必修一函数压轴题
- 格式:docx
- 大小:189.80 KB
- 文档页数:6
一、选择题1.已知函数()32f x x =-,2()2g x x x =-,(),()()()(),()()g x f x g x F x f x f x g x ≥⎧=⎨<⎩,则( )A .()F x 的最大值为3,最小值为1B .()F x 的最大值为2C .()F x 的最大值为7-D .()F x 的最大值为3,最小值为-12.已知函数22()2(2)f x x a x a =-++,23()2(2)8g x x a x a =-+--+.设()(){1max ,H x f x =}()g x .()()(){}2min ,H x f x g x =(其中{}max ,p q 表示p ,q中较大值,{}min ,p q 表示p ,q 中较小值),记()1H x 的最小值为A ,()2H x 的最大值为B ,则A B -=( ) A .16-B .16C .8aD .816a -3.已知函数()f x 的定义域是[]2,3-,则()23f x -的定义域是( ) A .[]7,3-B .[]3,7-C .1,32⎡⎤⎢⎥⎣⎦D .1,32⎡⎤-⎢⎥⎣⎦4.设函数()y f x =的定义域D ,若对任意的1x D ∈,总存在2x D ∈,使得()()121f x f x ⋅=,则称函数()y f x =具有性质M .下列结论:①函数3x y =具有性质M ; ②函数3y x x =-具有性质M ;③若函数8log (2)y x =+,[]0,x t ∈具有性质M ,则510t =. 其中正确的个数是( ) A .0个B .1个C .2个D .3个5.已知函数(2)f x 的定义域为3(0,)2,则函数(13)f x -的定义域是( ) A .21(,)33-B .11(,)63-C .(0,3)D .7(,1)2-6.已知函数2()(3)1f x mx m x =--+,()g x mx =,若对于任意实数x ,()f x 与()g x 的值至少有一个为正数,则实数m 的取值范围是( ) A .(1,9) B .(3,+)∞C .(,9)-∞D .(0,9)7.方程2x =所表示的曲线大致形状为( )A .B .C .D .8.高斯函数属于初等函数,以大数学家约翰·卡尔·弗里德里希·高斯的名字命名,其图形在形状上像一个倒悬着的钟,高斯函数应用范围很广,在自然科学、社会科学、数学以及工程学等领域都能看到它的身影,设x ∈R ,用[]x 表示不超过x 的最大整数,则[]y x =称为高斯函数,例如:[]3.14-=-,[]4.84=.则函数21()122x xf x ⎡⎤=-⎢⎥+⎣⎦的值域为( ) A .{}0,1B .{}1,1-C .{}1,0-D .{}1,0,1-9.已知定义在R 上的函数()f x 满足:对任意的[)()1212,2,x x x x ∈+∞≠,有()()21210f x f x x x ->-,且()2f x +是偶函数,不等式()()121f m f x +≥-对任意的[]1,0x ∈-恒成立,则实数m 的取值范围是( )A .[]4,6-B .[]4,3-C .(][),46,-∞-+∞ D .(][),43,-∞-⋃+∞10.已知函数()f x 是R 上的单调函数,且对任意实数x ,都有()21213xf f x ⎡⎤+=⎢⎥+⎣⎦成立,则()2020f 的值是( ) A .202021- B .202021+C .202020202121+-D .202020202121-+11.已知函数()1,0,21,0,x x f x x x +≥⎧=⎨--<⎩若()()0a f a f a -->⎡⎤⎣⎦,则实数a 的取值范围是( ) A .()2,+∞ B .[)(]2,00,2-C .(](),22,-∞-+∞D .()()2,00,2-12.已知定义在R 上的函数()f x 的图像关于y 轴对称,且当0x >时()f x 单调递减,若()()()1.360.5log 3,0.5,0.7,a f b f c f -===则,,a b c 的大小关系( )A .c a b >>B .b a c >>C .a c b >>D .c b a >>二、填空题13.函数2()2f x x x =-,()1g x ax =+(0a >),若对任意的[]12,2x ∈-,存在[]22,2x ∈-,使12()()f x g x =,则a 的取值范围是___________.14.设函数f (x )满足:对任意的x 1,x 2∈R 都有(x 1-x 2)[f (x 1)-f (x 2)]>0,则f (-3)与f (-π)的大小关系是________.15.设奇函数()f x 的定义域为[]5,5-,若当[]0,5x ∈时,()f x 的图象如图,则不等式()0xf x <的解集是___________.16.函数2()23||f x x x =-的单调递减区间是________.17.若关于x 的不等式2222x x a +-<在(),0-∞上有解,则实数a 的取值范围是______.18.设集合10,2A ⎡⎫=⎪⎢⎣⎭,1,12B ⎡⎤=⎢⎥⎣⎦,函数()()1,221,x x A f x x x B⎧+∈⎪=⎨⎪-∈⎩,若()()0f f x A ∈,则0x 的取值范围是__________.19.定义:如果函数()y f x =在定义域内给定区间[],a b 上存在()00x a x b <<,满足()()0)(f b f a f x b a-=-,则称函数()y f x =是[],a b 上的“平均值函数”.0x 是它的一个均值点,若函数()2f x x mx =+是[]1,1-上的平均值函数,则实数m 的取值范围是___________.20.已知函数22, 1()+1, 1x ax x f x ax x ⎧-+≤=⎨>⎩,若()f x 在定义域上不是单调函数,则实数a 的取值范围是_______. 三、解答题21.设函数()f x 的定义域是(0,)+∞,且对任意的正实数,x y 都有()()()f xy f x f y =+恒成立,已知(2)1f =,且1x >时,()0f x >. (1)求12f ⎛⎫⎪⎝⎭的值; (2)判断()y f x =在(0,)+∞上的单调性,并给出你的证明; (3)解不等式2()(86)1f x f x >--. 22.已知函数()4f x x x=+. (1)用单调性的定义证明()f x 在()0,2上单调递减; (2)判断()f x 在71,2⎡⎤⎢⎥⎣⎦上的单调情况,并求最值.23.已知函数2()21,[1,3]f x ax bx x =++∈(,a b ∈R 且,a b 为常数) (1)若1a =,求()f x 的最大值;(2)若0a >,1b =-,且()f x 的最小值为4-,求a 的值.24.已知函数1f x x =+ (1)求函数()f x 的解析式、定义域;(2)函数()()g x f x ax =-,[]2,4x ∈,求函数()g x 的最小值.25.已知定义在()0,∞+上的函数()f x 满足:①对任意的(),0,x y ∈+∞,都有()()()f xy f x f y =+;②当且仅当1x >时,()0f x <成立.(1)求()1f ;(2)设()12,0,x x ∈+∞,若()()12f x f x <,试比较1x ,2x 的大小关系,并说明理由; (3)若对任意的[]1,1x ∈-,不等式()()22333310xxxx f f m --⎡⎤+≤+-⎣⎦恒成立,求实数m 的取值范围.26.已知定义在R 上的函数()f x 对任意,x y R ∈都有等式()()()1f x y f x f y +=+-成立,且当0x >时,有()1f x >. (1)求证:函数()f x 在R 上单调递增;(2)若()34f =,关于x 不等式)3f t f +>有解,求t 的取值范围.【参考答案】***试卷处理标记,请不要删除一、选择题1.C 解析:C 【分析】在同一坐标系中先画出()f x 与()g x 的图象,然后根据定义画出()F x ,就容易看出()F x 有最大值,无最小值,解出两个函数的交点,即可求得最大值. 【详解】在同一坐标系中先画出()f x 与()g x 的图象,如图然后根据定义画出()F x ,就容易看出()F x 有最大值,无最小值. 由图象可知,当0x <时,()y F x =取得最大值, 所以由232||2x x x -=-得27x =+或27x =-.结合函数图象可知当27x =-时,函数()F x 有最大值727-,无最小值. 故选:C .【点睛】关键点睛:本题主要考查了函数的图象,以及利用函数求最值,解答本题的关键是在同一坐标系中画出()f x 与()g x 的图象,根据图象得出函数的最值,由232||2x x x -=-得27x =27x =. 2.A解析:A 【分析】根据()()22()244,()2412f x x a a g x x a a =----=-+-+,由()(){1max ,H x f x =}()g x .()()(){}2min ,H x f x g x =,得到max ()412B g x a ==-+,min ()44A f x a ==--求解.【详解】因为函数22()2(2)f x x a x a =-++,23()2(2)8g x x a x a =-+--+,所以()()22()244,()2412f x x a a g x x a a =----=-+-+, 如图所示:当2x a =+时,()()44f x g x a ==--, 当2=-x a 时,()()412f x g x a ==-+, 因为max ()412g x a =-+,所以()()2max ()412H x g x g x a ≤≤=-+, 因为min ()44f x a =--,所以()()1min ()44H x f x f x a ≥≥=--, 所以44,412A a B a =--=-+, 所以16A B -=-, 故选:A 【点睛】方法点睛:(1)识别二次函数的图象主要从开口方向、对称轴、特殊点对应的函数值这几个方面入手.(2)用数形结合法解决与二次函数图象有关的问题时,要尽量规范作图,尤其是图象的开口方向、顶点、对称轴及与两坐标的交点要标清楚,这样在解题时才不易出错.3.C解析:C 【分析】由2233x -≤-≤解得结果即可得解. 【详解】因为函数()f x 的定义域是[]2,3-,所以23x -≤≤, 要使()23f x -有意义,只需2233x -≤-≤,解得132x ≤≤。
高一数学第一学期函数压轴(年夜题)练习(含谜底)之马矢奏春创作1.(本小题满分12分)已知x 满足不等式211222(log )7log 30x x ++≤,求22()log log 42xx f x =⋅的最年夜值与最小值及相应x 值.2.(14分)已知界说域为R 的函数2()12x x af x -+=+是奇函数(1)求a 值;(2)判断并证明该函数在界说域R 上的单调性;(3)若对任意的t R ∈,不等式22(2)(2)0f t t f t k -+-<恒成立,求实数k 的取值范围;3. (本小题满分10分)已知界说在区间(1,1)-上的函数2()1ax b f x x +=+为奇函数,且12()25f =. (1) 求实数a ,b 的值;(2) 用界说证明:函数()f x 在区间(1,1)-上是增函数; (3) 解关于t 的不等式(1)()0f t f t -+<.4. (14分)界说在R +上的函数f(x)对任意实数a,b +∈R ,均有f(ab)=f(a)+f(b)成立,且当x>1时,f(x)<0,(1)求f(1) (2)求证:f(x)为减函数. (3)当f(4)= -2时,解不等式1)5()3(-≥+-f x f5.(本小题满分12分)已知界说在[1,4]上的函数f(x)=x2-2bx+4b (b≥1),(I)求f(x)的最小值g(b);(II)求g(b)的最年夜值M.6. (12分)设函数()log (3)(0,1)a f x x a a a =->≠且,当点(,)P x y 是函数()y f x =图象上的点时,点(2,)Q x a y --是函数()y g x =图象上的点. (1)写出函数()y g x =的解析式; (2)若那时[2,3]x a a ∈++,恒有|()()|1f x g x -,试确定a 的取值范围;(3)把()y g x =的图象向左平移a 个单元获得()y h x =的图象,函数1()22()()()2h x h x h x F x a a a ---=-+,(0,1a a >≠且)在1[,4]4的最年夜值为54,求a 的值.7. (12分)设函数124()lg ()3xxa f x a R ++=∈.(1)那时2a =-,求()f x 的界说域;(2)如果(,1)x ∈-∞-时,()f x 有意义,试确定a 的取值范围; (3)如果01a <<,求证:那时0x ≠,有2()(2)f x f x <.8. (本题满分14分)已知幂函数(2)(1)()()k k f x x k z -+=∈满足(2)(3)f f <.(1)求整数k 的值,并写出相应的函数()f x 的解析式;(2)对(1)中的函数()f x ,试判断是否存在正数m,使函数()1()(21)g x mf x m x =-+-,在区间[]0,1上的最年夜值为5.若存在,求出m 的值;若不存在,请说明理由.9.(本题满分14分)已知函数1()(0x f x a a -=>且1)a ≠ (Ⅰ)若函数()y f x =的图象经过()4,3P 点,求a 的值; (Ⅱ)当a 变动时,比力1(lg)( 2.1)100f f -与年夜小,并写出比力过程; (Ⅲ)若(lg )100f a =,求a 的值.10. (本题16分)已知函数9()log (91)x f x kx =++(k ∈R )是偶函数.(1)求k 的值;(2)若函数()y f x =的图象与直线12y x b =+没有交点,求b 的取值范围;(3)设()94()log 33xh x a a =⋅-,若函数()f x 与()h x 的图象有且只有一个公共点,求实数a 的取值范围.11. (本小题满分12分)二次函数()y f x =的图象经过三点(3,7),(5,7),(2,8)A B C --.(1)求函数()y f x =的解析式(2)求函数()y f x =在区间[],1t t +上的最年夜值和最小值12.(本小题满分14分) 已知函数xx a x f 22)(+=,且)(x f 为奇函数.(Ⅰ)求a 的值;(Ⅱ)界说:若函数0),0(,)(>>+=x a xa x x g ,则函数)(x g 在],0(a 上是减函数,在),[+∞a 2)1()()(+--=x f x f x F ,求函数)(x F 在]1,1[-∈x 上的值域.13.(本小题满分16分)设0a >,0b >,已知函数()1ax b f x x +=+.(Ⅰ)那时a b ≠,讨论函数()f x 的单调性(直接写结论); (Ⅱ)那时0x >,(i)证明2)]([)()1(ab f a b f f =⋅; 14.(本小题满分16分)设函数])1(lg[)(22x a ax x f +-=的界说域区间为I ,其中0a >. (Ⅰ)求I 的长度)(a L (注:区间(,)αβ的长度界说为βα-); (Ⅱ)判断函数)(a L 的单调性,并用单调性界说证明;(Ⅲ)给定常数(0,1)k ∈,那时[]k k a +-∈1,1,求区间I 长度)(a L 的最小值.1.解:由211222(log )7log 30x x ++≤,∴1213log 2x -≤≤-, ∴21log 32x ≤≤,而2222()log log (log 2)(log 1)42x x f x x x =⋅=--=222(log )3log 2x x -+=2231(log )24x --,那时23log 2x =min 1()4f x =- 此时x=322=那时2log 3x =max 91()244f x =-=,此时8x =.2. 解:(1)由题设,需12(0)0,1a f a -+==∴=,1212()x xf x -+∴=经验证,()f x 为奇函数,1a ∴=---------(2分) (2)减函数--------------(3分)证明:任取121221,,,0R x x x x x x x ∈∆=-,由(1)122121122(22)1212211212(12)(12)()()x x x x x x x x y f f x x ---++++∆=-=-= ∴该函数在界说域R 上是减函数--------------(7分)3. 解:(1)由2()1ax b f x x +=+为奇函数,且 2122()1251()2a b f +==+ 则21122()()12251()2a b f f -+-==-=-+-,解得:1,0a b ==.∴2()1x f x x =+(2)证明:在区间(1,1)-上任取12,x x ,令1211x x -<<<,1211x x -<<<∴120x x -< ,1210x x -> , 21(1)0x +>, 22(1)0x +>∴12()()0f x f x -< 即12()()f x f x <故函数()f x 在区间(1,1)-上是增函数. (3)(1)()0f t f t -+<∴()(1)(1)f t f t f t <--=-函数()f x 在区间(1,1)-上是增函数 ∴111111t tt t <-⎧⎪-<<⎨⎪-<-<⎩∴102t <<故关于t 的不等式的解集为1(0,)2.4(1) 由条件得f(1)=f(1)+f(1),所以f(1)=0(2) 法一:设k 为一个年夜于1的常数,x∈R+,则 f(kx)=f(x)+f(k)因为k>1,所以f(k)<0,且kx>x所以kx>x,f(kx)<f(x)对x∈R+恒成立,所以 f(x)为R+上的单调减函数法二:设()2121,0,x x x x <+∞∈且令1,12>=k kx x 则 有题知,f(k)<0)()(0)()(2121x f x f x f x f >>-∴即所以f(x)在(0,+∞)上为减函数 法三:设()2121,0,x x x x <+∞∈且)()(0)()(2121x f x f x f x f >>-∴即 所以f(x)在(0,+∞)上为减函数5解:f(x)=(x-b)2-b2+4b 的对称轴为直线x =b ( b≥1),(I ) ①当1≤b≤4时,g(b)=f(b)=-b2+4b ; ②当b >4时,g(b)=f(4)=16-314b , 综上所述,f(x)的最小值g(b)=2 (14)43116 (4)4bb b b b ⎧-+⎪⎪⎨⎪-⎪⎩≤≤。
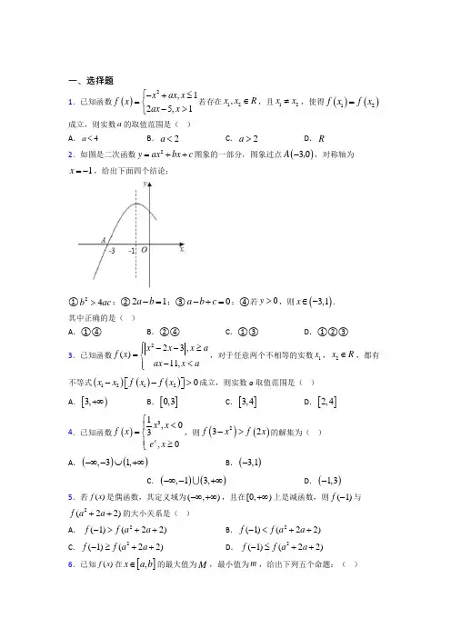
一、选择题1.已知函数()2,125,1x ax x f x ax x ⎧-+≤=⎨->⎩若存在12,x x R ∈,且12x x ≠,使得()()12f x f x =成立,则实数a 的取值范围是( ) A .4a < B .2a < C .2a > D .R2.如图是二次函数2y ax bx c =++图象的一部分,图象过点()30A -,,对称轴为1x =-,给出下面四个结论:①24b ac >;②21a b -=;③0a b c -+=;④若0y >,则()3,1x ∈-.其中正确的是( ) A .①④B .②④C .①③D .①②③3.已知函数223,()11,x x x af x ax x a⎧--≥⎪=⎨-<⎪⎩,对于任意两个不相等的实数1x ,2x R ∈,都有不等式()()()12120x x f x f x -->⎡⎤⎣⎦成立,则实数a 取值范围是( ) A .[)3,+∞B .[]0,3C .[]3,4D .[]2,44.已知函数()31,03,0x x x f x e x ⎧<⎪=⎨⎪≥⎩,则()()232f x f x ->的解集为( )A .()(),31,-∞-⋃+∞B .()3,1-C .()(),13,-∞-+∞ D .()1,3-5.若()f x 是偶函数,其定义域为(,)-∞+∞,且在[0,)+∞上是减函数,则(1)f -与2(22)f a a ++的大小关系是( )A . 2(1)(22)f f a a ->++B .2(1)(22)f f a a -<++C .2(1)(22)f f a a -≥++D . 2(1)(22)f f a a -≤++6.已知()f x 在[],x a b ∈的最大值为M ,最小值为m ,给出下列五个命题:( )①若对任何[],x a b ∈都有()p f x ≤,则p 的取值范围是(],m -∞. ②若对任何[],x a b ∈都有()p f x ≤,则p 的取值范围是(],M -∞. ③若关于x 的方程()p f x =在区间[],a b 有解,则p 的取值范围是[],m M . ④若关于x 的不等式()p f x ≤在区间[],a b 有解,则p 的取值范围是(],m -∞. ⑤若关于x 的不等式()p f x ≤在区间[],a b 有解,则p 的取值范围是(],M -∞. A .4B .3C .2D .17.已知函数()f x 是R 上的单调函数,且对任意实数x ,都有()21213xf f x ⎡⎤+=⎢⎥+⎣⎦成立,则()2020f 的值是( ) A .202021-B .202021+C .202020202121+-D .202020202121-+8.已知函数()1,0,21,0,x x f x x x +≥⎧=⎨--<⎩若()()0a f a f a -->⎡⎤⎣⎦,则实数a 的取值范围是( ) A .()2,+∞ B .[)(]2,00,2-C .(](),22,-∞-+∞D .()()2,00,2-9.若函数()y f x =为奇函数,且在(),0∞-上单调递增,若()20f =,则不等式()0f x >的解集为( )A .()()2,02,∞-⋃+B .()(),22,∞∞--⋃+C .()(),20,2∞--⋃D .()()2,00,2-⋃10.函数2log xy x x=的大致图象是( ) A . B . C . D .11.若函数()()12311ax f x x a x x ⎧>⎪=⎨⎪-+≤⎩是R 上的减函数,则实数a 的取值范围是( )A .2,13⎛⎫⎪⎝⎭B .3,14⎡⎫⎪⎢⎣⎭C .23,34⎛⎤⎥⎝⎦D .2,3⎛⎫+∞⎪⎝⎭12.已知函数()113sin 22f x x x ⎛⎫=+-+ ⎪⎝⎭,则122018201920192019f f f ⎛⎫⎛⎫⎛⎫++⋅⋅⋅+= ⎪ ⎪ ⎪⎝⎭⎝⎭⎝⎭( ) A .2018 B .2019 C .4036D .4038二、填空题13.关于函数21()11x f x x -=+-的性质描述,正确的是_________.①()f x 的定义域为[-1,0)∪(0,1]; ②()f x 的值域为R ; ③在定义域上是减函数; ④()f x 的图象关于原点对称. 14.函数21y x x =+-的值域为______.15.已知函数2123y kx kx =++的定义域为R ,则实数k 的取值范围是__________.16.如图,是某个函数的图象,则该函数的解析式y =__________;17.若函数2()f x x k =+,若存在区间[,](,0]a b ⊆-∞,使得当[,]x a b ∈时,()f x 的取值范围恰为[,]a b ,则实数k 的取值范围是________.18.设集合10,2A ⎡⎫=⎪⎢⎣⎭,1,12B ⎡⎤=⎢⎥⎣⎦,函数()()1,221,x x A f x x x B⎧+∈⎪=⎨⎪-∈⎩,若()()0f f x A ∈,则0x 的取值范围是__________.19.下列给出的命题中:①若()f x 的定义域为R ,则()()()g x f x f x =+-一定是偶函数;②若()f x 是定义域为R 的奇函数,对于任意的x ∈R 都有()(2)0f x f x +-=,则函数()f x 的图象关于直线1x =对称;③某一个函数可以既是奇函数,又是偶函数;④若1()2ax f x x +=+在区间(2,)-+∞上是增函数,则12a >; 其中正确的命题序号是__________.20.已知函数2220()20x x x f x x x x ⎧-≥=⎨--<⎩,,,,则不等式()()f x f x >-的解集为_______________. 三、解答题21.已知函数()21f x x=- (1)证明函数()f x 在()0,∞+上是减函数. (2)求函数()f x 在[)2,x ∈+∞时的值域.22.定义在R 上的函数()f x 是单调函数,满足()36f =,且()()()f x y f x f y +=+,(x ,y R ∈).(1)求()0f ,()1f ; (2)判断()f x 的奇偶性;(3)若对于任意1,32x ⎡⎤∈⎢⎥⎣⎦,都有()()2210+-<f kx f x 成立,求实数k 的取值范围.23.对于区间[,]a b 和函数()y f x =,若同时满足:①()f x 在[,]a b 上是单调函数;②函数(),[,]y f x x a b =∈的值域还是[,]a b ,则称区间[,]a b 为函数()f x 的“不变”区间.(1)求函数2(0)y x x =≥的所有“不变”区间;(2)函数2(0)y x m x =+≥是否存在“不变”区间?若存在,求出实数m 的取值范围;若不存在,请说明理由. 24.(1)已知函数()f x =,求()f x 的定义域; (2)已知函数1()2f x x x=-+,依据函数单调性的定义证明()f x 在(0,)+∞上单调递减,并求该函数在[1,3]上的值域. 25.已知函数()()90f x x x x=+≠. (1)当()3,x ∈+∞时,判断并证明()f x 的单调性; (2)求不等式()()2330f xf x +≤的解集.26.已知定义在()1,1-上的奇函数2()1ax bf x x +=+,且1225f ⎛⎫= ⎪⎝⎭. (1)求函数()f x 的解析式;(2)证明:()f x 在0,1上是增函数; (3)解不等式()2(120)f t f t -+<.【参考答案】***试卷处理标记,请不要删除一、选择题 1.A 解析:A 【分析】首先确定1x ≤时()f x 的对称轴2a x =,分别在12a <和12a≥两种情况下,结合二次函数的对称性和数形结合的方式确定不等关系求得结果. 【详解】当1x ≤时,()2f x x ax =-+是开口方向向下,对称轴为2ax =的二次函数, ①当12a<,即2a <时,由二次函数对称性知:必存在12x x ≠,使得()()12f x f x =; ②当12a≥,即2a ≥时,若存在12x x ≠,使得()()12f x f x =,则函数图象需满足下图所示:即125a a -+>-,解得:4a <,24a ∴≤<; 综上所述:4a <. 故选:A. 【点睛】思路点睛:根据()()12f x f x =可知分段函数某一段自身具有对称轴或两个分段的值域有交集,通过函数图象进行分析即可确定结果.2.A解析:A 【分析】由抛物线与x 轴有两个交点,可判定①正确;由对称轴方程为12bx a=-=-,可判定②不正确;由()10f ->,可判定③不正确;由根据函数的对称性和(3)0f -=,可判定④正确. 【详解】由函数2y ax bx c =++的图象,可得函数的图象开口向下,与x 轴有两个交点,所以0a <,240b ac ∆=->,所以①正确; 由对称轴方程为12bx a=-=-,可得2a b =,所以20a b -=,所以②不正确; 由()10f ->,可得0a b c -+>,所以③不正确; 由图象可得(3)0f -=,根据函数的对称性,可得()10f =, 所以0y >,可得31x -<<,所以④正确. 故选:A. 【点睛】识别二次函数的图象应用学会“三看”:一看符号:看二次项系数的符号,它确定二次函数图象的开口方向; 二看对称轴:看对称轴和最值,它确定二次函数图象的具体位置;三看特殊点:看函数图象上的一些特殊点,如函数图象与y 轴的交点、与x 轴的交点、函数图象的最高点或最低点等.3.C解析:C 【分析】根据题意,可得()f x 在R 上为单调递增函数,若x a ≥时为增函数,则3a ≥,若x a <时为增函数,则0a >,比较x=a 处两函数值的大小,即可求得答案, 【详解】因为()()()12120x x f x f x -->⎡⎤⎣⎦,所以()f x 在R 上为单调递增函数, 当x a ≥时,2()23f x x x =--的图象如图所示:因为()f x 在R 上为单调递增函数,所以3a ≥, 当x a <时,()11f x ax =-为增函数,所以0a >, 且在x=a 处222311a a a --≥-,解得4a ≤, 综上34a ≤≤, 故选:C. 【点睛】解题的关键是熟悉分段函数单调性的求法,根据单调性,先分析分段点两侧单调性,再比较分段点处函数值的大小即可,考查推理分析,化简计算的能力,属中档题.4.B解析:B 【分析】先分析分段函数的单调性,然后根据单调性将关于函数值的不等式转化为关于自变量的不等式,从而求解出解集. 【详解】 因为313y x =在R 上单调递增,所以313y x =在(),0-∞上单调递增, 又因为xy e =在R 上单调递增,所以xy e =在[)0,+∞上单调递增,且0311003e =>=⋅,所以()f x 在R 上单调递增, 又因为()()232f x f x ->,所以232xx ->,解得()3,1x ∈-,故选:B. 【点睛】思路点睛:根据函数单调性求解求解关于函数值的不等式的思路: (1)先分析出函数在指定区间上的单调性;(2)根据单调性将函数值的关系转变为自变量之间的关系,并注意定义域; (3)求解关于自变量的不等式,从而求解出不等式的解集.5.C解析:C 【分析】由()f x 是偶函数,可知(1)(1)f f -=,故只需比较(1)f 与2(22)f a a ++的大小即可,而2222(1)11a a a ++=++≥,再结合函数()f x 的单调性,即可得(1)f 与2(22)f a a ++大小关系.【详解】因为()f x 是偶函数,所以(1)(1)f f -=,又2222(1)11a a a ++=++≥,()f x 在[0,)+∞上是减函数,所以2(22)(1)f a a f ++≤,即2(22)(1)f a a f ++≤-. 故选:C 【点睛】关键点点睛:本题主要考查利用函数的单调性比较大小,关键是借助函数的奇偶性,将要比较的函数值对应的自变量转化到同单调区间上,并且比较它们的大小,再利用单调性作出判断.6.B解析:B 【分析】这是一个对不等式恒成立,方程或不等式解集非空的理解,概念题.对各个选项分别加以判断,在①②中,得出①正确②错误,④⑤中得出⑤正确④错误,而不难发现③是一个真命题,由此可得正确答案. 【详解】对任何x ∈[a ,b]都有()p f x ≤,说明p 小于等于()f x 的最小值,①是正确的; 由于①正确,所以②是一个错误的理解,故不正确;关于x 的方程p =f (x )在区间[a ,b ]上有解,说明p 应属于函数f (x )在[a ,b ]上的值域[m ,M ]内,故③是正确的;关于x 的不等式p ≤f (x )在区间[a ,b ]上有解,说明p 小于或等于的最大值,所以④是错误的,而⑤是正确的 正确的选项应该为①③⑤ 故选: B. 【点睛】关键点点睛:本题考查了命题的真假判断与应用,属于基础题.不等式或方程解集非空,只要考虑有解;而不等式恒成立说明解集是一切实数,往往要考虑函数的最值了.7.D解析:D 【分析】采用换元法可构造方程()21213tf t t =-=+,进而求得()f x 解析式,代入2020x =即可得到结果. 【详解】由()f x 是R 上的单调函数,可设()221x f x t +=+,则()13f t =恒成立, 由()221x f x t +=+得:()221x f x t =-+,()21213tf t t ∴=-=+,解得:1t =, ()22112121x x x f x -∴=-=++,()2020202021202021f -∴=+. 故选:D .【点睛】本题考查函数值的求解问题,解题关键是能够采用换元的方式,利用抽象函数关系式求解得到函数的解析式.8.D解析:D 【分析】按0a >和0a <分类解不等式即可得. 【详解】[()()]0a f a f a -->,若0a >,则()()0f a f a -->,即1[2()1]0a a +--⨯-->,解得2a <,所以02a <<,若0a <,则()()0f a f a --<,即21(1)0a a ----+<,解得2a >-,所以20a -<<,综上,不等式的解为(2,0)(0,2)-.故选:D . 【点睛】本题考查解不等式,解题方法是分类讨论.掌握分类讨论的思想方法是解题关键.9.A解析:A 【分析】根据题意,由奇函数的性质可得f (﹣2)=﹣f (2)=0,结合函数的单调性分析可得在区间(﹣∞,﹣2)上,f (x )<0,在(﹣2,0)上,f (x )>0,再结合函数的奇偶性可得在区间(0,2)上,f (x )<0,在(2,+∞)上,f (x )>0,综合即可得答案. 【详解】根据题意,函数y=f (x )为奇函数,且f (2)=0, 则f (﹣2)=﹣f (2)=0,又由f (x )在(﹣∞,0)上单调递增,则在区间(﹣∞,﹣2)上,f (x )<0,在(﹣2,0)上,f (x )>0, 又由函数y=f (x )为奇函数,则在区间(0,2)上,f (x )<0,在(2,+∞)上,f (x )>0, 综合可得:不等式f (x )>0的解集(﹣2,0)∪(2,+∞); 故选A . 【点睛】本题考查函数单调性奇偶性的应用,关键是掌握函数的奇偶性与单调性的定义,属于基础题.10.D解析:D 【解析】()222log ,0log log ,0x x x y x x x x >⎧==⎨--<⎩,所以当0x >时,函数22log log x y x x x ==为增函数,当0x <时,函数()22log log xy x x x==--也为增函数,故选D. 【方法点晴】本题通过对多个图象的选择考查函数的图象与性质,属于中档题.这类题型也是近年高考常见的命题方向,该题型的特点是综合性较强较强、考查知识点较多,但是并不是无路可循.解答这类题型可以从多方面入手,根据函数的定义域、值域、单调性、奇偶性、特殊点以及0,0,,x x x x +-→→→+∞→-∞时函数图象的变化趋势,利用排除法,将不合题意的选项一一排除.11.C解析:C 【分析】由函数是R 上的减函数,列出不等式,解出实数a 的取值范围. 【详解】因为()f x 是R 上的减函数,故023033a a a a>⎧⎪-<⎨⎪-≥⎩,故2334a <≤,故选:C 【点睛】本题考查函数的单调性的应用,考查分段函数,属于中档题.12.A解析:A 【分析】根据函数解析式可验证出()()12f x f x +-=,采用倒序相加法可求得结果. 【详解】()11113sin 22f x x x ⎛⎫-=-+-+ ⎪⎝⎭,()()12f x f x ∴+-=,令122018201920192019S f f f ⎛⎫⎛⎫⎛⎫=++⋅⋅⋅+⎪ ⎪ ⎪⎝⎭⎝⎭⎝⎭, 则201712019201922018019S f f f ⎛⎫⎛⎫⎛⎫=++⋅⋅⋅+ ⎪ ⎪ ⎪⎝⎭⎝⎭⎝⎭, 两式相加得:222018S =⨯,2018S ∴=.故选:A . 【点睛】本题考查倒序相加法求和的问题,解题关键是能够根据函数解析式确定()()1f x f x +-为常数.二、填空题13.①②④【分析】求出函数的定义域值域判断①②根据单调性的定义判断③根据奇偶性的定义与性质判断④【详解】函数满足解得或故函数的定义域为故①正确当时当时所以函数值域为故②正确③虽然时函数单调递减当时函数单解析:①②④ 【分析】求出函数的定义域,值域判断①②,根据单调性的定义判断③,根据奇偶性的定义与性质判断④. 【详解】函数()f x =21011x x ⎧-⎪⎨+≠⎪⎩,解得10x -<或01x <,故函数的定义域为[1-,0)(0⋃,1].故①正确.当[1x ∈-,0)时(][)(]2211,(),00,1x f x x ∈+∞⇒===-∞∈⇒,当(0x ∈,1]时,(][)220,,111x x ∈∈⇒+∞⇒()[0f x ===,)+∞,所以函数值域为R ,故②正确.③虽然[1x ∈-,0)时,函数单调递减,当(0x ∈,1]时,函数单调递减,但在定义域上不是减函数,故③错误.④由于定义域为[1-,0)(0⋃,1],()f x ==,则()()f x f x -=-,()f x 是奇函数,其图象关于原点对称,故④正确.故答案为:①②④. 【点睛】本题通过对多个命题真假的判断,综合考查函数的单调性、值域、函数的定义域与对称性,属于难题.这种题型综合性较强,也是高考的命题热点,同学们往往因为某一处知识点掌握不好而导致“全盘皆输”,因此做这类题目更要细心、多读题,尽量挖掘出题目中的隐含条件,另外,要注意从简单的自己已经掌握的知识点入手,然后集中精力突破较难的命题.14.【分析】利用换元法将函数换元构造出新函数由新函数的定义域结合二次函数的性质求出最值即可得到值域【详解】设则所以原函数可化为:由二次函数性质当时函数取最大值2由性质可知函数无最小值所以值域为:故答案为 解析:(],2-∞【分析】利用换元法将函数换元构造出新函数,由新函数的定义域结合二次函数的性质求出最值即可得到值域. 【详解】设)0t t =≥,则21x t =-, 所以原函数可化为:()2210y t t t =-++≥,由二次函数性质,当1t =时,函数取最大值2,由性质可知函数无最小值, 所以值域为:(],2-∞. 故答案为:(],2-∞. 【点睛】本题考查换元法求函数值域,当函数解析式中含有根式时,一般考虑换元法,用换元法时要注意一定写出新变量数的取值范围.15.【解析】解:当k=0时满足条件当时综上:点睛:定义域为分母在上都不为0注意分母不一定为二次所以先考虑二次项系数为零解析:0k ≤<3. 【解析】 解: 当k=0时,13y =,满足条件 当k 0≠时,24120k k -< 综上:0k 3≤<.点睛:定义域为R ,分母在R 上都不为0,注意分母不一定为二次,所以先考虑二次项系数为零.16.【分析】根据分段函数图象用待定系数法求解即可【详解】当时设函数为当时解得;当时设函数为当时时解得所以故答案为:【点睛】本题考查利用函数图象求解析式考查待定系数法是基础题解析:2,0139,1322x x y x x ≤<⎧⎪=⎨-+≤≤⎪⎩ 【分析】根据分段函数图象,用待定系数法求解即可. 【详解】当01x ≤<时,设函数为y kx =,当1x =时2y =,解得2k =; 当13x ≤≤时,设函数为y ax b =+, 当1x =时3y =,3x =时0y =,解得32a =-,92b =.所以2,0139,1322x x y x x ≤<⎧⎪=⎨-+≤≤⎪⎩. 故答案为:2,0139,1322x x y x x ≤<⎧⎪=⎨-+≤≤⎪⎩ 【点睛】本题考查利用函数图象求解析式,考查待定系数法,是基础题.17.【分析】根据二次函数的单调性得出是上的减函数从而有整理得即关于的方程在区间内有实数解记由二次函数的单调性和零点存在定理建立不等式组可求得范围【详解】∵函数是上的减函数∴当时即两式相减得即代入得由且得解析:31,4⎡⎫--⎪⎢⎣⎭【分析】根据二次函数的单调性得出2()f x x k =+是(,0]-∞上的减函数,从而有()()f a bf b a =⎧⎨=⎩,整理得22a k b b k a⎧+=⎨+=⎩,即关于a 的方程210a a k +++=,在区间11,2⎡⎫--⎪⎢⎣⎭内有实数解,记2()1h a a a k =+++,由二次函数的单调性和零点存在定理建立不等式组,可求得范围.【详解】∵函数2()f x x k =+是(,0]-∞上的减函数,∴当[,]x a b ∈时,()()f a bf b a =⎧⎨=⎩,即22a k bb k a⎧+=⎨+=⎩, 两式相减得22a b b a -=-,即(1)b a =-+,代入2a k b +=得210a a k +++=, 由0a b <≤,且(1)b a =-+得112a -≤<-, 故关于a 的方程210a a k +++=,在区间11,2⎡⎫--⎪⎢⎣⎭内有实数解, 记2()1h a a a k =+++,所以函数()h a 在11,2⎡⎫--⎪⎢⎣⎭上单调递减,则()10102h h ⎧-≥⎪⎨⎛⎫-< ⎪⎪⎝⎭⎩,即()()221110111022k k ⎧-+-++≥⎪⎨⎛⎫⎛⎫-+-++<⎪ ⎪ ⎪⎝⎭⎝⎭⎩,解得31,4k ⎡⎫∈--⎪⎢⎣⎭,故答案为:31,4⎡⎫--⎪⎢⎣⎭. 【点睛】关键点点睛:在解决二次函数的值域问题,关键在于得出二次函数的对称轴与区间的关系,也即是判断出二次函数在区间上的单调性.18.【分析】采用换元法令分别在和两种情况下求得的范围进而继续通过讨论和来求得结果【详解】令则①若则解得:不满足舍去;②若则解得:即若则解得:;若则解得:综上所述:的取值范围为故答案为:【点睛】思路点睛:解析:15,48⎛⎫⎪⎝⎭【分析】采用换元法,令()0f x t =,分别在t A ∈和t B ∈两种情况下求得t 的范围,进而继续通过讨论0x A ∈和0x B ∈来求得结果. 【详解】令()0f x t =,则()f t A ∈. ①若t A ∈,则()12f t t =+,11022t ∴≤+<,解得:102t -≤<,不满足t A ∈,舍去;②若t B ∈,则()()21f t t =-,()10212t ∴≤-<,解得:314t <≤,即()0314f x <≤, 若0x A ∈,则()0012f x x =+,031142x ∴<+≤,解得:01142x <≤,011,42x ⎛⎫∴∈ ⎪⎝⎭; 若0x B ∈,则()()0021f x x =-,()032114x ∴<-≤,解得:01528x ≤<,015,28x ⎡⎫∴∈⎪⎢⎣⎭.综上所述:0x 的取值范围为15,48⎛⎫ ⎪⎝⎭. 故答案为:15,48⎛⎫⎪⎝⎭. 【点睛】思路点睛:求解复合函数()()f g x 类型的不等式或方程类问题时,通常采用换元法,令()g x t =,通过求解不等式或方程得到t 满足的条件,进一步继续求解x 所满足的条件. 19.①③④【分析】①根据奇偶函数的定义判断;②利用抽象函数的对称性判断;③通过特殊函数判断;④通过分离常数转化为熟悉的函数判断【详解】①函数的定义域为所以函数的定义域也是即所以函数是偶函数故①正确;②对解析:①③④ 【分析】①根据奇偶函数的定义判断;②利用抽象函数的对称性判断;③通过特殊函数判断;④通过分离常数,转化为熟悉的函数判断. 【详解】①函数()f x 的定义域为R ,所以函数()g x 的定义域也是R ,()()()g x f x f x -=-+,即()()g x g x -=,所以函数()g x 是偶函数,故①正确;②对应任意的x ∈R ,都有()()20f x f x +-=,即函数()f x 关于()1,0对称,并不关于1x =对称,故②不正确;③函数0y =既是偶函数又是奇函数,故③正确; ④()()212112222a x a ax af x a x x x ++-+-===++++,若函数在()2,-+∞上单调递增,则120a -<,解得:12a >,故④正确. 故答案为:①③④ 【点睛】方法点睛:函数的对称性包含中心对称和轴对称,一般判断的方法包含:1.若对函数()y f x =的定义域内的任一自变量x 的值都有()()2f x f a x =-,则()y f x =的图象关于x a =成轴对称;若对函数()y f x =的定义域内的任一自变量x 的值都有()()22f x b f a x =--,则()y f x =的图象关于(),a b 成中心对称;20.【分析】由表达式可知函数为奇函数则等价转换为解不等式即可【详解】因为当时则;同理当时又综上所述为奇函数则即当时解得;当时解得故的解集为故答案为:【点睛】方法点睛:本题考查由分段函数解不等式函数奇偶性 解析:()()2,02,-+∞【分析】由表达式可知,函数()f x 为奇函数,则()()f x f x >-等价转换为()0f x >,解不等式即可 【详解】因为2220()20x x x f x x x x ⎧-≥=⎨--<⎩,,,,当0x >时,0x -<,则()()()2222f x x x x x -=----=-+,()()f x f x -=-;同理当0x <时,()()()220,22x f x x x x x ->-=---=+,()()f x f x -=-,又()00f =,综上所述()f x 为奇函数,则()()()()f x f x f x f x >-⇔>-,即()20f x >,当0x >时,()2020f x x x >⇔->,解得2x >;当0x <时,()2020f x x x >⇔-->,解得20x -<<,故()()f x f x >-的解集为()()2,02,-+∞故答案为:()()2,02,-+∞【点睛】方法点睛:本题考查由分段函数解不等式,函数奇偶性的判断,常用以下方法: (1)对于分段函数判断奇偶性可用定义法,也可采用数形结合法,结合图象判断; (2)由函数性质解不等式可采用代数法直接运算求解,也可结合函数图象求解.三、解答题21.(1)证明见解析;(2)(]1,0-. 【分析】(1)在()0,∞+上任意取两个实数1x ,2x ,且12x x <,然后怍差()()()2112122x x f x f x x x --=判断其符号即可.(2)根据(1)知()f x 在[)2,+∞上是减函数,由2x =取得最大值,再由20x>确定值域. 【详解】(1)在()0,∞+上任意取两个实数1x ,2x ,且12x x <, 则有()()()2112121222211x x f x f x x x x x --=--+=, 又因为120x x <<,所以210x x ->,120x x >, 所以()()120f x f x ->,即()()12f x f x >, 所以()f x 在()0,∞+上是减函数.(2)由(1)知()f x 在[)2,+∞上是减函数, 所以当2x =时()max 0f x =, 又因为20x>,所以211x ->-,所以函数()f x 在()0,∞+上的值域为(]1,0-. 【点睛】方法点睛:判断函数单调性的常用方法:(1)定义法和导数法,注意证明函数单调性只能用定义法和导数法;(2)图象法,由图象确定函数的单调区间需注意两点:一是单调区间必须是函数定义域的子集:二是图象不连续的单调区间要分开写,用“和”或“,”连接,不能用“∪”连接.22.(1)0,2(2)奇函数(3)(,1)-∞- 【分析】(1)令0x =可求得(0)f ,根据抽象函数的性质得(3)3(1)f f =,然后即可求出(1)f ; (2)以x -取代y ,代入函数满足的等式,可得()()0f x f x +-=,由此可得()f x 是奇函数;(2)根据奇偶性得()2(12)f kxf x <-,再根据(0)f 和(1)f 判断出函数的单调性,化简去掉f 得212kx x <-,得2112k x x ⎛⎫⎛⎫<- ⎪ ⎪⎝⎭⎝⎭,再根据二次函数的性质进行研究. 【详解】(1)取0x =,得(0)(0)()f y f f y +=+, 即()(0)()f y f f y =+,(0)0f ∴=,()()()()()()()3(12)1211131f f f f f f f f =+=+=++= 又()36f =,得()316f =,可得()12f =;(2)取y x =-,得(0)[()]()()0f f x x f x f x =+-=+-= 移项得()()f x f x -=-∴函数()f x 是奇函数;(3)()f x 是奇函数,且()2(21)0f kx f x +-<在1,32x ⎡⎤∈⎢⎥⎣⎦上恒成立,()2(12)f kx f x ∴<-在1,32x ⎡⎤∈⎢⎥⎣⎦上恒成立,且(0)0(1)2f f =<=;()f x ∴在R 上是增函数,212kx x ∴<-在1,32x ⎡⎤∈⎢⎥⎣⎦上恒成立,2112k x x ⎛⎫⎛⎫∴<- ⎪ ⎪⎝⎭⎝⎭在1,32x ⎡⎤∈⎢⎥⎣⎦上恒成立,令211()2g x x x ⎛⎫⎛⎫=- ⎪ ⎪⎝⎭⎝⎭2111x ⎛⎫=-- ⎪⎝⎭.由于132x ≤≤, 1123x∴≤≤.min ()(1)1g x g ∴==-,1k ∴<-,即实数k 的取值范围为(,1)-∞-. 【点睛】关键点点睛:赋值法是解决抽象函数求函数值的常用方法,不等式恒成立可利用奇函数及函数的单调性转化为脱去“f ”的不等式,利用分离参数法求解,属于中档题. 23.(1)[]0,1;(2)104m ≤<. 【分析】 1)由函数2yx 在[0,)+∞上是增函数,根据“不变”区间的定义,由22a a b b ⎧=⎨=⎩求解;(2)假设函数存在“不变”区间,根据函数2(0)y x m x =+≥单调递增,由22a m ab m b⎧+=⎨+=⎩,消去m ,结合a b <,求得a 的范围,再由2m a a =-+,利用二次函数的性质求解. 【详解】 (1)因为函数2yx 在[0,)+∞上是增函数,所以22a a b b ⎧=⎨=⎩,解得0a =或1a =,0b =或1b =,因为a b <, 所以 0,1a b ==,所以函数的 “不变”区间是[]0,1;(2)假设函数2(0)y x m x =+≥存在“不变”区间,因为函数2(0)y x m x =+≥单调递增,所以22a m a b m b⎧+=⎨+=⎩,消去m 得22a b a b -=-,即()()+10a b a b --=,因为a b <,所以+10a b -=,即1b a =-, 所以10a a ->≥,解得102a ≤<, 所以221124m a a a ⎛⎫=-+=--+ ⎪⎝⎭, 所以104m ≤<, 所以实数m 的取值范围是104m ≤< 【点睛】关键点点睛:本题第二问关键是由a b <,即10a a ->≥求得a 的范围. 24.(1)(,1)(1,5]-∞;(2)单调性证明见解析,值域为17[,1]3--. 【分析】(1)利用偶次根式和分式有意义的条件,列出不等式组,求得函数的定义域;(2)依据减函数的定义,利用取值、作差、判断符号的过程,证得函数的单调减,在区间端点取得最大最小值,得到函数在[1,3]上的值域. 【详解】(1)由5010x x -≥⎧⎨-≠⎩.得5x ≤且1x ≠,故()f x 的定义域为()(]115∞-,,∪; (2)设120x x <<, 则()2112121221121212111()2()2()()(2)x x f x f x x x x x x x x x x x x x --=--+-=--+=-+, 因为120x x <<,所以和211210,0x x x x ->>. 所以21121()(2)0x x x x -+>,从而()12()0f x f x ->, 故()f x 在()0,∞+上单调递减,因为()f x 在[1,3]上单调递减,且()11f -=,()1733f -=, 所以该函数在[1,3]上的值域为17[,1]3-- . 【点睛】思路点睛:该题考查的是有关函数的问题,解题思路如下:(1)利用分式和偶次根式有意义的条件,列出不等式组,求得结果,得到函数的定义域; (2)利用函数在某个区间上单调减的定义,证得函数在给定区间上是减函数,求得函数在区间端点处取得最值,得到函数的值域. 25.(1)单调递增,证明见解析;(2){}1-. 【分析】(1)根据函数单调性定义,判断当123x x <<时,()()120,0?f x f x -><即可; (2)法一:根据函数()()90f x x x x=+≠得到()()233f x f x +解析式,解关于x 的二次型不等式即可.法二:根据函数为奇函数,和定义域内的单调性,将()()2330f xf x +≤转化为解()()233f x f x ≤-,分0x >,1x =-,1x <-,10x -<<讨论使得()()233f x f x ≤-成立x 时的范围为其解集. 【详解】解:(1)设123x x <<, 则()()()()121212121212999x x x x f x f x x x x x x x --⎛⎫⎛⎫-=+-= ⎪ ⎪⎝⎝⎭+⎭ 因为12120,90x x x x -<->, 所以()()120f x f x -<, 所以()f x 在(3,)+∞上单调递增. (2)法一:原不等式可化为2233330x x x x+++, 即21120x x x x ⎛⎫⎛⎫+++- ⎪ ⎪⎝⎭⎝⎭,所以121x x -+, 当0x >时,12x x+,不合题意,舍去; 当0x <时,只需解12x x-+,可化为2(1)0x +,所以1x =-. 综上所述,不等式的解集为{}1-.法二:由(1)的解答过程知()f x 在(0,3)上单调递减,在()3,+∞上单调递增, 又()f x 为奇函数,()()2330f x f x +≤,所以()()()2333f xf x f x ≤-=-,当0x >时,2(3)0,(3)0f x f x >-<,与上式矛盾,故舍去; 当1x =-时,上式成立;当1x <-时,2333x x >->,则()()233f x f x >-,与上式矛盾,故舍去;当10x -<<时,20333x x <<-<,则()()233f x f x >-,与上式矛盾,故舍去;综上所述,不等式的解集为{}1-. 【点睛】确定函数单调性的四种方法: (1)定义法:利用定义判断;(2)导数法:适用于初等函数、复合函数等可以求导的函数;(3)图象法:由图象确定函数的单调区间需注意两点:一是单调区间必须是函数定义域的子集;二是图象不连续的单调区间要分开写,用“和”或“,”连接,不能用“∪”连接; (4)性质法:利用函数单调性的性质,尤其是利用复合函数“同增异减”的原则时,需先确定简单函数的单调性. 26.(1)2()1xf x x =+;(2)证明见解析;(3)102t <<.【分析】(1)由题意可得(0)0f =,可求出b 的值,再由1225f ⎛⎫=⎪⎝⎭可求出a 的值,从而可求出函数()f x 的解析式;(2)利用增函数的定义证明即可;(3)由于函数是奇函数,所以()2(120)f t f t -+<可化为()2()12f t t f <-,再利用单调性可求解不等式【详解】(1)解:因为()f x 是()1,1-上的奇函数,所以(0)0f =,即01b =,得0b =, 因为1225f ⎛⎫= ⎪⎝⎭,所以1221514a =+,解得1a =, 所以2()1x f x x =+ (2)证明:1x ∀,2(0,1)x ∈,且12x x <,则()()()()()()122112122222121211111x x x x x x f x f x x x x x ---=-=++++, 因为1201x x ,所以2212211210,0,(1)(1)0x x x x x x -<->++>,所以()()120f x f x -<,即()()12f x f x <所以()f x 在(0,1)上是增函数.(3)解:因为()f x 在(0,1)上是增函数,且()f x 是()1,1-上的奇函数,所以()f x 是(1,1)-上的奇函数且是增函数,所以()2(120)f t f t -+<可化为()2()12f t t f <-, 所以2211112121t t t t -<-<⎧⎪-<<⎨⎪<-⎩,解得102t <<. 【点睛】关键点点睛:此题函数的奇偶性和单调性的应用,第(3)问解题的关键是利用奇函数的性质将不等式()2(120)f t f t -+<转化为()2()12f t t f <-,进而利用单调性解不等式,考查转化思想和计算能力,属于中档题。
高一数学第一学期函数压轴(年夜题)练习(含谜底)之答禄夫天创作1.(本小题满分12分)已知x 满足不等式211222(log )7log 30x x ++≤,求22()log log 42x x f x =⋅的最年夜值与最小值及相应x 值.2.(14分)已知界说域为R 的函数2()12x x af x -+=+是奇函数(1)求a 值;(2)判断并证明该函数在界说域R 上的单调性;(3)若对任意的t R ∈, 不等式22(2)(2)0f t t f t k -+-<恒成立, 求实数k 的取值范围;3. (本小题满分10分)已知界说在区间(1,1)-上的函数2()1ax b f x x +=+为奇函数,且12()25f =.(1) 求实数a ,b 的值;(2) 用界说证明:函数()f x 在区间(1,1)-上是增函数; (3) 解关于t 的不等式(1)()0f t f t -+<.4. (14分)界说在R +上的函数f(x)对任意实数a,b +∈R ,均有f(ab)=f(a)+f(b)成立, 且当x>1时,f(x)<0,(1)求f(1) (2)求证:f(x)为减函数. (3)当f(4)= -2时, 解不等式1)5()3(-≥+-f x f5.(本小题满分12分)已知界说在[1, 4]上的函数f(x)=x 2-2bx+4b(b ≥1),(I)求f(x)的最小值g(b); (II)求g(b)的最年夜值M. 6. (12分)设函数()log (3)(0,1)a f x x a a a =->≠且, 当点(,)P x y 是函数()y f x =图象上的点时, 点(2,)Q x a y --是函数()y g x =图象上的点.(1)写出函数()y g x =的解析式;(2)若那时[2,3]x a a ∈++, 恒有|()()|1f x g x -, 试确定a的取值范围;(3)把()y g x =的图象向左平移a 个单元获得()y h x =的图象, 函数1()22()()()2h x h x h x F x a a a ---=-+, (0,1a a >≠且)在1[,4]4的最年夜值为54, 求a的值.7. (12分)设函数124()lg()3x xa f x a R ++=∈.(1)那时2a =-, 求()f x 的界说域;(2)如果(,1)x ∈-∞-时, ()f x 有意义, 试确定a 的取值范围; (3)如果01a <<, 求证:那时0x ≠, 有2()(2)f x f x <. 8. (本题满分14分)已知幂函数(2)(1)()()k k f x x k z -+=∈满足(2)(3)f f <.(1)求整数k 的值, 并写出相应的函数()f x 的解析式;(2)对(1)中的函数()f x , 试判断是否存在正数m, 使函数()1()(21)g x mf x m x =-+-, 在区间[]0,1上的最年夜值为5.若存在, 求出m 的值;若不存在, 请说明理由. 9.(本题满分14分)已知函数1()(0x f x a a -=>且1)a ≠(Ⅰ)若函数()y f x =的图象经过()4,3P 点, 求a 的值;(Ⅱ)当a 变动时, 比力1(lg)( 2.1)100f f -与年夜小, 并写出比力过程;(Ⅲ)若(lg )100f a =, 求a 的值. 10. (本题16分)已知函数9()log (91)x f x kx =++(k ∈R )是偶函数.(1)求k 的值;(2)若函数()y f x =的图象与直线12y x b =+没有交点, 求b 的取值范围;(3)设()94()log 33x h x a a=⋅-, 若函数()f x 与()h x 的图象有且只有一个公共点, 求实数a 的取值范围.11. (本小题满分12分)二次函数()y f x =的图象经过三点(3,7),(5,7),(2,8)A B C --.(1)求函数()y f x =的解析式(2)求函数()y f x =在区间[],1t t +上的最年夜值和最小值12.(本小题满分14分) 已知函数xx a x f 22)(+=,且)(x f 为奇函数.(Ⅰ)求a 的值;(Ⅱ)界说:若函数0),0(,)(>>+=x a xax x g ,则函数)(x g 在],0(a 上是减函数,在),[+∞a 2)1()()(+--=x f x f x F ,求函数)(x F 在]1,1[-∈x 上的值域.13.(本小题满分16分)设0a >,0b >,已知函数()1ax b f x x +=+.(Ⅰ)那时a b ≠,讨论函数()f x 的单调性(直接写结论);(Ⅱ)那时0x >,(i)证明2)]([)()1(ab f a b f f =⋅; 14.(本小题满分16分)设函数])1(lg[)(22x a ax x f +-=的界说域区间为I ,其中0a >. (Ⅰ)求I 的长度)(a L (注:区间(,)αβ的长度界说为βα-); (Ⅱ)判断函数)(a L 的单调性,并用单调性界说证明;(Ⅲ)给定常数(0,1)k ∈,那时[]k k a +-∈1,1,求区间I 长度)(a L 的最小值. 1.解:由211222(log )7log 30x x ++≤, ∴1213log 2x -≤≤-, ∴21log 32x ≤≤,而2222()log log (log 2)(log 1)42x x f x x x =⋅=--=222(log )3log 2x x -+=2231(log )24x --,那时23log 2x =min 1()4f x =- 此时x =322=那时2log 3x =max 91()244f x =-=, 此时8x =.2. 解:(1)由题设, 需12(0)0,1a f a -+==∴=, 1212()x xf x -+∴=经验证, ()f x 为奇函数, 1a ∴=---------(2分) (2)减函数--------------(3分)证明:任取121221,,,0R x x x x x x x ∈∆=-, 由(1)122121122(22)1212211212(12)(12)()()x x x x x x x x y f f x x ---++++∆=-=-=∴该函数在界说域R 上是减函数--------------(7分)3. 解:(1)由2()1ax b f x x +=+为奇函数,且 2122()1251()2a bf +==+ 则21122()()12251()2a bf f -+-==-=-+-, 解得:1,0a b ==.∴2()1x f x x =+(2)证明:在区间(1,1)-上任取12,x x , 令1211x x -<<<,1211x x -<<<∴120x x -< ,1210x x -> , 21(1)0x +>, 22(1)0x +>∴12()()0f x f x -< 即12()()f x f x <故函数()f x 在区间(1,1)-上是增函数. (3)(1)()0f t f t -+<∴()(1)(1)f t f t f t <--=-函数()f x 在区间(1,1)-上是增函数 ∴111111t tt t <-⎧⎪-<<⎨⎪-<-<⎩∴102t <<故关于t 的不等式的解集为1(0,)2.4(1) 由条件得f(1)=f(1)+f(1),所以f(1)=0(2) 法一:设k 为一个年夜于1的常数, x ∈R+, 则 f(kx)=f(x)+f(k)因为k>1, 所以f(k)<0, 且kx>x所以kx>x,f(kx)<f(x)对x ∈R+恒成立, 所以 f(x)为R+上的单调减函数法二:设()2121,0,x x x x <+∞∈且令1,12>=k kx x 则 有题知, f(k)<0)()(0)()(2121x f x f x f x f >>-∴即所以f(x)在(0, +∞)上为减函数 法三:设()2121,0,x x x x <+∞∈且)()(0)()(2121x f x f x f x f >>-∴即 所以f(x)在(0, +∞)上为减函数5解:f(x)=(x-b)2-b 2+4b 的对称轴为直线x =b ( b ≥1),(I) ①当1≤b ≤4时, g(b)=f(b)=-b 2+4b ; ②当b >4时, g(b)=f(4)=16-314b ,综上所述, f(x)的最小值g(b)=2 (14)4 3116 (4)4bb b b b ⎧-+⎪⎪⎨⎪-⎪⎩≤≤。
一、选择题1.已知函数()f x =的定义域为R ,则实数m 的取值范围是( )A .04m ≤≤B .04m <≤C .04m ≤<D .04m <<2.若()f x 是偶函数,其定义域为(,)-∞+∞,且在[0,)+∞上是减函数,则(1)f -与2(22)f a a ++的大小关系是( )A . 2(1)(22)f f a a ->++B .2(1)(22)f f a a -<++C .2(1)(22)f f a a -≥++D . 2(1)(22)f f a a -≤++3.若函数()()21225,012,1bb x f x x x b x x -⎧-+<<⎪=⎨⎪+-≥⎩对于任意的实数12x x ≠,都有()()()12120x x f x f x -->⎡⎤⎣⎦成立,则实数b 的取值范围为( )A .1,42⎛⎤ ⎥⎝⎦B .[)4,+∞C .[]1,4D .1,2⎛⎫+∞⎪⎝⎭4.如果()()211f x mx m x =+-+在区间(]1-∞,上为减函数,则m 的取值范围( ) A .103⎛⎤ ⎥⎝⎦,B .103⎡⎤⎢⎥⎣⎦,C .103⎡⎫⎪⎢⎣⎭,D .103⎛⎫ ⎪⎝⎭,5.已知函数()f x 的定义域为R ,()0f x >且满足()()()f x y f x f y +=⋅,且()112f =,如果对任意的x 、y ,都有()()()0x y f x f y ⎡⎤--<⎣⎦,那么不等式()()234f x f x -⋅≥的解集为( )A .(][),12,-∞+∞ B .[]1,2C .()1,2D .(],1-∞6.若函数()f x =0,,则实数m 的取值范围是( ) A .()1,4 B .()(),14,-∞⋃+∞C .(][)0,14,+∞ D .[][)0,14,+∞7.已知定义在R 上的奇函数()y f x =,当0x ≥时,22()f x x a a =--,若对任意实数x 有()()f x a f x -≤成立,则正数a 的取值范围为( ) A .)1,4⎡+∞⎢⎣B .)1,2⎡+∞⎢⎣C .(10,4⎤⎥⎦D .(10,2⎤⎥⎦8.已知函数()()220f x x mx m =-+>满足:①[]()0,2,9x f x ∀∈≤;②[]()000,2,9x f x ∃∈=,则m 的值为( ) A .1或3B .3或134C .3D .1349.已知函数log ,0(),0a x x x f x a x >⎧=⎨≤⎩(0a >,且1a ≠),则((1))f f -=( )A .1B .0C .-1D .a10.已知函数()f x 的定义域为R ,对任意的 12,x x <都有1212()(),f x f x x x -<-且(3)4,f =则(21)2f x x ->的解集为( )A .(2,)+∞B .(1,)+∞C .(0,)+∞D .(1,)-+∞11.若函数()()12311ax f x x a x x ⎧>⎪=⎨⎪-+≤⎩是R 上的减函数,则实数a 的取值范围是( )A .2,13⎛⎫⎪⎝⎭B .3,14⎡⎫⎪⎢⎣⎭C .23,34⎛⎤⎥⎝⎦D .2,3⎛⎫+∞⎪⎝⎭12.已知函数()f x 是定义在()0,∞+上的增函数,且()21f =,()()()f xy f x f y =+,则不等式()()23f x f x +-≤( )A .()1,2B .[)1,3C .()2,4D .(]2,4二、填空题13.已知函数f (x )满足2f (x )+f (-x )=3x ,则f (x )=________.14.已知函数()()1f x a =-[]0,2上是减函数,则实数a 的取值范围是_____.15.若()f x 是定义在R 上的以3为周期的奇函数,且()20f =,则方程()0f x = 在区间()0,6内的解的个数的最小值是__________ .16.如果定义在区间[3+a ,5]上的函数f(x)为奇函数,那么a 的值为________.17.若233()1x x f x x -+=-,()2g x x =+,求函数()()y f g x =的值域________.18.函数的定义域为A ,若12,x x A ∈且12()()f x f x =时总有12x x =,则称()f x 为单函数,例如,函数()21f x x =+()R x ∈是单函数,下列命题: ①函数4()f x x =()R x ∈是单函数;②若()f x 为单函数,12,x x A ∈且12x x ≠,则12()()f x f x ≠;③若:f A B →为单函数,则对于任意b B ∈,在A 中至多有一个数与它对应; ④函数()f x 在某区间上具有单调性,则()f x 在其定义域上一定是单函数. 期中正确命题的序号是___________.19.函数()f x =的单调递增区间为__________.20.定义在R 上的函数()f x 满足(3)()1f x f x +=+,且[0,1]x ∈时,()6x f x =,(1,3)x ∈时,(1)()f f x x=,则函数()f x 的零点个数为__________. 三、解答题21.已知二次函数()2f x ax bx c =++.(1)若集合(){}{}|12A x f x x ===,,且()02f =. ①求函数()f x 的解析式; ②画出函数()y f x =的图象,并讨论函数y a =和函数()y f x =的图象的公共点个数;(2)若a =1,c =0,求函数()f x 在区间[]22-,上的最小值. 22.已知22()2x af x x -=+.(1)若0a =,证明:()f x 在递增,若()f x 在区间(12,1)m m --递增,求实数m 的范围;(2)设关于x 的方程1()f x x=的两个非零实根为1x ,2x ,试问:是否存在实数m ,使得不等式2121m tm x x ++≥-对任意[1,1]a ∈-及[1,1]t ∈-恒成立?如果存在求出m 的范围,如果不存在请说明理由.23.已知函数22()3mx f x x n+=+是奇函数,且()523f =(1)求实数m 和n 的值;(2)利用“函数单调性的定义”判断()f x 在区间[]2,1--上的单调性,并求()f x 在该区间上的最值.24.已知函数()2x x f x e ke -=--为偶函数. (1)求k 的值及函数()f x 的最小值;(2)设()(2)2(()2)g x f x m f x =-+,当0x >时,()0>g x ,求m 的取值范围. 25.已知函数()()kf x x x R x=+∈,且()()12f f =. (1)求k ;(2)用定义证明()f x 在区间)+∞上单调递增.26.已知二次函数2()23=-+f x x x .(Ⅰ)求函数()2log 2y f x =+,1,44x ⎛⎤∈⎥⎝⎦的值域; (Ⅱ)若对任意互不相同的21,(2,4)x x ∈,都有()()1212f x f x k x x -<-成立,求实数k 的取值范围.【参考答案】***试卷处理标记,请不要删除一、选择题 1.C 解析:C 【分析】由题意可知,对任意的x ∈R ,210mx mx ++>恒成立,然后分0m =和0m ≠,结合题意可得出关于实数m 的不等式组,由此可解得实数m 的取值范围. 【详解】由题意可知,对任意的x ∈R ,210mx mx ++>恒成立. 当0m =时,则有10>,合乎题意; 当0m ≠时,则有240m m m >⎧⎨∆=-<⎩,解得04m <<. 综上所述,04m ≤<. 故选:C. 【点睛】结论点睛:利用二次不等式在实数集上恒成立,可以利用以下结论来求解: 设()()20f x ax bx c a =++≠①()0f x >在R 上恒成立,则00a >⎧⎨∆<⎩; ②()0f x <在R 上恒成立,则0a <⎧⎨∆<⎩; ③()0f x ≥在R 上恒成立,则00a >⎧⎨∆≤⎩; ④()0f x ≤在R 上恒成立,则0a <⎧⎨∆≤⎩. 2.C解析:C 【分析】由()f x 是偶函数,可知(1)(1)f f -=,故只需比较(1)f 与2(22)f a a ++的大小即可,而2222(1)11a a a ++=++≥,再结合函数()f x 的单调性,即可得(1)f 与2(22)f a a ++大小关系.【详解】因为()f x 是偶函数,所以(1)(1)f f -=,又2222(1)11a a a ++=++≥,()f x 在[0,)+∞上是减函数,所以2(22)(1)f a a f ++≤,即2(22)(1)f a a f ++≤-. 故选:C 【点睛】关键点点睛:本题主要考查利用函数的单调性比较大小,关键是借助函数的奇偶性,将要比较的函数值对应的自变量转化到同单调区间上,并且比较它们的大小,再利用单调性作出判断.3.C解析:C 【分析】根据函数单调性的定义判断出函数()f x 为()0,∞+上的增函数,进而可得出关于实数b 的不等式组,由此可解得实数b 的取值范围. 【详解】对任意的正实数1x 、2x ,当12x x ≠时,()()()12120x x f x f x -->⎡⎤⎣⎦, 不妨设12x x >,则()()120f x f x ->,即()()12f x f x >, 所以,函数()f x 为()0,∞+上的增函数,则()()120212122512b b b b b -<⎧⎪-⎪≤⎨⎪--+≤+-⎪⎩,解得14b ≤≤. 因此,实数b 的取值范围是[]1,4. 故选:C. 【点睛】思路点睛:利用分段函数的单调性求参数范围,应该各支函数在各自的区间内利用单调性以及函数在间断点处端点值的大小关系得出参数的不等式组,从而解得参数的取值范围.4.B解析:B 【分析】当m =0时,()f x =1x -,符合题意.当0m ≠时,由题意可得0112m m m>⎧⎪-⎨≥⎪⎩,求得m 的范围.综合可得m 的取值范围.【详解】当0m =时,()1f x x =-+,满足在区间(]1-∞,上为减函数; 当0m ≠时,由于()()211f x mx m x =+-+的对称轴为12mx m-=,且函数在区间(]1-∞,上为减函数, 则0112m m m>⎧⎪-⎨≥⎪⎩,解得103m <≤.综上可得,103m ≤≤. 故选:B 【点睛】要研究二次型函数单调区间有关问题,首先要注意二次项系数是否为零.当二次项系数不为零时,利用二次函数的对称轴来研究单调区间.5.B解析:B 【分析】计算出()24f -=,并由()()()0x y f x f y ⎡⎤--<⎣⎦可得出函数()y f x =在R 上为减函数,再由()()234f x f x-⋅≥,可得出()()232f xx f -≥-,再由函数()y f x =在R 上的单调性可得出232x x -≤-,解出该不等式即可. 【详解】由于对任意的实数x 、y ,()()()f x y f x f y +=⋅且()0f x >. 令0x y ==,可得()()()000f f f =⋅,且()00f >,解得()01f =. 令y x =-,则()()()01f x f x f ⋅-==,()()1f x f x -=,()()1121f f -==. ()()()211224f f f ∴-=-⋅-=⨯=.设x y <,则0x y -<,由()()()0x y f x f y ⎡⎤--<⎣⎦,得()()f x f y >. 所以,函数()y f x =在R 上为减函数,由()()234f x f x-⋅≥,可得()()232f x x f -≥-.所以232x x -≤-,即2320x x -+≤,解得12x ≤≤.因此,不等式()()234f x f x -⋅≥的解集为[]1,2.故选B. 【点睛】本题考查抽象函数的单调性解不等式,解题的关键就是将不等式左右两边转化为函数的两个函数值,并利用函数的单调性进行求解,考查分析问题和解决问题的能力,属于中等题.6.D解析:D 【分析】令t =()0,t ∈+∞()0,+∞,记函数()22(2)1g x mx m x =+-+的值域为A ,则()0,A +∞⊆,进而分0m =和0m ≠两种情况,分别讨论,可求出m 的取值范围. 【详解】令t =1y t=的值域为0,,根据反比例函数的性质,可知()0,t ∈+∞()0,+∞, 记函数()22(2)1g x mx m x =+-+的值域为A ,则()0,A +∞⊆,若0m =,则()41g x x =-+,其值域为R ,满足()0,A +∞⊆;若0m ≠,则00m >⎧⎨∆≥⎩,即()24240m m m >⎧⎪⎨--≥⎪⎩,解得4m ≥或01m <≤. 综上所述,实数m 的取值范围是[][)0,14,+∞.故选:D.7.C解析:C 【分析】由于22()f x x a a =--有绝对值,分情况考虑2x a ≥和2x a <,再由()y f x =是奇函数画出图象,再根据()()f x a f x -≤考虑图象平移结合图形可得答案. 【详解】由题得, 当0x ≥时,22()f x x a a =--,故写成分段函数222222,0(),x a a x a f x x a a x a ⎧-+-≤≤=⎨-->⎩,化简得222,0()2,x x a f x x a x a⎧-≤≤=⎨->⎩, 又()y f x =为奇函数,故可画出图像:又()f x a -可看出()y f x =往右平移a 个单位可得,若()()f x a f x -≤恒成立,则222(2)a a a ≥--,即24a a ≤,又a 为正数,故解得104a <≤. 故选:C . 【点睛】本题主要考查绝对值函数对分段函数的转换,图象的平移,属于中档题.8.D解析:D 【分析】依题意可得()f x 在[]0,2上的最大值为9,求出函数的对称轴,通过讨论m 的范围,求出函数的单调区间,求出函数的最大值,得到关于m 的方程,解出即可. 【详解】解:因为函数()()220f x x mx m =-+>满足:①[]()0,2,9x f x ∀∈≤;②[]()000,2,9x f x ∃∈=,即函数()()220f x x mx m =-+>在[]0,2上的最大值为9,因为222()2()f x x mx x m m =-+=--+,对称轴是x m =,开口向下, 当02m <<时,()f x 在[0,)m 递增,在(m ,2]递减, 故2()()9max f x f m m ===,解得:3m =,不合题意,2m 时,()f x 在[0,2]递增,故()()2449max f x f m ==-=,解得:134m =,符合题意, 故选:D . 【点睛】本题考查了二次函数的性质,考查函数的单调性、最值问题,考查导数的应用,属于中档题.9.C解析:C 【分析】根据分段函数的解析式,代入求值即可. 【详解】因为log ,0(),0a x x x f x a x >⎧=⎨≤⎩,所以11(1)f aa --==, 所以11((1))()log 1a f f f a a--===-,故选:C 【点睛】本题主要考查了利用分段函数的解析式,求函数值,涉及指数函数与对数函数的运算,属于中档题.10.A解析:A 【分析】由题可得[][]1122()()0f x x f x x ---<,可构造函数()()F x f x x =-是R 上的增函数,原不等式可转化为()()213F x F ->,再结合增函数的性质可求出答案. 【详解】 由题意,[][]121211221122()()()()()()0f x f x x x f x x f x x f x x f x x -<-⇔-<-⇔---<, 因为12,R x x ∈且12,x x <所以函数()()F x f x x =-是R 上的增函数.()3(3)31F f =-=,因为(21)2(21)(21)1f x x f x x ->⇔--->,所以()()213F x F ->, 则213x ->,解得2x >. 故选:A. 【点睛】本题考查了函数的单调性的应用,构造函数()()F x f x x =-是解决本题的关键,属于中档题.11.C解析:C 【分析】由函数是R 上的减函数,列出不等式,解出实数a 的取值范围. 【详解】因为()f x 是R 上的减函数,故023033a a a a>⎧⎪-<⎨⎪-≥⎩,故2334a <≤,故选:C 【点睛】本题考查函数的单调性的应用,考查分段函数,属于中档题.12.D解析:D【分析】根据()()()f xy f x f y =+且()21f =可得()42f =,83f ,则()()23f x f x +-≤可化为()()28f x x f -≤⎡⎤⎣⎦,然后根据单调性求解.【详解】根据()()()f xy f x f y =+可得,()()23f x f x +-≤可转化为()23f x x -≤⎡⎤⎣⎦, 又()()()()422222f f f f =+==,所以()()()842213f f f =+=+=,即()()28f x x f -≤⎡⎤⎣⎦,因为()f x 是定义在()0,∞+上的增函数,所以只需满足()28020x x x x ⎧-≤⎪>⎨⎪->⎩,解得:24x <≤.故选:D. 【点睛】本题考查抽象函数的应用,考查利用函数的单调性解不等式,难度一般,根据题目条件将问题灵活转化是关键.二、填空题13.【分析】因为2f(x)+f(-x)=3x①所以将x 用-x 替换得2f(-x)+f(x)=-3x②解上面两个方程即得解【详解】因为2f(x)+f(-x)=3x①所以将x 用-x 替换得2f(-x)+f(x) 解析:3x【分析】因为2f (x )+f (-x )=3x ,①,所以将x 用-x 替换,得2f (-x )+f (x )=-3x ,②,解上面两个方程即得解. 【详解】因为2f (x )+f (-x )=3x ,①所以将x 用-x 替换,得2f (-x )+f (x )=-3x ,② 解由①②组成的方程组得f (x )=3x . 故答案为3x 【点睛】本题主要考查函数的解析式的求法,意在考查学生对该知识的理解掌握水平,属于基础题.14.【分析】根据f (x )定义在02上且4﹣ax≥0即可得出a≤2然后讨论:①1<a≤2时满足条件;②a=1时不合题意;③0<a <1时不合题意;④a=0时不合题意;⑤a <0时满足条件这样即可求出实数a 的取 解析:012a a <<≤或【分析】根据f (x )定义在[0,2]上,且4﹣ax≥0,即可得出a≤2,然后讨论:①1<a≤2时,满足条件;②a=1时,不合题意;③0<a <1时,不合题意;④a=0时,不合题意;⑤a <0时,满足条件,这样即可求出实数a 的取值范围. 【详解】∵f (x )定义在[0,2]上;∴a >2时,x=2时,4﹣ax <0,不满足4﹣ax≥0; ∴a≤2;①1<a≤2时,a ﹣1>0;∴()(1f x a =-[0,2]上是减函数; ②a=1时,f (x )=0,不满足在[0,2]上是减函数; ∴a≠1;③0<a <1时,a ﹣1<0; ∵[0,2]上是减函数;∴()(1f x a =-[0,2]上是增函数; ∴0<a <1不合题意;④a=0时,f (x )=﹣2,不满足在[0,2]上是减函数; ∴a≠0;⑤a <0时,a ﹣1<0;[0,2]上是增函数;∴()(1f x a =-[0,2]上是减函数; ∴综上得,实数a 的取值范围为012a a <<≤或. 故答案为012a a <<≤或. 【点睛】考查函数定义域的概念,函数单调性的定义及判断.15.7【解析】由函数的周期为3可得因为若则可得出又根据为奇函数则又可得出又函数是定义在R 上的奇函数可得出从而在中令得出又根据是定义在R 上的奇函数得出从而得到即故从而共7个解解析:7 【解析】由函数的周期为3可得(3)()f x f x +=,因为(2)0f =, 若(0,6)x ∈,则可得出(5)=(2)0f f =, 又根据()f x 为奇函数,则(-2)=-(2)0f f =, 又可得出(4)=(1)(-2)=0f f f =,又函数()f x 是定义在R 上的奇函数,可得出(0)0f =, 从而(3)=(0)0f f =,在(3)()f x f x +=中,令32x =-,得出33()()22f f -=,又根据()f x 是定义在R 上的奇函数,得出33()-()22f f -=, 从而得到33()-()22f f =,即3()02f =, 故933()(+3)()=0222f f f ==,从而93()()=(4)(1)(3)(5)(2)022f f f f f f f ======,共7个解.16.-8【解析】∵f(x)定义域为3+a5且为奇函数∴3+a =-5∴a =-8点睛:利用奇偶性求值的类型及方法(1)求函数值:利用奇偶性将待求值转化到已知区间上的函数值进而得解(2)求参数值:在定义域关于解析:-8 【解析】∵f(x)定义域为[3+a ,5],且为奇函数, ∴3+a =-5,∴a =-8.点睛:利用奇偶性求值的类型及方法(1)求函数值:利用奇偶性将待求值转化到已知区间上的函数值,进而得解.(2)求参数值:在定义域关于原点对称的前提下,根据奇函数满足f(-x)=-f(x)或偶函数满足f(-x)=f(x)列等式,根据等式两侧对应相等确定参数的值.特别要注意的是:若能够确定奇函数的定义域中包含0,可以根据f(0)=0列式求解,若不能确定则不可用此法.17.【分析】将代入得到的解析式然后利用换元法求出值域【详解】要使函数成立则即将函数代入得:令则所以又或故函数的值域为故答案为:【点睛】求解复合函数的值域的一般方法如下:(1)若函数的形式比较简单可先将的 解析:(][),31,-∞-+∞【分析】将()2g x x =+代入,得到()()y f g x =的解析式,然后利用换元法求出值域. 【详解】要使函数()()y f g x =成立,则21x +≠,即1x ≠-,将函数()2g x x =+代入233()1x x f x x -+=-得: ()()()()222323111x x x x y f g x x x +-++++===++,令1x t ,则1x t =-,所以22(1)111t t t t y t t t t-+-+===-+,又111t t -+≥或113t t -+≤-, 故函数()()f g x 的值域为(][),31,-∞-+∞.故答案为:(][),31,-∞-+∞.【点睛】求解复合函数()()f g x 的值域的一般方法如下:(1)若函数()g x 的形式比较简单,可先将()()f g x 的解析式表示出来,然后设法求出其值域,解答时注意定义域;(2)采用换元法,令()g x t =,计算()g x 的值域即t 的取值范围,然后计算()f t 的值域.18.②③【分析】结合单函数的定义对四个命题逐个分析可选出答案【详解】命题①:对于函数设则由与可能相等也可能互为相反数即不是单函数故①错误;命题②:假设因为函数为单函数所以与已知矛盾故即命题②正确;命题③解析:②③ 【分析】结合单函数的定义,对四个命题逐个分析,可选出答案. 【详解】命题①:对于函数4()f x x =()R x ∈,设()4400f x x a ==,则0x a =±,由a 与a -可能相等,也可能互为相反数,即4()f x x =不是单函数,故①错误;命题②:假设12()()f x f x =,因为函数()f x 为单函数,所以12x x =,与已知12x x ≠矛盾,故12()()f x f x ≠,即命题②正确;命题③:若:f A B →为单函数,则对于任意b B ∈,()b f a =,假设不只有一个原象与其对应,设为12,,a a ,则()()12f a f a ==,根据单函数定义,可得12a a ==,又因为原象中元素不重复,故函数:f A B →至多有一个原象,即命题③正确; 命题④:函数()f x 在某区间上具有单调性,并不意味着在整个定义域上具有单调性,则可能存在不同的12,x x ,使得12()()f x f x =,不符合单函数的定义,故命题④错误. 综上可知,真命题为②③. 故答案为②③. 【点睛】关键点点睛:本题考查新定义函数,解题关键是根据新定义的特点,弄清新定义的性质,按照新定义的要求,“照章办事”,逐条分析、验证、运算,使问题得以解决,考查学生的逻辑推理能力,计算求解能力,属于中档题.19.【分析】先求出函数的定义域在利用复合函数单调性得解【详解】因为或所以函数的定义域为由在上单减在单增由复合函数单调性质得函数在单增故答案为:【点睛】复合函数单调性同增异减注意定义域属于基础题 解析:(,1)-∞-【分析】先求出函数的定义域,在利用复合函数单调性得解. 【详解】因为22303x x x -->⇒>或1x <- 所以函数的定义域为(,1)(3,)-∞-+∞由223t x x =--在(,1)-∞-上单减,在(3,)+∞单增由复合函数单调性质得函数()f x =在(,1)-∞-单增故答案为:(,1)-∞- 【点睛】复合函数单调性“同增异减”,注意定义域.属于基础题20.【分析】由题意首先结合所给的关系式画出函数图象结合函数图象即可确定函数图象与横轴交点个数可得函数零点的个数【详解】解:由题意可得:(1)时即:结合绘制函数图象如图所示:由图可得函数图象与横轴交点有9 解析:9【分析】由题意首先结合所给的关系式画出函数图象,结合函数图象即可确定函数图象与横轴交点个数,可得函数零点的个数. 【详解】解:由题意可得:f (1)166==,∴(1,3)x ∈时,(1)6()f f x x x==, 即:6,01()6,13x x f x x x⎧⎪=⎨<<⎪⎩,结合(3)()1f x f x +=+绘制函数图象如图所示:由图可得,函数图象与横轴交点有9个, 所以函数()f x 的零点个数为9. 故答案为:9. 【点睛】本题主要考查函数的零点,数形结合的数学思想,函数图象的绘制等知识,函数零点的几种等价形式:函数()()y f x g x =-的零点⇔函数()()y f x g x =-在x 轴的交点⇔方程()()0f x g x -=的根⇔函数()y f x =与()y g x =的交点.三、解答题21.(1)①2()22f x x x =-+,②见解析;(2)2min42,4(),44442,4b b bf x b b b -≥⎧⎪⎪=--<<⎨⎪+≤-⎪⎩. 【分析】(1)①先求得2c =;{1A =,2}说明()0f x x -=两根为1,2.利用韦达定理求a ,b ,从而可得解析式;②写成分段函数形式,再利用二次函数图象与性质求解.(2)根据对称轴位置,分三种情况讨论,分别利用二次函数的性质求解即可. 【详解】(1)①(0)2f =,2c ∴={1A =,2},2(1)20ax b x ∴+-+=有两根为1,2.由韦达定理得,212112ab a⎧=⨯⎪⎪⎨-⎪=+⎪⎩,∴12a b =⎧⎨=-⎩2()22f x x x∴=-+②函数()2222,022,0 x xxy f xx x x⎧-+≥==⎨-+<⎩,函数()y f x=的图象如图,同一坐标系内画出函数y a=的图象,由图可知,当1a<时,函数y a=和函数()y f x=的图象的公共点个数为0;当1a=或2a>时,函数y a=和函数()y f x=的图象的公共点个数为2;当12a<<时,函数y a=和函数()y f x=的图象的公共点个数为4;当2a=时,函数y a=和函数()y f x=的图象的公共点个数为3;(2)a=1,c=0,函数2()f x x bx=+,当2,42bb-≤-≥时,()min()242f x f b=-=-;当22,442bb-<-<-<<时,2min()24b bf x f⎛⎫=-=-⎪⎝⎭;当2,42bb-≥≤-时,()min()242f x f b==+;综上,2min42,4(),44442,4b bbf x bb b-≥⎧⎪⎪=--<<⎨⎪+≤-⎪⎩【点睛】方法点睛:二次函数在闭区间上的最值主要有三种类型:轴定区间定、轴动区间定、轴定区间动,不论哪种类型,解决的关键是考查对称轴与区间的关系,当含有参数时,要依据对称轴与区间的关系进行分类讨论.22.(1)证明见解析;23m <≤2)存在;2m ≥或2m ≤-. 【分析】(1)运用单调性的定义,注意取值、作差和变形、定符号和下结论等步骤,可得f (x)在递增,由奇函数的性质推得f (x)在(递增,可得m 的不等式组,解得m 的范围;(2)运用韦达定理和配方,可得|x 1﹣x 2|的最大值,再由m 2+tm ﹣2≥0对任意t ∈[﹣1,1]恒成立,设g (t )=m 2+tm ﹣2=tm +m 2﹣2,由一次函数的单调性可得m 的不等式组,解不等式可得所求范围. 【详解】(1)当0a =时,任取12,x x ∈,12x x <, 则()()()()()()()()()()2212212112121222222212212122222222222222x x x x x x x x x x f x f x x x x x x x +-+--⎛⎫⎛⎫-=-== ⎪ ⎪++++++⎝⎭⎝⎭,12x x <∈()()211220x x x x ∴--<,()()120f x f x ∴-<,即()f x在递增;∵()f x 为R 上的奇函数,∴()f x在(递增,又∵()f x 在区间(12,1)m m --递增,则121121m m m m ⎧≤-⎪⎪-≤⎨⎪-<-⎪⎩,解得2132m +<≤(2)由2212x a x x-=+,得220x ax --=,此时280a ∆=+>恒成立,由于1x ,2x 是方程220x ax --=的两实根,所以12122x x a x x +=⎧⎨=-⎩,从而12x x -==11a -≤≤,123x x ∴-=,不等式2121m tm x x ++≥-对任意[1,1]a ∈-及[1,1]t ∈-恒成立,当且仅当213m tm ++≥对任意[1,1]t ∈-恒成立,即220m tm +-≥对任意[1,1]t ∈-恒成立,设22()22g t m tm tm m =+-=+-,则()0g t ≥对任意[1,1]t ∈-恒成立,(1)0(1)0g g ≥⎧∴⎨-≥⎩,即222020m m m m ⎧+-≥⎨-+-≥⎩,解得2m ≥或2m ≤-. 【点睛】方法点睛:证明函数的单调性.定义法:在定义域内任意取值、作差和变形、定符号和下结论;导数法:给函数求导,在定义域内判断导数的正负,若导数为正,则函数递增,若导数为负,则函数递减.23.(1)2m =;0n =;(2)单调递增;()max 43f x =-,()min 53f x =-.【分析】(1)根据函数的奇偶性的关系建立方程即可求实数m 和n 的值;(2)利用定义证明函数的单调性,即取值,作差,变形,定号,下结论,再利用单调性即可求最值. 【详解】(1)∵()f x 是奇函数,∴()()f x f x -=-,∴222222333mx mx mx x n x n x n+++=-=-++--. 所以33x n x n -+=--,解得:0n =, 又()523f =, ∴425(2)63m f +==,解得2m =. ∴实数m 和n 的值分别是2和0.(2)由(1)知22222()333x x f x x x+==+. 任取[]12,2,1x x ∈--,且12x x <, 则()()()()1212121212121212133x x f x f x x x x x x x x x ⎛⎫--=--=- ⎪⎝⎭, ∵1221x x -≤<≤-,∴120x x -<,121x x >,1210x x ->, ∴()()120f x f x -<,即()()12f x f x <, ∴函数()f x 在区间[]2,1--上单调递增, ∴()()max 413f x f =-=-,()()min 523f x f =-=-. 【点睛】方法点睛:利用定义证明函数单调性的方法(1)取值:设12,x x 是该区间内的任意两个值,且12x x <; (2)作差变形:即作差,即作差12()()f x f x -,并通过因式分解、配方、有理化等方法,向有利于判断符号的方向变形;(3)定号:确定差12()()f x f x -的符号;(4)下结论:判断,根据定义作出结论. 即取值---作差----变形----定号----下结论.24.(1)1k =-,()f x 的最小值为0;(2)[0,)+∞ 【分析】(1)根据函数()2x xf x e ke -=--为偶函数.由()()f x f x -=恒成立求解.进而得到()2x x f x e e -=+-,再利用对勾函数的性质求最小值.(2)由(1)得到()()2()24x xx x g x e e m e e --=+-+-,根据0x >时,()0>g x ,由()()42,0x x x xm e e x e e --<+->+恒成立求解. 【详解】(1)因为函数()2x xf x e ke -=--为偶函数.所以()()f x f x -=恒成立,即22x x x x e ke e ke ----=--恒成立, 即()()10xx k ee --+=恒成立,解得1k =-, 所以1()22xxx x f x e ee e -=+-=+-,令0x m e =>, 由对勾函数的性质得:12y m m=+≥, 所以函数()f x 的最小值为0;(2)()()()222()2224x x x xx xx x g x e e m e e e e m e e ----=+--+=+-+-,因为当0x >时,()0>g x , 所以()()2240,0xx x x e em e e x --+-+->>恒成立,即()()42,0x xx xm e e x e e --<+->+恒成立, 令()()()4x xx x h x e e e e --=+-+,令2x xt e e-+>=, 因为4y t t=-,在()2,+∞上递增, 所以()0h x >, 所以20m ≤,即0m ≤, 所以m 的取值范围是[0,)+∞. 【点睛】方法点睛:恒成立问题的解法:若()f x 在区间D 上有最值,则()()min ,00x D f x f x ∀∈>⇔>;()()max ,00x D f x f x ∀∈<⇔<;若能分离常数,即将问题转化为:()a f x >(或()a f x <),则()()max a f x a f x >⇔>;()()min a f x a f x <⇔<.25.(1)2;(2)证明见解析. 【分析】(1)由题得122kk +=+,解方程即得解; (2)利用定义法证明函数在区间)+∞上单调递增. 【详解】(1)由()()12f f =得122k k +=+, 解得2k =,所以()2f x x x=+ (2)21x x ∀>>()()21212122f x f x x x x x ⎛⎫⎛⎫-=+-+ ⎪ ⎪⎝⎭⎝⎭()()()1221212112222x x x x x x x x x x -⎛⎫=-+-=-+ ⎪⎝⎭()()1221122x x x x x x -=-,∵21x x >>,∴210x x ->,212x x >, ∴()()210f x f x ->,即()()21f x f x >, 所以函数()f x在区间)+∞上单调递增.【点睛】方法点睛:用定义法判断函数的单调性的一般步骤:①取值,设12,x x D ∈,且12x x <;②作差,求12()()f x f x -;③变形(合并同类项、通分、分解因式、配方等);④判断12()()f x f x -的正负符号;⑤根据函数单调性的定义下结论.26.(Ⅰ)[]2,11;(Ⅱ)[)6,+∞. 【分析】(Ⅰ)令2log 2t x =+,求出其值域;再结合二次函数的性质即可求解;(Ⅱ)设12x x <,可得()()2211f x kx f x kx -<-,令()()g x f x kx =-,()2,4x ∈,问题转化为()g x 在()2,4上是减函数,利用二次函数的性质建立不等式,即可求解.【详解】(Ⅰ)令2log 2t x =+,因为1,44x ⎛⎤∈ ⎥⎝⎦, 所以(]2log 2,2x ∈-,(]2log 20,4t x =+∈,()()22log 223y f x f t t t =+==-+,对称轴为:1t = ,所以()223f t t t =-+在区间()0,1上单调递减,在区间()1,4上单调递增, 所以()()min 11232f t f ==-+=,()()2max 4424311f t f ==-⨯+=, 所以函数()2log 2y f x =+,1,44x ⎛⎤∈ ⎥⎝⎦的值域为[]2,11, (Ⅱ)设12x x <,易知2()23=-+f x x x 在区间(2,4)上单调递增,所以()()12f x f x <,故()()1212f x f x k x x -<-可化为()()2122f x f x kx kx -<-,即()()2211f x kx f x kx -<-,令()()()223g x f x kx x k x =-=-++,()2,4x ∈, 所以()()21g x g x <,即()g x 在()2,4上是减函数,故242k +≥, 解得:6k ≥所以实数k 的取值范围是[)6,+∞【点睛】 关键点点睛:第二问的关键点是将已知条件转化为()()2211f x kx f x kx -<-,构造函数()()g x f x kx =-,可得()()21g x g x <,问题转化为()g x 在()2,4上是减函数,利用二次函数的对称轴建立不等式,即可求解.。
函数压轴题 一、函数的性质1.已知函数)1()(xx e e x x f -=,若f (x 1)<f (x 2),则( ) A .x 1>x 2 B .x 1+x 2=0 C .x 1<x 2 D .2221x x <2。
f (x )是定义在(0,+∞)上的单调增函数,满足f (xy )=f (x )+f (y ),f (3)=1,若f (x )+f (x -8)≤2,则x 的取值范围为________.3。
要使函数22)(-+=x kx x f 与y =log 3(x -2)在(3,+∞)上具有相同的单调性,则实数k 的取值范围是________.4.已知函数f (x )是(-∞,+∞)上的奇函数,且f (x )的图象关于x =1对称,当x ∈[0,1]时,f (x )=2x -1,①求证:f (x )是周期函数;②当x ∈[1,2]时,求f (x )的解析式;③计算f (0)+f (1)+f (2)+…+f (2 017)的值.5.已知f (x )是定义在R 上的偶函数,g (x )是定义在R 上的奇函数,且g (x )=f (x -1),则f (2 013)+f (2 015)的值为( )A .-1B .1C .0D .无法计算6.设f (x )是定义在R 上的奇函数,且对任意实数x ,恒有f (x +2)=-f (x ).当x ∈[0,2]时,f (x )=2x -x 2.(1)求证:f (x )是周期函数;(2)当x ∈[2,4]时,求f (x )的解析式; (3)计算f (0)+f (1)+f (2)+…+f (2 014).7.奇函数f (x )的定义域为R ,若f (x +2)为偶函数,且f (1)=1,则f (8)+f (9)=( )A .-2B .-1C .0D .18。
若函数)1ln()(2++=x x x x f 为偶函数,则a =________. 9.若函数))(12()(a x x xx f -+=为奇函数,则a =________10.已知f (x )是定义在R 上的奇函数,当x ≥0时,f (x )=3x +m (m 为常数),则f (-log 35)的值为( )A .4B .-4C .6D .-611.已知函数f (x )是定义在R 上的偶函数,且在区间[0,+∞)上单调递增.若实数a 满足)1(2)(log )(log 212f a f a f ≤+,则a 的取值范围是( )A .[1,2]B 。
一、选择题1.对任意[]1,1a ∈-,函数()()2442f x x a x a =+-+-的值恒大于零,则x 的取值范围是( ) A .13x <<B .1x <或3x >C .12x <<D .1x <或2x >2.如果函数()()()2121f x a x b x =-+++(其中2b a -≥)在[]1,2上单调递减,则32a b +的最大值为( )A .4B .1-C .23D .63.对于每个实数x ,设()f x 取24y x =-+,41y x =+,2y x =+三个函数值中的最小值,则()f x ( ) A .无最大值,无最小值 B .有最大值83,最小值1 C .有最大值3,无最小值D .有最大值83,无最小值 4.已知函数2()(3)1f x mx m x =--+,()g x mx =,若对于任意实数x ,()f x 与()g x 的值至少有一个为正数,则实数m 的取值范围是( ) A .(1,9)B .(3,+)∞C .(,9)-∞D .(0,9)5.已知函数f (x )的定义域为R ,满足f (x )=2f (x +2),且当x ∈[2-,0) 时,19()4f x x x =++,若对任意的m ∈[m ,+∞),都有1()3f x ≤,则m 的取值范围为( ) A .11,5⎡⎫-+∞⎪⎢⎣⎭ B .10,3⎡⎫-+∞⎪⎢⎣⎭C .)5,2⎡-+∞⎢⎣ D .11,4⎡⎫-+∞⎪⎢⎣⎭6.高斯函数属于初等函数,以大数学家约翰·卡尔·弗里德里希·高斯的名字命名,其图形在形状上像一个倒悬着的钟,高斯函数应用范围很广,在自然科学、社会科学、数学以及工程学等领域都能看到它的身影,设x ∈R ,用[]x 表示不超过x 的最大整数,则[]y x =称为高斯函数,例如:[]3.14-=-,[]4.84=.则函数21()122x xf x ⎡⎤=-⎢⎥+⎣⎦的值域为( ) A .{}0,1 B .{}1,1-C .{}1,0-D .{}1,0,1-7.函数()21xf x x =-的图象大致是( )A .B .C .D .8.设二次函数2()()f x x bx b =+∈R ,若函数()f x 与函数(())f f x 有相同的最小值,则实数b 的取值范围是( ) A .(,2]-∞B .(,0]-∞C .(,0][2,)-∞+∞D .[2,)+∞9.已知函数()f x 是R 上的单调函数,且对任意实数x ,都有()21213xf f x ⎡⎤+=⎢⎥+⎣⎦成立,则()2020f 的值是( ) A .202021- B .202021+C .202020202121+-D .202020202121-+10.已知函数22|1|,7,()ln ,.x x e f x x e x e --⎧+-≤<=⎨≤≤⎩若存在实数m ,使得2()24f m a a =-成立,则实数a 的取值范围是( ) A .[-1,+∞) B .(-∞,-1]∪[3,+∞) C .[-1,3] D .(-∞,3]11.若函数32()21f x ax x x =+++在(1,2)上有最大值无最小值,则实数a 的取值范围为( )A .34a >-B .53a <-C .5334a -<<- D .5334a -≤≤- 12.若函数()()12311ax f x x a x x ⎧>⎪=⎨⎪-+≤⎩是R 上的减函数,则实数a 的取值范围是( )A .2,13⎛⎫⎪⎝⎭B .3,14⎡⎫⎪⎢⎣⎭C .23,34⎛⎤⎥⎝⎦D .2,3⎛⎫+∞⎪⎝⎭二、填空题13.已知函数211,0,22()13,,12x x f x x x ⎧⎡⎫+∈⎪⎪⎢⎪⎣⎭=⎨⎡⎤⎪∈⎢⎥⎪⎣⎦⎩,若存在12x x <,使得()()12f x f x =,则()12x f x ⋅的取值范围为_____________.14.若函数()y f x =的定义域是[0,2],则函数()g x =______. 15.设集合A 是集合*N 的子集,对于*i N ∈,定义()1,,0,i i A A i A ϕ∈⎧=⎨∉⎩给出下列三个结论:①存在*N 的两个不同子集A ,B ,使得任意*i N ∈都满足()0i AB ϕ=且()1A B ⋃=;②任取*N 的两个不同子集A ,B ,对任意*i N ∈都有()()()i i i A B A B ϕϕϕ⋃=+; ③设{}*2,A x x n n N==∈,{}*42,B x x n n N ==-=,对任意*i N∈,都有()()()i i i A B A B ϕϕϕ⋂=其中正确结论的序号为______.16.已知集合{1,A B ==2,3},f :A B →为从集合A 到集合B 的一个函数,那么该函数的值域的不同情况有______种.17.若()f x 是定义在R 上的以3为周期的奇函数,且()20f =,则方程()0f x = 在区间()0,6内的解的个数的最小值是__________ .18.定义在R 上的奇函数()f x 在(0,)+∞上是增函数,又(3)0f -=,则不等式()0xf x <的解集为______.19.若函数2()f x x k =+,若存在区间[,](,0]a b ⊆-∞,使得当[,]x a b ∈时,()f x 的取值范围恰为[,]a b ,则实数k 的取值范围是________.20.若233()1x x f x x -+=-,()2g x x =+,求函数()()y f g x =的值域________.三、解答题21.已知二次函数()2f x ax bx c =++.(1)若集合(){}{}|12A x f x x ===,,且()02f =. ①求函数()f x 的解析式; ②画出函数()y f x =的图象,并讨论函数y a =和函数()y f x =的图象的公共点个数;(2)若a =1,c =0,求函数()f x 在区间[]22-,上的最小值. 22.定义在()0,∞+的函数()f x ,满足()()()f mn f m f n =+,且当1x >时,()0f x >.(1)求证:()()m f f m f n n ⎛⎫=- ⎪⎝⎭(2)讨论函数()f x 的单调性,并说明理由; (3)若()21f =,解不等式()()333f x f x +->.23.(1)已知函数()f x =,求()f x 的定义域; (2)已知函数1()2f x x x=-+,依据函数单调性的定义证明()f x 在(0,)+∞上单调递减,并求该函数在[1,3]上的值域.24.已知二次函数()2()f x ax bx a b R =+∈、满足:①()()11f x f x +=-;②对一切x ∈R ,都有()f x x ≤.(1)求()f x ;(2)是否存在实数(),m n m n <使得()f x 的定义域为[],m n 、值域为[]3,3m n ,如果存在,求出m ,n 的值;如果不存在,说明理由. 25.已知函数()21ax bf x x +=+(其中a >0)为奇函数. (1)求实数b 的值;(2)证明:()f x 在()01,上是增函数,在()1+∞,上是减函数; (3)若存在实数m ,n (0<m <n ),使得m ≤()f x ≤n 的解集为[]m n ,,求a 的取值范围.26.已知函数()()20f x ax x c a =++>满足:①函数14f x ⎛⎫-⎪⎝⎭是偶函数;②关于x 的不等式()0f x <的解集是()(),11m m <. (1)求函数()f x 的解析式;(2)求函数()()()()43g x f x k x k R =++∈在[]1,3上的最小值()h k .【参考答案】***试卷处理标记,请不要删除一、选择题 1.B 解析:B 【分析】将函数()f x 的解析式变形为()2()244f x x a x x =-+-+,并构造函数()2()244g a x a x x =-+-+,由题意得出()()1010g g ⎧->⎪⎨>⎪⎩,解此不等式组可得出实数x 的取值范围 【详解】对任意[]1,1a ∈-,函数()()2442f x x a x a =+-+-的值恒大于零设()()2244g a x a x x =-+-+,即()0g a >在[]1,1a ∈-上恒成立.()g a 在[]1,1a ∈-上是关于a 的一次函数或常数函数,其图象为一条线段.则只需线段的两个端点在x 轴上方,即()()2215601320g x x g x x ⎧-=-+>⎪⎨=-+>⎪⎩,解得3x >或1x < 故选:B 【点睛】关键点睛:本题考查不等式在区间上恒成立问题,解答本题的关键是构造函数()()2244g a x a x x =-+-+,将问题转化为()0g a >在[]1,1a ∈-上恒成立,从而得到()()1010g g ⎧->⎪⎨>⎪⎩,属于中档题.2.C解析:C 【分析】分10a -=、10a -<、10a ->,根据题意可得出关于a 、b 的不等式组,由此可解得32a b +的最大值. 【详解】分以下几种情况讨论:(1)当10a -=时,即当1a =时,()()21f x b x =++在[]1,2上单调递减,可得20b +<,解得2b <-,12b a b -=-≥,可得3b ≥,不合乎题意;(2)当10a -<时,即当1a <时,由于函数()()()2121f x a x b x =-+++在[]1,2上单调递减,则()2121b a +-≤-,可得222b a +≤-,即20a b +≤,可得2b a ≤-,由2b a -≥,可得2a b ≤-, 所以,()()323222436a b b a a b +≤-+⨯-=-+-,当且仅当22b a a b =-⎧⎨=-⎩时,即当2343a b ⎧=-⎪⎪⎨⎪=⎪⎩时,等号成立,则2423232333a b ⎛⎫+≤⨯-+⨯= ⎪⎝⎭; (3)当10a ->时,即当1a >时,由于函数()()()2121f x a x b x =-+++在[]1,2上单调递减,则()2221b a +-≥-,可得42a b +≤,即24b a ≤-,2b a -≥,即2b a ≥+,224a b a ∴+≤≤-,解得0a ≤,不合乎题意.综上所述,32a b +的最大值为23. 故选:C. 【点睛】关键点点睛:根据首项系数为变数的二次函数在区间上的单调性求参数,要对首项系数的符号进行分类讨论,在首项系数不为零的前提下,要根据函数的单调性确定对称轴与区间的位置关系,构建不等式(组)求解.3.D解析:D 【分析】作出函数()f x 的图象,结合图象可得出结论. 【详解】由已知可得(){}min 24,41,2f x x x x =-+++,作出函数()f x 的图象如下图所示:函数()f x 的图象如上图中的实线部分,联立224y x y x =+⎧⎨=-+⎩,解得2383x y ⎧=⎪⎪⎨⎪=⎪⎩,由图象可知,函数()f x 有最大值83,无最小值. 故选:D. 【点睛】关键点点睛:本题考查函数最值的求解,解题的关键就是结合函数()f x 的定义,进而作出函数()f x 的图象,利用图象得出结论.4.D解析:D 【分析】根据所给条件,结合二次函数的图像与性质,分类讨论,即可得解. 【详解】当0m <时,二次函数2()(3)1f x mx m x =--+的图像开口向下,()g x mx =单调递减,故存在x 使得()f x 与()g x 同时为负,不符题意; 当0m =时,()31f x x =-+,()0g x =显然不成立; 当0m >时,2109m m ∆=-+, 若∆<0,即19m <<时,显然成立,0∆=,1m =或9m =,则1m =时成立,9m =时,13x =-时不成立,若0∆>,即01m <<或9m >,由(0)1f =可得: 若要()f x 与()g x 的值至少有一个为正数,如图,则必须有302mm->,解得01m <<, 综上可得:09m <<, 故答案为:D. 【点睛】本题考查了二次函数和一次函数的图像与性质,考查了分类讨论思想和计算能力,属于中档题.解决此类问题的关键主要是讨论,涉及二次函数的讨论有: (1)如果平方项有参数,则先讨论; (2)再讨论根的判别式; (3)最后讨论根的分布.5.D解析:D 【分析】求出[2,0)x ∈-时,()f x 的值域,满足1()3f x ≤,根据函数的定义,[0,2)x ∈时,满足1()3f x ≤,同时可得0x ≥时均满足1()3f x ≤,然后求得[4,2)x ∈--时的解析式,解不等式1()3f x ≤得解集,分析后可得m 的范围. 【详解】[2,0)x ∈-时,19()4f x x x =++在[]2,1--上递增,在[1,)-+∞上递减,1(),4f x ⎛⎤∈-∞ ⎥⎝⎦,满足1()3f x ≤,当[0,2)x ∈时,2[2,0)x -∈-,11()(2)[,)28f x f x =-∈-∞,满足满足1()3f x ≤, 按此规律,2x ≥时,()f x 均满足1()3f x ≤,当[4,2)x ∈--时,29()2(2)2(2)22f x f x x x =+=++++,由2912(2)223x x +++≤+, 解得1043x -≤≤-或1124x -≤<-,当101134x -<<-时,1()3f x >. 因此当114x ≥-时,都有1()3f x ≤, 所以114m ≥-. 故选:D . 【点睛】关键点点睛:本题考查函数不等式恒成立问题,解题关键是依照周期函数的性质,根据函数的定义求出()f x 在[2,22)k k +(k ∈N )满足1()3f x ≤,在[2,0)-上直接判断,求出[4,2)--上的解析式,确定1()3f x ≤的范围,此时有不满足1()3f x ≤的x 出现,于是可得结论m 的范围.6.C解析:C 【分析】先求出函数()21122x x f x =-+的值域,再根据题干中要求即可得出()21122x xf x ⎡⎤=-⎢⎥+⎣⎦的值域. 【详解】()21121111=122122212x x x x xf x +-=--=-+++, ()121,x +∈+∞,()10,112x∴∈+, ()11,012x∴-∈-+, 1111,21222x⎛⎫∴-∈- ⎪+⎝⎭, 即函数()21122x xf x =-+的值域为11,22⎛⎫- ⎪⎝⎭, 由高斯函数定义可知:函数()21122x xf x ⎡⎤=-⎢⎥+⎣⎦的值域为{}1,0- 故选:C. 【点睛】方法点睛:“新定义”主要是指即时定义新概念、新公式、新定理、新法则、新运算五种,然后根据此新定义去解决问题,有时还需要用类比的方法去理解新的定义,这样有助于对新定义的透彻理解.但是,透过现象看本质,它们考查的还是基础数学知识,所以说“新题”不一定是“难题”,掌握好三基,以不变应万变才是制胜法宝.7.C解析:C 【分析】由1x >时,()0f x <,排除B 、D ;由函数()f x 在区间(0,1)上的单调性,排除A ,即可求解. 【详解】由题意,函数()21xf x x =-有意义,满足210x -≠,解得1x ≠±, 又由当1x >时,()0f x <,排除B ,D ; 当01x <<时,()21xf x x =-, 设1201x x ,则2112212122222121(1)()()()11(1)(1)x x x x x x f x f x x x x x +--=-=----, 因为2221122110,10,10,0x x x x x x ->->+>->,所以21()()0f x f x ->,即12()()f x f x <,所以函数()f x 在(0,1)上单调递增,所以A 不符合,C 符合. 故选:C. 【点睛】知式选图问题的解答方法:从函数的定义域,判定函数图象的左右位置,从函数的值域判断图象的上下位置; 从函数的单调性(有时借助导数),判断函数的图象的变换趋势; 从函数的奇偶性,判断图象的对称性; 从函数的周期性,判断函数的循环往复;从函数的特殊点(与坐标轴的交点,经过的定点,极值点等),排除不和要求的图象.8.C解析:C 【分析】由于参数b 的不确定性,可进行分类讨论,再结合二次函数对称轴和最值特点求解即可. 【详解】当0b =时,()2f x x =,()[)0,f x ∈+∞,()()[)0,ff x ∈+∞,符合题意;当0b <时,22()24b f b x x ⎛⎫=+ ⎪⎝-⎭,对称轴为02b x =->,画出大致图像,令()t f x =,min 0t <,则()()()f f x f t =,[)min,t t∈+∞,显然能取到相同的最小值,符合;当0b >时,对称轴为b x 02=-<,()2min 24b b f x f ⎛⎫=-=- ⎪⎝⎭,令()t f x =,2,4b t ⎡⎫∈-+∞⎪⎢⎣⎭,要使()f x 与函数()f t 有相同的最小值,则需满足:242b b-≤-,解得[2,)b ∈+∞综上所述,则b ∈(-∞,0]∪[2,+∞) 故选:C. 【点睛】本题解题关键是对二次函数对称轴进行分类讨论,同时结合最值与对称轴的关系解决问题.9.D解析:D 【分析】采用换元法可构造方程()21213t f t t =-=+,进而求得()f x 解析式,代入2020x =即可得到结果. 【详解】由()f x 是R 上的单调函数,可设()221xf x t +=+,则()13f t =恒成立,由()221x f x t +=+得:()221x f x t =-+,()21213t f t t ∴=-=+,解得:1t =, ()22112121x x xf x -∴=-=++,()2020202021202021f -∴=+. 故选:D . 【点睛】本题考查函数值的求解问题,解题关键是能够采用换元的方式,利用抽象函数关系式求解得到函数的解析式.10.C解析:C 【分析】根据函数()f x 的图象,得出值域为[2-,6],利用存在实数m ,使2()24f m a a =-成立,可得22246a a --,求解得答案. 【详解】作出函数22|1|,7()ln ,x x e f x x e x e --⎧+-<=⎨⎩的图象如图: (7)6f -=,2()2f e -=-,∴值域为[2-,6],若存在实数m ,使得2()24f m a a =-成立,22246a a ∴--,解得13a -,∴实数a 的取值范围是[1-,3].故选:C【点睛】本题考查分段函数的性质,考查函数值域的求解方法,同时考查了数形结合思想的应用,属于中档题.函数图象是函数的一种表达形式,它形象地揭示了函数的性质,为研究函数的数量关系提供了“形”的直观性.归纳起来,图象的应用常见的命题探究角度有:1、确定方程根的个数;2、求参数的取值范围;3、求不等式的解集;4、研究函数性质.11.C【详解】分析:函数()3221f x ax x x =+++在()1,2上有最大值无最小值,则极大值在()1,2之间,一阶导函数有根在()1,2,且左侧函数值小于0,右侧函数值大于0,列不等式求解 详解:f ′(x )=3ax 2+4x +1,x ∈(1,2).a =0时,f ′(x )=4x +1>0,函数f (x )在x ∈(1,2)内单调递增,无极值,舍去. a ≠0时,△=16﹣12a . 由△≤0,解得43a ≥,此时f ′(x )≥0,函数f (x )在x ∈(1,2)内单调递增,无极值,舍去.由△>0,解得a 43<(a ≠0),由f ′(x )=0,解得x1=,x2=.当403a <<时,x 1<0,x 2<0,因此f ′(x )≥0,函数f (x )在x ∈(1,2)内单调递增,无极值,舍去.当a <0时,x 1>0,x 2<0,∵函数f (x )=ax 3+2x 2+x +1在(1,2)上有最大值无最小值, ∴必然有f ′(x 1)=0,∴12,a <0.解得:53-<a 34-<. 综上可得:53-<a 34-<. 故选:C .点睛:极值转化为最值的性质:若()[]f x x a,b ∈在上有唯一的极小值,且无极大值,那么极小值为()f x 的最小值;若()[]f x x a,b ∈在上有唯一的极大值,且无极小值,那么极大值为()f x 的最大值;12.C解析:C 【分析】由函数是R 上的减函数,列出不等式,解出实数a 的取值范围. 【详解】因为()f x 是R 上的减函数,故023033a a a a>⎧⎪-<⎨⎪-≥⎩,故2334a <≤,故选:C本题考查函数的单调性的应用,考查分段函数,属于中档题.二、填空题13.【分析】根据条件作出函数图象求解出的范围利用和换元法将变形为二次函数的形式从而求解出其取值范围【详解】由解析式得大致图象如下图所示:由图可知:当时且则令解得:又令则即故答案为:【点睛】思路点睛:根据解析:31,162⎡⎫⎪⎢⎣⎭【分析】根据条件作出函数图象求解出1x 的范围,利用()()12f x f x =和换元法将()12x f x ⋅变形为二次函数的形式,从而求解出其取值范围. 【详解】由解析式得()f x 大致图象如下图所示:由图可知:当12x x <时且()()12f x f x =,则令211322x ⎛⎫+=⋅ ⎪⎝⎭,解得:14x =, 111,42x ⎡⎫∴∈⎪⎢⎣⎭,又()()12f x f x =,221221333,124x x x ⎛⎫⎡⎫∴+=∈⎪ ⎪⎢⎣⎭⎝⎭,()2222121332x f x x x ⎛⎫∴⋅=⋅- ⎪⎝⎭,令2233,14x t ⎡⎫=∈⎪⎢⎣⎭,则()()2211113,124164x f x g t t t t t ⎛⎫⎛⎫⎛⎫⎡⎫⋅==-=--∈ ⎪ ⎪⎪ ⎪⎢⎝⎭⎝⎭⎣⎭⎝⎭,()31,162g t ⎡⎫∴∈⎪⎢⎣⎭,即()2131,162x f x ⎡⋅⎫∈⎪⎢⎣⎭.故答案为:31,162⎡⎫⎪⎢⎣⎭ 【点睛】思路点睛:根据分段函数的函数值相等关系可将所求式子统一为一个变量表示的函数的形式,进而根据函数值域的求解方法求得结果;易错点是忽略变量的取值范围,造成值域求解错误.14.【分析】根据抽象函数的定义域的求法结合函数列出不等式组即可求解【详解】由题意函数的定义域是即则函数满足解得即函数的定义域是故答案为:【点睛】求抽象函数定义域的方法:已知函数的定义域为求复合函数的定义解析:31,2⎛⎤⎥⎝⎦【分析】根据抽象函数的定义域的求法,结合函数()g x =. 【详解】由题意,函数()y f x =的定义域是[0,2],即02x ≤≤, 则函数()g x =021210x x ≤-≤⎧⎨->⎩,解得312x <≤, 即函数()g x =31,2⎛⎤⎥⎝⎦. 故答案为:31,2⎛⎤ ⎥⎝⎦. 【点睛】求抽象函数定义域的方法:已知函数()f x 的定义域为[],a b ,求复合函数()[]f g x 的定义域时:可根据不等式()a g x b ≤≤解得x ,则x 的取值范围即为所求定义域;已知复合函数()[]f g x 的定义域为[],a b ,求函数()f x 的定义域,求出函数()y g x =([,])x a b ∈的值域,即为()y f x =的定义域.15.①③【分析】根据题目中给的新定义对于或可逐一对命题进行判断举实例证明存在性命题是真命题举反例可证明全称命题是假命题【详解】∵对于定义∴对于①例如集合是正奇数集合是正偶数集合①正确;对于②例如:当时;解析:①③ 【分析】根据题目中给的新定义,对于()*,0i i N A ϕ∈=或1,可逐一对命题进行判断,举实例证明存在性命题是真命题,举反例可证明全称命题是假命题. 【详解】∵对于*i ∈N ,定义1,()0,i i AA i A ϕ∈⎧=⎨∉⎩, ∴对于①,例如集合A 是正奇数集合,B 是正偶数集合,,*AB A B N ∴=∅=,()()01i i A B A B ϕϕ∴==;,①正确;对于②, 例如:{}{}{}1232341234A B AB ===,,,,,,,,,,当2i =时,()1i A B ϕ⋃=;()()1,1i i A B ϕϕ==;()()()i i i A B A B ϕϕϕ∴≠+; ②错误;对于③, {}*2,A x x n n N ==∈,{}*42,B x x n n N ==-=,明显地,,A B 均为偶数集,A B ∴≠∅,()1i AB ϕ=,若i 为偶数,则()i A B ∈,则i A ∈且i B ∈;()()1i i A B ϕϕ∴⋅=,则有()()()i i i A B A B ϕϕϕ⋂=;若i 为奇数,此时,()0i A B ϕ=,则i A ∉且i B ∉,()()0,0i i A B ϕϕ==,()()()i i i A B A B ϕϕϕ⋂=∴也成立;③正确∴所有正确结论的序号是:①③; 故答案为:①③ 【点睛】关键点睛:解题关键在于对题目中新定义的理解和应用,结合特殊值法和反证法进行证明,难度属于中档题.16.7【分析】根据函数的定义来研究由于函数是一对一或者多对一的对应且在B 中的元素可能没有原像故可以按函数对应的方式分类讨论可分为一对一二对一三对一三类进行讨论得答案【详解】由函数的定义知此函数可以分为三解析:7 【分析】根据函数的定义来研究,由于函数是一对一或者多对一的对应,且在B 中的元素可能没有原像,故可以按函数对应的方式分类讨论.可分为一对一,二对一,三对一三类进行讨论得答案. 【详解】由函数的定义知,此函数可以分为三类来进行研究:若函数的是三对一的对应,则值域为{}1、{}2、{}3三种情况; 若函数是二对一的对应,{}1,2、{}2,3、{}1,3三种情况; 若函数是一对一的对应,则值域为{1,2,3}共一种情况. 综上知,函数的值域的不同情况有7种. 故答案为7. 【点睛】本题考查函数的概念,函数的定义,考查数学的基本思想方法,是中档题.17.7【解析】由函数的周期为3可得因为若则可得出又根据为奇函数则又可得出又函数是定义在R 上的奇函数可得出从而在中令得出又根据是定义在R 上的奇函数得出从而得到即故从而共7个解解析:7 【解析】由函数的周期为3可得(3)()f x f x +=,因为(2)0f =, 若(0,6)x ∈,则可得出(5)=(2)0f f =, 又根据()f x 为奇函数,则(-2)=-(2)0f f =, 又可得出(4)=(1)(-2)=0f f f =,又函数()f x 是定义在R 上的奇函数,可得出(0)0f =, 从而(3)=(0)0f f =,在(3)()f x f x +=中, 令32x =-,得出33()()22f f -=,又根据()f x 是定义在R 上的奇函数,得出33()-()22f f -=, 从而得到33()-()22f f =,即3()02f =, 故933()(+3)()=0222f f f ==,从而93()()=(4)(1)(3)(5)(2)022f f f f f f f ======,共7个解.18.【分析】由条件确定原点两侧函数的单调性和零点由函数的草图确定不等式的解集【详解】在R 上是奇函数且在上是增函数∴在上也是增函数由得由得作出的草图如图所示:则或由图象得所以或所以的解集为故答案为:【点睛 解析:(3,0)(0,3)-⋃【分析】由条件确定原点两侧函数的单调性和零点,由函数()f x 的草图确定不等式的解集. 【详解】()f x 在R 上是奇函数,且()f x 在(0,)+∞上是增函数,∴()f x 在(,0)-∞上也是增函数,由(3)0f -=,得(3)0f =,由(0)(0)f f =--,得(0)0f =, 作出()f x 的草图,如图所示:()0xf x <,则0()0x f x >⎧⎨<⎩ 或0()0x f x <⎧⎨>⎩,由图象得,所以03x <<或30x -<<,所以()0xf x <的解集为(3,0)(0,3)-⋃. 故答案为:(3,0)(0,3)-⋃. 【点睛】本题考查函数奇偶性、单调性的综合应用,考查数形结合思想,灵活作出函数的草图是解题关键.属于中档题.19.【分析】根据二次函数的单调性得出是上的减函数从而有整理得即关于的方程在区间内有实数解记由二次函数的单调性和零点存在定理建立不等式组可求得范围【详解】∵函数是上的减函数∴当时即两式相减得即代入得由且得解析:31,4⎡⎫--⎪⎢⎣⎭【分析】根据二次函数的单调性得出2()f x x k =+是(,0]-∞上的减函数,从而有()()f a bf b a =⎧⎨=⎩,整理得22a k b b k a⎧+=⎨+=⎩,即关于a 的方程210a a k +++=,在区间11,2⎡⎫--⎪⎢⎣⎭内有实数解,记2()1h a a a k =+++,由二次函数的单调性和零点存在定理建立不等式组,可求得范围.【详解】∵函数2()f x x k =+是(,0]-∞上的减函数,∴当[,]x a b ∈时,()()f a bf b a =⎧⎨=⎩,即22a k bb k a ⎧+=⎨+=⎩, 两式相减得22a b b a -=-,即(1)b a =-+,代入2a k b +=得210a a k +++=, 由0a b <≤,且(1)b a =-+得112a -≤<-, 故关于a 的方程210a a k +++=,在区间11,2⎡⎫--⎪⎢⎣⎭内有实数解,记2()1h a a a k =+++,所以函数()h a 在11,2⎡⎫--⎪⎢⎣⎭上单调递减,则()10102h h ⎧-≥⎪⎨⎛⎫-< ⎪⎪⎝⎭⎩,即()()221110111022k k ⎧-+-++≥⎪⎨⎛⎫⎛⎫-+-++<⎪ ⎪ ⎪⎝⎭⎝⎭⎩,解得31,4k ⎡⎫∈--⎪⎢⎣⎭,故答案为:31,4⎡⎫--⎪⎢⎣⎭. 【点睛】关键点点睛:在解决二次函数的值域问题,关键在于得出二次函数的对称轴与区间的关系,也即是判断出二次函数在区间上的单调性.20.【分析】将代入得到的解析式然后利用换元法求出值域【详解】要使函数成立则即将函数代入得:令则所以又或故函数的值域为故答案为:【点睛】求解复合函数的值域的一般方法如下:(1)若函数的形式比较简单可先将的 解析:(][),31,-∞-+∞【分析】将()2g x x =+代入,得到()()y f g x =的解析式,然后利用换元法求出值域. 【详解】要使函数()()y f g x =成立,则21x +≠,即1x ≠-,将函数()2g x x =+代入233()1x x f x x -+=-得: ()()()()222323111x x x x y f g x x x +-++++===++,令1x t ,则1x t =-,所以22(1)111t t t t y t t t t-+-+===-+,又111t t -+≥或113t t -+≤-,故函数()()f g x 的值域为(][),31,-∞-+∞.故答案为:(][),31,-∞-+∞.【点睛】求解复合函数()()f g x 的值域的一般方法如下:(1)若函数()g x 的形式比较简单,可先将()()f g x 的解析式表示出来,然后设法求出其值域,解答时注意定义域;(2)采用换元法,令()g x t =,计算()g x 的值域即t 的取值范围,然后计算()f t 的值域.三、解答题21.(1)①2()22f x x x =-+,②见解析;(2)2min42,4(),44442,4b b bf x b b b -≥⎧⎪⎪=--<<⎨⎪+≤-⎪⎩. 【分析】(1)①先求得2c =;{1A =,2}说明()0f x x -=两根为1,2.利用韦达定理求a ,b ,从而可得解析式;②写成分段函数形式,再利用二次函数图象与性质求解. (2)根据对称轴位置,分三种情况讨论,分别利用二次函数的性质求解即可. 【详解】(1)①(0)2f =,2c ∴={1A =,2},2(1)20ax b x ∴+-+=有两根为1,2.由韦达定理得,212112ab a ⎧=⨯⎪⎪⎨-⎪=+⎪⎩,∴12a b =⎧⎨=-⎩2()22f x x x ∴=-+②函数()2222,022,0x x x y f x x x x ⎧-+≥==⎨-+<⎩,函数()y fx =的图象如图,同一坐标系内画出函数y a =的图象, 由图可知,当1a <时,函数y a =和函数()y fx =的图象的公共点个数为0;当1a =或2a >时,函数y a =和函数()y f x =的图象的公共点个数为2; 当12a <<时,函数y a =和函数()y f x =的图象的公共点个数为4; 当2a =时,函数y a =和函数()y f x =的图象的公共点个数为3;(2)a =1,c =0,函数2()f x x bx =+,当2,42bb -≤-≥时,()min ()242f x f b =-=-; 当22,442b b -<-<-<<时,2min ()24b b f x f ⎛⎫=-=- ⎪⎝⎭;当2,42bb -≥≤-时,()min ()242f x f b ==+; 综上,2min42,4(),44442,4b b bf x b b b -≥⎧⎪⎪=--<<⎨⎪+≤-⎪⎩ 【点睛】方法点睛:二次函数在闭区间上的最值主要有三种类型:轴定区间定、轴动区间定、轴定区间动,不论哪种类型,解决的关键是考查对称轴与区间的关系,当含有参数时,要依据对称轴与区间的关系进行分类讨论.22.(1)见解析;(2)见解析;(3)3023x x ⎧⎫<<⎨⎬⎩⎭【分析】(1)由()m f m f n n ⎛⎫=⋅⎪⎝⎭,结合题意即可得结果; (2)利用函数单调性的定义证明即可;(3)将原不等式等价转化为()()324f x f x +>,结合定义域和单调性即可得结果. 【详解】解:(1)由题可得()()m m f m f n f f n n n ⎛⎫⎛⎫=⋅=+ ⎪ ⎪⎝⎭⎝⎭, 即()()m f f m f n n ⎛⎫=- ⎪⎝⎭;(2)任取1x ,()20,x ∈+∞,且12x x <,则211x x >, 由(1)得:()()22110x f x f x f x ⎛⎫-=>⎪⎝⎭,即()()21f x f x >, ()f x ∴在()0,∞+上是增函数;(3)()21f =,()()()2224f f f ∴=+=,()()()3428f f f =+=,()()333f x f x +->,()()()338f x f x f +>+, ()()324f x f x +>,又()f x 在()0,∞+上为增函数,30,240,324,x x x x +>⎧⎪∴>⎨⎪+>⎩, 解得:0323x <<, 故不等式()()333f x f x +->的解集为3023x x ⎧⎫<<⎨⎬⎩⎭. 【点睛】关键点点睛:本题解题的关键是利用()m f m f n n ⎛⎫=⋅ ⎪⎝⎭,再结合题意,即可判断函数单调性和解不等式. 23.(1)(,1)(1,5]-∞;(2)单调性证明见解析,值域为17[,1]3--. 【分析】(1)利用偶次根式和分式有意义的条件,列出不等式组,求得函数的定义域;(2)依据减函数的定义,利用取值、作差、判断符号的过程,证得函数的单调减,在区间端点取得最大最小值,得到函数在[1,3]上的值域. 【详解】 (1)由5010x x -≥⎧⎨-≠⎩.得5x ≤且1x ≠,故()f x 的定义域为()(]115∞-,,∪; (2)设120x x <<, 则()2112121221121212111()2()2()()(2)x x f x f x x x x x x x x x x x x x --=--+-=--+=-+, 因为120x x <<,所以和211210,0x x x x ->>. 所以21121()(2)0x x x x -+>,从而()12()0f x f x ->, 故()f x 在()0,∞+上单调递减,因为()f x 在[1,3]上单调递减,且()11f -=,()1733f -=, 所以该函数在[1,3]上的值域为17[,1]3-- . 【点睛】思路点睛:该题考查的是有关函数的问题,解题思路如下:(1)利用分式和偶次根式有意义的条件,列出不等式组,求得结果,得到函数的定义域; (2)利用函数在某个区间上单调减的定义,证得函数在给定区间上是减函数,求得函数在区间端点处取得最值,得到函数的值域.24.(1)21()2f x x x =-+;(2)存在,40m n =-⎧⎨=⎩.【分析】(1)由(1)(1)f x f x +=-,得到20b a +=,再由()f x x ≤恒成立,列出方程组,求得,a b 的值,得到函数的解析式;(2)假设存在()m n m n <、,根据题意得到[],m n 必在对称轴的左侧,且()f x 在[],m n 单调递增,列出方程组,即可求解. 【详解】(1)因为22(1)(1)(1)(2)f x a x b x ax a b x a b +=+++=++++,22(1)(1)(1)(2)f x a x b x ax a b x a b -=-+-=-+++,由()()11f x f x +=-可知,20a b +=,由于对一切x ∈R ,都有()f x x ≤即2()(1)0f x x ax b x -=+-≤,于是由二次函数的性质可得()()21400*a b a <⎧⎪⎨∆=--⨯≤⎪⎩ 由()*知()210b -≤,而()210b -≥,所以()210b -=即1b =,将1b =代入20a b +=得12a =-, 所以21()2f x x x =-+; (2)因为221111()(1)2222f x x x x =-+=--+≤, 若存在满足条件的实数(),m n m n <则必有132n ≤,解得16n ≤, 又因为()f x 在(],1-∞上单调递增,所以()f x 在[],m n 上单调递增.所以()()33fm m fn n ⎧=⎪⎨=⎪⎩,22132132m m mn n n ⎧-+=⎪⎪⎨⎪-+=⎪⎩,解得40m n =-⎧⎨=⎩或04m n =⎧⎨=-⎩,因为m n <,所以40m n =-⎧⎨=⎩, 故存在4m n =-⎧⎨=⎩满足条件.【点睛】关键点点睛:本题主要考查了二次函数的图象与性质的应用,其中解答中熟记二次函数的图象与性质,以及根据函数的值域判断出函数在[,]m n 上的单调性是解答的关键,着重考查了分析问题和解答问题的能力,属于中档试题. 25.(1)0;(2)证明见解析;(3)(1,2). 【分析】(1)依题意可得()00f =,即可求出参数b 的值,(2)利用定义法证明函数的单调性,按照设元、作差、变形、判断符号、下结论的步骤完成即可;(3)依题意结合(2)中函数的单调性,即可得到方程组,即可求出参数的取值范围; 【详解】解:(1)由题意可知函数()21ax bf x x +=+的定义域为R ,且为奇函数,所以()00f b ==,经检验满足题意,所以b =0; (2)证明:由(1)知b =0,所以()211ax af x x x x==++,则任取12x x <,则12110x x ->,因为12x x <,所以当()01x ∈,时,210x x ->,12110x x -<,所以()()120f x f x -<,即()()12f x f x <,则()f x 在()01,上是增函数;当()1x ∈+∞,时,210x x ->,()()1f x +∞,,所以()()120f x f x ->,即()()12f x f x >,[]m n ,上是减函数,综上:()f x 在()01,上是增函数,在()1+∞,上是减函数; (3)由(2)知()f x 在()01,上是增函数,在()1+∞,上是减函数,又存在实数m ,n (0<m <n ),使得m ≤()f x ≤n 的解集为()221112amm m an m n a f n ⎧=⎪+⎪⎪=⎨+⎪⎪=≤⎪⎩,则221112a m a n a n ⎧=+⎪⎪=+⎨⎪≤⎪⎩,化简得221112a m a n a n⎧=+⎪⎪=+⎨⎪≤⎪⎩,因为0<m <n ,所以1<a <2,所以a 的取值范围为(1,2). 【点睛】函数的单调性是函数的重要性质之一,它的应用贯穿于整个高中数学的教学之中.某些数学问题从表面上看似乎与函数的单调性无关,但如果我们能挖掘其内在联系,抓住其本质,那么运用函数的单调性解题,能起到化难为易、化繁为简的作用.因此对函数的单调性进行全面、准确的认识,并掌握好使用的技巧和方法,这是非常必要的.根据题目的特点,构造一个适当的函数,利用它的单调性进行解题,是一种常用技巧.许多问题,如果运用这种思想去解决,往往能获得简洁明快的思路,有着非凡的功效.26.(1)()223f x x x =+-;(2)()21227,4245,4243,2k k h k k k k k k +≤-⎧⎪=----<<-⎨⎪+≥-⎩.【分析】(1)由①可知函数()f x 的图象关于直线14x =-对称,由②可知()10f =,可得出关于a 、c 的方程组,进而可得出函数()f x 的解析式;(2)求得()()22413g x x k x =++-,求得该函数的对称轴为直线()1x k =-+,对实数k 的取值进行分类讨论,分析函数()g x 在区间[]1,3上的单调性,进而可求得()h k 关于k的表达式. 【详解】(1)由①可得,函数14f x ⎛⎫-⎪⎝⎭是偶函数, 将函数14f x ⎛⎫- ⎪⎝⎭的图象向左平移14个单位长度可得到函数()f x 的图象,所以,函数()f x 的图象关于直线14x =-对称,则有1124a -=-,可得2a =. 由②可得:1x =是方程20ax x c ++=的一个解,则有10a c ++=,得3c =-. 于是:()223f x x x =+-;(2)依题意有:()()22413g x x k x =++-,对称轴为()1x k =-+.当()13k -+≥时,即4k ≤-时,()g x 在[]1,3单调递减,于是()()min 31227g x g k ==+;当()113k <-+<时,即4-<<-2k 时,()g x 在()1,1k -+⎡⎤⎣⎦单调递减,在()1,3k -+⎡⎤⎣⎦单调递增,于是()()2min 1245g x g k k k =--=---;当()11k -+≤时,即2k ≥-时,()g x 在[]1,3单调递增, 于是()()min 143g x g k ==+.综上:()21227,4245,4243,2k k h k k k k k k +≤-⎧⎪=----<<-⎨⎪+≥-⎩.【点睛】方法点睛:“动轴定区间”型二次函数最值的方法:(1)根据对称轴与区间的位置关系进行分类讨论;(2)根据二次函数的单调性,分别讨论参数在不同取值下的最值,必要时需要结合区间端点对应的函数值进行分析;(3)将分类讨论的结果整合得到最终结果.。
高一数学第一学期函数压轴(大题)练习(含答案)1.已知不等式 $2(\log_2 x)^2+7\log_2 x+3\leqslant 0$,求函数 $f(x)=\log_2 x\cdot \log_2 x$ 的最大值、最小值及相应的$x$ 值。
2.已知定义域为 $\mathbb{R}$ 的函数$f(x)=\dfrac{2x+1}{x^2+1}$ 是奇函数。
1)求 $a$ 的值;2)判断并证明该函数在定义域 $\mathbb{R}$ 上的单调性;3)若对任意的 $t\in\mathbb{R}$,不等式 $f(t-2t)+f(2t-k)<0$ 恒成立,求实数 $k$ 的取值范围。
3.已知定义在区间 $(-1,1)$ 上的函数 $f(x)=\dfrac{(1-a)x^2+b}{1-x^2}$。
1)求实数 $a,b$ 的值;2)用定义证明:函数$f(x)$ 在区间$(-1,1)$ 上是增函数;3)解关于 $t$ 的不等式 $\dfrac{(1-a)t^2+b}{1-t^2}>0$。
4.定义在 $\mathbb{R}^+$ 上的函数 $f(x)$ 对任意实数$a,b\in \mathbb{R}^+$,均有 $f(ab)=f(a)+f(b)$ 成立,且当$x>1$ 时,$f(x)<0$。
1)求 $f(1)$;2)求证:$f(x)$ 为减函数;3)当 $f(4)=-2$ 时,解不等式$f(x)+f\left(\dfrac{1}{2}x\right)>0$。
5.已知函数$f(x)=x-2bx+\dfrac{4}{b}$,定义域为$[1,4]$,$b\geqslant 1$。
I)求 $f(x)$ 的最小值 $g(b)$;II)求 $g(b)$ 的最大值 $M$。
6.设函数 $f(x)=\log_a (x-3)$,$a>0$ 且 $a\neq 1$,当点$P(x,y)$ 是函数 $y=f(x)$ 图象上的点时,点 $Q(x-2a,-y)$ 是函数 $y=g(x)$ 图象上的点。
一、选择题1.若函数()22(3)8,1,1x a x x f x ax x ⎧-+--≤=⎨>⎩在R 上是增函数,则实数a 的取值范围是( )A .4,⎡-⎣B .4⎤⎦C .[]3,4-D .⎡⎣2.函数()(3)()f x x ax b =--为偶函数,且在(0,)+∞上单调递增,则(2)0f x ->的解集为( ) A .{|22}x x -<< B .{|5x x >或1}x <- C .{|04}x x << D .{|4x x >或0}x <3.若函数()f x =在[]1,3-上具有单调性,则实数a 的可能取值是( )A .4-B .5C .14D .234.下列函数中,在其定义域内既是奇函数又是减函数的是( )A .1y x=B .y =C .2x y =D .||y x x =-5.下列命题中正确的是( )A .若函数()f x 的定义域为(1,4),则函数()2f x 的定义域为(2,1)(1,2)--⋃B .1y x =+和y =C .定义在R 上的偶函数()f x 在(0,)+∞和(,0)-∞上具有相反的单调性D .若不等式220ax bx ++>恒成立,则280b a -<且0a >6.已知函数(2)f x 的定义域为3(0,)2,则函数(13)f x -的定义域是( ) A .21(,)33-B .11(,)63-C .(0,3)D .7(,1)2-7.已知定义域为(0,)+∞的函数()f x 满足:()()()1f xy f x f y =++,当1x >时,()1f x <-,且128f ⎛⎫= ⎪⎝⎭,则不等式()(3)3f x f x +->-的解集为( )A .(0,3)B .(1,2)C .(1,3)D .(0,1)(2,3)8.已知函数f (x )满足f (x -1)=2f (x ),且x R ∈,当x ∈[-1,0)时,f (x )=-2x -2x +3,则当x ∈[1,2)时,f (x )的最大值为( ) A .52B .1C .0D .-19.已知定义在R 上的函数()2||·x f x x e =, (a f log =, 312b f log ⎛=⎫ ⎪⎝⎭,()ln3c f = ,则a ,b ,c 的大小关系是( )A .c a b >>B .b c a >>C .a b c >>D .c b a >>10.已知函数()1,0,21,0,x x f x x x +≥⎧=⎨--<⎩若()()0a f a f a -->⎡⎤⎣⎦,则实数a 的取值范围是( ) A .()2,+∞ B .[)(]2,00,2-C .(](),22,-∞-+∞ D .()()2,00,2-11.已知函数()2f x x ax b =-+-(a ,b 为实数)在区间[]22-,上最大值为M ,最小值为m ,则M m -( ) A .与a 有关,且与b 有关 B .与a 有关,但与b 无关 C .与a 无关,但与b 有关D .与a 无关,且与b 无关12.函数()()2212f x x a x =+--在(],4-∞上是减函数,则实数a 的取值范围是( ) A .3a ≤-B .3a ≥-C .5a ≥D .3a ≥二、填空题13.设函数()x f x e =()g x mx =,若对于[]10,1x ∀∈,总[]21,2x ∃∈,使得()()12f x g x >恒成立,则实数m 的取值范围是_________.14.已知定义在 +R 上的函数 ()f x 同时满足下列三个条件:① ()31f =-;②对任意x y +∈R , 都有 ()()()f xy f x f y =+;③ 1x > 时 ()0f x <,则不等式()()612f x f x <-- 的解集为___________.15.函数2()2f x x x =-,()1g x ax =+(0a >),若对任意的[]12,2x ∈-,存在[]22,2x ∈-,使12()()f x g x =,则a 的取值范围是___________.16.已知函数2123y kx kx =++的定义域为R ,则实数k 的取值范围是__________.17.已知定义在R 上的函数()f x 满足:①(1)0f =;②对任意x ∈R 的都有()()f x f x -=-;③对任意的12,(0,)x x ∈+∞且12x x ≠时,都有()()12120f x f x x x ->-.记2()3()()1f x f xg x x --=-,则不等式()0g x ≤的解集______.18.定义域为R 的函数()f x 满足(2)2()f x f x +=,当[0,2)x ∈时,2 1.5,[0,1)()0.5,[1,2)x x x x f x x -⎧-∈⎪=⎨-∈⎪⎩,若[4,2)x ∈--时,1()42t f x t ≥-恒成立,则实数t 的取值范围是______.19.定义:如果函数()y f x =在定义域内给定区间[],a b 上存在()00x a x b <<,满足()()0)(f b f a f x b a-=-,则称函数()y f x =是[],a b 上的“平均值函数”.0x 是它的一个均值点,若函数()2f x x mx =+是[]1,1-上的平均值函数,则实数m 的取值范围是___________.20.已知函数22, 1()+1, 1x ax x f x ax x ⎧-+≤=⎨>⎩,若()f x 在定义域上不是单调函数,则实数a 的取值范围是_______.三、解答题21.定义在R 上的函数()f x 是单调函数,满足()36f =,且()()()f x y f x f y +=+,(x ,y R ∈).(1)求()0f ,()1f ; (2)判断()f x 的奇偶性;(3)若对于任意1,32x ⎡⎤∈⎢⎥⎣⎦,都有()()2210+-<f kx f x 成立,求实数k 的取值范围.22.已知函数()22f x mx mx n =-+ ()0m >在区间[]1,3上的最大值为5,最小值为1,设()()=f xg x x. (1)求m 、n 的值;(2)证明:函数()g x 在)+∞上是增函数;(3)若函数F ()()22xxx g k =-⋅=0,在[]1,1x ∈-上有解,求实数k 的取值范围.23.已知()f x 是定义域为R +的增函数,且对任意正实数a 和b ,都有()()()1f ab f a f b =+-.(1)证明:当1x >时,()1f x >;(2)若又知1()02f =,解不等式(32)(1)()2f x f x f x -+-<+.24.已知函数()222f x x ax =++,[]5,5x ∈-.(1)当1a =-时,求函数()f x 的最大值和最小值;(2)求实数a 的取值范围,使()y f x =在区间[]5,5-上是单调函数. (3)求函数()f x 的最小值()g a 的表达式,并求()g a 的最大值. 25.已知函数()()210f x x x a=-+>. (1)判断()f x 在()0,∞+上的增减性,并用单调性定义证明. (2)若()20f x x +≥在()0,∞+上恒成立,求a 的取值范围.26.已知二次函数()2()f x ax bx a b R =+∈、满足:①()()11f x f x +=-;②对一切x ∈R ,都有()f x x ≤.(1)求()f x ;(2)是否存在实数(),m n m n <使得()f x 的定义域为[],m n 、值域为[]3,3m n ,如果存在,求出m ,n 的值;如果不存在,说明理由.【参考答案】***试卷处理标记,请不要删除一、选择题 1.B 解析:B 【分析】函数()f x 在R 上是增函数,则在两段上分别要单调递增,且在分界点处要满足2138a a -+--≤,从而得到答案.【详解】函数()22(3)8,1,1x a x x f x ax x ⎧-+--≤=⎨>⎩在R 上是增函数,则满足下列条件:(1)()2238y x a x =-+--在(],1-∞递增,2312a -≥,即a ≥a ≤(2)y ax =在()1,+∞递增,则0a >(3)当1x =时满足2138a a -+--≤,解得34a -≤≤综上可得函数()f x 在R 上是增函数,实数a 4a ≤≤ 故选:B. 【点睛】关键点睛:本题考查根据分段函数的单调性求参数的范围,解答本题的关键是分段函数要在定义域内单调递增,则在两段上要分别单调递增,且在分界点出满足2138a a -+--≤,这也时容易出错的地方,属于中档题.2.B解析:B 【分析】根据函数是偶函数,求出a ,b 关系,结合单调性确定a 的符号即可得到结论. 【详解】2()(3)()(3)3f x x ax b ax a b x b =--=-++为偶函数, 所以22()(3)3(3)3f x ax a b x b ax a b x b -=+++-=++30a b ∴+=,即3b a =-,则2()(3)(3)(3)(3)9f x x ax a a x x ax a =-+=-+=-, 在(0,)+∞上单调递增,0a ∴>,则由(2)(1)(5)0f x a x x -=--->,得(1)(5)0x x +->, 解得1x <-或5x >,故不等式的解集为{|1x x <-或5}x >. 故选:B 【点睛】思路点睛:解答本题只要按部就班化简转化函数为偶函数和单调性即可得解.由函数的奇偶性得到3b a =-,由函数的单调性得到0a >.3.C解析:C 【分析】令函数()218g x x ax =-++,则只需使当[]1,3x ∈-时,()0g x ≥且单调,然后针对()3210a g ⎧≥⎪⎨⎪-≥⎩或()1230ag ⎧≤-⎪⎨⎪≥⎩两种情况讨论求解. 【详解】由题意可设()218g x x ax =-++,则当[]1,3x ∈-时,()218g x x ax =-++单调,且()0g x ≥恒成立,因为()218g x x ax =-++的对称轴方程为2a x =, 则()3210a g ⎧≥⎪⎨⎪-≥⎩或()1230ag ⎧≤-⎪⎨⎪≥⎩,解得617a ≤≤或32a --≤≤,即[][]6,173,2a ∈--,则只有14满足题意. 故选:C . 【点睛】本题考查根据复合函数的单调性求参数的取值范围,解答时注意不仅要使原函数在所给区间上单调,且必须使原函数在所给区间上有意义.4.D解析:D 【分析】利用奇函数的定义和常见基本初等函数的性质,对选项逐一判断即可. 【详解】 选项A 中,函数1y x =,由幂函数性质知1y x=是奇函数,且其在()(),0,0,-∞+∞两个区间上递减,不能说在定义域内是减函数,故错误;选项B 中,函数y =[)0,+∞,不对称,故不具有奇偶性,,且在定义域内是增函数,故错误;选项C 中,指数函数2xy =,22x x -≠,且22x x -≠-,故不是奇函数,故错误;选项D 中,函数22,0,0x x y x x x x ⎧-≥=-=⎨<⎩,记()y f x =,当0x >时,0x -<,故22(),()f x x f x x =--=,故()()f x f x -=-,当0x =时,(0)0f =,故()()f x f x -=-,当0x <时,0x ->,故22(),()f x x f x x =-=-,故()()f x f x -=-,综上,()y f x =是奇函数,又0x ≥时,2()f x x =-是开口向下的抛物线的一部分,是减函数,由奇函数性质知()y f x =在定义域R 上是减函数,故正确. 故选:D. 【点睛】本题解题关键是熟练掌握常见的基本初等函数的性质,易错点是分段函数奇偶性的判断,分段函数必须判断定义域内的每一段均满足()()f x f x -=-(或()()f x f x -=)才能判定其是奇函数(或偶函数).5.A解析:A 【分析】利用抽象函数的定义域列不等式判断A ;利用特例法判断BCD. 【详解】因为函数()f x 的定义域为(1,4),由21412x x <<⇒<<或21x -<<-,所以函数()2f x 的定义域为(2,1)(1,2)--⋃,A 正确;1y x =+和1,11,1x x y x x +≥-⎧==⎨--<-⎩,对应法则不同,不表示同一函数,B 错; 偶函数()1f x =在(0,)+∞和(,0)-∞上不具有相反的单调性,C 错;0a b 时,不等式220ax bx ++>恒成立,但280b a -<且0a >不成立,D 错;故选:A. 【点睛】方法点睛:若已知函数()f x 的定义域为[],a b ,则函数()()f g x 的定义域由不等式()a g x b ≤≤求出,若已知函数()()f g x 的定义域为[],a b ,则()f x 的定义域为()g x 在[],x a b ∈时的值域.6.A解析:A 【分析】先求出函数()f x 的定义域(0,3),再求出函数(13)f x -的定义域. 【详解】函数(2)f x 的定义域为3(0,)2,则302x <<,所以023x << 所以函数()f x 的定义域为(0,3),则0133x <-<解得2133x -<< 函数(13)f x -的定义域为21(,)33- 故选:A 【点睛】对于抽象函数定义域的求解方法:(1)若已知函数()f x 的定义域为[]a b ,,则复合函数()()f g x 的定义域由不等式()a g x b ≤≤求出;(2)若已知函数()()f g x 的定义域为[]a b ,,则()f x 的定义域为()g x 在[]x a b ∈,上的值域.7.D解析:D 【分析】任设120x x <<,则211x x >,21()1x f x <-,根据定义可得()f x 在(0,)+∞上为递减函数,令1x y ==得(1)1f =-,令18,8x y ==可得(8)4f =-,可得(2)2f =-,将不等式化为[(3)](2)f x x f ->,利用单调性和定义域可解得结果. 【详解】任设120x x <<,则211x x >,21()1x f x <-, 所以()()()()222111111111x x f x f x f x f f x f x x x ⎛⎫⎛⎫=⋅=++<-+= ⎪ ⎪⎝⎭⎝⎭, 所以()f x 在(0,)+∞上为递减函数,在()()()1f xy f x f y =++中,令1x y ==得(1)2(1)1f f =+,得(1)1f =-,令18,8x y ==得11(1)(8)(8)()188f f f f =⨯=++,所以(8)1124f =---=-, 又(8)(2)(4)1f f f =++(2)(2)(2)113(2)2f f f f =++++=+4=-,所以(2)2f =-,()(3)3f x f x +->-可化为()(3)12(2)f x f x f +-+>-=,所以[(3)](2)f x x f ->,所以030(3)2x x x x >⎧⎪->⎨⎪-<⎩,解得01x <<或23x <<.故选:D 【点睛】关键点点睛:利用定义判断函数的单调性以及求出(2)f 是解题关键.8.B解析:B 【分析】 首先设[)1,2x ∈,利用函数满足的关系式,求函数的解析式,并求最大值.【详解】 设[)1,2x ∈,[)21,0x -∈-,()()()222222323f x x x x x ∴-=----+=-++,()()()()211214f x f x f x f x -=--=-=⎡⎤⎣⎦, ()()()()2211122311444f x f x x x x ∴=-=-++=--+, [)1,2x ∈,()f x ∴在区间[)1,2单调递减,函数的最大值是()11f =.故选:B 【点睛】思路点睛:一般利用函数的周期,对称性求函数的解析式时,一般求什么区间的解析式,就是将变量x 设在这个区间,根据条件,转化为已知区间,再根据关系时,转化求函数()f x 的解析式. 9.A解析:A 【分析】可看出()f x 在(0,)+∞上单调递增,且得出3(log 2)b f =,并且可得出33ln 3log log 2>,根据增函数的定义即可得出a ,b ,c 的大小关系.【详解】0x >时,2()x f x x e =是增函数,且()()f x f x -=,33(log 2)(log 2)b f f ∴=-=,33330log 1log 2log log 31=<<<=,ln3ln 1e >=,∴33ln 3log log 2>>,∴33(ln 3)(log (log 2)f f f >>,c a b ∴>>.故选:A . 【点睛】解答比较大小问题,常见思路有两个:一是判断出各个数值所在区间(一般是看三个区间()()(),0,0,1,1,-∞+∞ );二是利用函数的单调性直接解答;数值比较多的比大小问题也可以两种方法综合应用.10.D解析:D 【分析】按0a >和0a <分类解不等式即可得. 【详解】[()()]0a f a f a -->,若0a >,则()()0f a f a -->,即1[2()1]0a a +--⨯-->,解得2a <,所以02a <<,若0a <,则()()0f a f a --<,即21(1)0a a ----+<,解得2a >-,所以20a -<<,综上,不等式的解为(2,0)(0,2)-.故选:D . 【点睛】本题考查解不等式,解题方法是分类讨论.掌握分类讨论的思想方法是解题关键.11.B解析:B 【解析】函数()2f x x ax b =-+-的图象是开口朝上且以直线2ax =-为对称轴的抛物线, ①当22a -> 或22a-<-,即4a -< ,或4a >时, 函数f x () 在区间[]2,2-上单调, 此时224M m f f a -=--=()(), 故M m - 的值与a 有关,与b 无关 ②当022a≤-≤ ,即40a -≤≤ 时, 函数f x ()在区间[2]2a --, 上递增,在[2]2a -, 上递减, 且22f f -<()() , 此时2322424a a M m f f a -=---=--()(),故M m - 的值与a 有关,与b 无关③当202a-≤-≤,即04a ≤≤时, 函数f x ()在区间[2]2a -,上递减,在[2]2a --,上递增, 且22f f <-()()此时222424a a M m f f a -=--=-+()(),故M m - 的值与a 有关,与b 无关 综上可得M m - 的值与a 有关,与b 无关 故选B【点睛】本题考查的知识点是二次函数的图象和性质,熟练掌握二次函数的图象和性质,是解答的关键.12.A解析:A 【分析】分析函数()()2212f x x a x =+--的图象和性质,结合已知可得41a ≤-,解得答案.【详解】函数()()2212f x x a x =+--的图象是开口朝上,且以直线1x a =-为对称轴的抛物线,若函数()()2212f x x a x =+--在(],4-∞上是减函数,41a ∴≤-,解得: 3a ≤-, 故选:A 【点睛】本题考查的知识点是二次函数的图象和性质,熟练掌握二次函数的图象和性质是解答的关键.二、填空题13.【分析】首先判断函数的单调性依题意只需再对参数分三种情况讨论即可求出参数的取值范围;【详解】解:因为在定义域上单调递增又在定义域上单调递减所以根据复合函数的单调性可得在定义域上单调递减所以在定义域上解析:1,2⎛⎫-∞- ⎪⎝⎭【分析】首先判断函数()f x 的单调性,依题意只需()()12min min f x g x >,再对参数m 分三种情况讨论,即可求出参数的取值范围; 【详解】解:因为xy e =、y =42y x =-在定义域上单调递减,所以根据复合函数的单调性可得y =在定义域上单调递减,所以()x f x e =-[]0,1上单调递增,所以()()001min f x f e ===-对于[]10,1x ∀∈,总[]21,2x ∃∈,使得()()12f x g x >恒成立, 则只需()()12min min f x g x >因为()g x mx =,[]1,2x ∈,当0m =时()0g x =,而()1min f x =-,不符合题意; 当0m >时,()g x mx =,在[]1,2x ∈上单调递增,则()()min 1g x g m ==,所以1m <-矛盾,舍去;当0m <时,()g x mx =,在[]1,2x ∈上单调递减,则()()min 22g x g m ==,所以210m m <-⎧⎨<⎩解得12m <- 故m 的取值范围为1,2⎛⎫-∞-⎪⎝⎭故答案为:1,2⎛⎫-∞- ⎪⎝⎭【点睛】本题考查不等式的恒成立与有解问题,可按如下规则转化:一般地,已知函数()[],,y f x x a b =∈,()[],,y g x x c d =∈ (1)若[]1,x a b ∀∈,[]2,x c d ∀∈,总有()()12f x g x <成立,故()()2max min f x g x <; (2)若[]1,x a b ∀∈,[]2,x c d ∃∈,有()()12f x g x <成立,故()()2max max f x g x <; (3)若[]1,x a b ∃∈,[]2,x c d ∃∈,有()()12f x g x <成立,故()()2min min f x g x <; (4)若[]1,x a b ∀∈,[]2,x c d ∃∈,有()()12f x g x =,则()f x 的值域是()g x 值域的子集 .14.【分析】用赋值法由已知得到把转化为即再用定义法证明在上为减函数利用单调性可得答案【详解】因为对任意有令得所以令则所以可等价转化为即设当时则所以所以在上为减函数故由得得又所以原不等式的解集为故答案为:解析:()13, 【分析】用赋值法由已知得到()()()9332f f f =+=-,把()()612f x f x <--转化为()()61(9)f x f x f <-+,即()()699f x f x <-,再用定义法证明()f x 在(0,)+∞上为减函数,利用单调性可得答案. 【详解】因为对任意12,(0,)x x ∈+∞,有()()()f xy f x f y =+,令x y ==fff =+,得()231f f ==-,所以12f =-, 令3x y ==,则()()()9332f f f =+=-,所以()()612f x f x <--可等价转化为()()61(9)f x f x f <-+, 即()()699f x f x <-,设120x x <<,12,(0,)x x ∈+∞,当1x > 时 ()0f x <,则()()()22211111·x x f x f x f f x f x x x ⎛⎫⎛⎫==+< ⎪ ⎪⎝⎭⎝⎭, 所以()12()f x f x >,所以()f x 在(0,)+∞上为减函数,故由()()699f x f x <-, 得699x x >-,得3x <,又1x >,所以原不等式的解集为(1,3). 故答案为:(1,3) 【点睛】 思路点睛:确定抽象函数单调性解函数不等式的基本思路: 第一步(定性)确定函数在给定区间上的单调性和奇偶性;第二步(转化)将函数不等式转化为不等式类似()()f M f N <等形式;第三步(去)运用函数的单调性“去掉”函数的抽象符号f “”,转化成一般的不等式或不等式组;第四步(求解)解不等式或不等式组确定解集.15.【分析】求出在上的值域再求出在上的值域由可得的范围【详解】所以又所以时因为对任意的存在使所以解得故答案为:【点睛】结论点睛:本题考查不等式的恒成立与有解问题可按如下规则转化:一般地已知函数(1)若总解析:7,2⎡⎫+∞⎪⎢⎣⎭【分析】求出()f x 在[2,2]-上的值域A ,再求出()g x 在[2,2]-上的值域B ,由A B ⊆可得a 的范围. 【详解】2()2f x x x =-2(1)1x =--,[2,2]x ∈-,所以()[1,8]f x ∈-,又0a >,所以[2,2]x ∈-时,()1[21,21]g x ax a a =+∈-++, 因为对任意的[]12,2x ∈-,存在[]22,2x ∈-,使12()()f x g x =,所以211218a a -+≤-⎧⎨+≥⎩,解得72a ≥.故答案为:7,2⎡⎫+∞⎪⎢⎣⎭. 【点睛】结论点睛:本题考查不等式的恒成立与有解问题,可按如下规则转化:一般地,已知函数()[],,y f x x a b =∈,()[],,y g x x c d =∈ (1)若[]1,x a b ∀∈,[]2,x c d ∀∈,总有()()12f x g x <成立,故()()2max min f x g x <; (2)若[]1,x a b ∀∈,[]2,x c d ∃∈,有()()12f x g x <成立,故()()2max max f x g x <; (3)若[]1,x a b ∃∈,[]2,x c d ∃∈,有()()12f x g x <成立,故()()2min min f x g x <; (4)若[]1,x a b ∀∈,[]2,x c d ∃∈,有()()12f x g x =,则()f x 的值域是()g x 值域的子集 .16.【解析】解:当k=0时满足条件当时综上:点睛:定义域为分母在上都不为0注意分母不一定为二次所以先考虑二次项系数为零解析:0k ≤<3. 【解析】 解: 当k=0时,13y =,满足条件 当k 0≠时,24120k k -< 综上:0k 3≤<.点睛:定义域为R ,分母在R 上都不为0,注意分母不一定为二次,所以先考虑二次项系数为零.17.【分析】根据题意分析可得函数为奇函数且结合单调性的定义可得在上为增函数结合(1)以及函数奇偶性的性质分析可得与的的取值范围转化为或或可得的取值范围即可得答案【详解】根据题意满足对任意的都有即函数为奇 解析:[]1,0-【分析】根据题意,分析可得函数()f x 为奇函数且(0)0f =,结合单调性的定义可得()f x 在(0,)+∞上为增函数,结合f (1)0=以及函数奇偶性的性质分析可得()0f x >与()0f x <的x 的取值范围,转化为()010f x x <⎧⎨->⎩或()010f x x >⎧⎨-<⎩或()010f x x =⎧⎨-≠⎩,可得x 的取值范围,即可得答案. 【详解】根据题意,()f x 满足对任意x ∈R 的都有()()f x f x -=-,即函数()f x 为奇函数,则有(0)0f =;又由对任意的1x ,2(0,)x ∈+∞且12x x ≠时,总有1212()()0f x f x x x ->-,即函数()f x 在(0,)+∞上为增函数,若f (1)0=,则在区间(0,1)上,()0f x <,在区间(1,)+∞上,()0f x >, 又由()f x 为奇函数,则在区间(,1)-∞-上,()0f x <,在区间(1,0)-上,()0f x >, 则()0g x 即2()3()5()()011f x f x f x g x x x --==--,即()010f x x <⎧⎨->⎩或()010f x x >⎧⎨-<⎩或()010f x x =⎧⎨-≠⎩,解可得:10x -,即不等式()0g x 的解集为[1-,0]; 故答案为:[]1,0-. 【点睛】本题考查函数的奇偶性与单调性的综合应用,涉及不等式的解法,属于中档题.18.【分析】由分段函数根据单调性求得在的最小值根据求出的最小值将问题转化为解不等式即可得出结果【详解】根据已知当时则当时在处取到最小值当时在处取到最小值所以在时在处取到最小值又因为可知当时在时取到最小值 解析:(,2](0,1]-∞-⋃【分析】由分段函数根据单调性求得()f x 在[0,2)x ∈的最小值,根据(2)2()f x f x +=求出[4,2)x ∈--,()f x 的最小值,将问题转化为min 1()42t f x t≥-解不等式即可得出结果. 【详解】 根据已知,当[0,2)x ∈时,2 1.5,[0,1)()0.5,[1,2)x x x x f x x -⎧-∈⎪=⎨-∈⎪⎩, 则当[0,1)x ∈时,()f x 在0.5x =处取到最小值(0.5)0.25f =-, 当[1,2)x ∈时,()f x 在 1.5x =处取到最小值(1.5)1f =-, 所以()f x 在[0,2)x ∈时在 1.5x =处取到最小值(1.5)1f =-, 又因为(2)2()f x f x +=, 可知当[4,2)x ∈--时, ()f x 在 2.5x =-时取到最小值,且(1.5)2(0.5)4( 2.5)f f f =-=-, 则1( 2.5)(1.5)0.254f f -=⨯=-. 为使[4,2)x ∈--,1()42t f x t≥-恒成立, 需11424t t -≤-,当0t >时,可整理为220t t +-≤, 解得(0,1)t ∈; 当0t <时,可整理为220t t +-≥, 解得(,2]t ∈-∞-. 故答案为(,2](0,1]-∞-⋃. 【点睛】本题考查分段函数的应用,考查函数的单调性,将恒成立问题转化为函数的最值问题是解题的关键,属于中档题.19.【分析】根据新定义可得在区间上有解利用分离变量法即可求出答案【详解】解:设∴在区间上有解即在区间上有解∵令单调递减时单调递增所以所以实数的取值范围是故答案为:【点睛】关键点点睛:此题考查了函数的新定 解析:[)0,+∞【分析】根据新定义可得2x mx m +=在区间()1,1-上有解,利用分离变量法即可求出答案. 【详解】解:设11x -<<,()()()()1111f f f x m --==--,∴2x mx m +=在区间()1,1-上有解,即21x m x=-在区间()1,1-上有解,∵()()()()22212112211121111x x x x x y x x x x x-+----+====-+-----, 令()10,2x t -=∈,12y t t∴=+-,(]0,1t ∈单调递减,[)1,2t ∈时单调递增,所以120y t t=+-≥,所以实数m 的取值范围是[)0,+∞. 故答案为:[)0,+∞. 【点睛】关键点点睛:此题考查了函数的新定义题目,解题的关键是将问题转化为2x mx m +=在区间()1,1-上有解,分离参数求解,意在考查了分析能力、数学运算.20.【分析】结合二次函数的图象与性质按照分类再由分段函数的单调性即可得解【详解】因为函数的图象开口朝下对称轴为且所以当时函数在上不单调符合题意;当时函数在上均单调递增若要使在定义域上不是单调函数则解得故 解析:(),1(2,)-∞+∞【分析】结合二次函数的图象与性质,按照1a <、1a ≥分类,再由分段函数的单调性即可得解. 【详解】因为函数22y x ax =-+的图象开口朝下,对称轴为x a =,且22,?1()+1,?1x ax x f x ax x ⎧-+≤=⎨>⎩,所以当1a <时,函数()f x 在(],1-∞上不单调,符合题意; 当1a ≥时,函数()f x 在(],1-∞,()1,+∞上均单调递增, 若要使()f x 在定义域上不是单调函数,则2121a a -+>+,解得2a >,故2a >符合题意; 综上,实数a 的取值范围是(),1(,)2-∞⋃+∞. 故答案为:(),1(,)2-∞⋃+∞. 【点睛】解决本题的关键是将分段函数不单调转化为两种情况,分类求解.三、解答题21.(1)0,2(2)奇函数(3)(,1)-∞- 【分析】(1)令0x =可求得(0)f ,根据抽象函数的性质得(3)3(1)f f =,然后即可求出(1)f ; (2)以x -取代y ,代入函数满足的等式,可得()()0f x f x +-=,由此可得()f x 是奇函数;(2)根据奇偶性得()2(12)f kxf x <-,再根据(0)f 和(1)f 判断出函数的单调性,化简去掉f 得212kx x <-,得2112k x x ⎛⎫⎛⎫<- ⎪ ⎪⎝⎭⎝⎭,再根据二次函数的性质进行研究.【详解】(1)取0x =,得(0)(0)()f y f f y +=+, 即()(0)()f y f f y =+,(0)0f ∴=,()()()()()()()3(12)1211131f f f f f f f f =+=+=++= 又()36f =,得()316f =,可得()12f =;(2)取y x =-,得(0)[()]()()0f f x x f x f x =+-=+-=移项得()()f x f x -=-∴函数()f x 是奇函数;(3)()f x 是奇函数,且()2(21)0f kx f x +-<在1,32x ⎡⎤∈⎢⎥⎣⎦上恒成立,()2(12)f kx f x ∴<-在1,32x ⎡⎤∈⎢⎥⎣⎦上恒成立,且(0)0(1)2f f =<=;()f x ∴在R 上是增函数,212kx x ∴<-在1,32x ⎡⎤∈⎢⎥⎣⎦上恒成立, 2112k x x ⎛⎫⎛⎫∴<- ⎪ ⎪⎝⎭⎝⎭在1,32x ⎡⎤∈⎢⎥⎣⎦上恒成立,令211()2g x x x ⎛⎫⎛⎫=- ⎪ ⎪⎝⎭⎝⎭2111x ⎛⎫=-- ⎪⎝⎭.由于132x ≤≤, 1123x∴≤≤. min ()(1)1g x g ∴==-,1k ∴<-,即实数k 的取值范围为(,1)-∞-. 【点睛】关键点点睛:赋值法是解决抽象函数求函数值的常用方法,不等式恒成立可利用奇函数及函数的单调性转化为脱去“f ”的不等式,利用分离参数法求解,属于中档题.22.(1)12m n =⎧⎨=⎩;(2)证明见解析;(3)1[5]2,. 【分析】(1)二次函数()f x 的对称轴为1x =,得到()f x 为[]13,上的增函数, 从而得()()11335f n m f m n ⎧=-=⎪⎨=+=⎪⎩,解得12m n =⎧⎨=⎩ 得解 (2)()()22f x g x x x x==+-,设任意的12)x x ∈+∞,且12x x <,用单调性的定义证明即可.(3)分离变量得2112()2()122x x k -=+,令 1()2x t =,换元得2112()22k t =-+ 利用函数在1[2]2,上单调递增,求得函数最大小值得解【详解】(1)因为0m >,二次函数()f x 的对称轴为1x =, 所()f x 为[]13,上的增函数, 从而得()()11335f n m f m n ⎧=-=⎪⎨=+=⎪⎩,解得12m n =⎧⎨=⎩,所以()222f x x x =-+(2)()()22f x g x x x x==+-,设任意的12)x x ∈+∞,且12x x <, 则()()22121122(2)(2)g x g x x x x x -=+--+- ()21x x =-+2122()x x -=()21122(1)x x x x --=()()2112122x x x x x x --12211202x x x x x x ≤∴-<>>,,所以()()1221200x x g x g x ->->,, ()()12g x g x ∴> 所以g ()2x x x=+—2为)+∞上的增函数. (3)因为函数(20)()2x xF x g k =-⋅=, 在[]11x ∈-,上能成立即222202xxxk +--⋅= 在[]11x ∈-,有解 整理得2112()2()122x x k -=+ 令 1()2xt =,因为[]111[2]2x t ∈-∴∈,,, 221122(2221)k t t t =--++=在1[2]2,上单调递增,12t ∴=,时min 12k =,2,t =时max 5k =,所以k 的取值范围为1[5]2,【点睛】利用函数的单调性求解函数最值的步骤: (1)判断或证明函数的单调性; (2)计算端点处的函数值; (3)确定最大值和最小值.23.(1)证明见解析;(2)12x <<. 【分析】(1)计算出(1)f 后由单调性可证;(2)求得(2)2f =,利用定义不等式可化为([(32)(1)](2)f x x f x --<,然后由单调性求解. 【详解】解(1)令1a b ==,代入条件式子得(1)1f =;()f x 在R +上单调递增∴当1x >时,()(1)1f x f >=,得证. (2)令1,22a b ==,代入①式得1(1)()(2)1(2)22f f f f =+-⇒= (32)(1)()2f x f x f x ∴-+-<+ (32)(1)()(2)f x f x f x f ⇔-+-<+320,10,0,[(32)(1)]1(2)1x x x f x x f x ->⎧⎪->⎪⇔⎨>⎪⎪--+<+⎩11121(32)(1)223x x x x x x x ⎧>⎧>⎪⎪⇔⇔⇔<<⎨⎨--<<<⎪⎪⎩⎩.【点睛】关键点点睛:本题考查抽象函数的单调性的应用,解关于抽象函数的不等式,关键是利用函数的定义,把不等式转化为12()()f x f x <形式,然后由单调性求解.转化时注意函数的定义域.24.(1)最大值为37,最小值为1;(2)(][),55,-∞-+∞;(3)()22710,52,552710,5a a g a a a a a +≤-⎧⎪=--<<⎨⎪-≥⎩,()max 2g a =.【分析】(1)利用二次函数的基本性质可求得函数()f x 在区间[]5,5-上的最大值和最小值; (2)分析二次函数()y f x =图象的开口方向和对称轴,然后对函数()y f x =在区间上为增函数或减函数两种情况分类讨论,结合题意可得出关于实数a 的不等式,进而可求得实数a 的取值范围;(3)对实数a 的取值进行分类讨论,分析二次函数()f x 在区间[]5,5-上的单调性,进而可求得()g a 关于a 的表达式,并求出a 在不同取值下()g a 的取值范围,由此可得出()g a 的最大值.【详解】(1)当1a =-时,()()222211f x x x x =-+=-+.所以,函数()f x 在区间[]5,1-上为减函数,在区间[]1,5上为减函数, 当[]5,5x ∈-时,()()min 11f x f ==,()517f =,()537f -=,所以,()()max 537f x f =-=;(2)二次函数()222f x x ax =++的图象开口向上,对称轴为直线x a =-.①若函数()y f x =在区间[]5,5-上是增函数,则5a -≤-,解得5a ≥; ②若函数()y f x =在区间[]5,5-上是减函数,则5a -≥,解得5a ≤-. 综上所述,实数a 的取值范围是(][),55,-∞-+∞;(3)二次函数()222f x x ax =++的图象开口向上,对称轴为直线x a =-. ①当5a -≤-时,即当5a ≥时,函数()y f x =在区间[]5,5-上为增函数, 则()()52710g a f a =-=-,此时()23g a ≤-; ②当55a -<-<时,即当55a -<<时,函数()y f x =在区间[)5,a --上为减函数,在区间(],5a -上为增函数, 则()()22g a f a a =-=-,此时()(]2223,2g a a =-∈-;③当5a -≥时,即当5a ≤-时,函数()y f x =在区间[]5,5-上为减函数,则()()52710g a f a ==+,此时()271023g a a =+≤-.综上所述,()22710,52,552710,5a a g a a a a a +≤-⎧⎪=--<<⎨⎪-≥⎩,()max 2g a =.【点睛】方法点睛:“动轴定区间”型二次函数最值的方法: (1)根据对称轴与区间的位置关系进行分类讨论;(2)根据二次函数的单调性,分别讨论参数在不同取值下的最值,必要时需要结合区间端点对应的函数值进行分析;(3)将分类讨论的结果整合得到最终结果. 25.(1)答案见详解;(2)0a <. 【分析】(1)根据定义法证明函数单调性即可; (2)先分离参数,即转化为212x x a≤+在()0,∞+上恒成立,只需求二次函数值域,即得结果.【详解】解:(1)任取120x x <<,则12120,0x x x x +>-<,()1f x ()()()222212*********=1x x x x x x x x f a x a ⎛⎫⎛⎫-+--+=-=+-< ⎪ ⎭-⎪⎝⎝⎭故()()12f x f x <,故()f x 在()0,∞+上单调递增;(2)()20f x x +≥,即2120x x a -++≥,即212x x a ≤+在()0,∞+上恒成立, 而二次函数()()22211,0y x x x x =+=+->的值域为()0+∞,,故10a≤,故0a <. 所以a 的取值范围为0a <.【点睛】对于函数恒成立或者有解求参的问题,常用方法有:(1)分离参数法:参变分离,转化为函数最值问题; (2)构造函数法:直接求函数最值,使得函数最值大于或者小于0;或者分离成两个函数,使得一个函数恒大于或小于另一个函数.(3)数形结合法:画出函数图像,结合图象,根据关键点处的大小关系得到结果.26.(1)21()2f x x x =-+;(2)存在,40m n =-⎧⎨=⎩. 【分析】(1)由(1)(1)f x f x +=-,得到20b a +=,再由()f x x ≤恒成立,列出方程组,求得,a b 的值,得到函数的解析式;(2)假设存在()m n m n <、,根据题意得到[],m n 必在对称轴的左侧,且()f x 在[],m n 单调递增,列出方程组,即可求解.【详解】(1)因为22(1)(1)(1)(2)f x a x b x ax a b x a b +=+++=++++,22(1)(1)(1)(2)f x a x b x ax a b x a b -=-+-=-+++,由()()11f x f x +=-可知,20a b +=,由于对一切x ∈R ,都有()f x x ≤即2()(1)0f x x ax b x -=+-≤,于是由二次函数的性质可得()()201400*a b a <⎧⎪⎨∆=--⨯≤⎪⎩ 由()*知()210b -≤,而()210b -≥,所以()210b -=即1b =, 将1b =代入20a b +=得12a =-, 所以21()2f x x x =-+;(2)因为221111()(1)2222f x x x x =-+=--+≤, 若存在满足条件的实数(),m n m n <则必有132n ≤,解得16n ≤, 又因为()f x 在(],1-∞上单调递增,所以()f x 在[],m n 上单调递增.所以()()33f m m f n n ⎧=⎪⎨=⎪⎩,22132132m m m n n n ⎧-+=⎪⎪⎨⎪-+=⎪⎩,解得40m n =-⎧⎨=⎩或04m n =⎧⎨=-⎩, 因为m n <,所以40m n =-⎧⎨=⎩, 故存在40m n =-⎧⎨=⎩满足条件. 【点睛】关键点点睛:本题主要考查了二次函数的图象与性质的应用,其中解答中熟记二次函数的图象与性质,以及根据函数的值域判断出函数在[,]m n 上的单调性是解答的关键,着重考查了分析问题和解答问题的能力,属于中档试题.。
一、选择题1.令[]x 表示不超过x 的最大整数,例如,[]3.54-=-,[]2.12=,若函数()[][]32f x x x =-,则函数()f x 在区间[]0,2上所有可能取值的和为( )A .1B .2C .3D .42.函数()f x 的定义域为D ,若对于任意的12,x x D ∈,当12x x <时,都有()()12f x f x ≤,则称函数()f x 在D 上为非减函数.设函数()f x 在[]0,1上为非减函数,且满足以下三个条件:①()00f =;②()132x f f x ⎛⎫= ⎪⎝⎭;③()()11f x f x -=-,则12017f ⎛⎫⎪⎝⎭等于( ) A .116B .132C .164D .11283.以下说法正确的有( )(1)若(){},4A x y x y =+=,(){},21B x y x y =-=,则{}3,1AB =;(2)若()f x 是定义在R 上的奇函数,则()00f =; (3)函数1y x=的单调区间是()(),00,-∞⋃+∞; (4)在映射:f A B →的作用下,A 中元素(),x y 与B 中元素()1,3x y --对应,则与B 中元素()0,1对应的A 中元素是()1,2 A .1个B .2个C .3个D .4个4.已知函数223,()11,x x x af x ax x a⎧--≥⎪=⎨-<⎪⎩,对于任意两个不相等的实数1x ,2x R ∈,都有不等式()()()12120x x f x f x -->⎡⎤⎣⎦成立,则实数a 取值范围是( ) A .[)3,+∞B .[]0,3C .[]3,4D .[]2,45.已知定义域为(0,)+∞的函数()f x 满足:()()()1f xy f x f y =++,当1x >时,()1f x <-,且128f ⎛⎫= ⎪⎝⎭,则不等式()(3)3f x f x +->-的解集为( )A .(0,3)B .(1,2)C .(1,3)D .(0,1)(2,3)6.定义,min(,),a a ba b b a b≤⎧=⎨>⎩,例如:min(1,2)2--=-,min(2,2)2=,若2()f x x =,2()46g x x x =--+,则()min((),())F x f x g x =的最大值为( )A .1B .8C .9D .107.已知的2()(1)()f x x x x ax b =+++图象关于直线1x =对称,则()f x 的值域为( ) A .[]4,-+∞B .9,4⎡⎫-+∞⎪⎢⎣⎭C .9,44⎡⎤-⎢⎥⎣⎦D .[]0,48.已知定义在R 上的函数()2||·x f x x e =, (a f log =, 312b f log ⎛=⎫ ⎪⎝⎭,()ln3c f = ,则a ,b ,c 的大小关系是( )A .c a b >>B .b c a >>C .a b c >>D .c b a >>9.若函数2()34f x x x =--的定义域为[]0m ,,值域为2544⎡⎤--⎢⎥⎣⎦,,则m 的取值范围是( ) A .3,42⎡⎤⎢⎥⎣⎦B .3,32⎡⎤⎢⎥⎣⎦C .(]0,4 D .3,2⎡⎫+∞⎪⎢⎣⎭10.若函数()f x =0,,则实数m 的取值范围是( ) A .()1,4 B .()(),14,-∞⋃+∞C .(][)0,14,+∞ D .[][)0,14,+∞11.已知函数f (x )(x ∈R )满足f (x )=f (2-x ),且对任意的x 1,x 2∈(-∞,1](x 1≠x 2)有(x 1-x 2)(f (x 1)-f (x 2))<0.则( ) A .()()()211f f f <-< B .()()()121f f f <<- C .()()()112f f f <-<D .()()()211f f f <<-12.若函数32()21f x ax x x =+++在(1,2)上有最大值无最小值,则实数a 的取值范围为( ) A .34a >-B .53a <-C .5334a -<<- D .5334a -≤≤- 二、填空题13.设函数()y f x =的定义域为R ,满足(1)2()f x f x +=,且当(0,1]x ∈时,()(1)f x x x =-.若对任意(,]x m ∈-∞,都有3()4f x >-,则m 的取值范围是_____.14.若函数f (x )=(x +a )(bx +a )(常数a ,b ∈R)是偶函数,且它的值域为(,1]-∞,则a=_____.15.函数y x =+______.16.若函数()22()42221f x x p x p p =----+在区间[]1,1-上至少存在一个实数c ,使()0f c >,则实数p 的取值范围为________.17.函数()()02f x x =-的定义域为______.18.若对任意x ,y R ∈都有()()()f x y f x f y +=⋅,且()12f =,则()()()()()()246135f f f f f f +++⋅⋅⋅()()()()()()201020122014200920112013f f f f f f +++的值是______. 19.已知(6)4,(1)(),(1)a x a x f x ax x --<⎧=⎨≥⎩是(),-∞+∞上的增函数,则实数a 的取值范围是_________. 20.函数()f x =的单调递增区间为__________.三、解答题21.已知函数()243f x x x =-+.(1)若函数()f x 在区间[]1,2t t ++上是单调的,求t 的取值范围;(2)在区间[]1,1-上,()y f x =的图象恒在22y x m =+-的图象上方,求实数m 的取值范围.22.定义在()0,∞+的函数()f x ,满足()()()f mn f m f n =+,且当1x >时,()0f x >.(1)求证:()()m f f m f n n ⎛⎫=- ⎪⎝⎭(2)讨论函数()f x 的单调性,并说明理由; (3)若()21f =,解不等式()()333f x f x +->.23.已知函数()y f u =的定义域为A ,值域为B .如果存在函数()u g x =,使得函数[]()y f g x =的值域仍为B ,则称()u g x =是函数()y f u =的一个“等值域变换”.(1)若函数2()1y f u u ==+,1()u g x x x==+(x >0),请判断()u g x =是不是函数()y f u =的一个“等值域变换”?并说明理由;(2)已知单调函数()y f u =的定义域为{}12A u u =≤≤,若221()1x ax u g x x x ++==++是函数函数()y f u =的一个“等值域变换”,求实数a 的取值范围.24.已知二次函数 ()f x 的值域为[4,)-+∞,且不等式0( )f x <的解集为(1,3)-. (1)求()f x 的解析式;(2)若对于任意的[2,2]x ∈-,都有2() f x x m >+恒成立,求实数m 的取值范围. 25.已知二次函数()2f x ax bx =+满足()20f =,且方程()f x x =有两个相等实根.(1)求()f x 的解析式;(2)是否存在实数(),m n m n <,使()f x 的定义域是[],m n ,值域是[]3,3m n .若存在,求,m n 的值,若不存在,请说明理由.26.已知二次函数2()1(,)f x ax bx a b R =++∈,x ∈R .(1)若函数()f x 的最小值为(1)0f -=,求()f x 的解析式,并写出单调区间; (2)在(1)的条件下,()f x x k >+在区间[-3,-1]上恒成立,试求k 的取值范围.【参考答案】***试卷处理标记,请不要删除一、选择题 1.B 解析:B 【分析】根据[]x 表示不超过x 的最大整数,分5种情况讨论,分别求出[]x 和[2]x 的值,即可以计算()3[][2]f x x x =-的函数值,相加即可得答案. 【详解】因为[]x 表示不超过x 的最大整数,所以: 当102x <时,有021x <,则[]0x =,则3[]0x =,[2]0x =,此时()0f x =, 当112x <时,有122x <,则[]0x =,则3[]0x =,[2]1x =,此时()1f x =-, 当312x <时,有223x <,则[]1x =,则3[]3x =,[2]2x =,此时()1f x =, 当322x <时,有324x <,则[]1x =,则3[]3x =,[2]3x =,此时()0f x =, 当2x =时,24=x ,则[]2x =,则3[]6x =,[2]4x =,此时()2f x =, 函数()f x 在区间[0,2]上所有可能取值的和为011022-+++=; 故选:B . 【点睛】结论点睛:分类讨论思想的常见类型(1)问题中的变量或含有需讨论的参数的,要进行分类讨论的; (2)问题中的条件是分类给出的;(3)解题过程不能统一叙述,必须分类讨论的;(4)涉及几何问题时,由几何元素的形状、位置的变化需要分类讨论的.2.D解析:D 【分析】由③可得()11f =,1122f ⎛⎫=⎪⎝⎭,然后由②可得111113232n n n f f -⎛⎫⎛⎫== ⎪ ⎪⎝⎭⎝⎭,111232n n f -⎛⎫= ⎪⋅⎝⎭,然后结合()f x 在[0,1]上非减函数可得答案. 【详解】由③得(10)1(0)1f f -=-=,111122f f ⎛⎫⎛⎫-=- ⎪ ⎪⎝⎭⎝⎭,∴()11f =,1122f ⎛⎫= ⎪⎝⎭. 由②得()12201111111111323232322n n n n n n f f f f f --⎛⎫⎛⎫⎛⎫⎛⎫======⎪ ⎪ ⎪ ⎪⎝⎭⎝⎭⎝⎭⎝⎭, 12231011111111232232232232n n n n nf f f f ----⎛⎫⎛⎫⎛⎫⎛⎫===== ⎪ ⎪ ⎪ ⎪⋅⋅⋅⋅⎝⎭⎝⎭⎝⎭⎝⎭. ∵761113201723<<⨯且61123128f ⎛⎫= ⎪⨯⎝⎭,7113128f ⎛⎫= ⎪⎝⎭. 又()f x 在[0,1]上非减函数,∴112017128f ⎛⎫= ⎪⎝⎭, 故选:D 【点睛】关键点睛:解答本题的关键是由条件得到111113232n n n f f -⎛⎫⎛⎫==⎪ ⎪⎝⎭⎝⎭,111232n n f -⎛⎫= ⎪⋅⎝⎭. 3.B解析:B 【分析】 根据AB 为点集,可判断(1)的正误;根据奇函数的性质,可判断(2)的正误;分解反比例函数的单调性,可判断(3)的正误;根据映射的概念,可判断(4)的正误. 【详解】 (1)若(){},4A x y x y =+=,(){},21B x y x y =-=,则{}(3,1)AB =,所以(1)错误;(2)若()f x 是定义在R 上的奇函数,则()00f =,所以(2)正确; (3)函数1y x=的单调区间是(),0-∞和()0,∞+,所以(3)错误; (4)设A 中元素为(,)x y ,由题意可知1031x y -=⎧⎨-=⎩,解得12x y =⎧⎨=⎩,所以A 中元素是()1,2,所以(4)正确;所以正确命题的个数是2个, 故选:B. 【点睛】关键点点睛:该题考查的是有关命题的真假判断,在解题的过程中,关键点是要熟练掌握基础知识,此类题目综合性较强,属于中档题目.4.C解析:C 【分析】根据题意,可得()f x 在R 上为单调递增函数,若x a ≥时为增函数,则3a ≥,若x a <时为增函数,则0a >,比较x=a 处两函数值的大小,即可求得答案, 【详解】因为()()()12120x x f x f x -->⎡⎤⎣⎦,所以()f x 在R 上为单调递增函数, 当x a ≥时,2()23f x x x =--的图象如图所示:因为()f x 在R 上为单调递增函数,所以3a ≥, 当x a <时,()11f x ax =-为增函数,所以0a >, 且在x=a 处222311a a a --≥-,解得4a ≤, 综上34a ≤≤, 故选:C. 【点睛】解题的关键是熟悉分段函数单调性的求法,根据单调性,先分析分段点两侧单调性,再比较分段点处函数值的大小即可,考查推理分析,化简计算的能力,属中档题.5.D解析:D 【分析】任设120x x <<,则211x x >,21()1x f x <-,根据定义可得()f x 在(0,)+∞上为递减函数,令1x y ==得(1)1f =-,令18,8x y ==可得(8)4f =-,可得(2)2f =-,将不等式化为[(3)](2)f x x f ->,利用单调性和定义域可解得结果. 【详解】任设120x x <<,则211x x >,21()1x f x <-,所以()()()()222111111111x x f x f x f x f f x f x x x ⎛⎫⎛⎫=⋅=++<-+= ⎪ ⎪⎝⎭⎝⎭, 所以()f x 在(0,)+∞上为递减函数,在()()()1f xy f x f y =++中,令1x y ==得(1)2(1)1f f =+,得(1)1f =-,令18,8x y ==得11(1)(8)(8)()188f f f f =⨯=++,所以(8)1124f =---=-, 又(8)(2)(4)1f f f =++(2)(2)(2)113(2)2f f f f =++++=+4=-,所以(2)2f =-,()(3)3f x f x +->-可化为()(3)12(2)f x f x f +-+>-=,所以[(3)](2)f x x f ->,所以030(3)2x x x x >⎧⎪->⎨⎪-<⎩,解得01x <<或23x <<.故选:D 【点睛】关键点点睛:利用定义判断函数的单调性以及求出(2)f 是解题关键.6.C解析:C 【分析】根据定义确定()F x 的解析式及单调性后可得最大值. 【详解】由2246x x x <--+得2230x x +-<,31x -<<,所以()22,3146,31x x F x x x x x ⎧-<<=⎨--+≤-≥⎩或,所以()F x 在(,3)-∞-和(0,1)上都是增函数,在(3,0)-和(1,)+∞上都是减函数,(3)9F -=,(1)1F =,所以max ()9F x =. 故选:C . 【点睛】关键点点睛:本题考查求函数的最大值.解题关键是根据新函数定义确定新函数的解析式,单调性.结合单调性易得最值.7.B解析:B 【分析】结合函数对称性与解析式可知1,0-是零点,则2,3也是零点,由对应关系求出解析式,利用换元法和二次函数性质即可求解 【详解】因为函数()()()21f x x x x ax b =+++有两个零点1-,0,又因为其图象关于直线1x =对称,所以2,3也是函数()f x 的两个零点,即()()()()123f x x x x x =+⋅--,所以()()()22223f x x x x x =---,令()222111t x x x =-=--≥-,则()()223933124y t t t t t t ⎛⎫=-=-=--- ⎭≥⎪⎝,所以94y ≥-,即()f x 的值域为9,4∞⎡⎫-+⎪⎢⎣⎭. 故选:B 【点睛】关键点睛:本题考查函数对称性的应用,换元法的应用,函数值域的求解,解题关键在于:(1)若函数对称轴为x a =,则有()()f a x f a x +=-; (2)换元法求解函数值域必须注意新元取值范围.8.A解析:A 【分析】可看出()f x 在(0,)+∞上单调递增,且得出3(log 2)b f =,并且可得出33ln 3log log 2>,根据增函数的定义即可得出a ,b ,c 的大小关系.【详解】0x >时,2()x f x x e =是增函数,且()()f x f x -=,33(log 2)(log 2)b f f ∴=-=,33330log 1log 2log log 31=<<<=,ln3ln 1e >=,∴33ln 3log log 2>>, ∴33(ln 3)(log (log 2)f f f >>,c a b ∴>>. 故选:A . 【点睛】解答比较大小问题,常见思路有两个:一是判断出各个数值所在区间(一般是看三个区间()()(),0,0,1,1,-∞+∞ );二是利用函数的单调性直接解答;数值比较多的比大小问题也可以两种方法综合应用.9.B解析:B【分析】求出(0)4f =-,再计算出最小值为32524f ⎛⎫=- ⎪⎝⎭,然后求出()4f m =-的值后可得m 的范围. 【详解】2325()24f x x ⎛⎫=-- ⎪⎝⎭,()f x 在3,2⎛⎫-∞ ⎪⎝⎭上递减,在3,2⎛⎫+∞ ⎪⎝⎭上递增, (0)4f =-,又32524f ⎛⎫=- ⎪⎝⎭,所以32m ≥,由2()344f m m m =--=-解得0m =或3m =,因此332m ≤≤. 故选:B . 【点睛】方程点睛:本题考查二次函数的性质,掌握其对称轴、单调性是解题关键.由此可得二次函数2()f x ax bx c =++在区间[,]m n 上的最值求法: 设0a >,函数的对称轴0x x =(02bx a=-), 当0x m <时,min ()()f x f m =,0m x n ≤≤时,min 0()()f x f x =,0x n >时,min ()()f x f n =,当02m n x +≤时,max ()()f x f n =,当02m nx +>时,max ()()f x f m =. 0a <类似讨论.10.D解析:D 【分析】令t =()0,t ∈+∞()0,+∞,记函数()22(2)1g x mx m x =+-+的值域为A ,则()0,A +∞⊆,进而分0m =和0m ≠两种情况,分别讨论,可求出m 的取值范围. 【详解】令t =1y t=的值域为0,,根据反比例函数的性质,可知()0,t ∈+∞()0,+∞, 记函数()22(2)1g x mx m x =+-+的值域为A ,则()0,A +∞⊆,若0m =,则()41g x x =-+,其值域为R ,满足()0,A +∞⊆;若0m ≠,则00m >⎧⎨∆≥⎩,即()24240m m m >⎧⎪⎨--≥⎪⎩,解得4m ≥或01m <≤. 综上所述,实数m 的取值范围是[][)0,14,+∞.故选:D.11.B解析:B 【分析】由已知得函数f (x )图象关于x=1对称且在(-∞,1]上单调递减,在(1,+∞)上单调递增,从而可判断出大小关系. 【详解】解:∵当x 1,x 2∈(-∞,1](x 1≠x 2)时有(x 1-x 2)(f (x 1)-f (x 2))<0, ∴f (x )在(-∞,1]上单调递减, ∵f (x )=f (2-x ),∴函数f (x )的图象关于x=1对称,则f (x )在∈(1,+∞)上单调递增, ∴f (-1)=f (3)>f (2)>f (1) 即f (-1)>f (2)>f (1) 故选B . 【点睛】本题考查函数的对称性及单调性的应用,解题的关键是函数性质的灵活应用.12.C解析:C 【详解】分析:函数()3221f x ax x x =+++在()1,2上有最大值无最小值,则极大值在()1,2之间,一阶导函数有根在()1,2,且左侧函数值小于0,右侧函数值大于0,列不等式求解 详解:f ′(x )=3ax 2+4x +1,x ∈(1,2).a =0时,f ′(x )=4x +1>0,函数f (x )在x ∈(1,2)内单调递增,无极值,舍去. a ≠0时,△=16﹣12a . 由△≤0,解得43a ≥,此时f ′(x )≥0,函数f (x )在x ∈(1,2)内单调递增,无极值,舍去.由△>0,解得a 43<(a ≠0),由f ′(x )=0,解得x1=,x223a-+=.当403a <<时,x 1<0,x 2<0,因此f ′(x )≥0,函数f (x )在x ∈(1,2)内单调递增,无极值,舍去.当a <0时,x 1>0,x 2<0,∵函数f (x )=ax 3+2x 2+x +1在(1,2)上有最大值无最小值, ∴必然有f ′(x 1)=0,∴12433aa---<<2,a <0.解得:53-<a 34-<. 综上可得:53-<a 34-<. 故选:C .点睛:极值转化为最值的性质:若()[]f x x a,b ∈在上有唯一的极小值,且无极大值,那么极小值为()f x 的最小值;若()[]f x x a,b ∈在上有唯一的极大值,且无极小值,那么极大值为()f x 的最大值;二、填空题13.【分析】由得得分段求解析式结合图象可得m 的取值范围【详解】时时;时;时;当时由解得或若对任意都有则故答案为:【点睛】本题考查分段函数的解析式和最值特征考查函数的图象以及一元二次不等式的解法解题的关键解析:9(,)4-∞ 【分析】由(1)2()f x f x +=,得()2(1)f x f x =-,得分段求解析式,结合图象可得m 的取值范围. 【详解】(1)2()f x f x +=,()2(1)f x f x ∴=-,(0,1]x ∈时,1()(1)[,0]4f x x x =-∈-,(1,2]x ∴∈时,1(0,1],()2x f x -∈=1(1)2(1)(2),02f x x x ⎡⎤-=--∈-⎢⎥⎣⎦;(2,3]x ∴∈时,1(1,2],()2(1)4(2)(3)[1,0]x f x f x x x -∈=-=--∈-; (3,4]x ∴∈时,1(2,3],()2(1)8(3)(4)[2,0]x f x f x x x -∈=-=--∈-;当(2,3]x ∈时,由34(2)(3)4x x --=-,解得114x =或94x =,若对任意(,]x m ∈-∞,都有3()4f x >-,则94m <. 故答案为:9,4⎛⎫-∞ ⎪⎝⎭. 【点睛】本题考查分段函数的解析式和最值特征,考查函数的图象,以及一元二次不等式的解法,解题的关键点是可借助函数图象直观性找到解题思路.14.【分析】根据函数f(x)=(x +a)(bx +a)(常数ab ∈R)是偶函数利用得到进而得到或然后分类讨论即可求解【详解】函数f(x)=(x +a)(bx +a)(常数ab ∈R)是偶函数明显可知该函数定义域 解析:±1【分析】根据函数f (x )=(x +a )(bx +a )(常数a ,b ∈R)是偶函数,利用()()f x f x -=,得到(1)0a b +=,进而得到0a =或1b =-,然后,分类讨论即可求解【详解】函数f (x )=(x +a )(bx +a )(常数a ,b ∈R)是偶函数,明显可知,该函数定义域为x ∈R ,令1x =和1x =-得(1)(1)()f a b a =++(1)(1)()f a a b =-=--,得22a b ab a a ab a b +++=--+⇒a ab ab a +=--(1)0a b ⇒+=,可得0a =或1b =-;若0a =,则2()f x bx =,若0b >,不满足()f x 的值域为(,1]-∞,0b =,明显不成立,0b <时,不满足()f x 的值域为(,1]-∞,所以,0a =时,不符题意;若1b =-时,22()()()f x x a a x a x =+-=-,由于20x -≤,则2()f x a ≤,所以,21a =,求得1a =±故答案为:±1 【点睛】关键点睛:解题的关键在于,利用()()f x f x -=,得到(1)0a b +=,然后,分别讨论0a =和1b =-两种情况进行分类讨论,主要考查学生分类讨论的思想,难度属于中档题 15.【分析】利用换元法将函数换元构造出新函数由新函数的定义域结合二次函数的性质求出最值即可得到值域【详解】设则所以原函数可化为:由二次函数性质当时函数取最大值2由性质可知函数无最小值所以值域为:故答案为 解析:(],2-∞【分析】利用换元法将函数换元构造出新函数,由新函数的定义域结合二次函数的性质求出最值即可得到值域.【详解】设)0t t =≥,则21x t =-, 所以原函数可化为:()2210y t t t =-++≥,由二次函数性质,当1t =时,函数取最大值2,由性质可知函数无最小值, 所以值域为:(],2-∞. 故答案为:(],2-∞. 【点睛】本题考查换元法求函数值域,当函数解析式中含有根式时,一般考虑换元法,用换元法时要注意一定写出新变量数的取值范围.16.【分析】直接计算需分多种情况讨论故先求题干的否定即对于区间上任意一个x 都有只需满足列出不等式组求解即可得答案【详解】函数在区间上至少存在一个实数使的否定为:对于区间上任意一个x 都有则即整理得解得或所解析:3(3,)2-【分析】直接计算,需分多种情况讨论,故先求题干的否定,即对于区间[]1,1-上任意一个x ,都有()0f x ≤,只需满足(1)0(1)0f f ≤⎧⎨-≤⎩,列出不等式组,求解即可得答案.【详解】函数()f x 在区间[]1,1-上至少存在一个实数c ,使()0f c >的否定为:对于区间[]1,1-上任意一个x ,都有()0f x ≤,则(1)0(1)0f f ≤⎧⎨-≤⎩,即2242(2)21042(2)210p p p p p p ⎧----+≤⎨+---+≤⎩, 整理得222390210p p p p ⎧+-≥⎨--≥⎩,解得32p ≥或3p ≤-, 所以函数()f x 在区间[]1,1-上至少存在一个实数c ,使()0f c >的实数p 的取值范围是3(3,)2-.故答案为:3(3,)2- 【点睛】本题考查二次方程根的分布与系数的关系,解题的要点在于求解题干的否定,再求得答案,考查分析理解,求值计算的能力,属中档题.17.且【分析】由中根式内部的代数式大于等于00指数幂的底数不为0联立不等式组求解【详解】由解得且x≠2∴函数的定义域是】且即答案为】且【点睛】本题考查函数的定义域及其求法是基础题解析:{|1x x ≥-且}2x ≠ 【分析】由中根式内部的代数式大于等于0,0指数幂的底数不为0,联立不等式组求解. 【详解】 由1020x x +≥⎧⎨-≠⎩ ,解得1x ≥-且x≠2.∴函数()()02f x x =-的定义域是】{|1x x ≥-且}2x ≠.即答案为】{|1x x ≥-且}2x ≠ 【点睛】本题考查函数的定义域及其求法,是基础题.18.2014【分析】令得利用赋值法进行求解利用即可的值【详解】对任意的都有且令则故答案为:2014【点睛】本题主要考查函数值的计算利用赋值法是解决抽象函数的常用方法解析:2014 【分析】 令1y =,得(1)2()f x f x +=,利用赋值法进行求解.利用(1)2()f x f x +=,即可()()()()()()246135f f f f f f +++⋅⋅⋅()()()()()()201020122014200920112013f f f f f f +++的值. 【详解】对任意的x ,y R ∈都有()()()f x y f x f y +=,且(1)2f =,∴令1y =,则(1)()(1)2()f x f x f f x +==,∴(1)2()f x f x +=, ∴(2)(4)(6)(2012)(2014)222210072014(1)(3)(5)(2011)(2013)f f f f f f f f f f +++⋯++=++⋯+=⨯=. 故答案为:2014. 【点睛】本题主要考查函数值的计算,利用赋值法是解决抽象函数的常用方法.19.【分析】根据分段函数的单调性在各个分段上递增且在衔接点处也要递增列式即可得解【详解】由是上的增函数则:解得故答案为:【点睛】本题考查了分段函数单调性问题考查了一次函数的单调性属于中档题求分段函数递增 解析:[1,6)【分析】根据分段函数的单调性,在各个分段上递增,且在衔接点处也要递增,列式即可得解. 【详解】由(6)4,(1)(),(1)a x a x f x ax x --<⎧=⎨≥⎩是(),-∞+∞上的增函数,则:60065a a a a ->⎧⎪>⎨⎪-≤⎩,解得16a ≤<,故答案为:[1,6). 【点睛】本题考查了分段函数单调性问题,考查了一次函数的单调性,属于中档题. 求分段函数递增(递减)要注意以下两点: (1)在各个分段上分别递增(递减);(2)在衔接点处也要递增(递减),此处为易错点.20.【分析】先求出函数的定义域在利用复合函数单调性得解【详解】因为或所以函数的定义域为由在上单减在单增由复合函数单调性质得函数在单增故答案为:【点睛】复合函数单调性同增异减注意定义域属于基础题 解析:(,1)-∞-【分析】先求出函数的定义域,在利用复合函数单调性得解. 【详解】因为22303x x x -->⇒>或1x <- 所以函数的定义域为(,1)(3,)-∞-+∞由223t x x =--在(,1)-∞-上单减,在(3,)+∞单增由复合函数单调性质得函数()f x =在(,1)-∞-单增故答案为:(,1)-∞- 【点睛】复合函数单调性“同增异减”,注意定义域.属于基础题三、解答题21.(1)(][),01,-∞⋃+∞;(2) 【分析】(1)分函数()f x 在区间[]1,2t t ++上单调递增和单调递减两种情况讨论,可得出关于实数t 的不等式,由此可解得实数t 的取值范围;(2)由题意可得出24322x x x m -+>+-对任意的[]1,1x ∈-恒成立,利用参变量分离法可得出265m x x <-+,利用二次函数求出函数()265g x x x =-+在区间[]1,1-上的最小值,由此可得出实数m 的取值范围. 【详解】(1)二次函数()243f x x x =-+的图象开口向上,对称轴为直线2x =.①若函数()f x 在区间[]1,2t t ++上单调递增,则12t +≥,解得1t ≥; ②若函数()f x 在区间[]1,2t t ++上单调递减,则22t +≤,解得0t ≤. 综上所述,实数t 的取值范围是(][),01,-∞⋃+∞;(2)由题意可得出24322x x x m -+>+-对任意的[]1,1x ∈-恒成立, 则265m x x <-+对任意的[]1,1x ∈-恒成立,令()()226534g x x x x =-+=--,则函数()g x 在区间[]1,1-上单调递减,所以,()()min 10g x g ==,0m ∴<. 因此,实数m 的取值范围是(),0-∞. 【点睛】结论点睛:利用参变量分离法求解函数不等式恒(能)成立,可根据以下原则进行求解: (1)x D ∀∈,()()min m f x m f x ≤⇔≤; (2)x D ∀∈,()()max m f x m f x ≥⇔≥; (3)x D ∃∈,()()max m f x m f x ≤⇔≤; (4)x D ∃∈,()()min m f x m f x ≥⇔≥.22.(1)见解析;(2)见解析;(3)3023x x ⎧⎫<<⎨⎬⎩⎭【分析】(1)由()m f m f n n ⎛⎫=⋅⎪⎝⎭,结合题意即可得结果; (2)利用函数单调性的定义证明即可;(3)将原不等式等价转化为()()324f x f x +>,结合定义域和单调性即可得结果. 【详解】解:(1)由题可得()()m m f m f n f f n n n ⎛⎫⎛⎫=⋅=+ ⎪ ⎪⎝⎭⎝⎭, 即()()m f f m f n n ⎛⎫=- ⎪⎝⎭;(2)任取1x ,()20,x ∈+∞,且12x x <,则211x x >, 由(1)得:()()22110x f x f x f x ⎛⎫-=>⎪⎝⎭,即()()21f x f x >,()f x ∴在()0,∞+上是增函数;(3)()21f =,()()()2224f f f ∴=+=,()()()3428f f f =+=,()()333f x f x +->, ()()()338f x f x f +>+,()()324f x f x +>,又()f x 在()0,∞+上为增函数,30,240,324,x x x x +>⎧⎪∴>⎨⎪+>⎩, 解得:0323x <<, 故不等式()()333f x f x +->的解集为3023x x ⎧⎫<<⎨⎬⎩⎭.【点睛】关键点点睛:本题解题的关键是利用()m f m f n n ⎛⎫=⋅ ⎪⎝⎭,再结合题意,即可判断函数单调性和解不等式.23.(1)不是;证明见详解.(2)∅ 【分析】(1)求出2()1y f u u ==+的值域以及[]()y f g x =的值域,根据题中定义即可判断.(2)根据题意可得221()1x ax g x x x ++=++的值域与u 的取值范围相同,转化为()2211x ax u x x ++=++,从而可得0∆≥,再由12u ≤≤,利用韦达定理即可求解.【详解】(1)1()u g x x x==+(x >0) 不是函数()y f u =的一个“等值域变换”, 证明如下:2()11y f u u ==+≥,()f u ∴的值域为[)1,+∞,又[]22211()13y f g x x x x x ⎛⎫==++=++ ⎪⎝⎭,2212x x +≥=,当且仅当1x =时取等号,[]221()35y f g x x x +∴==+≥, 即[]()y f g x =的值域为[)5,+∞, 两函数的值域不同,∴1()u g x x x==+(x >0) 不是函数()y f u =的一个“等值域变换”. (2)()y f u =在定义域[]1,2上为单调函数,∴()y f u =在两端点处取得最值,又221()1x ax u g x x x ++==++是函数函数()y f u =的一个“等值域变换”, ∴[]()y f g x =与()y f u =值域相同,()12g x ∴≤≤,即()g x 的值域与u 的取值范围相同,由2211x ax u x x ++=++得()2211x ax u x x ++=++,()()2110u x a u x u ∴-+-+-=有根,()()22410a u u ∴∆=---≥,即()2232840u a u a +-+-≤,又12u ≤≤,1,2∴是方程()2232840u a u a +-+-=的两个根,228121324123a a a a a -⎧+=-⎧⎪=-⎪⎪∴⇒⇒∈∅⎨⎨-⎪⎪∈∅⨯=⎩⎪⎩, 所以实数a 的取值范围是∅. 【点睛】方法点睛:本题考查了函数的值域求法,常见方法如下: (1)利用函数的单调性求值域. (2)对于分式型的值域利用分离常数法. (3)换元法. (4)数形结合法. (5)判别式法.24.(1)2()23f x x x =--;(2)7m <-. 【分析】(1)运用待定系数法,设2()f x ax bx c =++,由题意建立方程组,解之可得函数的解析式;(2)由(1)将问题转化为243m x x <--对[2,2]x ∈-恒成立,令()22()4327g x x x x --=--=,运用二次函数的性质求得其最值,再由不等式恒成立的思想可求得m 的取值范围. 【详解】(1)设()()20f x ax bx c a =++≠,由题意可知:(1)0(3)930(1)4f a b c f a b c f a b c -=-+=⎧⎪=++=⎨⎪=++=-⎩,解得123a b c =⎧⎪=-⎨⎪=-⎩,即2()23f x x x =--; (2)由(1)得243m x x <--对[2,2]x ∈-恒成立,令()22()4327g x x x x --=--=,当[2,2]x ∈-, ()[7,9]g x ∈-, 故7m <-. 【点睛】常用的不等式恒成立的思想:()f x a >对一切x I ∈恒成立,等价于()min f x a >;()f x a <对一切x I ∈恒成立,等价于()max f x a >.25.(1)()212f x x x =-+;(2)存在,4,0m n =-=. 【分析】(1)由()20f =得到,a b 的关系,根据()f x x =有两个相等实根求b ,即可写出()f x 的解析式;(2)将()f x 函数式化为顶点式知16n ≤,进而有[],m n 在1x =的左边,结合二次函数单调性列方程组求解即可知是否存在,m n 值. 【详解】(1)由()20f =得:420a b +=①;由()f x x =有等根得:()210ax b x +-=有等根,∴()210b ∆=-=,得1b =,将1b =代入①得:12a =-, ∴()212f x x x =-+; (2)()()221111222f x x x x =-+=--+, ∴132n ≤,即16n ≤,而()f x 对称轴为1x =,即[],m n 在1x =的左边, ∴由二次函数的性质知:()212f x x x =-+在区间[],m n 上单调递增,则有()3()3m n f m m f n n <⎧⎪=⎨⎪=⎩,解得4,0m n =-=,故存在实数4,0m n =-=,使()f x 的定义域是[],m n ,值域是[]3,3m n . 【点睛】关键点点睛:由有相等实根结合判别式求参数值,根据二次函数的性质:最值判断参数范围,在结合区间相对于对称轴的位置,并由其单调性列方程组求参数值确定存在性. 26.(1)2(1)2f x x x =++;单调递增区间为[-1,+∞),单调递减区间为(-∞,-1];(2)(-∞,1). 【分析】(1)由1x =-时二次函数最小值为0,求出,a b 得函数解析式,写单调区间即可;(2)可转化为21k x x <++在区间[-3,-1]上恒成立,求出21y x x =++最小值即可.【详解】(1)由题意知12(1)10ba f ab ⎧-=-⎪⎨⎪-=-+=⎩,解得12a b =⎧⎨=⎩,∴2(1)2f x x x =++.由2()(1)f x x =+知函数()f x 的单调递增区间为[-1,+∞),单调递减区间为(-∞,-1].(2)由题意知,221x x x k ++>+在区间[-3,-1]上恒成立, 即21k x x <++在区间[-3,-1]上恒成立,令2()1g x x x =++,x ∈[-3,-1],由213()()24g x x =++知 g (x )在区间[-3,-1]上是减函数,则g (x )min =g (-1)=1, 所以k <1,故k 的取值范围是(-∞,1). 【点睛】关键点点睛:二次函数的解析式求法,大多用到待定系数法,本题需根据当1x =-时二次函数最小值为0,建立方程组求解,即可求出函数解析式.。
一、选择题1.已知函数()102xx f x =+-的零点为a ,()()lg 13g x x x =-+-的零点为b ,则a b +=( )A .1B .2C .3D .42.已知汽车从踩刹车到停车所滑行的距离()m s 与速度()km/h v 之间有如下关系式:2s k M v =⋅⋅,其中k 是比例系数,且0,k M >是汽车及其载重质量之和.若某辆卡车不装货物(司机体重忽略不计)以36km/h 的速度行驶时,从刹车到停车需要走20m .当这辆卡车装载等于车重的货物行驶时,为保证安全,要在发现前面20m 处有障碍物时能在离障碍物5m 及以外处停车,则最高速度是(设司机发现障碍物到踩刹车经过1s )( ) A .36km/hB .30km/hC .24km/hD .18km/h3.已知关于x 的方程2(3)10ax a x +-+=在区间1(,)2+∞上存在两个实数根,则实数a 的取值范围是( ) A .2332a << B .213a < C .9aD .293a < 4.已知函数24,?0()7,?0x f x xx x x ⎧<⎪=⎨⎪-≥⎩,()()g x f x x a =+-,若()g x 存在两个零点,则a 的取值范围是( ) A .(﹣4,0] B .(-∞,﹣9) C .(-∞,﹣9)(﹣4,0]D .(﹣9,0]5.流行病学基本参数:基本再生数0R 指一个感染者传染的平均人数,世代间隔T 指相邻两代间传染所需的平均时间.在新冠肺炎疫情初始阶段,可用模型:0()rtI t N e =(其中0N 是开始确诊病例数)描述累计感染病例()I t 随时间t (单位:天)的变化规律,指数增长率r 与0R ,T 满足01R rT =+,有学者估计出0 3.4,6R T ==.据此,在新冠肺炎疫情初始阶段,当0()2I t N =时,t 的值为(ln 20.69≈)( ) A .1.2B .1.7C .2.0D .2.5 6.已知关于x 的方程|2|1x m -=有两个不等实根,则实数m 的取值范围是( ) A .(-∞,1]-B .(,1)-∞-C .[1,)+∞D .(1,)+∞7.具有性质:1()()f f x x=-的函数,我们称为满足“倒负”变换的函数.给出下列函数:①1ln 1x y x -=+;②2211x y x -=+;③,01,{0,1,1, 1.x x y x x x<<==->其中满足“倒负”变换的函数是( ) A .①②B .①③C .②③D .①8.双“十一”要到了,某商品原价为a 元,商家在节前先连续5次对该商品进行提价且每次提价10%.然后在双“十一”期间连续5次对该商品进行降价且每次降价10%.则最后该商品的价格与原来的价格相比 A .相等B .略有提高C .略有降低D .无法确定9.已知函数()21xf x x =++,()2log 1g x x x =++,()2log 1h x x =-的零点依次为,,a b c ,则( )A .a b c <<B .a c b <<C .b c a <<D .b a c <<10.一个放射性物质不断衰变为其他物质,每经过一年就有34的质量发生衰变.若该物质余下质量不超过原有的1%,则至少需要的年数是( ) A .6B .5C .4D .311.已知函数23()log f x x x=-,(0,)x ∈+∞,则()f x 的零点所在的区间是 A .(0,1) B .(1,2) C .(2,3)D .(3,4)12.已知定义域为R 上的函数()f x 既是奇函数又是周期为3的周期函数,当30,2x ⎛⎫∈ ⎪⎝⎭时,()sin f x x π=,则函数()f x 在区间[0,6]上的零点个数是( ) A .3B .5C .7D .9二、填空题13.2019年1月1日起新的个人所得税法开始实施,依据《中华人民共和国个人所得税法》可知纳税人实际取得工资、薪金(扣除专项、专项附加及依法确定的其他)所得不超过5000元(俗称“起征点”)的部分不征税,超出5000元部分为全月纳税所得额.新的税率表如表:2019年1月1日后个人所得税税率表个人所得税专项附加扣除是指个人所得税法规定的子女教育、继续教育、大病医疗、住房贷款利息、住房租金和赡养老人等六项专项附加扣除.其中赡养老人一项指纳税人赡养60岁(含)以上父母及其他法定赡养人的赡养支出,可按照以下标准扣除:纳税人为独生子女的,按照每月2000元的标准定额扣除;纳税人为非独生子女的,由其与兄弟姐妹分摊每月2000元的扣除额度,每人分摊的额度不能超过每月1000元.某纳税人只有一个姐姐,且两人仅符合规定中的赡养老人的条件,如果他在2020年5月份应缴纳个人所得税款为180元,那么他当月的工资、薪金税后所得是_____元.14.已知函数f (x )=212{3,21x x x x -≤>-,,若方程f (x )-a =0有三个不同的实数根,则实数a 的取值范围为________.15.已知函数()22,36,3x x x f x x x ⎧-≤⎪=⎨->⎪⎩,若a 、b 、c 、d 、e ()a b c d e <<<<满足()()()()()f a f b f c f d f e ====,则()()()()()M af a bf b cf c df d ef e =++++的取值范围为______.16.对于函数sin ,[0,2]()1(2),(2,)2x x f x f x x π∈⎧⎪=⎨-∈+∞⎪⎩现有下列结论:①任取12[2,,)x x ∈+∞,都有()()121f x f x -≤; ②函数()y f x =在[]4,5上先增后减 ③函数()()ln 1y f x x =--有3个零点:④若关于x 的方程()()0f x m m =<有且只有两个不同的实根1x ,2x ,则123x x += 其中,正确结论的序号为_______________(写出所有正确命题的序号) 17.若方程22(1)10kx k x k +-+-=(0)k >的两根为12,x x ,且110x -<<,201x <<,则实数k 的取值范围是__________.18.已知函数211x y x -=+的图像与函数2y kx =+的图像恰有两个交点,则实数k 的取值范围是______.19.用符号[]x 表示不超过x 的最大整数,例如:[]0.60=;[]2.32=;[]55=.设函数()()()()2222ln 22ln 2f x ax x ax x =-+-有三个零点1x ,2x ,3x ()123x x x <<且[][][]1233x x x ++=,则a 的取值范围是_____________.20.如果关于x 的方程x 2+(m -1)x -m =0有两个大于12的正根,则实数m 的取值范围为____________.三、解答题21.有一种候鸟每年都按一定的路线迁徙,飞往繁殖地产卵,科学家经过测量发现候鸟的飞行速所度可以表示为函数301log lg 2100x v x =-,单位是km /min ,其中x 表示候鸟每分钟耗氧量的单位数,常数0x 表示测量过程中候鸟每分钟的耗氧偏差.(参考数据lg 20.3,= 1.2 1.43 3.74,3 4.66==)(1)若05x =,候鸟停下休息时,它每分钟的耗氧量为多少个单位?(2)若雄鸟的飞行速度为1.5km /min ,雌鸟的飞行速度为1km /min ,那么此时雄鸟每分钟的耗氧量是雌鸟每分钟耗氧量的多少倍?22.某产品拟在2020年举行促销活动,经调查测算,该产品的年销售量(即该厂的年产量)m 万件与年促销费用x (0x a ≤≤)万元满足141m x =-+.已知2020年生产该产品的固定投入为8万元,每生产1万件该产品需要投入25万元.厂家将每件产品的销售价格定为每件产品年平均成本的2倍(产品成本包括固定投入和再投入两部分资金,不包括促销费用).(1)将2020年该产品的利润y 万元表示为年促销费用x 万元的函数; (2)该服装厂2020年的促销费用投入多少万元时,利润最大? 23.已知函数f (x )=x +11x +,g (x )=ax +5-2a (a >0). (1)判断函数f (x )在[0,1]上的单调性,并用定义加以证明;(2)若对任意m ∈[0,1],总存在m 0∈[0,1],使得g (m 0)=f (m )成立,求实数a 的取值范围.24.2020年初,新冠肺炎疫情袭击全国,对人民生命安全和生产生活造成严重影响.为降低疫情影响,某厂家拟尽快加大力度促进生产.已知该厂家生产某种产品的年固定成本为200万元,每生产x 千件,需另投入成本为()C x ,当年产量不足80千件时,21()202C x x x =+(万元).当年产量不小于80千件时,10000()51600C x x x=+-(万元).每件商品售价为0.05万元.通过市场分析,该厂生产的商品能全部售完. (1)写出年利润()L x (万元)关于年产量x (千件)的函数解析式;(2)当年产量为多少千件时,该厂在这一商品的生产中所获利润最大?最大利润是多少? 25.设1a >,已知函数22242()log log ()xf x a x a=⋅,12f .(1)求a 的值;(2)求函数f (x )的最小值;(3)若方程f (x )-m =0在区间(1,4)上有两个不相等的实根,求实数m 的取值范围.26.已知函数22,01,()ln ,1x x f x x x e-≤<⎧=⎨≤≤⎩,其中e 为自然对数的底数.(1)求(f f 的值;(2)作出函数()()1F x f x =-的图象,并指出单调递减区间(无需证明) ;(3)若实数0x 满足00(())f f x x =,则称0x 为()f x 的二阶不动点,求函数()f x 的二阶不动点的个数.【参考答案】***试卷处理标记,请不要删除一、选择题 1.C 解析:C 【分析】设()()1lg 2h x g x x x =+=+-,可知函数()h x 的零点为1b -,令()0f x =,可得出102x x =-,令()0h x =可得出lg 2x x =-,在同一平面直角坐标系中作出函数10x y =、lg y x =、y x =、2y x =-的图象,利用函数10x y =、lg y x =的图象关于直线y x =的对称,并求出直线y x =、2y x =-的交点坐标,进而可求得+a b 的值. 【详解】设()()1lg 2h x g x x x =+=+-,由于函数()()lg 13g x x x =-+-的零点为b ,则函数()h x 的零点为1b -.令()0f x =,可得102x x =-,令()0h x =,可得出lg 2x x =-,在同一平面直角坐标系中作出函数10x y =、lg y x =、y x =、2y x =-的图象,如下图所示:由于函数10x y =、lg y x =的图象关于直线y x =的对称, 直线2y x =-与直线y x =垂直,设直线2y x =-与函数10x y =的交点为点A ,直线2y x =-与函数lg y x =的图象的交点为点B ,易知点A 、B 关于直线y x =对称,直线2y x =-与直线y x =的交点为点()1,1C ,且C 为线段AB 的中点,所以12a b +-=,因此,3a b +=. 故选:C. 【点睛】易错点点睛:本题考查函数零点之和,解题的关键在于利用函数10x y =、lg y x =互为反函数,这两个函数的图象关于直线y x =对称,结合对称性来求解.2.D解析:D 【分析】根据v =36km/h 时,20m s =,求出5324k M ⋅=,求出司机发现障碍物到踩刹车经过1s ,汽车行驶的距离,再由不等式25202518vk Mv --⋅可解得结果. 【详解】因为2s k M v =⋅⋅,且当v =36km/h 时,20m s =, 所以22036k M =⋅⋅,∴5324k M ⋅=, 司机发现障碍物到踩刹车经过1s ,汽车行驶的距离为10005(m)360018vv ⋅=, 由25202518v k Mv --⋅,得25520518162v v --, 即294860v v +-≤,解得2718v -≤≤. ∴则最高速度是18km/h . 故选:D. 【点睛】关键点点睛:理解题意,找出题目中的不等关系是解题关键.3.B解析:B 【分析】可设2()(3)1f x ax a x =+-+,0a ≠,讨论0a >,0a <,结合对称轴与区间的关系和1()2f 的符号、判别式的符号,解不等式可得所求范围. 【详解】解:方程有两个实数根,显然0a ≠,可设2()(3)1f x ax a x =+-+,对称轴是32ax a-=, 当0a >时,要使二次方程在区间1(,)2+∞上有两个实数根,如图所示,则需3122a a ->,且113()10242a f a -=++>,且2(3)40a a ∆=--, 即为302a <<且23a >,且9a 或1a ,则213a <;当0a <时,要使二次方程在区间1(,)2+∞上有两个实数根,如图所示,则需3122a a ->,且113()10242a f a -=++<,且2(3)40a a ∆=--, 即为302a <<且23<a ,且9a 或1a ,则a ∈∅.综上可得,a 的取值范围是213a <. 故选:B . 【点睛】本题解题关键是结合二次函数的图象特征研究二次方程根的分布,分类讨论借助图象准确列出不等关系,突破难点.4.C解析:C 【分析】令()()0g x f x x a =+-=,将()g x 存在两个零点,转化为两函数24,?0,6,?0x x y a y x x x x ⎧+<⎪==⎨⎪-≥⎩有两个交点,在同一坐标系中,作出两个函数的图象,利用数形结合法求解. 【详解】令()()0g x f x x a =+-=,得24,?06,?0x x a xx x x ⎧+<⎪=⎨⎪-≥⎩, 令24,?0,6,?0x x y a y x x x x ⎧+<⎪==⎨⎪-≥⎩,在同一坐标系中,作出两个函数的图象,如图所示:因为()g x 存在两个零点, 由图象可得:a <﹣9或﹣4<a ≤0, 故选:C 【点睛】方法点睛:函数零点问题:若方程可解,通过解方程即可得出参数的范围,若方程不易解或不可解,则将问题转化为构造两个函数,利用两个函数图象的关系求解,这样会使得问题变得直观、简单,这也体现了数形结合思想的应用.5.B解析:B 【分析】根据所给模型求得0.4r =,代入已知模型,再由0()2I t N =,得002rtN e N =,求解t 值得答案 【详解】解:把0 3.4,6R T ==代入01R rT =+,得3.416r =+,解得0.4r =, 所以0.40()tI t N e=,由0()2I t N =,得0.4002tN e N =,则0.42t e =,两边取对数得,0.4ln 2t =,得ln 20.691.70.40.4t =≈≈, 故选:B 【点睛】关键点点睛:此题考查函数模型的实际应用,考查计算能力,解题的关键是准确理解题意,弄清函数模型中各个量的关系,属于中档题6.D解析:D 【分析】分离参数,再根据指数函数性质求出. 【详解】解:21x m -=或21x m -=-,即21x m =-,或者21x m =+, 当211x m =->-时,有一个解, 当211x m =+>时,有一个解,所以1m 时,方程|2|1x m -=有两个不等实根, 故选:D . 【点睛】考查方程根的个数问题,利用了分类讨论法,分离参数法,属于中档题.7.C解析:C 【解析】①1ln 1x y x -=+;1111()ln ln ()111x x f f x x x x--==≠-++所以不符合题意;②2211x y x -=+;22221111()()111x x f f x x x x --===-++所以符合题意;③,01,{0,1,1, 1.x x y x x x<<==->当01x <<时11x >,故1()()f x f x x =-=-,当1,x =时11x =显然满足题意,当1x >时,101x <<,故11()()f f x x x==-符合题意,综合得选C 点睛:新定义倒负函数,根据题意逐一验证()1f f x x ⎛⎫=-⎪⎝⎭是否成立,在计算中要注意对数的公式得灵活变幻,对于分段函数要注意逐段去讨论8.C解析:C【分析】由题意列出商品最后的价格,利用指数幂的运算性质计算结果. 【详解】55110%110%+-()()=551.10.9=50.99<1, 故选C. 【点睛】本题考查了指数幂的实际应用,考查了指数的运算性质,属于中等题.9.A解析:A 【解析】令函数()210xf x x =++=,可得0x <,即0a <,令()2log 10g x x x =++=,则01x <<,即01b <<,令()2log 10h x x =-=,可知2x =,即2c =,显然a b c <<,故选A.10.C解析:C 【分析】设这种放射性物质最初的质量为1,经过x ()x N ∈年后,剩留量是y ,则有1()4xy =,然后根据物质的剩留量不超过原来的1%,建立不等关系,利用对数运算性质进行求解即可. 【详解】设这种放射性物质最初的质量为1,经过x ()x N ∈年后,剩留量是y ,则有1()4xy =,依题意得11()4100x≤,整理得22100x ≥, 解得4x ≥,所以至少需要的年数是4, 故选C. 【点睛】该题考查的是有关放射性物质的剩留量的求解问题,在解题的过程中,注意根据条件,列出相应的关系式,之后将其转化为指数不等式,结合指数函数的性质,求得结果,属于简单题目.11.C解析:C 【分析】由题意结合零点存在定理确定()f x 的零点所在的区间即可.【详解】由题意可知函数()23f x log x x=-在()0,+∞上单调递减,且函数为连续函数, 注意到()130f =>,()1202f =>,()231log 30f =-<,()34204f =-<, 结合函数零点存在定理可得()f x 的零点所在的区间是()2,3. 本题选择C 选项. 【点睛】应用函数零点存在定理需要注意: 一是严格把握零点存在性定理的条件;二是连续函数在一个区间的端点处函数值异号是这个函数在这个区间上存在零点的充分条件,而不是必要条件;三是函数f (x )在(a ,b )上单调且f (a )f (b )<0,则f (x )在(a ,b )上只有一个零点.12.D解析:D 【分析】根据当30,2x ⎛⎫∈ ⎪⎝⎭时,()sin f x x π=,令()0f x =,求得根,再结合奇函数,求出一个周期33,22⎡⎤-⎢⎥⎣⎦上的零点,然后根据周期性得到区间[0,6]上的零点即可. 【详解】因为当30,2x ⎛⎫∈ ⎪⎝⎭时,()sin f x x π=, 令()0f x =, 解得1x =,又因为()f x 是以3为周期的周期函数, 所以 (3)()f x f x +=, 有 33()()22f f -= ,又因为函数()f x 是定义在R 上的奇函数,所以333()()()222f f f -==-, 所以3()02f =, 所以在区间 33,22⎡⎤-⎢⎥⎣⎦上有 33(1)(1)()()022f f f f -==-== ,且(0)0f =,因为()f x 是以3为周期的周期函数,所以方程()0f x =在区间[0,6]上的零点是:0,1,32,2,3,4,92,5,6,共9个, 故选:D 【点睛】本题主要考查函数的周期性和奇偶性的综合应用,还考查了逻辑推理的能力,属于中档题.二、填空题13.9720【分析】按题意从最低纳税额开始计算最高纳税同时考虑到专项附加扣除后可得【详解】设他的工资是元工资是8000元时纳税为由于他有专项附加扣1000元因此他工资是9000元时纳税90元纳税后收入为解析:9720 【分析】按题意从最低纳税额开始计算最高纳税,同时考虑到专项附加扣除后可得. 【详解】设他的工资是x 元,工资是8000元时纳税为30003%90⨯=,由于他有专项附加扣1000元,因此他工资是9000元时,纳税90元,(9000)10%18090x -⨯=-,9900x =,纳税后收入为9900-180=9720(元). 故答案为:9720. 【点睛】本题考查函数的应用,解题时根据分段函数的意义分段计算纳税额即可得.解题关键是正确理解题意,弄懂工资收入与纳税额之间的关系.14.【分析】将所求问题转化为与直线的图象有三个不同交点数形结合即可得到答案【详解】方程f(x)-a =0有三个不同的实数根等价于与直线的图象有三个不同交点作出的图象如图由图可得故答案为:【点睛】方法点睛: 解析:(0,1)【分析】将所求问题转化为()y f x =与直线y a =的图象有三个不同交点,数形结合,即可得到答案. 【详解】方程f (x )-a =0有三个不同的实数根等价于()y f x =与直线y a =的图象有三个不同交点,作出()f x 的图象如图,由图可得(0,1)∈a 故答案为:(0,1)【点睛】方法点睛:已知函数有零点(方程有根)求参数值(取值范围)常用的方法: (1)直接法:直接求解方程得到方程的根,再通过解不等式确定参数范围; (2)分离参数法:先将参数分离,转化成求函数的值域问题加以解决;(3)数形结合法:先对解析式变形,进而构造两个函数,然后在同一平面直角坐标系中画出函数的图象,利用数形结合的方法求解15.【分析】设作出函数的图象可得利用对称性可得由可求得进而可得出利用二次函数的基本性质可求得的取值范围【详解】作出函数的图象如下图所示:设当时由图象可知当时直线与函数的图象有五个交点且点关于直线对称可得 解析:()0,9【分析】设()()()()()f a f b f c f d f e t =====,作出函数()f x 的图象,可得01t <<,利用对称性可得2a d b c +=+=,由()()0,1f e ∈可求得56e <<,进而可得出2224M e e =-++,利用二次函数的基本性质可求得M 的取值范围.【详解】作出函数()f x 的图象如下图所示:设()()()()()f a f b f c f d f e t =====, 当02x <<时,()()222111f x x x x =-=--+≤,由图象可知,当01t <<时,直线y t =与函数()y f x =的图象有五个交点, 且点(),a t 、(),d t 关于直线1x =对称,可得2a d +=,同理可得2b c +=,由()()60,1f e e t =-=∈,可求得56e <<, 所以,()()()()()()()()()46M af a bf b cf c df d ef e a b c d e f e e e =++++=++++=+-()()222241250,9e e e =-++=--+∈.因此,M 的取值范围是()0,9. 故答案为:()0,9. 【点睛】方法点睛:已知函数有零点(方程有根)求参数值(取值范围)常用的方法: (1)直接法:直接求解方程得到方程的根,再通过解不等式确定参数范围; (2)分离参数法:先将参数分离,转化成求函数的值域问题加以解决;(3)数形结合法:先对解析式变形,进而构造两个函数,然后在同一平面直角坐标系中画出函数的图象,利用数形结合的方法求解.16.①②③④【分析】当时函数的最大值为最小值为所以任取都有恒成立故①正确;函数先增后减故②正确;根据图象知函数有3个零点故③正确;根据图象知根据对称性知故④正确【详解】函数当时函数的最大值为最小值为所以解析:①②③④ 【分析】当[2,)x ∈+∞时,函数()f x 的最大值为12,最小值为12-,所以任取12[2,,)x x ∈+∞,都有()()121f x f x -≤恒成立,故①正确;()1sin 4f x x π=,函数先增后减,故②正确;根据图象知,函数有3个零点,故③正确;根据图象知112m -<<-,根据对称性知123x x +=,故④正确.【详解】函数()[]()()sin ,0,212,2,2x x f x f x x π⎧∈⎪=⎨-∈+∞⎪⎩,当[2,)x ∈+∞时,函数()f x 的最大值为12,最小值为12-,所以任取12[2,,)x x ∈+∞,都有()()121f x f x -≤恒成立,故①正确; 当[]4,5x ∈,[]40,1x -∈,故()()()1114sin 4sin 444f x f x x x ππ=-=-=,函数先增后减,故②正确;令()()ln 10y f x x =--=,即()()ln 1f x x =-,同②,计算得到()[](](] sin,0,2 1sin,2,421sin,4,64x xf x x xx xπππ⎧⎪∈⎪⎪=∈⎨⎪⎪∈⎪⎩,画出函数图象,如图所示:根据图象知,函数有3个零点,故③正确;()()0f x m m=<有且只有两个不同的实根12,x x,根据图象知112m-<<-,根据对称性知123x x+=,故④正确;故答案为:①②③④.【点睛】方法点睛:函数零点问题的处理常用的方法有:(1)方程法:直接解方程得到函数的零点;(2)图像法:直接画出函数的图象得解;(3)方程+图像法:令()0f x=重新构造两个函数,数形结合分析得解.17.【分析】将方程的根转化为函数零点问题再利用零点存在性定理求解【详解】由题知方程的两根为且故设则有故答案为:【点睛】本题考查二次函数根的分布问题需要学生熟悉二次函数的图像性质解决此类问题时常结合零点存解析:3(,1)4【分析】将方程的根转化为函数零点问题,再利用零点存在性定理求解.【详解】由题知方程22(1)10kx k x k+-+-=(0)k>的两根为12,x x,且110x-<<,201x<<,故设()f x=22(1)1kx k x k+-+-,(0)k>则有(1)2210103(0)10114(1)221034f k k kf k k kf k k kk⎧⎪-=-++->>⎧⎪⎪=-<⇒<⇒<<⎨⎨⎪⎪=+-+->⎩⎪>⎩,故答案为:3 (,1)4.【点睛】本题考查二次函数根的分布问题,需要学生熟悉二次函数的图像性质,解决此类问题时常结合零点存在性定理解决.18.且【分析】先化简函数再由过定点(02)在同一坐标系中作出两个函数的图象利用数形结合法求解【详解】在同一坐标系中作出两个函数的图象如图所示:因为函数的图像与函数的图像恰有两个交点所以且故答案为:且【点解析:04k<≤且1k≠【分析】先化简函数()211,1111,11x x x xf xx x x--≥<-⎧==⎨+--<<⎩或,再由()2g x kx=+过定点(0,2),在同一坐标系中作出两个函数的图象,利用数形结合法求解.【详解】()211,1111,11x x x xf xx x x--≥<-⎧==⎨+--<<⎩或,()2g x kx=+,在同一坐标系中作出两个函数的图象,如图所示:因为函数211xyx-=+的图像与函数2y kx=+的图像恰有两个交点,所以04k<≤且1k≠,故答案为:04k<≤且1k≠,【点睛】本题主要考查函数的零点与方程的根,还考查了数形结合的思想方法,属于中档题. 19.【分析】由题意可知得;令可知单调递增区间为单调递减为作出的草图由图可知所以而所以即可得由此即可求出结果【详解】因为所以①或②由①得由②得令则所以当时单调递增时单调递减事实上当时当时由图显然所以而所以解析:2ln 2,ln 69⎡⎫--⎪⎢⎣⎭【分析】由题意可知()()()21ln 22ln 20f x x ax x =-+=,得22ln 2x a x -=;令()22ln 2xg x x =,可知()g x 单调递增区间为0,e ⎛⎫⎪⎝⎭,()g x 单调递减为,e ⎛⎫+∞ ⎪ ⎪⎝⎭,作出()g x 的草图,由图可知()10,1x ∈,()21,22ex =∈,所以[]10x =,[]21x =,而[][][]1233x x x ++=,所以[]32x =,即[)32,3x ∈,可得()()23a g a g ⎧-≤⎪⎨->⎪⎩,由此即可求出结果.【详解】因为()()()2222ln22ln22ln 21ln22ln21ln2f x ax ax x x x ax x x x =-+-=-+-()()21ln 22ln 20x ax x =-+=,0x >,所以1ln 20x -=①或22ln 20ax x +=②. 由①得2e x =,由②得22ln 2x a x -=. 令()22ln 2x g x x =,则()()3212ln 20x g x x -'==,所以2ex =. 当0,e x ⎛⎫∈ ⎪ ⎪⎝⎭时,()0g x '>,()g x 单调递增,,e x ⎛⎫∈+∞ ⎪ ⎪⎝⎭时,()0g x '<,()g x 单调递减.事实上,当102x <<时,()0g x <,当1x >时,()0g x >.由图显然()10,1x ∈,()21,22ex =∈,所以[]10x =,[]21x =, 而[][][]1233x x x ++=,所以[]32x =,即[)32,3x ∈.所以()()23a g a g ⎧-≤⎪⎨->⎪⎩,即2ln 4,42ln 6,9a a ⎧-≤⎪⎪⎨⎪->⎪⎩解得2ln 6ln 29a -≤<-. 故答案为:2ln 2,ln 69⎡⎫--⎪⎢⎣⎭. 【点睛】本题主要考查了导函数在函数零点中的应用,属于难题.20.(-∞-)【分析】方程有两个大于的根据此可以列出不等式组求得m 的取值范围即可【详解】解:根据题意m 应当满足条件即:解得:实数m 的取值范围:(-∞-)故答案为:(-∞-)【点睛】本题考查根的判别式及根解析:(-∞,-12) 【分析】 方程有两个大于12的根,据此可以列出不等式组求得m 的取值范围即可. 【详解】解:根据题意,m 应当满足条件2(1)40112211(1)042m m m m m ⎧⎪∆=-+>⎪-⎪->⎨⎪⎪+-->⎪⎩即:2210012m m m m ⎧⎪++>⎪<⎨⎪⎪<-⎩,解得:12m <-, 实数m 的取值范围:(-∞,-12). 故答案为:(-∞,-12). 【点睛】本题考查根的判别式及根与系数的关系,解题的关键是正确的运用判别式及韦达定理,是中档题.三、解答题21.(1)466;(2)3倍. 【分析】(1)将05x =,0v =代入函数解析式,计算得到答案.(2)根据题意得到方程组13023011.5log lg 210011log lg 2100x x x x ⎧=-⎪⎪⎨⎪=-⎪⎩,两式相减化简即可求出答案.【详解】(1)将05x =,0v =代入函数301log lg 2100x v x =-,得:31log lg502100x-=, 即()3log 2lg 521lg 2 1.40100x==-=, 所以1.403 4.66100x==, 所以466x =.故候鸟停下休息时,它每分钟的耗氧量为466个单位.(2)设雄鸟每分钟的耗氧量为1x ,雌鸟每分钟耗氧量为2x ,由题意可得:13023011.5log lg 210011log lg 2100x x x x⎧=-⎪⎪⎨⎪=-⎪⎩, 两式相减可得:13211log 22x x =, 所以132log 1x x =,即123x x =, 故此时雄鸟每分钟的耗氧量是雌鸟每分钟耗氧量的3倍. 【点睛】方法点睛:与实际应用相结合的题型也是高考命题的动向,这类问题的特点是通过现实生活的事例考查书本知识,解决这类问题的关键是耐心读题、仔细理解题,只有吃透题意,才能将实际问题转化为数学模型进行解答.22.(1)251081y x x =--+((0,]x a ∈);(2)当4a ≥时,该服装厂2020年的促销费用投入4万元时,利润最大;当04a <<时,该服装厂2020年的促销费用投入a 万元时,利润最大. 【分析】(1)根据题意,结合已知条件,列出函数关系即可;(2)对函数进行配凑,使之可用基本不等式,即可求得利润的最大值. 【详解】(1)由题意知:每件产品的销售价格为8252mm+⨯所以()8252825my m m x m+=⋅-++825m x =+-. 182541x x ⎛⎫=+-- ⎪+⎝⎭251081x x =--+((0,]x a ∈) 所以251081y x x =--+((0,]x a ∈). (2)当4a ≥时, 由251081y x x =--+()2510911x x ⎡⎤=-++⎢⎥+⎣⎦10999≤-= 当且仅当2511x x =++,即4x =时取等号.又(0,]x a ∈ 当4x =时,y 有最大值;当04a <<时,令()251091f x x x =--+ 在(]0,a 上任取12,x x 使得12x x <()()()()()121221121225252510910911111f x f x x x x x x x x x ⎛⎫-=---++=--⎪ ⎪++++⎝⎭(]()()()()122112121225,0,,401125,1011x x x x x x a a x x x x ∴-∈<∴<++<∴+<<>-+()()()120f x f x f x ∴-<∴是(]0,a 上的增函数..所以x a =时,y 有最大值;答:当4a ≥时,该服装厂2020年的促销费用投入4万元时,利润最大; 当04a <<时,该服装厂2020年的促销费用投入a 万元时,利润最大.. 【点睛】关键点睛:解题关键在于,当4a ≥时,利用均值不等式得到,251081y x x =--+()2510911x x ⎡⎤=-++⎢⎥+⎣⎦10999≤-=;当04a <<时,令()251091f x x x =--+,利用定义法判断()f x 的单调性,进而求出x a =时,y 有最大值,最后得到答案,难度属于中档题23.(1)函数f (x )在[0,1]上单调递增,证明见解析;(2)72,2⎡⎤⎢⎥⎣⎦.【分析】(1)任取1201x x ≤<≤,计算()()12f x f x -并判断正负即可判断单调性;(2)可得出f (m )∈31,2⎡⎤⎢⎥⎣⎦,g (m 0)∈[5-2a ,5-a ],由题得31,2⎡⎤⎢⎥⎣⎦⊆[5-2a ,5-a ],即可建立不等式求出.【详解】(1)函数f (x )在[0,1]上单调递增,证明如下:设1201x x ≤<≤,则()()12f x f x -12121111x x x x =+--++ ()()()21121211x x x x x x -=-+++()()()()1212121211x x x x x x x x -++=++, 因为120x x -<,()()12110x x ++>,12120x x x x ++>,所以()()120f x f x -<,即()()12f x f x <,所以函数f (x )在[0,1]上单调递增;(2)由(1)知,当m ∈[0,1]时,f (m )∈31,2⎡⎤⎢⎥⎣⎦. 因为0a >,()52g x ax a =+-在[0,1]上单调递增,所以m 0∈[0,1]时,g (m 0)∈[5-2a ,5-a ]. 依题意,只需31,2⎡⎤⎢⎥⎣⎦⊆[5-2a ,5-a ], 所以521352a a -≤⎧⎪⎨-≥⎪⎩解得2≤a ≤72, 即实数a 的取值范围为72,2⎡⎤⎢⎥⎣⎦. 【点睛】关键点睛:本题考查与函数相关的方程的有解性问题,解题的关键是求出()0g m 和()f m 的取值范围,由()f m 的范围是()0g m 范围的子集建立不等式求解. 24.(1)2130200,0802()10000400(),80x x x L x x x x ⎧-+-<<⎪⎪=⎨⎪-+≥⎪⎩;(2)当年产量为30千件时,该厂在这一商品生产中所获利润最大,最大利润为250万元.【分析】(1)可得销售额为0.051000x ⨯万元,分080x <<和80x ≥即可求出;(2)当080x <<时,利用二次函数性质求出最大值,当80x ≥,利用基本不等式求出最值,再比较即可得出.【详解】解:(1)因为每件商品售价为0.05万元,则x 千件商品销售额为0.051000x ⨯万元,依题意得:当080x <<时,2211()(0.051000)(20)2003020022L x x x x x x =⨯-+-=-+-, 当80x ≥时,1000010000()(0.051000)(51600)200400()L x x x x x x=⨯-+--=-+, 所以2130200,0802()10000400(),80x x x L x x x x ⎧-+-<<⎪⎪=⎨⎪-+≥⎪⎩; (2)当080x <<时,21()(30)2502L x x =--+, 此时,当30x =时,即()(30)250L x L ≤=万元.当80x ≥时,10000()400()400400200200L x x x =-+≤--=, 此时10000,100x x x==,即()(100)200L x L ≤=万元, 由于250200>,所以当年产量为30千件时,该厂在这一商品生产中所获利润最大,最大利润为250万元.【点睛】关键点睛:本题考查函数模型的应用,解题的关键是理解清楚题意,正确的建立函数关系,再求最值时,需要利用函数性质分段讨论比较得出.25.(1)2;(2)94-;(3)9,24⎛⎫-- ⎪⎝⎭. 【分析】(1)12f ,∴2224221log log 2(log )2a a a⋅=-=-,解得2a =; (2)整理2219()(log )24f x x =--,即可求解; (3)可得222()(log )log 2f x x x =--,设2log t x =,(0,2)t ∈,令2()2h t t t =--,(0,2)t ∈,利用()h t 的单调性,即可得()f x 单调性,即可求解.【详解】解:(1)函数22242()log log ()x f x a x a =⋅,12f .2224221log log 2(log )2a a a∴⋅=-=-,2a ∴=. (2)22224242199()log log (4)(log 2)(log 1)(log )4244x f x x x x x =⋅=-⋅+=--≥-.∴当21log 2x =,即2x =时,函数()f x 的最小值为94-; (3)可得222()(log )log 2f x x x =--,设2log t x =,(1,4)x ∈,(0,2)t ∴∈,令2()2h t t t =--,(0,2)t ∈,根据二次函数性质可得()h t 在1(0,)2单调递减,在1(2,2)单调递增. 所以()f x 在(1,2)单调递减,在(2,4)单调递增.9(1)2,(2),(4)04f f f =-=-=, 所以,方程()0f x m -=在区间(1,4)上有两个不相等的实根,则实数m 的取值范围 为9(4-,2)-. 【点睛】关键点睛:本题考查由方程解的个数求参数范围,常用方法是参数分离,利用函数图象交点个数数形结合求解.26.(1)(())1f f e =;(2)图象见解析,递减区间为10,2⎡⎤⎢⎥⎣⎦,[]1,e .(3)3 【分析】(1)分段函数求值,根据x 的范围代入即可;(2)画出函数图象,结合图象求出函数单调性;(3)写出(())f f x 分段函数,根据(())f f x x =,求出解的个数【详解】解:(1)因为1e >,所以1()2f e ln e ==,所以1(())()12f f e f ==. (2)()|()1|F x f x =-,所以函数图象如下所示:递减区间为10,2⎡⎤⎢⎥⎣⎦,[]1,e . (3)根据题意,012x ,(())(22)f f x ln x =-,当112x <<,(())42f f x x =-,当1x e ,(())22f f x lnx =-,当012x 时,由(())(22)f f x ln x x =-=,记()(22)g x ln x x =--,则()g x 在1[0,]2上单调递减,且(0)20g ln =>,11()022g =-<, 故()g x 在1[0,]2上有唯一零点1x ,即函数()f x 在1[0,]2上有唯一的二阶不动点1x . 当112x <<时,由(())42f f x x x =-=,得到方程的根为223x =,即函数()f x 在1(,1)2上有唯一的二阶不动点223x =. 当1x e 时,由(())22f f x lnx x =-=,记()22h x lnx x =--,则()h x 在[1,]e 上单调递减,且()110h =>, ()0h e e =-<,故()h x 在[1,]e 上有唯一零点3x ,即函数()f x 在[1,]e 上有唯一的二阶不动点3x . 综上所述,函数()f x 的二阶不动点有3个.【点睛】(1)这是分段函数求值,基础题;(2)含绝对值的函数单调性的判断,比较容易;(3)这道题难点是要写出(())f f x 分段函数,根据(())f f x x =,求出解的个数,一定注意x 的范围.。
欢迎阅读高一数学第一学期函数压轴(大题)练习(含答案)1.(本小题满分12分)已知x 满足不等式211222(log )7log 30x x ++≤,求22()log log 42x xf x =⋅的最大值与最小值及相应x 值. 2.(14分)已知定义域为R 的函数2()12x xaf x -+=+是奇函数(1)求a 值;(2)判断并证明该函数在定义域R 上的单调性;(3)若对任意的t R ∈,不等式22(2)(2)0f t t f t k -+-<恒成立,求实数k 的取值范围; 3.(1) (2) (3) 4. (14(1)求5.(I)求(II)求6. (12是函数(y g =(1(2(3)把)在1[,4]4的最大值为54,求a 的值.7. (12分)设函数124()lg()3x xa f x a R ++=∈.(1)当2a =-时,求()f x 的定义域;(2)如果(,1)x ∈-∞-时,()f x 有意义,试确定a 的取值范围; (3)如果01a <<,求证:当0x ≠时,有2()(2)f x f x <. 8. (本题满分14分)已知幂函数(2)(1)()()k k f x x k z -+=∈满足(2)(3)f f <。
(1)求整数k 的值,并写出相应的函数()f x 的解析式;(2)对于(1)中的函数()f x ,试判断是否存在正数m ,使函数()1()(21)g x mf x m x =-+-,在区间[]0,1上的最大值为5。
若存在,求出m 的值;若不存在,请说明理由。
9. (本题满分14分)已知函数1()(0x f x a a -=>且1)a ≠(Ⅰ)若函数()y f x =的图象经过()4,3P 点,求a 的值;(Ⅱ)当a 变化时,比较1(lg)( 2.1)100f f -与大小,并写出比较过程; (Ⅲ)若(lg )100f a =,求a 的值.10. (本题16分)已知函数()log (91)xf x kx =++()是偶函数.(1)(2)(3)11. (112.((Ⅰ)求(Ⅱ)定数.设)(x F 13.(设0a >(Ⅰ)当(Ⅱ)当14.(本小题满分16分) 设函数])1(lg[)(22x a ax x f +-=的定义域区间为I,其中0a >.(Ⅰ)求I 的长度)(a L (注:区间(,)αβ的长度定义为βα-);(Ⅱ)判断函数)(a L 的单调性,并用单调性定义证明; (Ⅲ)给定常数(0,1)k ∈,当[]k k a +-∈1,1时,求区间I 长度)(a L 的最小值.1.解:由211222(log )7log 30x x ++≤,∴1213log 2x -≤≤-, ∴21log 32x ≤≤,而2222()log log (log 2)(log 1)42x xf x x x =⋅=--=222(log )3log 2x x -+=2231(log )24x --,当23log 2x =时min 1()4f x =- 此时x =322=当2log 3x =时max 91()244f x =-=,此时8x =. 2. 解:(1)由题设,需12(0)0,1a f a -+==∴=,1212()xxf x -+∴=经验证,()f x 为奇函数,1a ∴=---------(2分)(2)减函数--------------(3分)由(1∴3. 则(f (2) -∴(f 故函数(3)函数在区间上是增函数 111t ⎨⎪-<-<⎩2故关于t 的不等式的解集为1(0,2. 4(1) 由条件得f(1)=f(1)+f(1),所以f(1)=0 (2) 法一:设k 为一个大于1的常数,x ∈R+,则 f(kx)=f(x)+f(k)因为k>1,所以f(k)<0,且kx>x所以kx>x,f(kx)<f(x)对x ∈R+恒成立,所以 f(x)为R+上的单调减函数 法二:设()2121,0,x x x x <+∞∈且令1,12>=k kx x 则有题知,f(k)<0)()(0)()(2121x f x f x f x f >>-∴即所以f(x)在(0,+∞)上为减函数 法三:设()2121,0,x x x x <+∞∈且)()(0)()(2121x f x f x f x f >>-∴即 所以f(x)在(0,+∞)上为减函数 5解:f(x)=(x-b)2-b 2+4b的对称轴为直线x =b ( b ≥1), (I) ①当1≤b ≤4时,g(b)=f(b)=-b 2+b ; ②当b >4时,g(b)=f(4)=16-31,(II) b ②当b 6. 解:∵点(P ∴'y -(2)又0a >∵()f x ∵01a <<∴22a a +>,则22()43r x x ax a =-+在[2,3]a a ++上为增函数, ∴函数22()log (43)a u x x ax a =-+在[2,3]a a ++上为减函数,从而max [()](2)log (44)a u x u a a =+=-。
一、选择题1.如果函数()y f x =在区间I 上是增函数,而函数()f x y x=在区间I 上是减函数,那么称函数()f x 在区间I 上为“缓增函数”,区间I 为()f x 的“缓增区间”.若函数()224f x x x =-+是区间I 上的“缓增函数”,则()f x 的“缓增区间”I 为( )A .[)1,+∞B .[)2,+∞C .[]0,1D .[]1,22.已知函数()f x 的定义域是[]2,3-,则()23f x -的定义域是( ) A .[]7,3-B .[]3,7-C .1,32⎡⎤⎢⎥⎣⎦D .1,32⎡⎤-⎢⎥⎣⎦3.已知函数(2)f x 的定义域为3(0,)2,则函数(13)f x -的定义域是( ) A .21(,)33-B .11(,)63-C .(0,3)D .7(,1)2-4.已知定义域为(0,)+∞的函数()f x 满足:()()()1f xy f x f y =++,当1x >时,()1f x <-,且128f ⎛⎫= ⎪⎝⎭,则不等式()(3)3f x f x +->-的解集为( )A .(0,3)B .(1,2)C .(1,3)D .(0,1)(2,3)5.定义,min(,),a a ba b b a b ≤⎧=⎨>⎩,例如:min(1,2)2--=-,min(2,2)2=,若2()f x x =,2()46g x x x =--+,则()min((),())F x f x g x =的最大值为( )A .1B .8C .9D .106.若函数()()21225,012,1bb x f x x x b x x -⎧-+<<⎪=⎨⎪+-≥⎩对于任意的实数12x x ≠,都有()()()12120x x f x f x -->⎡⎤⎣⎦成立,则实数b 的取值范围为( )A .1,42⎛⎤⎥⎝⎦B .[)4,+∞C .[]1,4D .1,2⎛⎫+∞ ⎪⎝⎭7.高斯函数属于初等函数,以大数学家约翰·卡尔·弗里德里希·高斯的名字命名,其图形在形状上像一个倒悬着的钟,高斯函数应用范围很广,在自然科学、社会科学、数学以及工程学等领域都能看到它的身影,设x ∈R ,用[]x 表示不超过x 的最大整数,则[]y x =称为高斯函数,例如:[]3.14-=-,[]4.84=.则函数21()122x xf x ⎡⎤=-⎢⎥+⎣⎦的值域为( ) A .{}0,1B .{}1,1-C .{}1,0-D .{}1,0,1-8.已知的2()(1)()f x x x x ax b =+++图象关于直线1x =对称,则()f x 的值域为( ) A .[]4,-+∞ B .9,4⎡⎫-+∞⎪⎢⎣⎭C .9,44⎡⎤-⎢⎥⎣⎦D .[]0,49.函数()21xf x x =-的图象大致是( ) A .B .C .D .10.已知53()1f x ax bx =++且(5)7,f =则(5)f -的值是( ) A .5-B .7-C .5D .711.设f (x )、g (x )、h (x )是定义域为R 的三个函数,对于以下两个结论:①若f (x )+g (x )、f (x )+h (x )、g (x )+h (x )均为增函数,则f (x )、g (x )、h (x )中至少有一个增函数; ②若f (x )+g (x )、f (x )+h (x )、g (x )+h (x )均是奇函数,则f (x )、g (x )、h (x )均是奇函数, 下列判断正确的是( ) A .①正确②正确B .①错误②错误C .①正确②错误D .①错误②正确12.已知函数()f x 是奇函数,()f x 在(0,)+∞上是减函数,且在区间[,](0)a b a b <<上的值域为[3,4]-,则在区间[,]b a --上( ) A .有最大值4B .有最小值-4C .有最大值-3D .有最小值-3二、填空题13.定义在R 上的减函数()f x 满足(0)4f =,且对任意实数x 都有()(2)4f x f x +-=,则不等式|()2|2f x -<的解集为____________.14.已知函数(3)5,1()2,1ax x f x a x x--≤⎧⎪=⎨->⎪⎩是R 上的增函数,则a 的取值范围是________.15.已知函数()f x 对于任意实数x 满足条件()()12f x f x +=-,若()113f =- ,则()2019f = _________.16.已知函数2212,1()4,1x ax x f x x a x x ⎧-+≤⎪=⎨++>⎪⎩,若()f x 的最小值为(1)f ,则实数a 的取值范围是________.17.函数()12x f x =-的定义域是__________.18.设函数f (x )满足:对任意的x 1,x 2∈R 都有(x 1-x 2)[f (x 1)-f (x 2)]>0,则f (-3)与f (-π)的大小关系是________.19.设奇函数()f x 的定义域为[]5,5-,若当[]0,5x ∈时,()f x 的图象如图,则不等式()0xf x <的解集是___________.20.若函数()f x 满足()()1f x f x =-,()()13f x f x +=--当且仅当(]1,3x ∈时,()3f x x =,则()57f =______. 三、解答题21.已知函数()21f x x=- (1)证明函数()f x 在()0,∞+上是减函数. (2)求函数()f x 在[)2,x ∈+∞时的值域. 22.已知函数()22mf x x x=-. (1)当1m =时,判断()f x 在()0,∞+上的单调性,并用定义法加以证明. (2)已知二次函数()g x 满足()()2446g x g x x =++,()13g =-.若不等式()()g x f x >恒成立,求m 的取值范围.23.已知二次函数()2f x x bx c =++的图象经过点()1,13,且函数12y f x ⎛⎫=-⎪⎝⎭是偶函数.(1)求()f x 的解析式;(2)已知2t <,()()213g x f x x x ⎡⎤=--⋅⎣⎦,求函数()g x 在区间[],2t 上的最大值和最小值;24.已知函数2()7f x x mx m =++-,m R ∈.(1)若()f x 在区间[2,4]上单调递增,求m 的取值范围; (2)求()f x 在区间[1,1]-上的最小值()g m ;25.已知函数()y f x =是定义在R 上的奇函数,且当0x ≥时,()22f x x x =+.(1)求函数()f x 的解析式;(2)指出函数()f x 在R 上的单调性(不需要证明);(3)若对任意实数m ,()()20f m f m t +->恒成立,求实数t 的取值范围.26.已知函数()y f x =的定义域为D ,如果存在区间[],a b D ⊆,使得[]{}[]|(),,,=∈=y y f x x a b a b ,则称区间,a b 为函数()y f x =的一个和谐区间.(1)直接写出函数3()f x x =的所有和谐区间;(2)若区间[]0,m 是函数3()22=-f x x 的一个和谐区间,求实数m 的值; (3)若函数2()2()=-+∈f x x x m m R 存在和谐区间,求实数m 的取值范围.【参考答案】***试卷处理标记,请不要删除一、选择题 1.D 解析:D 【分析】 求得()42f x x x x=+-,利用双勾函数的单调性可求出函数()f x x 的单调递减区间,并求出函数()f x 的单调递增区间,取交集可得出()f x 的“缓增区间”. 【详解】由二次函数的基本性质可知,函数()224f x x x =-+的单调递增区间为[)1,+∞.设()()42f x g x x x x==+-,则函数()g x 在区间(]0,2上为减函数,在区间[)2,+∞上为增函数,下面来证明这一结论.任取1x 、[)22,x ∈+∞且12x x >,即122x x >≥,()()()1212121212444422g x g x x x x x x x x x ⎛⎫⎛⎫⎛⎫-=+--+-=-+- ⎪ ⎪ ⎪⎝⎭⎝⎭⎝⎭()()()()21121212121244x x x x x x x x x x x x ---=-+=,122x x >≥,则120x x ->,124x x >,所以,()()12g x g x >,所以,函数()g x 在区间[)2,+∞上为增函数,同理可证函数()g x 在区间(]0,2上为减函数. 因此,()f x 的“缓增区间”为[)(][]1,0,21,2I =+∞=.故选:D. 【点睛】关键点点睛:本题考查函数的新定义,求解本题的关键在于理解“缓增区间”的定义,结合二次函数和双勾函数的单调性求对应函数的单调区间.2.C解析:C 【分析】由2233x -≤-≤解得结果即可得解. 【详解】因为函数()f x 的定义域是[]2,3-,所以23x -≤≤, 要使()23f x -有意义,只需2233x -≤-≤,解得132x ≤≤。
一、选择题1.我们把定义域为[)0,+∞且同时满足以下两个条件的函数()f x 称为“Ω函数”:①对任意的[)0,x ∈+∞,总有()0f x ≥;②若0x ≥,0y ≥,则有()()()f x y f x f y +≥+成立,给出下列四个结论:(1)若()f x 为“Ω函数”,则()00f =;(2)若()f x 为“Ω函数”,则()f x 在[)0,+∞上为增函数;(3)函数()0,1,x Qg x x Q∈⎧=⎨∉⎩在[)0,+∞上是“Ω函数”(Q 为有理数集);(4)函数()2g x x x =+在[)0,+∞上是“Ω函数”;其中正确结论的个数是( ) A .1B .2C .3D .42.如果函数()y f x =在区间I 上是增函数,而函数()f x y x=在区间I 上是减函数,那么称函数()f x 在区间I 上为“缓增函数”,区间I 为()f x 的“缓增区间”.若函数()224f x x x =-+是区间I 上的“缓增函数”,则()f x 的“缓增区间”I 为( )A .[)1,+∞B .[)2,+∞C .[]0,1D .[]1,23.已知函数()2,125,1x ax x f x ax x ⎧-+≤=⎨->⎩若存在12,x x R ∈,且12x x ≠,使得()()12f x f x =成立,则实数a 的取值范围是( ) A .4a < B .2a < C .2a > D .R4.已知函数(1)f x +为偶函数,当0x >时,23()f x x x =+,则(2)f -=( ) A .4-B .12C .36D .805.已知函数()f x 的定义域是[]2,3-,则()23f x -的定义域是( ) A .[]7,3-B .[]3,7-C .1,32⎡⎤⎢⎥⎣⎦D .1,32⎡⎤-⎢⎥⎣⎦6.设函数()y f x =的定义域D ,若对任意的1x D ∈,总存在2x D ∈,使得()()121f x f x ⋅=,则称函数()y f x =具有性质M .下列结论:①函数3x y =具有性质M ; ②函数3y x x =-具有性质M ;③若函数8log (2)y x =+,[]0,x t ∈具有性质M ,则510t =. 其中正确的个数是( ) A .0个B .1个C .2个D .3个7.高斯函数属于初等函数,以大数学家约翰·卡尔·弗里德里希·高斯的名字命名,其图形在形状上像一个倒悬着的钟,高斯函数应用范围很广,在自然科学、社会科学、数学以及工程学等领域都能看到它的身影,设x ∈R ,用[]x 表示不超过x 的最大整数,则[]y x =称为高斯函数,例如:[]3.14-=-,[]4.84=.则函数21()122x xf x ⎡⎤=-⎢⎥+⎣⎦的值域为( ) A .{}0,1B .{}1,1-C .{}1,0-D .{}1,0,1-8.已知定义在R 上的函数()f x 满足:对任意的[)()1212,2,x x x x ∈+∞≠,有()()21210f x f x x x ->-,且()2f x +是偶函数,不等式()()121f m f x +≥-对任意的[]1,0x ∈-恒成立,则实数m 的取值范围是( )A .[]4,6-B .[]4,3-C .(][),46,-∞-+∞ D .(][),43,-∞-⋃+∞9.已知函数224()3f x x x=-+,()2g x kx =+,若对任意的1[1,2]x ∈-,总存在2[1x ∈,使得12()()g x f x >,则实数k 的取值范围是( ).A .1,12⎛⎫ ⎪⎝⎭B .12,33⎛⎫- ⎪⎝⎭C .1,12⎛⎫-⎪⎝⎭D .以上都不对10.已知()f x 在[],x a b ∈的最大值为M ,最小值为m ,给出下列五个命题:( ) ①若对任何[],x a b ∈都有()p f x ≤,则p 的取值范围是(],m -∞. ②若对任何[],x a b ∈都有()p f x ≤,则p 的取值范围是(],M -∞. ③若关于x 的方程()p f x =在区间[],a b 有解,则p 的取值范围是[],m M . ④若关于x 的不等式()p f x ≤在区间[],a b 有解,则p 的取值范围是(],m -∞. ⑤若关于x 的不等式()p f x ≤在区间[],a b 有解,则p 的取值范围是(],M -∞. A .4B .3C .2D .111.某兴趣小组对函数()f x 的性质进行研究,发现函数()f x 是偶函数,在定义域R 上满足(1)(1)(1)f x f x f +=-+,且在区间[1,0]-为减函数.则(3)f -与5()2f -的关系为( )A .5(3)()2f f -≥- B .5(3)()2f f ->- C .5(3)()2f f -≤- D .5(3)()2f f -<-12.已知函数log ,0(),0a xx x f x a x >⎧=⎨≤⎩(0a >,且1a ≠),则((1))f f -=( ) A .1B .0C .-1D .a二、填空题13.定义在R 上的减函数()f x 满足(0)4f =,且对任意实数x 都有()(2)4f x f x +-=,则不等式|()2|2f x -<的解集为____________.14.若函数f (x )=(x +a )(bx +a )(常数a ,b ∈R)是偶函数,且它的值域为(,1]-∞,则a=_____. 15.对于任意的1,32m ⎡⎤∈⎢⎥⎣⎦,不等式224t mt m +>+恒成立,则实数t 的取值范围是________________.16.已知定义在R 上的函数()f x 满足:①(1)0f =;②对任意x ∈R 的都有()()f x f x -=-;③对任意的12,(0,)x x ∈+∞且12x x ≠时,都有()()12120f x f x x x ->-.记2()3()()1f x f xg x x --=-,则不等式()0g x ≤的解集______.17.已知函数()2(1)mf x m m x =--是幂函数,且()f x 在(0,)+∞上单调递增,则实数m =________.18.若对任意02x ≤≤,恒有2x ax b c ++≤成立,则当c 取最小值时,函数()24f x x a x b x c =-+-+-的最小值为________.19.已知函数()2()10f x x ax a =++>,若“()f x 的值域为[)0,+∞”为真命题,则()3f =________.20.函数()f x =的单调递增区间为__________.三、解答题21.已知函数()22f x mx mx n =-+ ()0m >在区间[]1,3上的最大值为5,最小值为1,设()()=f xg x x. (1)求m 、n 的值;(2)证明:函数()g x 在)+∞上是增函数;(3)若函数F ()()22x xx g k =-⋅=0,在[]1,1x ∈-上有解,求实数k 的取值范围.22.已知函数()()(),f x x x a a R g x x =-∈= (1)若0a =,试写出函数()f x 的单调区间;(2)记()()()F x g x f x =⋅,若()F x 为偶函数,求实数a 的值; (3)当1a >时,记()()()G x f x g x =+,试求函数()G x 在区间[]1,2上的最大值.23.已知函数()x af x x+=(a 为常数),其中()0f x <的解集为()4,0-.(1)求实数a 的值;(2)设()()g x x f x =+,当()0x x >为何值时,()g x 取得最小值,并求出其最小值.24.已知奇函数()()2?2,1,1xxf x a x -=+∈-. (1)求实数a 的值;(2)判断()f x 在()1,1-上的单调性并进行证明;(3)若函数()f x 满足()()1120,f m f m -+-<求实数m 的取值范围.25.已知函数1f x x =+ (1)求函数()f x 的解析式、定义域;(2)函数()()g x f x ax =-,[]2,4x ∈,求函数()g x 的最小值. 26.已知一次函数()y f x =满足()12f x x a -=+, . 在所给的三个条件中,任选一个补充到题目中,并解答. ①()5f a =,②142a f ⎛⎫=⎪⎝⎭,③()()41226f f -=. (1)求函数()y f x =的解析式;(2)若()()()g x x f x f x x λ=⋅++在[]0,2上的最大值为2,求实数λ的值.【参考答案】***试卷处理标记,请不要删除一、选择题 1.B 解析:B 【分析】利用“Ω函数”的定义依次判断即可,必须同时满足“Ω函数”的两个条件,才是“Ω函数”. 【详解】解:对(1),由①得()00f ≥, 在②中令0x y ==, 即()()020f f =, 解得:()00f ≤,()00f ∴=,故(1)正确;对(2),当()0f x =时,满足①②,但在[)0,+∞不是增函数,故(2)错误;对(3),当x ,y 都为正无理数时,不满足②,故(3)错误; 对(4),()2g x x x =+,当[)0,x ∈+∞时,min ()(0)00g x g ==≥, 即满足条件①,222()()()()20g x y g x g y x y x y x x y y xy +--=+++----=≥,即满足条件②,∴函数2()g x x x =+在[0,)+∞上是“Ω函数”,故(4)正确.故选:B. 【点睛】关键点点睛:本题解题的关键是理解“Ω函数”的定义,必须同时满足“Ω函数”的两个条件,才是“Ω函数”.2.D解析:D 【分析】 求得()42f x x x x=+-,利用双勾函数的单调性可求出函数()f x x 的单调递减区间,并求出函数()f x 的单调递增区间,取交集可得出()f x 的“缓增区间”. 【详解】由二次函数的基本性质可知,函数()224f x x x =-+的单调递增区间为[)1,+∞.设()()42f x g x x x x==+-,则函数()g x 在区间(]0,2上为减函数,在区间[)2,+∞上为增函数,下面来证明这一结论.任取1x 、[)22,x ∈+∞且12x x >,即122x x >≥,()()()1212121212444422g x g x x x x x x x x x ⎛⎫⎛⎫⎛⎫-=+--+-=-+- ⎪ ⎪ ⎪⎝⎭⎝⎭⎝⎭()()()()21121212121244x x x x x x x x x x x x ---=-+=,122x x >≥,则120x x ->,124x x >,所以,()()12g x g x >,所以,函数()g x 在区间[)2,+∞上为增函数,同理可证函数()g x 在区间(]0,2上为减函数. 因此,()f x 的“缓增区间”为[)(][]1,0,21,2I =+∞=.故选:D. 【点睛】关键点点睛:本题考查函数的新定义,求解本题的关键在于理解“缓增区间”的定义,结合二次函数和双勾函数的单调性求对应函数的单调区间.3.A解析:A 【分析】首先确定1x ≤时()f x 的对称轴2a x =,分别在12a <和12a≥两种情况下,结合二次函数的对称性和数形结合的方式确定不等关系求得结果. 【详解】当1x ≤时,()2f x x ax =-+是开口方向向下,对称轴为2ax =的二次函数, ①当12a<,即2a <时,由二次函数对称性知:必存在12x x ≠,使得()()12f x f x =; ②当12a≥,即2a ≥时,若存在12x x ≠,使得()()12f x f x =,则函数图象需满足下图所示:即125a a -+>-,解得:4a <,24a ∴≤<; 综上所述:4a <. 故选:A. 【点睛】思路点睛:根据()()12f x f x =可知分段函数某一段自身具有对称轴或两个分段的值域有交集,通过函数图象进行分析即可确定结果.4.D解析:D 【分析】首先根据函数(1)f x +为偶函数,得到(1)(1)f x f x +=-+,所以有(2)(4)f f -=,结合题中所给的函数解析式,代入求得结果. 【详解】∵函数(1)f x +为偶函数,所以图象关于y 轴对称,即(1)(1)f x f x +=-+, 构造(2)(31)(31)(4)f f f f -=-+=+=,而40>,所以23(4)4+4=16(14)80f =⨯+=. 故选:D. 【点睛】思路点睛:该题考查的是有关函数的问题,解题思路如下: (1)根据函数(1)f x +为偶函数,得到(1)(1)f x f x +=-+; (2)根据(1)(1)f x f x +=-+,得到(2)(4)f f -=; (3)结合当0x >时,23()f x x x =+,将4x =代入求得结果.5.C解析:C 【分析】由2233x -≤-≤解得结果即可得解. 【详解】因为函数()f x 的定义域是[]2,3-,所以23x -≤≤, 要使()23f x -有意义,只需2233x -≤-≤,解得132x ≤≤。
一、选择题1.已知函数()f x =的定义域为R ,则实数m 的取值范围是( )A .04m ≤≤B .04m <≤C .04m ≤<D .04m <<2.已知函数()32f x x =-,2()2g x x x =-,(),()()()(),()()g x f x g x F x f x f x g x ≥⎧=⎨<⎩,则( )A .()F x 的最大值为3,最小值为1B .()F x 的最大值为2C .()F x 的最大值为7-,无最小值D .()F x 的最大值为3,最小值为-13.已知函数()y f x =是定义在R 上的单调函数,()0,2A ,()2,2B -是其函数图像上的两点,则不等式()12f x ->的解集为( ) A .()1,3 B .()(),31,-∞-⋃+∞ C .()1,1- D .()(),13,-∞+∞4.若函数()f x =在[]1,3-上具有单调性,则实数a 的可能取值是( )A .4-B .5C .14D .235.设函数()y f x =的定义域D ,若对任意的1x D ∈,总存在2x D ∈,使得()()121f x f x ⋅=,则称函数()y f x =具有性质M .下列结论:①函数3x y =具有性质M ; ②函数3y x x =-具有性质M ;③若函数8log (2)y x =+,[]0,x t ∈具有性质M ,则510t =. 其中正确的个数是( ) A .0个B .1个C .2个D .3个6.已知,a t 为正实数,函数()22f x x x a =-+,且对任意[]0,x t ∈,都有()f x a ≤成立.若对每一个正实数a ,记t 的最大值为()g a ,若函数()g a 的值域记为B ,则下列关系正确的是( ) A .2B ∈B .12B ∉C .3B ∈D .13B ∉7.已知函数()3221xf x x =-+,且()()20f a f b ++<,则( ) A .0a b +<B .0a b +>C .10a b -+>D .20a b ++<8.设二次函数2()()f x x bx b =+∈R ,若函数()f x 与函数(())f f x 有相同的最小值,则实数b 的取值范围是( ) A .(,2]-∞B .(,0]-∞C .(,0][2,)-∞+∞D .[2,)+∞9.已知定义在R 上的函数()2||·x f x x e =,(a f log =, 312b f log ⎛=⎫ ⎪⎝⎭,()ln3c f = ,则a ,b ,c 的大小关系是( )A .c a b >>B .b c a >>C .a b c >>D .c b a >>10.已知定义在R 上的函数()f x 满足:对任意的[)()1212,2,x x x x ∈+∞≠,有()()21210f x f x x x ->-,且()2f x +是偶函数,不等式()()121f m f x +≥-对任意的[]1,0x ∈-恒成立,则实数m 的取值范围是( )A .[]4,6-B .[]4,3-C .(][),46,-∞-+∞D .(][),43,-∞-⋃+∞11.如果()()211f x mx m x =+-+在区间(]1-∞,上为减函数,则m 的取值范围( ) A .103⎛⎤ ⎥⎝⎦,B .103⎡⎤⎢⎥⎣⎦,C .103⎡⎫⎪⎢⎣⎭,D .103⎛⎫ ⎪⎝⎭,12.已知函数()f x 是奇函数,()f x 在(0,)+∞上是减函数,且在区间[,](0)a b a b <<上的值域为[3,4]-,则在区间[,]b a --上( ) A .有最大值4B .有最小值-4C .有最大值-3D .有最小值-3二、填空题13.已知函数f (x )满足2f (x )+f (-x )=3x ,则f (x )=________.14.若函数2(21)1,0()(2),0b x b x f x x b x x -+->⎧=⎨-+-≤⎩,满足对任意12x x ≠,都有1212()()0f x f x x x ->-成立,那么b 的取值范围是_____.15.函数y x =+______.16.若对任意x ,y R ∈都有()()()f x y f x f y +=⋅,且()12f =,则()()()()()()246135f f f f f f +++⋅⋅⋅()()()()()()201020122014200920112013f f f f f f +++的值是______. 17.已知二次函数f (x )=ax 2﹣2x +1在区间[1,3]上是单调函数,那么实数a 的取值范围是_____.18.定义域为R 的函数()f x 满足(2)2()f x f x +=,当[0,2)x ∈时,21.5,[0,1)()0.5,[1,2)x x x x f x x -⎧-∈⎪=⎨-∈⎪⎩,若[4,2)x ∈--时,1()42t f x t ≥-恒成立,则实数t 的取值范围是______.19.函数y =的定义域是R ,则a 的取值范围是_________.20.下列给出的命题中:①若()f x 的定义域为R ,则()()()g x f x f x =+-一定是偶函数;②若()f x 是定义域为R 的奇函数,对于任意的x ∈R 都有()(2)0f x f x +-=,则函数()f x 的图象关于直线1x =对称;③某一个函数可以既是奇函数,又是偶函数;④若1()2ax f x x +=+在区间(2,)-+∞上是增函数,则12a >; 其中正确的命题序号是__________.三、解答题21.已知函数2()7f x x mx m =++-,m R ∈.(1)若()f x 在区间[2,4]上单调递增,求m 的取值范围; (2)求()f x 在区间[1,1]-上的最小值()g m ;22.二次函数()f x 满足()01f =,且()()12f x f x x +-=. (1)求()f x 的解析式;(2)若()f x 在区间[]2,1a a +上不单调,求a 的取值范围. 23.在①()()121f x f x x +=+-,②()()11f x f x +=-且()03f =,③()2f x ≥恒成立且()03f =这三个条件中任选一个,补充在下面的问题中,并作答.问题:已知二次函数()f x 的图象经过点()1,2,_________. (1)求()f x 的解析式; (2)求()f x 在[]1,4-上的值域.24.已知函数()y f x =的定义域为D ,如果存在区间[],a b D ⊆,使得[]{}[]|(),,,=∈=y y f x x a b a b ,则称区间,a b 为函数()y f x =的一个和谐区间.(1)直接写出函数3()f x x =的所有和谐区间;(2)若区间[]0,m 是函数3()22=-f x x 的一个和谐区间,求实数m 的值; (3)若函数2()2()=-+∈f x x x m m R 存在和谐区间,求实数m 的取值范围.25.已知二次函数 ()f x 的值域为[4,)-+∞,且不等式0( )f x <的解集为(1,3)-. (1)求()f x 的解析式;(2)若对于任意的[2,2]x ∈-,都有2() f x x m >+恒成立,求实数m 的取值范围. 26.已知一次函数()y f x =满足()12f x x a -=+, . 在所给的三个条件中,任选一个补充到题目中,并解答.①()5f a =,②142a f ⎛⎫=⎪⎝⎭,③()()41226f f -=. (1)求函数()y f x =的解析式;(2)若()()()g x x f x f x x λ=⋅++在[]0,2上的最大值为2,求实数λ的值.【参考答案】***试卷处理标记,请不要删除一、选择题 1.C 解析:C 【分析】由题意可知,对任意的x ∈R ,210mx mx ++>恒成立,然后分0m =和0m ≠,结合题意可得出关于实数m 的不等式组,由此可解得实数m 的取值范围. 【详解】由题意可知,对任意的x ∈R ,210mx mx ++>恒成立. 当0m =时,则有10>,合乎题意; 当0m ≠时,则有240m m m >⎧⎨∆=-<⎩,解得04m <<. 综上所述,04m ≤<. 故选:C. 【点睛】结论点睛:利用二次不等式在实数集上恒成立,可以利用以下结论来求解: 设()()20f x ax bx c a =++≠①()0f x >在R 上恒成立,则00a >⎧⎨∆<⎩; ②()0f x <在R 上恒成立,则00a <⎧⎨∆<⎩; ③()0f x ≥在R 上恒成立,则00a >⎧⎨∆≤⎩; ④()0f x ≤在R 上恒成立,则00a <⎧⎨∆≤⎩. 2.C解析:C 【分析】在同一坐标系中先画出()f x 与()g x 的图象,然后根据定义画出()F x ,就容易看出()F x 有最大值,无最小值,解出两个函数的交点,即可求得最大值. 【详解】在同一坐标系中先画出()f x 与()g x 的图象,如图然后根据定义画出()F x ,就容易看出()F x 有最大值,无最小值. 由图象可知,当0x <时,()y F x =取得最大值, 所以由232||2x x x -=-得27x =+或27x =-.结合函数图象可知当27x =-时,函数()F x 有最大值727-,无最小值. 故选:C .【点睛】关键点睛:本题主要考查了函数的图象,以及利用函数求最值,解答本题的关键是在同一坐标系中画出()f x 与()g x 的图象,根据图象得出函数的最值,由232||2x x x -=-得27x =+或27x =-.3.D解析:D 【分析】根据题意可得出(0)2,(2)2f f ==-,从而得出()f x 在R 上为减函数,从而根据不等式()12f x ->得,(1)(2)f x f -<或(1)(0)f x f ->,从而得出12x ->或10x -<,解出x 的范围 【详解】解:由题意得(0)2,(2)2f f ==-, 因为函数()y f x =是定义在R 上的单调函数, 所以()f x 在R 上为减函数,由()12f x ->,得(1)2f x ->或(1)2f x -<-, 所以(1)(0)f x f ->或(1)(2)f x f -<,所以10x -<或12x ->, 解得1x <或3x >,所以不等式()12f x ->的解集为()(),13,-∞+∞,故选:D 【点睛】关键点点睛:此题考查函数单调性的应用,考查绝对值不等式的解法,解题的关键是把()12f x ->转化为(1)(0)f x f ->或(1)(2)f x f -<,再利用()f x 在R 上为减函数,得10x -<或12x ->,考查数学转化思想,属于中档题 4.C解析:C 【分析】令函数()218g x x ax =-++,则只需使当[]1,3x ∈-时,()0g x ≥且单调,然后针对()3210a g ⎧≥⎪⎨⎪-≥⎩或()1230ag ⎧≤-⎪⎨⎪≥⎩两种情况讨论求解. 【详解】由题意可设()218g x x ax =-++,则当[]1,3x ∈-时,()218g x x ax =-++单调,且()0g x ≥恒成立,因为()218g x x ax =-++的对称轴方程为2a x =, 则()3210a g ⎧≥⎪⎨⎪-≥⎩或()1230ag ⎧≤-⎪⎨⎪≥⎩,解得617a ≤≤或32a --≤≤,即[][]6,173,2a ∈--,则只有14满足题意. 故选:C . 【点睛】本题考查根据复合函数的单调性求参数的取值范围,解答时注意不仅要使原函数在所给区间上单调,且必须使原函数在所给区间上有意义.5.C解析:C 【分析】根据函数性质M 的定义和指数对数函数的性质,结合每个选项中具体函数的定义,即可判断. 【详解】解:对于①:3xy =的定义域是R ,所以1212()()13x x f x f x +⋅==,则120x x +=.对于任意的1x D ∈,总存在2x D ∈,使得()()121f x f x ⋅=, 所以函数3xy =具有性质M ,①正确;对于②:函数3y x x =-的定义域为R ,所以若取10x =,则1()0f x =,此时不存在2x R ∈,使得12()()1f x f x ⋅=,所以函数3y x x =-不具有性质M ,②错误;对于③:函数8log (2)y x =+在[]0,t 上是单调增函数,其值域为[]88log 2,log (2)t +,要使得其具有M 性质,则88881log 2log (2)1log (2)log 2t t ⎧≤⎪+⎪⎨⎪+≤⎪⎩,即88log 2log (2)1t ⨯+=,解得3(2)8t +=,510t =, 故③正确; 故选:C. 【点睛】本题考查函数新定义问题,对数和指数的运算,主要考查运算求解能力和转换能力,属于中档题型.6.A解析:A 【分析】根据函数的特征,要对t 进行分类讨论,求出t 的最大值,再根据a 是正实数,求出()g a 的值域即可判断答案. 【详解】 解:2()2f x x x a =-+∴函数()f x 的图象开口向上,对称轴为1x =①01t <时,()f x 在[0,]t 上为减函数,()(0)max f x f a ==,2()()2min f x f t t t a ==-+ 对任意的[0x ∈,]t ,都有()[f x a ∈-,]a . 22a t t a ∴-≤-+,即2220t t a -+≥,当()()22424120a a ∆=--⨯=-≤,即12a ≥时,01t <, 当()()22424120a a ∆=--⨯=->,即102a <<时,11t ≤ ②1t >时,()f x 在[0,1]上为减函数,在[1,]t 上为增函数,则()()11min f x f a a ==-≥-,2(){(0),()}{,2}max f x max f f t max a t t a a ==-+≤,12a ∴≥,且22t t a a -+,即12t < t 的最大值为()g a综上可得,当12a ≥时(]0,2t ∈当102a <<时,()0,1t ∈ ∴函数()g a 的值域为(]0,2故选:A . 【点睛】二次函数、二次方程与二次不等式统称“三个二次”,它们常结合在一起,有关二次函数的问题,数形结合,密切联系图象是探求解题思路的有效方法.一般从:①开口方向;②对称轴位置;③判别式;④端点函数值符号四个方面分析.7.A解析:A 【分析】求得函数的单调性,构造奇函数利用单调性得解 【详解】由函数单调性性质得:3y x =,21xy =+在R 上单调递增所以()3221xf x x =-+在R 上单调递增, 令函数()()321121x x g x f x x -=+=-+,()()0g x g x +-=则函数()g x 为奇函数,且在R 上单调递增,故()()20f a f b ++<()()g a g b ⇔<-0a b a b ⇔<-⇔+<. 故选:A 【点睛】构造奇函数利用单调性是解题关键.8.C解析:C 【分析】由于参数b 的不确定性,可进行分类讨论,再结合二次函数对称轴和最值特点求解即可. 【详解】当0b =时,()2f x x =,()[)0,f x ∈+∞,()()[)0,ff x ∈+∞,符合题意;当0b <时,22()24b f b x x ⎛⎫=+ ⎪⎝-⎭,对称轴为02b x =->,画出大致图像,令()t f x =,min 0t <,则()()()f f x f t =,[)min,t t∈+∞,显然能取到相同的最小值,符合;当0b >时,对称轴为b x 02=-<,()2min 24b b f x f ⎛⎫=-=- ⎪⎝⎭,令()t f x =,2,4b t ⎡⎫∈-+∞⎪⎢⎣⎭,要使()f x 与函数()f t 有相同的最小值,则需满足:242b b-≤-,解得[2,)b ∈+∞综上所述,则b ∈(-∞,0]∪[2,+∞) 故选:C. 【点睛】本题解题关键是对二次函数对称轴进行分类讨论,同时结合最值与对称轴的关系解决问题.9.A解析:A 【分析】可看出()f x 在(0,)+∞上单调递增,且得出3(log 2)b f =,并且可得出33ln 3log 5log 2>,根据增函数的定义即可得出a ,b ,c 的大小关系.【详解】0x >时,2()x f x x e =是增函数,且()()f x f x -=,33(log 2)(log 2)b f f ∴=-=,33330log 1log 2log 5log 31=<<<=,ln3ln 1e >=,∴33ln 3log 5log 2>>,∴33(ln 3)(log (log 2)f f f >>,c a b ∴>>. 故选:A . 【点睛】解答比较大小问题,常见思路有两个:一是判断出各个数值所在区间(一般是看三个区间()()(),0,0,1,1,-∞+∞ );二是利用函数的单调性直接解答;数值比较多的比大小问题也可以两种方法综合应用.10.C解析:C 【分析】根据已知条件可知()f x 在(,2]-∞上单调递减,在[2,)x ∈+∞上单调递增,由不等式在[]1,0x ∈-恒成立,结合()f x 的单调性、对称性即可求m 的取值范围.【详解】对任意的[)()1212,2,x x x x ∈+∞≠,有()()21210f x f x x x ->-,知:()f x 在[2,)x ∈+∞上单调递增,()2f x +是偶函数,知:()f x 关于2x =对称,∴()f x 在(,2]-∞上单调递减,在[2,)x ∈+∞上单调递增;∵不等式()()121f m f x +≥-对任意的[]1,0x ∈-恒成立,且3211x -≤-≤-, ∴max (1)(21)(3)f m f x f +≥-=-即可,而根据对称性有(1)(7)f m f +≥, ∴综上知:13m +≤-或17m +≥,解得(][),46,x ∈-∞-+∞,故选:C 【点睛】结论点睛:注意抽象函数单调性、对称性判断 对任意的()1212,x x x x ≠:()()21210f x f x x x ->-有()f x 单调递增;()()21210f x f x x x -<-有()f x 单调递减;当()f x n +是偶函数,则()f x 关于x n =对称;思路点睛:对称型函数不等式在一个闭区间上恒成立:在对称轴两边取大于或小于该闭区间最值即可,结合函数区间单调性求解.11.B解析:B 【分析】当m =0时,()f x =1x -,符合题意.当0m ≠时,由题意可得0112m m m>⎧⎪-⎨≥⎪⎩,求得m 的范围.综合可得m 的取值范围.【详解】当0m =时,()1f x x =-+,满足在区间(]1-∞,上为减函数; 当0m ≠时,由于()()211f x mx m x =+-+的对称轴为12mx m-=,且函数在区间(]1-∞,上为减函数, 则0112m m m>⎧⎪-⎨≥⎪⎩,解得103m <≤.综上可得,103m ≤≤. 故选:B 【点睛】要研究二次型函数单调区间有关问题,首先要注意二次项系数是否为零.当二次项系数不为零时,利用二次函数的对称轴来研究单调区间.12.B解析:B 【分析】根据奇函数的性质,分析()f x 在对称的区间上单调性相同,即可找出最大值与最小值. 【详解】∵()f x 是奇函数,在(0,)+∞上是减函数,∴()f x 在(,0)-∞上也是减函数,即在区间[,](0)a b a b <<上递减. 又∵()f x 在区间[,](0)a b a b <<上的值域为[3,4]-, ∴()()4,3,f a f b ==-根据奇函数的性质可知()()4,3,f a f b -=--=且在区间[,]b a --上单调递减, ∴()f x 在区间[,]b a --上有最大值3,有最小值-4. 故选:B. 【点睛】本题考查了奇函数的单调性和值域特点,如果性质记不熟,可以将大致图像画出.本题属于中等题.二、填空题13.【分析】因为2f(x)+f(-x)=3x ①所以将x 用-x 替换得2f(-x)+f(x)=-3x②解上面两个方程即得解【详解】因为2f(x)+f(-x)=3x①所以将x 用-x 替换得2f(-x)+f(x) 解析:3x【分析】因为2f (x )+f (-x )=3x ,①,所以将x 用-x 替换,得2f (-x )+f (x )=-3x ,②,解上面两个方程即得解. 【详解】因为2f (x )+f (-x )=3x ,①所以将x 用-x 替换,得2f (-x )+f (x )=-3x ,② 解由①②组成的方程组得f (x )=3x . 故答案为3x 【点睛】本题主要考查函数的解析式的求法,意在考查学生对该知识的理解掌握水平,属于基础题.14.【分析】由已知得出单调增然后由及可得结论【详解】因为对任意都有成立所以为单调递增函数因此故答案为:【点睛】本题考查分段函数的单调性分段函数在定义域内单调需满足分段函数的所有段同单调及相邻段端点处的函 解析:[1,2]【分析】 由已知1212()()0f x f x x x ->-得出单调增,然后由2210,02b b -->≥及10b -≥可得结论. 【详解】因为对任意12x x ≠,都有()()12120f x f x x x ->-成立,所以()f x 为单调递增函数,因此21020210b b b ->⎧⎪-⎪≥⎨⎪-≥⎪⎩,12b ∴≤≤. 故答案为:[1,2].. 【点睛】本题考查分段函数的单调性,分段函数在定义域内单调,需满足分段函数的所有段同单调及相邻段端点处的函数值满足相应的大小关系.15.【分析】利用换元法将函数换元构造出新函数由新函数的定义域结合二次函数的性质求出最值即可得到值域【详解】设则所以原函数可化为:由二次函数性质当时函数取最大值2由性质可知函数无最小值所以值域为:故答案为 解析:(],2-∞【分析】利用换元法将函数换元构造出新函数,由新函数的定义域结合二次函数的性质求出最值即可得到值域. 【详解】设)0t t =≥,则21x t =-, 所以原函数可化为:()2210y t t t =-++≥,由二次函数性质,当1t =时,函数取最大值2,由性质可知函数无最小值, 所以值域为:(],2-∞. 故答案为:(],2-∞. 【点睛】本题考查换元法求函数值域,当函数解析式中含有根式时,一般考虑换元法,用换元法时要注意一定写出新变量数的取值范围.16.2014【分析】令得利用赋值法进行求解利用即可的值【详解】对任意的都有且令则故答案为:2014【点睛】本题主要考查函数值的计算利用赋值法是解决抽象函数的常用方法解析:2014 【分析】 令1y =,得(1)2()f x f x +=,利用赋值法进行求解.利用(1)2()f x f x +=,即可()()()()()()246135f f f f f f +++⋅⋅⋅()()()()()()201020122014200920112013f f f f f f +++的值. 【详解】对任意的x ,y R ∈都有()()()f x y f x f y +=,且(1)2f =,∴令1y =,则(1)()(1)2()f x f x f f x +==,∴(1)2()f x f x +=, ∴(2)(4)(6)(2012)(2014)222210072014(1)(3)(5)(2011)(2013)f f f f f f f f f f +++⋯++=++⋯+=⨯=. 故答案为:2014. 【点睛】本题主要考查函数值的计算,利用赋值法是解决抽象函数的常用方法.17.【分析】根据二次函数的性质列不等式解不等式求得的取值范围【详解】由于为二次函数所以其对称轴为要使在区间上是单调函数则需其对称轴在区间两侧即或解得或或所以的取值范围是故答案为:【点睛】本小题主要考查二解析:()[)1,00,1,3⎛⎤-∞⋃⋃+∞ ⎥⎝⎦【分析】根据二次函数的性质列不等式,解不等式求得a 的取值范围. 【详解】由于()f x 为二次函数,所以0a ≠,其对称轴为1x a=, 要使()f x 在区间[]1,3上是单调函数,则需其对称轴1x a=在区间[]1,3两侧, 即11a≤或13a ≥,解得0a <,或1a ≥,或103a <≤, 所以a 的取值范围是()[)1,00,1,3⎛⎤-∞⋃⋃+∞ ⎥⎝⎦故答案为:()[)1,00,1,3⎛⎤-∞⋃⋃+∞ ⎥⎝⎦.【点睛】本小题主要考查二次函数的单调性,属于中档题.18.【分析】由分段函数根据单调性求得在的最小值根据求出的最小值将问题转化为解不等式即可得出结果【详解】根据已知当时则当时在处取到最小值当时在处取到最小值所以在时在处取到最小值又因为可知当时在时取到最小值 解析:(,2](0,1]-∞-⋃【分析】由分段函数根据单调性求得()f x 在[0,2)x ∈的最小值,根据(2)2()f x f x +=求出[4,2)x ∈--,()f x 的最小值,将问题转化为min 1()42t f x t≥-解不等式即可得出结果. 【详解】 根据已知,当[0,2)x ∈时,2 1.5,[0,1)()0.5,[1,2)x x x x f x x -⎧-∈⎪=⎨-∈⎪⎩, 则当[0,1)x ∈时,()f x 在0.5x =处取到最小值(0.5)0.25f =-, 当[1,2)x ∈时,()f x 在 1.5x =处取到最小值(1.5)1f =-, 所以()f x 在[0,2)x ∈时在 1.5x =处取到最小值(1.5)1f =-, 又因为(2)2()f x f x +=, 可知当[4,2)x ∈--时, ()f x 在 2.5x =-时取到最小值,且(1.5)2(0.5)4( 2.5)f f f =-=-, 则1( 2.5)(1.5)0.254f f -=⨯=-. 为使[4,2)x ∈--,1()42t f x t≥-恒成立,需11424t t -≤-, 当0t >时,可整理为220t t +-≤, 解得(0,1)t ∈; 当0t <时,可整理为220t t +-≥, 解得(,2]t ∈-∞-. 故答案为(,2](0,1]-∞-⋃. 【点睛】本题考查分段函数的应用,考查函数的单调性,将恒成立问题转化为函数的最值问题是解题的关键,属于中档题.19.【分析】根据函数的解析式可知当定义域为时说明在上恒成立则对进行分类讨论确定满足条件的的范围【详解】由题意可得在上恒成立①当时则恒成立符合题意;②当时则解得综上可得∴实数的取值范围为故答案为:【点睛】 解析:[)0,4【分析】根据函数的解析式,可知当定义域为R 时,说明210ax ax ++>在R 上恒成立,则对a 进行分类讨论,确定满足条件的a 的范围. 【详解】由题意可得210ax ax ++>在R 上恒成立. ①当0a =时,则10>恒成立,0a ∴=符合题意; ②当0a ≠时,则2040a a a >⎧⎨-<⎩,解得04a <<.综上可得04a ≤<,∴实数a 的取值范围为[)0,4. 故答案为:[)0,4. 【点睛】不等式20ax bx c ++>的解是全体实数(或恒成立)的条件是:当0a =时,00b c >=,;当0a ≠时,00a >⎧⎨∆<⎩; 不等式20ax bx c ++<的解是全体实数(或恒成立)的条件是当0a =时,00bc <=,;当0a ≠时,00a <⎧⎨∆<⎩.20.①③④【分析】①根据奇偶函数的定义判断;②利用抽象函数的对称性判断;③通过特殊函数判断;④通过分离常数转化为熟悉的函数判断【详解】①函数的定义域为所以函数的定义域也是即所以函数是偶函数故①正确;②对解析:①③④ 【分析】①根据奇偶函数的定义判断;②利用抽象函数的对称性判断;③通过特殊函数判断;④通过分离常数,转化为熟悉的函数判断. 【详解】①函数()f x 的定义域为R ,所以函数()g x 的定义域也是R ,()()()g x f x f x -=-+,即()()g x g x -=,所以函数()g x 是偶函数,故①正确;②对应任意的x ∈R ,都有()()20f x f x +-=,即函数()f x 关于()1,0对称,并不关于1x =对称,故②不正确;③函数0y =既是偶函数又是奇函数,故③正确; ④()()212112222a x a ax af x a x x x ++-+-===++++,若函数在()2,-+∞上单调递增,则120a -<,解得:12a >,故④正确. 故答案为:①③④ 【点睛】方法点睛:函数的对称性包含中心对称和轴对称,一般判断的方法包含:1.若对函数()y f x =的定义域内的任一自变量x 的值都有()()2f x f a x =-,则()y f x =的图象关于x a =成轴对称;若对函数()y f x =的定义域内的任一自变量x 的值都有()()22f x b f a x =--,则()y f x =的图象关于(),a b 成中心对称; 三、解答题21.(1)[4,)-+∞;(2)226,27(),2246,2m m m m g m m m -≤-⎧⎪+-⎪=--<<⎨⎪-≥⎪⎩. 【分析】(1)计算二次函数的对称轴,然后根据单调性可得122m -≤,计算即可. (2)分类讨论112m -≤-,1112m -<-<,112m -≥,分别计算即可. 【详解】(1)由题可知,函数2()7f x x mx m =++-()m R ∈开口向上, 对称轴的方程为2mx =-,若使得函数()f x 在[2,4]上单调递增, 则满足122m -≤,解得4m ≥-,即实数m 的取值范围[4,)-+∞. (2)①当112m -≤-即2m ≥时, 函数()y f x =在区间[1,1]-单调递增,所以函数()y f x =的最小值为()(1)6g m f =-=-; ②当1112m -<-<,即22m -<<时, 函数()y f x =在区间11,2m ⎡⎤--⎢⎥⎣⎦单调递减,在区间1,12m ⎡-⎤⎢⎥⎣⎦上单调递增, 所以函数()y f x =的最小值为21()724m g m f m m ⎛⎫=-=-+- ⎪⎝⎭; ③当112m -≥即2m ≤-时, 函数()y f x =在区间[1,1]-单调递减,所以函数()y f x =的最小值为()(1)26g m g m ==-,综上可得,函数的最小值为226,27(),2246,2m m m m g m m m -≤-⎧⎪+-⎪=--<<⎨⎪-≥⎪⎩. 【点睛】结论点睛:二次函数在区间上的最值问题:(1)动轴定区间;(2)定轴动区间;(3)动轴动区间;对本题属于动轴动区间问题需要讨论对称轴与所给区间位置关系. 22.(1)()21f x x x =-+;(2)11,24⎛⎫-⎪⎝⎭. 【分析】(1)设()2f x mx bx c =++,由()01f =可求得c 的值,由()()12f x f x x +-=可得出关于实数m 、b 的方程组,由此可解得函数()f x 的解析式; (2)求得函数()f x 的对称轴为直线12x =,根据题意可得出()12,12a a ∈+,进而可求得实数a 的取值范围. 【详解】(1)假设()2f x mx bx c =++,()01f =,则1c =,()2f x mx bx c =++,又()()12f x f x x +-=,22mx m b x ∴++=,220m m b =⎧∴⎨+=⎩,11m b =⎧∴⎨=-⎩,因此,()21f x x x =-+; (2)二次函数()f x 的图象开口向上,对称轴为直线12x =, 由于函数()f x 在区间[]2,1a a +上 不单调,则()12,12a a ∈+,即1212a a <<+,解得1124a -<<. 因此,实数a 的取值范围是11,24⎛⎫- ⎪⎝⎭. 【点睛】易错点点睛:在利用函数在区间上的单调性求参数的取值范围时,不要忽略了区间的左端点值比右端点值小这一隐含条件.23.(1)()223x x x f =-+;(2)[]2,11.【分析】(1)若选①:利用待定系数法并结合()f x 的图象经过点()1,2求解二次函数()f x 的解析式;若选②:根据对称轴方程以及()03f =并结合()f x 的图象经过点()1,2求解二次函数()f x 的解析式;若选③:根据已知条件判断出()1,2为图象的最低点,由此分析出对称轴,则二次函数的解析式可求;(2)根据(1)得到()f x 的解析式,然后利用配方法和整体替换的方法求解出()212x -+的取值范围,则()f x 在[]1,4-上的值域可求.【详解】 解:若选①,(1)设()()20f x ax bx c a =++≠,则()()()()221112f x a x b x c ax a b x a b c +=++++=+++++. 因为()()121f x f x x +=+-,所以()22221ax a b x a b c ax bx c x +++++=+++-,所以221a a b =⎧⎨+=-⎩,解得1a =,2b =-.因为()f x 的图象经过点()1,2,所以()1122f a b c c =++=-+=,所以3c =. 故()223x x x f =-+.若选②,(1)设()()20f x ax bx c a =++≠,则()f x 图象的对称轴方程为2b x a=-. 由题意可得()()120312b a fc f a b c ⎧-=⎪⎪==⎨⎪=++=⎪⎩,解得123a b c =⎧⎪=-⎨⎪=⎩.故()223x x x f =-+.若选③,(1)()()20f x ax bx c a =++≠.因为()03f =,所以3c =.因为()()21f x f ≥=,所以()13212f a b b a ⎧=++=⎪⎨-=⎪⎩,解得1a =,2b =-.故()223x x x f =-+.(2)由(1)可知()()222312f x x x x =-+=-+. 因为14x -≤≤,所以213x -≤-≤,所以()2019x ≤-≤,所以()221211x ≤-+≤. 即()f x 在[]1,4-上的值域为[]2,11. 【点睛】方法点睛:求解函数解析式常用的方法有:(1)换元法:适用于求解已知()()f g x 的解析式求解()f x 的解析式的类型; (2)待定系数法:适用于已知函数的类型求解函数解析式,如已知函数为一次函数可设()()0f x kx b k =+≠或已知函数为二次函数可设()()20f x ax bx c a =++≠;(3)方程组法:适用于已知()(),f x f x -组成的方程求解()f x 的解析式或已知()1,f x f x ⎛⎫⎪⎝⎭组成的方程求解()f x 的解析式的类型.24.(1) 1.0,0,1,[]1,1-;(2)4m =或2;(3)904≤<m . 【分析】(1)本题可令3x x =,解得0x =或±1,然后根据函数()3f x x =的单调性以及“和谐区间”定义即可得出结果;(2)本题首先可将函数转化为()342,23342,23x x f x x x ⎧-≥⎪⎪=⎨⎪-+<⎪⎩,然后令322x x -=,解得45x =或4,最后绘出函数图像,结合函数图像即可得出结果; (3)讨论1a b <≤或1a b ≤<或1a b <<,根据二次函数的性质确定函数的单调区间,再由单调性求出函数的值域,根据题干,函数的新定义即可求解. 【详解】解:(1)函数()3f x x =是增函数,定义域为R ,令3x x =,解得0x =或±1,故函数()3f x x =的所有“和谐区间”为[]1,0-、0,1、[]1,1-.(2)因为()322f x x =-, 所以()342,23342,23x x f x x x ⎧-≥⎪⎪=⎨⎪-+<⎪⎩,因为[]()0,0m m >为函数()322f x x =-的一个“和谐区间”, 所以可令322x x -=,解得45x =或4, 如图所示,绘出函数图像:结合“和谐区间”的定义易知,当4x =时满足题意,因为()02f =,所以当2m =时,()min max 2,()0f x f x ==,满足题意,故m 的值为4或2.(3)①当1a b <≤时,()f x 在,a b 上时单调递减函数,由题意有()()f a b f b a =⎧⎨=⎩, 2222a a m b b b m a⎧-+=⎨-+=⎩得1a b +=,因为1a b <≤,所以110,122≤<<≤a b , 且221-+=-a a m a ,即210-+-=a a m,解得1122+=≥a 舍去,或1122=<a,112=-=b a . 由211(0)2=-++≤<m a a a , 得514m ≤<,所以当514m ≤<时,和谐区间为⎣⎦. ②1a b ≤<时,()f x 在,a b 上时单调递增函数,由题意有()()f a a f b b=⎧⎨=⎩,所以,a b 是方程22-+=x x m x 的两个不等实根. 因为3a b +=,又1a b ≤<,得2b ≤,因而有3122≤<<≤a b , 故方程2()30=-+=g x x x m 在31,2⎡⎫⎪⎢⎣⎭和3,22⎛⎤ ⎥⎝⎦内各有一个实根,即302≤<且322<≤, 解得924≤<m , 故当924≤<m时,和谐区间为3322⎡+⎢⎣⎦. ③当1a b <<时,min ()(1)11==-=<f x f m a ,得2m < 当12a b +≤时,即2a b +≤,则max ()()==f x f a b ,得22-+=a a m b , 又1a m =-,得2331=-+>b m m ,得 2m >或1m <,又由2222+=-+≤a b m m 及2m <,解得01m ≤<,此时和谐区间为21,33⎡⎤--+⎣⎦m m m . 当12+≥a b 时,即2a b +≥,则max ()()==f x f b b ,得22-+=b b m b ,解得32=b .若32-=b ,则由2m <知3122-+=-+<a b m ,舍去;若=b,12+=-≥a b m ,解得904≤≤m , 又2m <,所以02m ≤<,此时和谐区间为31,2⎡+-⎢⎣⎦m , 综上,所求范围是904≤<m . 【点睛】关键点点睛:本题考查函数新定义,能否结合题意明确函数新定义的含义是解决本题的关键,在解决函数类的问题时,合理利用函数图像可以给解题带来很大帮助,考查数形结合思想,是中档题.25.(1)2()23f x x x =--;(2)7m <-.【分析】(1)运用待定系数法,设2()f x ax bx c =++,由题意建立方程组,解之可得函数的解析式;(2)由(1)将问题转化为243m x x <--对[2,2]x ∈-恒成立,令()22()4327g x x x x --=--=,运用二次函数的性质求得其最值,再由不等式恒成立的思想可求得m 的取值范围.【详解】(1)设()()20f x ax bx c a =++≠,由题意可知: (1)0(3)930(1)4f a b c f a b c f a b c -=-+=⎧⎪=++=⎨⎪=++=-⎩,解得123a b c =⎧⎪=-⎨⎪=-⎩,即2()23f x x x =--; (2)由(1)得243m x x <--对[2,2]x ∈-恒成立,令()22()4327g x x x x --=--=,当[2,2]x ∈-, ()[7,9]g x ∈-,故7m <-.【点睛】常用的不等式恒成立的思想:()f x a >对一切x I ∈恒成立,等价于()min f x a >;()f x a <对一切x I ∈恒成立,等价于()max f x a >.26.(1)()23f x x =+(2)2λ=-【分析】利用待定系数法求出()22f x x a =++,(1)根据所选条件,都能求出1a =,可得()23f x x =+;(2)根据对称轴与区间中点值的大小分两种情况讨论求出最大值,结合已知最大值可求得λ的值.【详解】设()f x kx b =+(0)k ≠,则(1)2k x b x a -+=+,即2kx k b x a -+=+, 所以2k =,2b a ,所以()22f x x a =++,若选①,(1)由()5f a =得225a a ++=,得1a =,所以()23f x x =+.(2)()(23)(23)g x x x x x λ=++++=22(42)3x x λλ+++, 区间[]0,2的中点值为1,对称轴为()22x λ+=-, 当()212λ+-≤,即4λ≥-时,max()(2)8843716f x f λλλ==+++=+,所以7162λ+=,解得2λ=-;当()212λ+->,即4λ<-时,max ()(0)3f x f λ==,所以32λ=,解得23λ=(舍),综上所述:2λ=-.若选②,(1)由142a f ⎛⎫= ⎪⎝⎭得14222a a =⨯++,解得1a =,所以()23f x x =+; (2)()(23)(23)g x x x x x λ=++++=22(42)3x x λλ+++,区间[]0,2的中点值为1,对称轴为()22x λ+=-, 当()212λ+-≤,即4λ≥-时,max()(2)8843716f x f λλλ==+++=+,所以7162λ+=,解得2λ=-;当()212λ+->,即4λ<-时,max ()(0)3f x f λ==,所以32λ=,解得23λ=(舍),综上所述:2λ=-.若选③,(1)由()()41226f f -=得4(22)2(42)6a a ++-++=,解得1a =,所以()23f x x =+;(2)()(23)(23)g x x x x x λ=++++=22(42)3x x λλ+++,区间[]0,2的中点值为1,对称轴为()22x λ+=-,当()212λ+-≤,即4λ≥-时,max ()(2)8843716f x f λλλ==+++=+,所以7162λ+=,解得2λ=-; 当()212λ+->,即4λ<-时,max ()(0)3f x f λ==,所以32λ=,解得23λ=(舍),综上所述:2λ=-.【点睛】关键点点睛:第二问,讨论对称轴与区间中点值的大小求最大值是解题关键.。
一、选择题1.下列函数中既是奇函数,又在区间[]1,1-上单调递减的是( ) A .1()()2xf x =B .()lg f x x =C .()f x x =-D .1()f x x=2.已知函数223,()11,x x x af x ax x a⎧--≥⎪=⎨-<⎪⎩,对于任意两个不相等的实数1x ,2x R ∈,都有不等式()()()12120x x f x f x -->⎡⎤⎣⎦成立,则实数a 取值范围是( ) A .[)3,+∞B .[]0,3C .[]3,4D .[]2,43.下列函数中,在其定义域内既是奇函数又是减函数的是( ) A .1y x=B.y =C .2x y = D .||y x x =-4.已知2()25x f x +=-,()()20g x ax a =+>,若对任意的[]11,2x ∈-,存在[]00,1x ∈,使()()10g x f x =,则a 的取值范围是( )A .1(0,]2B .1[,3]2C .[)3,+∞D .(]0,35.已知函数()3221xf x x =-+,且()()20f a f b ++<,则( ) A .0a b +<B .0a b +>C .10a b -+>D .20a b ++<6.已知定义在R 上的函数()2||·x f x x e =,(a f log =, 312b f log ⎛=⎫ ⎪⎝⎭,()ln3c f = ,则a ,b ,c 的大小关系是( )A .c a b >>B .b c a >>C .a b c >>D .c b a >>7.若函数()f x =0,,则实数m 的取值范围是( ) A .()1,4 B .()(),14,-∞⋃+∞C .(][)0,14,+∞ D .[][)0,14,+∞8.已知函数22|1|,7,()ln ,.x x e f x x e x e --⎧+-≤<=⎨≤≤⎩若存在实数m ,使得2()24f m a a =-成立,则实数a 的取值范围是( ) A .[-1,+∞) B .(-∞,-1]∪[3,+∞) C .[-1,3] D .(-∞,3]9.若函数()28,12,1ax x x f x a x x⎧-+≤⎪⎪=⎨⎪>⎪⎩为R 上的减函数,则实数a 的取值范围是( )A .()4,+∞B .[)4,+∞C .[]4,6D .()0,∞+10.已知函数()1,0,21,0,x x f x x x +≥⎧=⎨--<⎩若()()0a f a f a -->⎡⎤⎣⎦,则实数a 的取值范围是( ) A .()2,+∞ B .[)(]2,00,2-C .(](),22,-∞-+∞ D .()()2,00,2-11.已知函数f (x )(x ∈R )满足f (x )=f (2-x ),且对任意的x 1,x 2∈(-∞,1](x 1≠x 2)有(x 1-x 2)(f (x 1)-f (x 2))<0.则( ) A .()()()211f f f <-< B .()()()121f f f <<- C .()()()112f f f <-<D .()()()211f f f <<-12.函数()()2212f x x a x =+--在(],4-∞上是减函数,则实数a 的取值范围是( ) A .3a ≤-B .3a ≥-C .5a ≥D .3a ≥二、填空题13.函数()2f x x a =- 在区间[]1,1-上的最大值()M a 的最小值是__________.14.已知定义在R 上的偶函数()f x 满足:()()14f x f x +=,当(]0,2x ∈时,()2x f x =,则()2019f =_____.15.已知函数()225f x x ax =-+在(],2-∞上是减函数,且对任意的1x 、[]21,1x a ∈+,总有()()124f x f x -≤,则实数a 的取值范围是________.16.对于任意的1,32m ⎡⎤∈⎢⎥⎣⎦,不等式224t mt m +>+恒成立,则实数t 的取值范围是________________.17.若函数2()f x x k =+,若存在区间[,](,0]a b ⊆-∞,使得当[,]x a b ∈时,()f x 的取值范围恰为[,]a b ,则实数k 的取值范围是________. 18.已知函数2()2f x x x a =-++,21()7log g x x=+,若对任意1[0,3]x ∈,总存在24x ⎤∈⎦,使得12()()f x g x ≤成立,则实数a 的取值范围是___________.19.已知函数2262()2x ax x f x a x x⎧-+⎪=⎨>⎪⎩,≤,,是R 上的减函数,则a 的取值范围为______.20.对于函数()f x ,若在定义域内存在..实数x ,满足()()f x f x -=-,称()f x 为“局部奇函数”,若()12423xx f x m m +=-+-为定义域R 上的“局部奇函数”,则实数m 的取值范围是______三、解答题21.已知函数()22f x mx mx n =-+ ()0m >在区间[]1,3上的最大值为5,最小值为1,设()()=f xg x x.(1)求m 、n 的值; (2)证明:函数()g x在)+∞上是增函数;(3)若函数F ()()22xxx g k =-⋅=0,在[]1,1x ∈-上有解,求实数k 的取值范围.22.对于区间[,]a b 和函数()y f x =,若同时满足:①()f x 在[,]a b 上是单调函数;②函数(),[,]y f x x a b =∈的值域还是[,]a b ,则称区间[,]a b 为函数()f x 的“不变”区间.(1)求函数2(0)y x x =≥的所有“不变”区间;(2)函数2(0)y x m x =+≥是否存在“不变”区间?若存在,求出实数m 的取值范围;若不存在,请说明理由.23.二次函数()f x 满足()01f =,且()()12f x f x x +-=. (1)求()f x 的解析式;(2)若()f x 在区间[]2,1a a +上不单调,求a 的取值范围.24.已知二次函数()2f x ax bx =+满足()20f =,且方程()f x x =有两个相等实根.(1)求()f x 的解析式;(2)是否存在实数(),m n m n <,使()f x 的定义域是[],m n ,值域是[]3,3m n .若存在,求,m n 的值,若不存在,请说明理由. 25.已知函数()()222f x x ax a a =-+∈R .(1)若1a =,[]2,2x ∀∈-,()f x m 成立,求实数m 的取值范围;(2)若0a <,()()1212,0,x x x x ∀∈+∞≠,()()1212||2||f x f x x x ->-成立,求实数a 的最大值;(3)函数()()1g x f x x=+在区间()1,2上单调递减,求实数a 的取值范围.26.已知二次函数2()1(0)f x ax x a =++>. (1)求函数()f x 在区间[4,2]--的最大值()M a ; (2)若关于x 的方程()0f x =有两个实根1x 、2x ,且121,1010x x ⎡⎤∈⎢⎥⎣⎦,求实数a 的最大值.【参考答案】***试卷处理标记,请不要删除一、选择题 1.C 解析:C 【分析】根据函数的单调性和奇偶性,排除选项得到答案. 【详解】A. 1()()2xf x =,非奇非偶函数,排除;B. ()lg ||lg ||()f x x x f x -=-==,函数为偶函数,排除;C. ()()f x x f x -==-,函数为奇函数,且单调递减,正确;D. 1()()f x f x x-=-=-,函数为奇函数,在[1,0)-和(0,1] 单调递减,排除. 故选:C 【点睛】熟悉函数的单调性和奇偶性是解题关键.2.C解析:C 【分析】根据题意,可得()f x 在R 上为单调递增函数,若x a ≥时为增函数,则3a ≥,若x a <时为增函数,则0a >,比较x=a 处两函数值的大小,即可求得答案, 【详解】因为()()()12120x x f x f x -->⎡⎤⎣⎦,所以()f x 在R 上为单调递增函数, 当x a ≥时,2()23f x x x =--的图象如图所示:因为()f x 在R 上为单调递增函数,所以3a ≥, 当x a <时,()11f x ax =-为增函数,所以0a >, 且在x=a 处222311a a a --≥-,解得4a ≤, 综上34a ≤≤, 故选:C. 【点睛】解题的关键是熟悉分段函数单调性的求法,根据单调性,先分析分段点两侧单调性,再比较分段点处函数值的大小即可,考查推理分析,化简计算的能力,属中档题.3.D解析:D 【分析】利用奇函数的定义和常见基本初等函数的性质,对选项逐一判断即可. 【详解】 选项A 中,函数1y x =,由幂函数性质知1y x=是奇函数,且其在()(),0,0,-∞+∞两个区间上递减,不能说在定义域内是减函数,故错误; 选项B 中,函数y x =[)0,+∞,不对称,故不具有奇偶性,,且在定义域内是增函数,故错误;选项C 中,指数函数2xy =,22x x -≠,且22x x -≠-,故不是奇函数,故错误;选项D 中,函数22,0,0x x y x x x x ⎧-≥=-=⎨<⎩,记()y f x =,当0x >时,0x -<,故22(),()f x x f x x =--=,故()()f x f x -=-,当0x =时,(0)0f =,故()()f x f x -=-,当0x <时,0x ->,故22(),()f x x f x x =-=-,故()()f x f x -=-,综上,()y f x =是奇函数,又0x ≥时,2()f x x =-是开口向下的抛物线的一部分,是减函数,由奇函数性质知()y f x =在定义域R 上是减函数,故正确. 故选:D.本题解题关键是熟练掌握常见的基本初等函数的性质,易错点是分段函数奇偶性的判断,分段函数必须判断定义域内的每一段均满足()()f x f x -=-(或()()f x f x -=)才能判定其是奇函数(或偶函数).4.A解析:A 【分析】根据指数函数的性质求出()f x 在[0,1]上的值域A ,利用一次函数的单调性求出()g x 在[1,2]-上的值域B ,由题得B A ⊆,再根据集合的包含关系即可求解.【详解】2()25x f x +=-,[]00,1x ∈,()()min 01f x f ∴==-,()()max 13f x f ==, ∴()f x 在[0,1]上的值域为[]1,3A =-,又()2(0)g x ax a =+>在[1,2]-上单调递增,∴()g x 在[1,2]-上的值域为[]2,22B a a =-++,由题意可得B A ⊆,021223a a a >⎧⎪∴-+≥-⎨⎪+≤⎩,解得102a <≤.故选:A 【点睛】本题考查函数的单调性求值域、集合的包含关系求参数的取值范围.探讨方程()()0f x g m -=解的存在性,通常可将方程转化为()()f x g m =,通过确认函数()f x 或()g m 的值域,从而确定参数或变量的范围5.A解析:A 【分析】求得函数的单调性,构造奇函数利用单调性得解 【详解】由函数单调性性质得:3y x =,21xy =+在R 上单调递增所以()3221x f x x =-+在R 上单调递增, 令函数()()321121x x g x f x x -=+=-+,()()0g x g x +-=则函数()g x 为奇函数,且在R 上单调递增,故()()20f a f b ++<()()g a g b ⇔<-0a b a b ⇔<-⇔+<.【点睛】构造奇函数利用单调性是解题关键.6.A解析:A 【分析】可看出()f x 在(0,)+∞上单调递增,且得出3(log 2)b f =,并且可得出33ln 3log log 2>,根据增函数的定义即可得出a ,b ,c 的大小关系.【详解】0x >时,2()x f x x e =是增函数,且()()f x f x -=,33(log 2)(log 2)b f f ∴=-=,33330log 1log 2log log 31=<<<=,ln3ln 1e >=,∴33ln 3log log 2>>,∴33(ln 3)(log (log 2)f f f >>,c a b ∴>>. 故选:A . 【点睛】解答比较大小问题,常见思路有两个:一是判断出各个数值所在区间(一般是看三个区间()()(),0,0,1,1,-∞+∞ );二是利用函数的单调性直接解答;数值比较多的比大小问题也可以两种方法综合应用.7.D解析:D 【分析】令t =()0,t ∈+∞()0,+∞,记函数()22(2)1g x mx m x =+-+的值域为A ,则()0,A +∞⊆,进而分0m =和0m ≠两种情况,分别讨论,可求出m 的取值范围. 【详解】令t =1y t=的值域为0,,根据反比例函数的性质,可知()0,t ∈+∞()0,+∞, 记函数()22(2)1g x mx m x =+-+的值域为A ,则()0,A +∞⊆,若0m =,则()41g x x =-+,其值域为R ,满足()0,A +∞⊆;若0m ≠,则00m >⎧⎨∆≥⎩,即()24240m m m >⎧⎪⎨--≥⎪⎩,解得4m ≥或01m <≤.综上所述,实数m 的取值范围是[][)0,14,+∞.故选:D.8.C解析:C 【分析】根据函数()f x 的图象,得出值域为[2-,6],利用存在实数m ,使2()24f m a a =-成立,可得22246a a --,求解得答案. 【详解】作出函数22|1|,7()ln ,x x e f x x e x e --⎧+-<=⎨⎩的图象如图: (7)6f -=,2()2f e -=-,∴值域为[2-,6],若存在实数m ,使得2()24f m a a =-成立,22246a a ∴--,解得13a -,∴实数a 的取值范围是[1-,3].故选:C【点睛】本题考查分段函数的性质,考查函数值域的求解方法,同时考查了数形结合思想的应用,属于中档题.函数图象是函数的一种表达形式,它形象地揭示了函数的性质,为研究函数的数量关系提供了“形”的直观性.归纳起来,图象的应用常见的命题探究角度有:1、确定方程根的个数;2、求参数的取值范围;3、求不等式的解集;4、研究函数性质.9.C解析:C 【分析】由题意可知二次函数282a y x x =-+在区间(],1-∞上为减函数,函数ay x =在区间()1,+∞上为减函数,且有92aa -≥,可得出关于实数a 的不等式组,由此可解得实数a 的取值范围. 【详解】由于函数()28,12,1ax x x f x a x x⎧-+≤⎪⎪=⎨⎪>⎪⎩为R 上的减函数,则二次函数282ay x x =-+在区间(],1-∞上为减函数,该二次函数的图象开口向上,对称轴为直线4ax =,所以,14a ≥; 函数ay x =在区间()1,+∞上为减函数,则0a >,且有92a a -≥. 所以,14092a a a a ⎧≥⎪⎪>⎨⎪⎪-≥⎩,解得46a ≤≤.因此,实数a 的取值范围是[]4,6. 故选:C. 【点睛】本题考查利用分段函数的单调性求参数的取值范围,要注意分析每支函数的单调性以及分界点处函数值的大小关系,考查计算能力,属于中等题.10.D解析:D 【分析】按0a >和0a <分类解不等式即可得. 【详解】[()()]0a f a f a -->,若0a >,则()()0f a f a -->,即1[2()1]0a a +--⨯-->,解得2a <,所以02a <<,若0a <,则()()0f a f a --<,即21(1)0a a ----+<,解得2a >-,所以20a -<<,综上,不等式的解为(2,0)(0,2)-.故选:D . 【点睛】本题考查解不等式,解题方法是分类讨论.掌握分类讨论的思想方法是解题关键.11.B解析:B 【分析】由已知得函数f (x )图象关于x=1对称且在(-∞,1]上单调递减,在(1,+∞)上单调递增,从而可判断出大小关系. 【详解】解:∵当x 1,x 2∈(-∞,1](x 1≠x 2)时有(x 1-x 2)(f (x 1)-f (x 2))<0, ∴f (x )在(-∞,1]上单调递减, ∵f (x )=f (2-x ),∴函数f (x )的图象关于x=1对称,则f (x )在∈(1,+∞)上单调递增, ∴f (-1)=f (3)>f (2)>f (1) 即f (-1)>f (2)>f (1) 故选B . 【点睛】本题考查函数的对称性及单调性的应用,解题的关键是函数性质的灵活应用.12.A解析:A 【分析】分析函数()()2212f x x a x =+--的图象和性质,结合已知可得41a ≤-,解得答案.【详解】函数()()2212f x x a x =+--的图象是开口朝上,且以直线1x a =-为对称轴的抛物线,若函数()()2212f x x a x =+--在(],4-∞上是减函数,41a ∴≤-, 解得: 3a ≤-, 故选:A 【点睛】本题考查的知识点是二次函数的图象和性质,熟练掌握二次函数的图象和性质是解答的关键.二、填空题13.【分析】由题意函数为偶函数分和去掉绝对值然后根据单调性求出最大值再根据单调性求出的最小值【详解】解:由题意函数为偶函数①当时在上单调递增则;②当时当即时在上单调递减则;当即时在上单调递减在上单调递增 解析:12【分析】由题意,函数()2f x x a =-为偶函数,分0a ≤和0a >去掉绝对值,然后根据单调性求出最大值()M a ,再根据单调性求出()M a 的最小值. 【详解】解:由题意,函数()2f x x a =-为偶函数,①当0a ≤时,()2f x x a =-,()f x 在[]0,1上单调递增,则()()()111M a f f a ==-=-;②当0a >时,()22,,x a x x f x a x x ⎧-≤≥⎪=⎨-<<⎪⎩或1即1a ≥时,()f x 在[]0,1上单调递减,则()()0M a f a ==;1<即01a <<时,()f x在⎡⎣上单调递减,在⎤⎦上单调递增,∵()0f a =,()11f a =-, 由1a a 得112a <<,此时()M a a =; 由1a a ≤-得102a <≤,此时()1M a a =-; ∴()11,21,2a a M a a a ⎧-≤⎪⎪=⎨⎪>⎪⎩,∴()min 1122M a M ⎛⎫== ⎪⎝⎭, 故答案为:12. 【点睛】关键点点睛:本题主要考查利用函数的单调性求函数的最值,本题的关键在于分类讨论去掉绝对值,然后再根据单调性求出最值,属于中档题.14.【分析】根据条件判断函数的周期性利用函数周期性和奇偶性的关系进行转化求解即可【详解】得即函数是周期为8的周期函数故答案为【点睛】本题主要考查函数值的计算结合条件求出函数的周期是解决本题的关键形如或的解析:12【分析】根据条件判断函数的周期性,利用函数周期性和奇偶性的关系进行转化求解即可. 【详解】()()14f x f x +=得()()()184f x f x f x +==+,即函数()f x 是周期为8的周期函数,()()()()()()111201925283314112f f f f f f =⨯+==-+===-, 故答案为12. 【点睛】本题主要考查函数值的计算,结合条件求出函数的周期是解决本题的关键.形如()()f a x f a x +=-,或()()2f x f x a -=+的条件,说明的都是函数()f x 图像关于x a =对称.形如()()f x a f x a +=-,或()()f x a f x +=-的条件,说明的是函数()f x 是周期为2a 的周期函数.15.【分析】根据二次函数的单调性求得求得函数在区间上的最大值和最小值由题意可得出可得出关于实数的不等式进而可求得实数的取值范围【详解】二次函数的图象开口向上对称轴为直线由于函数在上是减函数则则所以函数在 解析:[]2,3【分析】根据二次函数()y f x =的单调性求得2a ≥,求得函数()y f x =在区间[]1,1a +上的最大值和最小值,由题意可得出()()max min 4f x f x -≤,可得出关于实数a 的不等式,进而可求得实数a 的取值范围. 【详解】二次函数()225f x x ax =-+的图象开口向上,对称轴为直线x a =,由于函数()225f x x ax =-+在(],2-∞上是减函数,则2a ≥,则()1,1a a ∈+,所以,函数()y f x =在区间[)1,a 上单调递减,在区间(],1a a +上单调递增, 所以,()()2min 5f x f a a ==-,又()162f a =-,()216f a a +=-,则()()()211220f f a a a a a -+=-=-≥,()()max 162f x f a ∴==-,对任意的1x 、[]21,1x a ∈+,总有()()124f x f x -≤,则()()()()22max min 625214f x f x a a a a -=---=-+≤,即2230a a --≤,解得13a -≤≤, 又2a ≥,则23a ≤≤,因此,实数a 的取值范围是[]2,3.故答案为:[]2,3. 【点睛】本题考查利用不等式恒成立求参数值,同时也考查了利用二次函数在区间上的单调性求参数,考查计算能力,属于中等题.16.【分析】令由题意得出解出该不等式组即可得出实数的取值范围【详解】对于任意的不等式恒成立即不等式恒成立令则解得或因此实数的取值范围是故答案为:【点睛】本题考查不等式恒成立问题涉及主元思想的应用将问题转 解析:()(),52,-∞-+∞【分析】令()()224f m t m t =-+-,由题意得出()10230f f ⎧⎛⎫>⎪ ⎪⎝⎭⎨⎪>⎩,解出该不等式组,即可得出实数t 的取值范围. 【详解】对于任意的1,32m ⎡⎤∈⎢⎥⎣⎦,不等式224t mt m +>+恒成立,即不等式()2240t m t -+->恒成立,令()()224f m t m t =-+-,则()()()()()()2211524202223324250f t t t t f t t t t ⎧⎛⎫⎛⎫=-+-=-+>⎪ ⎪ ⎪⎝⎭⎝⎭⎨⎪=-+-=-+>⎩, 解得5t <-或2t >,因此,实数t 的取值范围是()(),52,-∞-+∞.故答案为:()(),52,-∞-+∞.【点睛】本题考查不等式恒成立问题,涉及主元思想的应用,将问题转化为一次函数不等式恒成立是解题的关键,考查运算求解能力,属于基础题.17.【分析】根据二次函数的单调性得出是上的减函数从而有整理得即关于的方程在区间内有实数解记由二次函数的单调性和零点存在定理建立不等式组可求得范围【详解】∵函数是上的减函数∴当时即两式相减得即代入得由且得解析:31,4⎡⎫--⎪⎢⎣⎭【分析】根据二次函数的单调性得出2()f x x k =+是(,0]-∞上的减函数,从而有()()f a bf b a=⎧⎨=⎩,整理得22a k b b k a⎧+=⎨+=⎩,即关于a 的方程210a a k +++=,在区间11,2⎡⎫--⎪⎢⎣⎭内有实数解,记2()1h a a a k =+++,由二次函数的单调性和零点存在定理建立不等式组,可求得范围.【详解】∵函数2()f x x k =+是(,0]-∞上的减函数,∴当[,]x a b ∈时,()()f a bf b a =⎧⎨=⎩,即22a k bb k a⎧+=⎨+=⎩, 两式相减得22a b b a -=-,即(1)b a =-+,代入2a k b +=得210a a k +++=, 由0a b <≤,且(1)b a =-+得112a -≤<-, 故关于a 的方程210a a k +++=,在区间11,2⎡⎫--⎪⎢⎣⎭内有实数解, 记2()1h a a a k =+++,所以函数()h a 在11,2⎡⎫--⎪⎢⎣⎭上单调递减,则()10102h h ⎧-≥⎪⎨⎛⎫-< ⎪⎪⎝⎭⎩,即()()221110111022k k ⎧-+-++≥⎪⎨⎛⎫⎛⎫-+-++<⎪ ⎪ ⎪⎝⎭⎝⎭⎩,解得31,4k ⎡⎫∈--⎪⎢⎣⎭, 故答案为:31,4⎡⎫--⎪⎢⎣⎭.【点睛】关键点点睛:在解决二次函数的值域问题,关键在于得出二次函数的对称轴与区间的关系,也即是判断出二次函数在区间上的单调性.18.【分析】由和的单调性求得它们的最大值由题意可得解不等式可得所求范围【详解】在递增递减可得在递减可得由对任意总存在使得成立可得则解得所以的取值范围是故答案为:【点睛】结论点睛:本题考查不等式的恒成立与解析:13,15⎛⎤-∞- ⎥⎝⎦【分析】由()f x 和()g x 的单调性求得它们的最大值,由题意可得()()max max f x g x ≤,解不等式可得所求范围. 【详解】2()2f x x x a =-++在[0]1,递增,[1]3,递减,可得()()11max f x f a ==+, 21()7log g x x=+在⎤⎦递减,可得()max 215g x g ===, 由对任意1[0,3]x ∈,总存在24x ⎤∈⎦,使得12()()f x g x ≤成立,可得()()max max f x g x ≤,则2115a +≤,解得1315a ≤-, 所以a 的取值范围是13,15⎛⎤-∞- ⎥⎝⎦,故答案为:13,15⎛⎤-∞- ⎥⎝⎦. 【点睛】结论点睛:本题考查不等式的恒成立与有解问题,可按如下规则转化:一般地,已知函数()[],,y f x x a b =∈,()[],,y g x x c d =∈ (1)若[]1,x a b ∀∈,[]2,x c d ∀∈,总有()()12f x g x <成立,故()()2max min f x g x <; (2)若[]1,x a b ∀∈,[]2,x c d ∃∈,有()()12f x g x <成立,故()()2max max f x g x <; (3)若[]1,x a b ∃∈,[]2,x c d ∃∈,有()()12f x g x <成立,故()()2min min f x g x <; (4)若[]1,x a b ∀∈,[]2,x c d ∃∈,有()()12f x g x =,则()f x 的值域是()g x 值域的子集.19.2【分析】由已知利用分段函数的性质及二次函数与反比例函数的单调性可求【详解】解;是上的减函数解可得故答案为:【点睛】本题主要考查了分段函数的单调性的应用二次函数及反比例函数性质的应用是求解问题的关键解析:[2,209] 【分析】由已知利用分段函数的性质及二次函数与反比例函数的单调性可求. 【详解】 解;226,2(),2x ax x f x a x x⎧-+⎪=⎨>⎪⎩是R 上的减函数,∴204462a a a a ⎧⎪⎪>⎨⎪⎪-+⎩, 解可得,2029a. 故答案为:202,9⎡⎤⎢⎥⎣⎦【点睛】本题主要考查了分段函数的单调性的应用,二次函数及反比例函数性质的应用是求解问题的关键,属于中档题.20.【解析】∵局部奇函数∴存在实数满足即令则即在上有解再令则在上有解函数的对称轴为分类讨论:①当时∴解得;②当时解得综合①②可知点睛:新定义主要是指即时定义新概念新公式新定理新法则新运算五种然后根据此新解析:1m ≤【解析】∵()f x “局部奇函数”,∴存在实数x 满足()()f x f x -=-,即2242234223x x x x m m m m ---⨯+-=-+⨯-+,令2(0)xt t =>, 则222112()260t m t m t t +-++-=, 即2211()2()280t m t m tt+-++-=在(0,)t ∈+∞上有解,再令1(2)h t h t=+≥,则22()2280g h h mh m =-+-=在[2,)h ∈+∞上有解,函数的对称轴为h m =,分类讨论:①当2m ≥时,()()g h g m ≥,∴222()2280g m m m m =-+-≤,解得2m ≤≤②当2m <时,()()2g h g ≥,2(2)44280g m m ∴=-+-≤,解得12m -≤<.综合①②,可知1m ≤点睛:“新定义”主要是指即时定义新概念、新公式、新定理、新法则、新运算五种,然后根据此新定义去解决问题,有时还需要用类比的方法去理解新的定义,这样有助于对新定义的透彻理解.对于此题中的新概念,对阅读理解能力有一定的要求.但是,透过现象看本质,它们考查的还是基础数学知识,所以说“新题”不一定是“难题”,掌握好三基,以不变应万变才是制胜法宝.三、解答题21.(1)12m n =⎧⎨=⎩;(2)证明见解析;(3)1[5]2,. 【分析】(1)二次函数()f x 的对称轴为1x =,得到()f x 为[]13,上的增函数, 从而得()()11335f n m f m n ⎧=-=⎪⎨=+=⎪⎩,解得12m n =⎧⎨=⎩ 得解(2)()()22f x g x x x x==+-,设任意的12)x x ∈+∞,且12x x <,用单调性的定义证明即可.(3)分离变量得2112()2()122x x k -=+,令 1()2x t =,换元得2112()22k t =-+利用函数在1[2]2,上单调递增,求得函数最大小值得解 【详解】(1)因为0m >,二次函数()f x 的对称轴为1x =, 所()f x 为[]13,上的增函数, 从而得()()11335f n m f m n ⎧=-=⎪⎨=+=⎪⎩,解得12m n =⎧⎨=⎩,所以()222f x x x =-+(2)()()22f x g x x x x==+-,设任意的12)x x ∈+∞,且12x x <, 则()()22121122(2)(2)g x g x x x x x -=+--+- ()21x x =-+2122()x x -=()21122(1)x x x x --=()()2112122x x x x x x --12211202x x x x x x ≤∴-<>>,,所以()()1221200x x g x g x ->->,, ()()12g x g x ∴> 所以g ()2x x x=+—2为)+∞上的增函数. (3)因为函数(20)()2x xF x g k =-⋅=, 在[]11x ∈-,上能成立即222202xxxk +--⋅= 在[]11x ∈-,有解 整理得2112()2()122x x k -=+ 令 1()2xt =,因为[]111[2]2x t ∈-∴∈,,, 221122(2221)k t t t =--++=在1[2]2,上单调递增,12t ∴=,时min 12k =,2,t =时max 5k =,所以k 的取值范围为1[5]2,【点睛】利用函数的单调性求解函数最值的步骤: (1)判断或证明函数的单调性;(2)计算端点处的函数值; (3)确定最大值和最小值. 22.(1)[]0,1;(2)104m ≤<. 【分析】 1)由函数2yx 在[0,)+∞上是增函数,根据“不变”区间的定义,由22a ab b⎧=⎨=⎩求解;(2)假设函数存在“不变”区间,根据函数2(0)y x m x =+≥单调递增,由22a m ab m b⎧+=⎨+=⎩,消去m ,结合a b <,求得a 的范围,再由2m a a =-+,利用二次函数的性质求解. 【详解】 (1)因为函数2yx 在[0,)+∞上是增函数,所以22a a b b⎧=⎨=⎩,解得0a =或1a =,0b =或1b =,因为a b <, 所以 0,1a b ==,所以函数的 “不变”区间是[]0,1;(2)假设函数2(0)y x m x =+≥存在“不变”区间,因为函数2(0)y x m x =+≥单调递增,所以22a m a b m b⎧+=⎨+=⎩,消去m 得22a b a b -=-,即()()+10a b a b --=,因为a b <,所以+10a b -=,即1b a =-, 所以10a a ->≥,解得102a ≤<, 所以221124m a a a ⎛⎫=-+=--+ ⎪⎝⎭, 所以104m ≤<, 所以实数m 的取值范围是104m ≤< 【点睛】关键点点睛:本题第二问关键是由a b <,即10a a ->≥求得a 的范围.23.(1)()21f x x x =-+;(2)11,24⎛⎫- ⎪⎝⎭.【分析】(1)设()2f x mx bx c =++,由()01f =可求得c 的值,由()()12f x f x x +-=可得出关于实数m 、b 的方程组,由此可解得函数()f x 的解析式; (2)求得函数()f x 的对称轴为直线12x =,根据题意可得出()12,12a a ∈+,进而可求得实数a 的取值范围. 【详解】(1)假设()2f x mx bx c =++,()01f =,则1c =,()2f x mx bx c =++,又()()12f x f x x +-=,22mx m b x ∴++=,220m m b =⎧∴⎨+=⎩,11m b =⎧∴⎨=-⎩,因此,()21f x x x =-+; (2)二次函数()f x 的图象开口向上,对称轴为直线12x =, 由于函数()f x 在区间[]2,1a a +上 不单调,则()12,12a a ∈+,即1212a a <<+,解得1124a -<<. 因此,实数a 的取值范围是11,24⎛⎫- ⎪⎝⎭. 【点睛】易错点点睛:在利用函数在区间上的单调性求参数的取值范围时,不要忽略了区间的左端点值比右端点值小这一隐含条件. 24.(1)()212f x x x =-+;(2)存在,4,0m n =-=. 【分析】(1)由()20f =得到,a b 的关系,根据()f x x =有两个相等实根求b ,即可写出()f x 的解析式;(2)将()f x 函数式化为顶点式知16n ≤,进而有[],m n 在1x =的左边,结合二次函数单调性列方程组求解即可知是否存在,m n 值. 【详解】(1)由()20f =得:420a b +=①;由()f x x =有等根得:()210ax b x +-=有等根,∴()210b ∆=-=,得1b =,将1b =代入①得:12a =-,∴()212f x x x =-+; (2)()()221111222f x x x x =-+=--+, ∴132n ≤,即16n ≤,而()f x 对称轴为1x =,即[],m n 在1x =的左边, ∴由二次函数的性质知:()212f x x x =-+在区间[],m n 上单调递增,则有()3()3m n f m m f n n <⎧⎪=⎨⎪=⎩,解得4,0m n =-=,故存在实数4,0m n =-=,使()f x 的定义域是[],m n ,值域是[]3,3m n . 【点睛】关键点点睛:由有相等实根结合判别式求参数值,根据二次函数的性质:最值判断参数范围,在结合区间相对于对称轴的位置,并由其单调性列方程组求参数值确定存在性. 25.(1)10m ≥(2)1-(3)158a ≥ 【分析】(1)转化为max ()m f x ≥,利用二次函数单调性求出最大值即可得解; (2)将不等式化为1222a x x +<+恒成立,利用12(0,)x x +∈+∞可解得结果; (3)因为211()()22g x f x x ax a x x=+=-++在区间()1,2上单调递减,设1212x x <<<,则12()()0g x g x ->,即121212a x x x x >+-对任意的1212x x <<<恒成立,根据1212111522224x x x x +-<+-=⨯可得1524a ≥,得158a ≥即为所求. 【详解】(1)若1a =,22()22(1)1f x x x x =-+=-+在[2,1)-上递减,在(1,2]上递增,所以max ()(2)10f x f =-=,因为对[]2,2x ∀∈-,()f x m 即222x x m -+≤成立,所以max ()10m f x ≥=. (2)若0a <,()()1212,0,x x x x ∀∈+∞≠,()()1212||2||f x f x x x ->-成立,则22112212|2222|2||x ax a x ax a x x -+-+->-,即121212|||2|2||x x x x a x x -⋅+->-,因为0a <,12120,0,x x x x >>≠,所以1222x x a +->,即1222a x x +<+恒成立, 因为120x x +>,所以220a +≤,得1a ≤-,所以实数a 的最大值为1-.(3)211()()22g x f x x ax a x x=+=-++在区间()1,2上单调递减, 设1212x x <<<,则12()()g x g x -=22112212112222x ax a x ax a x x -++-+-- 1212121()(2)x x x x a x x =-+--0>对任意的1212x x <<<恒成立, 因为120x x -<,所以1212120x x a x x +--<,即121212a x x x x >+-对任意的1212x x <<<恒成立, 因为1212111522224x x x x +-<+-=⨯,所以1524a ≥,即158a ≥. 【点睛】 结论点睛:本题考查不等式的恒成立与有解问题,可按如下规则转化:①若()k f x ≥在[,]a b 上恒成立,则max ()k f x ≥;②若()k f x ≤在[,]a b 上恒成立,则min ()k f x ≤;③若()k f x ≥在[,]a b 上有解,则min ()k f x ≥;④若()k f x ≤在[,]a b 上有解,则max ()k f x ≤;26.(1)141,061163,6a a a a ⎧-<≤⎪⎪⎨⎪->⎪⎩;(2)14. 【分析】(1)根据对称轴的位置讨论两种情况:113,322-≤-->-a a,分别根据二次函数的单调性求出最大值即可得结果; (2)设11221,,1010⎡⎤==∈⎢⎥⎣⎦x x t t x x ,由韦达定理可得 211(1)2==+++t a t t t,利用函数的单调性可得实数a 的最大值.【详解】(1)对称轴12x a =-,[4,2],0∈-->x a 二次函数开口向上, ①当132-≤-a ,即106a <≤时:()(2)41=-=-M a f a , ②当132->-a ,即16a >时:()(4)163=-=-M a f a ,综上所述,141,06()1163,6a a M a a a ⎧-<≤⎪⎪=⎨⎪->⎪⎩. (2)由题知:方程210ax x ++=的两个根分别为1x x =、2x x =, 由韦达定理知:121x x a ⋅=①,121x x a +=-②, 又已知121,1010⎡⎤=∈⎢⎥⎣⎦x t x ,③ 联立12121x x a x tx ⎧+=-⎪⎨⎪=⎩,得121,(1)(1)--==++t x x t a t a , 带入121x x a⋅=知:221(1)=+⋅t t a a , 即211(1)2==+++t a t t t ,其中1,1010⎡⎤∈⎢⎥⎣⎦t . 当1t =时,分母12t t++取得最小值4,所以a 得最大值为14. 【点睛】 本题考查二次函数图像、对称轴、最值的基本关系,清楚一元二次方程根与系数的关系的处理,对“对勾函数”的单调性、最值的理解是解题的关键.。
函数压轴题 一、函数的性质1.已知函数)1()(x x ee x xf -=,若f (x 1)<f (x 2),则( ) A .x 1>x 2 B .x 1+x 2=0 C .x 1<x 2D .2221x x <2.f (x )是定义在(0,+∞)上的单调增函数,满足f (xy )=f (x )+f (y ),f (3)=1,若f (x )+f (x -8)≤2,则x 的取值范围为________.3.要使函数22)(-+=x kx x f 与y =log 3(x -2)在(3,+∞)上具有相同的单调性,则实数k 的取值范围是________.4.已知函数f (x )是(-∞,+∞)上的奇函数,且f (x )的图象关于x =1对称,当x ∈[0,1]时,f (x )=2x -1,①求证:f (x )是周期函数;②当x ∈[1,2]时,求f (x )的解析式; ③计算f (0)+f (1)+f (2)+…+f (2 017)的值.5.已知f (x )是定义在R 上的偶函数,g (x )是定义在R 上的奇函数,且g (x )=f (x -1),则f (2 013)+f (2 015)的值为( )A .-1B .1C .0D .无法计算6.设f (x )是定义在R 上的奇函数,且对任意实数x ,恒有f (x +2)=-f (x ).当x ∈[0,2]时,f (x )=2x -x 2.(1)求证:f (x )是周期函数;(2)当x ∈[2,4]时,求f (x )的解析式; (3)计算f (0)+f (1)+f (2)+…+f (2 014).7.奇函数f (x )的定义域为R ,若f (x +2)为偶函数,且f (1)=1,则f (8)+f (9)=( )A .-2B .-1C .0D .18.若函数)1ln()(2++=x x x x f 为偶函数,则a =________. 9.若函数))(12()(a x x xx f -+=为奇函数,则a =________10.已知f (x )是定义在R 上的奇函数,当x ≥0时,f (x )=3x +m (m 为常数),则f (-log 35)的值为( )A .4B .-4C .6D .-611.已知函数f (x )是定义在R 上的偶函数,且在区间[0,+∞)上单调递增.若实数a 满足)1(2)(log )(log 212f a f a f ≤+,则a 的取值范围是( )A .[1,2]B.]21,0(C.]2,21[ D .(0,2]12.已知定义在R 上的奇函数f (x )满足f (x -4)=-f (x ),且在区间[0,2]上是增函数,则( )A .f (-25)<f (11)<f (80)B .f (80)<f (11)<f (-25)C .f (11)<f (80)<f (-25)D .f (-25)<f (80)<f (11)13.若函数ax f x x -+=212)(是奇函数,则使f (x )>3成立的x 的取值范围为( )A .(-∞,-1)B .(-1,0)C .(0,1)D .(1,+∞)14.若函数ax x f -=2)((a ∈R )满足f (1+x )=f (1-x ),且f (x )在[m ,+∞)上单调递增,则实数m 的最小值等于________. 15.已知定义在R 上的函数f (x )=12--mx (m 为实数)为偶函数,记a =f (log 0.53),b =f (log 25),c =f (2m ),则a ,b ,c 的大小关系为( )A .a <b <cB .a <c <bC .c <a <bD .c <b <a 16.已知函数f (x )=x |x |-2x ,则下列结论正确的是( )A .f (x )是偶函数,递增区间是(0,+∞)B .f (x )是偶函数,递减区间是(-∞,1)C .f (x )是奇函数,递减区间是(-1,1)D .f (x )是奇函数,递增区间是(-∞,0)17.设函数y =f (x )的图象与y =2x +a 的图象关于直线y =-x 对称,且f (-2)+f (-4)=1,则a =( )A .-1B .1C .2D .4二、函数的图像1.若函数m y x +=--12的图象不经过第一象限,则m 的取值范围是________.2.若曲线|y |=2x +1与直线y =b 没有公共点,则b 的取值范围是________.3.已知y =f (x )是定义在R 上的奇函数,且当x ≥0时,x x x f 2141)(+-=,则此函数的值域为________.4.在下列四图中,二次函数y =ax 2+bx 与指数函数x aby )(=的图象只可为( )5.若直线a y 2=与函数1-=x a y (a >0,且a ≠1)的图象有两个公共点,则a 的取值范围是________.6.函数y =2log 4 (1-x )的图象大致是( )7.若函数y =log a x (a >0,且a ≠1)的图象如图所示,则下列函数图象正确的是( )8.如图,函数f (x )的图象为折线ACB ,则不等式f (x )≥log 2(x +1)的解集是( )A .{x |-1<x ≤0}B .{x |-1≤x ≤1}C .{x |-1<x ≤1}D .{x |-1<x ≤2} 9.函数f (x )=2x -x 2的图象为( )10.函数xx xx e e e e y ---+=的图象大致为( )三、方程的根与函数的零点1.若a <b <c ,则函数f (x )=(x -a )(x -b )+(x -b )(x -c )+(x -c )(x -a )两个零点分别位于区间( )A .(a ,b )和(b ,c )内B .(-∞,a )和(a ,b )内C .(b ,c )和(c ,+∞)内D .(-∞,a )和(c ,+∞)内2.设函数y =x 3与2)21(-=x y 的图象的交点为(x 0,y 0),若x 0∈(n ,n +1),n ∈N ,则x 0所在的区间是________.3.函数f (x )=2x |log 0.5x |-1的零点个数为( )A .1B .2C .3D .44.函数⎩⎨⎧>+-≤-=0,ln 620,2)(2x x x x x x f 的零点个数是________.5.已知三个函数f (x )=2x +x ,g (x )=x -2,h (x )=log 2x +x 的零点依次为a ,b ,c ,则( )A .a <b <cB .a <c <bC .b <a <cD .c <a <b6.若函数f (x )=|2x -2|-b 有两个零点,则实数b 的取值范围是__________.四、函数的综合应用1.函数)2(loglog )(22x x x f ⋅=的最小值为________.2.已知f (x )=log 4 (4x -1),(1)求f (x )的定义域; (2)讨论f (x )的单调性; (3)求f (x )在区间]2,21[上的值域.3.函数y =f (x )的图象与y =2x 的图象关于y =x 对称,则函数y =f (4x -x 2)的递增区间为________.4.已知函数11ln)(-+=x x x f . (1)求函数f (x )的定义域,并判断函数f (x )的奇偶性; (2)对于x ∈[2,6],f (x )=)7)(1(ln 11lnx x mx x -->-+恒成立,求实数m 的取值范围. 5.设x ∈R ,定义符号函数⎪⎩⎪⎨⎧<-=>=0,10,00,1sgn x x x x ,则( )A .|x |=x |sgn x |B .|x |=x sgn|x |C .|x |=|x |sgn xD .|x |=x sgn x6.若函数⎩⎨⎧>+≤+-=2,log 32,6)(x x x x x f a (a >0,且a ≠1)的值域是[4,+∞),求实数a的取值范围.7.已知⎩⎨⎧≤>=0,20,lg )(x x x x f x 则函数y =2f 2(x )-3f (x )+1的零点个数是________.8.已知函数f (x )=|x -2|+1,g (x )=kx .若方程f (x )=g (x )有两个不相等的实根,则实数k 的取值范围是( )A .)21,0(B .)1,21( C .(1,2) D .(2,+∞)9.设函数f (x )=x 2-2|x |-1(-3≤x ≤3),(1)证明:f (x )是偶函数; (2)画出这个函数的图象;(3)指出函数f (x )的单调区间,并说明在各个单调区间上f (x )是增还是减函数; (4)求函数的值域.10.如图所示,已知边长为8米的正方形钢板有一个角被锈蚀,其中AE =4米,CD =6米.为合理利用这块钢板,在五边形ABCDE 内截取一个矩形BNPM ,使点P 在边DE 上.(1)设MP =x 米,PN =y 米,将y 表示成x 的函数,求该函数的解析式及定义域; (2)求矩形BNPM 面积的最大值.11.设函数f (x )=log 3 (9x )·log 3 (3x ),31≤x ≤9.(1)若m =log 3 x ,求m 的取值范围;(2)求f (x )的最值,并给出取最值时对应的x 的值.12.定义在R 上的函数)(x f 满足)()(x f x f -=-,)2()2(+=-x f x f ,且)0,1(-∈x 时,512)(+=x x f ,则=)20(log 2f _______13..定义在R 上的函数)(x f 满足)()(x f x f -=-,)2()2(x f x f -=+,且)0,1(-∈x时,832)(+=x x f ,则=)10(log 2f _______14.若函数ax x f x++=)110lg()(是偶函数,xx bx g 24)(-=是奇函数,则=+b a ____15.若函数m x f x+=-1)21()(的图像与x 轴有交点,则m 的取值范围是________16.若存在正数x 使1)(2<-⋅a x x 成立,则a 的取值范围是______ 17.已知)1,0(≠>a a 且,)1(1)(log 2xx a a x f a --=(1)求)(x f (2)判断函数)(x f 的单调性 (3)求不等式1)13-(2<+x x f 的解集 18.已知函数11log )(--=x mxx f a)1,0(≠>a a 且图像关于原点对称 (1)求m 的值 (2)判断函数)(x f 在区间),1(+∞上的单调性并加以证明 (3)当),(,1a t x a ∈>时,)(x f 值域是),1(+∞,求a 与t 的值 19.设函数x x a a k x f --⋅=)()1,0(≠>a a 且是奇函数(1)求k 的值 (2)若1>a ,试判断函数)(x f 的单调性,并证明(3)已知38)1(=f ,且函数)(2)(22x mf a a xg x x -+=-在区间),1[+∞上的最小值是-2,求实数m 的值 20.设函数)(x f 的定义域为R ,当0>x 时,1)(>x f ,且对任意R y x ∈,都有)()()(y f x f y x f =+,且4)2(=f(1)求)1(),0(f f 的值(2)讨论)(x f 在R 上的单调性21.已知函数b ax ax x f ++-=12)(2其中0>a ,在区间]3,2[上的最大值为4,最小值为1,设xx f x g )()(= (1)求b a ,的值(2)若不等式03)3(≤⋅-x x k g 在]1,1[-∈x 上恒成立,求实数k 的取值范围。