2017年电大《微积分初步》形成性考核作业答案 完整版 精品
- 格式:doc
- 大小:265.21 KB
- 文档页数:5
18.下列各函数对中,()中的两个函数相等.答案:D A .2)()(x x f =,x x g =)( B .2)(xx f =,x x g =)(C .2ln )(x x f =,x x g ln 2)(=D .3ln )(x x f =x x g ln 3)(= 提示:两个函数相等,必须是对应的规则相同,定义域相同。
上述答案中,A 定义域不同;B 对应的规则不同;C 定义域不同;D 对应的规则相同,定义域相同9.当0→x 时,下列变量中为无穷小量的是( )答案:C.A .x 1B .xx sin C .)1ln(x +D .2xx提示:以0为极限的变量称为无穷小量。
上述答案中,当0→x 时,A 趋向∞;B 的极限为1;C 的极限为0;D 趋向∞。
10.当=k ( )时,函数⎩⎨⎧=≠+=0,,1)(2x k x x x f ,在0=x处连续. 答案:BA .0B .1C .2D .1-提示:当)()(lim 00x f x f x x =→时,称函数)(x f 在0x 连续。
因1)1(lim )(lim20=+=→→x x f x x k f ==)0(,所以当=k 1时,函数⎩⎨⎧=≠+=0,,1)(2x k x x x f ,在0=x 处连续11.当=k ( )时,函数⎩⎨⎧=≠+=0,0,2)(x k x e x f x 在0=x 处连续 答案:DA .0B .1C .2D .3提示:当)()(lim 00x f x f x x =→时,称函数)(x f 在0x 连续。
因为3)2(lim )(lim=+=→→x x x e x f k f ==)0(,所以当=k 3时,函数⎩⎨⎧=≠+=0,,2)(x k x e x f x ,在0=x 处连续12.函数233)(2+--=x x x x f 的间断点是( )答案:A A .2,1==x xB .3=xC .3,2,1===x x xD .无间断点提示:若)(x f 在0x 有下列三种情况之一,则)(x f 在0x 间断:①在0x 无定义;②在0x 极限不存在;③在0x 处有定义,且)(lim 0x f x x →存在,但)()(lim 00x f x f x x ≠→。
微积分初步形成性考核作业【原体+答案】一、填空题(每小题2分,共20分) 1.函数)2ln(1)(-=x x f 的定义域是 .解:020)2ln({>-≠-x x , 23{>≠x x所以函数)2ln(1)(-=x x f 的定义域是),3()3,2(+∞⋃2.函数xx f -=51)(的定义域是 .解:05>-x ,5<x所以函数xx f -=51)(的定义域是)5,(-∞3.函数24)2ln(1)(x x x f -++=的定义域是 .解:⎪⎩⎪⎨⎧≥->+≠+04020)2ln(2x x x ,⎪⎩⎪⎨⎧≤≤-->-≠2221x x x 所以函数24)2ln(1)(x x x f -++=的定义域是]2,1()1,2(-⋃-- 4.函数72)1(2+-=-x x x f ,则=)(x f.解:72)1(2+-=-x x x f 6)1(61222+-=++-=x x x 所以=)(x f 62+x5.函数⎩⎨⎧>≤+=0e2)(2x x x x f x,则=)0(f . 解:=)0(f 2202=+6.函数x x x f 2)1(2-=-,则=)(x f .解:x x x f 2)1(2-=-1)1(11222+-=-+-=x x x ,=)(x f 12+x7.函数1322+--=x x x y 的间断点是 .解:因为当01=+x ,即1-=x 时函数无意义 所以函数1322+--=x x x y 的间断点是1-=x8.=∞→xx x 1sinlim . 解:=∞→x x x 1sinlim 111sinlim =∞→xx x9.若2sin 4sin lim0=→kxxx ,则=k .解: 因为24sin 44sin lim 4sin 4sin lim 00===→→kkxkx x xk kx x x x所以2=k10.若23sin lim0=→kxxx ,则=k . 解:因为2333lim 33lim00===→→kx x sim k kx x sim x x 所以23=k 二、单项选择题(每小题2分,共24分)1.设函数2e e xx y +=-,则该函数是( ).A .奇函数B .偶函数C .非奇非偶函数D .既奇又偶函数解:因为y e e e e x y x x x x =+=+=-----22)()( 所以函数2e e xx y +=-是偶函数。
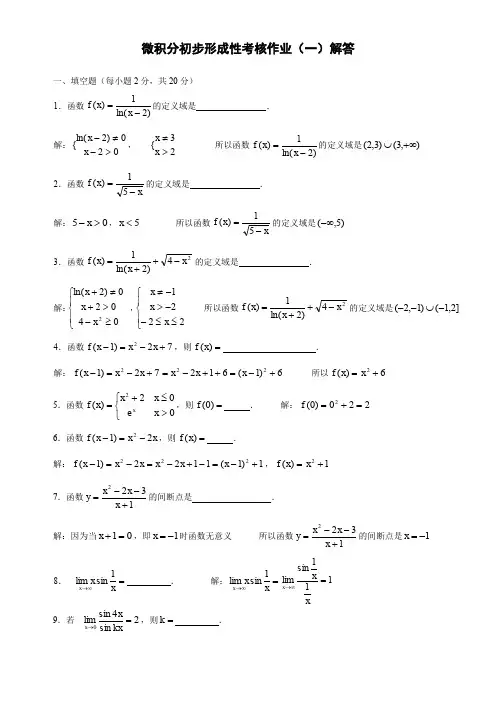
微积分初步形成性考核作业(一)解答一、填空题(每小题2分,共20分) 1.函数)2ln(1)(-=x x f 的定义域是 .解:020)2ln({>-≠-x x , 23{>≠x x所以函数)2ln(1)(-=x x f 的定义域是),3()3,2(+∞⋃2.函数xx f -=51)(的定义域是 .解:05>-x ,5<x 所以函数xx f -=51)(的定义域是)5,(-∞3.函数24)2ln(1)(x x x f -++=的定义域是 .解:⎪⎩⎪⎨⎧≥->+≠+04020)2ln(2x x x ,⎪⎩⎪⎨⎧≤≤-->-≠2221x x x 所以函数24)2ln(1)(x x x f -++=的定义域是]2,1()1,2(-⋃-- 4.函数72)1(2+-=-x x x f ,则=)(x f.解:72)1(2+-=-x x x f 6)1(61222+-=++-=x x x 所以=)(x f 62+x5.函数⎩⎨⎧>≤+=0e02)(2x x x x f x ,则=)0(f .解:=)0(f 2202=+6.函数x x x f 2)1(2-=-,则=)(x f .解:x x x f 2)1(2-=-1)1(11222+-=-+-=x x x ,=)(x f 12+x7.函数1322+--=x x x y 的间断点是 .解:因为当01=+x ,即1-=x 时函数无意义所以函数1322+--=x x x y 的间断点是1-=x8.=∞→xx x 1sinlim .解:=∞→x x x 1sinlim 111sinlim =∞→xx x9.若2sin 4sin lim0=→kxxx ,则=k .解: 因为24sin 44sin lim 4sin 4sin lim00===→→kkxkx x xk kx x x x 所以2=k10.若23sin lim 0=→kxxx ,则=k .解:因为2333lim 33lim 00===→→kx x sim k kx x sim x x所以23=k 二、单项选择题(每小题2分,共24分)1.设函数2e e xx y +=-,则该函数是( ).A .奇函数B .偶函数C .非奇非偶函数D .既奇又偶函数解:因为y e e e e x y xx x x =+=+=-----22)()( 所以函数2e e xx y +=-是偶函数。
成绩:微积分基础形成性考核册(参考答案:daixiezuoye1)专业:学号:姓名:(请按照顺序打印,并左侧装订)微积分基础形成性考核作业(一)————函数,极限和连续一、填空题(每小题2分,共20分)1.函数)2ln(1)(-=x x f 的定义域是 .2.函数x x f -=51)(的定义域是 .3.函数24)2ln(1)(x x x f -++=的定义域是.4.函数72)1(2+-=-x x x f ,则=)(x f .5.函数⎩⎨⎧>≤+=0e 02)(2x x x x f x,则=)0(f 2 . 6.函数x x x f 2)1(2-=-,则=)(x f .7.函数1322+--=x x x y 的间断点是 .8.=∞→x x x 1sinlim 1 .9.若2sin 4sin lim0=→kx xx ,则=k 2 .10.若23sin lim0=→kx xx ,则=k .二、单项选择题(每小题2分,共24分)1.设函数2e e xx y +=-,则该函数是(B ).A .奇函数B .偶函数C .非奇非偶函数D .既奇又偶函数 2.设函数x x y sin 2=,则该函数是(A ).A .奇函数B .偶函数C .非奇非偶函数D .既奇又偶函数3.函数222)(xx xx f -+=的图形是关于(D )对称.A .x y =B .x 轴C .y 轴D .坐标原点 4.下列函数中为奇函数是(C).A .x x sinB .x lnC .)1ln(2x x ++D .2x x +5.函数)5ln(41+++=x x y 的定义域为( D ).A .5->xB .4-≠xC .5->x 且0≠xD .5->x 且4-≠x6.函数)1ln(1)(-=x x f 的定义域是( D ).A . ),1(+∞B .),1()1,0(+∞⋃C .),2()2,0(+∞⋃D .),2()2,1(+∞⋃7.设1)1(2-=+x x f ,则=)(x f ( C ) A .)1(+x x B .2xC .)2(-x xD .)1)(2(-+x x 8.下列各函数对中,(D)中的两个函数相等.A .2)()(x x f =,x x g =)(B .2)(x x f =,x x g =)(C .2ln )(x x f =,x x g ln 2)(=D .3ln )(x x f =,x x g ln 3)(=9.当0→x 时,下列变量中为无穷小量的是( C ).A .x 1B .x x sinC .)1ln(x +D .2x x10.当=k ( B )时,函数⎩⎨⎧=≠+=0,0,1)(2x k x x x f ,在0=x 处连续。
1作业(一)————函数,极限和连续一、填空题(每小题2分,共20分)1.函数)2ln(1)(-=x x f 的定义域是 . 答案:),3()3,2[+∞ 提示:对于)2ln(1-x ,要求分母不能为0,即0)2ln(≠-x ,也就是3≠x ; 对于)2ln(-x ,要求02>-x ,即2>x ;所以函数)2ln(1)(-=x x f 的定义域是),3()3,2[+∞2.函数xx f -=51)(的定义域是 . 答案:)5,(-∞提示:对于x-51,要求分母不能为0,即05≠-x ,也就是5≠x ;对于x -5,要求05≥-x ,即5≤x ;所以函数xx f -=51)(的定义域是)5,(-∞3.函数24)2ln(1)(xx x f -++=的定义域是 . 答案:]2,1()1,2(--- 提示:对于)2ln(1+x ,要求分母不能为0,即0)2ln(≠+x ,也就是1-≠x ; 对于)2ln (+x ,要求02>+x ,即2->x ; 对于24x -,要求042≥-x ,即2≤x 且2-≥x ; 所以函数24)2ln(1)(xx x f -++=的定义域是]2,1()1,2(---4.函数72)1(2+-=-x xx f ,则=)(x f. 答案:62+x提示:因为6)1(72)1(22+-=+-=-x x x x f ,所以6)(2+=x x f5.函数⎩⎨⎧>≤+=0e02)(2x x x x f x,则=)0(f . 答案:2 提示:因为当0=x 是在0≤x 区间,应选择22+x进行计算,即220)0(2=+=f6.函数x x x f 2)1(2-=-,则=)(x f . 答案: 12-x 提示:因为1)1(2)1(22--=-=-x x x x f ,所以1)(2-=x x f7.函数1322+--=x x x y 的间断点是 . 答案: 1-=x提示:若)(x f 在0x 有下列三种情况之一,则)(x f 在0x 间断:①在0x 无定义;②在0x 极限不存在;③在0x 处有定义,且)(lim 0x f x x →存在,但)()(lim 00x f x f x x ≠→。
中央电大《微积分初步》形成性考核册参考答案微积分初步作业1 参考答案1、函数、极限和连续一、填空题(每小题2分,共20分)1.()()3,+∞2,3 或填{}23x x x >≠且; 2.(),5-∞或填{}5x x <;3.()(]2,11,2--⋃-或填{}121x x x -<≤≠-且; 4.26x +; 5.2; 6.21x -; 7.1x =-; 8.1; 9.2; 10.32.二、单项选择题(每小题2分,共24分)1.B2.A3.D4.C5.D6.D7.C8.D9.C 10.B 11.D 12.A三、解答题(每小题7分,共56分) 1.解:原式=()()()()221211limlim .2224x x x x x x x x →→---==+-+ 2.解:原式=()()()()126167lim lim .1112x x x x x x x x →→+-+==+-+ 3.解:原式=()()()()323333limlim .1312x x x x x x x x →→+-+==+-+ 4.解:原式=()()()()422422lim lim .1413x x x x x x x x →→---==--- 5.解:原式=()()()()22244limlim 2.233x x x x x x x x →→---==--- 6.解:原式=111.2x x →→==-7.解:原式=111.8x x →→==-8.解:原式=()()0sin 4242lim16.x x x x x→→⋅⋅==微积分初步作业2 参考答案2、导数与微分3、导数的应用一、填空题(每小题2分,共20分)1.12; 2.10x y -+=; 3.230x y +-=; 41; 5.6-; 6.()271ln3+;7.21x-; 8.2-; 9.()1,+∞; 10. 0a >.二、单项选择题(每小题2分,共24分)1.D2.C3.C4.B5.D6.C7.C8.C9.A 10.B 11.B 12.A三、解答题(每小题7分,共56分)1.解:()111221221xxx y xe x e x e x ⎛⎫'=+-=- ⎪⎝⎭.2.解:24cos43sin cos y x x x '=-. 3.解:21y x '=-. 4.解:sin tan cos x y x x '==. 5.解:方程两边同时对x 求微分,得()()2202222xdx ydy xdy ydx x y dx x y dyx ydy dxx y+--=-=--∴=-6. 解: 原方程可化为()21x y +=1,1x y y x ∴+=±=-±1,y dy dx '∴=-=-7. 解:方程两边同时对x 求微分,得20x y y e dx e dy xe dx xdx +++=()2y x y xe dy e e x dx =-++2x y ye e xdy dx xe++∴=-. 8. 解:方程两边同时对x 求微分,得()()sin 0y x y dx dy e dy -+++=()()sin sin yx y dy dx e x y +∴=-+ 微积分初步作业3 参考答案4、不定积分、极值应用问题一、填空题(每小题2分,共20分)1.2ln 2x x x c -+; 2.24x e --; 3.()1x x e +; 4.2cos 2x ; 5.1x;6.4cos 2x -;7.2x e dx -; 8.sin x c +; 9.()1232F x c -+; 10. ()2112F x c--+.二、单项选择题(每小题2分,共16分) 1.A 3.A 4.A 5.A 6.A 7.C 8.B三、解答题(每小题7分,共35分)1.解:原式=32sin 3ln cos 3x dx x x c x⎛⎫=-+ ⎪⎝⎭⎰.2.解:原式=()()()()10111121212121221122x d x x c x c --=⨯-+=-+⎰.3.解:原式=111sin cos d c x x x⎛⎫-=+ ⎪⎝⎭⎰. 4.解:原式=11111cos 2cos 2cos 2cos 2sin 222224xd x x x xdx x x x c -=-+=-++⎰⎰. 5.解:原式=()1x x x x x x xde xe e dx xe e c x e c -------=-+=--+=-++⎰⎰.四、极值应用题(每小题12分,共24分)1.解: 设矩形ABCD 的一边AB x =厘米,则60BC x =-厘米, 当它沿直线AB 旋转一周后,得到圆柱的体积()()260,060V x x x π=-<<令()()2602600V x x x π⎡⎤'=---=⎣⎦得20x = 当()0,20x ∈时,0V '>;当()20,60x ∈时,0V '<.20x ∴=是函数V的极大值点,也是最大值点.此时6040x -=答:当矩形的边长分别为20厘米和40厘米时,才能使圆柱体的体积最大. 2. 解:设成矩形有土地的宽为x 米,则长为216x米, 于是围墙的长度为()4323,0L x x x=+> 令243230L x'=-=得()12x =取正易知,当12x =时,L 取得唯一的极小值即最小值,此时21618x= 答:这块土地的长和宽分别为18米和12米时,才能使所用的建筑材料最省. 五、证明题(本题5分)()()()()1 0, 01 0, 0,0.x x f x e x e x f x f x x e '=-<<<'∴<>=--∞证:当时当时从而函数在区间是单调增加的微积分初步作业4 参考答案5、定积分及应用一、填空题(每小题2分,共20分)1.23-; 2.2; 3.3221633y x =-; 4.4; 5.24a π; 6.0;7.12;8.x y e =; 9.3x y ce -=; 10. 4.二、单项选择题(每小题2分,共20分)1.A2.A3.A4.D5.D6.B7.B8.D9.C 10.B三、计算题(每小题7分,共56分)1.解:原式=()()()2ln 23ln 20011911133xx x ed e e ++=+=-⎰. 2.解:原式=()()()21111715ln 15ln 15ln 5102e ex d x x ++=+=⎰. 3.解:原式=()111100011x x x xxde xe e dx e e e e =-=-=--=⎰⎰.4.解:原式=02cos 2cos 4sin 4222x x x xd x ππ⎡⎤-=-+=⎢⎥⎣⎦⎰.5.解:原式=22220000cos cos cos 0sin 1xd x x x xdx x ππππ-=-+=+=⎰⎰.6. 解:()()21,1P x Q x x x==+()()()()()()112ln 2ln 342 1 11 111 42P x dx P x dx dx dx x x x xy e Q x e dx c e x e dx c e x e dx c x x dx c x x x c x ---⎡⎤⎰⎰=+⎢⎥⎣⎦⎡⎤⎰⎰=++⎢⎥⎣⎦⎡⎤=++⎣⎦⎡⎤=++⎣⎦⎡⎤=++⎢⎥⎣⎦⎰⎰⎰⎰通解即通解31142c y x x x=++ 7. 解:()()1,2sin 2P x Q x x x x=-=()()()()11ln ln 2sin 2 2sin 21 2sin 2 cos 2P x dx P x dx dx dx x xx x y e Q x e dx c e x xedx c e x xe dx c x x x dx c x x x c ---⎡⎤⎰⎰∴=+⎢⎥⎣⎦⎡⎤⎰⎰=+⎢⎥⎣⎦⎡⎤=+⎣⎦⎡⎤=⋅+⎢⎥⎣⎦=-+⎰⎰⎰⎰通解即通解为()cos2y x x c =-+.四、证明题(本题4分)()()()()()()()()()()()000000aaaaaaaa af x dx f x dxf x dx f x dxf x d x f x dx f x dx f x dxf x f x dx ----+=-+=---+=-+=-+=⎡⎤⎣⎦⎰⎰⎰⎰⎰⎰⎰⎰⎰证:左边=右边。
电大资料整理电大微积分初步考试小抄一、填空题 ⒈函数xx f -=51)(的定义域是→x <5⒉∞→xx x sin lim1sin lim =∞→x x ,01→∞→x 时, ⒊已知xx f 2)(=,则)(x f ''⒋若⎰+=c x F x xf )(d )(,则⎰-x x f d )32(⒌微分方程x y y x =+'''e sin )(y '''6.函数)2ln(1)(+=x x f }{}{}122-1ln )2(ln 2-x 02ln 0≠+⇒≠+⇒≠+x x x x ,>,>,>∴{}1- 2-x |≠且>x7.→xx x 2sin lim 0 211212lim 2sin lim 00=⋅=→→x x x x x x 21:222sin lim0==→x x x 8.若y = x (x – 1)(x – 2)(x – 3),则y '(0) y=x(x-1)(x-2)(x-3)=(x 2-x)(x 2-5x+6)=x 4-5x 3+6x x 2-6x=x 4-6x 3+11x 2-6x , 622184y 23x -+-='x x⇐(把0带入X ),6)0(-='∴y9.⎰-x x d ed 2)()(x f dx x f ='⎰)(或dx x f dx xf d )())((=⎰ 10.微分方程1)0(,=='y y y y y ='y dxdy= ⎰⎰==∴dx dy dx y dy y 两边积分 ec x y +=∴又y(0)=1 (x=0 , y=1) c x y +=∴ln 010==∴+c e c,11.函数24)2ln(1)(x x x f -++=的定义域是⎩⎨⎧-≠≤-⇒⎩⎨⎧≠+≤-⇒⎪⎩⎪⎨⎧≠+≤≤⇒⎪⎪⎩⎪⎪⎨⎧≠++≥-122122x 21ln )2ln(2-2x 2-0)2(ln 02042x x x x x x x x <<>>12.若函数⎪⎩⎪⎨⎧=≠+=0,0,13sin )(x k x xx x f ,在0=x 处连续,则k )()(lim00x x f x f x =→ ()(x f 在x 0处连续) ∵k f =)0( 113sin 0lim )13sin (0lim =+⋅→=+→∴x x x x x x (无穷小量x 有界函数)13.曲线x y =在点)1,1(处的切线方程是x x y 2== , x y 2121-=' 切k y ==='∴211x | 2121y )1(11y +=⇒-=-∴∴x x 方程 14.'⎰x x s d )in (15.微分方程y y x y sin 4)(5=+''16.函数)2ln()(-=x xx f {}3x 2x |122)2ln(20)2ln(02≠⇒⎩⎨⎧≠-⇒⎩⎨⎧≠-⇒⎩⎨⎧≠--且>>>>x xx nx x x x17.∞→xxx 2sin lim 18.已知x x f 3)(+=,则)3(f '3ln 3)(2xx f +=' 3ln 2727)3(+='∴f19.⎰2de x 20.微分方程x y xyy sin 4)(7)4(=+ 二、单项选择题⒈设函数2e e xx y +=-,则该函数是(偶函数).∵所以是偶函数)(2e e )(x f x f xx =+=--⒉函数233)(2+--=x x x x f 的间断点是(2,1==x x )分母无意义的点是间断点∴2,1,0232===+-x x x x电大资料整理⒊下列结论中()(x f 在0x x =处不连续,则一定在0x 处不可导)正确.可导必连续,伹连续并一定可导;极值点可能在驻点上,也可能在使导数无意义的点上⒋如果等式+-=c x x f xx 11ed e )(,则=)(x f )()1()()(,1u )(),()(,)()(111'-∙='-∙'='∴=-=='∴='∴+=⎰---x e xe e e y xe xf x F C x F dx x f u u x u x,令22112121)()()(x x f x e ex f x e x e xxxu =∴=∴=∙=----⒌下列微分方程中,(x yx y y sin =+' )是线性微分方程.6.设函数2e e xx y --=,则该函数是(奇函数).7.当=k (2 )时,函数⎩⎨⎧=≠+=0,,2)(2x k x xx f 在0=x 处连续.8.下列函数在指定区间(,)-∞+∞上单调减少的是(x -3).9.10.11.设1)1(2-=+x xf ,则(x f 12.若函数f (x )在点x 0处可导,但)(0x f A ≠)是错误的.13.函数2)1(+=x y 在区间)2,2(-是(先减后增) 14.=''⎰x x f x d )((c x f x f x +-')()() 16.17.当=k (2)时,函数⎩⎨⎧=≠+=0,0,1e )(x k x x f x 在0=x 处连续.18.函数12+=x y 在区间)2,2(-是(先单调下降再单调上升)19.在切线斜率为2x 的积分曲线族中,通过点(1, 4)的曲线为(y = x 2+ 3).20.微分方程1)0(,=='y y y 的特解为(xy e =).三、计算题⒈计算极限423lim 222-+-→x x x x .解:41)2()1(lim 2)2(1(lim22=+-=---→→x x x x x x x ) ⒉设x x y x+=-2e ,求y d .解:xe x exx 23221x2-+=⨯+-e y x21-=e y u=1,u= -2x)(11e y u =′·(-2x)′=e u·(-2)= -2·e-2x∴y ′= -2e -2x+x 2123∴dy=(-2·e -2x+x 2123)dx⒊计算不定积分x x xd sin ⎰解:令u=x 21x =,u ′=xx 212121=-∴dx xd u 21=∴u sin ·2du=⎰udu sin 2=2(-cos)+cc x x xde 210x∴⎰1u v ′dx=uv x vd u -110|'⎰1)(0111110|||=-'-=-=-⋅=∴⎰⎰e eee e e e e x dxx dx x x x xx x∴原式=25.计算极限9152lim 223--+→x x x x34353lim )3)(3()3)(5(3lim =++→=+--+→x x x x x x x x电大资料整理6.设x x x y cos ln +=,求y d 解:x x x y xxcos ln cos ln 2321+=+⋅=y 1=lncosxy 1=lnu1,u=cosx ∴xx x u x u ycos sin )sin (1)(cos )(ln 11-=-⋅='⋅'=y 1=xx x cos sin 2321-∴dy=(xx x cos sin 2321-)dx7.计算不定积分x x d )21(9⎰-解:dx x ⎰-)21(9令u=1-2x , u ′= -2 ∴du dx x du 212-=⇒-=c c dudu x u u u+-=++⋅-=-=-⋅-⎰⎰20192121)21()21(1010998.计算定积分x x xd e 10⎰-解:u=x,e e xxv v ---==', )()(11111|x d dxx dx x e e e e e x xx x--=--⋅-=⋅⎰⎰⎰-----=1)11(1|11=--=---ee e e x9.计算极限4586lim 224+-+-→x x x x x3212lim )4)(1()4)(2(lim44=--=----→→x x x x x x x x10.设x y x3sin 2+=,求y d y 1=sin3x y 1=sinu , u=3x ,x y3cos 3x 3sinu 1='⋅'=')()(∴y ′=2xln2+3cos3x ∴dy=(2xln2+3cos3x)dx 11.计算不定积分x x x d cos ⎰⎰xdx x cos u=x , v ′=cosx , v=sinx ⎰⎰+--=-⋅=cx x x xdx x x xdx x )cos (sin sin sin cos12.计算定积分x x x d ln 51e1⎰+⎰⎰⎰⎰+=+=+e e eedxxx dxx x x dxx x dx x 11e111ln 51ln 5ln ln 51|令u=lnx, u ′=x1, du=x 1dx , 1≤x ≤e 0≤lnx ≤1 ∴2121ln |102101===⎰⎰u udu dx x x e ∴原式=1+5·21=2713.计算极限623lim 222-++-→x x x x x解:5131lim )2)(3x ()1)(2(lim22=+-=-+--→→x x x x x x x14.设xx y 12e =,求y '解:ex xy 12⋅=(e yx11=) , e y u=1, xu 1=, xe x e e y xuux 21211)1()1()(-=-⋅='⋅'=)ee xe x e e x e x x1x12x 12x1x12x122)(2)()(y -=-⋅+='⋅+⋅'='∴x x15.计算不定积分x x d )12(10⎰-解:dx x ⎰-)12(10u=2x-1 ,d '=2 du=2dx∴c du dudx u uu x +⋅=⋅=⋅=⎰⎰⎰-1121212111101010)12(c x +=-)(121121 16.计算定积分⎰1d e x x x解:dx x e x⎰⋅1u=x , e xv =' , e xv =1)1(1110|=--=-⋅=⎰⎰e e dx x dx x e e e xx x四、应用题(本题16分)电大资料整理用钢板焊接一个容积为43m 的底为正方形的无盖水箱,已知钢板每平方米10元,焊接费40元,问水箱的尺寸如何选择,可使总费最低?最低总费是多少? 解:设水箱的底边长为x ,高为h,表面积为s ,且有h=x24所以S(x)=x 2+4xh=x 2+x16'xx S 2162-='令S '(x )=0,得x=2因为本问题存在最小值,且函数的驻点唯一,所以x=2,h=1时水箱的表面积最小。
微积分初步形成性考核作业(一)————函数,极限和连续一、填空题(每小题2分,共20分) 1.函数)2ln(1)(-=x x f 的定义域是 .解:020)2ln({>-≠-x x , 23{>≠x x所以函数)2ln(1)(-=x x f 的定义域是),3()3,2(+∞⋃2.函数xx f -=51)(的定义域是 .解:05>-x ,5<x 所以函数xx f -=51)(的定义域是)5,(-∞3.函数24)2ln(1)(x x x f -++=的定义域是 .解:⎪⎩⎪⎨⎧≥->+≠+04020)2ln(2x x x ,⎪⎩⎪⎨⎧≤≤-->-≠2221x x x 所以函数24)2ln(1)(x x x f -++=的定义域是]2,1()1,2(-⋃-- 4.函数72)1(2+-=-x x x f ,则=)(x f.解:72)1(2+-=-x x x f 6)1(61222+-=++-=x x x 所以=)(x f 62+x5.函数⎩⎨⎧>≤+=0e02)(2x x x x f x ,则=)0(f .解:=)0(f 2202=+6.函数x x x f 2)1(2-=-,则=)(x f .解:x x x f 2)1(2-=-1)1(11222+-=-+-=x x x ,=)(x f 12+x7.函数1322+--=x x x y 的间断点是 .解:因为当01=+x ,即1-=x 时函数无意义所以函数1322+--=x x x y 的间断点是1-=x8.=∞→xx x 1sinlim .解:=∞→x x x 1sinlim 111sinlim =∞→xx x9.若2sin 4sin lim0=→kxxx ,则=k .解: 因为24sin 44sin lim 4sin 4sin lim 00===→→kkxkx x xk kx x x x所以2=k10.若23sin lim 0=→kxxx ,则=k .解:因为2333lim 33lim 00===→→kx x sim k kx x sim x x所以23=k 二、单项选择题(每小题2分,共24分)1.设函数2e e xx y +=-,则该函数是( ).A .奇函数B .偶函数C .非奇非偶函数D .既奇又偶函数解:因为y e e e e x y xx x x =+=+=-----22)()( 所以函数2e e xx y +=-是偶函数。
微积分初步形成性考核作业(二)解答(除选择题)————导数、微分及应用一、填空题(每小题2分,共20分) 1.曲线1)(+=x x f 在)2,1(点的斜率是 .解:xx f 21)(=',斜率21)1(='=f k2.曲线x x f e )(=在)1,0(点的切线方程是 . 解:x e x f =')( ,斜率1)0(0=='=e f k所以曲线x x f e )(=在)1,0(点的切线方程是:1+=x y 3.曲线21-=x y 在点)1,1(处的切线方程是.解:2321--='xy ,斜率21211231-=-='==-=x x xy k所以曲线21-=xy 在点)1,1(处的切线方程是:)1(211--=-x y即:032=-+y x 4.=')2(x.解:=')2(xxxxx22ln 22ln 212=⋅5.若y = x (x – 1)(x – 2)(x – 3),则y '(0) = .解:6)3)(2)(1()0(-=---='y 6.已知xx x f 3)(3+=,则)3(f '= .解:3ln 33)(2xx x f +=',)3(f '3ln 2727+=7.已知x x f ln )(=,则)(x f ''= . 解:xx f 1)(=',21)(xx f -=''8.若xx x f -=e )(,则='')0(f.解:x x xe e x f ---=')(,xx x x x xe e xe e e x f -----+-=---=''2)()(='')0(f 2-9.函数y x =-312()的单调增加区间是 . 解:0)1(6≥-='x y ,1≥x所以函数y x =-312()的单调增加区间是),1[+∞10.函数1)(2+=ax x f 在区间),0(∞+内单调增加,则a 应满足 .解:02)(≥='ax x f ,而0>x ,所以0≥a 二、单项选择题(每小题2分,共24分) 1.函数2)1(+=x y 在区间)2,2(-是( ) A .单调增加 B .单调减少 C .先增后减 D .先减后增2.满足方程0)(='x f 的点一定是函数)(x f y =的( ). A .极值点 B .最值点 C .驻点 D . 间断点 3.若x x f xcos e)(-=,则)0(f '=( ). A . 2 B . 1 C . -1 D . -2 4.设y x =lg 2,则d y =( ). A .12d xx B .1d x x ln 10C .ln 10xx d D .1d x x5..设)(x f y =是可微函数,则=)2(cos d x f ( ). A .x x f d )2(cos 2' B .x x x f d22sin )2(cos ' C .x x x f d 2sin )2(cos 2' D .x x x f d22sin )2(cos '-6.曲线1e2+=xy 在2=x 处切线的斜率是( ). A .4e B .2e C .42e D .2 7.若x x x f cos )(=,则='')(x f ( ).A .x x x sin cos +B .x x x sin cos -C .x x x cos sin 2--D .x x x cos sin 2+8.若3sin )(a x x f +=,其中a 是常数,则='')(x f ( ).A .23cos a x +B .a x 6sin +C .x sin -D .x cos9.下列结论中( )不正确. A .)(x f 在0x x =处连续,则一定在0x 处可微. B .)(x f 在0x x =处不连续,则一定在0x 处不可导. C .可导函数的极值点一定发生在其驻点上.D .若)(x f 在[a ,b ]内恒有0)(<'x f ,则在[a ,b ]内函数是单调下降的. 10.若函数f (x )在点x 0处可导,则( )是错误的.A .函数f (x )在点x 0处有定义B .A x f x x =→)(lim 0,但)(0x f A ≠C .函数f (x )在点x 0处连续D .函数f (x )在点x 0处可微11.下列函数在指定区间(,)-∞+∞上单调增加的是( ). A .sin x B .e x C .x 2 D .3 - x 12.下列结论正确的有( ). A .x 0是f (x )的极值点,且f '(x 0)存在,则必有f '(x 0) = 0 B .x 0是f (x )的极值点,则x 0必是f (x )的驻点 C .若f '(x 0) = 0,则x 0必是f (x )的极值点 D .使)(x f '不存在的点x 0,一定是f (x )的极值点三、解答题(每小题7分,共56分)⒈设x x y 12e =,求y '.解:x xx xe xexe x xey 1121212)1(2-=-+='x e x 1)12(-=2.设x x y 3cos 4sin +=,求y '. 解:x x x y sin cos 34cos 42-=' 3.设x y x 1e 1+=+,求y '.解:211121xex y x -+='+4.设x x x y cos ln +=,求y '. 解:x x xx x y tan 23cos sin 23-=-+='5.设)(x y y =是由方程422=-+xy y x 确定的隐函数,求y d .解:两边微分:0)(22=+-+xdy ydx ydy xdx x d x y d x x d y y d y 22-=-dx xy x y dy --=226.设)(x y y =是由方程1222=++xy y x 确定的隐函数,求y d . 解:两边对1222=++xy y x 求导,得:0)(222='++'+y x y y y x 0='++'+y x y y y x ,)()(y x y y x +-='+,1-='y dx dx y dy -='=7.设)(x y y =是由方程4e e 2=++x x y x 确定的隐函数,求y d . 解:两边微分,得:02=+++xdx dy xe dx e dx e yy xdx x e e dy xe yx y )2(++-=,dx xexe e dy yyx2++-=8.设1e )cos(=++yy x ,求y d . 解:两边对1e )cos(=++yy x 求导,得: 0)s i n ()1(='++'+-ye y y x y 0)s i n ()s i n (='++'-+-ye y y x y y x )s i n ()]sin([y x y y x e y+='+- )s i n ()s i n (y x e y x y y+-+='dx y x e y x dx y dy y)sin()sin(+-+='=。
微积分初步 作业1 学 号:得 分: 教师签名:————函数,极限和连续一、填空题(每小题2分,共20分) 1.函数)2-ln(1)(x x f =的定义域是)∞,3(∪)3,2(+2.函数xx f -51)(=的定义域是)5,-3.函数2-4)2ln(1)(x x x f ++=的定义域是]2,1-(∪)1-,2-(4.函数72-)1-(+=x x x f ,则=)(x f 62+x5.函数>+=0e≤2)(2x x x x f x,则=)0(f 2 . 6.函数x x x f 2-)1-(2=,则=)(x f 1-2x7.函数13-2-2+=x x x y 的间断点是1-=x8.=xx x 1sin lim ∞→ 1 .9.若2sin 4sin lim 0→=kxxx ,则=k 2 . 10.若23sin lim0→=kxxx ,则=k 23 二、单项选择题(每小题2分,共24分) 1.设函数2e exxy +=,则该函数是(B ). A .奇函数 B .偶函数 C .非奇非偶函数 D .既奇又偶函数 2.设函数x x y sin 2=,则该函数是(A ).A .奇函数B .偶函数C .非奇非偶函数D .既奇又偶函数3.函数222)(xx xx f +=的图形是关于(D )对称.A .x y =B .x 轴C .y 轴D .坐标原点 4.下列函数中为奇函数是( C ).A .x x sinB .x lnC .)1ln(2x x ++D .2x x + 5.函数)5ln(41+++=x x y 的定义域为( D ). A .5->x B .4-≠xC .5->x 且0≠xD .5->x 且4-≠x6.函数)1-ln(1)(x x f =的定义域是(D ). A . )∞,1(+ B .)∞,1(∪)1,0(+C .)∞,2(∪)2,0(+D .)∞,2(∪)2,1(+7.设1-)1(2x x f =+,则=)(x f ( C ) A .)1(+x x B .2x C .)2-(x x D .)1-)(2(x x + 8.下列各函数对中,(D )中的两个函数相等.A .2)()(x x f =,x x g =)(B .2)(x x f =,x x g =)(C .2ln )(x x f =,9.当0→x 时,下列变量中为无穷小量的是( C ). A .x1B .x x sin C .)1ln(x + D .2xx10.当=k ( B )时,函数=+=,≠,1)(2x k x x x f ,在0=x 处连续. A .0 B .1 C .2 D .111.当=k ( D )时,函数=+=,≠,2)(x k x e x f x 在0=x 处连续.。
国家开放大学《微积分基础》形成性考核作业1-4参考答案形成性考核作业1一、填空题(每小题2分,共20分)1.函数的定义域是 (2,3)U (3,+∞) .2.函数的定义域是 (-∞,5) .3.函数的定义域是 (-2,-1)U (-1,2] .4.函数,则 f(x)=x 2+6 .5.函数,则 2 .6.函数,则 x 2―1 .7.函数的间断点是 x=-1 .8. 1 .9.若,则 2 .10.若,则 3/2 .二、单项选择题(每小题2分,共24分)1.设函数,则该函数是(B ).A .奇函数B .偶函数C .非奇非偶函数D .既奇又偶函数2.设函数,则该函数是(A ).)2ln(1)(-=x x f xx f -=51)(24)2ln(1)(x x x f -++=72)1(2+-=-x x x f =)(x f ⎩⎨⎧>≤+=0e 02)(2x x x x f x =)0(f x x x f 2)1(2-=-=)(x f 1322+--=x x x y =∞→xx x 1sinlim 2sin 4sin lim 0=→kxxx =k 23sin lim 0=→kxxx =k 2e e xx y +=-x x y sin 2=A .奇函数B .偶函数C .非奇非偶函数D .既奇又偶函数3.函数的图形是关于(D )对称.A .B .轴C .轴D .坐标原点4.下列函数中为奇函数是(C ).A .B .C .D . 5.函数的定义域为(D ). A . B . C .且 D .且 6.函数D ). A . B . C . D .222)(xx x x f -+=x y =x y x x sin x ln )1ln(2x x ++2x x +)5ln(41+++=x x y 5->x 4-≠x 5->x 0≠x 5->x 4-≠x 1()ln(1)f x x =-(1,225⋃)(,)(1,225]⋃)(,(5]-∞,),2()2,1(+∞⋃7.设,则(C )A .B .C .D .8.下列各函数对中,(D )中的两个函数相等.A .,B .,C .,D .,9.当时,下列变量中为无穷小量的是(C ).A .B .C .D .10.当(B )时,函数,在处连续.A .0B .1C .D .11.当(D )时,函数在处连续.A .0B .12(1)+21f x x x +=-=)(x f 21x -22x -2+1x 22x +2)()(x x f =x x g =)(2)(x x f =x x g =)(2ln )(x x f =x x g ln 2)(=3ln )(x x f =x x g ln 3)(=0→x x 1xx sin )1ln(x +2x x =k ⎩⎨⎧=≠+=0,,1)(2x k x x x f 0=x 21-=k e 2,0(),0x x f x k x ⎧+≠=⎨=⎩0=xC .D . 12.函数的间断点是(A ) A . B . C . D .无间断点三、解答题(每小题7分,共56分)⒈计算极限=(X ―1)(X ―2)(X +2)(X ―2)=x ―1x +2=142.计算极限=lim x→1(x +6)(x ―1)(x +1)(x ―1)=lim x→1(x +6)(x +1)=72 3.=lim x→3(x +3)(x ―3)(x ―3)(x +1)=lim x→3(x +3)(x +1)=324.计算极限=lim x→4(x ―2)(x ―4)(x ―1)(x ―4)=lim x→4(x ―2)(x ―1)=235.计算极限=lim x→2(x ―2)(x ―4)(x ―2)(x ―3)=lim x→2(x ―4)(x ―3)=26.计算极限=limx→0(1―x ―1)(1―x +1)x(1―x +1)=lim x→0―x x (1―x +1)=lim x→0―1(1―x +1)=―12 7.计算极限=limx→0(1―x ―1)(1―x +1)sin4x(1―x +1)=―188.计算极限=limx→0sin4x(x +4+2)x=16形成性考核作业2一、填空题(每小题2分,共20分)23233)(2+--=x x x x f 2,1==x x 3=x 3,2,1===x x x 42lim 222---→x x x x 165lim 221--+→x x x x 329lim 223---→x x x x 4586lim 224+-+-→x x x x x 6586lim 222+-+-→x x x x x x x x 11lim 0--→x x x 4sin 11lim 0--→244sin lim-+→x x x1.曲线在点的斜率是 1/2 . 2.曲线在点的切线方程是 y=x+1 . 3.曲线在点处的切线方程是 y =―12x +32 .4.2x ln22x.5.若y = x (x – 1)(x – 2)(x – 3),则(0) = -6 . 6.已知,则= 27+3x ln3 . 7.已知,则=―1x 2 8.若,则-2 .9.函数的单调增加区间是 [1,+∞) .10.函数在区间内的驻点为1 .二、单项选择题(每小题2分,共24分) 1.函数在区间是(D ) A .单调增加B .单调减少C .先增后减D .先减后增2.满足方程的点一定是函数的(C ).A .极值点B .最值点C .驻点D .间断点3.若,则=(C ).A . 2B . 1C . -11)(+=x x f )2,1(x x f e )(=)1,0(21-=x y )1,1(=')2(xy 'x x x f 3)(3+=)3(f 'x x f ln )(=)(x f ''()sin f x x x =()2f π''=2)1(3-=x y 31()3f x x x =-(0,2)x =2)1(+=x y )2,2(-0)(='x f )(x f y =x x f x cos e )(-=)0(f 'D . -24.设,则(B ). A . B .C .D .5.设是可微函数,则(D ).A .B .C .D .6.曲线在处切线的斜率是(C ).A .B .C .D .7.若,则(C ).A .B .C .D .8.若,其中是常数,则(C ).x y 2lg ==y dx xd 21x x d 10ln 1x xd 10ln x xd 1)(x f y ==)2(cos d x f x x f d )2(cos 2'x x x f d22sin )2(cos 'x x x f d 2sin )2(cos 2'x x x f d22sin )2(cos '-1e 2+=x y 2=x 4e 2e 42e 2x x x f cos )(=='')(x f x x x sin cos +x x x sin cos -x x x cos sin 2--x x x cos sin 2+3sin )(a x x f +=a ='')(x fA .B .C .D .9.下列结论中(A )不正确.A .在处连续,则一定在处可微.B .在处不连续,则一定在处不可导.C .可导函数的极值点一定发生在其驻点上.D .若在[a ,b ]内恒有,则在[a ,b ]内函数是单调下降的. 10.若函数f (x )在点x 0处可导,则(B )是错误的.A .函数f (x )在点x 0处有定义B .,但C .函数f (x )在点x 0处连续D .函数f (x )在点x 0处可微11.下列函数在指定区间上单调下降减少的是(B ). A .sin x B .e x C .x 2 D .3 - x12.下列结论正确的有(A ).A .x 0是f (x )的极值点,且(x 0)存在,则必有(x 0) = 0B .x 0是f (x )的极值点,则x 0必是f (x )的驻点C .若(x 0) = 0,则x 0必是f (x )的极值点D .使不存在的点x 0,一定是f (x )的极值点 三、解答题(每小题7分,共56分)⒈设,求. 23cos a x +a x 6sin +x sin -x cos )(x f 0x x =0x )(x f 0x x =0x )(x f 0)(<'x f A x f x x =→)(lim 0)(0x f A ≠),(+∞-∞f 'f 'f ')(x f '3223++=x x y y '2.设,求.3.设,求.4.设,求.5.设,求.6.设是由方程确定的隐函数,求.7.设是由方程确定的隐函数,求.8.设,求.x x y 2cos +=y'x y x2sin e 1+=yd x x x y cos ln +=yd xx x y -++=1)1sin(2yd )(x y y =422=-+xy y x y')(x y y =4e e 2=++x x y x yd 1e )cos(=++y y x y d形成性考核作业3一、填空题(每小题2分,共20分)1.若的一个原函数为,则 1/x 。
微积分初步形成性考核作业〔一〕————函数,极限和连续一、填空题〔每题2分,共20分〕 1.函数)2ln(1)(-=x x f 的定义域是.解:020)2ln({>-≠-x x , 23{>≠x x 所以函数)2ln(1)(-=x x f 的定义域是),3()3,2(+∞⋃2.函数xx f -=51)(的定义域是.解:05>-x ,5<x 所以函数xx f -=51)(的定义域是)5,(-∞3.函数24)2ln(1)(x x x f -++=的定义域是.解:⎪⎩⎪⎨⎧≥->+≠+04020)2ln(2x x x ,⎪⎩⎪⎨⎧≤≤-->-≠2221x x x 所以函数24)2ln(1)(x x x f -++=的定义域是]2,1()1,2(-⋃-- 4.函数72)1(2+-=-x x x f ,则=)(x f .解:72)1(2+-=-x x x f 6)1(61222+-=++-=x x x 所以=)(x f 62+x5.函数⎩⎨⎧>≤+=0e02)(2x x x x f x ,则=)0(f .解:=)0(f 2202=+6.函数x x x f 2)1(2-=-,则=)(x f .解:x x x f 2)1(2-=-1)1(11222+-=-+-=x x x ,=)(x f 12+x7.函数1322+--=x x x y 的连续点是.解:因为当01=+x ,即1-=x 时函数无意义 所以函数1322+--=x x x y 的连续点是1-=x8.=∞→x x x 1sinlim .解:=∞→x x x 1sin lim 111sinlim=∞→xx x9.假设2sin 4sin lim0=→kxxx ,则=k .解: 因为24sin 44sin lim 4sin 4sin lim 00===→→kkxkx x xk kx x x x 所以2=k10.假设23sin lim 0=→kxxx ,则=k .解:因为2333lim 33lim 00===→→k x x sim k kx x sim x x 所以23=k二、单项选择题〔每题2分,共24分〕1.设函数2e e xx y +=-,则该函数是〔 〕.A .奇函数B .偶函数C .非奇非偶函数D .既奇又偶函数解:因为y e e e e x y x x x x =+=+=-----22)()( 所以函数2e e xx y +=-是偶函数。
《微积分初步》形成性考核作业(一)参考答案——函数,极限和连续一、填空题(每小题2分,共20分)1.()()3,+∞ 2,3 或填{}23x x x >≠且; 2.(),5-∞或填{}5x x <;3.()(]2,11,2--⋃-或填{}121x x x -<≤≠-且;4.26x +; 5.2; 6.21x -; 7.1x =-; 8.1; 9.2; 10.32.二、单项选择题(每小题2分,共24分)1.B2.A3.D4.C5.D6.D7.C8.D9.C 10.B 11.D 12.A三、解答题(每小题7分,共56分)1.解:原式=()()()()221211lim lim .2224x x x x x x x x →→---==+-+ 2.解:原式=()()()()126167limlim .1112x x x x x x x x →→+-+==+-+ 3.解:原式=()()()()323333lim lim .1312x x x x x x x x →→+-+==+-+ 4.解:原式=()()()()422422lim lim .1413x x x x x x x x →→---==---5.解:原式=()()()()22244limlim 2.233x x x x x x x x →→---==--- 6.解:原式=111.2x x →→==-7.解:原式=111.8x x →→==- 8.解:原式=)00sin 4242lim16.x x x x x→→⋅⋅==《微积分初步》形成性考核作业(二)参考答案——导数、微分及应用一、填空题(每小题2分,共20分)1.12; 2.10x y -+=; 3.230x y +-=; 41; 5.6-; 6.()271ln3+;7.21x -; 8.2-; 9.()1,+∞; 10. 0a >.二、单项选择题(每小题2分,共24分)1.D2.C3.C4.B5.D6.C7.C8.C9.A 10.B 11.B 12.A三、解答题(每小题7分,共56分)1.解:()111221221xxx y xe x e x e x ⎛⎫'=+-=- ⎪⎝⎭.2.解:24cos43sin cos y x x x'=-. 3.解:21y x'=-. 4.解:sin tan cos x y x x '==. 5.解:方程两边同时对x 求微分,得()()2202222xdx ydy xdy ydx x y dx x y dyx ydy dxx y+--=-=--∴=-6. 解: 原方程可化为()21x y +=1,1x y y x ∴+=±=-±1,y dy dx '∴=-=-7. 解:方程两边同时对x 求微分,得20x y y e dx e dy xe dx xdx +++=()2y x y xe dy e e x dx =-++2x y ye e xdy dx xe++∴=-. 8. 解:方程两边同时对x 求微分,得()()sin 0y x y dx dy e dy -+++=()()sin sin y x y dy dx e x y +∴=-+《微积分初步》形成性考核作业(三)参考答案——不定积分、极值应用问题一、填空题(每小题2分,共20分)1.2ln 2x x x c -+; 2.24x e --; 3.()1x x e +; 4.2cos 2x ; 5.1x;6.4cos 2x -;7.2x e dx -; 8.sin x c +; 9.()1232F x c -+; 10. ()2112F x c--+.二、单项选择题(每小题2分,共16分) 1.A 3.A 4.A 5.A 6.A 7.C 8.B三、解答题(每小题7分,共35分)1.解:原式=32sin 3ln cos 3x dx x x c x⎛⎫=-+ ⎪⎝⎭⎰.2.解:原式=()()()()101111111121212121221122x d x x c x c --=⨯-+=-+⎰. 3.解:原式=111sin cos d c x x x⎛⎫-=+ ⎪⎝⎭⎰. 4.解:原式=11111cos 2cos 2cos 2cos 2sin 222224xd x x x xdx x x x c -=-+=-++⎰⎰. 5.解:原式=()1x x x x x x xde xe e dx xe e c x e c -------=-+=--+=-++⎰⎰.四、极值应用题(每小题12分,共24分)1.解: 设矩形ABCD 的一边AB x =厘米,则60BC x =-厘米, 当它沿直线AB 旋转一周后,得到圆柱的体积()()260,060V x x x π=-<<令()()2602600V x x x π⎡⎤'=---=⎣⎦得20x = 当()0,20x ∈时,0V '>;当()20,60x ∈时,0V '<.20x ∴=是函数V的极大值点,也是最大值点.此时6040x -=答:当矩形的边长分别为20厘米和40厘米时,才能使圆柱体的体积最大.2. 解:设成矩形有土地的宽为x 米,则长为216x米, 于是围墙的长度为()4323,0L x x x=+> 令243230L x '=-=得()12x =取正易知,当12x =时,L 取得唯一的极小值即最小值,此时21618x=答:这块土地的长和宽分别为18米和12米时,才能使所用的建筑材料最省.五、证明题(本题5分)()()()()1 0, 01 0, 0,0.x x x f x e x e x f x f x x e '=-<<<'∴<>=--∞ 证:当时当时从而函数在区间是单调增加的《微积分初步》形成性考核作业(四)参考答案——定积分及应用、微分方程一、填空题(每小题2分,共20分)1.23-; 2.2; 3.3221633y x =-; 4.4; 5.24a π; 6.0;7.12;8.x y e =; 9.3x y ce -=; 10. 4.二、单项选择题(每小题2分,共20分)1.A2.A3.A4.D5.D6.B7.B8.D9.C 10.B三、计算题(每小题7分,共56分)1.解:原式=()()()2ln 23ln 20011911133x xx e d e e ++=+=-⎰.2.解:原式=()()()21111715ln 15ln 15ln 5102e ex d x x ++=+=⎰. 3.解:原式=()111100011x x x xxde xe e dx e e e e =-=-=--=⎰⎰.4.解:原式=02cos 2cos 4sin 4222x x x xd x ππ⎡⎤-=-+=⎢⎥⎣⎦⎰.5.解:原式=22220cos cos cos 0sin 1xd x x x xdx xππππ-=-+=+=⎰⎰.6. 解:()()21,1P x Q x x x==+()()()()()()112ln 2ln 342 1 11 111 42P x dx P x dx dx dx x x x xy e Q x e dx c e x e dx c e x e dx c x x dx c x x x c x ---⎡⎤⎰⎰=+⎢⎥⎣⎦⎡⎤⎰⎰=++⎢⎥⎣⎦⎡⎤=++⎣⎦⎡⎤=++⎣⎦⎡⎤=++⎢⎥⎣⎦⎰⎰⎰⎰通解即通解31142c y x x x=++ 7. 解:()()1,2sin 2P x Q x x x x=-=()()()()11ln ln 2sin 2 2sin 21 2sin 2 cos 2P x dx P x dx dx dx x x x x y e Q x e dx c e x xe dx c e x xe dx c x x x dx c x x x c ---⎡⎤⎰⎰∴=+⎢⎥⎣⎦⎡⎤⎰⎰=+⎢⎥⎣⎦⎡⎤=+⎣⎦⎡⎤=⋅+⎢⎥⎣⎦=-+⎰⎰⎰⎰通解即通解为()cos2y x x c =-+.四、证明题(本题4分)()()()()()()()()()()()000000aaaaaaaa af x dx f x dxf x dx f x dxf x d x f x dx f x dx f x dxf x f x dx ----+=-+=---+=-+=-+=⎡⎤⎣⎦⎰⎰⎰⎰⎰⎰⎰⎰⎰证:左边=右边最新资料,word 文档,可以自由编辑!!精品文档下载【本页是封面,下载后可以删除!】。
微积分初步形成性考核作业(一)————函数,极限和连续一、填空题(每小题2分,共20分) 1.函数)2ln(1)(-=x x f 的定义域是 .解:020)2ln({>-≠-x x , 23{>≠x x 所以函数)2ln(1)(-=x x f 的定义域是),3()3,2(+∞⋃2.函数xx f -=51)(的定义域是 .解:05>-x ,5<x所以函数xx f -=51)(的定义域是)5,(-∞3.函数24)2ln(1)(x x x f -++=的定义域是 .解:⎪⎩⎪⎨⎧≥->+≠+04020)2ln(2x x x ,⎪⎩⎪⎨⎧≤≤-->-≠2221x x x 所以函数24)2ln(1)(x x x f -++=的定义域是]2,1()1,2(-⋃-- 4.函数72)1(2+-=-x x x f ,则=)(x f.解:72)1(2+-=-x x x f 6)1(61222+-=++-=x x x所以=)(x f 62+x5.函数⎩⎨⎧>≤+=0e02)(2x x x x f x ,则=)0(f .解:=)0(f 2202=+6.函数x x x f 2)1(2-=-,则=)(x f .解:x x x f 2)1(2-=-1)1(11222+-=-+-=x x x ,=)(x f 12+x7.函数1322+--=x x x y 的间断点是 .解:因为当01=+x ,即1-=x 时函数无意义所以函数1322+--=x x x y 的间断点是1-=x8.=∞→xx x 1sinlim .解:=∞→x x x 1sinlim 111sinlim =∞→xx x9.若2sin 4sin lim0=→kxxx ,则=k .解: 因为24sin 44sin lim 4sin 4sin lim00===→→kkxkx x xk kx x x x 所以2=k10.若23sin lim 0=→kxxx ,则=k .解:因为2333lim 33lim 00===→→kx x sim k kx x sim x x所以23=k 二、单项选择题(每小题2分,共24分)1.设函数2e e xx y +=-,则该函数是( ).A .奇函数B .偶函数C .非奇非偶函数D .既奇又偶函数解:因为y e e e e x y xx x x =+=+=-----22)()( 所以函数2e e xx y +=-是偶函数。
电大《微积分初步》形成性考核作业(一)参考答案
——函数,极限和连续
一、填空题(每小题2分,共20分)
1.()()3,+∞ 2,3 或填{}23x x x >≠且; 2.(),5-∞或填{}5x x <;
3.()(]2,11,2--⋃-或填{}121x x x -<≤≠-且; 4.26x +; 5.2; 6.21x -;
7.1x =-; 8.1; 9.2; 10.
32
二、单项选择题(每小题2分,共24分)
1.B
2.A
3.D
4.C
5.D
6.D
7.C
8.D
9.C 10.B 11.D 12.A 三、解答题(每小题7分,共56分)
1、1/4;
2、7/2;
3、3/2;
4、2/3;
5、2;
6、-1/2;
7、-1/8; 8/16
《微积分初步》形成性考核作业(二)参考答案
——导数、微分及应用
一、填空题(每小题2分,共20分)
1.12
; 2.10x y -+=; 3.230x y +-=; 4.1
2ln 2
x x
-; 5.6-; 6.()271ln3+;7.21x -;
8.2-; 9.()1,+∞; 10. 0a >.
二、单项选择题(每小题2分,共24分)
1.D
2.C
3.C
4.B
5.D
6.C
7.C
8.C
9.A 10.B 11.B 12.A
三、解答题(每小题7分,共56分)
1.解:()111
2
21221x
x
x y xe x e x e x ⎛
⎫'=+-=- ⎪⎝⎭
.
2.解:24cos43sin cos y x x x '=-. 3.解:1
2121
x e
y x
x +'=-
+. 4.解:3sin 3tan 2cos 2
x y x x x x '=
-=-. 5.解:方程两边同时对x 求微分,得
()()220
2222xdx ydy xdy ydx x y dx x y dy
x y
dy dx
x y
+--=-=--∴=
-
6. 解: 原方程可化为()2
1x y +=
1,1
x y y x ∴+=±=-±
1,y dy dx '∴=-=- 7. 解:方程两边同时对x 求微分,得
20x y y e dx e dy xe dx xdx +++=
()2y x y xe dy e e x dx =-++
2x y y
e e x
dy dx xe ++∴=-
. 8. 解:方程两边同时对x 求微分,得
()()sin 0y x y dx dy e dy -+++=
()
()
sin sin y
x y dy dx e x y +∴=
-+ 微积分初步》形成性考核作业(三)参考答案
——不定积分、极值应用问题
一、填空题(每小题2分,共20分)
1.2ln 2x x x c -+; 2.24x e --; 3.()1x x e +; 4.2cos 2x ; 5.1x
; 6.4cos 2x -;7.2
x e dx -; 8.sin x c +; 9.()1232F x c -+; 10. ()2112
F x c --+.
二、单项选择题(每小题2分,共16分) 1.A 3.A 4.A 5.A 6.A 7.C 8.B 三、解答题(每小题7分,共35分)
1.解:原式=3
2sin 3ln cos 3
x x dx x x x x c x
⎛⎫
-+=--+ ⎪⎝⎭
⎰.
2.解:原式=
()()()()101111
111121212121221122
x d x x c x c --=⨯-+=-+⎰. 3.解:原式=111
sin cos d c x x x
⎛⎫
-=+ ⎪⎝⎭⎰. 4.解:原式=11111
cos 2cos 2cos 2cos 2sin 222224
xd x x x xdx x x x c -
=-+=-++⎰⎰.
5.解:原式=()1x x x x x x xde xe e dx xe e c x e c -------=-+=--+=-++⎰⎰. 四、极值应用题(每小题12分,共24分)
1.解: 设矩形ABCD 的一边AB x =厘米,则60BC x =-厘米, 当它沿直线AB 旋转一周后,得到圆柱的体积
()()2
60,060V x x x π=-<<
令()()2
602600V x x x π⎡⎤'=---=⎣⎦
得20x = 当()0,20x ∈时,0V '>;当()20,60x ∈时,0V '<.
20x ∴=是函数V
的极大值点,也是最大值点.
此时6040x -=
答:当矩形的边长分别为20厘米和40厘米时,才能使圆柱体的体积最大. 2. 解:设成矩形有土地的宽为x 米,则长为216
x
米, 于是围墙的长度为()432
3,0L x x x
=+> 令2432
30L x
'=-=得()12x =取正
易知,当12x =时,L 取得唯一的极小值即最小值,此时
216
18x
= 答:这块土地的长和宽分别为18米和12米时,才能使所用的建筑材料最省. 五、证明题(本题5分)
《微积分初步》形成性考核作业(四)参考答案
——定积分及应用、微分方程
一、填空题(每小题2分,共20分)
1.23-; 2.2; 3.32216
33
y x =-; 4.4; 5.24a π; 6.0;7.12; 8.x y e =;
9.3x y ce -=; 10. 4.
二、单项选择题(每小题2分,共20分)
1.A
2.A
3.A
4.D
5.D
6.B
7.B
8.D
9.C 10.B 三、计算题(每小题7分,共56分)
1.解:原式=()()()2
ln 2
3ln 2
0011911133
x
x x e
d e e ++=
+=-⎰. 2.解:原式=()()()21
111715ln 15ln 15ln 5102
e e
x d x x ++=+=⎰. 3.解:原式=()1
1
110
00
11x x x x
xde xe e dx e e e e =-=-=--=⎰⎰.
4.解:原式=0
2cos 2cos 4sin 4222x x x xd x π
π
⎡⎤
-=-+=⎢⎥⎣⎦⎰.
5.解:原式=2
222
cos cos cos 0sin 1xd x x x xdx x ππ
π
π-=-+=+=⎰⎰.
6. 解:()()21
,1P x Q x x x
==+
()()()()()()11
2
ln 2ln 342 1 11 111 42P x dx P x dx dx dx x x x x
y e Q x e dx c e x e dx c e x e dx c x x dx c x x x c x --
-⎡⎤⎰⎰=+⎢⎥⎣⎦⎡⎤⎰⎰=++⎢⎥
⎣⎦
⎡⎤=++⎣⎦
⎡
⎤=
++⎣⎦⎡⎤
=++⎢⎥
⎣⎦⎰⎰⎰⎰通解
即通解31142c y x x x
=++ 7. 解:()()1,2sin 2P x Q x x x x
=-=
()()()()
11
ln ln 2sin 2 2sin 21 2sin 2 cos 2P x dx P x dx dx dx x x x x y e Q x e dx c e x xe dx c e x xe dx c x x x dx c x x x c ---⎡⎤⎰⎰∴=+⎢⎥⎣⎦⎡⎤⎰⎰=+⎢⎥⎣⎦
⎡⎤
=+⎣⎦
⎡⎤
=⋅+⎢⎥
⎣⎦
=-+⎰⎰⎰⎰通解
即通解为()cos2y x x c =-+.
四、证明题(本题4分)
()()()()()()()()()()()0
00
00
a
a
a
a
a
a
a
a a
f x dx f x dx
f x dx f x dx
f x d x f x dx f x dx f x dx
f x f x dx ----+=-+=---+=-+=
-+=⎡⎤⎣⎦⎰
⎰⎰⎰⎰⎰⎰⎰⎰
证:左边=右边
()()()()1 0, 01 0, 0
,0.
x x x f x e x e x f x f x x e '=-<<<'∴<>=--∞ 证:当时当时从而函数在区间是单调增加的。