四年级体测数据模版
- 格式:xls
- 大小:111.00 KB
- 文档页数:2
(五)小学三、四年级男生身高标准体重(体重单位:公斤)身高段(厘米)营养不良较低体重正常体重超重肥胖50分60分100分60分50分106.0 ~106.9 <14.8 14.8 ~16.8 16.9 ~19.1 19.2 ~19.8 >=19.9 107.0 ~107.9 <15.1 15.1 ~17.1 17.2 ~19.5 19.6 ~20.3 >=20.4 108.0 ~108.9 <15.3 15.3 ~17.5 17.6 ~19.9 20.0 ~20.7 >=20.8 109.0 ~109.9 <15.6 15.6 ~17.9 18.0 ~20.3 20.4 ~21.1 >=21.2 110.0 ~110.9 <15.8 15.8 ~18.3 18.4 ~20.7 20.8 ~21.5 >=21.6 111.0 ~111.9 <16.1 16.1 ~18.6 18.7 ~21.1 21.2 ~21.9 >=22.0 112.0 ~112.9 <16.4 16.4 ~18.9 19.0 ~21.5 21.6 ~22.3 >=22.4 113.0 ~113.9 <16.7 16.7 ~19.2 19.3 ~22.0 22.1 ~22.8 >=22.9 114.0 ~114.9 <17.0 17.0 ~19.6 19.7 ~22.4 22.5 ~23.2 >=23.3 115.0 ~115.9 <17.3 17.3 ~19.9 20.0 ~22.8 22.9 ~23.6 >=23.7 116.0 ~116.9 <17.6 17.6 ~20.3 20.4 ~23.2 23.3 ~24.1 >=24.2 117.0 ~117.9 <18.0 18.0 ~20.6 20.7 ~23.6 23.7 ~24.6 >=24.7 118.0 ~118.9 <18.3 18.3 ~21.0 21.1 ~24.1 24.2 ~25.0 >=25.1 119.0 ~119.9 <18.6 18.6 ~21.4 21.5 ~24.6 24.7 ~25.5 >=25.6 120.0 ~120.9 <19.0 19.0 ~21.8 21.9 ~25.1 25.2 ~26.2 >=26.3 121.0 ~121.9 <19.4 19.4 ~22.2 22.3 ~25.6 25.7 ~26.8 >=26.9 122.0 ~122.9 <19.7 19.7 ~22.6 22.7 ~26.2 26.3 ~27.4 >=27.5 123.0 ~123.9 <20.1 20.1 ~23.0 23.1 ~26.8 26.9 ~28.0 >=28.1 124.0 ~124.9 <20.5 20.5 ~23.4 23.5 ~27.3 27.4 ~28.6 >=28.7 125.0 ~125.9 <20.9 20.9 ~23.8 23.9 ~27.8 27.9 ~29.2 >=29.3 126.0 ~126.9 <21.3 21.3 ~24.3 24.4 ~28.5 28.6 ~29.8 >=29.9 127.0 ~127.9 <21.7 21.7 ~24.7 24.8 ~29.0 29.1 ~30.4 >=30.5 128.0 ~128.9 <22.1 22.1 ~25.1 25.2 ~29.5 29.6 ~31.0 >=31.1 129.0 ~129.9 <22.6 22.6 ~25.6 25.7 ~30.1 30.2 ~31.6 >=31.7 130.0 ~130.9 <23.0 23.0 ~26.1 26.2 ~30.9 31.0 ~32.3 >=32.4 131.0 ~131.9 <23.5 23.5 ~26.6 26.7 ~31.6 31.7 ~33.2 >=33.3 132.0 ~132.9 <23.9 23.9 ~27.1 27.2 ~32.3 32.4 ~34.0 >=34.1 133.0 ~133.9 <24.4 24.4 ~27.7 27.8 ~32.9 33.0 ~34.7 >=34.8 134.0 ~134.9 <24.9 24.9 ~28.3 28.4 ~33.6 33.7 ~35.3 >=35.4 135.0 ~135.9 <25.3 25.3 ~28.9 29.0 ~34.2 34.3 ~36.0 >=36.1 136.0 ~136.9 <25.8 25.8 ~29.5 29.6 ~34.9 35.0 ~36.7 >=36.8 137.0 ~137.9 <26.4 26.4 ~30.1 30.2 ~35.6 35.7 ~37.4 >=37.5 138.0 ~138.9 <27.0 27.0 ~30.8 30.9 ~36.3 36.4 ~38.2 >=38.3 139.0 ~139.9 <27.6 27.6 ~31.5 31.6 ~37.1 37.2 ~39.1 >=39.2 140.0 ~140.9 <28.1 28.1 ~32.2 32.3 ~38.0 38.1 ~40.0 >=40.1 141.0 ~141.9 <28.6 28.6 ~32.9 33.0 ~38.9 39.0 ~40.9 >=41.0 142.0 ~142.9 <29.1 29.1 ~33.7 33.8 ~39.8 39.9 ~41.8 >=41.9 143.0 ~143.9 <29.7 29.7 ~34.5 34.6 ~40.7 40.8 ~42.7 >=42.8 144.0 ~144.9 <30.3 30.3 ~35.2 35.3 ~41.7 41.8 ~43.6 >=43.7 145.0 ~145.9 <30.9 30.9 ~35.9 36.0 ~42.3 42.4 ~44.5 >=44.6147.0 ~147.9 <32.1 32.1 ~37.4 37.5 ~44.2 44.3 ~46.4 >=46.5 148.0 ~148.9 <32.7 32.7 ~38.1 38.2 ~45.0 45.1 ~47.3 >=47.4 149.0 ~149.9 <33.3 33.3 ~38.8 38.9 ~45.9 46.0 ~48.2 >=48.3 150.0 ~150.9 <34.0 34.0 ~39.5 39.6 ~46.7 46.8 ~49.1 >=49.2 151.0 ~151.9 <34.6 34.6 ~40.1 40.2 ~47.5 47.6 ~49.9 >=50.0 152.0 ~152.9 <35.2 35.2 ~40.9 41.0 ~48.4 48.5 ~50.7 >=50.8 153.0 ~153.9 <35.9 35.9 ~41.6 41.7 ~49.1 49.2 ~51.5 >=51.6 154.0 ~154.9 <36.5 36.5 ~42.4 42.5 ~49.9 50.0 ~52.4 >=52.5 155.0 ~155.9 <37.1 37.1 ~43.3 43.4 ~51.1 51.2 ~53.4 >=53.5注:身高低于表中所列出的最低身高段的下限值时,身高每低1厘米,实测体重需加上0.5公斤,实测身高需加上1厘米,再查表确定分值。
体质健康测量报告模板一、个人基本信息•姓名:•年龄:•性别:•测量日期:二、身体状况测量1.身高体重测量•身高(cm):•体重(kg):2.体脂率•体脂率(%):3.血压测量•收缩压(mmHg):•舒张压(mmHg):4.腰围测量•腰围(cm):5.心率测量•静态心率(次/分):三、体成分分析1.BMI分析•BMI指数:BMI = 体重(kg) / 身高(m)²•BMI数值:–正常范围: 18.5 ~ 23.9–偏瘦:<18.5–超重:24.0~27.9–肥胖:≥28.02.体脂率分析•计算公式:体脂率(%)=(1.2×BMI)+(0.23×年龄)-(10.8×性别)-5.4;•男性适宜范围:15%-20%;•女性适宜范围:20%-25%。
四、血压分析•血压正常值:舒张压8089mmHg;收缩压120139mmHg。
•如果收缩压≥140mmHg,或舒张压≥90mmHg,则需要重视。
五、腰围分析1.腰臀比•计算公式:腰臀比 = 腰围(cm) ÷ 臀围(cm)•男性正常范围:0.9 ~ 1.0•女性正常范围:0.8 ~ 0.92.腰围分析•男性腰围正常值:≤90cm;•女性腰围正常值:≤80cm;•腰围超出正常值范围,将增加患慢性病的危险。
六、结论•个人身体状况:•简要建议:(以下做一些个人的饮食锻炼健康建议)七、注意事项•本报告作为参考,需要针对个体情况进行针对性的调整。
•请配合医生指导,采取个人化的健康管理方案。
(一)单项指标评分表
表1-1 男生体重指数(BMI)单项评分表(单位:千克/米2)
2)
表1-2 女生体重指数(BMI)单项评分表(单位:千克/米
表1-4 女生肺活量单项评分表(单位:毫升)
表1-5 男生50米跑单项评分表(单位:秒)
表1-6 女生50米跑单项评分表(单位:秒)
表1-7 男生坐位体前屈单项评分表(单位:厘米)
表1-8 女生坐位体前屈单项评分表(单位:厘米)
表1-9 男生一分钟跳绳单项评分表(单位:次)
表1-10 女生一分钟跳绳单项评分表(单位:次)
表1-11 男生一分钟仰卧起坐、引体向上单项评分表(单位:次)
表1-14 女生一分钟仰卧起坐单项评分表(单位:次)
表1-15 男生50×8跑单项评分表(单位:分·秒)
表1-16 女生50×8跑单项评分表(单位:分·秒)。
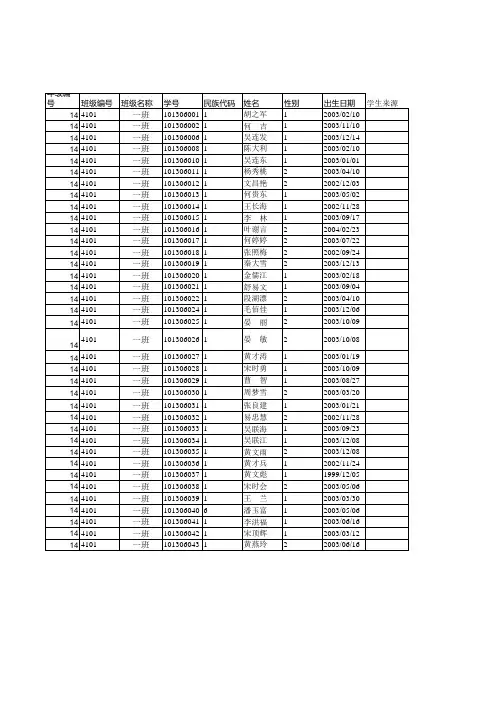
年级编号姓名性别出生日期家庭住址身高体重肺活量50米跑坐位体前屈一分钟跳绳一分钟仰卧起班级编号班级名称学籍号民族代142013102小学2013级2班G3607212007100644111李好12007/10/06信丰县海信置14030200010.51213020 142013102小学2013级2班G36072220051020421X1张耀庭12005/10/20信丰县铁石口1403326008.88.812040 142013102小学2013级2班G3607222005121951771刘阳乐12005/12/19社下1372721309.0615.310029 142013102小学2013级2班G3607222006060945611王艳22006/06/09小河镇兰坳村137********.61213020 142013102小学2013级2班G3607222006071130151顾恩柱12006/07/11信丰县阳明中D栋1413020719.169107351354024009.6207322 142013102小学2013级2班G3607222006080400301陈嘉乐12006/08/04同益村芳芫里33号1403219008.96914030 142013102小学2013级2班G3607222006081715591刘翠盛12006/08/17大塘镇六星村56号142013102小学2013级2班G3607222006091360181黄文相12006/09/13白兰村围里1463119009.457.98933 142013102小学2013级2班G3607222006102251301刘万福12006/10/22正平镇李坑村1393419009.45 6.78628 142013102小学2013级2班G3607222006111230131钟俊杰12006/11/12信丰县迎宾大1302516008.6191529 142013102小学2013级2班G3607222006112342231黄程欣22006/11/23江西省赣州市1382914509.271211027 142013102小学2013级2班G3607222006121700301曹毅12006/12/17信丰县温馨大1432519009.5978231352615609.2314.39034 142013102小学2013级2班G3607222006121851441张静颖22006/12/18南山西路金龙D栋142013102小学2013级2班G3607222007012521341周峻霖12007/01/25信丰县1413624009.7411.73644 142013102小学2013级2班G36072220070211362X1陈小春22007/07/11江西省赣州信135258009.061113223 142013102小学2013级2班G36072220070215008422兰萍萍22007/02/15信丰县迎宾大130191710138.11532 142013102小学2013级2班G3607222007021700421杨琳菲22007/02/17谷山花园1292514009.328.214934 142013102小学2013级2班G36072220070219516X1袁婷婷22007/02/19信丰东晋华庭1252716008.871111120 142013102小学2013级2班G3607222007022100591游小辉12007/02/21信丰县油山镇1392814308.878.4121341392716008.910.812039 142013102小学2013级2班G3607222007030100671张雨欣22007/03/01镇江村谷口坝41号142013102小学2013级2班G3607222007030542111温宇12007/03/05前街巷1253716678.917.410530 142013102小学2013级2班G3607222007031500271徐文艳22007/03/15信丰县同益村14026160010.6 5.813220140302000910.810040 142013102小学2013级2班G3607222007032239191曾炫丰12007/03/22金色家园3-1-402142013102小学2013级2班G3607222007041801211吴宗琏22007/04/18信丰县谷山花14027140010.214.510527 142013102小学2013级2班G3607222007041900631肖佳钰22007/04/19信丰县嘉定镇1302614501216.510623 142013102小学2013级2班G3607222007043001381谭世轩12007/04/30信丰县南山西1463523009.47810029 142013102小学2013级2班G3607222007043045261王燕22007/04/30小河镇仁和村1362418159.689.310327 142013102小学2013级2班G3607222007051048251刘思晨22007/05/10江西省赣州市1302616009.6820.612039 142013102小学2013级2班G3607222007051939361赖志聪12007/05/19崇仙乡布社村1453024008.430.810928 142013102小学2013级2班G3607222007051951141肖航洋12007/05/19信丰县城金安1363213008.638.79630 142013102小学2013级2班G3607222007052300201戴君岚22007/05/23信丰县同益村14026190010.314.611135 142013102小学2013级2班G3607222007052960111王程锦12007/05/29信丰县仁兴楼1252319009 4.213651 142013102小学2013级2班G3607222007060100701游明富12007/06/01信丰县陈毅广1402613739014347 142013102小学2013级2班G3607222007060933121郭佳明12007/06/09虎山乡龙州村141279009.8 3.89233 142013102小学2013级2班G3607222007061051171刘泽斌12007/06/10社下132********.2 4.312514 142013102小学2013级2班G3607222007061801171温学贤12007/06/18信丰县金色家140281600 5.7 1.312533 142013102小学2013级2班G3607222007062000771林世泉12007/06/20江西赣州市开1393422109.79.56335 142013102小学2013级2班G36072220070625004X1王慧筠22007/06/25嘉定镇同益村130********.716.98025 142013102小学2013级2班G3607222007070400601李文娟22007/07/04信丰县嘉定镇1322716009.69 5.65517 142013102小学2013级2班G3607222007071845231李慧琳22007/07/18信丰县建设路1312515209.6915.612131 142013102小学2013级2班G3607222007072900781刘家铭12007/07/29信丰县城里1322312209.628.111444 142013102小学2013级2班G3607222007073121181赖华键12007/07/31信丰县古陂镇135********.6 4.610427 142013102小学2013级2班G3607222007080100581袁世铭12007/08/01信丰县南山西1403524569.1810.96042 142013102小学2013级2班G3607222007080300161卢哲锐12007/08/03信丰县城里1453018458.812.211050 142013102小学2013级2班G3607222007080333131钟樟乐12007/08/03信丰县同益村1282524008.7117.5180511262421009.948.74532 142013102小学2013级2班G3607222007080742381赖锦宏12007/08/07嘉定镇南山西115号142013102小学2013级2班G36072220070808003X1王君啸12007/08/08南山西路1463812819.910.78428 142013102小学2013级2班G3607222007082800231王柳懿22007/08/28信丰县建设路1402413001115.55524 142013102小学2013级2班G3607222007082901331代天宇12007/08/29信丰县下西门11518181010.412.68541 142013102小学2013级2班G3607222007093000731邱国宇12007/09/30信丰县建设路1423010599.3411.29733 142013102小学2013级2班G3607222007101230351代世杰12007/10/12信丰县城里130********.612.86014 142013102小学2013级2班G3607222007101257271刘欣怡22007/10/12江西省赣州市130********.815.513022 142013102小学2013级2班G36072220071029511X1刘永泉12007/10/29信丰县南山西1303018009.437.77535 142013102小学2013级2班G36072220071105393X1钟宇轩12007/09/26信丰县东晋华1342422319.1514.7107341353520259.4915.58930 142013102小学2013级2班G3607222007111627141袁文华12007/11/16新田镇花历坑3号142013102小学2013级2班G3607222007111900291王虹虹22007/11/19嘉定镇同益村1402819009.4915.510032 142013102小学2013级2班G3607222007121015341赖孜祺12007/12/10信丰县同益村1383416879.613.79029 142013102小学2013级2班G3607222007122839641曾贵红22007/12/28信丰县前街巷1303222009.5311.313736 142013102小学2013级2班G3607222008040900271曾晓莉22008/04/09信丰县12024173211.211.110428 142013102小学2013级2班G3607262007011178271朱小玉22007/01/11安远县双芫乡12825190310.617.210525 142013102小学2013级2班G3607822007070800931王子赫12007/07/08南康旭山1402912409.37171254314039160010.814.87017 142013102小学2013级2班G4115232007120754101韩一诺12007/12/07金色家园1栋店面142013102小学2013级2班G4305232007070901091王曼妮22007/07/09信丰县阳明南136********.116.813026 142013102小学2013级2班L36072220060824034X1李燕梅22006/08/24信丰县西江花1462718009.6311.711413 142013102小学2013级2班L3607222007042902831何燕斐22007/04/29江西省信丰县130242073914.512027 142013102小学2013级2班L3607222007052503201肖妍洁22007/05/25信丰县同益村141281800910.69935 142013102小学2013级2班L3607222007062901481邱敏敏22007/06/29信丰县环城西137******** 5.66221 142013102小学2013级2班L3607222007070901641施佳琪22007/07/09嘉定镇益丰园1362516159.3116.11382850米×8往返跑转出转出转出转出。