指数函数及其图形
- 格式:doc
- 大小:523.26 KB
- 文档页数:8
五、基本初等函数及其性质和图形1.幂函数函数称为幂函数。
如,,,都是幂函数。
没有统一的定义域,定义域由值确定。
如,。
但在总是有定义的,且都经过(1,1)点。
当时,函数在上是单调增加的,当时,函数在内是单调减少的。
下面给出几个常用的幂函数:的图形,如图1-1-2、图1-1-3。
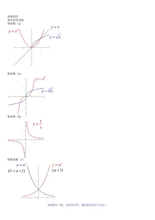
图1-1-2图1-1-32.指数函数函数称为指数函数,定义域,值域;当时函数为单调增加的;当时为单调减少的,曲线过点。
高等数学中常用的指数函数是时,即。
以与为例绘出图形,如图1-1-4。
图1-1-43.对数函数函数称为对数函数,其定义域,值域。
当时单调增加,当时单调减少,曲线过(1,0)点,都在右半平面内。
与互为反函数。
当时的对数函数称为自然对数,当时,称为常用对数。
以为例绘出图形,如图1-1-5。
图1-1-54.三角函数有,它们都是周期函数。
对三角函数作简要的叙述:(1)正弦函数与余弦函数:与定义域都是,值域都是。
它们都是有界函数,周期都是,为奇函数,为偶函数。
图形为图1-1-6、图1-1-7。
图1-1-6正弦函数图形图1-1-7余弦函数图形(2)正切函数,定义域,值域为。
周期,在其定义域内单调增加的奇函数,图形为图1-1-8图1-1-8(3)余切函数,定义域,值域为,周期。
在定义域内是单调减少的奇函数,图形如图1-1-9。
图1-1-9(4)正割函数,定义域,值域为,为无界函数,周期的偶函数,图形如图1-1-10。
图1-1-10(5)余割函数,定义域,值域为,为无界函数,周期在定义域为奇函数,图形如图1-1-11。
图1-1-115.反三角函数反正弦函数,定义域,值域,为有界函数,在其定义域内是单调增加的奇函数,图形如图1-1-12;图1-1-12,为有界函数,在其定义域内为单调减少的非奇非偶函数,图形如图1-1-13;图1-1-13反正切函数,定义域,值域为,为有界函数,在定义域内是单调增加的奇函数,图形如图1-1-14;图1-1-14为有界函数,在其定义域内单调减少的非奇非偶函数。
六大基本初等函数图像及其性质一、常值函数(也称常数函数) y =C (其中C 为常数);常数函数(C y =)0≠C0=C平行于x 轴的直线y 轴本身 定义域R定义域R二、幂函数 αx y = ,x 是自变量,α是常数;1.幂函数的图像:2.幂函数的性质;性质函数x y =2x y =3x y =21xy =1-=x y定义域 R R R [0,+∞) {x|x ≠0} 值域 R [0,+∞) R [0,+∞) {y|y ≠0} 奇偶性 奇 偶 奇 非奇非偶 奇 单调性 增[0,+∞) 增 增 增(0,+∞) 减 (-∞,0] 减(-∞,0) 减公共点(1,1)xy Ox y =2x y =21xy =1-=xy 3x y = O=y xCy =Oxyy1)当α为正整数时,函数的定义域为区间为),(+∞-∞∈x ,他们的图形都经过原点,并当α>1时在原点处与x 轴相切。
且α为奇数时,图形关于原点对称;α为偶数时图形关于y 轴对称;2)当α为负整数时。
函数的定义域为除去x=0的所有实数; 3)当α为正有理数nm时,n 为偶数时函数的定义域为(0, +∞),n 为奇数时函数的定义域为(-∞,+∞),函数的图形均经过原点和(1 ,1);4)如果m>n 图形于x 轴相切,如果m<n,图形于y 轴相切,且m 为偶数时,还跟y 轴对称;m ,n 均为奇数时,跟原点对称;5)当α为负有理数时,n 为偶数时,函数的定义域为大于零的一切实数;n 为奇数时,定义域为去除x=0以外的一切实数。
三、指数函数xa y =(x 是自变量,a 是常数且0>a ,1≠a ),定义域是R ;[无界函数]1.指数函数的图象:2.指数函数的性质;性质函数x a y =)1(>ax a y =)10(<<a定义域 R 值域(0,+∞) 奇偶性 非奇非偶公共点过点(0,1),即0=x 时,1=y单调性在),(∞+∞-是增函数 在),(∞+∞-是减函数 1)当1>a 时函数为单调增,当10<<a 时函数为单调减; 2)不论x 为何值,y 总是正的,图形在x 轴上方; 3)当0=x 时,1=y ,所以它的图形通过(0,1)点。
五、基本初等函数及其性质和图形1.幂函数函数称为幂函数。
如,,,都是幂函数。
没有统一的定义域,定义域由值确定。
如,。
但在内总是有定义的,且都经过(1,1)点。
当时,函数在上是单调增加的,当时,函数在内是单调减少的。
下面给出几个常用的幂函数:的图形,如图1-1-2、图1-1-3。
图1-1-2图1-1-32.指数函数函数称为指数函数,定义域,值域;当时函数为单调增加的;当时为单调减少的,曲线过点。
高等数学中常用的指数函数是时,即。
以与为例绘出图形,如图1-1-4。
图1-1-43.对数函数函数称为对数函数,其定义域,值域。
当时单调增加,当时单调减少,曲线过(1,0)点,都在右半平面内。
与互为反函数。
当时的对数函数称为自然对数,当时,称为常用对数。
以为例绘出图形,如图1-1-5。
图1-1-54.三角函数有,它们都是周期函数。
对三角函数作简要的叙述:(1)正弦函数与余弦函数:与定义域都是,值域都是。
它们都是有界函数,周期都是,为奇函数,为偶函数。
图形为图1-1-6、图1-1-7。
图1-1-6 正弦函数图形图1-1-7 余弦函数图形(2)正切函数,定义域,值域为。
周期,在其定义域内单调增加的奇函数,图形为图1-1-8图1-1-8(3)余切函数,定义域,值域为,周期。
在定义域内是单调减少的奇函数,图形如图1-1-9。
图1-1-9(4)正割函数,定义域,值域为,为无界函数,周期的偶函数,图形如图1-1-10。
图1-1-10(5)余割函数,定义域,值域为,为无界函数,周期在定义域为奇函数,图形如图1-1-11。
图1-1-115.反三角函数反正弦函数,定义域,值域,为有界函数,在其定义域内是单调增加的奇函数,图形如图1-1-12;图1-1-12,为有界函数,在其定义域内为单调减少的非奇非偶函数,图形如图1-1-13;图1-1-13反正切函数,定义域,值域为,为有界函数,在定义域内是单调增加的奇函数,图形如图1-1-14;图1-1-14为有界函数,在其定义域内单调减少的非奇非偶函数。
六大基本初等函数图像及其性质一、常值函数(也称常数函数) y =C (其中C 为常数);常数函数(C y =)0≠C0=C平行于x 轴的直线y 轴本身 定义域R定义域R二、幂函数 αx y = ,x 是自变量,α是常数;1.幂函数的图像:2.幂函数的性质;性质函数x y =2xy =3x y =21xy =1-=x y定义域 R RR [0,+∞) {x|x ≠0} 值域 R [0,+∞) R [0,+∞) {y|y ≠0} 奇偶性 奇 偶 奇 非奇非偶 奇 单调性 增[0,+∞) 增 增 增(0,+∞) 减 (-∞,0] 减(-∞,0) 减公共点(1,1)xyOxy =2x y =3x y =1-=x y 21xy =O=y xCy =Oxyy1)当α为正整数时,函数的定义域为区间为),(+∞-∞∈x ,他们的图形都经过原点,并当α>1时在原点处与x 轴相切。
且α为奇数时,图形关于原点对称;α为偶数时图形关于y 轴对称;2)当α为负整数时。
函数的定义域为除去x=0的所有实数; 3)当α为正有理数nm时,n 为偶数时函数的定义域为(0, +∞),n 为奇数时函数的定义域为(-∞,+∞),函数的图形均经过原点和(1 ,1);4)如果m>n 图形于x 轴相切,如果m<n,图形于y 轴相切,且m 为偶数时,还跟y 轴对称;m ,n 均为奇数时,跟原点对称;5)当α为负有理数时,n 为偶数时,函数的定义域为大于零的一切实数;n 为奇数时,定义域为去除x=0以外的一切实数。
三、指数函数xa y =(x 是自变量,a 是常数且0>a ,1≠a ),定义域是R ;[无界函数]1.指数函数的图象:2.指数函数的性质;性质函数x a y =)1(>ax a y =)10(<<a定义域 R 值域(0,+∞) 奇偶性 非奇非偶公共点过点(0,1),即0=x 时,1=y单调性在),(∞+∞-是增函数 在),(∞+∞-是减函数 1)当1>a 时函数为单调增,当10<<a 时函数为单调减; 2)不论x 为何值,y 总是正的,图形在x 轴上方; 3)当0=x 时,1=y ,所以它的图形通过(0,1)点。
专题32 指数函数的概念、图象与性质1.指数函数的定义一般地,函数y =a x (a >0,且a ≠1)叫做指数函数,其中x 是自变量,函数的定义域为R. 温馨提示:指数函数解析式的3个特征: (1)底数a 为大于0且不等于1的常数. (2)自变量x 的位置在指数上,且x 的系数是1. (3)a x 的系数是1.2.指数函数的图象和性质a 的范围a >10<a <1图象性质定义域 R 值域(0,+∞)过定点 (0,1),即当x =0时,y =1单调性 在R 上是增函数在R 上是减函数奇偶性 非奇非偶函数对称性函数y =a x 与y =a -x 的图象关于y 轴对称(1)底数的大小决定了图象相对位置的高低:不论是a >1,还是0<a <1,在第一象限内底数越大,函数图象越靠近y 轴.当a >b >1时,①若x >0,则a x >b x >1;②若x <0,则1>b x >a x >0. 当1>a >b >0时,①若x >0,则1>a x >b x >0;②若x <0,则b x >a x >1. (2)指数函数的图象都经过点(0,1),且图象都在x 轴上方.(3)当a >1时,x →-∞,y →0;当0<a <1时,x →+∞,y →0.(其中“x →+∞”的意义是“x 趋近于正无穷大”)题型一 指数函数的概念1.下列各函数中,是指数函数的是( )A .y =(-3)xB .y =-3xC . y =3x -1 D .y =⎝⎛⎭⎫13x [解析]由指数函数的定义知a >0且a ≠1,故选D. 2.下列函数一定是指数函数的是( )A .y =2x +1 B .y =x 3 C .y =3·2xD .y =3-x[解析]由指数函数的定义可知D 正确. 3.下列函数中,指数函数的个数为( )①y =⎝⎛⎭⎫12x -1;②y =a x (a >0,且a ≠1);③y =1x;④y =⎝⎛⎭⎫122x -1. A .0个 B .1个 C .3个D .4个[解析]由指数函数的定义可判定,只有②正确.[答案] B 4.下列函数:①y =2·3x ;②y =3x +1;③y =3x ;④y =x 3. 其中,指数函数的个数是( ) A .0 B .1 C .2D .3[解析]形如“y =a x (a >0,且a ≠1)”的函数为指数函数,只有③符合,选B. 5.下列函数中,是指数函数的个数是( )①y =(-8)x;②y =2x 2-1;③y =a x ;④y =2·3x .A .1B .2C .3D .0[解析] (1)①中底数-8<0,所以不是指数函数;②中指数不是自变量x ,而是x 的函数,所以不是指数函数; ③中底数a ,只有规定a >0且a ≠1时,才是指数函数; ④中3x 前的系数是2,而不是1,所以不是指数函数,故选D. 6.指出下列哪些是指数函数.(1)y =4x ;(2)y =x 4;(3)y =-4x ;(4)y =(-4)x ;(5)y =πx ;(6)y =4x 2;(7)y =x x ;(8)y =(2a -1)x ⎝⎛⎭⎫a >12,且a ≠1. [解析] (2)是四次函数;(3)是-1与4x 的乘积;(4)中底数-4<0;(6)是二次函数;(7)中底数x 不是常数. 它们都不符合指数函数的定义,故不是指数函数.综上可知,(1)(5)(8)是指数函数. 7.已知函数f (x )=(2a -1)x 是指数函数,则实数a 的取值范围是________.[解析]由题意可知⎩⎪⎨⎪⎧2a -1>0,2a -1≠1,解得a >12,且a ≠1,所以实数a 的取值范围是⎝⎛⎭⎫12,1∪(1,+∞). 8.函数y =(a -2)2a x 是指数函数,则( )A .a =1或a =3B .a =1C .a =3D .a >0且a ≠1[解析]由指数函数的概念可知,⎩⎪⎨⎪⎧(a -2)2=1,a >0,a ≠1,得a =3.9.函数f (x )=(m 2-m +1)a x (a >0,且a ≠1)是指数函数,则m =________. [解析]∵函数f (x )=(m 2-m +1)a x 是指数函数,∴m 2-m +1=1,解得m =0或1. 10.若函数y =(a 2-4a +4)a x 是指数函数,则a 的值是( )A .4B .1或3C .3D .1[解析]由题意得⎩⎪⎨⎪⎧a >0,a ≠1,a 2-4a +4=1,解得a =3,故选C.11.若函数f (x )=(a 2-2a +2)(a +1)x 是指数函数,则a =________. [解析]由指数函数的定义得⎩⎪⎨⎪⎧a 2-2a +2=1,a +1>0,a +1≠1,解得a =1.12.指数函数f (x )=a x 的图象经过点(2,4),则f (-3)的值是________. [解析]由题意知4=a 2,所以a =2,因此f (x )=2x ,故f (-3)=2-3=18.13.已知函数f (x )=a x +b (a >0,且a ≠1),经过点(-1,5),(0,4),则f (-2)的值为________.[解析]由已知得⎩⎪⎨⎪⎧a -1+b =5,a 0+b =4,解得⎩⎪⎨⎪⎧a =12,b =3,所以f (x )=⎝⎛⎭⎫12x+3,所以f (-2)=⎝⎛⎭⎫12-2+3=4+3=7. 14.已知函数f (x )为指数函数,且f ⎝⎛⎭⎫-32=39,则f (-2)=________. [解析]设f (x )=a x (a >0且a ≠1),由f ⎝⎛⎭⎫-32=39得a -32=39,所以a =3,又f (-2)=a -2, 所以f (-2)=3-2=19.15.若函数f (x )是指数函数,且f (2)=9,则f (-2)=________,f (1)=________. [解析]设f (x )=a x (a >0,且a ≠1),∵f (2)=9,∴a 2=9,a =3,即f (x )=3x . ∴f (-2)=3-2=19,f (1)=3.16.若点(a,27)在函数y =(3)x 的图象上,则a 的值为( )A. 6 B .1 C .2 2D .0[解析]选A 点(a,27)在函数y =(3)x 的图象上,∴27=(3)a , 即33=3a 2,∴a2=3,解得a =6,∴a = 6.故选A.17.已知函数f (x )=⎝⎛⎭⎫12ax ,a 为常数,且函数的图象过点(-1,2),则a =________,若g (x )=4-x-2, 且g (x )=f (x ),则x =________.[解析]因为函数的图象过点(-1,2),所以⎝⎛⎭⎫12-a=2,所以a =1,所以f (x )=⎝⎛⎭⎫12x , g (x )=f (x )可变形为4-x -2-x -2=0,解得2-x =2,所以x =-1. 18.已知f (x )=2x +12x ,若f (a )=5,则f (2a )=________.[解析]因为f (x )=2x +12x ,f (a )=5,则f (a )=2a +12a =5.所以f (2a )=22a +122a =(2a )2+⎝⎛⎭⎫12a 2=⎝⎛⎭⎫2a +12a 2-2=23. 19.若f (x )满足对任意的实数a ,b 都有f (a +b )=f (a )·f (b )且f (1)=2,则f (2)f (1)+f (4)f (3)+f (6)f (5)+…+f (2020)f (2019)=( )A .1010B .2020C .2019D .1009[解析]不妨设f (x )=2x ,则f (2)f (1)=f (4)f (3)=…=f (2020)f (2019)=2,所以原式=1010×2=2020.题型二 指数函数的图象及其应用1.y =⎝⎛⎭⎫34x的图象可能是( )[解析]0<34<1且过点(0,1),故选C.2.函数y =3-x 的图象是( )A B C D[解析]∵y =3-x=⎝⎛⎭⎫13x,∴B 选项正确.3.函数y =2-|x |的大致图象是( )[解析]y =2-|x |=⎩⎪⎨⎪⎧2-x ,x ≥0.2x ,x <0,画出图象,可知选C. 4.函数y =a -|x |(0<a <1)的图象是( )A B C D[解析]y =a-|x |=⎝⎛⎭⎫1a |x|,易知函数为偶函数,∵0<a <1,∴1a>1,故当x >0时,函数为增函数,当x <0时,函数为减函数,当x =0时,函数有最小值,最小值为1,且指数函数为凹函数,故选A. 5.函数y =-2-x 的图象一定过第________象限.[解析]y =-2-x =-⎝⎛⎭⎫12x 与y =⎝⎛⎭⎫12x 关于x 轴对称,一定过第三、四象限. 6.函数f (x )=a x-b 的图象如图所示,其中a ,b 为常数,则下列结论正确的是( )A .a >1,b <0B .a >1,b >0C .0<a <1,b >0D .0<a <1,b <0[解析]从曲线的变化趋势,可以得到函数f (x )为减函数,从而有0<a <1;从曲线位置看, 是由函数y =a x (0<a <1)的图象向左平移|-b |个单位长度得到,所以-b >0,即b <0. 7.已知0<m <n <1,则指数函数①y =m x ,②y =n x 的图象为( )[解析]由于0<m <n <1,所以y =m x 与y =n x 都是减函数,故排除A 、B ,作直线x =1与两个曲线相交, 交点在下面的是函数y =m x 的图象,故选C.8.若a >1,-1<b <0,则函数y =a x +b 的图象一定在( )A .第一、二、三象限B .第一、三、四象限C .第二、三、四象限D .第一、二、四象限[解析]A,∵a >1,且-1<b <0,故其图象如图所示.]9.若函数y =a x +b -1(a >0,且a ≠1)的图象经过第二、三、四象限,则一定有( )A .0<a <1,且b >0B .a >1,且b >0C .0<a <1,且b <0D .a >1,且b <0[解析]函数y =a x +b -1(a >0,且a ≠1)的图象是由函数y =a x 的图象经过向上或向下平移而得到的,因其图象不经过第一象限,所以a ∈(0,1).若经过第二、三、四象限,则需将函数y =a x (0<a <1)的图象向下平移至少大于1个单位长度,即b -1<-1⇒b <0.故选C.10.若函数y =a x +m -1(a >0)的图象经过第一、第三和第四象限,则( )A .a >1B .a >1,且m <0C .0<a <1,且m >0D .0<a <1[解析]选B,y =a x (a >0)的图象在第一、二象限内,欲使y =a x +m -1的图象经过第一、三、四象限,必须将y =a x 向下移动.当0<a <1时,图象向下移动,只能经过第一、二、四象限或第二、三、四象限,故只有当a >1时,图象向下移动才可能经过第一、三、四象限.当a >1时,图象向下移动不超过一个单位时,图象经过第一、二、三象限,向下移动一个单位时,图象恰好经过原点和第一、三象限,欲使图象经过第一、三、四象限,则必须向下平移超过一个单位,故m -1<-1,所以m <0,故选B. 11.函数f (x )=a x 与g (x )=-x +a 的图象大致是( )[解析]当a >1时,函数f (x )=a x 单调递增,当x =0时,g (0)=a >1,此时两函数的图象大致为选项A. 12.二次函数y =ax 2+bx 与指数函数y =⎝⎛⎭⎫b a x的图象可能是( )[解析]二次函数y =a ⎝⎛⎭⎫x +b 2a 2-b 24a ,其图象的顶点坐标为⎝⎛⎭⎫-b 2a ,-b 24a ,由指数函数的图象知0<ba<1, 所以-12<-b 2a <0,再观察四个选项,只有A 中的抛物线的顶点的横坐标在-12和0之间.13.已知函数f(x)=(x-a)(x-b)(其中a>b)的图象如图所示,则函数g(x)=a x+b的图象是()[解析]由函数f(x)=(x-a)(x-b)(其中a>b)的图象可知0<a<1,b<-1,所以函数g(x)=a x+b是减函数,排除选项C、D;又因为函数图象过点(0,1+b)(1+b<0),故选A.14.如图是指数函数①y=a x,②y=b x,③y=c x,④y=d x的图象,则a,b,c,d与1的大小关系为()A.a<b<1<c<d B.b<a<1<d<c C.1<a<b<c<d D.a<b<1<d<c[解析](1)解法一:由图象可知③④的底数必大于1,①②的底数必小于1.作直线x=1,在第一象限内直线x=1与各曲线的交点的纵坐标即各指数函数的底数,则1<d<c,b<a<1,从而可知a,b,c,d与1的大小关系为b<a<1<d<c.解法二:根据图象可以先分两类:③④的底数大于1,①②的底数小于1,再由③④比较c,d的大小,由①②比较a,b的大小.当指数函数的底数大于1时,图象上升,且底数越大时图象向上越靠近y轴;当底数大于0小于1时,图象下降,底数越小,图象向右越靠近x轴.15.方程|2x-1|=a有唯一实数解,则a的取值范围是________.[解析]作出y=|2x-1|的图象,如图,要使直线y=a与图象的交点只有一个,∴a≥1或a=0.16.函数y=a x-3+3(a>0,且a≠1)的图象过定点________.[解析]因为指数函数y=a x(a>0,且a≠1)的图象过定点(0,1),所以在函数y=a x-3+3中,令x-3=0,得x=3,此时y=1+3=4,即函数y=a x-3+3的图象过定点(3,4).17.函数y=2a x+3+2(a>0,且a≠1)的图象过定点________.[解析]令x+3=0得x=-3,此时y=2a0+2=2+2=4.即函数y=2a x+3+2(a>0,且a≠1)的图象过定点(-3,4).18.当a>0,且a≠1时,函数f(x)=a x+1-1的图象一定过点()A.(0,1) B.(0,-1)C .(-1,0)D .(1,0)[解析] 当x =-1时,显然f (x )=0,因此图象必过点(-1,0).19.已知函数y =2a x -1+1(a >0且a ≠1)恒过定点A (m ,n ),则m +n =( )A .1B .3C .4D .2[解析]选C,由题意知,当x =1时,y =3,故A (1,3),m +n =4. 20.函数y =a 2x +1+1(a >0,且a ≠1)的图象过定点________. [解析]令2x +1=0得x =-12,y =2,所以函数图象恒过点⎝⎛⎭⎫-12,2. 21.若函数y =2-|x |-m 的图象与x 轴有交点,则( )A .-1≤m <0B .0≤m ≤1C .0<m ≤1D .m ≥0[解析]易知y =2-|x |-m =⎝⎛⎭⎫12|x |-m .若函数y =2-|x |-m 的图象与x 轴有交点,则方程⎝⎛⎭⎫12|x |-m =0有解, 即m =⎝⎛⎭⎫12|x |有解.∵0<⎝⎛⎭⎫12|x |≤1,∴0<m ≤1. 22.已知f (x )=2x 的图象,指出下列函数的图象是由y =f (x )的图象通过怎样的变化得到:(1)y =2x +1;(2)y =2x -1;(3)y =2x +1;(4)y =2-x ;(5)y =2|x |. [解析] (1)y =2x +1的图象是由y =2x 的图象向左平移1个单位得到.(2)y =2x-1的图象是由y =2x 的图象向右平移1个单位得到.(3)y =2x +1的图象是由y =2x 的图象向上平移1个单位得到.(4)∵y =2-x 与y =2x 的图象关于y 轴对称,∴作y =2x 的图象关于y 轴的对称图形便可得到y =2-x的图象.(5)∵y =2|x |为偶函数,故其图象关于y 轴对称,故先作出当x ≥0时,y =2x 的图象,再作关于y 轴的对称图形,即可得到y =2|x |的图象.23.已知函数f (x )=a x +b (a >0,且a ≠1).(1)若f (x )的图象如图①所示,求a ,b 的值; (2)若f (x )的图象如图②所示,求a ,b 的取值范围;(3)在(1)中,若|f (x )|=m 有且仅有一个实数根,求m 的取值范围.[解析] (1)f (x )的图象过点(2,0),(0,-2),所以⎩⎪⎨⎪⎧a 2+b =0,a 0+b =-2,又因为a >0,且a ≠1,所以a =3,b =-3.(2)f (x )单调递减,所以0<a <1,又f (0)<0.即a 0+b <0,所以b <-1. 故a 的取值范围为(0,1),b 的取值范围为(-∞,-1).(3)画出|f (x )|=|(3)x -3|的图象如图所示,要使|f (x )|=m 有且仅有一个实数根, 则m =0或m ≥3.故m 的取值范围为[3,+∞)∪{0}.题型三 指数函数的定义域与值域1.求下列函数的定义域和值域:(1)y =1-3x ;(2)y =21x -4 ; (3)y =⎝⎛⎭⎫23-|x | ; (4)y =⎝⎛⎭⎫12x 2-2x -3;(5)y =4x +2x +1+2. [解析] (1)要使函数式有意义,则1-3x ≥0,即3x ≤1=30,因为函数y =3x 在R 上是增函数,所以x ≤0, 故函数y =1-3x 的定义域为(-∞,0].因为x ≤0,所以0<3x ≤1,所以0≤1-3x <1, 所以1-3x ∈[0,1),即函数y =1-3x 的值域为[0,1). (2)要使函数式有意义,则x -4≠0,解得x ≠4. 所以函数y =21x -4的定义域为{x |x ≠4}.因为1x -4≠0,所以21x -4 ≠1,即函数y =21x -4 的值域为{y |y >0,且y ≠1}.(3)要使函数式有意义,则-|x |≥0,解得x =0.所以函数y =⎝⎛⎭⎫23-|x |的定义域为{x |x =0}.因为x =0,所以⎝⎛⎭⎫23-|x | =⎝⎛⎭⎫230=1,即函数y =⎝⎛⎭⎫23-|x |的值域为{y |y =1}. (4)定义域为R.∵x 2-2x -3=(x -1)2-4≥-4,∴⎝⎛⎭⎫12x 2-2x -3≤⎝⎛⎭⎫12-4=16. 又∵⎝⎛⎭⎫12x 2-2x -3>0,∴函数y =⎝⎛⎭⎫12x 2-2x -3的值域为(0,16]. (5)因为对于任意的x ∈R ,函数y =4x +2x +1+2都有意义,所以函数y =4x +2x +1+2的定义域为R. 因为2x >0,所以4x +2x +1+2=(2x )2+2×2x +2=(2x +1)2+1>1+1=2, 即函数y =4x +2x +1+2的值域为(2,+∞). 2.(1)求函数y =⎝⎛⎭⎫132x -的定义域与值域;(2)求函数y =⎝⎛⎭⎫14x -1-4·⎝⎛⎭⎫12x +2,x ∈[0,2]的最大值和最小值及相应的x 的值. [解析] (1)由x -2≥0,得x ≥2,所以定义域为{x |x ≥2}.当x ≥2时,x -2≥0, 又因为0<13<1,所以y =⎝⎛⎭⎫13x -2的值域为{y |0<y ≤1}.(2)∵y =⎝⎛⎭⎫14x -1-4·⎝⎛⎭⎫12x +2,∴y =4·⎝⎛⎭⎫14x -4·⎝⎛⎭⎫12x +2.令m =⎝⎛⎭⎫12x ,则⎝⎛⎭⎫14x =m 2. 由0≤x ≤2,知14≤m ≤1.∴f (m )=4m 2-4m +2=4⎝⎛⎭⎫m -122+1. ∴当m =12,即当x =1时,f (m )有最小值1;当m =1,即x =0时,f (m )有最大值2.故函数的最大值是2,此时x =0,函数的最小值为1,此时x =1. 3.函数y =2x -1的定义域是( )A .(-∞,0)B .(-∞,0]C .[0,+∞)D .(0,+∞)[解析]由2x -1≥0,得2x ≥20,∴x ≥0.[答案] C 4.函数y =1-⎝⎛⎭⎫12x的定义域是________.[解析]由1-⎝⎛⎭⎫12x≥0得⎝⎛⎭⎫12x ≤1=⎝⎛⎭⎫120,∴x ≥0,∴函数y =1-⎝⎛⎭⎫12x的定义域为[0,+∞).5.若函数y =a x -1的定义域是(-∞,0],则a 的取值范围为( )A .a >0B .a <1C .0<a <1D .a ≠1[解析]由a x -1≥0,得a x ≥a 0.∵函数的定义域为(-∞,0],∴0<a <1.6.若函数f (x )=a x -a 的定义域是[1,+∞),则a 的取值范围是( ) A .[0,1)∪(1,+∞) B .(1,+∞) C .(0,1)D .(2,+∞)[解析]∵a x -a ≥0,∴a x ≥a ,∴当a >1时,x ≥1.故函数定义域为[1,+∞)时,a >1. 7.y =2x ,x ∈[1,+∞)的值域是( )A .[1,+∞)B .[2,+∞)C .[0,+∞)D .(0,+∞)[解析]y =2x 在R 上是增函数,且21=2,故选B. 8.函数y =16-4x 的值域是( )A .[0,+∞)B .[0,4]C .[0,4)D .(0,4)[解析]要使函数有意义,须满足16-4x ≥0.又因为4x >0,所以0≤16-4x <16, 即函数y =16-4x 的值域为[0,4).9.函数y =⎝⎛⎭⎫12x(x ≥8)的值域是( )A .R B.⎝⎛⎦⎤0,1256 C.⎝⎛⎦⎤-∞,1256 D.⎣⎡⎭⎫1256,+∞[解析]因为y =⎝⎛⎭⎫12x 在[8,+∞)上单调递减,所以0<⎝⎛⎭⎫12x≤⎝⎛⎭⎫128=1256. 10.函数y =1-2x ,x ∈[0,1]的值域是( )A .[0,1]B .[-1,0] C.⎣⎡⎦⎤0,12 D.⎣⎡⎦⎤-12,0 [解析]∵0≤x ≤1,∴1≤2x ≤2,∴-1≤1-2x ≤0,选B.11.已知函数y =⎝⎛⎭⎫13x 在[-2,-1]上的最小值是m ,最大值是n ,则m +n 的值为________.[解析]∵y =⎝⎛⎭⎫13x 在R 上为减函数,∴m =⎝⎛⎭⎫13-1=3,n =⎝⎛⎭⎫13-2=9,故m +n =12. 12.函数y =⎝⎛⎭⎫1222x x -+的值域是________. [解析]设t =-x 2+2x =-(x 2-2x )=-(x -1)2+1≤1,∴t ≤1.∵⎝⎛⎭⎫12t ≥⎝⎛⎭⎫121=12,∴函数值域为⎣⎡⎭⎫12,+∞. 13.函数y =⎝⎛⎭⎫12x 2-1的值域是________.[解析]∵x 2-1≥-1,∴y =⎝⎛⎭⎫12x 2-1≤⎝⎛⎭⎫12-1=2,又y >0,∴函数值域为(0,2].14.若函数f (x )=⎩⎪⎨⎪⎧2x ,x <0,-2-x ,x >0,则函数f (x )的值域是________. [解析]由x <0,得0<2x <1;由x >0,∴-x <0,0<2-x <1,∴-1<-2-x <0,∴函数f (x )的值域为(-1,0)∪(0,1).15.已知函数f (x )=a x -1(x ≥0)的图象经过点⎝⎛⎭⎫2,12,其中a >0且a ≠1. (1)求a 的值;(2)求函数y =f (x )(x ≥0)的值域.[解析](1)∵f (x )的图象过点⎝⎛⎭⎫2,12,∴a 2-1=12,则a =12. (2)由(1)知,f (x )=⎝⎛⎭⎫12x -1,x ≥0.由x ≥0,得x -1≥-1,于是0<⎝⎛⎭⎫12x -1≤⎝⎛⎭⎫12-1=2, 所以函数y =f (x )(x ≥0)的值域为(0,2].16.若定义运算a ⊙b =⎩⎪⎨⎪⎧a ,a <b ,b ,a ≥b ,则函数f (x )=3x ⊙3-x 的值域是________. [解析]当x >0时,3x >3-x, f (x )=3-x ,f (x )∈(0,1);当x =0时,f (x )=3x =3-x =1; 当x <0时,3x <3-x ,f (x )=3x ,f (x )∈(0,1).综上, f (x )的值域是(0,1].17.函数f (x )=3x 3x +1的值域是________.[解析]数y =f (x )=3x 3x +1,即有3x =-y y -1,由于3x >0,则-y y -1>0,解得0<y <1,值域为(0,1). 18.若函数f (x )=a x -1(a >0,且a ≠1)的定义域和值域都是[0,2],求实数a 的值.[解析]当0<a <1时,函数f (x )=a x -1(a >0,且a ≠1)为减函数,所以⎩⎪⎨⎪⎧ a 0-1=2,a 2-1=0无解. 当a >1时,函数f (x )=a x -1(a >0,且a ≠1)为增函数,所以⎩⎪⎨⎪⎧a 0-1=0,a 2-1=2,解得a = 3. 综上,a 的值为 3.19.已知f (x )=9x -2×3x +4,x ∈[-1,2].(1)设t =3x ,x ∈[-1,2],求t 的最大值与最小值;(2)求f (x )的最大值与最小值.[解析](1)设t =3x ,∵x ∈[-1,2],函数t =3x 在[-1,2]上是增函数,故有13≤t ≤9, 故t 的最大值为9,t 的最小值为13. (2)由f (x )=9x -2×3x +4=t 2-2t +4=(t -1)2+3,可得此二次函数的对称轴为t =1,且13≤t ≤9, 故当t =1时,函数f (x )有最小值为3,当t =9时,函数f (x )有最大值为67.。
六大基本初等函数图像及其性质一、常值函数(也称常数函数) y =C (其中C 为常数);常数函数(C y =)0≠C0=C平行于x 轴的直线y 轴本身 定义域R定义域R二、幂函数 αx y = ,x 是自变量,α是常数;1.幂函数的图像:2.幂函数的性质;性质函数x y =2xy =3x y =21xy =1-=x y定义域 R RR [0,+∞) {x|x ≠0} 值域 R [0,+∞) R [0,+∞) {y|y ≠0} 奇偶性 奇 偶 奇 非奇非偶 奇 单调性 增[0,+∞) 增 增 增(0,+∞) 减 (-∞,0] 减(-∞,0) 减公共点(1,1)1)当α为正整数时,函数的定义域为区间为),(+∞-∞∈x ,他们的图形都经过原点,并当α>1时xyOxy =2x y =3x y =1-=x y 21xy =O=y xCy =Oxyy在原点处与x 轴相切。
且α为奇数时,图形关于原点对称;α为偶数时图形关于y 轴对称;2)当α为负整数时。
函数的定义域为除去x=0的所有实数; 3)当α为正有理数nm时,n 为偶数时函数的定义域为(0, +∞),n 为奇数时函数的定义域为(-∞,+∞),函数的图形均经过原点和(1 ,1);4)如果m>n 图形于x 轴相切,如果m<n,图形于y 轴相切,且m 为偶数时,还跟y 轴对称;m ,n 均为奇数时,跟原点对称;5)当α为负有理数时,n 为偶数时,函数的定义域为大于零的一切实数;n 为奇数时,定义域为去除x=0以外的一切实数。
三、指数函数xa y =(x 是自变量,a 是常数且0>a ,1≠a ),定义域是R ;[无界函数]1.指数函数的图象:2.指数函数的性质;性质函数x a y =)1(>ax a y =)10(<<a定义域 R 值域(0,+∞) 奇偶性 非奇非偶公共点过点(0,1),即0=x 时,1=y单调性在),(∞+∞-是增函数 在),(∞+∞-是减函数 1)当1>a 时函数为单调增,当10<<a 时函数为单调减; 2)不论x 为何值,y 总是正的,图形在x 轴上方; 3)当0=x 时,1=y ,所以它的图形通过(0,1)点。
五、基本初等函数及其性质和图形1.幂函数函数称为幂函数。
如,,,都是幂函数。
没有统一的定义域,定义域由值确定。
如,。
但在内总是有定义的,且都经过(1,1)点。
当时,函数在上是单调增加的,当时,函数在内是单调减少的。
下面给出几个常用的幂函数:的图形,如图1-1-2、图1-1-3。
图1-1-2图1-1-32.指数函数函数称为指数函数,定义域,值域;当时函数为单调增加的;当时为单调减少的,曲线过点。
高等数学中常用的指数函数是时,即。
以与为例绘出图形,如图1-1-4。
图1-1-43.对数函数函数称为对数函数,其定义域,值域。
当时单调增加,当时单调减少,曲线过(1,0)点,都在右半平面内。
与互为反函数。
当时的对数函数称为自然对数,当时,称为常用对数。
以为例绘出图形,如图1-1-5。
图1-1-54.三角函数有,它们都是周期函数。
对三角函数作简要的叙述:(1)正弦函数与余弦函数:与定义域都是,值域都是。
它们都是有界函数,周期都是,为奇函数,为偶函数。
图形为图1-1-6、图1-1-7。
图1-1-6正弦函数图形图1-1-7余弦函数图形(2)正切函数,定义域,值域为。
周期,在其定义域内单调增加的奇函数,图形为图1-1-8图1-1-8(3)余切函数,定义域,值域为,周期。
在定义域内是单调减少的奇函数,图形如图1-1-9。
图1-1-9(4)正割函数,定义域,值域为,为无界函数,周期的偶函数,图形如图1-1-10。
图1-1-10(5)余割函数,定义域,值域为,为无界函数,周期在定义域为奇函数,图形如图1-1-11。
图1-1-115.反三角函数反正弦函数,定义域,值域,为有界函数,在其定义域内是单调增加的奇函数,图形如图1-1-12;图1-1-12反余弦函数,定义域为[-1,1],值域为,为有界函数,在其定义域内为单调减少的非奇非偶函数,图形如图1-1-13;图1-1-13反正切函数,定义域,值域为,为有界函数,在定义域内是单调增加的奇函数,图形如图1-1-14;图1-1-14反余切函数,定义域为,值域,为有界函数,在其定义域内单调减少的非奇非偶函数。
WORD 格式整理版六大基本初等函数图像及其性质一、常值函数(也称常数函数)y =C (其中 C 为常数);常数函数( y C )C 0yy Cy 0xO平行于 x 轴的直线定义域 R二、幂函数 y x ,x是自变量,是常数;y 11. 幂函数的图像:y x2y x2y x1O2.幂函数的性质;性质y x y x2y x3函数定义域R R R值域R[0,+ ∞ )R奇偶性奇偶奇单调性增[0,+ ∞) 增增(-∞ ,0]减公共点( 1,1)C 0yOy轴本身定义域 Ry xy x3x1y x2[0,+ ∞ )[0,+ ∞ )非奇非偶增xy x 1{x|x ≠ 0}{y|y ≠ 0}奇(0,+∞) 减(-∞ ,0) 减WORD 格式整理版1)当 α 为正整数时,函数的定义域为区间为x ( ,),他们的图形都经过原点,并当α >1 时在原点处与 x 轴相切。
且 α为奇数时,图形关于原点对称;α 为偶数时图形关于 y 轴对称;2)当 α 为负整数时。
函数的定义域为除去 x=0 的所有实数;3)当 α 为正有理数m时, n 为偶数时函数的定义域为(0, +∞), n 为奇数时函数的定义域为( -n∞ ,+∞),函数的图形均经过原点和( 1 ,1);4)如果 m>n 图形于 x 轴相切,如果m<n,图形于 y 轴相切,且 m 为偶数时,还跟y 轴对称; m , n均为奇数时,跟原点对称;5)当 α 为负有理数时, n 为偶数时,函数的定义域为大于零的一切实数;n 为奇数时,定义域为去除 x=0 以外的一切实数。
三、指数函数 ya x ( x 是自变量 , a 是常数且 a0 , a 1) ,定义域是 R ;[ 无界函数 ]1. 指数函数的图象 :ya xyyya x(a 1)(0 a1)(0,1)y 1(0,1)y 1OxOx2. 指数函数的性质 ;性质y a x(a 1)y a x(0 a 1)函数定义域 R值域(0,+∞)奇偶性非奇非偶公共点过点 (0,1),即 x0 时, y 1单调性 在( ,)是增函数在(, )是减函数1 ) 当 a 1时 函 数 为 单 调 增 , 当 0 a 1时函数为单调减;2 ) 不 论 x 为 何 值 , y 总 是 正 的 , 图 形 在 x 轴 上 方 ;3 ) 当 x0 时 , y1,所以它的图形通过(0,1) 点。
六大基本初等函数图像及其性质一、常值函数(也称常数函数)y =C(此中 C 为常数);常数函数( y C )C 0C0y yy Cx y 0xO O平行于x 轴的直线y 轴自己定义域R定义域R 二、幂函数 y x ,x是自变量,是常数;1y y x1.幂函数的图像:2y x2y xy x3y x1O x2.幂函数的性质;性质y x y x231y x1y x y x2函数定义域R R R[0,+ ∞ ){x|x ≠ 0}值域R[0,+ ∞ )R[0,+ ∞ ){y|y ≠ 0}奇偶性奇偶奇非奇非偶奇单一性增[0,+∞) 增增增(0,+∞ )减(-∞ ,0] 减(-∞ ,0)减公共点( 1,1)1)当α为正整数时,函数的定义域为区间为x ( , ),他们的图形都经过原点,并当α>1 时在原点处与x 轴相切。
且α为奇数时,图形对于原点对称;α为偶数时图形对于y 轴对称;2)当α为负整数时。
函数的定义域为除掉x=0 的全部实数;3)当α为正有理数m时,n为偶数时函数的定义域为(0, +∞),n为奇数时函数的定义域为(-n∞ ,+∞),函数的图形均经过原点和( 1 ,1);4)假如 m>n 图形于 x 轴相切,假如m<n,图形于 y 轴相切,且m 为偶数时,还跟y 轴对称; m, n均为奇数时,跟原点对称;5)当α为负有理数时,n 为偶数时,函数的定义域为大于零的一确实数;n 为奇数时,定义域为去除 x=0 之外的一确实数。
三、指数函数 y a x(x是自变量,a是常数且a0, a1),定义域是 R ;[ 无界函数 ]1.指数函数的图象:yy a x y a xy(a 1)(0a1)(0,1)y1(0,1)y1 O x O x2.指数函数的性质;性质y a x(a1)y a x(0 a 1)函数定义域R值域(0,+∞)奇偶性非奇非偶公共点过点 (0,1),即 x0 时,y 1单一性在(,)是增函数在(,)是减函数1 )当a 1时函数为单调增 , 当0a 1时函数为单调减;2 )不论x为何值 ,y 总是正的,图形在 x 轴上方;3 )当x 0时 , y 1, 所以它的图形通过 (0,1) 点。
函数图形基本初等函数1)幂函数(2)幂函数(3)指数函数(2)指数函数(3)对数函数(1)对数函数(2)三角函数(1)三角函数(2)三角函数(3)三角函数(4)三角函数(5)反三角函数(1)反三角函数(2)反三角函数(3)反三角函数(4)反三角函数(5)反三角函数(6)反三角函数(7)反三角函数(8)双曲函数(1)双曲函数(2)双曲函数(3)双曲函数(4)双曲函数(5)双曲函数(6)反双曲函数(4)反双曲函数(1)反双曲函数(2)反双曲函数(3)反双曲函数(5)反双曲函数(6)y=sin(1/x) (1) y=sin(1/x) (2)y=sin(1/x) (3)y=sin(1/x) (4) y = [1/x](1) y = [1/x](2)y=21/xy=21/x (2)y=xsin(1/x)y=arctan(1/x)y=e1/xy=sinx (x->∞)绝对值函数y = |x| 符号函数y = sgnx 取整函数y= [x]极限的几何解释(1)(2)(3)极限的性质(2) (局部保号性))极限的性质(3) (不等式性质极限的性质(4) (局部有界性两个重要极限y=sinx/x (1)y=sinx/x (2)limsinx/x的一般形式y=(1+1/x)^x (1)y=(1+1/x)^x (2)lim(1+1/x)^x 的一般形式(1) lim(1+1/x)^x 的一般形式(2) lim(1+1/x)^x 的一般形式(3)e的值(1)e的值(2)等价无穷小(x->0)sinx等价于xarcsinx等价于xtanx等价于xarctanx等价于x1-cosx等价于x^2/2sinx等价于x数列的极限的几何解释海涅定理渐近线水平渐近线铅直渐近线y=(x+1)/(x-1)y=sinx/x (x->∞)夹逼定理(1)夹逼定理(2)数列的夹逼性 (1)数列的夹逼性 (2)。
六大基本初等函数图像及其性质一、常值函数(也称常数函数) y =C (其中C 为常数);常数函数(C y =)0≠C0=C平行于x 轴的直线y 轴本身 定义域R定义域R二、幂函数 αx y = ,x 是自变量,α是常数;1.幂函数的图像:2.幂函数的性质;性质函数x y =2x y =3x y =21xy =1-=x y定义域 R R R [0,+∞) {x|x ≠0} 值域 R [0,+∞) R [0,+∞) {y|y ≠0} 奇偶性 奇 偶 奇 非奇非偶 奇 单调性 增[0,+∞) 增 增 增(0,+∞) 减 (-∞,0] 减(-∞,0) 减公共点(1,1)xy Ox y =2x y =21xy =1-=xy 3x y = O=y xCy =Oxyy1)当α为正整数时,函数的定义域为区间为),(+∞-∞∈x ,他们的图形都经过原点,并当α>1时在原点处与x 轴相切。
且α为奇数时,图形关于原点对称;α为偶数时图形关于y 轴对称;2)当α为负整数时。
函数的定义域为除去x=0的所有实数; 3)当α为正有理数nm时,n 为偶数时函数的定义域为(0, +∞),n 为奇数时函数的定义域为(-∞,+∞),函数的图形均经过原点和(1 ,1);4)如果m>n 图形于x 轴相切,如果m<n,图形于y 轴相切,且m 为偶数时,还跟y 轴对称;m ,n 均为奇数时,跟原点对称;5)当α为负有理数时,n 为偶数时,函数的定义域为大于零的一切实数;n 为奇数时,定义域为去除x=0以外的一切实数。
三、指数函数xa y =(x 是自变量,a 是常数且0>a ,1≠a ),定义域是R ;[无界函数]1.指数函数的图象:2.指数函数的性质;性质函数x a y =)1(>ax a y =)10(<<a定义域 R 值域(0,+∞) 奇偶性 非奇非偶公共点过点(0,1),即0=x 时,1=y单调性在),(∞+∞-是增函数 在),(∞+∞-是减函数 1)当1>a 时函数为单调增,当10<<a 时函数为单调减; 2)不论x 为何值,y 总是正的,图形在x 轴上方; 3)当0=x 时,1=y ,所以它的图形通过(0,1)点。
指数函数图像
指数函数是重要的基本初等函数之一。
一般地,y=a^x函数(a为常数且以a>0,a≠1)叫做指数函数,函数的定义域是R 。
注意,在指数函数的定义表达式中,在a^x前的系数必须是数1,自变量x必须在指数的位置上,且不能是x 的其他表达式,否则,就不是指数函数
指数函数图像如下:
(1)由指数函数y=a^x与直线x=1相交于点(1,a)可知:在y轴右侧,图像从下到上相应的底数由小变大。
(2)由指数函数y=a^x与直线x=-1相交于点(-1,1/a)可知:在y轴左侧,图像从下到上相应的底数由大变小。
(3)指数函数的底数与图像间的关系可概括的记忆为:在y轴右边“底大图高”;在y轴左边“底大图低”。
指数函数及其图形基本题:【1】下列五个数中,何者为最小?(A) 231(B)2)81(-(C) 412- (D)21)21((E) 831-。
[解答]:(E)【详解】:∵ (81)-2=(2-3)-2=26;(21)21=221-;831-=(23)31-=2-1∵ 26>231>241->221->2-1 ∴ 最小的是2-1=831-【2】a >0,a ≠1,且432aaa=a x,则x 之值为(A)61(B)485(C)31(D)21(E)32。
[解答]:(A)【详解】:32aa=(32aa )21=(a 31)21=a 61a x=(a 21)41.(a 61)41=a24181+=a 244=a 61∵ a ≠0,1,-1⇒∴ x =61【3】6332 32 32-.-.+值为(A)1(B)2-3(C)2+3(D)0 (E)231+。
[解答]:(A)【详解】:6332 32 32-.-.+=()()()()21216131132323232-⋅+=-⋅++=()()[]1323221=-⋅+【4】化简22341062329-+--= 。
[解答]:2+1【详解】:原式=)12(41062329-+--=82662329+--=)24(62329+--=1821129--=)29(29-- =223+=12+【5】化简求值:(1)[(41)6.64]-4.(32)-3= 。
(2)(1681)-0.25.21 )94(-.(0.25)-1.5= 。
[解答]:(1) 512(2) 8【6】指数函数f 1 (x)=a x ,f 2 (x)=b x ,f 3 (x)=c x ,f 4 (x)=d x 的图形如图,请由大而小写出a ,b ,c ,d 的大小顺序: 。
[解答]:c >d >a >b【详解】:∵ f 1,f 2的图形是递减的 ∴ 0<a <1,0<b <1 令x =1,得a 1>b 1⇒1>a >b又f 3,f 4的图形是递增的 ∴ c >1,d >1 令x =1,得c 1>d 1⇒c >d >1 故c >d >1>a >b【7】比较大小:(1) 260,330,620由小而大排列为 。
(2)36433 9 27,,由小而大排列为 。
[解答]:(1) 330<620<260(2)43627 33 9<<【详解】:(1) 因]64)2(2[]36)6(6[]27)3(3[101066010102201010330==<==<== (2) 因]3327[ ]3333 33[ ]339[43434323431362626====⋅===<<【8】方程式的实根个数:(1)方程式(21)x =x +1的实根共有 个。
(2)方程式x 2=2x 的实根共有 个。
[解答]:(1) 1(2) 3【详解】:(1)绘出⎪⎩⎪⎨⎧+==1)21(x y y x图形,找交点数 (2) 绘出⎩⎨⎧==xy x y 22图形,找交点数【9】 x ,y ∈R ,172x =13,133y =17,则xy 之值为 。
[解答]:61【详解】:∵ 13=172x∴ 133y =(172x )3y =17(2x )(3y )=17 ⇒∴ 176xy =17⇒⇒16=xy xy =61【10】若53x =9,477y =243,则yx 52-= 。
[解答]:-2【详解】:⎪⎩⎪⎨⎧⇒⎪⎩⎪⎨⎧yxy x525234773533477353====……①……② ①÷② 得 3yx 52-=47753=91=3-2∴ yx 52-=-2进阶题:【1】方程式2x +1-6.2x -1+10.2x -2=12之解为 。
[解答]:3【详解】:2x +1-6.2x -1+10.2x -2=12⇒2.2x -6.2x .2-1+10.2x .2-2=12⇒(2-26+410).2x =12⇒23.2x =12⇒2x =8⇒x =3【2】若方程式4x -3.2x +2+8=0之两根为α,β,则α+β= 。
[解答]:3【详解】:(22)x -3.22.2x +8=0 ⇒(2x )2-12.2x +8=0令t =2x ,则t 2-12t +8=0两根为2α,2β 由根与系数关系得2α+β=2α.2β=8=23 ∴ α+β=3【3】解方程式(1) 4x +1-5.2x +2+16=0⇒x = 。
(2) 6x -4.3x -3.2x +12=0⇒x = 。
[解答]:(1) 0,2(2) 1,2【详解】:(1) 4x +1-5.2x +2+16=0016220)2(4016245)2(422=+⋅-⇒=+⋅⋅-⋅⇒x x x x022*******)12)(42(0425)2(====⇒=--⇒=+⋅-⇒x x x x x x 或 02==⇒x x 或 (2) 6x -4.3x -3.2x +12=00)33)(42(012233432=--⇒=+⋅-⋅-⋅⇒x x x x x x 123324212==⇒===⇒x x x x 或或【4】若a >0且a 2x=2,则x x x x aa a a --++33之值= 。
[解答]:23【详解】:原式=x x x x a a a a --++33)()(=[]xx x x xx x x a a a a a a a a ----++.-+22)()()(=(a x )2-a x .a -x +(a -x )2=2-1+21=23【5】若a >0且a 3x +a -3x =18,则(1) a x +a -x = 。
(2) a x = 。
[解答]:(1) 3(2)253±【详解】:(1)令a x -a -x =t ⇒( a x )3+3(a x )2.a -x +3(a x )( a -x )2+(a -x )3=t 3⇒ a 3x +3(a x +a -x )+a -3x =t 3⇒ t 3-3t -18=0⇒(t -3)(t 2+3t +6)=0 ∵ t ∈R ⇒t =3(t 2+3t +6=0,判别式<0,二根为虚根不合),即a x +a -x =3(2) a x +a -x =3⇒(a x )2-3(a x )+1=0⇒a x =253±【6】设2x =3y =216,则x1+y 1之值为 。
[解答]:31【详解】:⎩⎨⎧==336362y x ⇒⎪⎩⎪⎨⎧==yx 336362⇒⎪⎪⎭⎫ ⎝⎛++=⇒=⋅y x y x 1133366632⇒3111=+y x 【7】试解方程式3(4x+4-x )-2(2x +2-x )-2=0。
[解答]:x =0【详解】:令t =2x +2-x∵ 2x +2-x =2x +x21≥2x x 212.=2⇒t ≥2 又t 2=(2x +2-x )2=4x +2+4-x ⇒4x +4-x =t 2-2∴ 原式可化为3(t 2-2)-2t -2=0⇒3t 2-2t -8=0⇒(3t +4)(t -2)=0⇒t =2,-34(不合)∴ t =2⇒2x +2-x =2⇒(2x )2-2.2x +1=0⇒(2x -1)2=0⇒x =0【8】若x ,y ,z 均为正数,且2x =3y =5z 则2x ,3y ,5z 的大小关系为 。
[解答]:5z >2x >3y【详解】:∵ 2x =3y ⇒(2x )6=(3y )6⇒(23)2x =(32)3y ⇒82x =93y ∵ 8<9⇒2x >3y同理,2x =5z ⇒(2x )10=(5z )10⇒(25)2x =(52)5z ⇒322x =255z ∵ 32>25⇒2x <5z∴ 5z >2x >3y【9】解不等式 (1)不等式(0.3)122--x x >0.09之解为 。
(2)不等式27x-4.32x -1+3x -1<0之解为 。
[解答]:(1)-1<x <3(2)-1<x <0【详解】:(1)(0.3)122--x x >0.09032212)3.0()3.0(222122<--⇒<--⇒>⇒--x x x x x x 310)1)(3(<<-⇒<+-⇒x x x(2) 27x -4.32x -1+3x -1<0⇒<⋅+⋅⋅-⇒03313314323x x x 令03>=x t则0)1)(13(310)143(3103134223<--⇒<+-⇒<+-⇒t t t t t t t t t131<<⇒t (因0>t )01333133101<<-⇒<<⇒<<⇒-x x x【10】-1≤x ≤0,f (x)=2x +2-3.4x -1,当x =x 0时,f (x)有最小值y 0,(x 0,y 0)= 。
[解答]:(0,0)【详解】:令t =2x ∵ 01≤≤x -⇒01222≤≤x -⇒121≤≤tf (x )=4t -3t 2-1=-3(t -32)2+34-1=-3(t -32)2+31∴ 当t =1,即x =0时,f (x )有最小值=f (0)=0【11】若a ≥0,b ≥0且a +b =1,求3a +3b 之最大值与最小值。
[解答]:最大值=4,最小值=23【详解】:∵ 3a +3b ≥2b a 33⋅=b a +32=32 a ≥0⇒3a ≥30=1,b ≥0⇒3b ≥30=1 ∴ (3a -1)(3b -1)≥0⇒3a +b -(3a +3b )+1≥0 ⇒3+1≥3a +3b【12】.设某项实验中,细菌数1日后增加为a 倍,且已知3日后细菌数为200,000,214日后细菌数为1,600,000,则 (1) a 之值为 。
(2)细菌数为3,200,000,所需日数为 日。
【解答】(1) 4 (2) 5资优题:1.设- 2 ≤ x ≤ 8,若函数f (x ) = 2x- 224+x 的最大值为M ,最小值为m ,则(M ,m )= ;又方程式f (x ) = 32的解为 。
【解答】(192,- 4);x = 6【详解】 (1) f (x ) = 2x- 224+x = 2x- 22x .224 = (22x )2- 4.22x = (22x - 2)2 - 4∵ - 2 ≤ x ≤ 8 ⇒ 21≤ 22x≤ 16∴ 当22x = 16时,f (x )有最大值M = (16 - 2)2 - 4 = 192 当22x = 2时,f (x )有最小值m = - 4,即(M ,m ) = (192,- 4) (2) f (x ) = (22x - 2)2- 4 = 32 ⇒ (22x - 2)2 = 36 = 62⇒ 22x - 2 = 6 ⇒ 22x = 8 = 23 ⇒2x= 3 ⇒ x = 6 2.设x ,y ∈R ,x + y = 5且3x - 3y = 18,3x + 3y = k ,(1)以k 表3x = 。