数列经典题目集锦--答案
- 格式:doc
- 大小:563.50 KB
- 文档页数:8
数列测试题及答案一、选择题1. 已知数列{a_n}满足a_1=1,a_{n+1}=2a_n+1,那么a_5的值为:A. 15B. 31C. 63D. 127答案:B2. 数列{a_n}是等差数列,公差为3,且a_3=12,则a_1的值为:A. 3B. 6C. 9D. 12答案:B3. 已知数列{a_n}满足a_1=2,a_{n+1}=3a_n,那么数列的通项公式为:A. a_n = 2 * 3^{n-1}B. a_n = 2 * 3^nC. a_n = 3 * 2^{n-1}D. a_n = 3^n答案:B二、填空题4. 已知数列{a_n}的前n项和S_n=n^2,求a_3的值。
答案:65. 数列{a_n}是等比数列,首项为2,公比为4,求a_5的值。
答案:128三、解答题6. 已知数列{a_n}满足a_1=1,a_{n+1}=a_n+n,求数列的前5项。
答案:a_1 = 1a_2 = a_1 + 1 = 2a_3 = a_2 + 2 = 4a_4 = a_3 + 3 = 7a_5 = a_4 + 4 = 117. 已知数列{a_n}是等差数列,且a_1=5,a_4=14,求数列的通项公式。
答案:a_n = 5 + (n-1) * 3 = 3n + 28. 已知数列{a_n}满足a_1=2,a_{n+1}=2a_n+1,求数列的前5项。
答案:a_1 = 2a_2 = 2a_1 + 1 = 5a_3 = 2a_2 + 1 = 11a_4 = 2a_3 + 1 = 23a_5 = 2a_4 + 1 = 479. 已知数列{a_n}是等比数列,首项为3,公比为2,求数列的前5项。
答案:a_1 = 3a_2 = 3 * 2 = 6a_3 = 6 * 2 = 12a_4 = 12 * 2 = 24a_5 = 24 * 2 = 4810. 已知数列{a_n}满足a_1=1,a_{n+1}=3a_n-2,求数列的前5项。
完整版)数列典型例题(含答案)等差数列的前n项和公式为代入已知条件,得到解得代入已知条件,得到解得代入已知条件,得到解得代入已知条件,得到解得代入已知条件,得到解得代入已知条件,得到解得代入已知条件,得到解得代入已知条件,得到解得代入已知条件,得到解得代入已知条件,得到解得代入已知条件,得到解得代入已知条件,得到解得代入已知条件,得到解得代入已知条件,得到解得代入已知条件,得到解得代入已知条件,得到解得代入已知条件,得到解得代入已知条件,得到解得代入已知条件,得到解得代入已知条件,得到解得代入已知条件,得到解得代入已知条件,得到解得代入已知条件,得到解得代入已知条件,得到解得代入已知条件,得到解得代入已知条件,得到解得。
因此,前项和为。
⑵由已知条件可得代入等差数列的前n项和公式,得到化简得因此,前项和为。
8.(2010山东理) 已知等差数列 $a_1,a_2,\ldots,a_n,\ldots$,其中 $a_1=1$,公差为 $d$。
1) 求 $a_5$ 和 $a_{10}$。
2) 满足 $a_1+a_2+\ldots+a_k=100$,$a_1+a_2+\ldots+a_{k+1}>100$,$k\in\mathbb{N}$,求该等差数列的前 $k$ XXX。
考查目的:考查等差数列的通项公式和前项和公式等基础知识,考查数列求和的基本方法以及运算求解能力。
答案:(1) $a_5=5d+1$,$a_{10}=10d+1$;(2) $k=13$,前$k$ 项和为 $819$。
解析:(1) 根据等差数列的通项公式 $a_n=a_1+(n-1)d$,可得 $a_5=1+4d$,$a_{10}=1+9d$。
2) 设该等差数列的前 $k$ 项和为 $S_k$,则由等差数列的前项和公式可得 $S_k=\dfrac{k}{2}[2a_1+(k-1)d]$。
根据已知条件可列出不等式组:begin{cases}S_k=100\\S_{k+1}>100end{cases}将 $S_k$ 代入得:frac{k}{2}[2+(k-1)d]=100整理得:$k^2+kd-400=0$。
3月6日数列综合练习题一、单选题1.已知数列为等比数列,是它的前n项和.若,且与的等差中项为,则()A .35B .33C .31D .29【答案】C 【解析】试题分析:∵等比数列{}n a ,∴21a a q =⋅,∴13134222a q a a q a a ⋅⋅=⇒⋅=⇒=,又∵与的等差中项为54,∴477512244a a a ⋅=+⇒=,∴3741182a q q a ==⇒=,∴41316a a q ==,515116(1)(1)32311112a q S q--===--.2.等差数列{}n a 中,19173150a a a ++=则10112a a -的值是()A.30B.32C.34D.25【答案】A 【解析】试题分析:本题考查等差数列的性质,难度中等.由条件知930a =,所以10112a a -=930a =,故选A.3.数列满足且,则等于()A.B.C.D.【答案】D 【解析】由有解知数列1n x ⎧⎫⎨⎬⎩⎭是首项为1,公差为211112x x -=的等差数列;所以11121(1),221n n n n x x n +=+-=∴=+.故选D 4.设等差数列{}n a 的前n 项和为n S ,数列21{}n a -的前n 项和为n T ,下列说法错误..的是()A .若n S 有最大值,则n T 也有最大值B .若n T 有最大值,则n S 也有最大值C .若数列{}n S 不单调,则数列{}n T 也不单调D .若数列{}n T 不单调,则数列{}n S 也不单调【答案】C 【解析】【详解】解:数列{a 2n ﹣1}的首项是a 1,公差为2d ,A .若S n 有最大值,则满足a 1>0,d <0,则2d <0,即T n 也有最大值,故A 正确,B .若T n 有最大值,则满足a 1>0,2d <0,则d <0,即S n 也有最大值,故B 正确,C .S n =na 1()12n n -+•d 2d =n 2+(a 12d -)n ,对称轴为n 111122222d da a a d d d --=-==--⨯,T n =na 1()12n n -+•2d =dn 2+(a 1﹣d )n ,对称轴为n 111222a d d -=-=-•1a d,不妨假设d >0,若数列{S n }不单调,此时对称轴n 11322a d =-≥,即1a d-≥1,此时T n 的对称轴n 1122=-•111122a d ≥+⨯=1,则对称轴1122-•132a d <有可能成立,此时数列{T n }有可能单调递增,故C 错误,D .不妨假设d >0,若数列{T n }不单调,此时对称轴n 1122=-•132a d ≥,即1a d-≥2,此时{S n }的对称轴n 11122a d =-≥+25322>=,即此时{S n }不单调,故D 正确则错误是C ,故选C .5.设n=()A .333n 个B .21333n - 个C .21333n- 个D .2333n 个【答案】A【解析】1013333n n -====⋅⋅⋅ 个.故选A.6.已知各项均为正数的数列{}n a 的前n 项和为n S ,满足2124n n a S n +=++,且21a -,3a ,7a 恰好构成等比数列的前三项,则4a =().A .1B .3C .5D .7【答案】C 【详解】∵2124n n a S n +=++,当2n ≥,()21214n n a S n -=+-+,两式相减,化简得()2211n n a a +=+,∵0n a >,∴11n n a a +=+,数列{}n a 是公差1的等差数列.又21a -,3a ,7a 恰好构成等比数列的前三项,∴()()211126a a a +=+,∴12a =,∴45a =.故选:C第II 卷(非选择题)二、填空题7.已知数列{}n a 的首项11a =,且1(1)12nn na a n a +=+ ,则5a =____.【答案】198.等差数列{}n a 中,39||||a a =,公差0d <,则使前n 项和n S 取得最大值的自然数n 是________.【答案】5或6【解析】试题分析:因为0d <,且39||||a a =,所以39a a =-,所以1128a d a d +=--,所以150a d +=,所以60a =,所以0n a >()15n ≤≤,所以n S 取得最大值时的自然数n 是5或6.9.数列{}n a 满足:11a =,121n n a a +=+,且{}n a 的前n 项和为n S ,则n S =__.【答案】122n n +--【详解】由121n n a a +=+得()1+121n n a a +=+所以1112+n n a a +=+,且112a +=所以数列{}1n a +是以2为首项,2为公比的等比数列,且11=222n nn a -+⨯=所以21nn a =-前n 项和()123121222222212n nn nS n n n +-=++++-==--- 10.已知数列{}n a 中,132a =前n 项和为n S ,且满足()*123n n a S n N ++=∈,则满足2348337n n S S <<所有正整数n 的和是___________.【答案】12【详解】由()*123n n a S n N++=∈得()123n n n SS S +-+=,即()11332n n S S +-=-,所以数列{}3n S -是首项为113332S a -=-=-,公比为12的等比数列,故31322n nS -=-⋅,所以332n n S =-,所以22332n n S =-.由2348337n n S S <<得2332334833732n n -<-<,化简得1113327n <<,故3,4,5n =.满足2348337n nS S <<所有正整数n 的和为34512++=.故答案为:12三、解答题11.已知数列{a n }满足a 1=3,a n ﹣a n ﹣1﹣3n =0,n ≥2.(1)求数列{a n }的通项公式;(2)设b n 1na =,求数列{b n }的前n 项和S n .【详解】(1)数列{a n }满足a 1=3,a n ﹣a n ﹣1﹣3n =0,n ≥2,即a n ﹣a n ﹣1=3n ,可得a n =a 1+(a 2﹣a 1)+(a 3﹣a 2)+…+(a n ﹣a n ﹣1)=3+6+9+…+3n 12=n (3+3n )32=n 232+n ;(2)b n 123n a ==•2123n n =+(111n n -+),前n 项和S n 23=(1111112231n n -+-++-+ )23=(111n -+)()231n n =+.12.在数列{}n a 中,n S 为其前n 项和,满足2(,*)n n S ka n n k R n N =+-∈∈.(I )若1k =,求数列{}n a 的通项公式;(II )若数列{}21n a n --为公比不为1的等比数列,求n S .【答案】解:(1)当1k =时,2,n n S a n n =+-所以21,(2)n S n n n -=-≥,即22(1)(1),(1)n S n n n n n =+-+=+≥……3分所以当1n =时,112a S ==;当2n ≥时,221(1)(1)2n n n a S S n n n n n -=-=+----=所以数列{}n a 的通项公式为.……………6分(II )当时,1122n n n n n a S S ka ka n --=-=-+-,1(1)22n n k a ka n --=-+,111a S ka ==,若1k =,则211n a n --=-,从而{}21n a n --为公比为1的等比数列,不合题意;……………8分若1k ≠,则10a =,221a k=-,3246(1)k a k -=-212325378333,5,71(1)k k k a a a k k --+--=--=-=--由题意得,2213(5)(3)(7)0a a a -=--≠,所以0k =或32k =.……10分当0k =时,2n S n n =-,得22n a n =-,213n a n --=-,不合题意;…12分当32k =时,1344n n a a n -=-+,从而1213[2(1)1]n n a n a n ---=---因为121130,a -⨯-=-≠210n a n --≠,{}21n a n --为公比为3的等比数列,213nn a n --=-,所以231nn a n =-+,从而1233222n n S n n +=+-+.………………………14分【解析】试题分析:解:(1)当1k =时,2,n n S a n n =+-所以21,(2)n S n n n -=-≥,即22(1)(1),(1)n S n n n n n =+-+=+≥……3分所以当1n =时,112a S ==;当2n ≥时,221(1)(1)2n n n a S S n n n n n -=-=+----=所以数列{}n a 的通项公式为…6分(2)当时,1122n n n n n a S S ka ka n --=-=-+-,1(1)22n n k a ka n --=-+,111a S ka ==,若1k =,则211n a n --=-,从而{}21n a n --为公比为1的等比数列,不合题意;若1k ≠,则10a =,221a k=-,3246(1)k a k -=-212325378333,5,71(1)k k k a a a k k --+--=--=-=--由题意得,2213(5)(3)(7)0a a a -=--≠,所以0k =或32k =.当0k =时,2n S n n =-,得22n a n =-,213n a n --=-,不合题意;当32k =时,1344n n a a n -=-+,从而1213[2(1)1]n n a n a n ---=---因为121130,a -⨯-=-≠210n a n --≠,{}21n a n --为公比为3的等比数列,213nn a n --=-,所以231nn a n =-+,从而1233222n n S n n +=+-+.13.设数列{}n a 的通项公式63n a n =-+,{}n b 为单调递增的等比数列,123512b b b =,1133a b a b +=+.()1求数列{}n b 的通项公式.()2若3nn na cb -=,求数列{}n c 的前n 项和n T .【详解】()1由题意,数列{}n a 的通项公式n a 6n 3=-+,{}n b 为单调递增的等比数列,设公比为q ,123b b b 512=,1133a b a b +=+.可得331b q 512=,2113b 15b q -+=-+,解得1b 4=,或1q 2(2=-舍去),则n 1n 1n b 422-+=⋅=。
数列一、单选题1.在ABC 中,AB,45C =︒,O 是ABC 的外心,若OC AB CA CB ⋅+⋅的最大值是m ,数列{}n a 中,11a =,12n n a ma +=+,则{}n a 的通项公式为n a =()A .1231n -⋅-B .1322n -⋅-C .32n -D .1544n -⋅-2.将等比数列{}n b 按原顺序分成1项,2项,4项,…,12n -项的各组,再将公差为2的等差数列{}n a 的各项依次插入各组之间,得到新数列{}n c :1b ,1a ,2b ,3b ,2a ,4b ,5b ,6b ,7b ,3a ,…,新数列{}n c 的前n 项和为n S .若11c =,22c =,3134S =,则S 200=()A .3841117232⎡⎤⎛⎫-⎢⎥⎪⎝⎭⎢⎥⎣⎦B .3861113032⎡⎤⎛⎫-⎢⎥⎪⎝⎭⎢⎥⎣⎦C .3861117232⎡⎤⎛⎫-⎢⎥⎪⎝⎭⎢⎥⎣⎦D .38411302⎛⎫- ⎪⎝⎭3.在ABC 中,AB =,45C =︒,O 是ABC 的外心,若21OC AC ⋅-的最大值是m ,数列{}n a 中,11a =,12n n a ma +=+,则{}n a 的通项公式为n a =().A .1231n -⋅-B .1322n -⋅-C .32n -D .1544n -⋅-4.设数列{}n a 的通项公式为()()()*121cos 1N 2nn n a n n π=--⋅+∈,其前n 项和为n S ,则120S =()A .60-B .120-C .180D .2405.已知等差数列{}n a 的前n 项和为n S ,满足190S >,200S <,若数列{}n a 满足10m m a a +⋅<,则m =()A .9B .10C .19D .206.已知数列{}n a 的首项11a =,函数()()41cos 221n n f x x a x a +=+-+有唯一零点,则通项n a =()A .13n -B .12n -C .21n -D .32n -7.等差数列{}n a 的首项为正数,其前n 项和为n S .现有下列命题,其中是假命题的有()A .若n S 有最大值,则数列{}n a 的公差小于0B .若6130a a +=,则使0n S >的最大的n 为18C .若90a >,9100a a +<,则{}n S 中9S 最大D .若90a >,9100a a +<,则数列{}n a 中的最小项是第9项8.已知各项都为正数的等比数列{}n a 满足7652a a a =+,存在两项m a ,n a使得14a =,则122n m n+++的最小值为()A.118+B .2615C .74D .28159.设数列{}n a 的前n 项和为n S ,满足()2*12n n na S n N a +=∈,则下列说法正确的是()A .202120221a a ⋅<B .202120221a a ⋅>C.2022a <-D.2022a >10.数列{}n a 满足11a =,且对于任意的*N n ∈都有11n n a a a n +=++,则122015111a a a +++= ()A .10071008B .20151008C .1007504D .2015201611.在数列{}n a 中,12a =,22a =且21(1)(N )nn n a a n ++-=+-∈,100S =()A .0B .1300C .2600D .265012.童谣是一种民间文学,因为常取材于现实生活,语言幽默风趣、朗朗上口而使少年儿童易于接受,从而成为了重要的传统教育方式.有一首童谣中唱到:“玲珑塔上琉璃灯,沙弥点灯向上行.首层掌灯共三盏,明灯层层更倍增(意为:每上一层,灯的数量增加一倍).小僧掌灯到塔顶,心中默数灯几重.玲珑塔上灯火数,三百八十一盏明.灯映湖心点点红,但问塔顶几盏灯?”童谣中的玲珑塔的顶层灯的盏数为()A .96B .144C .192D .23113.已知无穷等比数列{}n a 中12a =,22a <,它的前n 项和为n S ,则下列命题正确的是()A .数列{}n S 是递增数列B .数列{}n S 是递减数列C .数列{}n S 存在最小项D .数列{}n S 存在最大项14.已知等差数列{}n a 中,前4项为1,3,5,7,则数列{}n a 前10项的和10S =()A .100B .23C .21D .1715.已知等差数列{}n a 中,其前5项的和525S =,等比数列{}n b 中,1132,8,b b ==则37a b =()A .54-或54B .54-C .45D .5416.在等比数列{}n a 中,已知对*n N ∈有1221n n a a a ++⋯+=-,那么22212n a a a ++⋯+=()A .2(21)n -B .21(21)3n -C .41n -D .1(41)3n-17.设等比数列{}n a 的各项均为正数,已知237881a a a a =,则267a a a +的最小值为()AB.C.D.18.已知等差数列{}n a 满足13512a a a ++=,10111224a a a ++=,则{}n a 的前13项的和为()A .12B .36C .78D .15619.设()n a Ω表示落在区间[],n n a 内的偶数个数.在等比数列{}n a n -中,14a =,211a =,则()4a Ω=()A .21B .20C .41D .4020.已知数列1,12-,14,18-,….则该数列的第10项为()A .1512-B .1512C .11024-D .1102421.有一个非常有趣的数列1⎧⎫⎨⎬⎩⎭n 叫做调和数列,此数列的前n 项和已经被研究了几百年,但是迄今为止仍然没有得到它的求和公式.某数学探究小组为了探究调和数列的性质,仿照“杨辉三角”.将1,12,13,14, (1),…作为第一行,相邻两个数相减得到第二行,依次类推,得到如图所示的三角形差数列,则第2行的前100项和为()A .100101B .99100C .99200D .5010122.等差数列{}n a 的前n 项和为n S ,若1a ,2020a 满足12020OA a OB a OC =+,其中A 为OBC边BC 上任意一点,则2020S =().A .2020B .1010C .1020D .223.一定数目的点在等距离的排列下可以形成一个等边三角形,这样的数被称为三角形数.如图,根据前三个点阵图形的规律,第四个点阵表示的三角形数是()A .1B .6C .10D .2024.数列{}n a 的前4项为:1111,,,25811,则它的一个通项公式是()A .121n -B .121n +C .131n -D .131n +25.已知数列1,3-,5,7-,9,…,则该数列的第10项为()A .21-B .19-C .19D .2126.在等差数列{}n a 中,若47101102a a a ++=,则311a a +=()A .2B .4C .6D .827.等差数列{}n a 中,若14a =,公差2d =,则5a =()A .10B .12C .14D .22二、多选题28.在平面四边形ABCD 中,ABD △的面积是BCD △面积的2倍,又数列{}n a 满足12a =,当2n ≥时,恒有()()1122n nn n BD a BA a BC --=-++ ,设{}n a 的前n 项和为n S ,则()A .{}n a 为等比数列B .2n n a ⎧⎫⎨⎬⎩⎭为递减数列C .{}n a 为等差数列D .()152210n n S n +=--29.已知数列{}n a 的前n 项和为n S ,11a =,121n n n S S a +=++,数列12n n n a a +⎧⎫⎨⎬⋅⎩⎭的前n 项和为*,n T n N ∈,则下列选项正确的为()A .数列{1}n a +是等差数列B .数列{1}n a +是等比数列C .数列{}n a 的通项公式为21nn a =-D .1n T <30.已知等差数列{}n a 的前n 项和为n S ,公差为d ,若10911S S S <<,则()A .0d >B .10a >C .200S <D .210S >31.记n S 为等差数列{}n a 的前n 项和,已知342,14a S ==,则()A .{}n a 是递增数列B .18a =C .523S a a =D .n S 的最小值为332.已知数列{}n a 中,13a =,()1*11N n na n a +=∈-,下列选项中能使3n a =的n 有()A .22B .24C .26D .2833.对任意数列{}n a ,下列说法一定正确的是()A .若数列{}n a 是等差数列,则数列{2}n a 是等比数列B .若数列{}n a 是等差数列,则数列{2}n a 是等差数列C .若数列{}n a 是等比数列,则数列{lg |}|n a 是等比数列D .若数列{}n a 是等比数列,则数列{lg |}|n a 是等差数列三、填空题34.在数列{}n a 及{}n b 中,1n n n a a b +=++,1n n n b a b +=+,11a =,11b =.设11n n nc a b =+,则数列{}n c 的前2018项和为_________35.已知数列{}n a 的通项为21n a n =-+,等比数列{}n b 的公比q 满足1(2)n n q a a n -=-≥且12b a =,则123...n b b b b ++++=________.36.意大利著名数学家斐波那契在研究兔子繁殖问题时,发现有这样一个数列:1,1,2,3,5,8,13,21,…,其中从第三个数起,每一个数都等于它前面两个数的和,人们把这样的一列数所组成的数列称为“斐波那契数列”,记为{}n F .利用下图所揭示的{}n F 的性质,则在等式()222220221220212022m F F F F F F -++⋅⋅⋅+=⋅中,m =______.37.将公差不为零的等差数列1a ,2a ,3a 调整顺序后构成一个新的等比数列i a ,j a ,k a ,其中{,,}{1,2,3}i j k =,试写出一个调整顺序后成等比数列的数列公比:_____.(写出一个即可).38.已知()f x 为R 上单调递增的奇函数,在数列{}n a 中,120a =,对任意正整数n ,()()130n n f a f a ++-=,则数列{}n a 的前n 项和n S 的最大值为___________.39.给定正整数n 和正数b ,对于满足条件211n a a b +-=的所有无穷等差数列{}n a ,当1n a +=________时,1221n n n y a a a +++=+++ 取得最大值.40.在我国南宋数学家杨辉所著作的《详解九章算法》一书中,用如图所示的三角形(杨辉三角)解释了二项和的乘方规律,下面的数字三角形可以看做当n 依次取0、1、2、3、L 时()na b +展开式的二项式系数,相邻两斜线间各数的和组成数列{}n a ,例11a =,211a =+,312a =+,L ,设数列{}n a 的前n 项和为n S .若20243a m =+,则2022S =___________.41.已知数列{}n a 的前n 项和343n n nS -=,记n b =,则数列{}n b 的前n 项和n T =_______.42.现有一根长为81米的圆柱形铁棒,第1天截取铁棒长度的13,从第2天开始每天截取前一天剩下长度的13,则第5天截取的长度是______米.43.已知数列{}n a 满足112,,n n a a a n +==-则求100a =___________44.已知等差数列的前n 项和为n S ,且13140,0S S ><,则使n S 取得最大值的n 为__________.45.在等差数列{}n a 中,710132a a =+,则该数列的前7项和为_________.46.已知等比数列{}n a 的前n 项和为n S ,公比1q >,且21a +为1a 与3a 的等差中项,314S =.若数列{}n b 满足2log n n b a =,其前n 项和为n T ,则n T =_________.47.已知数列{}n a 是递增数列,且满足121n n a a +=+,且1a 的取值范围是___________.48.已知等比数列{}n a 的公比为2,前n 项和为n S ,则lim nn nS a →∞=__________.49.已知数列{}n a 的首项12a =,且对任意的*n N ∈,都有122nn n a a a +=+,则lim n n a →+∞=______.50.数列{}n a 满足12a =,2111a a =-,若对于大于2的正整数n ,111n n a a -=-,则102a =__________.51.若n a 为()1nx +的二项展开式中2x 项的系数,则2limnn a n →+∞=_________.52.联合国教科文组织将3月14日确定为“国际数学日”,是因为3.14是圆周率数值最接近的数字.我国数学家刘徽首创割圆术,所谓“割圆术”,是用圆内接正多边形的面积去无限逼近圆面积并以此求取圆周率的方法.步骤是:第1步,计算圆内接正六边形的周长;第2步,计算圆内接正12边形的周长;第3步,计算圆内接正24边形的周长;以此类推,第6步,需要计算的是正______边形的周长.53.已知数列{}n a 满足11n nna a +=+,且46a =,则1a =___________.54.已知无穷数列{}n a 满足12a =,25a =,318a =,写出{}n a 的一个通项公式:______.(不能写成分段函数的形式)55.数列{}n a 的前几项和为n S ,且111,2n n a a a +==,则,4S =__________.56.若等差数列{}n a 满足202220221a a a =+=,则1a 的值为___________.57.“中国剩余定理”又称“孙子定理”.1852年,英国来华传教士伟烈亚力将《孙子算经》中“物不知数”问题的解法传至欧洲.1874年,英国数学家马西森指出此法符合1801年由高斯得到的关于同余式解法的一般性定理,因而西方称之为“中国剩余定理”.“中国剩余定理”讲的是一个关于整除的问题,现有这样一个整除问题:将1到2022这2022个数中,能被3除余1且被5整除余1的数按从小到大的顺序排成一列,构成数列{}n a ,则此数列的项数为__________.58.已知数列{}n a 中,11a =,13n n a a +=-,则5S =_________四、解答题59.已知正项数列{}n a 的前n 项和为n S 满足12311111n n S S S S n +++⋯+=+,*N n ∈.(1)求数列{}n a 的通项公式;(2)若数列{}n b 满足22na nb =,记n T 为数列{}n b 的前n 项和,()x Ω表示x 除以3的余数,求()21n T +Ω.60.已知等比数列{}n a 的各项均为正数,52a ,4a ,64a 成等差数列,且满足2434a a =,数列{}n S 的前n 项之积为n b ,且121n nS b +=.(1)求数列{}n a 和{}n b 的通项公式;(2)设21n n n n n b a d b b ++⋅=⋅,若数列{}n d 的前n 项和n M ,证明:71303n M ≤<.61.若有穷数列A :1a ,2a ,…,()*,3n a n n ∈≥N ,满足()1121,2,,2i i i i a a a a i n +++-≤-=- ,则称数列A 为M 数列.(1)判断下列数列是否为M 数列,并说明理由;①1,2,4,3②4,2,8,1(2)已知M 数列A :1a ,2a ,…,9a ,其中14a =,27a =,求349a a a +++ 的最小值.(3)已知M 数列A 是1,2,…,n 的一个排列.若1112n k k k a a n -+=-=+∑,求n 的所有取值.62.已知数列{}n a 的前n 项和为n S ,且211122n S n n =++,*N n ∈.(1)求{}n a 的通项公式;(2)若数列{}n b 满足11223113322n n n b b b a a a ++++⋅⋅⋅+=⨯-,*N n ∈,求数列{}n b 的前n 项和n T .63.已知数列{}n a 满足12a =,{}n a 的前n 项和为n S ,()()121n n a S n n ++=++∈N ,令1n n b a =+.(1)求证:{}n b 是等比数列;(2)记数列{}n nb 的前n 项和为n T ,求n T ;(3)求证:123111156n a a a a ++++<L .64.对于有限数列()12:3n A a a a n ≥ ,,,,如果()12121ni a a a a i n n +++<=- ,,,,则称数列A 具有性质P .(1)判断数列1:2323A ,,,和2:3456A ,,,是否具有性质P ,并说明理由;(2)求证:若数列12:n A a a a ,,,具有性质P ,则对任意互不相等的{}12i j k n ∈ ,,,,,,有i j k a a a +>;(3)设数列122022:A a a a ,,,具有性质P ,每一项均为整数,()1122021i i a a i +≠= ,,,,求122022a a a +++ 的最小值.65.已知数列{}n a 满足11a =,1,,2,.n n n a n a a n +⎧=⎨⎩为奇数为偶数(1)令2n n b a =,求1b ,2b 及{}n b 的通项公式;(2)求数列{}n a 的前2n 项和2n S .66.已知集合(Z 是整数集,m 是大于3的正整数).若含有m 项的数列{}n a 满足:任意的,i j M ∈,都有i a M ∈,且当i j ≠时有i j a a ≠,当i m <时有12i i a a +-=或13i i a a +-=,则称该数列为P 数列.(1)写出所有满足5m =且11a =的P 数列;(2)若数列{}n a 为P 数列,证明:{}n a 不可能是等差数列;(3)已知含有100项的P 数列{}n a 满足5105100,,,,,(1,2,3,,20)k a a a a k = 是公差为(0)d d >等差数列,求d 所有可能的值67.设数列{}n a 的前n 项和n S 满足121n n S S n +-=+(N n *∈),且11a =.(1)求证:数列{}1n a +是等比数列;(2)若()22log 1nn n b a =⋅+,求数列{}n b 的前n 项和nT 68.设数列{}n a 的前n 项和为n S ,已知13n n a a +=,且3431S S +=.(1)求{}n a 的通项公式;(2)设()()311log 3n n n b a n a =++,求数列{}n b 的前n 项和n T.69.(1)已知数列{}n a 是正项数列,12a =,且2211122n n n n n n a a a a a a +++-+=+.求数列{}n a 的通项公式;(2)已知数列{}n a 满足12a =,28a =,2143n n n a a a ++=-.求数列{}n a 的通项公式.70.已知数列{}n a 和{}n b 的通项公式:21n a n =-,2n n b =(1)求数列n n a b ⎧⎫⎨⎬⎩⎭的前n 项和n S .(2)求数列211n n n n a a a b +++⎧⎫⎨⎬⎩⎭的前n 项和n T .71.已知公差不为零的等差数列{}n a 的前n 项和为n S ,12a =,且1a ,2a ,4a 成等比数列.(1)求数列{}n a 的通项公式;(2)若11n n b S +=,数列{}n b 的前n 项和为n T ,证明:12n T <.72.设正项数列{}n a 的前n 项和为n S ,且()()647n n n S a a =-+.(1)求{}n a 的通项公式;(2)设1133nn nn n n a a b a a ++-=⋅,求数列{}n b 的前n 项和n T .73.已知数列{}{},n n a b 满足111a b ==.数列{}n n a b +是公差为q 的等差数列,数列{}n n a b 是公比为q 的等比数列,,n n a b n *≥∈N .(1)若1q =,求数列{}n a 的通项公式;(2)若01q <<,证明:12231,1n n qa b a b a b n q*++++<∈-N .74.已知数列{an }对任意的n ∈N *都满足312233333n n a a a a n ++++= .(1)求数列{an }的通项公式;(2)令bn =3413431log log n n a a -+,求数列{bn }的前n 项和为Tn .75.已知数列{}n a 的各项均为非零实数,且对于任意的正整数n ,都有23333123123()n n a a a a a a a a ++++=++++ .(1)写出数列的前三项(请写出所有可能的结果);(2)是否存在满足条件的无穷数列{}n a ,使得20172016a =-?若存在,求出这样的无穷数列的一个通项公式;若不存在,说明理由;(3)记n a 的所有取值构成的集合为n A ,求集合n A 中所有元素之和.(结论不要求证明)76.已知数列{}n a 是等差数列,{}n b 是等比数列,且22b =,34b =,11a b =,851a b +=.(1)求数列{}n a 、{}n b 的通项公式;(2)设11n n n a c b ++=,数列{}n c 的前n 项和为n S ,求n S .77.设各项均不等于零的数列{}n a 的前n 项和为n S ,已知1114,42n n n a S a a a +=+=.(1)求23,a a 的值,并求数列{}n a 的通项公式;(2)证明:1211121n nS S S a +++<- .78.已知{}n a 是等差数列,{}n b 是等比数列,且22b =,516b =,112a b =,34a b =.(1)求{}n a 、{}n b 的通项公式;(2)设n n n c a b =⋅,求数列{}n c 的前n 项和n S .79.已知等差数列{}n a 的前n 项和为n S ,且31a =,67S =;数列{}n b 满足11222n n b b b ++++=- .(1)求数列{}n a 和{}n b 的通项公式;(2)记tan()n n n c b a π=⋅,求数列{}n c 的前3n 项和.80.已知数列{an }的前n 项和为n S ,*1(N )22n n a n S -∈=,数列{bn }满足b 1=1,点P(bn ,bn +1)在直线x ﹣y +2=0上.(1)求数列{an },{bn }的通项公式;(2)令n n n c a b =⋅,求数列{}n c 的前n 项和Tn ;(3)若0λ>,求对所有的正整数n 都有222nnb k a λλ-+>成立的k 的取值范围.81.已知等比数列{}n a 的公比1q >,且45656a a a ++=,54a +是4a ,6a 的等差中项.(1)求数列{}n a 的通项公式;(2)数列{}1n n a a λ+-的前n 项和为n S ,若()*21n n S n =-∈N ,求实数λ的值.82.已知数列{}n a 的前n 项和为n S ,若n n S na =,且246601860S S S S ++++= ,求1a .83.已知{}n a 为等差数列,{}n b 为等比数列,()()115435431,5,4a b a a a b b b ===-=-.(1)求{}n a 和{}n b 的通项公式;(2)记{}n a 的前n 项和为n S ,求证:()221n n n S S S n N *++<∈;(3)对任意的正整数n ,设()21132,,,,n nn n n n n a b n a a c a n b +-+⎧-⎪⎪=⎨⎪⎪⎩为奇数为偶数求数列{}n c 的前2n 项和.84.在数列{}n a 中,()*112,21n n a a a n n +==-+∈N ,数列{}n a 的前n 项和为n S .(1)证明:数列{}n a n -是等比数列,并求数列{}n a 的通项公式;(2)求n S .85.设数列{}n a 的前n 项和为n S ,若对任意的正整数n ,都有23n n S a n =-.(1)求{}n a 的通项公式;(2)求数列{(1)}n n a +⋅的前n 项和n T .86.已知数列{}n a 是等差数列,{}n b 是等比数列,且111a b ==,322b b =,441a b +=.(1)求数列{}n a 、{}n b 的通项公式;(2)设11n n n a c b ++=,数列{}n c 的前n 项和为n S ,若不等式12n n nS λ-<+对任意的n *∈N 恒成立,求实数λ的取值范围.87.甲、乙两人同时分别入职,A B 两家公司,两家公司的基础工资标准分别为:A 公司第一年月基础工资数为3700元,以后每年月基础工资比上一年月基础工资增加300元;B 公司第一年月基础工资数为4000元,以后每年月基础工资都是上一年的月基础工资的1.05倍.(1)分别求甲、乙两人工作满10年的基础工资收入总量(精确到1元)(2)设甲、乙两人入职第n 年的月基础工资分别为n a 、n b 元,记n n n c a b =-,讨论数列{}n c 的单调性,指出哪年起到哪年止相同年份甲的月基础工资高于乙的月基础工资,并说明理由.88.已知各项均不相等的等差数列{}n a 的前4项和为10,且124,,a a a 是等比数列{}n b 的前3项.(1)求,n n a b ;(2)设22121n n n n n c b a a ++=+⋅,求{}n c 的前n 项和n S .89.治理垃圾是改善环境的重要举措.A 地在未进行垃圾分类前每年需要焚烧垃圾量为200万吨,当地政府从2020年开始推进垃圾分类工作,通过对分类垃圾进行环保处理等一系列措施,预计从2020年开始的连续5年,每年需要焚烧垃圾量比上一年减少20万吨,从第6年开始,每年需要焚烧垃圾量为上一年的75%(记2020年为第1年).(1)写出A 地每年需要焚烧垃圾量与治理年数()*n n N∈的表达式;(2)设n A 为从2020年开始n 年内需要焚烧垃圾量的年平均值....,证明数列{}n A 为递减数列.90.已知{}n a 是公差不为0的等差数列,{}n b 是等比数列111a b ==,22a b =,3342a b a +=.(1)求{}n a 和{}n b 的通项公式;(2)记,,n n na n cb n ⎧=⎨⎩为奇数为偶数,求数列{}n c 的前2n 项和2n T .91.已知{}n a 是递增的等差数列,13a =,且13a ,4a ,1a 成等比数列.(1)求数列{}n a 的通项公式;(2)设数列11n n a a +⎧⎫⎨⎬⎩⎭的前n 项和为n T ,求证:11156n T ≤<.92.设等差数列{}n a 的前n 项和为n S ,且126a =-,1215S S =.(1)求{}n a 的通项公式;(2)求数列{}2nn a -的前n 项和n T .93.设数列{}n a 是等比数列,其前n 项和为n S .(1)从下面两个条件中任选一个作为已知条件,求{}n a 的通项公式;①{}11,2n a S =-是等比数列;②233421,61S a S a =+=+.(2)在(1)的条件下,若31n n b a -=,求数列{}n b 的前n 项和n T .注:如果选择多个条件分别作答,按第一个解答计分.94.已知{}n a 是等比数列,0n a >,1329a a a =,12312323a a a ++=.(1)求{}n a 的通项公式;(2)记n S 为数列{}n a 的前n 项和,求使得1n n S na +≥的正整数n 的所有取值.95.已知数列{}n a 的通项公式为2n a n n λ=+,若数列{}n a 为递增数列,求λ的取值范围.96.设{}{}n n a b 、是两个数列,()()12122n n n n M A a B n n -⎛⎫⎪⎝⎭,,,,,为直角坐标平面上的点.对*N n n n M A B ∈,、、三点共线.(1)求数列{}n a 的通项公式;(2)若数列{}n b 满足:1122212log n nn na b a b a b c a a a +++=+++ ,其中{}n c 是第三项为8,公比为4的等比数列.求证:点列()()()11221,2,,n n P b P b P n b 、、、在同一条直线上;(3)记数列{}{}n n a b 、的前m 项和分别为m A 和m B ,对任意自然数n ,是否总存在与n 相关的自然数m ,使得n m n m a B b A =若存在,求出m 与n 的关系,若不存在,请说明理由.97.已知等差数列{}n a 满足:47a =,1019a =,其前n 项和为.n S (1)求数列{}n a 的通项公式n a 及n S ;(2)若n b ={}n b 的前n 项和n T .98.在等差数列{}n a 中,已知1210a a +=,34530a a a ++=.(1)求数列{}n a 的通项公式;(2)若数列{}n n a b +是首项为1,公比为3的等比数列,求数列{}n b 的前n 项和n S .五、双空题99.“一尺之棰,日取其半,万世不竭”出自我国古代典籍《庄子·天下》,其中蕴含着等比数列的相关知识.已知长度为4的线段AB ,取AB 的中点C ,以AC 为边作等边三角形(如图①),该等边三角形的面积为1S ,在图①中取CB 的中点1C ,以1CC 为边作等边三角形(如图②),图②中所有的等边三角形的面积之和为2S ,以此类推,则3S =___________;1nii iS==∑___________.100.已知[]x 表示不超过x 的最大整数,例如:[]2.32=,[]1.72-=-.在数列{}n a 中,[]lg n a n =,记n S 为数列{}n a 的前n 项和,则2022a =______;2022S =______.参考答案:1.A 【解析】【分析】先由正弦定理得到2sin b B =,02b <≤2211122a b =+-,由向量数量积的几何意义,得22122b AC OC AC =⋅= ,22122CB OC CB a ⋅=-=- ,进而计算出3m =,再使用构造法求解通项公式【详解】设BC a =,AC b =,AB c =,则在ABC 中,由正弦定理sin sin c bC B=及c 45C =︒,得2sin b B =,∵0180B ︒<<︒,∴0sin 1B <≤,∴02b <≤.在ABC 中,由余弦定理及2222cos c a b ab C =+-及c =45C =︒,2211122a b =+-.因为O 是ABC 的外心,所以O 在线段AC ,CB 上的射影为相应线段的中点,由向量数量积的几何意义,得22122b AC OC AC =⋅=,22122CBOC CB a ⋅=-=- ,()OC AB CA CB OC AC CB CA CB OC AC OC CB CA CB⋅+⋅=⋅++⋅=⋅+⋅+⋅ 222222211111111222222b a b a a b b =-+=-++-=-.∵02b <≤,∴2113b -<-≤,所以OC AB CA CB ⋅+⋅的最大值为3.即3m =.由132n n a a +=+,得()1131n n a a ++=+.所以数列{}1n a +是首项112a +=,公比为3的等比数列.所以1123n n a -+=⨯,即1231n n a -=⨯-.故选:A 【点睛】构造法求解数列的通项公式,是经常考查的知识点,要结合递推数列的结构特点,选择合适的方法进行构造,常见的构造类型有()11n n a pa q p +=+≠和()11nn n a pa q p +=+≠等.2.A 【解析】【分析】由已知求得等比数列的首项和公比,以及等差数列的首项,再求得数列{}n c 的前200项中含有数列{}n a 的前7项,含有数列{}n b 的前193项,运用分组求和的方法可求得答案.【详解】解:由已知得11b =,12a =,2331214b c S c c ==--=,等比数列{}n b 的公比14q =.令21122221nn n T -=++++=- ,则663T =,7127T =,8255T =所以数列{}n c 的前200项中含有数列{}n a 的前7项,含有数列{}n b 的前193项,故()()20012181292S b b b a a a =+++++++ 1933841176112472172123214⎛⎫- ⎪⎡⎤⨯⎛⎫⎝⎭=++⨯=-⎢⎥ ⎪⎝⎭⎢⎥⎣⎦-⨯.故选:A .3.A 【解析】【分析】设AC b =,AB c =,由正余弦定理可得2sin b B =,结合三角形外心性质、向量数量积的几何意义求得21OC AC ⋅-的最大值为3,进而可得()1131n n a a ++=+,利用等比数列的定义写出通项公式.【详解】设AC b =,AB c =,在ABC 中,由sin sin c bC B=及c =45C =︒,得2sin b B =,∵0180B ︒<<︒,则0sin 1B <≤,∴02b <≤.因为O 是ABC 的外心,所以O 在线段AC ,CB 上的射影为相应线段的中点,由向量数量积的几何意义,得222111OC AC AC b ⋅-=-=- ,而2113b -<-≤,所以21OC AC ⋅-的最大值为3.即3m =.由132n n a a +=+,得()1131n n a a ++=+.所以数列{}1n a +是首项112a +=,公比为3的等比数列.所以1123n n a -+=⨯,即1231n n a -=⨯-.故选:A 4.D 【解析】【分析】分别取43n k =-,42k -,41k -和4k ,*k N ∈,可验证出43424148k k k k a a a a ---+++=,利用周期性可验算得到结果.【详解】当43n k =-,*N k ∈时,cos 02n π=,431k a -=;当42n k =-,*N k ∈时,1os 2c n π=-,()()4224211186k a k k -=⨯--⨯-+=-+⎡⎤⎣⎦;当41n k =-,*N k ∈时,cos 02n π=,411k a -=;当4n k =,*N k ∈时,cos12n π=,424118k a k k =⨯-+=.()4342414186188k k k k a a a a k k ---∴+++=+-+++=,12012082404S ∴=⨯=.故选:D 5.B 【解析】【分析】根据给定条件,利用等差数列的前n 项和结合等差数列性质,求出异号的相邻两项即可作答.【详解】等差数列{}n a 的前n 项和为n S ,则1191910191902a a S a +=⨯=>,有100a >,1202010112010()02a a S a a +=⨯=+<,有11100a a <-<,显然数列{}n a 是递减的,且10110a a ⋅<,因10m m a a +⋅<,所以10m =.故选:B 6.C 【解析】【分析】由奇偶性定义可判断出()f x 为偶函数,由此可确定唯一零点为0x =,从而得到递推关系式;利用递推关系式可证得数列{}1n a +为等比数列,由等比数列通项公式可推导得到n a .【详解】()()()()()()4411cos 221cos 221n n n n f x x a x a x a x a f x ++-=-+--+=+-+= ,()f x ∴为偶函数,图象关于y 轴对称,()f x ∴的零点关于y 轴对称,又()f x 有唯一零点,()f x ∴的零点为0x =,即()()10210n n f a a +=-+=,121n n a a +∴=+,即()1121n n a a ++=+,又112a +=,∴数列{}1n a +是以2为首项,2为公比的等比数列,12n n a ∴+=,则21n n a =-.故选:C.【点睛】关键点点睛:本题考查函数与数列的综合应用问题;解题关键是能够根据奇偶性的性质确定函数的唯一零点为0x =,从而结合零点确定数列的递推关系式,由递推关系式证得数列{}1n a +为等比数列.7.B 【解析】【分析】由n S 有最大值可判断A ;由6139100a a a a +=+=,可得90a >,100a <,利用91018182+=a a S 可判断BC ;90a >,9100a a +<得90a >,991010a a a a =<-=,可判断D.【详解】对于选项A ,∵n S 有最大值,∴等差数列{}n a 一定有负数项,∴等差数列{}n a 为递减数列,故公差小于0,故选项A 正确;对于选项B ,∵6139100a a a a +=+=,且10a >,∴90a >,100a <,∴179=170S a >,910181802a a S +=⨯=,则使0n S >的最大的n 为17,故选项B 错误;对于选项C ,∵90a >,9100a a +<,∴90a >,100a <,故{}n S 中9S 最大,故选项C 正确;对于选项D ,∵90a >,9100a a +<,∴90a >,991010a a a a =<-=,故数列{}n a 中的最小项是第9项,故选项D 正确.故选:B.8.B 【解析】【分析】根据等比数列的知识求得,m n 的关系式,结合基本不等式求得122n m n+++的最小值.【详解】因为7652a a a =+,所以2q =或1q =-,又0n a >,所以2q =.14a =14a =,所以6m n +=,则()28m n ++=,()2121212112282m n n m n m n m n +++⎛⎫+=++=⋅++ ⎪+++⎝⎭()22121822m m n n m n m n +⎡⎤+=+++⎢⎥++⎣⎦()22113131828m n m n ⎛+⎛⎫ =+++≥++ ⎪ +⎝⎭⎝118+=,由()222m nm n+=+可得取等号时)2n m =+,但,m n *∈N ,无解;又6m n +=,经检验1m =且5n =时有最小值2615.故选:B 9.A 【解析】【分析】根据()2*1n n na S n N a +=∈求出1a 的值,判断数列{}2n S 是等差数列,求出n S 的通项公式,再求出n a ,然后逐个分析判断即可【详解】因为数列{}n a 的前n 项和为n S ,满足()2*12n n na S n N a +=∈,所以当1n =时,()211*112a S n N a +=∈,解得11a =或11a =-,当2n ≥时,()2111112n n n n n n n n n a S a S S a a S S --+==+=-+-,整理得2211n n S S --=,所以数列{}2nS 是以1为公差的等差数列,当11a =±时,21(1)n S n n =+-=,所以=n S 或n S=所以1-=-=n n n a S S 11a =满足此式,或1n n n a S S -=-=11a =-满足此式,所以2022a =或2022a =,所以CD 错误,当=n a20212022a a ⋅=1<,当n a =20212022a a ⋅=1<,所以A 正确,B 错误,故选:A 10.B 【解析】【分析】先利用累加法求得数列{}n a 的通项公式,再利用裂项相消法去求122015111a a a +++ 的值.【详解】由11a =,11n n a a a n +=++,可得11n n a a n +-=+则2n ≥时,()()11232211()()n n n n n a a a a a a a a a a ---=-+-++-+-+ ()1321(1)2nn n n =+-++++=+ 又11122a ==⨯,则数列{}n a 的通项公式为(1)2n n a n =+则()1211211n a n n n n ⎛⎫==- ⎪++⎝⎭则122015111a a a +++ 1111111201522112232015201620161008⎡⎤⎛⎫⎛⎫⎛⎫⎛⎫-+-++-=-= ⎪ ⎪ ⎪ ⎪⎢⎥⎝⎭⎝⎭⎝⎭⎝⎣=⎭⎦ 故选:B 11.D 【解析】【分析】分n 为奇数和n 为偶数两种情况讨论,再利用分组求和法及等差数列前n 项和的公式,即可得出答案.【详解】解:当n 为奇数时,20n n a a +-=,所以数列{}n a 的奇数项是以0为公差的等差数列,当n 为偶数时,22n n a a +-=,所以数列{}n a 的偶数项是以2为公差的等差数列,所以2,,n n a n n ⎧=⎨⎩为奇数为偶数,所以()()10050210025024610010026502S +=⨯+++++=+=L .故选:D.12.C 【解析】【分析】由条件可得玲珑塔的灯盏数从首层到顶层为等比数列,由条件列方程求玲珑塔的顶层灯的盏数.【详解】由题意可得玲珑塔的灯盏数从首层到顶层为等比数列,设其首层为1a ,公比q ,顶层为n a ,前n 项和为n S 由已知可得13a =,2q =,381n S =,由等比数列的前n 项和公式可得132********n nn a a q a a q --==-=--,所以192n a =.故玲珑塔的顶层灯的盏数为192,故选:C.13.C 【解析】【分析】对AB ,举公比为负数的反例判断即可对CD ,设等比数列{}n a 公比为q ,分0q >和0q <两种情况讨论,再得出结论即可【详解】对AB ,当公比为12-时,2311,,2a a =-=此时12332,1,2S S S ===,此时{}n S 既不是递增也不是递减数列;对CD ,设等比数列{}n a 公比为q ,当0q >时,因为22a <,故22q <,故01q <<,此时()2122111n nn q q S qq q-==----,易得n S 随n 的增大而增大,故{}n S 存在最小项1S ,不存在最大项;当0q <时,因为22a <,故22q -<,故10q -<<,2211nn q S q q =---,因为1q <,故当n 为偶数时,2211nn q S q q =---,随着n 的增大而增大,此时222111nn q S q q q =-<---无最大值,当2n =时有最小值222S q =+;当n 为奇数时,2211nn q S q q=+--,随着n 的增大而减小,故222111nn q S q q q=+>---无最小值,有最大值12S =.综上,当0q <时,因为22221q q +<<-,故当2n =时有最小值222S q =+,当1n =时有最大值12S =综上所述,数列{}n S 存在最小项,不一定有最大项,故C 正确;D 错误故选:C 14.A 【解析】【分析】先求出公差,再由等差数列求和公式求解即可.【详解】设公差为d ,则312d =-=,则1010910121002S ⨯=⨯+=.故选:A.15.D 【解析】【分析】由等差数列求和公式求出35a =,由等比数列通项公式基本量计算得到公比,进而求出6714b b q ==,从而求出结果.【详解】由题意得:()155355252a a S a +===,解得:35a =,设等比数列{}n b 的公比是q ,因为1132,8b b ==,所以1228q =,解得:124q =,显然60q >,所以62q =,所以6714b b q ==,所以3754a b =故选:D 16.D 【解析】【分析】利用“1n =时,11a S =;当2n时,1n n n a S S -=-”即可得到n a ,进而得到数列2{}n a 是等比数列,求出公比和首项,再利用等比数列的前n 项和公式即可得出.【详解】设等比数列{}n a 的公比为q ,1221n n n S a a a =++⋯+=- ,∴当2n 时,1112121n n n S a a a ---=++⋯+=-,111222n n n n n n a S S ---∴=-=-=.∴2122221(2)4(2)n n n n a a ---==,当1n =时,11211a =-=,21221a a +=-,解得22a =,22214a a =.也符合2214n n a a -=,∴数列2{}n a 是等比数列,首项为1,公比为4.∴22212411(41)413n n na a a -++⋯+==--.故选:D 17.C 【解析】【分析】设等比数列{}n a 的公比为(0)q q >,根据题意得到2673339q a a qa +=+,结合基本不等式,即可求解.【详解】设等比数列{}n a 的公比为(0)q q >,因为23784581a a a a a ==,所以53a =,又因为235553326739,a a a a a q a q q q q===⋅=,所以3267339q a a q a +=+≥=当且仅当3339q q =时,即613q =时,等号成立,所以267a a a +的最小值为.故选:C.18.C 【解析】【分析】利用已知等式可求得等差数列的公差d 和首项1a ,由等差数列求和公式可求得结果.【详解】设等差数列{}n a 公差为d ,13512a a a ++= ,10111224a a a ++=,()1011121352412a a a a a a d ∴++-++==,解得:12d =,135********a a a a d a ∴++=+=+=,解得:13a =,{}n a ∴的前13项的和为11312131213397824a d ⨯⨯+=+=.故选:C.19.C 【解析】【分析】设{}n a n -的公比为q ,根据1a 和2a 求出q ,从而得n a 和4a ,再根据()n a Ω的定义可求出结果.【详解】设{}n a n -的公比为q ,则2121123141a q a --===--,所以111(1)(41)33n n n n a n a q---=-⋅=-⋅=,则3n n a n =+,所以445438a =+=.所以落在区间[]4,85内的偶数共有41个,故()441a Ω=.故选:C 20.A 【解析】【分析】根据规律可得数列通项,再求其中的项即可.【详解】通过观察可知该数列的通项公式为()1112n n n a +--=,所以()11109112512a -==-.故选:A 21.A 【解析】【分析】利用裂项相消法求和即可;【详解】解:由题可知,第2行的前100项和10011111261210012010S +++++⨯= 1111111100122334100101101=-+-+-++-= .故选:A 22.B 【解析】【分析】根据三点共线可得120201a a +=,结合等差数列的前n 项和公式求解.∵,,A B C 三点共线且12020OA a OB a OC =+,则120201a a +=∴()120202020202010102a a S +==故选:B .23.C 【解析】【分析】根据规律求得正确答案.【详解】根据规律可知,第四个点阵表示的三角形数为:123410+++=.故选:C 24.C 【解析】【分析】根据规律可得结果.【详解】将1111,,,25811可以写成1111,,,311321331341⨯-⨯-⨯-⨯-,所以{}n a 的通项公式为131n -;故选:C 25.B 【解析】【分析】由数列的前几项可得数列的一个通项公式,再代入计算可得;【详解】解:依题意可得该数列的通项公式可以为()()1121n n a n +=-⋅-,所以1019a =-.故选:B 26.D 【解析】根据等差数列的下标和性质即可解出.【详解】因为4710771110222a a a a a +=+=+,解得:74a =,所以311728a a a +==.故选:D .27.B 【解析】【分析】根据等差数列的性质直接计算即可.【详解】由等差数列的性质可知:51444212a a d =+=+⨯=;故选:B.28.BD 【解析】【分析】连AC 交BD 于E ,根据面积关系推出2AE EC =,根据平面向量知识推出BE = 1233BA BC +,结合()()1122n n n n BD a BA a BC --=-++ ,推出1122(2)n n n n a a --+=-,11222nn n n a a ---=-,求出232nn a n =-+,(23)2n n a n =-+⋅,根据等比数列的定义可判断A ;根据等差数列的定义可判断C ,根据数列的单调性可判断B ;利用错位相减法求出n S ,可判断D.【详解】如图,连AC 交BD 于E ,则1sin 21sin 2ABD BD AE AEB S S BD EC CED ⋅⋅=⋅⋅△△BCD ÐÐ=2AEEC=,即2AE EC =,所以2AE EC =,所以()2BE BA BC BE -=- ,所以BE = 1233BA BC +,设BD tBE =(1)t >,因为当2n ≥时,恒有()()1122n nn n BD a BA a BC --=-++ ,所以()()111122n nn n BE a BA a BC t t--=-++ ,()()1111231223n n n na t a t--⎧-=⎪⎪⎨⎪+=⎪⎩,所以当2n ≥时,恒有1122(2)n n n n a a --+=-,所以11222n n n n a a --=-,即11222n n n n a a ---=-,又12a =,所以112a =,所以12(1)232nn a n n =--=-+,所以(23)2n n a n =-+⋅,因为11(21)242(23)223n n n n a n n a n n ++-+⋅-+==-+⋅-+不是常数,所以{}n a 不为等比数列,故A 不正确;因为11(21)(23)2022n n n n a a n n ++-=-+--+=-<,即1122n n n n a a ++<,所以2n n a ⎧⎫⎨⎬⎩⎭为递减数列,故B 正确;因为1n n a a +-=1(21)2(23)2n n n n +-+⋅--+⋅=(21)2n n --⋅不是常数,所以{}n a 不为等差数列,故C 不正确;因为12312(1)2(3)2(23)2nn S n =⨯+-⋅+-⋅++-+⋅ ,所以2341212(1)2(3)2(23)2n n S n +=⨯+-⋅+-⋅++-+⋅ ,所以12341122(2222)(23)2n n n S n +-=⨯-++++--+⋅ ,所以114(12)22(23)212n n n S n -+--=-⨯--+⋅-110(52)2n n +=--⋅,所以1(52)210n n S n +=-⋅-,故D 正确.故选:BD 29.BCD【解析】【分析】由题知121n n a a +=+,进而得数列{1}n a +是首项为2,公比为2的等比数列,再结合通项公式和裂项求和求解即可.【详解】由121n n n S S a +=++得1121n n n n a S S a ++=-=+,即121n n a a +=+所以112(1)n n a a ++=+,由111S a ==,所以数列{1}n a +是首项为2,公比为2的等比数列,故A 错误,B 正确;所以12nn a +=,即21n n a =-,故C 正确;又1112211(21)(21)2121n n n n n n n n a a +++==-----,所以22311111111111212*********n n n n T ++=-+-+⋯+-=-<------,故D 正确.故选:BCD 30.AD 【解析】【分析】对AB ,根据通项n a 与n S 的关系可得100a <,110a >即可判断;对CD ,根据等差数列前n 项和的公式,结合等差数列的性质判断即可【详解】因为109S S <,1011S S <,所以109100S S a -=<,1110110a S S =>-,故等差数列首项为负,公差为正,所以0d >,10a <,故A 正确,B 错误;由911S S <,可知11910110S S a a -=+>,所以()()20120101110100S a a a a =+=+>,故C 错误;因为110a >,所以2111210S a =>,故D 正确.故选:AD 31.BCD 【解析】【分析】设等差数列{}n a 的公差为d ,再根据n S 与n a 的公式可得d ,进而求得n S 与n a 的通项公式,再逐个判定即可【详解】设等差数列{}n a 的公差为d ,则11224614a d a d +=⎧⎨+=⎩,解得183a d =⎧⎨=-⎩,故311n a n =-+,()()311819232n n n S n n ==-+-.故{}n a 是递减数列,A 错误;18a =,B 正确;()535191250S -⨯==,235210a a =⨯=,故C 正确;()1932n n n S =-,当1,2,3...6n =时,()1932n n n S -=,因为函数()193y x x =-的对称轴为196x =,开口向下,故当6n =时,n S 取得最小值()66193632S -⨯==;当7,8,9...n =时,()3192n n n S -=,函数()319y x x =-的对称轴为196x =,开口向上,故当7n =时,nS 取得最小值()77371972S ⨯-==,综上有n S 的最小值为3,故D 正确;故选:BCD 32.AD 【解析】【分析】由递推公式可得数列为周期数列,即得答案.【详解】解:因为13a =,()1*11N n na n a +=∈-,所以23412,,323a a a =-==,所以数列{}n a 是周期为3的数列,所以132(N )n a a n *-=∈,故122283a a a ===.故选:AD.33.AD 【解析】【分析】根据等差数列和等比数列的定义逐一判断可得选项.【详解】。
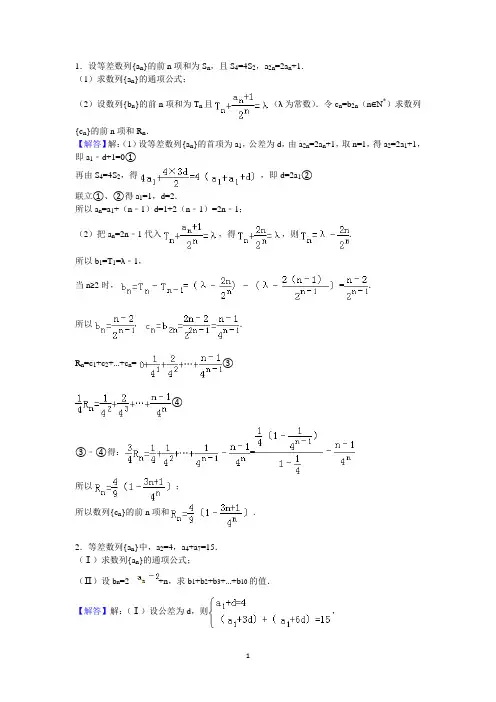
1.设等差数列{a n}的前n项和为S n,且S4=4S2,a2n=2a n+1.(1)求数列{a n}的通项公式;(2)设数列{b n}的前n项和为T n且(λ为常数).令c n=b2n(n∈N*)求数列{c n}的前n项和R n.【解答】解:(1)设等差数列{a n}的首项为a1,公差为d,由a2n=2a n+1,取n=1,得a2=2a1+1,即a1﹣d+1=0①再由S4=4S2,得,即d=2a1②联立①、②得a1=1,d=2.所以a n=a1+(n﹣1)d=1+2(n﹣1)=2n﹣1;(2)把a n=2n﹣1代入,得,则.所以b1=T1=λ﹣1,当n≥2时,=.所以,.R n=c1+c2+…+c n=③④③﹣④得:=所以;所以数列{c n}的前n项和.2.等差数列{a n}中,a2=4,a4+a7=15.(Ⅰ)求数列{a n}的通项公式;(Ⅱ)设b n=2+n,求b1+b2+b3+…+b10的值.【解答】解:(Ⅰ)设公差为d,则,解得,所以a n=3+(n﹣1)=n+2;(Ⅱ)b n=2+n=2n+n,所以b1+b2+b3+…+b10=(2+1)+(22+2)+…+(210+10)=(2+22+...+210)+(1+2+ (10)=+=2101.3.已知数列{log2(a n﹣1)}(n∈N*)为等差数列,且a1=3,a3=9.(Ⅰ)求数列{a n}的通项公式;(Ⅱ)证明++…+<1.【解答】(I)解:设等差数列{log2(a n﹣1)}的公差为d.由a1=3,a3=9得2(log22+d)=log22+log28,即d=1.所以log2(a n﹣1)=1+(n﹣1)×1=n,即a n=2n+1.(II)证明:因为==,所以++…+=+++…+==1﹣<1,即得证.4.已知{a n}是正数组成的数列,a1=1,且点(,a n+1)(n∈N*)在函数y=x2+1的图象上.(Ⅰ)求数列{a n}的通项公式;(Ⅱ)若列数{b n}满足b1=1,b n+1=b n+2an,求证:b n•b n+2<b n+12.【解答】解:解法一:(Ⅰ)由已知得a n+1=a n+1、即a n+1﹣a n=1,又a1=1,所以数列{a n}是以1为首项,公差为1的等差数列.故a n=1+(n﹣1)×1=n.(Ⅱ)由(Ⅰ)知:a n=n从而b n+1﹣b n=2n.b n=(b n﹣b n﹣1)+(b n﹣1﹣b n﹣2)+…+(b2﹣b1)+b1=2n﹣1+2n﹣2+…+2+1=∵b n•b n+2﹣b n+12=(2n﹣1)(2n+2﹣1)﹣(2n+1﹣1)2=(22n+2﹣2n﹣2n+2+1)﹣(22n+2﹣2•2n+1+1)=﹣2n<0∴b n•b n+2<b n+12解法二:(Ⅰ)同解法一.(Ⅱ)∵b2=1b n•b n+2﹣b n+12=(b n+1﹣2n)(b n+1+2n+1)﹣b n+12=2n+1•bn+1﹣2n•bn+1﹣2n•2n+1=2n(b n+1﹣2n+1)=2n(b n+2n﹣2n+1)=2n(b n﹣2n)=…=2n(b1﹣2)=﹣2n<0∴b n•b n+2<b n+125.已知等差数列{a n}满足a1+a2=10,a4﹣a3=2(1)求{a n}的通项公式;(2)设等比数列{b n}满足b2=a3,b3=a7,问:b6与数列{a n}的第几项相等?【解答】解:(I)设等差数列{a n}的公差为d.∵a4﹣a3=2,所以d=2∵a1+a2=10,所以2a1+d=10∴a1=4,∴a n=4+2(n﹣1)=2n+2(n=1,2,…)(II)设等比数列{b n}的公比为q,∵b2=a3=8,b3=a7=16,∴∴q=2,b1=4∴=128,而128=2n+2∴n=63∴b6与数列{a n}中的第63项相等6.设等差数列{a n}的前n项和为S n,且a5+a13=34,S3=9.(1)求数列{a n}的通项公式及前n项和公式;(2)设数列{b n}的通项公式为,问:是否存在正整数t,使得b1,b2,b m(m≥3,m∈N)成等差数列?若存在,求出t和m的值;若不存在,请说明理由.【解答】解:(1)设等差数列{a n}的公差为d.由已知得即解得.故a n=2n﹣1,S n=n2(2)由(1)知.要使b1,b2,b m成等差数列,必须2b2=b1+b m,即,(8分).移项得:=﹣=,整理得,因为m,t为正整数,所以t只能取2,3,5.当t=2时,m=7;当t=3时,m=5;当t=5时,m=4.故存在正整数t,使得b1,b2,b m成等差数列.7.设{a n}是等差数列,b n=()an.已知b1+b2+b3=,b1b2b3=.求等差数列的通项a n.【解答】解:设等差数列{a n}的公差为d,则a n=a1+(n﹣1)d.∴b1b3=•==b22.由b1b2b3=,得b23=,解得b2=.代入已知条件整理得解这个方程组得b1=2,b3=或b1=,b3=2∴a1=﹣1,d=2或a1=3,d=﹣2.所以,当a1=﹣1,d=2时a n=a1+(n﹣1)d=2n﹣3.当a1=3,d=﹣2时a n=a1+(n﹣1)d=5﹣2n.8.已知等差数列{a n}的公差大于0,且a3,a5是方程x2﹣14x+45=0的两根,数列{b n}的前n项的和为S n,且S n=1﹣(1)求数列{a n},{b n}的通项公式;(2)记c n=a n b n,求证c n+1≤c n.【解答】解:(1)∵a3,a5是方程x2﹣14x+45=0的两根,且数列{a n}的公差d>0,∴a3=5,a5=9,公差∴a n=a5+(n﹣5)d=2n﹣1.又当n=1时,有b1=S1=1﹣当∴数列{b n}是等比数列,∴(2)由(Ⅰ)知,∴∴c n+1≤c n.9.已知等差数列{a n}的前n项和为S n,S5=35,a5和a7的等差中项为13.(Ⅰ)求a n及S n;(Ⅱ)令(n∈N﹡),求数列{b n}的前n项和T n.【解答】解:(Ⅰ)设等差数列{a n}的公差为d,因为S5=5a3=35,a5+a7=26,所以,…(2分)解得a1=3,d=2,…(4分)所以a n=3+2(n﹣1)=2n+1;S n=3n+×2=n2+2n.…(6分)(Ⅱ)由(Ⅰ)知a n=2n+1,所以b n==…(8分)=,…(10分)所以T n=.…(12分)10.已知等差数列{a n}是递增数列,且满足a4•a7=15,a3+a8=8.(Ⅰ)求数列{a n}的通项公式;(Ⅱ)令b n=(n≥2),b1=,求数列{b n}的前n项和S n.【解答】解:(1)根据题意:a3+a8=8=a4+a7,a4•a7=15,知:a4,a7是方程x2﹣8x+15=0的两根,且a4<a7解得a4=3,a7=5,设数列{a n}的公差为d由.故等差数列{a n}的通项公式为:(2)=又∴=11.设f(x)=x3,等差数列{a n}中a3=7,a1+a2+a3=12,记S n=,令b n=a n S n,数列的前n项和为T n.(Ⅰ)求{a n}的通项公式和S n;(Ⅱ)求证:;(Ⅲ)是否存在正整数m,n,且1<m<n,使得T1,T m,T n成等比数列?若存在,求出m,n的值,若不存在,说明理由.【解答】解:(Ⅰ)设数列{a n}的公差为d,由a3=a1+2d=7,a1+a2+a3=3a1+3d=12.解得a1=1,d=3∴a n=3n﹣2∵f(x)=x3∴S n==a n+1=3n+1.(Ⅱ)b n=a n S n=(3n﹣2)(3n+1)∴∴(Ⅲ)由(2)知,∴,∵T1,T m,T n成等比数列.∴即当m=1时,7=,n=1,不合题意;当m=2时,=,n=16,符合题意;当m=3时,=,n无正整数解;当m=4时,=,n无正整数解;当m=5时,=,n无正整数解;当m=6时,=,n无正整数解;当m≥7时,m2﹣6m﹣1=(m﹣3)2﹣10>0,则,而,所以,此时不存在正整数m,n,且1<m<n,使得T1,T m,T n成等比数列.综上,存在正整数m=2,n=16,且1<m<n,使得T1,T m,T n成等比数列.12.已知等差数列{a n}的前n项和为S n=pn2﹣2n+q(p,q∈R),n∈N+.(Ⅰ)求的q值;(Ⅱ)若a1与a5的等差中项为18,b n满足a n=2log2b n,求数列{b n}的前n和T n.【解答】解:(Ⅰ)当n=1时,a1=S1=p﹣2+q当n≥2时,a n=S n﹣S n﹣1=pn2﹣2n+q﹣p(n﹣1)2+2(n﹣1)﹣q=2pn﹣p﹣2∵{a n}是等差数列,a1符合n≥2时,a n的形式,∴p﹣2+q=2p﹣p﹣2,∴q=0(Ⅱ)∵,由题意得a3=18又a3=6p﹣p﹣2,∴6p﹣p﹣2=18,解得p=4∴a n=8n﹣6由a n=2log2b n,得b n=24n﹣3.∴,即{b n}是首项为2,公比为16的等比数列∴数列{b n}的前n项和.13.已知等差数列{a n}的前n项和为S n,且满足:a2+a4=14,S7=70.(Ⅰ)求数列a n的通项公式;(Ⅱ)设b n=,数列b n的最小项是第几项,并求出该项的值.【解答】解:(I)设公差为d,则有…(2分)解得以a n=3n﹣2.…(4分)(II)…(6分)所以=﹣1…(10分)当且仅当,即n=4时取等号,故数列{b n}的最小项是第4项,该项的值为23.…(12分)14.己知各项均为正数的数列{a n}满足a n+12﹣a n+1a n﹣2a n2=0(n∈N*),且a3+2是a2,a4的等差中项.(1)求数列{a n}的通项公式a n;(2)若b n=a n a n,S n=b1+b2+…+b n,求S n+n•2n+1>50成立的正整数n的最小值.【解答】解:(Ⅰ)∵a n+12﹣a n+1a n﹣2a n2=0,∴(a n+1+a n)(a n+1﹣2a n)=0,∵数列{a n}的各项均为正数,∴a n+1+a n>0,∴a n+1﹣2a n=0,即a n+1=2a n,所以数列{a n}是以2为公比的等比数列.∵a3+2是a2,a4的等差中项,∴a2+a4=2a3+4,∴2a1+8a1=8a1+4,∴a1=2,∴数列{a n}的通项公式a n=2n.(Ⅱ)由(Ⅰ)及b n=得,b n=﹣n•2n,∵S n=b1+b2++b n,∴S n=﹣2﹣2•22﹣3•23﹣4•24﹣﹣n•2n①∴2S n=﹣22﹣2•23﹣3•24﹣4•25﹣﹣(n﹣1)•2n﹣n•2n+1②①﹣②得,S n=2+22+23+24+25++2n﹣n•2n+1=,要使S n+n•2n+1>50成立,只需2n+1﹣2>50成立,即2n+1>52,∴使S n+n•2n+1>50成立的正整数n的最小值为5.15.设数列{a n}的前n项和为S n,且a1=1,a n+1=2S n+1,数列{b n}满足a1=b1,点P(b n,b n+1)在直线x﹣y+2=0上,n∈N*.(Ⅰ)求数列{a n},{b n}的通项公式;(Ⅱ)设,求数列{c n}的前n项和T n.【解答】解:(Ⅰ)由a n+1=2S n+1可得a n=2S n﹣1+1(n≥2),两式相减得a n+1﹣a n=2a n,a n+1=3a n(n≥2).又a2=2S1+1=3,所以a2=3a1.故{a n}是首项为1,公比为3的等比数列.所以a n=3n﹣1.由点P(b n,b n+1)在直线x﹣y+2=0上,所以b n+1﹣b n=2.则数列{b n}是首项为1,公差为2的等差数列.则b n=1+(n﹣1)•2=2n﹣1(Ⅱ)因为,所以.则,两式相减得:.所以=.。
数列测试题及答案解析一、单项选择题(每题3分,共30分)1. 数列{an}是等差数列,且a1=2,公差d=3,则a5的值为:A. 11B. 14C. 17D. 20答案:B2. 下列数列中,不是等比数列的是:A. 1, 2, 4, 8, ...B. 2, 4, 8, 16, ...C. 1, 1/2, 1/4, 1/8, ...D. 3, 6, 12, 24, ...答案:D3. 数列{bn}的通项公式为bn=2n-1,该数列的前n项和Sn为:A. n^2B. n^2 - 1C. 2^(n+1) - 1D. 2^(n+1) - 2答案:C4. 等差数列{an}中,若a2+a4=10,则a3的值为:A. 2B. 3C. 4D. 5答案:C5. 数列{cn}的前n项和为Tn,若Tn=n^2+n,则c1+c2+c3+...+c10的值为:A. 100B. 110C. 120D. 130答案:B6. 数列{dn}的前n项和为Sn,若Sn=n^2-n,则dn的通项公式为:A. 2n-1B. 2nC. n-1D. n答案:C7. 数列{en}中,e1=1,e2=2,且对于任意的n∈N*,有en+1/en=n+1,则e3的值为:A. 3B. 4C. 5D. 6答案:A8. 数列{fn}是等比数列,且f1=1,f3=8,则f2的值为:A. 2B. 4C. 8D. 16答案:B9. 数列{gn}中,g1=1,g2=3,且对于任意的n∈N*,有gn+1=2gn+1,则g3的值为:A. 7B. 9C. 11D. 13答案:A10. 数列{hn}的前n项和为Tn,若Tn=2^n-1,则hn的通项公式为:A. 2^(n-1)B. 2^nC. 2^(n-1) - 1D. 2^n - 1答案:A二、填空题(每题4分,共20分)11. 等差数列{an}中,若a1=3,d=2,则a10=________。
答案:1512. 数列{bn}的前n项和为Tn,若Tn=n^2+2n,则bn的通项公式为bn=________。
数列题目精选精编【典型例题】(一)研究等差等比数列的有关性质 1. 研究通项的性质例题1. 已知数列}{n a 满足1111,3(2)n n n a a a n --==+≥. (1)求32,a a ;(2)证明:312n n a -=. 解:(1)21231,314,3413a a a =∴=+==+=Q .(2)证明:由已知113--=-n n n a a ,故)()()(12211a a a a a a a n n n n n -++-+-=---Λ1213133312n n n a ---+=++++=L , 所以证得312n n a -=.例题2. 数列{}n a 的前n 项和记为11,1,21(1)n n n S a a S n +==+≥(Ⅰ)求{}n a 的通项公式;(Ⅱ)等差数列{}n b 的各项为正,其前n 项和为n T ,且315T =,又112233,,a b a b a b +++成等比数列,求n T .解:(Ⅰ)由121n n a S +=+可得121(2)n n a S n -=+≥,两式相减得:112,3(2)n n n n n a a a a a n ++-==≥,又21213a S =+=∴213a a = 故{}n a 是首项为1,公比为3的等比数列∴13n n a -=(Ⅱ)设{}n b 的公比为d ,由315T =得,可得12315b b b ++=,可得25b = 故可设135,5b d b d =-=+,又1231,3,9a a a ===,由题意可得2(51)(59)(53)d d -+++=+,解得122,10d d ==∵等差数列{}n b 的各项为正,∴0d > ∴2d =∴2(1)3222n n n T n n n -=+⨯=+例题3. 已知数列{}n a 的前三项与数列{}n b 的前三项对应相同,且212322...a a a +++128n n a n -+=对任意的*N n ∈都成立,数列{}n n b b -+1是等差数列.⑴求数列{}n a 与{}n b 的通项公式;⑵是否存在N k *∈,使得(0,1)k k b a -∈,请说明理由.点拨:(1)2112322...28n n a a a a n -++++=左边相当于是数列{}12n n a -前n 项和的形式,可以联想到已知n S 求n a 的方法,当2n ≥时,1n n n S S a --=.(2)把k k a b -看作一个函数,利用函数的思想方法来研究k k a b -的取值情况.解:(1)已知212322a a a +++…12n n a -+8n =(n ∈*N )① 2n ≥时,212322a a a +++ (2)128(1)n n a n --+=-(n ∈*N )②①-②得,128n n a -=,求得42n n a -=,在①中令1n =,可得得41182a -==,所以42nn a -=(n ∈N*). 由题意18b =,24b =,32b =,所以214b b -=-,322b b -=-,∴数列}{1n n b b -+的公差为2)4(2=---, ∴1n nb b +-=2)1(4⨯-+-n 26n =-,121321()()()n n n b b b b b b b b -=+-+-++-L(4)(2)(28)n =-+-++-L 2714n n =-+(n ∈*N ).(2)k k b a -=2714k k -+-42k-,当4k ≥时,277()()24f k k =-+-42k-单调递增,且(4)1f =, 所以4k ≥时,2()714f k k k =-+-421k-≥, 又(1)(2)(3)0f f f ===,所以,不存在k ∈*N ,使得(0,1)k k b a -∈.例题4. 设各项均为正数的数列{a n }和{b n }满足:a n 、b n 、a n+1成等差数列,b n 、a n+1、b n+1成等比数列,且a 1 = 1, b 1 = 2 , a 2 = 3 ,求通项a n ,b n 解: 依题意得:2b n+1 = a n+1 + a n+2 ① a 2n+1 = b n b n+1 ②∵ a n 、b n 为正数, 由②得21211,+++++==n n n n n n b b a b b a , 代入①并同除以1+n b 得:212+++=n n n b b b , ∴}{n b 为等差数列∵ b 1 = 2 , a 2 = 3 ,29,22122==b b b a 则 ,∴ 2)1(),1(22)229)(1(22+=∴+=--+=n b n n b n n ,∴当n ≥2时,2)1(1+==-n n b b a n n n , 又a 1 = 1,当n = 1时成立, ∴2)1(+=n n a n2. 研究前n 项和的性质例题5. 已知等比数列}{n a 的前n 项和为2nn S a b =⋅+,且13a =.(1)求a 、b 的值及数列}{n a 的通项公式;(2)设n n n b a =,求数列}{n b 的前n 项和n T . 解:(1)2≥n 时,a S S a n n n n ⋅=-=--112.而}{n a 为等比数列,得a a a =⋅=-1112, 又31=a ,得3=a ,从而123-⋅=n n a .又123,3a a b b =+=∴=-Q .(2)132n n n n n b a -==⋅, 21123(1)3222n n n T -=++++L231111231(2322222n n n n n T --=+++++L ) ,得2111111(1)232222n n n nT -=++++-L , 111(1)2412[](1)13232212n n n n n n n T +⋅-=-=---.例题6. 数列{}n a 是首项为1000,公比为110的等比数列,数列{b }n 满足121(lg lg lg )k k b a a a k =+++L*()N k ∈, (1)求数列{b }n 的前n 项和的最大值;(2)求数列{|b |}n 的前n 项和n S '.解:(1)由题意:410nn a -=,∴lg 4n a n =-,∴数列{lg }n a 是首项为3,公差为1-的等差数列,∴12(1)lg lg lg 32k k k a a a k -+++=-L ,∴1(1)7[3]22n n n nb n n --=-=由100n n b b +≥⎧⎨≤⎩,得67n ≤≤,∴数列{b }n 的前n 项和的最大值为67212S S ==.(2)由(1)当7n ≤时,0n b ≥,当7n >时,0n b <,∴当7n ≤时,212731132()244n n n S b b b n n n -+'=+++==-+L当7n >时,12789n n S b b b b b b '=+++----L L 27121132()2144n S b b b n n =-+++=-+L∴22113(7)4411321(7)44n n n n S n n n ⎧-+≤⎪⎪'=⎨⎪-+>⎪⎩.例题7. 已知递增的等比数列{n a }满足23428a a a ++=,且32a +是2a ,4a 的等差中项. (1)求{n a }的通项公式n a ;(2)若12log n n nb a a =,12n n S b b b =+++L 求使1230n n S n ++⋅>成立的n 的最小值.解:(1)设等比数列的公比为q (q >1),由a 1q +a 1q 2+a 1q 3=28,a 1q +a 1q 3=2(a 1q 2+2),得:a 1=2,q =2或a 1=32,q =12(舍)∴a n =2·2(n -1)=2n(2) ∵12log 2nn n n b a a n ==-⋅,∴S n =-(1·2+2·22+3·23+…+n ·2n ) ∴2S n =-(1·22+2·23+…+n ·2n +1),∴S n =2+22+23+…+2n -n ·2n +1=-(n -1)·2n +1-2, 若S n +n ·2n +1>30成立,则2n +1>32,故n >4,∴n 的最小值为5.例题8. 已知数列}{n a 的前n 项和为S n ,且11,,n n S a +-成等差数列,*1,1N n a ∈=. 函数3()log f x x =.(I )求数列}{n a 的通项公式; (II )设数列{}n b 满足1(3)[()2]n n b n f a =++,记数列{}n b 的前n 项和为T n ,试比较52512312n n T +-与的大小. 解:(I )11,,n n S a +-Q 成等差数列,121n n S a +∴=-① 当2n ≥时,121n n S a -=-②. ①-②得:112()n n n n S S a a -+-=-,13+=∴n n a a ,13.n na a +∴=当n =1时,由①得112221S a a ∴==-, 又11,a =2213,3,a a a ∴=∴={}n a ∴是以1为首项3为公比的等比数列,13.n n a -∴=(II )∵()x log x f 3=,133()log log 31n n n f a a n -∴===-, 11111()(3)[()2](1)(3)213n n b n f a n n n n ===-++++++,1111111111111()224354657213n T n n n n ∴=-+-+-+-++-+-+++L11111()22323n n =+--++525,122(2)(3)n n n +=-++比较52512312n n T +-与的大小,只需比较2(2)(3)n n ++与312 的大小即可. 222(2)(3)3122(56156)2(5150)n n n n n n ++-=++-=+-又2(15)(10)n n =+-∵*,N n ∈∴当*19N n n ≤≤∈且时,5252(2)(3)312,;12312nn n n T +++<<-即当10n =时,5252(2)(3)312,;12312n n n n T +++==-即当*10N n n >∈且时,5252(2)(3)312,12312n n n n T +++>>-即.3. 研究生成数列的性质例题9. (I ) 已知数列{}n c ,其中nn n c 32+=,且数列{}n n pc c -+1为等比数列,求常数p ;(II ) 设{}n a 、{}n b 是公比不相等的两个等比数列,n n n b a c +=,证明数列{}n c 不是等比数列.解:(Ⅰ)因为{c n +1-pc n }是等比数列,故有 (c n +1-pc n )2=( c n +2-pc n+1)(c n -pc n -1), 将c n =2n +3n 代入上式,得 [2n +1+3n +1-p (2n +3n )]2=[2n +2+3n +2-p (2n +1+3n +1)]·[2n +3n -p (2n -1+3n -1)], 即[(2-p )2n +(3-p )3n ]2=[(2-p )2n+1+(3-p )3n+1][ (2-p )2n -1+(3-p )3n -1],整理得61(2-p )(3-p )·2n ·3n =0,解得p =2或p =3. (Ⅱ)设{a n }、{b n }的公比分别为p 、q ,p ≠q ,c n =a n +b n . 为证{c n }不是等比数列只需证22c ≠c 1·c 3.事实上,22c =(a 1p +b 1q )2=21a p 2+21b q 2+2a 1b 1pq , c 1·c 3=(a 1+b 1)(a 1 p 2+b 1q 2)=21a p 2+21b q 2+a 1b 1(p 2+q 2).由于p ≠q ,p 2+q 2>2pq ,又a 1、b 1不为零,因此≠22c c 1·c 3,故{c n }不是等比数列.例题10. n 2( n ≥4)个正数排成n 行n 列:其中每一行的数成等差数列,每一列的数成等比数列,并且所有公比相等已知a 24=1,163,814342==a a 求S=a 11 + a 22 + a 33 + … + a nn解: 设数列{1k a }的公差为d , 数列{ik a }(i=1,2,3,…,n )的公比为q则1k a = a 11 + (k -1)d , a kk = [a 11 + (k -1)d]q k -1依题意得:⎪⎪⎪⎩⎪⎪⎪⎨⎧=+==+==+=163)2(81)(1)3(31143311421124q d a a q d a a q d a a ,解得:a 11 = d = q = ±21 又n 2个数都是正数,∴a 11 = d = q = 21 , ∴a kk = kk2nn S 212132122132⨯++⨯+⨯+=Λ,1432212132122121+⨯++⨯+⨯+=n n S Λ,两式相减得:n n n S 22121--=-例题11. 已知函数3()log ()f x ax b =+的图象经过点)1,2(A 和)2,5(B ,记()*3,.f n n a n N =∈(1)求数列}{n a 的通项公式;(2)设n n n nn b b b T a b +++==Λ21,2,若)(Z m m T n ∈<,求m 的最小值;(3)求使不等式12)11()11)(11(21+≥+++n p a a a nΛ对一切*N n ∈均成立的最大实数p .解:(1)由题意得⎩⎨⎧=+=+2)5(log 1)2(log 33b a b a ,解得⎩⎨⎧-==12b a ,)12(log )(3-=∴x x f *)12(log ,1233N n n a n n ∈-==- (2)由(1)得n n n b 212-=, nn n n n T 2122322523211321-+-++++=∴-Λ ① 1132212232252232121+--+-+-+++=n n n n n n n T Λ ② ①-②得)21212121(2121n 22222222221T 211n 2n 2111n n 1n 321n --+-+++++=--+++++=ΛΛ1n 1n 1n 21n 2212321n 2+-+---=--.n n 2n n 23n 2321n 2213T +-=---=∴-, 设*,232)(N n n n f n ∈+=,则由 1512132121)32(252232252)()1(1<+≤++=++=++=++n n n n n n f n f n n 得*,232)(Nn n n f n ∈+=随n 的增大而减小 +∞→∴n 当时,3→n T 又)(Z m m T n ∈<恒成立,3min =∴m(3)由题意得*21)11()11)(11(121N n a a a n p n ∈++++≤对Λ恒成立记)11()11)(11(121)(21n a a a n n F ++++=Λ,则()()11n 21n 2)1n ()1n (4)1n (2)3n 2)(1n 2(2n 2)a 11()a 11)(a 11(1n 21)a 11)(a 11()a 11)(a 11(3n 21)n (F )1n (F 2n 211n n 21=++>+-++=+++=+++++++++=++ΛΛ)(),()1(,0)(n F n F n F n F 即>+∴>Θ是随n 的增大而增大)(n F 的最小值为332)1(=F ,332≤∴p ,即332max =p .(二)证明等差与等比数列 1. 转化为等差等比数列.例题12. 数列{}n a 中,2,841==a a 且满足n n n a a a -=++122,*N n ∈. ⑴求数列{}n a 的通项公式;⑵设||||||21n n a a a S +++=Λ,求n S ;⑶设n b =1(12)n n a -**12(),()N N n n n T b b b n ∈=+++∈L ,是否存在最大的整数m ,使得对任意*N n ∈,均有>n T 32m成立?若存在,求出m 的值;若不存在,请说明理由.解:(1)由题意,n n n n a a a a -=-+++112,}{n a ∴为等差数列,设公差为d , 由题意得2832d d =+⇒=-,82(1)102n a n n ∴=--=-. (2)若50210≤≥-n n 则,||||||,521n n a a a S n +++=≤Λ时21281029,2n na a a n n n +-=+++=⨯=-L6n ≥时,n n a a a a a a S ---+++=ΛΛ765212555()2940n n S S S S S n n =--=-=-+故⎪⎩⎪⎨⎧+--=40n 9n n n 9S 22n 56n n ≤≥ (3)11111()(12)2(1)21n n b n a n n n n ===--++Q , ∴n T 1111111111[(1)()()()()]22233411n n n n =-+-+-++-+--+L .2(1)n n =+ 若32n m T >对任意*N n ∈成立,即116n m n >+对任意*N n ∈成立, *()1N n n n ∈+Q 的最小值是21,1,162m ∴<m ∴的最大整数值是7.即存在最大整数,7=m 使对任意*N n ∈,均有.32n m T >例题13. 已知等比数列{}n b 与数列{}n a 满足3,n an b n =∈N *.(1)判断{}n a 是何种数列,并给出证明; (2)若8131220,a a m b b b +=L 求.解:(1)设{}n b 的公比为q ,∵3n an b =,∴()q log 1n a a 3q 331n a 1n a n 1-+=⇒=⋅-。
全国各地数学模拟试卷《数列》题集锦1.已知数列{n a }中,111,22n n a n a a +=-,点()在直线y=x 上,其中n=1,2,3…. (1)令11n n n b a a ,+=--求证数列{}n b 是等比数列; (2)求数列{}的通项;n a⑶ 设分别为数列、n n T S {}、n a {}n b 的前n 项和,是否存在实数λ,使得数列n n S T n λ+⎧⎫⎨⎬⎩⎭为等差数列?若存在,试求出λ.若不存在,则说明理由。
解:(I )由已知得 111,2,2n n a a a n +==+2213313,11,4424a a a =--=--=- 又11,n n n b a a +=--1211,n n n b a a +++=--11112111(1)111222.1112n n n n n n n n n n n n n n a n a n a a b a a b a a a a a a +++++++++++-----∴====------ {}n b ∴是以34-为首项,以12为公比的等比数列.(II)由(I)知,13131(),4222n n n b -=-⨯=-⨯1311,22n n n a a +∴--=-⨯21311,22a a ∴--=-⨯ 322311,22a a --=-⨯⋅⋅⋅⋅⋅⋅11311,22n n n a a --∴--=-⨯将以上各式相加得:1213111(1)(),2222n n a a n -∴---=-++⋅⋅⋅+11111(1)31313221(1)(1) 2.12222212n n n n a a n n n ---∴=+--⨯=+---=+--32.2n n a n ∴=+-(III )解法一:存在2λ=,使数列{}n nS T nλ+是等差数列. 12121113()(12)2222n n n S a a a n n =++⋅⋅⋅+=++⋅⋅⋅++++⋅⋅⋅+-11(1)(1)22321212n n n n -+=⨯+--2213333(1) 3.2222n n n n n n --=-+=-++ 12131(1)313342(1).1222212n n n n n T b b b +--=++⋅⋅⋅+==--=-+- 数列{}n n S T n λ+是等差数列的充要条件是,(n nS T An B A n λ+=+、B 是常数)即2,n n S T An Bn λ+=+又2133333()2222n n n n n n S T λλ+-+=-+++-+2313(1)(1)222n n n λ-=+--∴当且仅当102λ-=,即2λ=时,数列{}n nS T nλ+为等差数列. 解法二:存在2λ=,使数列{}n nS T nλ+是等差数列. 由(I )、(II )知,22n n a b n +=-(1)222n n n S T n +∴+=- (1)222n nn n n n n T T S T n nλλ+--++=322n n T n λ--=+ 又12131(1)313342(1)1222212n n n n n T b b b +--=++⋅⋅⋅+==--=-+- 13233()222n n n S T n n n λλ++--=+-+∴当且仅当2λ=时,数列{}nn S T n λ+是等差数列. 2.已知等比数列{}n a 的各项均为正数,且公比不等于1,数列{}n b 对任意正整数n ,均有:1221223125()log ()log ()log 0n n n n n n b b a b b a b b a ++++-⋅+-+-=成立,又171,13b b ==。
数列基础测试题及答案一、选择题(每题2分,共10分)1. 等差数列{a_n}的首项为1,公差为2,那么a_5的值为:A. 9B. 10C. 11D. 122. 等比数列{b_n}的首项为2,公比为3,那么b_4的值为:A. 24B. 54C. 72D. 1083. 数列{c_n}满足c_1=1,且c_{n+1}=2c_n+1,那么c_3的值为:A. 5B. 9C. 17D. 334. 已知数列{d_n}是等差数列,且d_1=3,d_3=9,那么d_5的值为:A. 15B. 18C. 21D. 245. 数列{e_n}是等比数列,且e_1=8,e_3=64,那么e_5的值为:A. 512C. 128D. 64二、填空题(每题3分,共15分)6. 等差数列{f_n}的首项为5,公差为-1,那么f_7=________。
7. 等比数列{g_n}的首项为3,公比为-2,那么g_5=________。
8. 数列{h_n}满足h_1=2,且h_{n+1}=3h_n-2,那么h_4=________。
9. 已知数列{i_n}是等差数列,且i_2=7,i_5=16,那么i_8=________。
10. 数列{j_n}是等比数列,且j_2=6,j_4=36,那么j_6=________。
三、解答题(每题10分,共20分)11. 已知数列{k_n}是等差数列,且k_1=2,k_3=10,求k_5的值。
12. 已知数列{l_n}是等比数列,且l_1=4,l_3=36,求l_5的值。
答案:一、选择题1. B2. D3. C4. C5. A二、填空题6. 28. 339. 3110. 576三、解答题11. 等差数列的公差d=k_3-k_1=10-2=8,所以k_5=k_3+2d=10+2*8=26。
12. 等比数列的公比q=l_3/l_1=36/4=9,所以l_5=l_3*q^2=36*9^2=2916。
1.已知n S 为数列{}n a 的前n 项和,且满足4133n n S a =-. ()1求数列{}n a 的通项;()2令112n n b log a +=,证明:1223341111111n n n nb b b b b b b b b b +++++⋯+=. 详解:()41133n n S a =-, 可得1114133a S a ==-,解得11a =,2n ≥时,1141413333n n n n n a S S a a --=-=--+,即有114n n a a -=,故数列{}n a 是以11a =为首项,以14为公比的等比数列,则11()4n n a -=;()2证明:2111221()22nn n b log a log n +===, ()11111122141n n b b n n n n +⎛⎫==- ⎪⋅++⎝⎭, 12231111111111142231n n b b b b b b n n +⎛⎫++⋯+=-+-+⋯+- ⎪+⎝⎭ ()1114141n n n ⎛⎫=-= ⎪++⎝⎭, ()()1122141n n n nb b n n +==⋅++, 则1223341111111n n n n b b b b b b b b b b +++++⋯+=.2.(12分)已知*N n ∈,数列{}n a 、{}n b 满足:11n n a a +=+,112n n n b b a +=+,记24n n n c a b =-. (1)若11a =,10b =,求数列{}n a 、{}n b 的通项公式; (2)证明:数列{}n c 是等差数列;(3)定义2()n n n f x x a x b =++,在(1)的条件下,是否存在n ,使得()n f x 有两个整数零点,如果存在,求出n 满足的集合,如果不存在,说明理由. 详解:(1)()11n a n n =+-=,1122n n n n nb b a b +=+=+,∴由累加法得121321()()()n n n b b b b b b b b -=+-+-+⋅⋅⋅+- 1(1)0[12(2)(1)]24n n n n -=+++⋅⋅⋅+-+-=.(2)221114(4)n n n n n n c c a b a b +++-=---221(1)4()(4)12n n n n n a a b a b =+-+--=∴{}n c 是公差为1的等差数列.(3)由(1)(2)得24n n n c a b n =-=,函数的零点为x ==,要想为整数,则n 必为完全平方数,不妨设2(N )n m m =∈*,此时()2122m m m m x -±-±==, 又因为1m m ±与是连续的两个整数∴ (1)m m -±能被2整除,即函数的零点()2122m m m m x -±-±==为整数, ∴所求n 的集合为{}2|,N n n m m =∈*.3.已知数列{}n a 的前n 项和为n S ,且21n n S a =-. (1)求数列{}n a 的通项公式; (2)记12(1)(1)nn n n a b a a +=++,求数列{}n b 的前n 项和n T .【详解】(1)当1n =时,11121a S a ==-,得11a ,= 当2n ≥时,有1121n n S a --=-, 所以1122n n n n n a S S a a ,--=-=- 即12n n a a -=,满足2n ≥时,12nn a a -=, 所以{}n a 是公比为2,首项为1的等比数列, 故通项公式为12n n a -=.(2)()()()()111221121121212121n n n n nn n n n a b a a --+⎛⎫===- ⎪++++++⎝⎭, 123011223111111222212121212121n n T b b b b ⎛⎫⎛⎫⎛⎫=++++=-+-+-++⎪ ⎪ ⎪++++++⎝⎭⎝⎭⎝⎭11122121n n -⎛⎫- ⎪++⎝⎭ 2121n n-=+.4.已知数列{}n a 的前n 项和1n n S a λ=+,其中0λ≠. (1)证明{}n a 是等比数列,并求其通项公式; (2)若53332S =,求λ.【详解】(1)∵1n n S a λ=+,0λ≠,∵0n a ≠. 当2n ≥时,111n n S a λ--=+,两式相减,得1111n n n n n a a a a a λλλλ--=+--=-,即()11n n a a λλ--=, ∵0λ≠,0n a ≠.∵10λ-≠.即1λ≠,即11n n a a λλ-=-,(2n ≥), ∵{}n a 是等比数列,公比1q λλ=-,当1n =时,1111S a a λ=+=,即111a λ=-, ∵1111n n a λλλ-⎛⎫=⋅ ⎪--⎝⎭;(2)若53332S =,则4513311132S λλλλ⎡⎤⎛⎫=+⋅=⎢⎥ ⎪--⎝⎭⎢⎥⎣⎦,即5331113232λλ⎛⎫=-= ⎪-⎝⎭, 则112λλ=-,得13λ=5.已知等比数列{}n a 的各项均为正数,n S 为等比数列{}n a 的前n 项和,若223a =,3462a a a =.(1)n S t <恒成立,求t 的最小值; (2)设n nnb a =,求数列{}n b 的前n 项和n T . 【详解】(1)因为{}n a 为等比数列,所以3416a a a a =,所以341662a a a a a ==,60a ≠,所以12a =,又223a =,所以13q =,所以121313131313n n n S ⎛⎫⎛⎫- ⎪ ⎪ ⎪⎛⎫⎝⎭⎛⎫⎝⎭==-< ⎪ ⎪ ⎪⎝⎭⎝⎭-,因为n S t <恒成立,所以3t ≥,即t 的最小值是3. (2)由(1)可知22123n n n a a q--=⋅=,所以132n n n b -⋅=,故01113233222n n n T -⨯⨯⨯=+++① ()112131323332222n n n n n T --⨯⨯⨯⨯=++++ ②① -②得:0111333322222n n n n T -⨯⨯-=+++-,()1313131322132n nn --⨯⨯+--=整理得,()21318n n n T -+=6.(本小题满分12分)记首项为1的数列{}n a 的前n 项和为n S ,且()12331n nn n S a +⋅=- .(1)求证:数列{}n a 是等比数列;(2)若()29(1)log nn n b a =-⋅,求数列{}n b 的前2n 项和.【解析】(1)依题意,11213n n n S a +⎛⎫=-⎪⎝⎭,1211213n n n S a +++⎛⎫=- ⎪⎝⎭, 两式相减可得,()21111303n n n a a +++⎛⎫--= ⎪⎝⎭,故213n n a a ++=, 而1222S 3a =,故213a a =,故数列{}n a 是以1为首项,3为公比的等比数列. (2)由(1)可13,n n a -=所以()()2212991(1)log (1)log 3(1)(1)4n n n n n n b a n -=-⋅=-⋅=⋅-⋅-,故2122221211(1)(22)(1)(21)(43)44n n n n b b n n n --⎡⎤+=⋅-⋅-+-⋅-=-⎣⎦, 记数列{}n b 的前2n 项和为2n T ,则22111(15943)424n T n n n =+++⋯+-=-.7.(本小题满分12分)已知等差数列{}n a 中,n S 为其前n 项和,2458,15a a S ⋅==;等比数列{}n b 的前n 项和21n n T =-(I )求数列{}{},n n a b 的通项公式;(II )当{}n a 各项为正时,设n n n c a b =⋅,求数列{}n c 的前n 项和. 【解析】(I )设等差数列{}n a 的首项为1a ,公差为d ,则()()()()21111383381115101532a d a d d d d d d a d a d ⎧⎧++=-+=⇔⇒=⇒==-⎨⎨+==-⎩⎩或, 11,1,n d a a n ∴==∴=,11,5,6n d a a n ∴=-=∴=-,当2n ≥时,112n nn n b T T --=-=;当1n =时,111b T ==也满足上式,∴12n n b -=.(II )由题可知,1,2n n n n n a n c a b n -===,()01221122232122n n n T n n --=⨯+⨯+⨯++-⨯+⨯, ()12312122232122n n n T n n -=⨯+⨯+⨯++-⨯+⨯,()111222121n n n n T n n --=+++-⨯=-⨯-,故()121n n T n =-⨯+.8.(本小题满分12分)已知数列{}n a 满足11a =,121n n a S +=+,其中n S 为{}n a 的前n 项和,*n N ∈. (1)求n a ;(2)若数列{}n b 满足31log n n b a =+,求122320172018111b b b b b b +++的值.【解析】(1)121n n a S +=+,121n n a S -=+,2n ≥,两式相减得112,3,2n n n n n a a a a a n ++-==≥,注意到11a =,2112133a S a =+==,于是11,3n n n a a +∀≥=,所以13n n a -=.(2)n b n =,于是()1111111n n b b n n n n +==-++, 所以1223201720181111111120171223201720182018b b b b b b +++=-+-++-=.9.(本小题满分12分)已知数列{}n a 的前n 项和为()122n n S n N ++=-∈.(1)求数列{}n a 的通项公式; (2)设22log n n b a =,求数列11n n b b +⎧⎫⎨⎬⎩⎭的前n 项和n T . 【解析】 (1)由122n n S +=-可得:当2n ≥时,122n n S -=-,上述两式相减可得2n n a =.当1n =时:111112222a S +==-==成立,故所求()2n n a n N +=∈.(2)2nn a =,22log 2n nb a n ==,()11111122241n n b b n n n n +⎛⎫∴==- ⎪++⎝⎭, 故所求111111111141223141n T n n n ⎛⎫⎛⎫=⨯-+-+⋅⋅⋅+-=- ⎪ ⎪++⎝⎭⎝⎭()()41n n N n +=∈+.10.(12分)已知等差数列{}n a 的前n 项和为n S ,公差d 为整数,535S =,且2a ,31a +,6a 成等比数列.(1)求数列{}n a 的通项公式; (2)设数列{}n b 满足11n n n b a a +=,求数列{}n b 的前n 项和n T . 【解析】(1)由53535S a ==,得37a =,由2a ,31a +,6a 成等比数列,得()2263164a a a =+=,即()()33364a d a d -+=,整理得2314150d d -+=,又因为公差d 为整数,所以3d =,所以数列{}n a 的通项公式为32n a n =-. (2)()()111111323133231n n n b a a n n n n +⎛⎫===- ⎪-+-+⎝⎭,所以123n nT b b b b =++++11111111134477103231n n ⎡⎤⎛⎫⎛⎫⎛⎫⎛⎫=⨯-+-+-++- ⎪ ⎪ ⎪ ⎪⎢⎥-+⎝⎭⎝⎭⎝⎭⎝⎭⎣⎦111331n ⎛⎫=⨯- ⎪+⎝⎭31nn =+.11.(12分)在公差为2的等差数列{}n a 中,11a +,22a +,34a +成等比数列. (1)求{}n a 的通项公式;(2)求数列{}2nn a -的前n 项和n S .【解析】(1)∵{}n a 的公差为2d =,∴212a a =+,134a a =+.∵11a +,22a +,34a +成等比数列, ∴()()()2111184a a a ++=+,解得18a =,从而()82126n a n n =+-=+.(2)由(1)得26n a n =+,2(26)2n nn a n ∴-=+-,()()281026222n n S n ∴=++⋅⋅⋅++-+++.()826222212nn n ++-⨯=--()()1722n n n +=+--21722n n n +=+-+12.(12分)已知首项为32的等比数列{}n a 的前n 项和为()*n S n N ∈,且22S -,3S ,44S 成等差数列.(1)求数列{}n a 的通项公式;(2)对于数列{}n A ,若存在一个区间M ,均有()1,2,3i A M i ∈=⋅⋅⋅,则称M 为数列{}n A 的“容值区间”.设1n n nb S S =+,试求数列{}n b 的“容值区间”长度的最小值. 【解析】(1)由题意可知:324224S S S =-+,即()()1231212342a a a a a a a a a ++=-+++++,∴4312a a =-,即公比12q =-,又132a =,∴13122n n a -⎛⎫=⋅- ⎪⎝⎭.(2)由(1)可知112n n S ⎛⎫=-- ⎪⎝⎭.当n 为偶数时112nn S ⎛⎫=- ⎪⎝⎭,易知n S 随n 增大而增大, ∴3,14n S ⎡⎫∈⎪⎢⎣⎭,根据勾型函数性质,此时1252,12n n n b S S ⎛⎤=+∈ ⎥⎝⎦.当n 为奇数时112nn S ⎛⎫=+ ⎪⎝⎭,易知n S 随n 增大而减小,∴31,2n S ⎛⎤∈ ⎥⎝⎦,根据勾型函数性质,此时1132,6n n n b S S ⎛⎤=+∈ ⎥⎝⎦.又1325612>, ∴132,6n b ⎛⎤∈ ⎥⎝⎦.故数列{}n b 的“容值区间”长度的最小值为16.13.(本小题满分12分)已知数列{}n a 满足11a =,()()111n n na n a n n +-+=+,设nn a b n=. (1)求数列{}n b 的通项公式;(2)若2n b n c n =-,求数列{}n c 的前n 项和. 【解析】(1)因为nn a b n=,所以n n a nb =, 又因为()()111n n na n a n n +-+=+,所以()()()1111n n n n b n nb n n ++-+=+,即11n n b b +-=, 所以{}n b 为等差数列,其首项为111b a ==,公差1d =. 所以()11n b n n =+-=.(2)由(1)及题设得,2n n c n =-, 所以数列{}n c 的前n 项和()()232222123n n S n =++++-++++()1222122n n n +-⨯=-- 21222n n n ++=--.14.(12分)等差数列{}n a 的前n 项和为n S ,21517a a +=,1055S =.数列{}n b 满足2log n n a b =.(1)求数列{}n b 的通项公式;(2)若数列{}n n a b +的前n 项和n T 满足3218n T S =+,求n 的值. 【解析】(1)设等差数列{}n a 的公差为d ,则有1121517104555a d a d +=⎧⎨+=⎩,解得111a d =⎧⎨=⎩,则n a n =.又2log n n a b =,即2n an b =,所以2n n b =.(2)依题意得:1212(...)(...)n n n T a a a b b b =+++++++23(123...)(222...2)n n =+++++++++()212(1)212nn n -+=+-1(1)222n n n ++=+-. 又3232(132)18185462S ++=+=,则1(1)25482n n n +++=, 因为1(1)()22n n n f n ++=+在*n N ∈上为单调递增函数,所以8n =.15.已知数列{}n a 的前n 项和n S 满足()()212n n n S a a =-+,且()*0n a n N >∈。
数列练习题及答案一、选择题1. 已知数列{an}的前n项和为Sn,若a1=1,a2=3,且满足an+1 = an + 2n,求S5的值。
A. 25B. 28B. 30D. 312. 对于数列{bn},若b1=2,且bn+1 = 2bn + 1,求b4的值。
A. 17B. 15C. 13D. 113. 已知数列{cn}是等差数列,其公差为3,且c5=23,求c1的值。
A. 2B. 5C. 8D. 114. 数列{dn}的通项公式为dn = 2n - 1,求d10的值。
A. 19B. 17C. 15D. 135. 若数列{en}满足en = 3en-1 - 2,e1 = 1,求e3的值。
B. 5C. 3D. 1二、填空题6. 已知数列{fn}的前n项和为Sn,且满足Sn = n^2,求f3的值。
7. 对于数列{gn},若g1=4,且满足gn+1 = 3gn - 2,求g3的值。
8. 已知等比数列{hn}的首项为h1=8,公比为2,求h5的值。
9. 若数列{in}满足in = 2^n - 1,求i5的值。
10. 对于数列{jn},若j1=1,且满足jn+1 = jn^2,求j4的值。
三、解答题11. 某工厂生产的产品数量构成一个等差数列,第一年生产了100件,每年生产量比上一年多20件。
求第5年的产量,并求这5年的总产量。
12. 某公司的股票价格构成一个等比数列,第一年价格为10元,每年价格是上一年的2倍。
求第3年的股票价格,并求这3年的平均价格。
13. 已知数列{kn}的前n项和为Sn,且满足Sn = 2n^2 + n,求k5的值。
14. 对于数列{ln},若l1=1,且满足ln+1 = ln + ln-1,l2=3,求l4的值。
15. 某数列{mn}的通项公式为mn = 3^n - 2^n,求m5的值。
1. B2. A3. D4. A5. A6. 67. 108. 1289. 3110. 25511. 第5年产量为180件,5年总产量为700件。
高中数列精选大题50题(带详细答案)1 .数列{n a }的前n 项和为n S ,且满足11a =,2(1)n n S n a =+.(1)求{n a }的通项公式; (2)求和T n =1211123(1)na a n a ++++.2 .已知数列}{n a ,a 1=1,点*))(2,(1N n a a P n n ∈+在直线0121=+-y x 上. (1)求数列}{n a 的通项公式; (2)函数)2*,(1111)(321≥∈++++++++=n N n a n a n a n a n n f n且 ,求函数)(n f 最小值.3 .已知函数x ab x f =)( (a ,b 为常数)的图象经过点P (1,81)和Q (4,8)(1) 求函数)(x f 的解析式;(2) 记a n =log 2)(n f ,n 是正整数,n S 是数列{a n }的前n 项和,求n S 的最小值。
4 .已知y =f (x )为一次函数,且f (2)、f (5)、f (4)成等比数列,f (8)=15.求n S =f (1)+f (2)+…+f (n )的表达式.5 .设数列{}n a 的前n 项和为n S ,且1n n S c ca =+-,其中c 是不等于1-和0的实常数.(1)求证: {}n a 为等比数列;(2)设数列{}n a 的公比()q f c =,数列{}n b 满足()()111,,23n n b b f b n N n -==∈≥,试写出1n b ⎧⎫⎨⎬⎩⎭的通项公式,并求12231n n b b b b b b -+++的结果.6 .在平面直角坐标系中,已知A n (n,a n )、B n (n,b n )、C n (n -1,0)(n ∈N *),满足向量1+n n A A 与向量n n C B 共线,且点B n (n,b n ) (n ∈N *)都在斜率为6的同一条直线上.(1)试用a 1,b 1与n 来表示a n ;(2)设a 1=a ,b 1=-a ,且12<a ≤15,求数列{a n }中的最小项.7 .已知数列{}n a 的前三项与数列{}n b 的前三项对应相同,且212322a a a +++…12n n a -+8n =对任意的∈n N*都成立,数列1{}n n b b +-是等差数列.(1)求数列{}n a 与{}n b 的通项公式;(2)问是否存在k ∈N *,使得(0,1)k k b a -∈?请说明理由. 8 .已知数列),3,2(1335,}{11 =-+==-n a a a a n n n n 且中(I )试求a 2,a 3的值; (II )若存在实数}3{,nn a λλ+使得为等差数列,试求λ的值. 9 .已知数列{}n a 的前n 项和为n S ,若()1,211++=⋅=+n n S a n a n n ,(1)求数列{}n a 的通项公式; (2)令n nn S T 2=,①当n 为何正整数值时,1+>n n T T :②若对一切正整数n ,总有m T n ≤,求m 的取值范围。
数学数列测试题及答案一、选择题(每题3分,共30分)1. 等差数列{a_n}的首项a_1=1,公差d=2,求a_5的值。
A. 5B. 7C. 9D. 11答案:D2. 等比数列{b_n}的首项b_1=3,公比q=2,求b_3的值。
A. 12B. 15C. 18D. 24答案:D3. 数列{c_n}满足c_1=2,c_{n+1}=3c_n+1,求c_3的值。
A. 17B. 19C. 23D. 29答案:C4. 数列{d_n}的通项公式为d_n=n^2-n,求数列的前5项和S_5。
A. 25B. 30C. 35D. 40答案:C5. 数列{e_n}的前n项和为E_n,且E_n=2^n-1,求e_3的值。
A. 4B. 6C. 7D. 8答案:C6. 数列{f_n}的前n项和为F_n,且F_n=n^2,求f_4的值。
A. 12B. 14C. 16D. 18答案:C7. 数列{g_n}满足g_1=1,g_{n+1}=g_n+2,求g_5的值。
A. 9B. 10C. 11D. 12答案:A8. 数列{h_n}的通项公式为h_n=2n-1,求数列的前4项和S_4。
A. 10B. 12C. 14D. 16答案:B9. 数列{i_n}的前n项和为I_n,且I_n=n^2+n,求i_2的值。
B. 4C. 5D. 6答案:C10. 数列{j_n}满足j_1=2,j_{n+1}=j_n+3,求j_4的值。
A. 11B. 12C. 13D. 14答案:B二、填空题(每题4分,共20分)1. 等差数列{k_n}的首项k_1=3,公差d=-1,求k_4的值。
____答案:02. 等比数列{l_n}的首项l_1=4,公比q=1/2,求l_3的值。
____答案:13. 数列{m_n}满足m_1=5,m_{n+1}=2m_n-1,求m_3的值。
____答案:94. 数列{n_n}的通项公式为n_n=3n+2,求n_5的值。
____答案:175. 数列{o_n}的前n项和为O_n,且O_n=3n^2+2n,求o_4的值。
数列试题及答案数列是数学中的一种重要概念,通过研究和分析数列可以揭示出其中的规律和特点。
下面将介绍几道常见的数列试题,并给出详细的解答。
1. 试题一已知数列{an}满足an = 3n - 1,求前10项的和Sn。
解答:首先我们可以算出数列的前10项:a1 = 3(1) - 1 = 2a2 = 3(2) - 1 = 5a3 = 3(3) - 1 = 8...a10 = 3(10) - 1 = 29然后求和:Sn = a1 + a2 + a3 + ... + a10= 2 + 5 + 8 + ... + 29观察可知,每一项等于前一项加上3,因此可以利用等差数列的求和公式求解:Sn = (a1 + a10) * 10 / 2= (2 + 29) * 10 / 2= 31 * 5= 155所以,前10项的和Sn = 155。
2. 试题二给定数列{bn}的前4项为1,3,9,27,请写出该数列的通项公式。
解答:观察可知,每一项等于前一项乘以3,因此可以得出该数列的通项公式为:bn = 3^(n-1)其中,n为项数。
根据该公式可求得后续项。
3. 试题三已知数列{cn}满足c1 = 1,c2 = 2,c3 = 4,且每一项等于前两项之和。
求该数列的第10项。
解答:根据题意,数列的第4项开始每一项等于前两项之和:c4 = c3 + c2 = 4 + 2 = 6c5 = c4 + c3 = 6 + 4 = 10c6 = c5 + c4 = 10 + 6 = 16...通过计算可以得出数列的前10项如下:c1 = 1c2 = 2c3 = 4c4 = 6c5 = 10c6 = 16c7 = 26c8 = 42c9 = 68c10 = 110所以,该数列的第10项为c10 = 110。
4. 试题四已知等差数列{dn}的前4项为2,5,8,11,请写出该数列的通项公式,并求第n项。
解答:观察可知,公差为3,首项为2,因此该等差数列的通项公式为:dn = 2 + 3(n-1)其中,n为项数。
典型数列试题及答案1. 题目:找出数列1, 4, 9, 16, 25, ...的第100项。
答案:数列的第n项是n^2,所以第100项是100^2 = 10000。
2. 题目:数列2, 4, 8, 16, 32, ...的通项公式是什么?答案:这是一个等比数列,首项a1=2,公比q=2。
通项公式为an =2^n。
3. 题目:数列1, 3, 6, 10, 15, ...的第20项是多少?答案:数列的第n项是1+2+...+n,即n(n+1)/2。
所以第20项是20*(20+1)/2 = 210。
4. 题目:数列-1, 2, -3, 4, -5, ...的通项公式是什么?答案:这是一个交替数列,奇数项为负,偶数项为正,通项公式为an = (-1)^n * n。
5. 题目:数列1, 2, 4, 8, 16, ...的第n项与第(n+1)项的比值是多少?答案:数列的第n项是2^(n-1),第(n+1)项是2^n。
所以比值是2^(n-1) / 2^n = 1/2。
6. 题目:数列3, 6, 12, 24, 48, ...的第10项是多少?答案:数列的第n项是3*2^(n-1),所以第10项是3*2^9 = 3*512 = 1536。
7. 题目:数列1, 1, 2, 3, 5, 8, ...的第10项是多少?答案:这是一个斐波那契数列,每一项是前两项的和。
第10项是55。
8. 题目:数列1, 3, 6, 10, 15, ...的通项公式是什么?答案:这是一个三角数列,第n项是1+2+...+n,即n(n+1)/2。
9. 题目:数列2, -4, 8, -16, 32, -64, ...的通项公式是什么?答案:这是一个等比数列,首项a1=2,公比q=-2。
通项公式为an = 2*(-2)^(n-1)。
10. 题目:数列1, 2, 3, 4, 5, ...的第n项与第(n+1)项的差值是多少?答案:数列的第n项是n,第(n+1)项是n+1。
数列的19种经典题型及答案
1.求n项和:Sn=n*(a1+an)/2
2.求公差为d的等差数列前n项和:Sn=n*(2a1+(n-1)*d)/2
3.求公比为q的等比数列的前n项和:Sn=a1*(1-q^n)/(1-q)
4.求公比为q的等比数列的通项公式:an=a1*q^(n-1)
5.求等比数列前n项和与n项均值的关系:Sn=n*a1*q^(n-1)/(1-q).(当q>1时Sn>n*a1/2,当q<1时Sn<n*a1/2)
6.求等差数列前n项和与n项均值的关系:Sn=n*(a1+an)/2(Sn>n*a1/2)
7.求等差数列的通项公式:an=a1+(n-1)*d
8.求等比数列的前n项积:Pn=a1*q^(1+2+...+(n-1))=a1*q^(n(n-1)/2)
9.求等差数列的前n项积:Pn=(a1a2)*[(an-d)-(a1-d)]/d^2
10.求公差为d的等差数列的通项公式:an=a1+(n-1)*d
11.求等差数列的第n项:an=a1+(n-1)*d
12.求n项均值:a1+an/2
13.求前n项均值:3a1+3an/4
14.求连续项和:Sn=n/2*(2a1+(n-1)*d)
15.求联立等比数列之积:Pn=a1*q^n
16.求互差等比数列之积:Pn=a1a2...an=a1q^(2+4+...+(2n-2))
17.求满足条件的等差数列最小项:a1=a+l*d
18.求满足条件的等比数列最小项:a1=a*q^k
19.求满足条件的等比数列最大项:an=a*q^(n-1-k)。
数列练习题及答案数列是数学中的一个重要概念,它由一系列按照一定规律排列的数构成。
下面是一些数列的练习题以及它们的答案。
练习题1:等差数列已知等差数列的首项 \( a_1 = 3 \),公差 \( d = 2 \),求第10项\( a_{10} \)。
答案:等差数列的通项公式为 \( a_n = a_1 + (n - 1)d \)。
将已知条件代入公式,得 \( a_{10} = 3 + (10 - 1) \times 2 = 3 + 18 = 21 \)。
练习题2:等比数列已知等比数列的首项 \( b_1 = 4 \),公比 \( r = 3 \),求前5项的和 \( S_5 \)。
答案:等比数列前 \( n \) 项的和公式为 \( S_n = \frac{b_1(1 -r^n)}{1 - r} \)。
代入已知条件,得 \( S_5 = \frac{4(1 - 3^5)}{1 - 3} = 4 \times (1 - 243) \times (-1/2) = 4 \times 242 \times 0.5 = 484 \)。
练习题3:数列的极限求数列 \( c_n = \frac{1}{n} \) 的极限。
答案:数列 \( c_n = \frac{1}{n} \) 当 \( n \) 趋向于无穷大时,极限为 \( \lim_{n \to \infty} \frac{1}{n} = 0 \)。
练习题4:数列的递推关系已知数列 \( d_n = 2d_{n-1} + 1 \),且 \( d_1 = 1 \),求\( d_3 \)。
答案:根据递推关系,先求 \( d_2 \):\( d_2 = 2d_1 + 1 = 2 \times 1 + 1 = 3 \)。
然后求 \( d_3 \):\( d_3 = 2d_2 + 1 = 2 \times 3 + 1 = 7 \)。
练习题5:数列的和给定数列 \( e_n = 8n - 7 \),求前 \( n \) 项的和。
数列经典题目集锦一一、构造法证明等差、等比 类型一:按已有目标构造1、 数列{a n },{b n },{c n }满足:b n =a n -2a n +1,c n =a n +1+2a n +2-2,n ∈N *.(1) 若数列{a n }是等差数列,求证:数列{b n }是等差数列; (2) 若数列{b n },{c n }都是等差数列,求证:数列{a n }从第二项起为等差数列;(3) 若数列{b n }是等差数列,试判断当b 1+a 3=0时, 数列{a n }是否成等差数列?证明你的结论.类型二: 整体构造2、设各项均为正数的数列{a n }的前n 项和为S n ,已知a 1=1,且(S n +1+λ)a n =(S n +1)a n +1对一切n ∈N *都成立.(1) 若λ=1,求数列{a n }的通项公式; (2) 求λ的值,使数列{a n }是等差数列.二、两次作差法证明等差数列3、设数列{}n a 的前n 项和为{}n S ,已知11,6,1321===a a a ,且*1,)25()85(N n B An S n S n n n ∈+=+--+,(其中A ,B 为常数).(1)求A 与B 的值;(2)求数列{}n a 为通项公式;三、数列的单调性4.已知常数0λ≥,设各项均为正数的数列{}n a 的前n 项和为n S , 满足:11a =,()11131n n n n n na S S a a λ+++=+⋅+(*n ∈N ). (1)若0λ=,求数列{}n a 的通项公式;(2)若112n n a a +<对一切*n ∈N 恒成立,求实数λ的取值范围.5.设数列{}n a 是各项均为正数的等比数列,其前n 项和为n S ,若1564a a =,5348S S -=. (1)求数列{}n a 的通项公式;(2)对于正整数,,k m l (k m l <<),求证:“1m k =+且3l k =+”是“5,,k m l a a a 这三项经适当排序后能构成等差数列”成立的充要条件;(3)设数列{}n b 满足:对任意的正整数n ,都有121321n n n n a b a b a b a b --++++13246n n +=⋅--,且集合*|,nn b M n n N a λ⎧⎫=≥∈⎨⎬⎩⎭中有且仅有3个元素,求λ的取值范围.四、隔项(分段)数列问题6. 已知数列{a n }中,a 1=1,a n +1=⎩⎪⎨⎪⎧13a n +n (n 为奇数),a n -3n (n 为偶数).(1) 是否存在实数λ,使数列{a 2n -λ}是等比数列?若存在,求出λ的值;若不存在,请说明理由;(2) 若S n 是数列{a n }的前n 项的和,求满足S n >0的所有正整数n .7.若{}n b 满足:对于N n *∈,都有2n n b b d +-=(d 为常数),则称数列{}n b 是公差为d 的“隔项等差”数列. (Ⅰ)若17,321==c c ,{}n c 是公差为8的“隔项等差”数列,求{}n c 的前15项之和; (Ⅱ)设数列{}n a 满足:1a a =,对于N n *∈,都有12n n a a n ++=. ①求证:数列{}n a 为“隔项等差”数列,并求其通项公式;②设数列{}n a 的前n 项和为n S ,试研究:是否存在实数a ,使得22122++k k k S S S 、、成等比数列(*N k ∈)?若存在,请求出a 的值;若不存在,请说明理由.五、数阵问题8.已知等差数列{a n }、等比数列{b n }满足a 1+a 2=a 3,b 1b 2=b 3,且a 3,a 2+b 1,a 1+b 2成等差数列,a 1,a 2,b 2成等比数列.(1) 求数列{a n }和数列{b n }的通项公式;(2) 按如下方法从数列{a n }和数列{b n }中取项: 第1次从数列{a n }中取a 1, 第2次从数列{b n }中取b 1,b 2, 第3次从数列{a n }中取a 2,a 3,a 4, 第4次从数列{b n }中取b 3,b 4,b 5,b 6, ……第2n -1次从数列{a n }中继续依次取2n -1个项, 第2n 次从数列{b n }中继续依次取2n 个项, ……由此构造数列{c n }:a 1,b 1,b 2,a 2,a 3,a 4,b 3,b 4,b 5,b 6,a 5,a 6,a 7,a 8,a 9,b 7,b 8,b 9,b 10, b 11,b 12,…,记数列{c n }的前n 项和为S n .求满足S n <22 014的最大正整数n .数列经典题目集锦答案1.证明:(1) 设数列{a n }的公差为d ,∵ b n =a n -2a n +1,∴ b n +1-b n =(a n +1-2a n +2)-(a n -2a n +1)=(a n +1-a n )-2(a n +2-a n +1)=d -2d =-d , ∴ 数列{b n }是公差为-d 的等差数列. (4分) (2) 当n ≥2时,c n -1=a n +2a n +1-2,∵ b n =a n -2a n +1,∴ a n =b n +c n -12+1,∴ a n +1=b n +1+c n2+1,∴ a n +1-a n =b n +1+c n 2-b n +c n -12=b n +1-b n 2+c n -c n -12.∵ 数列{b n },{c n }都是等差数列,∴b n +1-b n 2+c n -c n -12为常数, ∴ 数列{a n }从第二项起为等差数列. (10分)(3) 结论:数列{a n }成等差数列.证明如下: (证法1)设数列{b n }的公差为d ′, ∵ b n =a n -2a n +1,∴ 2n b n =2n a n -2n +1a n +1,∴ 2n -1b n -1=2n -1a n -1-2n a n ,…,2b 1=2a 1-22a 2,∴ 2n b n +2n -1b n -1+…+2b 1=2a 1-2n +1a n +1,设T n =2b 1+22b 2+…+2n -1b n -1+2n b n ,∴ 2T n =22b 1+…+2n b n -1+2n +1b n ,两式相减得:-T n =2b 1+(22+…+2n -1+2n )d ′-2n +1b n ,即T n =-2b 1-4(2n -1-1)d ′+2n +1b n , ∴ -2b 1-4(2n -1-1)d ′+2n +1b n =2a 1-2n +1a n +1,∴ 2n +1a n +1=2a 1+2b 1+4(2n -1-1)d ′-2n +1b n =2a 1+2b 1-4d ′-2n +1(b n -d ′), ∴ a n +1=2a 1+2b 1-4d′2n +1-(b n -d ′). (12分) 令n =2,得a 3=2a 1+2b 1-4d′23-(b 2-d ′)=2a 1+2b 1-4d′23-b 1, ∵ b 1+a 3=0,∴2a 1+2b 1-4d′23=b 1+a 3=0,∴ 2a 1+2b 1-4d ′=0,∴ a n +1=-(b n -d ′),∴ a n +2-a n +1=-(b n +1-d ′)+(b n -d ′)=-d ′,∴ 数列{a n }(n ≥2)是公差为-d ′的等差数列. (14分) ∵ b n =a n -2a n +1,令n =1,a 1-2a 2=-a 3,即a 1-2a 2+a 3=0,∴ 数列{a n }是公差为-d ′的等差数列. (16分)(证法2)∵ b n =a n -2a n +1,b 1+a 3=0,令n =1,a 1-2a 2=-a 3,即a 1-2a 2+a 3=0,(12分) ∴ b n +1=a n +1-2a n +2,b n +2=a n +2-2a n +3,∴ 2b n +1-b n -b n +2=(2a n +1-a n -a n +2)-2(2a n +2-a n +1-a n +3). ∵ 数列{b n }是等差数列,∴ 2b n +1-b n -b n +2=0, ∴ 2a n +1-a n -a n +2=2(2a n +2-a n +1-a n +3).(14分) ∵ a 1-2a 2+a 3=0,∴ 2a n +1-a n -a n +2=0, ∴ 数列{a n }是等差数列.(16分)2.解析:(1) 若λ=1,则(S n +1+1)a n =(S n +1)a n +1,a 1=S 1=1.∵ a n >0,S n >0,∴ S n +1+1S n +1=a n +1a n ,(2分) ∴S 2+1S 1+1·S 3+1S 2+1·…·S n +1+1S n +1=a 2a 1·a 3a 2·…·a n +1a n ,化简,得S n +1+1=2a n +1. ①(4分) ∴ 当n ≥2时,S n +1=2a n . ② ①-②,得a n +1=2a n ,∴a n +1a n=2(n ≥2).(6分) ∵ 当n =1时,a 2=2,∴ n =1时上式也成立,∴ 数列{a n }是首项为1,公比为2的等比数列,a n =2n -1(n ∈N *).(8分) (2) 令n =1,得a 2=λ+1.令n =2,得a 3=(λ+1)2.(10分) 要使数列{a n }是等差数列,必须有2a 2=a 1+a 3,解得λ=0.(11分) 当λ=0时,S n +1a n =(S n +1)a n +1,且a 2=a 1=1. 当n ≥2时,S n +1(S n -S n -1)=(S n +1)(S n +1-S n ),整理,得S 2n +S n =S n +1S n -1+S n +1,S n +1S n -1+1=S n +1S n ,(13分) 从而S 2+1S 1+1·S 3+1S 2+1·…·S n +1S n -1+1=S 3S 2·S 4S 3·…·S n +1S n ,化简,得S n +1=S n +1,∴ a n +1=1.(15分) 综上所述,a n =1(n ∈N *),∴ λ=0时,数列{a n }是等差数列.(16分)3.解析:(1)由11,6,1321===a a a ,得18,7,1321===S S S .把2,1=n 分别代入*1,)25()85(N n B An S n S n n n ∈+=+--+,得⎩⎨⎧-=+-=+48228B A B A , 解得,8,20-=-=B A .(2)由(1)知,82028)(511--=---++n S S S S n n n n n ,即82028511--=--++n S S na n n n ,① 又8)1(2028)1(5122-+-=--++++n S S a n n n n . ②②-①得,20285)1(51212-=---+++++n n n n a a na a n ,即20)25()35(12-=+--++n n a n a n . ③ 又20)75()25(23-=+-+++n n a n a n .④④-③得,0)2)(25(123=+-++++n n n a a a n ,520n +≠,∴02123=+-+++n n n a a a ,又32215a a a a -=-=,所以32120a a a -+=, 因此,数列{}n a 是首项为1,公差为5的等差数列. 故45)1(51-=-+=n n a n .4.解析:(1) 0λ=时,111n n n n naS S a a +++=+∴1n n n na S S a +=∵0n a >,∴0n S > ∴ 1n n a a +=,∵11a =,∴1n a =(2) ∵()11131n n n n n n a S S a a λ+++=+⋅+ 0n a > ,∴1131nn n n nS S a a λ++-=⋅+ 则212131S S a a λ-=⋅+,2323231S S a a λ-=⋅+, ,11131n n n n n S S a a λ----=⋅+()2n ≥ 相加,得()2113331n nnS n a λ--=+++-则()3322n n n S n a n λ⎛⎫-=+⋅≥ ⎪⎝⎭,该式对1n =也成立, ∴()*332n n n S n a n N λ⎛⎫-=+⋅≥ ⎪⎝⎭. ③ ∴()1*13312n n n S n a n N λ++⎛⎫-=++⋅≥ ⎪⎝⎭. ④ ④-③,得1113333122n n n n n a n a n a λλ+++⎛⎫⎛⎫--=++⋅-+⋅ ⎪ ⎪⎝⎭⎝⎭ 即11333322n n n n n a n a λλ++⎛⎫⎛⎫--+⋅=+⋅ ⎪ ⎪⎝⎭⎝⎭∵0λ≥,∴133330,022n n n n λλ+--+>+> . ∵112n n a a +<对一切*n ∈N 恒成立, ∴332nn λ-+1133()22n n λ+-<+对一切*n ∈N 恒成立. 即233nnλ>+对一切*n ∈N 恒成立. 记233n n nb =+,则()()()111423622233333333n n n n n n n n n n b b +++-⋅-+-=-=++++ 当1n =时,10n n b b +-=; 当2n ≥时,10n n b b +->∴ 1213b b ==是{}n b 中的最大项.综上所述,λ的取值范围是13λ>. 5. 解析:(1)数列{}n a 是各项均为正数的等比数列,∴215364a a a ==,38a ∴=,又5348S S -=,2458848a a q q ∴+=+=,2q ∴=,3822n n n a -∴=⋅=; ……4分(2)(ⅰ)必要性:设5,,k m l a a a 这三项经适当排序后能构成等差数列,①若25k m l a a a ⋅=+,则10222k m l ⋅=+,1022m k l k --∴=+,11522m k l k ----∴=+,1121,24m k l k ----⎧=⎪∴⎨=⎪⎩ 13m k l k =+⎧∴⎨=+⎩. ………… 6分②若25m k l a a a =+,则22522m k l ⋅=⋅+,1225m k l k +--∴-=,左边为偶数,等式不成立, ③若25l k m a a a =+,同理也不成立,综合①②③,得1,3m k l k =+=+,所以必要性成立. …………8分 (ⅱ)充分性:设1m k =+,3l k =+,则5,,k m l a a a 这三项为135,,k k k a a a ++,即5,2,8k k k a a a ,调整顺序后易知2,5,8k k k a a a 成等差数列,所以充分性也成立. 综合(ⅰ)(ⅱ),原命题成立. …………10分(3)因为11213213246n n n n n a b a b a b a b n +--++++=⋅--,即123112122223246n n n n n b b b b n +--++++=⋅--,(*)∴当2n ≥时,1231123122223242n n n n n b b b b n ----++++=⋅--,(**)则(**)式两边同乘以2,得2341123122223284n n n n n b b b b n +---++++=⋅--,(***)∴(*)-(***),得242n b n =-,即21(2)n b n n =-≥,又当1n =时,21232102b =⋅-=,即11b =,适合21(2)n b n n =-≥,21n b n ∴=-.………14分 212n n n b n a -∴=,111212352222n n n n nn n b b n n n a a ------∴-=-=, 2n ∴=时,110n n n n b b a a --->,即2121b b a a >;3n ∴≥时,110n n n n b b a a ---<,此时n n b a ⎧⎫⎨⎬⎩⎭单调递减, 又1112b a =,2234b a =,3358b a =,44716b a =, 71162λ∴<≤. ……………16分 6. 解析:(1) 设b n =a 2n -λ,因为b n +1b n =a 2n +2-λa 2n -λ=13a 2n +1+(2n +1)-λa 2n -λ=13(a 2n -6n )+(2n +1)-λa 2n -λ=13a 2n +1-λa 2n -λ.(2分)若数列{a 2n -λ}是等比数列,则必须有13a 2n+1-λa 2n -λ=q (常数),即⎝⎛⎭⎫13-q a 2n +(q -1)λ+1=0,即⎩⎪⎨⎪⎧13-q =0(q -1)λ+1=0⎩⎨⎧q =13,λ=32,(5分) 此时b 1=a 2-32=13a 1+1-32=-16≠0,所以存在实数λ=32,使数列{a 2n -λ}是等比数列.(6分)(注:利用前几项,求出λ的值,并证明不扣分) (2) 由(1)得{b n }是以-16为首项,13为公比的等比数列,故b n =a 2n -32=-16·⎝⎛⎭⎫13n -1=-12·⎝⎛⎭⎫13n ,即a 2n =-12·⎝⎛⎭⎫13n +32.(8分)由a 2n =13a 2n -1+(2n -1),得a 2n -1=3a 2n -3(2n -1)=-12·⎝⎛⎭⎫13n -1-6n +152,(10分)所以a 2n -1+a 2n =-12·⎣⎡⎦⎤⎝⎛⎭⎫13n -1+⎝⎛⎭⎫13n -6n +9=-2·⎝⎛⎭⎫13n -6n +9, S 2n =(a 1+a 2)+(a 3+a 4)+…+(a 2n -1+a 2n )=-2[13+⎝⎛⎭⎫132+…+⎝⎛⎭⎫13n ]-6(1+2+…+n )+9n=-2·13[1-⎝⎛⎭⎫13n ]1-13-6·n (n +1)2+9n =⎝⎛⎭⎫13n -1-3n 2+6n =⎝⎛⎭⎫13n-3(n -1)2+2,(12分)显然当n ∈N *时,{S 2n }单调递减.又当n =1时,S 2=73>0,当n =2时,S 4=-89<0,所以当n ≥2时,S 2n <0;S 2n -1=S 2n -a 2n =32·⎝⎛⎭⎫13n -52-3n 2+6n , 同理,当且仅当n =1时,S 2n -1>0.综上,满足S n >0的所有正整数n 为1和2.(16分) 7.解析:(Ⅰ)易得数列⎩⎨⎧+-=.9414为偶数时,当为奇数时;,当n n n n c n前15项之和53527)6517(28)593(=⨯++⨯+=……………………………4分 (Ⅱ)①n a a n n 21=++ (*∈N n )(1) , )1(221+=+++n a a n n (2)(1)-(2)得22=-+n n a a (*∈N n ).所以,{}n a 为公差为2的“隔项等差”数列. ……………………………6分当n 为偶数时,a n n a a n -=⨯⎪⎭⎫⎝⎛-+-=2122, 当n 为奇数时,()[]11)1(2)1(21-+=----=--=-a n a n n a n a n n ; …8分②当n 为偶数时,()2212212222221222n n n n a n n n a S n =⨯⎪⎭⎫ ⎝⎛-+⋅-+⨯⎪⎭⎫ ⎝⎛-+⋅=;当n 为奇数时,()2212121212221212121⨯⎪⎭⎫⎝⎛---+-⋅-+⨯⎪⎭⎫ ⎝⎛-++++⋅=n n n a n n n a S n 21212-+=a n . ……………………………12分 故当k n 2=时,222k S k =,a k k S k ++=+22212,222)1(2+=+k S k ,由()222212++⋅=k k k S S S ,则2222)1(22)22(+⋅=++k k a k k ,解得0=a .所以存在实数0a =,使得22122++k k k S S S 、、成等比数列(*N k ∈)……………………………16分8. 解析:(1) 设等差数列{a n }的公差为d ,等比数列{b n }的公比为q ,依题意,得⎩⎪⎨⎪⎧a 1+(a 1+d )=a 1+2d ,b 1(b 1q )=b 1q 2,(a 1+2d )+(a 1+b 1q )=2[(a 1+d )+b 1],(a 1+d )2=a 1(b 1q ),解得a 1=d =1,b 1=q =2.故a n =n ,b n =2n .(6分)(2) 将a 1,b 1,b 2记为第1组,a 2,a 3,a 4,b 3,b 4,b 5,b 6记为第2组,a 5,a 6,a 7,a 8,a 9,b 7,b 8,b 9,b 10,b 11,b 12记为第3组,……以此类推,则第n 组中,有2n -1项选取于数列{a n },有2n 项选取于数列{b n },前n 组共有n 2项选取于数列{a n },有n 2+n 项选取于数列{b n },记它们的总和为P n ,并且有()22211222nn n n n P +++=+-.(11分)P 45-22 014=452(452+1)2+22 071-22 014-2>0,P 44-22 014=442(442+1)2-21 981(233-1)-2<0.当S n =452(452+1)2+(2+22+…+22 012)时,S n -22 014=-22 013-2+452(452+1)2<0.(13分)当S n =452(452+1)2+(2+22+…+22 013)时,S n -22 014=-2+452(452+1)2>0.可得到符合S n <22 014的最大的n =452+2 012=4 037.(16分)。