《高等数学》单元自测题
- 格式:doc
- 大小:192.00 KB
- 文档页数:4
第一章 自测题一、填空题(每小题3分,共18分)1. ()3limsin tan ln 12x x xx →=-+ .2. 21lim2x x x →=+- . 3.已知212lim31x x ax bx →-++=+,其中为b a ,常数,则a = ,b = . 4. 若()2sin 2e 1,0,0ax x x f x xa x ⎧+-≠⎪=⎨⎪=⎩在()+∞∞-,上连续,则a = . 5. 曲线21()43x f x x x -=-+的水平渐近线是 ,铅直渐近线是 . 6. 曲线()121e x y x =-的斜渐近线方程为 .二、单项选择题(每小题3分,共18分)1. “对任意给定的()1,0∈ε,总存在整数N ,当N n ≥时,恒有ε2≤-a x n ”是数列{}n x 收敛于a 的 .A. 充分条件但非必要条件B. 必要条件但非充分条件C. 充分必要条件D. 既非充分也非必要条件2. 设()2,02,0x x g x x x -≤⎧=⎨+>⎩,()2,0,x x f x x x ⎧<=⎨-≥⎩则()g f x =⎡⎤⎣⎦ .A. 22,02,0x x x x ⎧+<⎨-≥⎩B. 22,02,0x x x x ⎧-<⎨+≥⎩ C. 22,02,0x x x x ⎧-<⎨-≥⎩ D. 22,02,0x x x x ⎧+<⎨+≥⎩3. 下列各式中正确的是 .A .01lim 1e x x x +→⎛⎫-= ⎪⎝⎭ B.01lim 1e xx x +→⎛⎫+= ⎪⎝⎭C.1lim 1e x x x →∞⎛⎫-=- ⎪⎝⎭D. -11lim 1e xx x -→∞⎛⎫+= ⎪⎝⎭4. 设0→x 时,tan e1x-与n x 是等价无穷小,则正整数n = .A. 1B. 2C. 3D. 45. 曲线221e 1ex x y --+=- .A. 没有渐近线B. 仅有水平渐近线C. 仅有铅直渐近线D. 既有水平渐近线又有铅直渐近线 6.下列函数在给定区间上无界的是 . A.1sin ,(0,1]x x x ∈ B. 1sin ,(0,)x x x ∈+∞ C. 11sin ,(0,1]x x x ∈ D. 1sin ,(0,)x x x∈+∞三、求下列极限(每小题5分,共35分)1.22x →2.()120lim ex xx x -→+3.()1lim 123n nnn →∞++4.21sinlimx x →+∞5. 设函数()()1,0≠>=a a a x f x ,求()()()21lim ln 12n f f f n n →∞⎡⎤⎣⎦ .6.142e sin lim1exxxxx→⎛⎫+⎪+⎪⎪+⎝⎭7.limx+→四、确定下列极限中含有的参数(每小题5分,共10分)1.2212lim22xax x bx x→-+=-+-2.(lim1 xx→-∞+=五、讨论函数,0()(0,0,1,1)0,0x xa bxf x a b a bxx⎧-≠⎪=>>≠≠⎨⎪=⎩在0x=处的连续性,若不连续,指出该间断点的类型.(本题6分)六、设sin sin sin ()lim sin x t xt x t f x x -→⎛⎫= ⎪⎝⎭,求()f x 的间断点并判定类型. (本题7分)七、设()f x 在[0,1]上连续,且(0)(1)f f =.证明:一定存在一点10,2ξ⎡⎤∈⎢⎥⎣⎦,使得1()2f f ξξ⎛⎫=+ ⎪⎝⎭.(本题6分)第二章 自测题一、填空题(每小题3分,共18分)1.设()f x 在0x 可导,且00()0,()1f x f x '==,则01lim h hf x h →∞⎛⎫-= ⎪⎝⎭. 2.设21cos f x x ⎛⎫=⎪⎝⎭,则()f x '=. 3.d x = . 4.设sin (e )x y f =,其中()f x 可导,则d y = . 5.设y =12y ⎛⎫'=⎪⎝⎭. 6.曲线1sin xy x y =+在点1,ππ⎛⎫⎪⎝⎭的切线方程为 . 二、单项选择题(每小题3分,共15分)1.下列函数中,在0x =处可导的是 .A.||y x =B.|sin |y x =C.ln y x =D.|cos |y x =2.设()y f x =在0x 处可导,且0()2f x '=,则000(2)()limx f x x f x x x→+--= .A.6B.6-C.16D.16-3.设函数()f x 在区间(,)δδ-内有定义,若当(,)x δδ∈-时恒有2|()|f x x ≤,则0x =是()f x 的 .A.间断点B.连续而不可导的点C.可导的点,且(0)0f '=D.可导的点,且(0)0f '≠4.设2sin ,0(),x x f x x x <⎧=⎨≥⎩,则在0x =处()f x 的导数 .A.0B.1C.2D.不存在5.设函数()f u 可导,2()y f x =当自变量x 在1x =-处取得增量0.1x =- 时,相应的函数增量y 的线性主部为0.1,则(1)f '= .A.1-B.0.1C.1D.0.5三、解答题(共67分)1.求下列函数的导数(每小题4分,共16分)(1)(ln e x y =+(2))11y⎫=⎪⎭(3)aaxa x a y x a a =++(4)cos (sin )x y x =2.求下列函数的微分(每小题4分,共12分) (1)2ln sin y x x x =+ (2)21cot e xy =(3)y x =3.求下列函数的二阶导数(每小题5分,共10分) (1)2cos ln y x x = (2)11xy x-=+4.设e ,1(),1x x f x ax b x ⎧≤=⎨+>⎩在1x =可导,试求a 与b .(本题6分)5.设sin ,0()ln(1),0x x f x x x <⎧=⎨+≥⎩,求'()f x .(本题6分)6.设函数()y y x =由方程22ln 1x xy y-=所确定,求d y .(本题6分)7.设()y y x =由参数方程ln tan cos 2sin t x a t y a t⎧⎛⎫=+⎪ ⎪⎝⎭⎨⎪=⎩,求22d d ,d d y y x x .(本题6分)8.求曲线3213122t x t y t t +⎧=⎪⎪⎨⎪=+⎪⎩在1t =处的切线方程和法线方程.(本题5分)第三章 自测题一、填空题(每小题3分,共15分)1.若0,0a b >>均为常数,则30lim 2x xxx a b →⎛+⎫=⎪⎝⎭. 2.2011lim tan x x x x →⎛⎫-=⎪⎝⎭. 3.3arctan limln(12)x x xx →-=+ . 4.曲线2e x y -=的凹区间 ,凸区间为 . 5.若()e xf x x =,则()()n f x 在点x = 处取得极小值.二、单项选择题(每小题3分,共12分)1.设,a b 为方程()0f x =的两根,()f x 在[,]a b 上连续,(,)a b 内可导,则()f x '0=在(,)a b 内 .A.只有一个实根B.至少有一个实根C.没有实根D.至少有两个实根2.设()f x 在0x 处连续,在0x 的某去心邻域内可导,且0x x ≠时,0()()0x x f x '->,则0()f x 是 .A.极小值B.极大值C.0x 为()f x 的驻点D.0x 不是()f x 的极值点 3.设()f x 具有二阶连续导数,且(0)0f '=,0()lim1||x f x x →''=,则 . A.(0)f 是()f x 的极大值 B.(0)f 是()f x 的极小值C .(0,(0))f 是曲线的拐点D .(0)f 不是()f x 的极值,(0,(0))f 不是曲线的拐点 4.设()f x 连续,且(0)0f '>,则0δ∃>,使 .A.()f x 在(0,)δ内单调增加.B.()f x 在(,0)δ-内单调减少.C.(0,)x δ∀∈,有()(0)f x f >D.(,0)x δ∀∈-,有()(0)f x f >.三、解答题(共73分)1.已知函数()f x 在[0,1]上连续,(0,1)内可导,且(1)0f =,证明在(0,1)内至少存在一点ξ使得()()tan f f ξξξ'=-.(本题6分)2.证明下列不等式(每小题9分,共18分) (1)当0a b <<时,ln b a b b ab a a--<<.(2)当02x π<<时,2sin x x x π<<.3.求下列函数的极限(每小题8分,共24分)(1)0e e 2lim sin x x x xx x-→---(2)21sin 0lim(cos )xx x →(3)10(1)elimxx x x→+-4.求下列函数的极值(每小题6分,共12分) (1)1233()(1)f x x x =-(2)2,0()1,0x x x f x x x ⎧>=⎨+<⎩5.求2ln xy x=的极值点、单调区间、凹凸区间和拐点.(本题6分)6.证明方程1ln0ex x+=只有一个实根.(本题7分)第一章自测题一、填空题(每小题3分,共18分)1. 2. 3. , 4.5. 水平渐近线是,铅直渐近线是6.二、单项选择题(每小题3分,共18分)1. C2. D3. D4. A5. D 6.C三、求下列极限(每小题5分,共35分)解:1.. 2..3.,又.4.. 5.. 6.,,所以,原式.7..四、确定下列极限中含有的参数(每小题5分,共10分)解:1.据题意设,则,令得,令得,故.2.左边,右边故,则.五、解:,故在处不连续,所以为得第一类(可去)间断点.六、解:,而,故,都是的间断点,,故为的第一类(可去)间断点,均为的第二类间断点.七、证明:设,显然在上连续,而,,,故由零点定理知:一定存在一点,使,即.第二章自测题一、填空题(每小题3分,共18分)1. 2. 3. 4.5. 6.或二、单项选择题(每小题3分,共15分)1. D2. A3. C4. D5. D三、解答题(共67分)解:1.(1).(2).(3).(4) 两边取对数得,两边求导数得,.2.求下列函数的微分(每小题4分,共12分)(1) .(2).(3) .3.求下列函数的二阶导数(每小题5分,共10分)(1),.(2),.4.首先在处连续,故,故,其次,,,由于在处可导,故,故,.5.,,故,由于在,时均可导,故.6.方程可变形为,两边求微分得,故.7.,.8.,故.当时,. 故曲线在处的切线方程为,即,法线方程为,即.第三章自测题一、填空题(每小题3分,共15分)1.2.3. 4., 5.二、单项选择题(每小题3分,共12分)1.B 2.A3.B,提示:由题意得,,当时,;即当时,,当时,,从而在取得极小值4. C,提示:由定义,由极限的保号性得,当时,,即三、解答题(共73分)证明:1.令,则在上连续,内可导,且;由罗尔定理知,至少存在一点,使得,故,即.2.(1)令,则在区间上满足拉格朗日中值定理的条件.由拉格朗日中值定理得,至少存在一点,使得即,又,得到,从而.(2)令,则,从而当时单调递增,即,故;令,则,即当时单调递减,即,故;从而当时,.解:3.(1).(2).(3).4.⑴函数的定义域为;,令得驻点,不可导点;当时,;当时,;当时,;当时,;故为极大值点,极大值为;为极小值点,极小值为.⑵,令得驻点,为不可导点.当时,;当时,;当时,;故为极大值点,极大值为;为极小值点,极小值为.5.定义域为;,,令得驻点,令得;列表得:拐点6.证明:令,显然,;令得唯一驻点,且;故在上当时取得极小值;当时,,所以方程只有一个实根.。
第一章章节自测一、填空题(每小题 2 分,共20 分)1. 设函数,)(,ln )(12+==x e x g x x f 则=))((x g f 。
2. 函数)2ln(34+=x xy 的定义域为 。
3. =++-∞→323)2(123lim x x x x 。
4. =→xxx 2sin lim0 。
5. e xkx x =+∞→2)1(lim ,则=k 。
6. 设函数⎪⎩⎪⎨⎧>+=<-=01001)(x x x x x x f ,则)(lim 0x f x → 。
7. 若32lim22=-+-→x ax x x ,则=a 。
8. 设当0→x 时,2ax 与4tan 2x 为等价无穷小,则=a 。
9. 设函数)0(sin )(≠=a x ax x f 在0=x 处连续,且21)0(-=f ,则=a 。
10. 设函数⎪⎩⎪⎨⎧<<=<<-=2131113)(2x x x ax x x f 在1=x 处连续,则=a 。
二、选择题(每小题 3 分,共30 分)1. 函数)1()(+=x x x f 与1)(+=x x x g 在( )内表示同一个函数。
A. ]0,1[-; B . ]1,(-∞;C . ),0[+∞;D . ),1[+∞-。
2. 设函数)(x f 的定义域为]1,0[,则函数)12(-x f 的定义域为( )。
A. ]21,21[-; B. ]1,21[; C. ]1,0[; D. ]1,21[-。
3. 函数x x x f sin )(3=是( )。
A. 奇函数 ;B. 偶函数;C. 有界函数;D. 周期函数。
4. 220sin lim xmx x →(m 为常数)等于( )。
A. 0; B. 1; C. 2m ; D. 21m。
5. 当0→x 时,2x 与x sin 比较,则( )。
A. 2x 是较x sin 高阶的无穷小量; B. 2x 是较x sin 低阶的无穷小量;C. 2x 与x sin 为同阶无穷小量,但不是等价无穷小量;D. 2x 与x sin 为等价无穷小量。
自测题二一、单项选择题(每题2分,共30分).1.函数)(x f y =在0x 处连续是它在0x 处可导的( ).(A )充分条件;(B )充要条件;(C )必要条件;(D )既非充分条件也非必要条件. 2.函数)(x f y =在点0x 处的导数)(0x f '的几何意义就是曲线)(x f y =在( ). (A )在0x 处的切线的斜率; (B )在点))(,(00x f x 处切线的斜率; (C )在点))(,(00x f x 处的切线与x 轴所夹锐角的正切; (D )在点0x 处的切线的倾斜角.3. 设)(x f 是可导函数,当)(x f 为偶函数,则)(x f '是( ),当)(x f 是奇函数,则)(x f '是( ).(A )偶函数; (B )奇函数; (C )非奇非偶函数; (D )以上结论都不对. 4.函数在某点处不可导,函数所表示的曲线在相应点处的切线( ).(A )一定不存在;(B )不一定不存在; (C )一定存在; (D )以上结论都不对. 5. 设)()()(x a x x f ϕ-=,其中)(x ϕ在a x =处连续,则=')(a f ( ). (A ))(a a ϕ; (B ))(a a ϕ-; (C ))(a ϕ-; (D ))(a ϕ. 6. 函数|sin |x y =在0=x 处是( ).(A )连续可导; (B )不连续不可导; (C )不连续可导; (D )连续不可导.7. 函数⎪⎩⎪⎨⎧=≠=001sin)(2x x xx x f 在0=x 处是( ).(A )连续可导; (B )不连续不可导; (C )不连续但可导; (D )连续但不可导. 8. 设xe y 1=,则=dy ( ). (A )dx e x1; (B )dx ex 21-; (C )dx e x x 121; (D )dx e xx 121-.9. 函数||x x y =在点0=x 处的导数是( ).(A )x 2; (B )x 2-; (C )0; (D )不存在. 10. 函数||x e y =在0=x 处的导数是( ).(A )1; (B )1-; (C )0; (D )不存在. 11. 已知y x y ln =,则='x y ( ). (A )y x ; (B )y ln ; (C )x y y y -ln ; (D )yxy +ln . 12. 函数)ln(xxb a y +=的导数是( ).(A ))ln ln (1b b a a ba x x x xx ++; (B ))10ln(-a ; (C ))(10ln 1x x x x b a b a ++; (D ))ln ln (10ln b b a a ba xx x xx ++. 13. 设)(sin x f y =,则=dy ( ).(A )xdx x f sin )(sin '; (B )dx x f )(sin '; (C )xdx x f cos )(sin '; (D )xdx x f sin )(sin . 14. 若)(x f 是奇函数且)0(f '存在,则0=x 点是函数xx f x F )()(=的( ). (A )无穷间断点; (B )可去间断点; (C )连续点; (D )振荡间断点. 15. 若⎩⎨⎧>+≤=11cos )(x b ax x x x f ,且)1(f '存在,则必有( ).(A )1,1-==b a ; (B )1sin ==b a (C )1sin 1cos ,1sin +=-=b a ; (D )0,1==b a . 二、填空题(每题3分,共30分). 1.若)(x f 在a x =处可导,则=--+→hmh a f nh a f h )()(lim.2.若)]1[sin(sin )(2+='x x f ,4)0(=f ,则==4y dydx .3.若⎩⎨⎧==mty t x ln ,则1=t nn x d yd .4.若2sin x y =,则)(2x d dy. 5.若已知yx e xy +=,则dxdy. 6.=')(sin xx .7.='+)1(xx .8.设)1ln(ax y +=,a 为非零常数,则='y ,=''y .9.已知t e x tsin =,t e y tcos =则==2πt dxdy .10.已知)0()(≠='K Ke x f x,则)(x f y =的反函数的二阶导数=22dyxd .三、计算下列各题(每题10分,共60分).1.1ln 44+=xx e e y ,求0='x y . 2.设0tan ln arcsin 2=+-y e y x x ,求40π==y x dxdy .3.设⎪⎩⎪⎨⎧+=+=2arcsin 22tancos t y t t x t ,求0=t dx dy .4.设txx xt t f 2)11(lim )(+=∞→,求)(t f '.5.设⎩⎨⎧==-tt e y te x ,求dx dy ,22dx yd . 6.设函数⎩⎨⎧>+≤=0,2sin 0,)(x b x x e x f ax ,且)0(f '存在,求b a 、. 四、(5分)求由方程)ln()(2y x y x x y --=-所确定的函数)(x y y =的微分dy .五、(5分)设⎪⎩⎪⎨⎧=≠=0,00,1arctan )(2x x xx x f ,试讨论)(x f '在0=x 处的连续性.。
自测题(1-7章附参考答案)-高等数学上册第一章 函数与极限一、 选择题: 1.函数1arccos2x y +=的定义域是( ) (A)1x ≤; (B)31x -≤≤;(C)(3,1)-; (D){}{}131x x x x <⋂-≤≤. 2.函数23,401,03x x x x --≤≤⎧⎨+<≤⎩的定义域是( )(A)40x -≤≤;(B)3≤;(C)(4,3)-; (D){}{}4003x x x x -≤≤⋃<≤. 3、函数cos sin y x x x=+是( )(A)偶函数; (B)奇函数; (C)非奇非偶函数;(D)奇偶函数. 4、函数()1cos2f x xπ=+的最小正周期是( )(A)2π; (B)π; (C) 4 ; (D)12. 5、函数21x x +在定义域为( ) (A)有上界无下界; (B)有下界无上界; (C)有界,且1122()f x ≤≤; (D)有界,且 2221x x -≤≤+ .6、与()f x =等价的函数是( )(A) x ;(B) 2;(C)3; (D) x .7、当0x →时,下列函数哪一个是其它三个的高阶无穷小( )(A )2x ; (B )1cos x -;(C )tan x x -; (D )ln(1)x +. 8、设0,0,a b≠则当( )时有10101010........lim .........m m m n n x na x a x a ab x b x b b --→∞+++=+++ .(A)m n > ; (B)m n = ;(C)m n < ; (D),m n 任意取 .9、设1,10,01x x x x --<≤⎧⎨<≤⎩,则0lim ()x f x →=( ) (A)-1 ; (B)1 ; (C)0 ; (D)不存在 .10、0lim x xx →( ) (A)1; (B)-1;(C)0; (D)不存在.二、求下列函数的定义域: 1sin(21)arctan ;y x x =++、 2、()x φ=三、 设2(1)231g x x x -=--(1) 试确定,,a b c的值使 2(1)(1)(1)g x a x b x c-=-+-+ ; (2) 求(1)g x +的表达式 . 四、 求2()(1)sgn f x x x=+的反函数1()f x -.五、 求极限:1、2221lim (1)n n n n →∞++- ; 2、3x → ; 3、2lim(1)xx x →+ ; 4、1lim (1)xx x e→∞- ; 5、当x ≠时,limcos cos ........cos 242n n x x x→∞ ;6、21sinlimx x →+∞.六、 设有函数sin ,1()(1)1,1ax x f x a x x <⎧=⎨--≥⎩试确定a的值使()f x 在1x =连续 . 七、 讨论函数1arctan1()sin2x x f x xπ-=的连续性,并判断其间断点的类型 .八、 证明奇次多项式: 2120121()n n n P x a xa x a ++=+++L 0(0)a ≠至少存在一个实根 .第二章 导数与微分一、 选择题: 1、函数()f x 在点0x 的导数0()f x '定义为( ) (A )00()()f xx f x x+∆-∆; (B )000()()limx x f x x f x x →+∆-∆;(C )00()()limx x f x f x x →-∆; (D )000()()limx x f x f x x x →--;2、若函数()y f x =在点0x 处的导数0()0f x '=,则曲线()y f x =在点(0,()x f x )处的法线( )(A )与x 轴相平行;(B )与x 轴垂直;(C )与y 轴相垂直;(D )与x 轴即不平行也不垂直:3、若函数()f x 在点0x 不连续,则()f x 在0x ( )(A )必不可导; (B )必定可导;(C )不一定可导; (D )必无定义.4、如果()f x =( ),那么()0f x '=. (A) arcsin2arccos x x +;(B) 22sec tan x x +;(C) 22sin cos (1)x x +-;(D) arctan x +arc cot x .5、如果2,0()(1),0axe xf x b x x ⎧≤⎪=⎨->⎪⎩处处可导,那末( ) (A )1a b ==; (B )2,1a b =-=-; (C )1,0a b ==; (D )0,1a b ==. 6、已知函数()f x 具有任意阶导数,且[]2()()f x f x '=,则当n 为大于2的正整数时, ()f x 的n 阶导数()()n fx 是( )(A )1![()]n n f x +; (B ) 1[()]n n f x +; (C ) 2[()]nf x ; (D )2![()]nn f x . 7、若函数()x x t =,()y y t =对t 可导且()0x t '≠,又()x x t =的反函数存在且可导,则dydx =( )(A )()()y t x t '; (B )()()y t x t '-'; (C )()()y t x t ''; (D )()()y t x t '.8、若函数()f x 为可微函数,则dy ( )(A )与x ∆无关;(B )为x ∆的线性函数;(C )当0x ∆→时为x ∆的高阶无穷小;(D )与x ∆为等价无穷小. 9、设函数()y f x =在点0x 处可导,当自变量x 由0x 增加到0xx+∆时,记y ∆为()f x 的增量,dy 为()f x 的微分,0lim x y dy x ∆→∆-∆等于( )(A )-1; (B )0; (C )1; (D )∞.10、设函数()y f x =在点0x 处可导,且0()0f x '≠,则 0lim x y dy x ∆→∆-∆等于( ).(A )0; (B )-1; (C )1; (D )∞ .二、求下列函数的导数:1、2sin ln y x x =; 2、cosh xy a = (0a >); 3、2sec (1)xy x =+ ; 4、2ln[cos(103)]y x =+;5、设y 为x的函数是由方程arctanyx=确 定的;6、设2x yy=+,322()u xx =+,求dydu .三、证明sin tx e t =,cos ty e t =满足方程222()2()d y dyx y x y dx dx+=- .四、已知()cos ,0(),0g x xx f x xa x -⎧≠⎪=⎨⎪=⎩其中()g x 有二阶连续导数,且(0)1g =,1、确定a 的值,使()f x 在0X =点连续;2、求()f x ' 五、设ln ,y x x =求()(1)n f .的近似值 .七、一人走过一桥之速率为4公里/小时,同时一船在此人底下以8公里/小时之速率划过,此桥比船高200米,问3分钟后人与船相离之速率为多少?第三章 微分中值定理一、 选择题: 1、 一元函数微分学的三个中值定理的结论都有一个共同点,即( )(A ) 它们都给出了ξ点的求法 .(B ) 它们都肯定了ξ点一定存在,且给出了求ξ的方法。
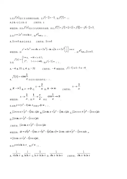
1.设是以3为周期的奇函数,且,则()A.2B.-1C.1D.-2 正确答案:1解题思路:因为是以3为周期的奇函数,所以。
2.设,则=().A. B.6 C.0 D.2 正确答案:解题思路:因,故=.3.设则().A. B. C. D.正确答案:解题思路:.4.为无穷小量的条件是()。
A. B. C. D.正确答案:解题思路:,则所以.5.函数的微分().A. B. C.D.正确答案:解题思路:=.6.设,则().A. B. C. D.正确答案:解题思路:。
7.().A. B. C. D.正确答案:解题思路:。
8.已知曲线,则这条曲线平行于直线的切线方程为().A. B., C.,D.正确答案:,解题思路:因曲线在任意一点的切线斜率,故所求切线的斜率,从而,所以切点为和,所求切线方程为,和,即,.9.下列各对函数中,表示同一函数的是()A.和B.和C.和D.和正确答案:和解题思路:和是同一函数,其余三项中的函数定义域不同。
10.曲线在点处的切线斜率为().A. B. C. D.正确答案:解题思路:对此方程两边求的导数,得,故,从而切线的斜率为.11.=().A. B. C. D.正确答案:解题思路:==.12.函数的定义域为().A. B. C. D.正确答案:解题思路:要函数有意义,必有,故其定义域是:.13.=().A. B. C. D.正确答案:解题思路:因,故.14.函数的间断点为().A. B. C. D.正确答案:解题思路:因函数为初等函数,而初等函数在其定义域内都是连续的,故函数的间断点为其没有定义的点.15.=()。
A. B. C. D.不存在正确答案:解题思路:=.16.设,则().A. B. C. D.正确答案:解题思路:,以此类推,。
17.如果函数具有任意阶导数且,则().A.-B.-4C.4D.正确答案:-4解题思路:设。
18.=()。
A. B. C. D.正确答案:解题思路:===.19.设,则的值为()。
第一章函数与极限一、选择题:1.函数的定义域是()(A; (B; (C;(D.2.函数的定义域是()(A;(B;(C;(D.3、函数是()(A偶函数; (B奇函数;(C非奇非偶函数;(D奇偶函数.4、函数的最小正周期是()(A2; (B; (C 4 ; (D .5、函数在定义域为()(A有上界无下界; (B有下界无上界;(C有界,且;(D有界,且.6、与等价的函数是()(A ; (B ; (C ; (D .7、当时,下列函数哪一个是其它三个的高阶无穷小()(A);(B);(C);(D).8、设则当()时有.(A; (B;(C; (D任意取 .9、设,则((A-1 ; (B1 ; (C0 ; (D不存在 .10、()(A1; (B-1;(C0; (D不存在.二、求下列函数的定义域:2、 .三、设(1)试确定的值使;(2)求的表达式 .四、求的反函数.五、求极限:1、;2、;3、;4、;5、当时,;6、 .六、设有函数试确定的值使在连续 .七、讨论函数的连续性,并判断其间断点的类型 .八、证明奇次多项式:至少存在一个实根 .第二章导数与微分一、选择题:1、函数在点的导数定义为()(A);(B);(C);(D);2、若函数在点处的导数,则曲线在点(处的法线()(A)与轴相平行;(B)与轴垂直;(C)与轴相垂直;(D)与轴即不平行也不垂直:3、若函数在点不连续,则在 ((A)必不可导;(B)必定可导;(C)不一定可导;(D)必无定义.4、如果=(),那么.(A ;(B ;(C ;(D .5、如果处处可导,那末()(A);(B);(C);(D).6、已知函数具有任意阶导数,且,则当为大于2的正整数时,的n阶导数是()(A);(B);(C);(D).7、若函数,对可导且,又的反函数存在且可导,则=()(A);(B);(C);(D).8、若函数为可微函数,则()(A)与无关;(B)为的线性函数;(C)当时为的高阶无穷小;(D)与为等价无穷小.9、设函数在点处可导,当自变量由增加到时,记为的增量,为的微分,等于()(A)-1;(B)0;(C)1;(D).10、设函数在点处可导,且,则等于().(A)0;(B)-1;(C)1;(D) .二、求下列函数的导数:1、;2、();3、;4、;5、设为的函数是由方程确定的;6、设,,求.三、证明,满足方程.四、已知其中有二阶连续导数,且,1、确定的值,使在点连续;2、求五、设求.六、计算的近似值 .七、一人走过一桥之速率为4公里/小时,同时一船在此人底下以8公里/小时之速率划过,此桥比船高200米,问3分钟后人与船相离之速率为多少?第三章微分中值定理一、选择题:1、一元函数微分学的三个中值定理的结论都有一个共同点,即()(A)它们都给出了ξ点的求法 .(B)它们都肯定了ξ点一定存在,且给出了求ξ的方法。
高数笔记单元测试题及答案一、选择题(每题2分,共20分)1. 函数 \( f(x) = x^2 \) 在 \( x = 0 \) 处的导数是:A. 0B. 1C. 2D. 无定义2. 极限 \( \lim_{x \to 0} \frac{\sin x}{x} \) 的值是:A. 0B. 1C. 2D. 无穷大3. 函数 \( y = \ln x \) 的定义域是:A. \( (-\infty, 0) \)B. \( (0, +\infty) \)C. \( (-\infty, +\infty) \)D. \( [0, +\infty) \)4. 曲线 \( y = x^3 \) 在 \( x = 1 \) 处的切线斜率是:A. 0B. 1C. 3D. 275. 函数 \( f(x) = 3x - 2 \) 的反函数是:A. \( x = 3y - 2 \)B. \( y = \frac{x + 2}{3} \)C. \( y = 3x + 2 \)D. \( x = \frac{y + 2}{3} \)6. 定积分 \( \int_{0}^{1} x^2 dx \) 的值是:A. \( \frac{1}{3} \)B. \( \frac{1}{4} \)C. \( \frac{1}{2} \)D. 17. 函数 \( y = \sin x \) 的周期是:A. \( 2\pi \)B. \( \pi \)C. \( \frac{\pi}{2} \)D. \( \frac{1}{2} \)8. 函数 \( y = e^x \) 的导数是:A. \( e^x \)B. \( e^{-x} \)C. \( x \cdot e^x \)D. \( 1 \)9. 微分 \( dy \) 与 \( dx \) 的关系是:A. \( dy = f'(x) dx \)B. \( dy = f(x) dx \)C. \( dx = f'(x) dy \)D. \( dx = f(x) dy \)10. 若 \( \int f(x) dx = F(x) + C \),则 \( \int f'(x) dx \) 是:A. \( f(x) \)B. \( f'(x) \)C. \( F(x) \)D. \( C \)答案:1. A 2. B 3. B 4. C 5. D 6. B 7. A 8. A 9. A 10. A二、简答题(每题5分,共10分)1. 什么是泰勒级数?请给出 \( e^x \) 在 \( x = 0 \) 处的泰勒展开式。
高等数学测试题及答案1-9章全第1章自测题一、 选择题1. 若函数()f x 在点0x 处的极限存在,则( ) A ()f x 在点0x 处的函数值必存在,并且等于极限值; B ()f x 在点0x 处的函数值必存在,但不一定等于极限值; C ()f x 在点0x 处的函数值可以不存在; D 如果0()f x 存在的话,一定等于极限值 . 答案: C .提示:根据极限的定义.2.下列函数中,在点2x =处连续的是( ) .A ln(2)x -; B 22x -; C 242x y x -=-; D答案: B .提示:A 与C 在2x =处无意义,D 在2x =处左连续.3.函数53sin ln x y = 的复合过程是( )A x w w v v u u y sin ,,ln ,35====B x u u y sin ln ,53== ;C x u u y sin ,ln 53== ;D x v v u u y sin ,ln ,5=== . 答案:A .4.设,0(),0x e x f x a x x ⎧<⎪=⎨+⎪⎩≥ ,要使()f x 在0x =处连续,则a =( )A 2 ; B 1 ; C 0 ; D -1 .答案: B .提示:0lim ()lim e e 1x x x f x --→→===,00lim ()lim()x x f x a x a ++→→=+=. 二、填空题5. 函数()34f x x =-的反函数是 . 答案:43x y +=.提示:反表示为43y x +=.6. 函数y 的复合过程是 .答案:2ln ,,cos y u v v t t x ====.7. 若2()f x x =, ()x g x e =,则[()]f g x = ,[()]g f x = .答案: 22[()](e )e x x f g x ==,2[()]x g f x e =. 8. 函数1()ln(2)f x x =-的连续区间为 .答案:(2,3)和(3,)+∞. 提示:20x ->且ln 20x -≠.三、 解答题9.设函数ln ,01()1,122x x f x x x x ⎧<⎪=-<⎨⎪>⎩≤≤ ,(1) 求()f x 的定义域;(2) 作出函数图像;(3) 讨论()f x 在1x =及2x =处的连续性 .解 (1) 函数()f x 的定义域为(0,)+∞. (2) 函数图像为第1题图(3) 观察图像知,函数()f x 在1x =处连续,在2x =处不连续性.10.指出函数2πsin (3)4y x =-是有哪些简单函数复合而成的.解 2π,sin ,34y u u v v x ===-.11.计算下列各极限:(1) 22125lim 1x x x x →-+++ ; (2)221241lim 232x x x x →-+-; (3) 32lim(2)x x x →- ;(4)224lim 2x x x →--+;(5) 221lim()x x x→∞- ;(6)2241lim 232x x x x →∞-+-.解 (1) 22125125lim2111x x x x →-++-+==++; (2)2211122241(21)(21)214lim lim lim (21)(2)25232x x x x x x x x x x x x →→→--++===-+++-;(3) 33222lim(2)lim 2lim 484x x x x x x x →→→-=-=-=- ;(4)22224(2)(2)lim lim lim (2)422x x x x x x x x x →-→-→---+==-=-++;(5) 222121lim()lim lim 000x x x x x xx →∞→∞→∞-=-==-= ;(6)22221441limlim 2322322x x x x x x x x→∞→∞--==+-+-.12. 利用高级计算器计算下列各极限:(1)2lim sinx x x→∞ ; (2)3x → ;(3)lim x →+∞ (4)21lim()xx x x→∞+.解(1)2lim sin2x x x→∞= ; (2)314x →=; (3)x →∞=0; (4)221lim()e xx x x→∞+=.四、应用题1.若某厂每天生产某种产品60件的成本为300元,生产80件的成本为340元.求这种产品的线性成本函数,并求每天固定成本和生产一件产品的可变成本为多少?解 300602(),,()180234080180a b a C Q aQ b C Q Q a b b =+=⎧⎧=+⇒⇒∴=+⎨⎨=+=⎩⎩; 固定成本为180元,一件产品的变动成本为2元.2.甲向乙购买一套价值300万元的房子,乙提出三种付款方式:(1)全部付现款,可以优惠10万元;(2)先首付100万元,余款每隔一年付40万元,但每次付款必须加还40万元产生的利息(按年利率5%计算),5年后还清;(3)先首付200万元,一年后付余款100万元,但必须加还100万元的利息(按年利率5%计算);分别计算这三种付款方式实际付款金额. 解 (1)300—10=290(万元);(2)234510040(15%)40(15%)40(15%)40(15%)40(15%)332.076513++++++++++=万元;(3)(3)200100(15%)305++=万元.第2章 自测题一、 选择题1.过曲线2y x x =-上M 点处切线斜率为1,M 点坐标为( ). A.()1,0;B.()1,1;C.()0,0;D.()0,1.答案: A .提示:切线斜率为211,1k x x =-==,0y =.2.设在0x =处可导,则0(2)(0)lim h f h f h→-=( ).A.0;B.2(0)f '-;C.(0)f ';D.2(0)f '.答案: D .提示:00(2)(0)(02)(0)lim lim 22(0)2h h f h f f h f f h h→→-+-'=⋅=3.函数()f x 在点0x x =取得极大值,则必有( ). A.()00f x '=;B.()00f x '<;C ()00f x '=且()00f x =;D.()0f x '等于零或不存在.答案: D .提示:()0f x '等于零或不存在的点都是可能的极值点. 4.函数sin y x x =-在[]0,π上的最大值是( ).; B.0; C.π-; D.π. 答案: C. 提示:因为cos 10y x '=-≤,所以函数单调递减.最大值为()f ππ=-5.函数e arctan x y x =+在区间[]1,1-上( ). A.单调减少;B.单调增加;C.无最大值;D.无最小值.答案: B .提示:因为2101x y e x'=+>+. 6.d d yx=( ).C.D.答案: C .提示:0,y y ''==. 7. 设()211f x x =+ (0)x >,则()f x '=( ). A.21(1)x -+; B.21(1)x +;C.;. 答案: C .提示:()f x,所以y '= 8.设32,2t x te y t t -==+,则1t dydx =-=( ) A.2e -; B.2e -; C.2e; D.2e答案:C .提示:因为262ttdy t tdx e te--+=-,所以12t dy dx e =-= 9.设(),()y f u u x ϕ==,则dy =( )A.()f u dx ';B.()()f x x dx ϕ''C.()()f u x dx ϕ'';D.()()f u x du ϕ'' 答案: C .提示:根据复合函数求导法则. 二、填空题10.已知某商品的收益为375)(Q Q Q R -=,则其边际收益=')(Q R 解 2375)(Q Q R -='11.函数1x y e -=在2x =-处的切线斜率为 . 解 13222xx x k y e e -=-=-'==-=.12.曲线()21f x x =-在区间 上是单调增加函数. 解 ()2f x x '=-,所以在(,0)-∞上是单调增加函数. 13.如果2,0.01x x =∆=,则22()x d x == .解 2220.01()20.04x x x d x x x==∆==⋅∆=.14.函数x y xe -=在[]1,2-上的最大值为 .解 (1)x y e x -'=-,得驻点1x =,12(1),(1),(2)f f e f e e=-=-=,所以最大值为2(2)f e=.15.如果2sin 2y x =,则y '= . 解 2sin 2cos222sin 4y x x x '=⋅⋅=.16. 某需求曲线为1003000Q P =-+,则20P =时的需求弹性E = 解 202020()(100)21003000P P P P P E Q P Q P ==='=-=--=-+ . 17.已知ln 2y x =,则y ''= .解 211,y y x x'''==-.三、计算题18. 求下列函数的导数(1)(1y =+ (2)cos πy =+解y =解231(1)3y x -'=⋅+。
完整)高等数学练习题附答案第一章自测题一、填空题(每小题3分,共18分)1.lim (sinx-tanx)/(3xln(1+2x)) = 1/22.lim (2x^2+ax+b)/(x-1) =3.a = 5.b = 123.lim (sin2x+e^(2ax)-1)/(x+1) = 2a4.若f(x)在(-∞,+∞)上连续,则a=05.曲线f(x) = (x-1)/(2x-4x+3)的水平渐近线是y=1/2,铅直渐近线是x=3/26.曲线y=(2x-1)/(x+1)的斜渐近线方程为y=2x-3二、单项选择题(每小题3分,共18分)1.“对任意给定的ε∈(0,1),总存在整数N,当n≥N时,恒有|x_n-a|≤2ε”是数列{x_n}收敛于a的充分条件但非必要条件2.设g(x)={x+2,x<1.2-x^2,1≤x<2.-x,x≥2},f(x)={2-x,x<1.x^2,x≥1},则g(f(x))=2-x^2,x≥13.下列各式中正确的是 lim (1-cosx)/x = 04.设x→0时,e^(tanx-x-1)与x^n是等价无穷小,则正整数n=35.曲线y=(1+e^(-x))/(1-e^(-x^2))没有渐近线6.下列函数在给定区间上无界的是 sin(1/x),x∈(0,1]三、求下列极限(每小题5分,共35分)1.lim (x^2-x-2)/(4x+1-3) = 3/42.lim x+e^(-x)/(2x-x^2) = 03.lim (1+2+3+。
+n)/(n^2 ln n) = 04.lim x^2sin(1/x) = 01.设函数$f(x)=ax(a>0,a\neq1)$,求$\lim\limits_{n\to\infty}\frac{1}{\ln\left(\frac{f(1)f(2)\cdotsf(n)}{n^2}\right)}$。
2.求$\lim\limits_{4x\to1}\frac{x^2+e\sin x+6}{1+e^x-\cosx}$。
高数单元测试题及答案一、选择题(每题2分,共20分)1. 函数f(x)=x^2+3x-2的定义域是:A. RB. [0, ∞)C. (-∞, 0)D. [2, ∞)2. 已知函数f(x)=x^3-2x^2+x-5,求f'(x):A. 3x^2-4x+1B. x^3-4x^2+1C. 3x^2-4x+1D. x^2-4x+13. 若f(x)=sin(x)+cos(x),则f''(x)是:A. -sin(x)-cos(x)B. -sin(x)+cos(x)C. sin(x)-cos(x)D. sin(x)+cos(x)4. 曲线y=x^3在点(1,1)处的切线斜率是:A. 0B. 1C. 3D. 45. 函数f(x)=ln(x)的值域是:A. (-∞, 0)B. (0, ∞)C. (-∞, ∞)D. [0, ∞)6. 已知函数f(x)=e^x,求f'(x):A. e^xB. x*e^xC. e^x-1D. 17. 若f(x)=x^2+1,求f(-x):A. x^2+1B. -x^2+1C. -x^2-1D. x^2-18. 函数f(x)=x^3-3x^2+2x在x=1处的极值是:A. 极小值B. 极大值C. 无极值D. 不能确定9. 若f(x)=x^2-4x+3,求f(x)的单调递增区间:A. (-∞, 2)B. (2, ∞)C. (-∞, 1)D. (1, ∞)10. 函数f(x)=sin(x)cos(x)的原函数F(x)是:A. sin(2x)B. sin(x)+cos(x)C. (sin(x)+cos(x))/2D. (sin(x)-cos(x))/2答案:1-5 A C B C C 6-10 A A B B D二、填空题(每题2分,共10分)1. 函数f(x)=x^3的导数是 \( f'(x) = 3x^2 \) 。
2. 若曲线y=x^2-4x+3与直线y=k相切,则k= \( 1 \) 。
高等数学测试题(一)极限、连续部分(答案)一、选择题(每小题4分,共20分)分) 1、 当0x ®+时,(A )无穷小量。
)无穷小量。
A 1sin x x B 1x e C ln x D 1sin x x2、点1x =是函数311()1131x x f x x x x -<ìï==íï->î的(C )。
A 连续点连续点 B 第一类非可去间断点第一类非可去间断点 C 可去间断点可去间断点 D 第二类间断点第二类间断点 3、函数()f x 在点0x 处有定义是其在0x 处极限存在的(D )。
A 充分非必要条件充分非必要条件 B 必要非充分条件必要非充分条件 C 充要条件充要条件 D 无关条件无关条件4、已知极限22lim()0x x ax x®¥++=,则常数a 等于(A )。
A -1 B 0 C 1 D 2 5、极限21lim cos 1x x e x ®--等于(D )。
A ¥ B 2 C 0 D -2 二、填空题(每小题4分,共20分)分)1、21lim(1)x x x®¥-=22e -2、 当0x ®+时,无穷小ln(1)Ax a =+与无穷小sin 3x b =等价,则常数A=3 3、 已知函数()f x 在点0x =处连续,且当0x ¹时,函数21()2x f x -=,则函数值(0)f =0 4、 111lim[]1223(1)n n n ®¥+++··+=1 5、 若lim ()x f x p®存在,且sin ()2lim ()x xf x f x xp p®=+-,则lim ()x f x p ®=1 二、解答题二、解答题1、(7分)计算极限分)计算极限 222111lim(1)(1)(1)23n n ®¥---解:原式=132411111lim()()()lim 223322n n n n n n n n ®¥®¥-++···=·=2、(7分)计算极限分)计算极限 30tan sin lim x x x x®- 解:原式=2322000sin 1sin 1cos 1cos 2lim lim lim cos cos 2x x x x x x x x x x x x x ®®®--===3、(7分)计算极限分)计算极限 123lim()21x x xx x +®¥++ 解:原式= 11122112221lim(1)lim(1)121211lim(1)lim(1)1122x x x x x x x x x e x x +++®¥®¥+®¥®¥+=+++=+·+=++ 4、(7分)计算极限分)计算极限 201sin 1lim 1x x x x e ®+-- 解:原式=201sin 12lim 2x x xx ®=5、(7分)设3214lim 1x x ax x x ®---++ 具有极限l ,求,a l 的值的值 解:因为1lim(1)0x xx ®-+=,所以,所以 321lim(4)0x x ax x ®---+=, 因此因此 4a = 并将其代入原式并将其代入原式321144(1)(1)(4)limlim 1011x x x x x x x x l x x ®-®---++--===++6、(8分)设3()32,()(1)nx x x x c x a b =-+=-,试确定常数,c n ,使得()()x x a b解:解: 32221()32(1)(2)(1)(2)3lim ,3,2(1)x x x x x x x x c n c x ca ®=-+=-+-+=\==- 此时,()()x x ab 7、(7分)试确定常数a ,使得函数21sin 0()0x x f x x a x x ì>ï=íï+£î在(,)-¥+¥内连续内连续解:当0x >时,()f x 连续,当0x <时,()f x 连续。
第三章单元自测题答案一、填空题:1.满足,2=ξ; 2. 满足,3415=ξ; 3. 3; 4. 1-=a ,4-=b . 二、选择题:1. B ;2.A ;3.C ;4.A ;5.B .三、计算下列各题: 1.解 ∞→x lim 1lim 1lim 11lim )1(0011==-=-=-→→∞→u u u u x x x e ue xe e x . 2.解 2000)1ln(lim )1ln()1ln(lim )1)1ln(1(lim xx x x x x x x x x x x +-=++-=-+→→→21)1(2lim 2111lim 00=+=+-=→→x x x x x x x . 3.解 设21)(cos x x y =,取对数有2cos ln ln xx y = 因为212tan lim cos ln lim 020-=-=→→x x x x x x ,所以21cos ln 01022lim )(cos lim -→→==e e x x xx x x . 四、应用题:1.解 函数的定义域为),(+∞-∞,因为 x x x e x x e x xe y ----=-=')24(2422,令0='y ,解得2,021==x x .当,0,0<'<y x 当,0,20>'<<y x 当,0,2<'>y x因此,]2,0[为单调增加区间,]0,(-∞)和),2[+∞为单调减少区间.2.解 函数的定义域为),(+∞-∞,因为2222)1(22,12x x y x x y +-=''+=', 令0=''y ,解得1,121=-=x x .当,0,1<''-<y x 时当11<<-x 时,0>''y ,当0,1<''>y x 时,故曲线的凹区间为]1,1[-,凸区间为]1,(--∞和),1[+∞.拐点为)2ln ,1(-,)2ln ,1(.3.解 )5,0(2,2,01232∈=±==-='x x x y 解得, 70)5(,5)0(,11)2(==-=f f f ,故,70max =f 11min -=f .4.解 ,26,232b ax y bx ax y +=''+='由已知得0)2(=''y ,即6,0212b a b a -==+. 又)5,2(为曲线23bx ax y +=上的点,因此有815,42653=+⋅-=b b b .于是16581561-=⋅-=a . 5.解 由已知得x y 2=,且72=xyh ,于是有236xh =, 长方体带盖箱子的表面积)362362(2)(2)(222x x x x x yh xh xy x S S ⋅+⋅+=++== )0(,21642>+=x x x 因为22168)(x x x S -=',令0)(='x S ,解得唯一驻点3=x , 由问题实际意义知,当长3=x m 时,箱子的用料最省,此时宽m y 6=,高m h 4=.五、证明题:1.证明 令x x f ln )(=,显然)(x f 在],[b a 上满足拉格朗日中值定理条件,于是有 ))(()()(a b f a f b f -'=-ξ,)(b a <<ξ,即 ξa b a b a b -==-ln ln ln ,)(b a <<ξ, 因为b a <<<ξ0,所以aa b a b b a b -<-<-ξ,因此aa b a b b a b -<<-ln . 2.证明 令221)1ln()(x x x x f +-+=,则)(x f 在],0[x 上连续,且xx x x x f +=+-+='1111)(2, 当0>x 时,0)(>'x f ,所以)(x f 在),0[+∞上单调增加,又0)0(=f , 从而,当0>x 时有)0()(f x f >,即当0>x 时,221)1ln(x x x ->+. 3.证明 令1)(5-+=x x x f ,则)(x f 在区间]2,0[上连续,且0122)2(,01)0(5>-+=<-=f f ,由零点定理知方程015=-+x x 在区间)2,0(内有一正根.又在),(+∞-∞内,,015)(4>+='x x f 故)(x f 在),(+∞-∞上单调增加, 因此正根唯一,即方程015=-+x x 只有一个正根.。
《高等数学》章节自测题答案第1部分函数、极限与连续(单元自测题)一.单项选择题(共18分)( A )( B )( D )( D )( B )时有( D )二.填空题(共15分)的连续区间是三.判断下列各组极限运算的正误(8分)1.2.;;3.;;;四.求下列极限(20分)答案:2答案:答案:答案:1五.求函数的间断点,并判断类型(10分)答案:为第一类(可去)间断点;为第二类(无穷)间断点六.已知是连续函数,求的值(9分)答案:七.用零点定理证明方程在内有两个实根(20分)答案:两次利用零点定理即可.第2部分导数与微分(单元自测题)一.单项选择题(共10分)( D )表示( B )( C )( D ),函数的导数是( C )二.填空题(共22分)将适当的函数填入括号内(1) (2)(3) (4)(5) (6)(7)三.求下列函数的导数(16分)1.答案:2.答案:3.答案:4.答案:四.求下列函数的二阶导数(16分)1.答案:2.答案:3.答案:4.答案:五.设,求(16分)答案:六.已知曲线的方程是,求曲线在点处的切线方程(10分)答案:七.已知曲线的参数方程是,求曲线在处的切线方程和法线方程.答案:切线方程;法线方程.第3部分导数的应用(单元自测题)一.单项选择题(共10分)在区间( B )上满足罗尔定理条件( D )( D )( A )极限( C )二.填空题(共15分),最小值是的单调减少区间是三.求下列极限(20分)答案:答案:答案:答案:答案:四.求函数的极值和单调区间(10分)答案:五.证明曲线总是凹的(10分)答案:六.曲线弧上哪一点处的曲率半径最小?并求出该点处的曲率半径.(10分)答案:七.求函数的四阶麦克劳林公式(10分)答案:.八.要做一圆锥形漏斗,其母线长为20cm,问要使得漏斗体积最大,其高应为多少?答案:第4部分不定积分(单元自测题)一.单项选择题(共15分)( B )( B )( B )( C );;不定积分( D )二.填空题(共15分),称为的不定积分三.求下列不定积分(55分)答案:答案:答案:答案:答案:答案:答案:答案:答案:答案:答案:四.试用三种方法求不定积分(15分)答案:方法一:令;方法二:分子;方法三:令第5部分定积分(单元自测题)一.单项选择题(共18分)( C )( A )( C )( B );;;( D )( B )二.填空题(共15分)原函数三.计算下列定积分(24分)答案:答案:答案:答案:答案:答案:四.下列积分中,使用的变换是否正确?如不正确,请改正,并计算各定积分.(12分)答案:不正确,直接法,答案:正确,答案:不正确,几何意义或者令,五.已知有连续的二阶导数,求(10分)答案:六.判断下列广义积分的收敛性(12分)答案:答案:发散答案:答案:发散七.研究函数的单调性,并求其极值(9分)答案:第6部分定积分的应用(单元自测题)一.单项选择题(共20分)( A )而成的立体体积为( B )( A )4 ( C )( D )二.求曲线轴所围图形的面积(10分)答案:三.求曲线轴所围图形的面积(10分)答案:四.求曲线轴所围图形的面积(10分)答案:五.求曲线所围成的图形绕轴旋转而成的立体体积(10分)答案:六.半径为10m的半球形水池内充满了水,求把池内水抽干所做的功(15分)答案:七.一水坝中有一直立矩形闸门,宽10m,深6m,求当水面在闸门顶上8m的时闸门所受水的压力(15分)答案:八.抛物线分圆盘为两部分,求这两部分面积的比(10分)答案:第7部分常微分方程(单元自测题)一.解下列可分离变量方程(共12分)答案:答案:答案:二.解下列齐次方程(8分)答案:答案:三.解下列一阶线性方程(25分)答案:答案:答案:答案:答案:四.解下列可降阶的高阶微分方程(15分)答案:答案:答案:五.解下列二阶常系数线性微分方程(30分)答案:答案:答案:答案:.答案:六.已知某厂的纯利润对广告费的变化率为,与常数和纯利润之差成正比,当时,,试求纯利润与广告费之间的函数关系.(10分)答案:第8部分空间解析几何与向量代数(单元自测题)一.各类计算题(共30分)在坐标面上求与三已知点等距离的点答案:已知向量的方向角且,求答案:求过点且与平面垂直的直线方程答案:求同时垂直于向量和向量的单位向量答案:5.求过直线的平面方程答案:已知垂直,求答案:二.求以为顶点的四边形面积(10分)答案:三.求两平面,的夹角(10分)答案:四.判断下列线与线、线与面之间的位置关系(20分)答案:互相垂直答案:重合答案:平行答案:直线在平面上五.求点到直线的距离(10分)答案:六.求平面曲线绕轴旋转所得曲面的方程(10分)答案:七.求曲线在面上的投影(10分)答案:第9部分多元函数微积分(单元自测题)一.关于一阶偏导数(共16分)若,求答案:若,求答案:若,求答案:若,求答案:二.关于高阶(二阶)偏导数(12分)若,求答案:若,求答案:三.关于复合函数的偏导数(10分)若,求答案:若,求答案:四.关于隐函数的偏导数(10分)若,求答案:若,求答案:五.关于极值问题(12分)求的极值答案:设,求在条件下的极小值答案:六.交换下列积分次序(16分)答案:答案:答案:答案:七.计算下列二重积分(24分),答案:答案:,答案:,答案:第10部分无穷级数(单元自测题)一.判断下列级数的敛散性(共30分)答案:收敛答案:发散答案:收敛答案:发散5.答案:条件收敛答案:绝对收敛答案:绝对收敛答案:时绝对收敛;时发散答案:收敛答案:收敛二.证明(6分)答案:利用级数收敛的必要条件三.求下列级数的收敛域(12分)答案:答案:答案:答案:四.求下列幂级数在收敛域内的和函数(12分)答案:答案:五.将下列函数展开成的幂级数,并求其收敛域(12分)答案:答案:答案:六.将下列函数在指定点处展开成幂级数,并求其收敛域(12分)答案:答案:七.把下列函数展成傅立叶级数(16分)答案:答案:第11部分概率(单元自测题)一.单项选择题(共24分)( B )设为随机事件,,则必有( A )设互为对立事件,且,则下列各式中错误的是( A )抛一枚不均匀硬币,正面朝上的概率为,将此硬币连抛4次,则恰好3次正面朝上的概率是( C )设随机变量的分布函数为,下列结论中不一定成立的是( D )下列各函数中是随机变量分布函数的是( B )如果函数是某连续型随机变量的概率密度,则区间可以是( C )设随机变量的概率密度为,令,则的概率密度为( D )二.填空题(15分)设与互相独立,则某射手命中率为,他独立地向目标射击4次,则至少命中一次的概率为设为连续型随机变量,是一个常数,则= 0设∽,则= 0.5设∽,则的概率密度=三.设(8分)答案:0.4四.设为两个随机事件,证明与相互独立(10分)五.已知一批产品中有95%是合格品,检查产品质量时,一个合格品被误判为次品的概率为0.02,一个次品被误判为合格品的概率为0.03,求:(10分)(1)任意抽查一个产品,它被判为合格品的概率;(2)一个经检查被判为合格品的产品确实是合格品的概率.答案:(1)0.9325;(2)0.9984六.袋中有2个白球,3个红球,现从袋中随机地抽取2个球,以表示取到的红球,求的分布律(10分)答案:0 1 2七.设的概率密度为, 求:(10分)(1) 的分布函数;(2) .答案:(1) ;(2)0.625,0.625八.已知某种类型电子元件的寿命(单位:小时)服从指数分布,它的概率密度为,一台仪器装有4个此种类型的电子元件,其中任意一个损坏时仪器便不能正常工作,假设4个电子元件损坏与否互相独立。
《高等数学》单元自测题第七章 空间解析几何专业 班级 姓名 学号一、填空题:1. 已知向量a 与b 垂直,且5||=a ,12||=b ,则=+||b a ,=-||b a .2.设向量{}{}1,1,2,1,2,1--==OB OA ,则=⋅OB OA ,=⨯OB OA ,=∠AOB cos .3.已知点)3,1,2(),5,0,4(B A ,则与AB 同向的单位向量为 . 4.若两平面0=-++k z y kx 与02=-+z y kx 互相垂直,则k = . 5.过点)1,2,3(--和点)5,4,5(的直线方程为 . 6.点)2,3,1(到平面0322=+-+z y x 的距离为 .7.母线平行于z 轴且通过曲线⎪⎩⎪⎨⎧+==++22222214zy x z y x 的柱面方程是 .8.球面042222=+-++y x z y x 的球心为 ,半径为 . 二、单项选择题: 1.若两直线634123-=+=-z y x 与22251-+=+=-k z y x 平行,则k= . (A)2; (B)3; (C)4; (D)5.2.设平面方程为0=++D Cz Bx ,且0≠BCD ,则平面 . (A)平行于x 轴; (B)平行于y 轴; (C)经过y 轴; (D)垂直于y 轴.3.过点)1,1,2(-且与平面0132=+-+z y x 垂直的直线方程为 .(A)111322-+=-=-z y x ; (B)111322--=+=+z y x ; (C)113122-+=-=-z y x ; (D)113122--=+=+z y x . 4.设三向量c b,a,的模分别为3,6,7,且满足0c b a =++,则a c c b b a ⋅+⋅+⋅ = . (A)45; (B)-47; (C)42; (D)-43.5.方程16422=+y x 所表示的空间曲面的名称为 . (A)椭球面;(B)球面;(C)椭圆抛物面;(D)柱面.三、解答题:1.已知向量}1,0,1{-=a ,}1,2,2{-=b ,求)()23(b a b a +⨯-.2.设b a m +=2,b a n +=k ,其中1||=a ,2||=b ,且b a ⊥,求数k ,使得n m ⊥.3.设有点)0,1,2(A 和)2,3,2(-B ,求线段AB 的垂直平分面方程.4.已知点)1,3,2(A ,)1,4,5(-B ,)3,2,6(-C ,)1,2,5(-D ,求通过点A 且垂直于B 、C 、D 所确定的平面的直线方程.5.用点向式方程及参数方程表示直线⎩⎨⎧=++-=--+012530432z y x z y x .6.求直线3931211-=-=-z y x 与平面0253=--+z y x 的交点坐标.《高等数学》单元自测题第八章 多元函数微分学专业 班级 姓名 学号一、填空题1.设 xyz 3=, 则=∂∂xz____________. 2.设 221),(y x y x f +=,则=)3,1(y f __________________.3.方程式 1=++zx yz xy 确定z 是y x ,的函数,则=∂∂xz_________________. 4.设 xe y z sin =,则=∂∂∂yx z2__________________. 5.设 )1ln(2122y x z ++=,则=)1,1(dz ______________. 6.设函数 ),(y x f z =的全微分dy y ax dx xy dz 2232+=,则常数=a _________________.7.函数343y xy x z ++=在A(1,2)处沿从A 到B(2,1)方向的方向导数等于____________. 8.函数zx yz xy u ++=在点(1,2,3)处的梯度=∇)3,2,1(u _________________. 二、选择题1.设,0,0,0,),(222222=+≠+⎪⎩⎪⎨⎧+=y x y x y x xy y x f 则).(y x f 在点(0,0)处( ). (A)连续,但偏导数不存在; (B)不连续,但偏导数存在; (C)连续,且偏导数存在; (D)不连续,且偏导数不存在.2.设=z ln ),2(yxe e -则=∂∂)0,0(22x z( ).(A) 1; (B) -1; (C ) 2; (D) -2. 3.设方程0),,(=---x z z y y x F 确定z 是y x ,的函数,则=∂∂xz( ). (A) ;'3'2'2'1F F F F -- (B ;'3'2'1'2F F F F -- (C) ;'3'2'3'1F F F F -- (D) ;'3'2'1'3F F F F -- 4.函数yx yx z -+=的全微分=dz ( ).(A)2)()(2y x ydy xdx --; (B)2)()(2y x xdx ydy --; (C)2)()(2y x xdy ydx --; (D)2)()(2y x ydx xdy --5.函数233xy xy x z +-=在点M(1,2)处沿}3,11{=l方向的方向导数( ).(A)最大; (B)最小; (C)等于1; (D)等于0.6.在曲线32,,t z t y t x ===的所有切线中与平面02=++z y x 平行的切线( ).(A)只有一条; (B)只有两条; (C)至少有三条; (D)不存在. 7. 函数23242),(y y xy x y x f +--=有( )个驻点.(A) 1; (B) 2; (C) 3 ; (D) 4. 8. 对于函数22y x z -=,原点(0,0)( ).(A)是驻点但不是极值点; (B)不是驻点; (C)是极大值点; (D)是极小值点. 三.解答题 1.设)ln(22y x x z ++=,求x z ∂∂,yz ∂∂.2.求 x y z arctan = 的二阶偏导数y x zx z ∂∂∂∂∂222,及22yz ∂∂.3.设方程02223=-++z z y x 确定z 是y x ,的函数, 求xz ∂∂. 4.设vu e z 2-=,而y x v x y u cos ,sin ==,求yz x z ∂∂∂∂,.5.设),(xyxy f z =,f 具有连续的二阶偏导数,求x z ∂∂,y x z ∂∂∂2.6.求函数 x y x y x y x f 933),(2233-++-= 的极值.7.求球面 14222=++z y x 在点 )3,2,1( 处的切平面和法线方程.8.要做一个容积为32m 的无盖长方体水箱,问怎样选取长,宽,高,才能使得用料最省.《高等数学》单元自测题第九章 重积分专业 班级 姓名 学号一、填空题:1.已知积分区域10,10:≤≤≤≤y x D ,则二重积分=+⎰⎰Dd y x σ)(__________________.2.交换二次积分的积分次序=⎰⎰x x dy y x f dx 2),(10__________________________.3.已知积分区域)0(:2222b a b y x a D <<≤+≤,则将二重积分⎰⎰Ddxdy y x f ),(化为极坐标形式的二次积分为___________________________.4.已知区域10,10,10:≤≤≤≤≤≤Ωz y x ,则三重积分=++⎰⎰⎰Ωdv z y x )32(___________________.5.由224y x z --=与xOy 坐标面所围成的立体Ω的体积V =_______________.二、选择题:1.已知区域D 是由直线1=+y x 与x 轴、y 轴所围成的闭区域,则二重积分=⎰⎰Ddxdy( ). (A)41; (B )21; (C )1; (D )2. 2. 已知积分区域D 是由1,==x x y 和x 轴围成,则=⎰⎰Dd y x f σ),(( ).(A)⎰⎰1010),(dy y x f dx ; (B)⎰⎰110),(x dy y x f dx ;(C )⎰⎰xdy y x f dx 010),(; (D)⎰⎰y dx y x f dy 010),(.3.已知⎰⎰+=Dd y xf I σ)(22,其中1:22≤+y x D ,则=I ( ).(A )dr r rf ⎰102)(; (B )dr r rf ⎰12)(2π;(C )dr r f ⎰102)(; (D )dr r f ⎰12)(2π.4. 已知积分区域Ω:41222≤++≤z y x ,则将三重积分⎰⎰⎰Ω++dv z y xf )(222化为球坐标系下的累次积分为( ). (A) dr r f d d ⎰⎰⎰21220)(ππϕθ; (B)dr r f d d ⎰⎰⎰212020)(sin ππϕϕθ;(C)dr r r f d d ⎰⎰⎰212020)(sin ππϕϕθ; (D) dr r r f d d 2212020)(sin ⎰⎰⎰ππϕϕθ.三、计算下列二重积分:1.计算σd y xD⎰⎰32,其中积分区域D 是由曲线x y x y ==,1与直线4=x 围成的闭区域.2.计算dxdy e Dy ⎰⎰2,其中积分区域D 是由直线x y =,1=y 及y 轴所围成的闭区域. 3.计算 dxdy y x D⎰⎰+22,其中积分区域D 是由4122≤+≤y x 所确定的圆环域.4.计算⎰⎰+Dy x d e σ22,其中积分区域D 是由122≤+y x 所确定的圆形域.四、计算下列三重积分:1.计算三重积分⎰⎰⎰Ωdxdydz x 2,其中Ω为三个坐标面及平面1=++z y x 所围成的闭区域.2. 计算三重积分⎰⎰⎰Ωzdxdydz ,其中Ω是由曲面22y x z +=与平面4=z 所围成的闭区域.五、求由平面0,1==y x 与柱面2x y =所围成的柱体被平面0=z 及抛物面224y x z --=所截得的立体的体积.《高等数学》单元自测题第十章 曲线积分与曲面积分专业 班级 姓名 学号一、计算下列曲线积分: 1. 设L 为单位圆周的上半部分,求⎰+Ly x ds e22.2. 计算⎰Lxyds ,其中L 为由x 轴,单位圆,y 轴围成第一象限扇形的整个边界.3. 计算ds z y x ⎰Γ++2221,其中Γ是螺线t z t y t x 3,s i n2,c o s 2===的第一圈(π20≤≤t ).4. 计算xydy dx y L+⎰,其中L 为(1)上半圆周21x y -=上从点)0,1(到点)0,1(-的一段弧;(2)从点)0,1(到点)0,1(-的直线段;(3)先沿直线从)0,1(到)1,0(再沿直线到)0,1(-的折线.5. 利用格林公式计算dy x y x dx y x L)3()3(2+++⎰,其中L 是由曲线2x y =及x y =2所围成区域的正向边界.6. 证明曲线积分⎰+++Ldy x y x dx y x xy )()3(3222在整个xoy 平面上与路经无关,并计算⎰+++)4,3()2,1(3222)()3(dy x y x dx y x xy 的值.二、计算下列曲面积分1. 计算dS y x ⎰⎰∑+)(22,其中∑是抛物面)(2122y x z +=及平面2=z 所围成的区域的整个边界曲面.2. 计算ydzdx xdydz zdxdy ⎰⎰∑++,其中∑是长方体,10,10|),,{(≤≤≤≤=Ωy x z y x}10≤≤z 整个表面的外侧.3. 利用高斯公式计算dxdy z dzdx y dydz x 333⎰⎰∑++,其中∑为球面1222=++z y x 的外侧.《高等数学》单元自测题第十一章 无穷级数专业 班级 姓名 学号一、选择题:1、若极限lim 0n n u →∞≠, 则级数1nn u∞=∑( ) .(A) 收敛; (B) 发散; (C) 条件收敛; (D) 绝对收敛. 2、下列级数发散的是 ( ) (A)nn n 1)1(11∑∞=--; (B) )111()1(11++-∑∞=-n n n n ; (C) nn n1)1(1∑∞=-;(D))1(1n n ∑∞=-. 3、下列级数绝对收敛的是( ) (A)∑∞=-2)1(n nnn; (B)nn n 1)1(21∑∞=--; (C) ∑∞=-2ln )1(n nn ; (D) ∑∞=--2321)1(n n n.4、下列级数收敛的是( )(A) ∑∞=+1)1ln(1n n ; (B)∑∞=+-1)1ln()1(n nn ; (C) ∑∞=+-112)1(n nn n; (D) ∑∞=+112n n n. 5、下列级数中条件收敛的是( )(A) ∑∞=⎪⎭⎫⎝⎛-132)1(n nn;(B)∑∞=--11)1(n n n; (C)∑∞=-+-1112)1(n n n n;(D) ∑∞=--13151)1(n n n.6、如果级数1nn u∞=∑收敛,则下列结论不成立的是( )(A) lim 0n n u →∞= ; (B)1nn u∞=∑ 收敛;(C)1(nn kuk ∞=∑为常数)收敛; (D)2121()n n n uu ∞-=+∑ 收敛.7、交错级数11(1)(1)n n n n ∞-=-+-∑( )(A) 绝对收敛; (B) 发散; (C) 条件收敛; (D) 敛散性不能判定. 8、设幂级数1nn n a x∞=∑在2x =处收敛,则在1x =-处( )(A) 绝对收敛; (B) 发散; (C) 条件收敛; (D) 敛散性不能判定.9、函数22()x f x x e =在(,)-∞+∞内展成x 的幂级数是( )(A) 211(1)(21)!n n n x n -∞=--∑; (B)21!n n x n +∞=∑; (C) 2(1)1!n n x n +∞=∑ ; (D) 21!nn x n ∞=∑. 二、填空题:1、函数211x +的幂级数展开式是____ ____.2、幂级数11(1)nn n x n∞-=-∑在(1,1]-上的和函数是_______ ____. 3、幂级数1(3)3nnn x n ∞=-∑的收敛域为___ ________. 4、函数()f x 是周期为2π的周期函数,它在[,)ππ-上的表达式为0()(0),0x f x k kx ππ-≤<⎧=≠⎨≤<⎩则()f x 的傅立叶级数的和函数在x π=处的值为______ _____.三、判断以下正项级数收敛或发散:(要写出详细的判断过程) 1.∑∞=+121n nn 2.()∑∞=++1332n n n n3.nn n n ∑∞=⎪⎭⎫ ⎝⎛+1134.()∑∞=-+121n nnn四、判断以下任意项级数的敛散性,收敛时要说明条件收敛或绝对收敛:(要写出详细的判断过程) 1.()∑∞=---11121n n n n2. ++-+++-14413312221222五、求下列幂级数的收敛半径和收敛域 1. ∑∞=13n n n x n2.()∑∞=-11n n nnn x ;3.∑∞=1!n n x n .六、 将函数()x x f 2-=,()ππ≤≤-x 在区间[]ππ,-上展开为傅里叶级数.七、 将函数()⎪⎪⎩⎪⎪⎨⎧≤≤-≤≤=lx l x l l x x x f 2,20,分别展开成正弦级数和余弦级数.高等数学(一)综合测试I一、选择题(本大题共 10 小题,每小题 2 分,共 20 分)1.设函数()x f 定义在闭区间[]b a ,上,则下列结论正确的是( ).(A) 若()x f 可积,则()x f 一定有界. (B) 若()x f 连续,则()x f 一定可导. (C) 若()x f 有界,则()x f 一定连续. (D) 若()x f 可积,则()x f 一定可微. 2. 下列结论正确的是( ). (A) 若()0lim x x f x A →=, 则()0lim x x f x A →=.(B) 可导函数的极值点一定是驻点.(C) 若0''()0f x =,则点00(,())x f x 一定是曲线()y f x =的拐点. (D) 一切初等函数在定义区间内部都可导. 3.下列求导运算错误的是( ).(A)0()()x d f t dt f x dx =⎰; (B) 33311xd tdt x dx -+=-⎰; (C) 1(ln8)'x x=; (D) 22()'x x e e =.4. 微分方程2''1x y y e -=+的特解形式为(其中,a b 为常数)( ). (A) 2xaxebx +; (B) 2x axe b +; (C)2x ae b +; (D) 2x ae bx +.5. 设0()lim2x f x x →=,则0sin 2lim (3)x xf x →=( ).(A)23; (B) 32; (C) 13; (D) 3.6. 设0'()f x 存在,则000()()lim2h f x h f x h h→--+=-( ). (A) 0'()f x ; (B)02'()f x ; (C) 0'()f x -; (D) 02'()f x -.7. 设函数arctan ,0ln(1)()0,01sin ,0xx x f x x x x x ⎧>⎪+⎪⎪==⎨⎪⎪<⎪⎩,则点x =0是函数)(x f 的( ).(A) 第二类间断点; (B) 第一类间断点; (C) 连续但不可导点; (D)可导点. 8. 设()x f x dx xe C -=+⎰,则函数()f x 的单调递增区间为( ).(A) (,1]-∞; (B) [1,)+∞; (C) (,2]-∞; (D) [2,)+∞.9.下列反常积分错误的是( ). (A)41113dx x +∞=⎰; (B) 211dx x π+∞-∞=+⎰;(C)1110dx x -=⎰;(D)1111dx x-=⎰. 10. 设函数1,0(),0xx x f x x x +≤⎧=⎨>⎩,则( ). (A) 0lim ()x f x →不存在;(B) 0lim ()x f x →存在, 但()f x 在点0x =处不连续;(C) ()f x 在点0x =处连续,但不可导; (D) ()f x 在点0x =处可导,且'(0)1f =.二、填空题(本大题共 5 小题,每小题 2 分,共 10 分) 1. 3ln(1)lim(1)x x x +→+= .2.设3232x t t y t t⎧=-⎨=-⎩,则dydx = . 3. 设))ln(cot(x y =,则函数的微分dy = . 4. ()xf x e -=的5阶麦克劳林公式为xe-= .5.一阶线性微分方程 'xy y e -=的通解为 .三、计算题(本大题共 6 小题,每小题 10 分,共 60 分)1. 求不定积分211sec tan 2ln 212x x x e dx x x ⎛⎫++++ ⎪+⎝⎭⎰.2. 设函数)(x y y =由方程tan y x y =+确定,求dxdy .3. 求极限011lim sin 1x x x e →⎛⎫- ⎪-⎝⎭.4.求不定积分21815x dx x x --+⎰.5.求定积分31ln e x xdx ⎰.6. 求微分方程''3'20y y y -+=的通解和在初值条件001,'2x x y y ====下的特解.四、应用题(本大题共 2 小题,每小题 5 分,共 10 分)1.求由抛物线2y x =与直线y x =所围成的平面图形绕x 轴旋转一周所得旋转体的体积.2.设函数()f x 和()g x 都在闭区间[,]a b 上连续,在开区间(,)a b 内可导,并且()()0f a f b ==,证明:至少存在一点(,)a b ξ∈,使得'()()'()0f f g ξξξ+=.高等数学(一)综合测试II一、选择题(本大题共 10 小题,每小题 2 分,共 20 分) 1、 当0→x 时,下列函数( )不是其它函数的等价无穷小.(A )2sin x ; (B )2cos 1x -; (C ))1ln(2x +; (D ))1(-x e x .2、 已知极限0)2(lim 2=++∞→kn nn n ,则常数=k ( ) (A )1-; (B )0; (C )1; (D )2. 3、 设)(x f 在点0x 可导,则下列说法错误的是( ) (A))(lim 0x f x x →存在; (B))(x f 在点0x 连续;(C) )(x f 在点0x 可微; (D) )(x f 在点0x 取得极值,.4、 设)(x ϕ在点0=x 处连续,且0)0(=ϕ,若)(||)(x x x f ϕ=,则)(x f 在0=x 点处( ) (A )不连续; (B )连续但不可导; (C )可导,且)0()0(ϕ'='f ; (D )可导,且)0()0(ϕ='f .5、 曲线314--=x y 的拐点是( )(A ))4,1(; (B ))3,2(; (C ))2,9(; (D ))5,0(. 6、 若函数x2为)(x f 的一个原函数,则函数=)(x f ( ).(A ) 12-x x ; (B ) 1211++x x ; (C ) 2ln 2x; (D ) 2ln 2x . 7、 设C e dx x f x +=⎰2)(,则下列说法正确的是( ).(A ))(x f 在),(+∞-∞内单调增加; (B ))(x f 在),(+∞-∞内单调减少; (C ))(x f 在),0[+∞上单调增加; (D ))(x f 在),0[+∞上单调减少. 8、 设连续函数)(x f 满足:⎰+=102)()(dt t f x x x f ,则)(x f =( )(A )234x x +; (B )243x x +; (C )232x x +; (D )223x x +. 9、 下列反常积分中收敛的是( ) (A )⎰∞+11dx x ;(B )⎰∞+1321dx x;(C )⎰-102)1(1dx x ;(D )⎰-212x dx .10、曲线221x y =上相应于x 从0到1的一段弧的长度为 ( ) (A ))]12ln(2[21++;(B )221;(C ))12ln(21+;(D ))12ln(2++.二:填空题(本大题共 5 小题,每小题 2 分,共 10 分) 1.=-→xx x 30)21(lim ________________.2.设函数⎩⎨⎧≥+<=0),ln(0,sin )(x x b x x a x f 在点0=x 处可导,则=a _________,=b _________.3.设x x y ln 2=,则函数的微分=dy ________________.4.xxe x f =)(的n 阶麦克劳林公式为_________________________________________. 5.微分方程212y x dxdy-=的通解为________________.三:计算下列各题(本大题共 6 小题,每小题 10分,共 60分) 1. 求⎪⎭⎫ ⎝⎛-→x x x 1sin 1lim 0.2. 设⎩⎨⎧=+=ty t x arctan )1ln(2,求dx dy .3. ⎰--+dx x x x 272.4. 求⎰+102)1ln(dx x .5. 求由曲线2y x =及直线x y =所围成平面图形绕x 轴旋转一周所得旋转体的体积.6. 求微分方程xxe y y 2='+''的通解.四:证明题(本大题共 1 小题,每小题 10分,共 10 分) 设函数)(x f 在),(+∞-∞内连续,且0)(>x f ,证明方程x x e x dt t f )1()(0-=⎰在区间)1,0(内有且仅有一个实根.高等数学(一)综合测试III一、选择题(本大题共 10 小题,每小题 2 分,共 20 分)1.下列广义积分结果正确的是( ).A. ⎰-=1101dx x ;B.⎰--=11221dx x ;C.⎰∞++∞=141dx x ;D. ⎰∞++∞=11dx x.2. 下列求导运算正确的是( ).A. ()x x xcos 2sin 2=';B. ()[]()00x f x f '=';C. ()xxee cos cos =';D. ()xx 15ln ='. 3. 设()x f 为定义在[]b a ,上的函数,则下列结论错误的是( ).A. 若()x f 可导,则()x f 一定连续;B. 若()x f 可微,则()x f 一定可导;C. 若()x f 不连续,则()x f 一定不可导;D. 若()x f 可微,则()x f 不一定可导. 4. 下列等式正确的是( ). A.()()()x f dx x f ='⎰; B. ()()⎰=x f x df ;C. ()()()x f dx x f d=⎰; D. ()()⎰='x f dx x f .5. 曲线⎪⎩⎪⎨⎧=+=321ty tx 在2=t 处的切线方程为( ). A. 73-=x y ;B. 33-=x y ;C. 31931+=x y ;D. 3731+=x y . 6. 设()x f 在点a x =处可导,则()()=--+→hh a f h a f h 2lim 0( ). A. ()a f '3;B. ()a f '2;C. ()a f ';D. ()a f '31.7. 设()⎪⎩⎪⎨⎧=≠-+=0,0,1sin 2x a x xe x xf ax 在点0=x 处连续,则=a ( ). A. 1; B. 0;C. e ;D. 1-.8、设123,,y y y 都是微分方程()()()y p x y q x y f x '''++=的解,且≠--3231y y y y 常数,则该微分方程的通解为 ( ) .(A)1122123(1).y C y C y C C y =++-- (B)1122123();y C y C y C C y =+-+ (C)1122123(1);y C y C y C C y =+--- (D)11223;y C y C y y =++9. 设()x f 在点0=x 的某个邻域内可导,且()2cos 1lim0=-→xx f x ,则点0=x ( ). A. 是()x f 的极小值点; B. 是()x f 的极大值点;C. 不是()x f 的极值点;D. 是()x f 的驻点,但不是极值点.10. 设)(x f 在),(+∞-∞内连续且可导,如果⎰+=102)()(dt t f xx x f ,则=')(x f ( ) .A. x 231+;B. 223x x +;C. 243x x +;D. 4232x x +.二、填空题(本大题共 5 小题,每小题 2 分,共 10 分)1. 1)1sin(lim 21--→x x x = .2. 微分方程y y x y ln ='满足初始条件e y x ==1的特解为 .3. 设函数⎰+=xdt t y 02)1cos(,则微分=dy .4.⎰-++1121sin 2dx x x= .5. 由曲线2x y =,直线1=x 及x 轴所围成平面图形绕x 轴旋转一周所得旋转体的体积=V ___ _.三、 计算题(本大题共 3 小题,共 30 分)1. 设)(x f y =是由方程e xy e y x +=+所确定的隐函数,求dxdy.2. 求⎪⎭⎫ ⎝⎛+-+∞→x xx 11ln arctan 2limπ.3. 求函数()313x x x f -=的单调区间、极值点、凹凸区间以及函数曲线上的拐点.四.计算下列积分(本大题共 3 小题,共 30 分)1. 求不定积分⎰⎪⎪⎭⎫ ⎝⎛+-++⋅-+dx x e x x x x x 111cot csc 122.2. 求不定积分⎰-dx x 113 .3. 求定积分⎰10dx e x .五. 证明题(本大题共 2 小题,共 10 分) 1. 当0>x 时, ()x x x arctan )1ln(1>++.2. 设函数()x f 与()x g 在],[b a 上连续.证明至少存在一点()b a ,∈ξ,使得 ()()()()⎰⎰=ba dx x f g dx x g f ξξξξ.高等数学(二)综合测试I一.填空题(本大题8小题,每小题3分,共24分)1.设,333},3,2,1{k j i b a -+==则b a ⋅=__________.2.过点)3,2,1(0M 且与直线31321zy x =+=-垂直的平面方程是___________________. 3.函数22y x ez +=的全微分dz =____________________.4.函数232y xy x z ++=在点A(1,1)处沿A 到B(3,3)的方向导数是__________________.5.交换二次积分次序dx y x f dy yy⎰⎰2),(1=________________________________.6.设L 是圆122=+y x 的上半圆周,⎰Lds 2 =____________________.7.设Ω是由圆柱面122=+y x ,及平面0=z ,1=z 所围成,将三重积分dxdydz z y x f ⎰⎰⎰Ω),,(化为柱坐标系下的三次积分是_________________________________.8.展开函数=)(x f 2x e 的x 的幂级数是___________________________________.二.单选题(本大题共4小题,每小题2分,共8分)1.下列曲面中,为旋转曲面是( )(A) 1=++z y x (B) 1222222=++cz b y a x (c b a ,,彼此不等)(C) )(2122y x z +=(D) 2x y = 2.已知区域D:4122≤+≤y x ,则⎰⎰=+Dy x dxdy e 22( )(A))(24e e -π(B) )(4e e -π(C) -e π (D) 4e π 3.下列级数中收敛的是( ) (A)∑∞=1cos n n (B) ∑∞=-1)1(n n(C) ∑∞=-11)1(n nn (D)∑∞=11n n4.幂级数∑∞=1n nn x 的收敛域是( )(A) [-1,1] (B) (-1,1) (C) [-1,1) (D) (-1,1]三.解答题(本大题共6小题,每小题10分,共60分)1.求曲面022=-+z y x 在点(1,1,2)处的切平面方程和法线方程.2..设 02=-yz x e z ,求yz x z ∂∂∂∂,.3. 设),ln(xy x z =,求yx zx z ∂∂∂∂∂2,.4.求函数22)(4),(y x y x y x f ---=的极值.5.应用格林公式计算曲线积分:dy y dx x xy L22)2(+-⎰,其中L 是由曲线2x y =及x y =2所围成的区域的边界(逆时针方向).6.利用高斯公式计算曲面积分:⎰⎰∑++zdxdy y ydzdx xdydz xz 222,其中∑是球体1222=++z y x 的表面的外侧.四.证明题(8分)验证函数22ln y x z +=满足方程02222=∂∂+∂∂yzx z .高等数学(二)综合测试II一.填空题(本大题10小题,每小题3分,共30分)1.设a ={3,-1,-2},b =k j i -+,则_______=⋅b a . 2.过点)3,2,1(0M 且与直线32211zy x =+=-垂直的平面方程是__________________. 3.函数=z xye 在点(1,1)的全微分___________________=dz . 4.函数z y x z y x f +-=22),,(在点)0,1,1(0-P 的梯度=-)0,1,1(gradf ________________. 5.交换二次积分的积分次序=⎰⎰dx y x f dy y y 2202),(_________________.6.将三重积分dxdydz z y x f ⎰⎰⎰Ω),,(变换为柱坐标系下的三重积分为___________________.7.设L 是以O 为心,R 为半径的上半圆周,则=+⎰ds y x L22)(_______.8.曲线积分⎰+LQdy Pdx 在区域G 内与路径无关的充分必要条件是____________________. 9.将函数xx f -=21)(展开为关于(1-x )的幂级数是____________________. 10.若)(x f 是以π2为周期的周期函数,则)(x f 的傅里叶级数中的傅里叶系数.______2=a二.单选题(本大题共5小题,每小题2分,共10分)1.设)(xyf z =,则下列等式正确的是( ).(A) 2)(x y x y f z x '=; (B) 2)(x yx y f z x '-=;(C) 21)(x x y f z y '=; (D) 21)(xx y f z y '-=.2.下列级数中绝对收敛的是( )(A) ∑∞=-11)1(n nn ; (B)∑∞=-1)1(n n;(C)∑∞=-11)1(n nn; (D)∑∞=-11)1(n nnn .3.函数xyz z xy u -+=32在(1,1,1)点处方向导数最大值是( ). (A)5; (B) 5; (C) 25; (D)51.4.已知dxdy y x f I D ⎰⎰+=)(22,其中1:22≤+y x D ,则=I ( ).(A)rdr r f ⎰102)(; (B) rdr r f ⎰102)(2π; (C)dr r f ⎰102)(; (D) dr r f ⎰12)(2π.5.幂级数∑∞=1n nn x 的收敛域是( ).(A) [-1,1]; (B) (-1,1]; (C) [-1,1); (D) (-1,1).三.解答题(本大题共4小题,每小题10分,共40分)1.设函数),(y x z z =由方程04222=-++z z y x 所确定,求yz x z ∂∂∂∂,.2.设),(y x xy f z +=,其中),(v u f 具有二阶连续偏导数,求yx zx z ∂∂∂∂∂2,.3.计算二重积分⎰⎰Ddxdy yx2,其中D 是由曲线x y x y ==,1与直线4=x 围成.4.计算曲面积分dS y x z ⎰⎰∑++)(,其中∑为平面1=++z y x 在第一卦限部分.四.应用题(10分)求函数y x y x y x f 22),(22--+=的极值.五.证明题(10分) 证明曲线积分⎰++Lx ydy x dx xy e 22)(在xoy 平面上与路径无关,并计算.)(2)3,2()1,1(2ydy x dx xy e x ++⎰高等数学(二)综合测试III一:填空题(本大题共 7 小题,每小题 3 分,共 21 分)1、 抛物线2x y =和x y =2所围成平面图形的面积为________________.2、 设),(y x f z =是由方程02222=-++xyz z y x 所确定的隐函数,则=∂∂xz _________. 3、 函数)ln(22y x z +=在点)1,1(处方向导数的最大值为_______________.4、 旋转抛物面22y x z +=在点)2,1,1(处的切平面方程为_______________.5、 设⎰⎰=220),(x dy y x f dx I ,交换积分次序后,=I _______________. 6、 设L 是圆周222a y x =+(0>a ),则=+⎰L ds y x )(22_______________.7、 设L 是椭圆12222=+by a x (0>a ,0>b )正向一周,则=-⎰L ydx xdy _________. 二:选择题(本大题共 5 小题,每小题 2 分,共 10 分)1.设221ln y x z ++=,则=)1,1(dz ( )(A )dy dx +; (B ))(3dy dx +; (C ))(21dy dx +; (D ))(31dy dx +. 2.设),(yx x f z =,其中f 具有连续的偏导数,则=∂∂x z ( ) (A )21f x f '+'; (B )211f y f '+'; (C )21f y x f '+'; (D )221f y x f '-'. 3.如果⎰⎰⎰⎰-=θππθθθcos 022)sin ,cos (),(a D rdr r r f d dxdy y x f ,则积分区域D 为( )(A )ax y x ≤+22(0>a ); (B )ax y x ≤+22(0<a );(C )ay y x ≤+22(0>a ); (D )ay y x ≤+22(0<a ).4.设Ω是上半球体2222a z y x ≤++(0≥z ),则下列积分不为零的是( )(A )⎰⎰⎰Ωxdv ; (B )⎰⎰⎰Ωydv ; (C )⎰⎰⎰Ωzdv ; (D )⎰⎰⎰Ωxyzdv .5.下列级数中条件收敛的是( ) (A )∑∞=-+-111)1(n n n n ; (B )∑∞=--1211)1(n n n ; (C )∑∞=--1311)1(n n n; (D )∑∞=--111)1(n n n .三:计算题(本大题共 5 小题,共 59 分)1.求函数x y x y y x f 43),(223+--=的极值.2.求二重积分⎰⎰D d x x σsin ,其中D 是由抛物线2x y =和直线x y =所围成的闭区域.3.求对弧长的曲线积分⎰+=L y x ds e I 22,其中L 是222a y x =+(0>a )在第一象限与x 轴、y 轴所围的区域的整个边界.4.将函数651)(2+-=x x x f 展开成x 的幂级数,并指出其收敛域.5.求曲面∑:)(2122y x z +=在0=z 与2=z 之间部分的面积.四:证明题(本大题共 2 小题,每小题 5 分,共 10 分)1.设函数)(r g 有二阶导数,且)(),(r g y x f =,22y x r +=, 证明:)()(12222r g r g r yf x f ''+'=∂∂+∂∂(其中)0,0(),(≠y x ).2.设y xe y x P 21),(+=,y e x y x Q y -=22),(,(1) 证明曲线积分⎰+L dy y x Q dx y x P ),(),(与路径无关;(2) 求沿上半圆1)1(22=+-y x 从点)0,0(O 到点)0,2(A 的曲线积分⎰+)0,2()0,0(),(),(dy y x Q dx y x P .。
《高等数学》单元自测题第七章 空间解析几何自测题专业 班级 姓名 学号一、填空题:1. 已知a与b垂直,且a=5,b=12,则=+b a,b a-= 。
2.若两平面0=-++k z y kx 与02=-+z y kx 互相垂直,则k = 。
3.若直线531123-=++=-z k y k x 与22531-+=+=-k z y x 垂直,则k= 。
4.已知)1,3,2(A ,)1,4,5(-B ,)3,2,6(-C ,)1,2,5(-D ,则通过点A 且垂直于B 、C 、D 所确定的平面的直线方程是 。
5.母线平行于oz 轴且通过曲线⎪⎩⎪⎨⎧+==++22222214zy x z y x 的柱面方程是 。
二、选择题:1.下列命题,正确的是 。
(A )、k j i++是单位向量。
(B )、j -非单位向量(C )、2= (D )、b b a a⋅=⋅2)(1.设},,{},,{z y x z y x b b b b a a a a ==、。
则b a ⊥的充分必要条件是 。
(A )、z z y y x x b a b a b a ===,, (B )、0=++z z y y x x b a b a b a (C )、zz yy xx b a b a b a == (D )、z y x z y x b b b a a a ++=++2.设三向量c b a ,,的模分别为3,6,7;且满足a c c b b a c b a ⋅+⋅+⋅=++则,0= 。
(A)、45 (B)、-47 (C)、42 (D)、-433.设平面方程为Bx + Cz +D = 0,且BCD≠0,则平面 。
(A)、平行于OX轴 (B)、平行于OY轴 (C)、经过OY轴 (D)、垂直于OY轴 4.曲线⎪⎩⎪⎨⎧===θθθb z a y a x sin cos 在XOY面上的投影曲线是 。
(A){222ay x z =+=(B){cos 0bz a x z ==(C){cosbz a y z ==(D){cossin b z a x bza y ==三、设单位向量,,满足0=++,试证:23-=⋅+⋅+⋅a c c b b a。
《高等数学》单元自测题第一章 函数与极限专业 班级 姓名 学号一、 填空题:1.设,则=_________________。
2. =+-∞→nn nn n 3232lim _________________。
3. =-∞→x x x 2)11(lim _________________。
4. ___________________。
5. 已知时与是等价无穷小,则__________。
6. 函数的连续区间是_____ _____。
二、 选择题:1.函数)12arcsin(412-+-=x x y 的定义域是( )。
(A ))2,0[; (B ))2,2(-; (C )]4,0[; (D) ]4,2(-。
2.已知极限,则常数( )。
(A) ; (B) 0 ;(C) 1; (D) 2 。
3.若,则下面选项中不正确的是( )。
(A) ,其中为无穷小; (B)在点可以无意义;(C) ; (D) 若,则在的某一去心邻域内。
()xx x f +-=11()[]x f f =++∞→xx x x 1sin 2332lim 20→x ()11312-+ax1cos -x =a ()⎪⎪⎩⎪⎪⎨⎧>=<=0,1sin ,0, 0 ,0, e 1x x x x x x f x 0)2(lim 2=++∞→kn nn n =k 1-()A x f x x =→0lim α+=A x f )(α)(x f 0x )(0x f A =0>A 0x 0)(>x f4. 当时,下列哪一个函数不是其他函数的等价无穷小( )。
(A) ; (B) ; (C) ; (D) 。
5.设函数在点处连续,则常数的值为( )。
(A) ; (B) ;(C) ; (D) 。
6. 已知函数在上单调增加,则方程必有一个根的区间是( )。
(A) )0,1(-; (B) )1,0(; (C) ; (D) 。
三、 计算下列各题:1.求函数的反函数,并求反函数的定义域。
高等数学下册单元测试卷一、选择题(每题3分,共30分)1. 设函数f(x) = x^2 - 4x + 4,下列说法正确的是:A. 函数f(x)的图像关于x轴对称B. 函数f(x)的图像关于y轴对称C. 函数f(x)的图像关于点(2,0)对称D. 函数f(x)的图像关于直线x=2对称2. 计算极限lim(x→0) (sin x / x)的值是:A. 0B. 1C. 2D. 无穷大3. 以下哪个选项不是幂级数展开式?A. e^x = 1 + x + x^2/2! + x^3/3! + ...B. sin x = x - x^3/3! + x^5/5! - ...C. ln(1+x) = x - x^2/2 + x^3/3 - ...D. cos x = 1 - x^2/2! + x^4/4! - ...4. 设函数f(x) = x^3 - 3x^2 + 4x - 6,求f'(x)的值:A. 3x^2 - 6x + 4B. 3x^2 - 3x + 4C. 3x^2 - 6x + 1D. 3x^2 - 3x - 25. 以下哪个选项是二阶可导的函数?A. f(x) = |x|B. f(x) = x^(1/3)C. f(x) = sin(x^2)D. f(x) = e^x6. 计算定积分∫(0 to 1) x^2 dx的值是:A. 1/3B. 1/2C. 1D. 27. 设函数f(x) = ln(x),求f''(x)的值:A. 1/xB. 1/x^2C. -1/x^2D. -1/x8. 以下哪个选项是二阶常系数线性微分方程?A. y'' + y' - 2y = 0B. x^2y'' + xy' + y = 0C. y'' - 2y' + y = xD. y'' + 2y' + y = e^x9. 设函数f(x) = e^x + sin(x),求f'(x)的值:A. e^x + cos(x)B. e^x - cos(x)C. e^x + sin(x)D. e^x - sin(x)10. 以下哪个选项是无穷小量?A. x^2B. x^3C. x^(-1)D. e^x - 1二、填空题(每题4分,共20分)1. 设函数f(x) = x^3 - 6x^2 + 11x - 6,求f'(x)的值为______。
《高等数学》单元自测题
第一章 极限与函数的连续性
专业 班级 姓名 学号
一、 填空题:
1.设()x
x x f +-=11,则()[]x f f =_____________。
2. =<<+-∞→)0(lim b a b a b a n
n n
n n ________ __。
3. ()x
x x 3021lim -→=_______ ___。
4. =++∞→x
x x x 1sin 2332lim 2___ _______。
5. 已知0→x 时()11312-+ax
与1cos -x 是等价无穷小,则=a __________。
6. 函数
()⎪⎪⎩⎪⎪⎨⎧>=<=0,1sin ,0, 0 ,0, e 1x x x x x x f x
的连续区间是_____ _____。
二、 选择题:
1.设函数()x f 的定义域是[]1,0,2
10<
<a ,则函数()()a x f x g +=()a x f -+的定义域是( )。
(A )[]a a -1,; (B )[]a a +1,; (C )[]a a --1,; (D) []a a +-1,。
2.已知极限0)2(lim 2=++∞→kn n
n n ,则常数=k ( )。
(A) 1- ; (B) 0 ;(C) 1; (D) 2 。
3.若()A x f x x =→0
lim ,则下面选项中不正确的是( )。
(A) α+=A x f )(,其中α为无穷小; (B))(x f 在0x 点可以无意义;
(C))(0x f A = ; (D) 若0>A ,则在0x 的某一去心邻域内0)(>x f 。
4. 当0→x 时,下列哪一个函数不是其他函数的等价无穷小( )。
(A) 2sin x ; (B) 2cos 1x -; (C) ()21ln x +; (D) ()
1e -x x 。
5.设函数⎪⎪⎩⎪⎪⎨⎧<-=>=0
),1ln(1
0,0,
sin )(x x x x b x x ax x f 在点0=x 处连续,则常数b a ,的值为( )。
(A) 0,0==b a ; (B) 1,1==b a ;
(C) 1,1-=-=b a ; (D)1,1-==b a 。
6. 方程014=--x x 至少有一个根的区间是( )。
(A) ⎪⎭⎫ ⎝⎛210,; (B) ⎪⎭⎫
⎝⎛121,; (C) ()21,; (D)
()32,。
三、 计算下列各题:
1.求函数1e e +=x x
y 的反函数,并求反函数的定义域。
2.求极限()11lim --+∞→n n n n 。
3.求极限⎪⎭⎫ ⎝
⎛++++++∞→n n n n n n 2222211lim 。
4.求极限⎪⎭⎫
⎝⎛---→1311
lim 31x x x 。
5.设82lim =⎪⎭⎫
⎝⎛-+∞→x
x a x
a x ,求常数a 。
6.求极限()212
0tan 31lim x x x +→。
7.讨论函数()()()1122--=
x x x x x f 的间断点及其类型。
四、 证明题:
1. 设21=x ,)1(211n
n n x x x +=+() ,2,1=n ,证明极限n n x ∞→lim 存在,并求极限值。
2. 设函数()x f 在[]b a ,上连续,且()b x f a <<。
证明至少存在一点()b a ,∈ξ,使()ξξ=f 。