0-1叙述我国法定计量单位的基本内容。
答:我国的法定计量单位是以国际单位制(SI)为基础并选用少数其他单位制的计量单位来组成的。
1.基本单位根据国际单位制(SI),七个基本量的单位分别是:长度——米(Metre)、质量——千克(Kilogram)、时间——秒(Second)、温度——开尔文(Kelvn)、电流——安培(Ampere)、发光强度——坎德拉(Candela)、物质的量——摩尔(Mol>。
它们的单位代号分别为:米(m))、千克(kg)、秒(s)、开(K)、安(A)、坎(cd)、摩(mol)。
国际单位制(SI)的基本单位的定义为:米(m)是光在真空中,在1/299792458s的时间间隔内所经路程的长度。
千克(kg)是质量单位,等于国际千克原器的质量。
秒(s)是铯-133原子基态的两个超精细能级间跃迁对应的辐射9192631770个周期的持续时间。
安培(A)是电流单位。
在真空中,两根相距1m的无限长、截面积可以忽略的平行圆直导线内通过等量恒定电流时,若导线间相互作用力在每米长度上为2×10-7N,则每根导线中的电流为1A。
开尔文(K)是热力学温度单位,等于水的三相点热力学温度的1/273.16。
摩尔(mol)是一系统的物质的量,该系统中所包含的基本单元数与0.012kg碳-12的原子数目相等。
使用摩尔时,基本单元可以是原子、分子、离子、电子及其他粒子,或是这些粒子的特定组合。
坎德拉(cd)是一光源在给定方向上的发光强度,该光源发出频率为540×1012Hz的单色辐射,且在此方向上的辐射强度为1/683W/sr。
2.辅助单位在国际单位制中,平面角的单位——弧度和立体角的单位——球面度未归入基本单位或导出单位,而称之为辅助单位。
辅助单位既可以作为基本单位使用,又可以作为导出单位使用。
它们的定义如下:弧度(rad)是一个圆内两条半径在圆周上所截取的弧长与半径相等时,它们所夹的平面角的大小。
第一章1答:测试技术是实验科学的一部分,主要研究各种物理量的测量原理和测量信号分析处理方法,是进行各种科学实验研究和生产过程参数测量必不可少的手段,起着人的感官的作用。
2答:测试系统由传感器、中间变换装置和显示记录装置三部分组成。
传感器将被测物理量检出并转换为电量,中间变换装置对接收到的电信号用硬件电路进行分析处理或经A/D变换后用软件进行信号分析,显示记录装置则测量结果显示出来,提供给观察者或其它自动控制装置。
3答:在工程领域,科学实验、产品开发、生产监督、质量控制等,都离不开测试技术。
测试技术应用涉及到航天、机械、电力、石化和海洋运输等每一个工程领域。
4答:例如:全自动洗衣机中用到如下传感器:衣物重量传感器,衣质传感器,水温传感器,水质传感器,透光率光传感器(洗净度) 液位传感器,电阻传感器(衣物烘干检测)。
第二章1答:信号波形是指被测信号幅度随时间的变化历程。
2答:从信号描述上分为:确定性信号与非确定性信号;从信号的幅值和能量上分为:能量信号与功率信号;从分析域上分为:时域与频域;从连续性分为:连续时间信号与离散时间信号;从可实现性分为:物理可实现信号与物理不可实现信号。
3答:可以用明确数学关系式描述的信号称为确定性信号。
不能用数学关系式描述的信号称为非确定性信号。
4答:在所分析的区间(-∞,∞),能量为有限值的信号称为能量信号,能量不是有限值的信号称为功率信号。
5答:周期信号的自相关函数仍然是同频率的周期信号,但不保留原信号的相位信息。
6答:信号频域分析是采用傅立叶变换将时域信号x(t)变换为频域信号X(f)。
时域分析只能反映信号的幅值随时间的变化情况,除单频率分量的简谐波外,很难明确揭示信号的频率组成和各频率分量大小。
信号频谱X(f)代表了信号在不同频率分量成分的大小,能够提供比时域信号波形更直观,丰富的信息。
7答:周期函数展开为傅立叶级数的物理意义: 把一个比较复杂的周期信号看成是许多不同频率的简谐信号的叠加。
机械工程测试技术基础习题解答教材:机械工程测试技术基础,熊诗波 黄长艺主编,机械工业出版社,2006年9月第3版第二次印刷。
绪 论0-1 叙述我国法定计量单位的基本内容。
解答:教材P4~5,二、法定计量单位。
0-2 如何保证量值的准确和一致?解答:(参考教材P4~6,二、法定计量单位~五、量值的传递和计量器具检定) 1、对计量单位做出严格的定义;2、有保存、复现和传递单位的一整套制度和设备;3、必须保存有基准计量器具,包括国家基准、副基准、工作基准等。
3、必须按检定规程对计量器具实施检定或校准,将国家级准所复现的计量单位量值经过各级计算标准传递到工作计量器具。
0-3 何谓测量误差?通常测量误差是如何分类表示的? 解答:(教材P8~10,八、测量误差)0-4 请将下列诸测量结果中的绝对误差改写为相对误差。
①1.0182544V±7.8μV ②(25.04894±0.00003)g ③(5.482±0.026)g/cm 2解答:①-667.810/1.01825447.6601682/10±⨯≈± ②60.00003/25.04894 1.197655/10±≈±③0.026/5.482 4.743±≈‰0-5 何谓测量不确定度?国际计量局于1980年提出的建议《实验不确定度的规定建议书INC-1(1980)》的要点是什么? 解答:(1)测量不确定度是表征被测量值的真值在所处量值范围的一个估计,亦即由于测量误差的存在而对被测量值不能肯定的程度。
(2)要点:见教材P11。
0-6为什么选用电表时,不但要考虑它的准确度,而且要考虑它的量程?为什么是用电表时应尽可能地在电表量程上限的三分之二以上使用?用量程为150V 的0.5级电压表和量程为30V 的1.5级电压表分别测量25V 电压,请问哪一个测量准确度高? 解答: (1)因为多数的电工仪表、热工仪表和部分无线电测量仪器是按引用误差分级的(例如,精度等级为0.2级的电表,其引用误差为0.2%),而 引用误差=绝对误差/引用值其中的引用值一般是仪表的满度值(或量程),所以用电表测量的结果的绝对误差大小与量程有关。
第二章 测量结果的数据处理及误差分析√2-3 用标准测力机检定材料试验机,若材料试验机的示值为5.000MN ,标准测力仪输出力值为4.980MN ,试问材料机在5.000MN 检定点的示值误差、示值的相对误差各为多少?解:示值误差=,020.0000.5980.4−=−示值的相对误差=%04.0000.5020.0−=−√2-8 设间接测量量z x y =+,在测量x 和时是一对一对同时读数的。
测量数据如下表。
试求的标准测量序号y z 偏差。
1 2 3 4 5 6 78 9 10 x 读数100 104 1029810310199101105102 y 读数51 51 5450515250505351解:101.5x =,51.3y =,0.42y σ=,0.687x σ=152.8z x y =+=z x y =+,1,1z z x y∂∂∴==∂∂ 由于10(,)()(0.55iix y x x y y ρ−−∴==∑0.98z σ∴=。
1m 距离的标准偏差为0.2mm 。
如何表示间的函数式?求测此10m 距离的标准差。
见书P27-28页的内容。
5.033,25.039,25.034mm 。
如不计其他不确定度来源,最佳值及其标准不确定度。
见书P36页例题2.8√2-9 用米尺逐段丈量一段10m 的距离,设丈量接测量解:参√2-14 用千分尺重复测量某小轴工件直径10次,得到的测量数据为25.031,25.037,25.034,25.036,25.038,25.037,25.036,2试估计解:参答案网 w w w .h k s h p .c n第三章 信号描述与分析-3 求指数函数的频谱。
√解:()e (00)atx t A a t −=>≥,3dt e Ae dt e t x X t j at t j ∫∫+∞−−+∞∞−−==0)()(ωωω220)()ωωωωω+−=+=+−=+∞+−a j a A j a A e j a Ata j (3-4 求被截断的余弦函数0cos t ω0cos ||()0 ||t t x t t Tω<⎧=⎨≥T解:⎩(题图3-4 )的傅里叶变换。
第1章软件测试概述1.简述软件测试的意义。
解:随着计算机技术的迅速发展和广泛深入的应用,软件质量问题已成为开发和使用软件人员关注的焦点。
而由于软件本身的特性,软件中的错误是不开避免的。
不断改进的开发技术和工具只能减少错误的发生,但是却不可能完全避免错误。
因此为了保证软件质量,必须对软件进行测试。
软件测试是软件开发中必不可少的环节,是最有效的排除和防治软件缺陷的手段,是保证软件质量、提高软件可靠性的最重要手段。
2.什么是软件缺陷?它的表现形式有哪些?解:从产品内部看,软件缺陷是软件产品开发或维护过程中所存在的错误、毛病等各种问题;从外部看,软件缺陷是系统所需实现的某种功能的失效或违背。
它的表现形式主要有以下几种:(1)软件未达到产品说明书中已经标明的功能;(2)软件出现了产品说明书中指明不会出现的错误;(3)软件未达到产品说明书中虽未指出但应当达到的目标;(4)软件功能超出了产品说明书中指出的范围;(5)软件测试人员认为软件难以理解、不易使用,或者最终用户认为该软件使用效果不良。
3.简单分析软件缺陷产生的原因,其中那个阶段引入的缺陷最多,修复成本又最低?解:软件缺陷产生的主要原因有:需求规格说明错误;设计错误;程序代码有误;其他。
其中在需求分析阶段引入的缺陷最多,修复的成本又最低。
4.当用户登录某网站购物完毕并退出后,忽然想查查购物时付账的总金额,于是按了浏览器左上角的“退回”按钮,就又回到了退出前的网页,你认为该购物软件有缺陷吗?如果有,属于哪一类?解:有缺陷。
其所属类别与软件产品说明书的要求有关。
5.什么是软件测试?简述其目的与原则。
解:软件测试是为了尽快尽早地发现在软件产品中所存在的各种软件缺陷而展开的贯穿整个软件开发生命周期,对软件产品(包括阶段性产品)进行验证和确认的活动过程。
测试目的:(1)证明:获取系统在可接受风险范围内可用的信心;尝试在非正常情况和条件下的功能和特性;保证一个工作产品是完整的并且可用或可被集成。
测试技术与信号处理习题解答第一章 信号的分类与描述1-1 求周期方波(见图1-4)的傅里叶级数(复指数函数形式),划出|c n |–ω和φn –ω图,并与表1-1对比。
解答:在一个周期的表达式为00 (0)2() (0)2T A t x t T A t ⎧--≤<⎪⎪=⎨⎪≤<⎪⎩积分区间取(-T/2,T/2)00000002202002111()d =d +d =(cos -1) (=0, 1, 2, 3, )T T jn tjn tjn t T T n c x t et Aet Ae tT T T Ajn n n ωωωππ-----=-±±±⎰⎰⎰所以复指数函数形式的傅里叶级数为001()(1cos )jn tjn tnn n Ax t c ejn en ∞∞=-∞=-∞==--∑∑ωωππ,=0, 1, 2, 3, n ±±±。
(1cos ) (=0, 1, 2, 3, )0nI nR A c n n n c ⎧=--⎪±±±⎨⎪=⎩ππ21,3,,(1cos )00,2,4,6,n An A c n n n n ⎧=±±±⎪==-=⎨⎪=±±±⎩πππ1,3,5,2arctan 1,3,5,200,2,4,6,nI n nR πn c πφn c n ⎧-=+++⎪⎪⎪===---⎨⎪=±±±⎪⎪⎩图1-4 周期方波信号波形图没有偶次谐波。
其频谱图如下图所示。
1-2 求正弦信号0()sin x t x ωt =的绝对均值x μ和均方根值rms x 。
解答:00002200000224211()d sin d sin d cos TTT Tx x x x x μx t t x ωt t ωt t ωt T T T T ωT ωπ====-==⎰⎰⎰222200rms000111cos 2()d sin d d 22T T T x x ωtx x t t x ωt t t T T T-====⎰⎰⎰1-3 求指数函数()(0,0)atx t Ae a t -=>≥的频谱。
第1章 测试技术基础知识1.4 常用的测量结果的表达方式有哪3种?对某量进行了8次测量,测得值分别为:82.40、82.43、82.50、82.48、82.45、82.38、82.42、82.46。
试用3种表达方式表示其测量结果。
解:常用的测量结果的表达方式有基于极限误差的表达方式、基于t 分布的表达方式和基于不确定度的表达方式等3种1)基于极限误差的表达方式可以表示为0max x x δ=±均值为8118i x x ==∑82.44因为最大测量值为82.50,最小测量值为82.38,所以本次测量的最大误差为0.06。
极限误差max δ取为最大误差的两倍,所以082.4420.0682.440.12x =±⨯=±2)基于t 分布的表达方式可以表示为x t x x ∧±=σβ0标准偏差为s ==0.04样本平均值x 的标准偏差的无偏估计值为ˆx σ==0.014 自由度817ν=-=,置信概率0.95β=,查表得t 分布值 2.365t β=,所以082.44 2.3650.01482.440.033x =±⨯=±3)基于不确定度的表达方式可以表示为0x x x x σ∧=±=±所以082.440.014x =±解题思路:1)给出公式;2)分别计算公式里面的各分项的值;3)将值代入公式,算出结果。
第2章 信号的描述与分析2.2 一个周期信号的傅立叶级数展开为12ππ120ππ()4(cos sin )104304n n n n n y t t t ∞==++∑(t 的单位是秒) 求:1)基频0ω;2)信号的周期;3)信号的均值;4)将傅立叶级数表示成只含有正弦项的形式。
解:基波分量为12ππ120ππ()|cos sin 104304n y t t t ==+ 所以:1)基频0π(/)4rad s ω=2)信号的周期02π8()T s ω==3)信号的均值42a = 4)已知 2π120π,1030n n n n a b ==,所以4.0050n A n π=== 120π30arctan arctan arctan 202π10n n nn bn a ϕ=-=-=-所以有0011()cos()4 4.0050cos(arctan 20)24n n n n a n y t A n t n t πωϕπ∞∞===++=+-∑∑2.3某振荡器的位移以100Hz 的频率在2至5mm 之间变化。
习题4常用传感器4.6 电容传感器(平行极板电容器)的圆形极板半径r =4mm ,工作初始极板间距离 δ0=0.3mm ,介质为空气。
问:① 如果极板间距离变化量Δδ=±l μm ,电容的变化量ΔC 是多少?② 如果测量电路的灵敏度S 1=100mv/pF,读数仪表的灵敏度S 2=5格/mV ,在Δδ= ±1μm 时,读数仪表的变化量为多少?解δδ∆-≈∆C C 220πδδεδδ∆-=∆-=∆r C C 2362312)103.0()10()104(14.31085.8----⨯±⨯⨯⨯⨯-= pF 1094.41094.4315--⨯=⨯=pF )1094.4(/m V 5m V /pF 100321-⨯⨯⨯=∆=∆ 格C S S x格472. =4-1 什么是应变片的灵敏系数?它与电阻丝的灵敏系数有何不同?为什么?一般情况下,应变片的灵敏系数小于电阻丝的灵敏系数。
原因是:当应变片粘贴于弹性体表面或者直接将应变片粘贴于被测试件上时,由于基底和粘结剂的弹性模量与敏感栅的弹性模量之间有差别等原因,弹性体或试件的变形不可能全部均匀地传递到敏感栅;丝栅横向效应的影响。
4-2 金属应变片与半导体应变片在工作原理上有何不同?前者利用金属应变引起电阻的变化;而后者是利用半导体电阻率变化引起电阻的变化(压阻效应)。
4-3 试比较自感式传感器与差动变压器式传感器的异同。
不同点:自感式传感器把被测非电量的变化转换成自感系数的变化;差动变压器式传感器把被测非电量的变化转换成互感系数的变化。
相同点:两者都属于电感式传感器,都可以分为气隙型、截面型和螺管性三种类型。
4-4在自感式传感器中,螺管式自感传感器的灵敏度最低,为什么在实际应用中却应用最广泛?答:在自感式传感器中,虽然螺管式自感传感器的灵敏度最低,但示值范围大、线性也较好;同时还具备自由行程可任意安排、制造装配方便、可互换性好等优点。
思考题与习题0-1 举例说明什么是测试?答:⑴测试的例子:为了确定一端固定的悬臂梁的的固有频率,可以采用锤击法对梁尽享激振,在利用压力传感器、电荷放大器、波形记录器记录信号波形,由衰减的振荡波形便可以计算出悬臂梁的固有频率。
⑵结论:由本例可知,测试是指确定被测对象悬臂梁固有频率的全部操作,是通过一定的技术手段-激振。
拾振、记录、数据处理等,获取悬臂梁固有频率的信息过程。
0-2 以方框图的形式说明测试系统的组成,简述主要组成部分的作用。
答:⑴:测试系统的方框图如图0-1所示。
⑵:各部分的作用如下。
传感器是将被测信息转换成某种电信号的器件;信号调理是把来自传感器的信号转换成适合传输和处理的形式;信号处理环节可对来自信号调理环节的信号,进行各种运算。
滤波和分析;信号显示、记录环节将来至信号处理环节的信号显示或存储;模数转换和数模转换是进行模拟信号与数字信号的相互转换,以便于用计算机处理。
0-3 针对工程测试技术课程的特点,思考如何学习该门课程?答:本课程具有很强的实践性,只有在学习过程中密切联系实际,加强实验,注意物理概念,才能真正掌握有关知识。
在教学环节中安排与本课程相关的必要的实验及习题,学习中学生必须主动积极的参加实验及完成相应的习题才能受到应有的实验能力的训练,才能在潜移默化中获得关于动态测试工作的比较完整的概念,也只有这样,才能初步具有处理实际测试工作的能力。
思考题与习题1-1 信号的分哪几类以及特点是什么? ⑴、 按信号随时间的变化规律分为确定性信号和分确定性信号,确定信号分为周期信号(包括谐波信号和一般周期信号)和非周期信号(准周期信号和以便非周期信号);非确定性信号包括平稳随机信号(包括各态历经信号和非各态历经信号)和非平稳随机信号。
⑵、 按信号幅值随时间变化的连续性分类,信号包括连续信号和离散信号,其中连续信号包括模拟信号和一般模拟信号,离散信号包括一般离散信号和数字信号。
⑶、 按信号的能量特征分类,信号包括能量有限信号和功率有限信号。
信号及其描述习题1.1求周期方波求周期方波(图(图1-4)的傅立叶级数的傅立叶级数(复指数函数形式)(复指数函数形式)。
画出频谱图|C n |—ω ;φn —ω 图并与表1-1对比。
对比。
解:傅立叶级数的复指数形式表达式:×××±±±==å+¥-¥=,3,2,1,0;)(0n e C t x n t jn n w 式中:所以:幅值频谱:幅值频谱:相位频谱:相位频谱:傅立叶级数的复指数形式的幅值频谱图和相位频谱都是双边频谱图。
傅立叶级数的复指数形式的幅值频谱图和相位频谱都是双边频谱图。
1.2求正弦信号求正弦信号 x (t )=x 0sin ωt 的绝对均值μ|x |和均方根值x rms解:解:1.3求指数函数求指数函数 的频谱。
的频谱。
解:解:1.4求符号函数(题图1-1a )和单位阶跃函数(题图1-1b )的频谱. []()ïîíì×××±±±=×××±±±=-=--=+´+-=úûùêëé-+úûùêëé--=úûù+êëé-==---------òòò,6,4,2;0,5,3,1;2cos 12111)(1)(120002002022200000000000n n n A j n n A j e e n jA n jA e jn A T e jn A T dt Ae dt eA T dt et x TC jnjn T t jn T t jn T t jn T tjn T T tjn n p p pp p w w p p w w w w w ×××±±±±=÷øöçèæ-=å+¥-¥=,7,5,3,1;2)(0n e n A j t x t jn n w p ×××±±±==+=,5,3,1;222n n AC C C nI nR n p ïîïíì×××---=×××=-=÷÷÷÷øöççççèæ-==,5,3,1;2,5,3,1;202n n n A arctg C C arctg nR nI n p pp j wp p w m 2;2sin 1)(lim 0000000====òò¥®T x tdt x T dt t x T T Tx 式中:()2sin 1)(1020002000x dt dt x T dt t x T x T T rms ===òòw )0;0(;)(³>=-t Ae t x ta a f j A dt e Ae dt e t x f X ft j t ftj p a p a p 2)()(022+=×==òò¥+--¥+¥--解:1) 符号函数的频谱: 令: 2)单位阶跃函数的频谱: 1.5求被截断的余弦函数cos ω0t (题图1-2)的傅立叶变换。
第1章测试技术基础知识1.4常用的测呈结果的表达方式有哪3种?对某量进行了8次测量,测得值分别为:82.40、82.43、82.50、82.48、82.45、82.38、82.42、82.46 0试用3 种表达方式表示其测量结果。
解:常用的测量结果的表达方式有基于极限误差的表达方式、基于/分布的表达方式和基于不确怎度的表达方式等3种1)基于极限误差的表达方式可以表示为均值为因为最大测量值为82.50,最小测量值为82.38,所以本次测量的最大误差为0.06.极限误差戈m取为最大误差的两倍,所以忑=82.44 ±2x 0.06 = 82.44 ±0.122)基于/分布的表达方式可以表示为一A= X ± S <Tx标准偏差为"-对------------- = 0.047样本平均值x的标准偏差的无偏估计值为= 0.014自由度“8-1 = 7,置信概率0 = 0.95,查表得f 分布值0 = 2.365,所以x () = 82.44 ± 2.365 x 0.014 = 82.44 ± 0.0333)基于不确定度的表达方式可以表示为所以X O =82.44±O.O14解題思路:1)给岀公式;2)分别讣算公式里而的各分项的值;3)将值代入公式,算岀结 果。
第2章信号的描述与分析2.2 一个周期信号的傅立叶级数展开为含有正弦项的形式。
解^基波分量为2JT T I 120JT . n ——cos —r + sin —r 10 4 30 4所以:1)基频 co {} = - (rad / s) 42)信号的周期7 = —= 8(5)5— A—=X±(7x = X±求: 曲)=4 + £( /I-1 2 K /? rm os —1 + 10 4 120”兀.fin ---- sin ——/) 30 4(/的单位是秒) 1)^(): 2)信号的周期:3)信号的均值; 4)将傅立叶级数表示成只y(r)h ・]=3)信号的均值鱼=42人、一\ z2/771 . 120/271 u匕“I4)已知a n =——,b =---------- ,所以z, 10 " 304 =屁+b,: = J(弄=4.0050M120/m(p n = - arctan — = - arctan — = - arctan 20 “a n2/m"io"所以有a‘X ocy(r) = —+ Ar cos(n^/ + ®) = 4 + 工4.OO5O/7TT cos(—t一arctan 20)2 n-J n^\ 42. 3某振荡器的位移以100Hz的频率在2至5mm之间变化。
将位移信号表示成傅立叶级数,并绘制信号的时域波形和频谱图。
解:设该振荡器的位移表达式为s(t) = A sin(cot + 0) + 3山题意知振荡频轲= 100Hz,所以有3 = 2兀/ = 200”信号的幅值A = 5-2 = 1.52信号的均值3-2 + 5—3.52信号的初相角0 = 0所以有s(t) = 3.5+ 1.5 sin(200^r) = 3.5 + 1.5 cos(200刃 + —)2 即该信号为只含有直流分量和基波分量的周期信号。
2. 5求指数函数x(t) = Ae a,(a>0. r>0)的频谱。
J解:X(e)=匚x(火-叫r =厂A严严山=丁[sin c(© + co)T + sin c 他一a))T]2.7求描数衰减振荡信号的频谱。
J2. 6求被截断的余弦卜.cos®/cosco{)tlrl<Tlrl>T(题图2・6)的傅里叶变换。
J题图2-6 X(e)= J x⑴严dt—00-T 2_ sin(q)+ co)T sin(q —co)T=I ------ -------- + ---------------- 1© + 6? CD{}-CO(到此式也可以)X(6?) = j = £ e~nz sin co{}t ・ eft Q +3C 1=£丄j(L如如)r®皿冶o 2_ % (a + jco)2 + co2)2. 8余眩信A-(r)= X cos cot的绝对均值“R和均方根值A nJIJ . J 解:T Q=2兀外| == £『|x cos 训〃=乎2・10求正弦波和方波的互相关函数。
V解法一:力⑴=<尹(f >0, a> 0)0 (r<0)2. 9求火)的自相关函数。
V对能量有限信号/血)的相关函数]T R£T )=阻討 E)y(f + 讪f 0]% = — \x(t}y(t + T}clt/()o° ^/2-r 3^/2-r 2/T-r—[J -sin 曲〃/+ j sin cotdt + J -sin 曲d/]2 兀 r /r/2-r 3/r/2-r=$ [cos cot -cos cot 1洸:+COS cot 1::二」 2siniyr解法二:因为心(Y )=心(C1 R (r) = lim - x(t)y(t + T )dt7'TSCI 0=心(Y)]1=!竺討 y(f)x(/-讪T°° ( 0T 3T=- J* sin co(t - r}dt + p* sin co{t - r)dt 2 sin or2. 12知仁巧的门相关函数为A COSQC 诘确足该仁廿的均方伉和均方根值・心舟解:0; = R x (0) = AcosO = A3・16 三个余弦信号X[(f) = cos2/rf 、x 2(r )= cos6^r . x 3(r) = coslO/rr 进行采样,采样频率£=4Hz ・求三个采样输出序列,比以这〔个J 札 画x 2(t)、x 3(t)的波形及采样点位宜并解释频率混叠规象含VW :x(t) = sin cot, y{t)= <1 (”/2vf 53兀/2) -1(0 < f S zr / 2,3龙 /2 v / S 2龙)2=2>心7;2(一“7;)fl.Y30 州,/)= Xcos(2^HJ(r-^) n —x t qX""1 / TTfl x — U x =Y cos(—)J(r--) K —X 厶=COS T (也可以写成这种形式)尤2卫)=£ cos(6吟5(/ — 秩)n —X° q =£ cos (干)丹一彳)“一oc / q3zn = cos ----- 2兀3卫)=£ cos(2/r#)5(/_#) 吕 ,5力2、“ II=》cos(—)J(r--)5劝= cos -----A••• co s > 2® ,召(/)不产生混叠;® <2®、CO S<2CO^ x2(t).兀3(/)产生混叠。
第3章测试系统的基本特性3. 5用一个时间常数为0.35s的一阶装宜去测呈周期分别为Is、2s和5s的正弦信号,问幅值误差将是多少?V解:•・•一阶装置的幅频特性为:心)=-」=:,其中时间常数r = 0.35J1 + T若测量周期分别为Is时,即3\=2对=耳=2兀•••振幅误差二 1-A (冋)=1 一 0.9 =3・6求周期信号x(t) = 0.5cos 10/ + 0.2cos(l00z-45 )通过传递函数为H(s) = ------------------ 0.0055 + 1 的装豊后所得到的稳态响应。
J解:因为 H (5)= ----- ! ------ , :.r = 0.005 0.0055 +1又因为 x(t) = 0.5 cos 1 Or + 0.2cos(l 001 - 45°)令 (0 = 0.5 cos lOf贝ij : A(®)= ___ = 0.99875J1 +㈣ F(p(co) = -arctan (T6?l ) = _2・86“令 x 2 (/) = 0.2 cos(l 00r - 45°)贝ij : A(°)= ___ =0.894-J1 +(色)20(q) = -arckm(g) = -26.57°・・・ y(t) = 0.5x0.99875cos(l0/ -2.86°)+0.2x0.894cos(lOOf -45° 一26.57") 心 0.5cos(10z 一 2.86° ) + 0.18 cos( 1 OOf - 71.57°)。
x(t) = 10sin(62.8r)的稳态响应的均值显示。
V解:3・ 10频率函数为 3155072 (1 + 0.01 j 劲(1577536 +176j 0 - o') 的系统对正弦输入两环节串联后组成的系统的总灵敏度S = ,X S2=1233.12设某力传感器可作为二阶振荡系统处理。
已知传感器的固有频率800Hz,阻尼比 < = 0.14,何使用该传ABB 频率为400Hz 的正弦力测试时•邮值比AS )和相角)233155072 ・.• H (jco)= ----------------------------------------- —(1 + 0.01 丿©)(1577536 +176丿血 一 /)小 112562 =2x ------------- x ------- ; --------------------------- r l + O.Oly^v 12562 + 1256x 0.07 jco + (ja ))2 口 ,・、1 口 ,・、 1256, 11 + 0.01> ・ 12562+ 1256 x 0.07 ;6y +(jiy)2 系统为一阶系统和二阶系统串联,灵敏度5 = 2对于HA JCD ) =——!----------- 输入= 10*(62.8/) 1 + 0.01 jco:.(d?) = /] = = / ] 匚=0.85 Jl + (s)2 Jl + (0・0 lx 62.8)2 12562 对于. 「 12562+ 1256 x 0.07 y7w + (j6y)2有:= 0.07, ©=1256 1 ・•. A 2(ty)= =0.998 +(2xoo7x iirvx 0 = 10y 0 = 10x2x0.85x0.998 = 16.966・・・ym=°・707x 儿=123.11试求传递函数分別为一——和 一四~ 的两环肖串联后组成的系统的总於 3.55 + 0.5 丁 +1.4% + ®;敏度。