天文学基础作业
- 格式:pdf
- 大小:257.99 KB
- 文档页数:8
灾难是考验,我们要生存——从灾后人民恢复生活生产看人与自然的和谐关系起初,宇宙很小,但是里面还有些土木山石,它们聚集在一起,越来越多,形成了一种热能量,直到最后,宇宙中容纳不下这样的能量,发生了大爆炸。
大爆炸的能量形成了一些基本粒子,这些粒子在能量的作用下,逐渐形成了宇宙中的各种物质、能源、空间及时间。
这就是宇宙的起源假说之一——大爆炸。
从这个理论中可以看出:宇宙是有限的,在有限的宇宙中,大概也只有地球适合我们人类生存。
所以,人类与自然,要保持和谐的关系。
人与自然和谐共处的理念是:肯定人是自然界的相对主体,人类的社会经济必须继续向前发展;同时,要清醒认识自然界的客观规律和自然资源的有限,认识到必须利用现代科学技术和现代生产力的发展,努力做到在与自然和谐共处中,实现自身的可持续发展。
灾难,一个令人胆战心惊的词语。
俗话说:“天灾不可挡。
”所以,很多时候,我们人类,在灾难面前,显得多么渺小和无力呀!但是,灾难再大,只要我们同舟共济,共同面对,还是新的开始,未来的生活一定更美好!2008年5月12日,里氏8.0级大地震让差不多整个中国大地动摇。
在这次空前的灾难中,汶川,瞬间陷入了痛苦和绝望。
当时,孩子们在学校正在读书写字,年轻的妈妈正在带着孩子午睡,有人在家操持劳作,有人已经在工作岗位上奋斗了······突然,天摇地动,天崩地裂,只几秒钟,这片土地被废墟埋葬。
灾难真无情啊,毫无防备的,7万多人丧失生命,几百万人失去家园,第一时间,国人知道同胞遇难了,世界知道中国发生大地震了:我们为遇难者难过,我们陪幸存者洒泪。
温家宝总理立即奔赴救灾前线,和灾民同甘共苦;广大武警消防官兵利用一切可利用的条件进入灾区,争分夺秒救援生命;而我们,只能尽微薄之力,献爱心。
更重要的,我们有一个信念:众志成城,抗震救灾。
倒塌的是房屋,埋葬的是不幸的同胞;崛起的,将是全部中国人的意志!现在,灾难已经远去一个月了。
2022年南开大学《星海求知:天文学》在线作业-00001太阳有利于地球上生命延续的条件不包括()。
A:质量、体积适中B:寿命足够长C:与其他恒星组成双星系统D:氢-氦热核反应稳定而持久正确选择:C太阳系的6重物质界限中,没有太“大块”的天体物质的是哪一重?()A:小行星带B:柯伊伯带C:奥尔特云D:太阳风的最远范围正确选择:C元素的产生,到达()元素时就无法“正常”继续了,必须依靠超新星爆发才能够继续产生。
A:氦B:碳C:硅D:铁正确选择:D上弦月与下弦月出现的时间间隔大致是( )个朔望月。
A:1B:0.5C:1.5D:0.8正确选择:B从赫罗图可以得知,太阳属于哪一类恒星?()A:主序星B:白矮星C:红巨星D:红超巨星正确选择:A关于星系群(团)的推理,不正确的是()。
A:星系群内部的星系成员之间难免发生碰撞,碰撞后,原星系的物质将不复存在B:能完整观测得到的星系团必然相当遥远,因为它的空间尺度太大了C:本星系群与其他星系群的性质应该是大同小异D:室女、后发等星座发现的星系团比较多,是因为这片天区离银河最远,“中奖”的概率最高正确选择:A哪种波段的电磁波用来向宇宙传递地球的信息最为有效?()A:γ射线B:X射线C:红外线D:射电波正确选择:D哈勃关系中,距离D所用到的长度单位是()。
A:auB:lyC:pcD:Mpc正确选择:DM100星系中的SN1979C超新星在1979年爆发,2010年观测到生成了黑洞,而M100的距离是5000万光年。
则这个黑洞是在()年前生成的(今年是2015年)。
A:5B:31C:36D:5000万正确选择:D活动星系核的质量至少应该是太阳质量的多少倍?()A:10B:1000C:1000000D:1000000000.0正确选择:C以下哪个月球参数直接决定了“十五的月亮十六圆”?()A:轨道离心率B:朔望周期C:恒星周期D:自转周期正确选择:A对于新星和超新星的描述,不正确的是()。
天文观测实务测试题一、简答题1. 请简要介绍天文观测的基本原理和方法。
2. 解释什么是星表,并列举几个常用的星表。
3. 天文观测中常用的术语有哪些?请解释它们的含义。
4. 什么是天文遥测?它在天文观测中的作用是什么?二、计算题1. 请计算地球与太阳之间的平均距离,并将结果以科学计数法表示。
2. 如果一颗恒星的视星等为6.2,而另一颗恒星的视星等为8.5,请计算它们之间的亮度比。
三、实验题1. 实验目的:通过观察太阳在不同时间的位置变化来验证地球自转的存在。
实验器材:观测表、直尺、标尺、日晷。
实验步骤:选择一个阳光充足的日子,在观测表上标出时间节点,然后使用直尺和标尺在不同时间测量太阳在天空中的位置相对于水平线的仰角。
实验结果:记录每个时间点的太阳仰角,并绘制成折线图。
观察图表,可以看到太阳的仰角随时间的推移而发生变化,从而验证了地球的自转。
2. 实验目的:通过观测星星的位置变化来验证星等的概念及恒星的亮度。
实验器材:望远镜、星表实验步骤:选择几颗明亮的星星作为观测对象,在不同时间观测它们的位置,并记录下来。
使用星表查找这些星星的视星等,并比较它们的亮度。
实验结果:根据观测数据和星表中的数据,可以验证星等的概念,并得出星星的亮度比较结果。
四、综合题1. 请简述日食和月食的形成原理,并列举它们的主要类型。
2. 美国宇航局(NASA)计划发射一颗新的卫星,用于测量地球和太阳之间的距离。
请你设计一个测量方案,包括测量的原理和方法。
参考答案:一、简答题1. 天文观测的基本原理和方法:天文观测的基本原理是通过观察天体在天空中的位置、亮度、光谱、运动等特征来研究宇宙的结构、演化和物理过程。
常用的观测方法包括肉眼观测、望远镜观测、射电观测等。
2. 星表是天文学中用于记录和查询恒星、星系等天体信息的表格或数据库。
常用的星表有亮星星表、位置星表和星系星表等。
3. 天文观测中的常用术语:- 视星等:用来表示天体在地球上观测时的亮度。
天文学基础知识题库单选题100道及答案解析1. 太阳系中体积最大的行星是()A. 木星B. 土星C. 天王星D. 海王星答案:A解析:木星是太阳系中体积最大的行星。
2. 以下哪个不是恒星的特点()A. 会发光B. 位置相对固定C. 体积和质量巨大D. 围绕行星转动答案:D解析:恒星通常是自身发光发热,位置相对固定,体积和质量巨大,行星围绕恒星转动。
3. 地球的自转周期约为()A. 24 小时B. 30 天C. 365 天D. 12 小时答案:A解析:地球自转一周的时间约为24 小时。
4. 太阳系位于银河系的哪个位置()A. 中心B. 边缘C. 靠近中心D. 不确定答案:B解析:太阳系位于银河系的边缘。
5. 第一个使用望远镜进行天文观测的科学家是()A. 哥白尼B. 伽利略C. 开普勒D. 牛顿答案:B解析:伽利略是第一个使用望远镜进行天文观测的科学家。
6. 以下哪种天体不属于矮行星()A. 冥王星B. 谷神星C. 阋神星D. 月球答案:D解析:月球是地球的天然卫星,不属于矮行星。
7. 太阳黑子出现在太阳的()A. 核心B. 光球层C. 色球层D. 日冕层答案:B解析:太阳黑子出现在太阳的光球层。
8. 以下哪个星座不属于黄道十二星座()A. 猎户座B. 双鱼座C. 巨蟹座D. 天秤座答案:A解析:黄道十二星座包括双鱼座、巨蟹座、天秤座等,猎户座不属于黄道十二星座。
9. 哈雷彗星的回归周期约为()A. 76 年B. 100 年C. 200 年D. 500 年答案:A解析:哈雷彗星的回归周期约为76 年。
10. 恒星的颜色主要取决于其()A. 体积B. 质量C. 温度D. 组成成分答案:C解析:恒星的颜色主要取决于其表面温度。
11. 银河系的直径约为()A. 10 万光年B. 20 万光年C. 30 万光年D. 50 万光年答案:A解析:银河系的直径约为10 万光年。
12. 以下哪种天体现象与引力透镜效应无关()A. 星系的扭曲B. 超新星爆发C. 类星体的多重影像D. 遥远星系的放大答案:B解析:超新星爆发与引力透镜效应无关。
题目:小学科学《天文学》练习题小学科学《天文学》练题1. 地球绕什么运动?- 地球绕太阳运动。
2. 为什么地球有四季?- 地球因为倾斜了,所以在不同位置接受到的太阳光不同,导致有四季的变化。
3. 为什么夜晚能看到月亮?- 夜晚能看到月亮是因为太阳照射在月球上,然后我们从地球上看到了被太阳光照亮的月亮。
4. 为什么地球是蓝色的?- 地球是蓝色的是因为大部分地球的表面被水覆盖,当太阳光照射到水上时,水吸收了其他颜色的光,只有蓝色的光被反射出来,所以看起来地球是蓝色的。
5. 什么是彗星?- 彗星是由冰和尘埃组成的天体,当彗星靠近太阳时,太阳的热量使冰变成气体,产生亮光和尾巴。
6. 为什么要用望远镜观察星星?- 望远镜能够放大星星的图像,使我们能够更清楚地观察到星星的细节,包括星星的形状、颜色和亮度等。
7. 什么是日食?- 日食是地球、月球和太阳的特殊位置关系造成的现象。
当月球在地球和太阳之间时,月球会挡住太阳的光,使地球的一部分看不到太阳,这就是日食。
8. 什么是星座?- 星座是由一组星星组成的图案,在夜空中看起来像是一个个形状各异的图案。
古人将星星连接起来,并给予它们名字,形成了不同的星座。
9. 什么是卫星?- 卫星是绕行行星或其他天体运动的天体。
地球上的天气卫星、通信卫星和导航卫星等都是人造卫星。
10. 什么是黑洞?- 黑洞是一种极为密集的天体,其引力非常强大,连光都不能逃离它的吸引,使其变得看不见,因此被称为黑洞。
以上是关于小学科学《天文学》的练习题,请根据自己的学习情况进行作答。
天文学与天文技术考试试题第一节:选择题
1. 太阳系中距离太阳最近的行星是?
A. 水星
B. 金星
C. 地球
D. 火星
2. 下列哪颗卫星不属于木星的卫星?
A. 木卫一
B. 卡利斯托
C. 木卫三
D. 木卫十
3. 哪个望远镜是人类发现第一颗系外行星的?
A. 哈勃望远镜
B. 开普勒太空望远镜
C. 阿提卡望远镜
D. 高更望远镜
4. 根据哈勃常数计算,宇宙的年龄约为多少亿年?
A. 10
B. 13.8
C. 20
D. 5
第二节:填空题
5. 太阳半径约为 ______ 公里。
6. 巨大的矮行星 ______ 是太阳系中最大的矮行星之一。
7. 最接近地球的天体是 ______ 。
8. 地球每年绕太阳公转的轨道是一个近似的 ______ 形。
第三节:解答题
9. 请解释什么是黑洞,并简要描述黑洞的形成过程。
10. 请描述哈勃定律的基本原理,并说明它对天文学研究的重要性。
结束语
以上是有关天文学与天文技术考试试题,希望你能在答题时认真思考,如有不清楚之处可咨询相关资料。
祝你考试顺利!。
七年级上册科学第3章广袤浩瀚的宇宙第1节人类对宇宙的探索(1)课后任务一、基础性作业1.关于地心说和日心说的下列说法中,正确的是()A.地心说的参考系是地球B.日心说的参考系是地球C.地心说和日心说只是参考系不同,两者具有等同的价值D.日心说是由开普勒提出来的【答案】A【解答】解:地心说认为地球是宇宙的中心,以地球为参考系,A正确。
日心说认为太阳是宇宙的中心,以太阳为参考系,B错误。
与地心说相比,日心说具有更高的价值,C错误。
日心说是由哥白尼提出的,D错误。
故选:A。
2.创立日心说的天文学家是()A.伽利略 B.哈雷 C.哥白尼 D.布鲁诺【答案】C【解答】解:哥白尼提出的“日心说”,有力地打破了长期以来居于宗教统治地位的“地心说”,实现了天文学的根本变革。
故选:C。
3.地心说和日心说的区别在于()A.地心说认为地球绕太阳转,日心说认为太阳绕地球转B.地心说认为太阳绕地球转,日心说认为地球绕太阳转C.地心说因为不符合科学观测的结果所以与教会的观点不合D.日心说一提出来就被广大人民接受,因为它是符合科学的【答案】B【解答】解:地心说认为太阳及其它天体围绕地球运动,日心说认为太阳是银河系的中心,而不是地球,地球绕太阳转,因此A错误,B正确。
由于古代入缺乏足够的宇宙观测数据,以及怀着以人为本的观念,因此他们误认为地球就是宇宙的中心,而其他的星体都是绕着她而运行的。
天主教教会接纳此为世界观的“正统理论”,故C错误。
日心说一提出来就受到人们及教会的抵触,认为他是邪说,故D错误。
故选:B。
4.现代宇宙论最重要的证据是()A.霍金提出的黑洞理论B.所有的星系都在远离我们而去,星系离我们越远,运动的速度越快C.古代上帝创造的D,气球充气后不断膨胀,气球上各个小圆点间的距离不断变大【答案】B【解析】根据宇由的概论,进行分析解答。
现代宇宙论最重要的证据是:所有的星系都在远离我们而去,星系离我们越远,运动的速度越快。
天文学复习题
天文学是一门研究天体及其组成、结构、性质、演化等内容的科学,是自古以来人们一直探索的领域。
天文学涉及的知识广泛而深奥,包
括天体的观测方法、恒星的分类和演化、行星和卫星的运动等等。
为
了帮助读者对天文学进行复习和巩固知识,下面给出一些天文学的复
习题,以供参考。
题目一:太阳系中最大的行星是哪一颗?它的名称和一些基本特征
是什么?
题目二:什么是恒星?恒星的分类标准是什么?请简要介绍主序星
和红巨星。
题目三:什么是星系?请描述银河系的一些基本特征。
题目四:什么是伽利略卫星?它是如何被发现的?请说明它对天文
学的重要意义。
题目五:为什么月亮有不同的形状?请解释月相变化的原因。
题目六:什么是黑洞?黑洞是如何形成的?请简要介绍黑洞的基本
特征和研究方法。
题目七:什么是星际尘埃?它对天文学研究有什么重要作用?
题目八:什么是行星际尘埃带?请描述它的形成机制和可能对行星
的影响。
题目九:行星的运动有哪些基本规律?请描述开普勒定律和行星的逆行现象。
题目十:什么是近地小行星?它对地球有何潜在威胁?请简要介绍近年来的相关研究进展。
以上是天文学的一些复习题,涉及了太阳系、恒星、星系、卫星、行星际尘埃、黑洞等多个领域。
通过复习这些题目,可以巩固和拓展自己对天文学知识的理解,为深入探索宇宙奥秘打下坚实的基础。
希望以上内容能对大家的天文学复习有所帮助。
(字数:427)。
习题1
1.织女星的视向速度等于-14km/s,自行是每年0".348,视差为0".124。
求织女星相对
与太阳的总空间速度。
2.一颗长周期变星的热星等变化一个星等,它的最高温度为4500K,如果它的变化仅仅是
由于温度的变化,问它的最低温度是多少?如果热星等变化一个星等仅仅是由于半径的变化
引起的,而温度保持不变,那它的半径变化是多少?
3.在仙女座星系中一颗恒星绝对星等M=5m(距离为690kpc),这颗星作为超新星爆发亮
度增加了109倍,问它的视星等是多少?
4.除了太阳外,离我们最近的恒星是半人马座的比邻星,它的目视星等为10.7星等,该星
距离我们的周年视差л= 0.76″,求距离摸数和它的绝对星等。
5.有三个天体,已测出它们的周年视差分别为(a)0.001″(b)0.02″(c) 0.4″求这三个天体
的距离各是多少?
6.角宿星的视差是0.013"求它的距离有多远?如果一个观测者站在火星上,观测角宿星,问角宿星的视差是多少?7.一颗星距离太阳有20pc;它的自行运动为0.5"/年问它的切向速度是多少?如果恒星的
光谱线红移0.01% ,计算它相对太阳的视向速度是多少?它的空间运动速度是多少?
8.A和B两星的光度分别是0.5和4.5倍的太阳光度,它们有同样的视亮度,那一个更远?
远多少?
9.设双星五车二轨道半长径等于0.85天文单位,而转动周期为0.285年,求双星的质量和。
10.长蛇座ε双星,具有轨道周期15.3年,视差为0″.020及轨道半长径的角距0″.23,试
确定轨道半长径的大小和两子星的质量和。
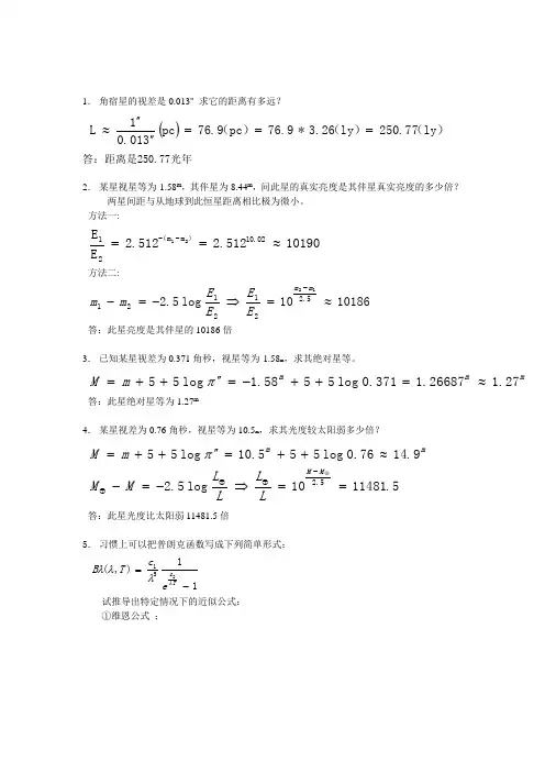
1. 角宿星的视差是0.013" 求它的距离有多远?())ly (77.250)ly (26.3*9.76)pc (9.76pc 301.01L ===''''≈答:距离是250.77光年2. 某星视星等为-1.58m ,其伴星为8.44m ,问此星的真实亮度是其伴星真实亮度的多少倍?两星间距与从地球到此恒星距离相比极为微小。
方法一:10190512.2512.2E E 02.10)m -m (-2121≈==方法二:1018610log 5.25.221212112≈=⇒-=--m m E E E E m m答:此星亮度是其伴星的10186倍3. 已知某星视差为0.371角秒,视星等为-1.58m ,求其绝对星等。
mm m m M 27.126687.1371.0log 5558.1log 55≈=++-=''++=π答:此星绝对星等为1.27m4. 某星视差为0.76角秒,视星等为10.5m ,求其光度较太阳弱多少倍?5.1148110log 5.29.1476.0log 555.10log 555.2==⇒-=-≈++=''++=⊕-⊕⊕⊕M M mm L L L L M M m M π答:此星光度比太阳弱11481.5倍5. 习惯上可以把普朗克函数写成下列简单形式:11),(251-=T c e c T B λλλλ试推导出特定情况下的近似公式:①维恩公式 ;T c T c T c Tc T c T c e c e c e c T B e e ec T λλλλλλλλλλλλ2222225151512111),(11-==-=→->>⇒<<②瑞利-金斯公式 022→⇒>>Tc c T λλ 泰勒展开:T c T c T c T c e T c λλλλλ2322221!31)(!21)(12+≈⋯⋯+++=忽略高阶小量 2412512515111111),(2c T c c T c T c c e c T B T c λλλλλλλλλ==-+=-=证毕6.一对目视双星的两个子星:一个星等为1m ,另一个星等为2m ,问这个双星系统的星等是多少?设1m 星亮度为E ,E E E E m m =⇒==-15.211101E E EE m m 398.0398.01025.222=⇒==-m 总总总21总632.0368.0log 5.2398.1=⇒-=-=-=+=m EE m m E E E E 答:此双星系统星等为0.632m。
天文学基础知识模拟测试
在现代科学领域中,天文学被认为是最古老的一门学科之一。
通过
对天体运动、宇宙结构以及宇宙起源等方面的研究,天文学家们帮助
我们深入了解宇宙的奥秘。
为了进一步加深对天文学基础知识的了解,下面将提供一些天文学模拟测试题,考验你的知识。
让我们开始吧!
第一部分:天体观测技术
1. 请简要解释望远镜是如何工作的。
2. 什么是光谱?我们如何使用光谱来研究天体?
3. 请说明遥远天体的年龄和距离是如何通过红移或蓝移来测量的。
第二部分:行星和恒星
4. 地球的三个邻近行星是哪三颗?
5. 什么是行星内行星带?
6. 请解释恒星的形成过程。
第三部分:宇宙结构
7. 地球与宇宙中心之间是否有特定定位?
8. 请简要解释什么是星系?
9. 什么是黑洞?请解释其形成和性质。
第四部分:宇宙起源
10. 描述宇宙大爆炸理论。
它是如何解释宇宙的起源和发展的?
11. 请解释黑暗物质和黑暗能量对宇宙演化的影响。
12. 什么是宇宙微波背景辐射?这个发现对宇宙起源的理解有何重要意义?
第五部分:天文学的应用
13. 请说明卫星技术在天文学研究中的应用。
14. 为什么天文学对于我们理解地球气候变化具有重要意义?
15. 天文学在宇宙空间探索中的作用是什么?
现在,你可以根据这些问题开始回答并测试自己在天文学基础知识方面的掌握程度了。
祝你好运!。
天文学基础测试题1. 宇宙中最基本的组成单位是什么?在宇宙中,最基本的组成单位是星系。
星系是由恒星、行星、气体、尘埃等天体组成的巨大系统。
2. 什么是银河系?银河系是地球所在的一个星系,它是由数十亿颗恒星和星云等物质组成的系统。
银河系呈扁盘状,中心有一个巨大的星团,被称为银河系的核心。
3. 什么是黑洞?黑洞是由巨大的恒星在死亡后坍缩形成的,它具有极强的引力,吞噬周围的物质并不释放任何光线。
黑洞表面的引力非常强大,甚至连光也无法逃脱。
4. 什么是星系团?星系团是由数十个星系组成的巨大结构,它们通过引力相互吸引并紧密连接在一起。
星系团内的星系通常围绕共同的中心点运动。
5. 请列举几个我们所知道的星系。
我们所知道的星系有许多,其中包括:- 银河系:地球所在的星系。
- 安德洛美达星系(Andromeda):离银河系最近的大型螺旋星系。
- 巨大麦哲伦星系(Large Magellanic Cloud):离银河系较近的不规则星系。
- 仙女座星系(Triangulum):银河系的近邻星系。
6. 什么是恒星?恒星是宇宙中的光源,它们通过核聚变将氢转化为氦并释放出巨大的能量。
恒星的亮度和质量与其内部的核反应有关。
7. 什么是行星?行星是绕着恒星运行的天体,它们不具备自己独立的光源,而是通过反射恒星的光线而发光。
行星分为类地行星和巨大行星两种类型。
8. 什么是彗星?彗星是由冰、尘埃和气体组成的天体,它们绕着恒星运行,并在靠近恒星时释放出美丽的光晕,被称为彗尾。
9. 请简述日食和月食的原理。
日食是指月球在其运行轨道上,正好在太阳和地球之间,遮挡住太阳的光线,使地球上某些地区出现白天变暗的现象。
月食则是指地球的影子遮住了月球,使得月球在地球阴影中的一部分或全部失去明亮的阳光照射。
10. 请简述恒星的演化过程。
恒星的演化过程可以分为以下几个阶段:- 分子云阶段:由于引力作用,一块巨大的分子云开始坍缩。
- 主序星阶段:分子云坍缩成为恒星,核聚变开始,恒星处于稳定的主序星阶段。
小学生天文学问答练习题及解答问题1:什么是天文学?天文学是研究天体和宇宙现象的科学。
它包括观察、测量和解释星体、行星、恒星、星际物质以及宇宙的起源和演化等内容。
问题2:地球是什么形状的?地球是近似于一个椭球体的形状。
从宇宙的角度来看,地球在赤道上略微膨胀,而在两极略微扁平。
问题3:什么是日食?日食是当月球挡住太阳的光线并遮蔽地球一部分或全部太阳的现象。
这种现象只在特定的时间和地点发生。
问题4:什么是星座?星座是天空中被人们分割成不同区域的星群。
它们用来帮助人们辨认和定位星星。
常见的星座有北斗七星、猎户座和仙女座等。
问题5:为什么会有四季的变化?地球的四季变化是由于地球围绕太阳公转的轨道是椭圆形的,而不是完全圆形。
当地球离太阳更近时,就会有夏季。
当地球离太阳较远时,就会有冬季。
春季和秋季则是夏季和冬季之间的过渡季节。
问题6:什么是彗星?彗星是太阳系中的天体,由冰和尘埃组成。
当彗星接近太阳时,太阳的热量使冰融化,释放出尘埃和气体,形成一个亮丽的尾巴。
彗星经常被人们视为吉祥的征兆。
问题7:什么是星系?星系是由恒星、行星、气体、尘埃和其他天体组成的庞大空间系统。
它们以引力相互吸引并绕着共同的中心旋转。
银河系是我们所在的星系。
问题8:为什么夜晚能看到星星?夜晚能看到星星是因为白天时太阳的光线非常亮,会遮挡住其他星星的光。
当太阳下山后,大部分光污染也减少了,我们就能够看到其他星星的闪烁光芒。
问题9:什么是日常太阳?日常太阳是人们在日常生活中所见到的太阳,它是地球上的主要能源来源。
我们从太阳获得光和热,它也是生物生长和地球气候形成的重要因素。
问题10:什么是卫星?卫星是绕行行星或其他天体的天体。
地球有人造卫星和天然卫星。
人造卫星是人们制造并发射到太空中用于通信、导航和科学研究等目的的物体。
月球是地球的天然卫星。
恒星演化天文学(一级学科);恒星和银河系(二级学科)恒星演化就是一颗恒星诞生,成长成熟到衰老死亡的过程,恒星演化是是十分缓慢的过程。
天文学家根据对各种各样的恒星的观测和理论研究,弄清楚了恒星的一生是怎样从孕育到诞生,再从成长到成熟,最后到衰老、死亡的整个过程。
恒星演化论,是天文学中,关于恒星在其生命期内演化的理论。
恒星演化简介恒星由于演化而在质量一密度图上移动,但保持在虚线方框内。
图A3是方框区的放大,表示出恒星在不同演化阶段其中心发生的主要热核反应。
由于引力的控制,恒星演化的总趋势是密度增大(在图中向下移动),而质量丢失、碎裂、不稳定或爆炸等现象使其质量减小(在图中向左移动)。
恒星的演化必定以三种可能的冷态之一为终结:白矮星,中子星,黑洞。
质量小于SM的恒星沿A线移动。
在离开氢转变成氦的主序段后,恒星中心的温度和密度都上升,直至氦能够聚合成碳。
碳保持沉寂,恒星最后变成白矮星。
质量更大的恒星的演化轨迹是B线,它们中心的碳能燃烧成为镁,并最后成为中子星。
轨迹C是最为假设性的,它可能表示着质量在25M以上的恒星,在经过了到生成铁为止的所有热核燃烧阶段后,最终成为黑洞。
恒星演化论,是天文学中,关于恒星在其生命期内演化的理论。
由于单一恒星之演化通常长达数十亿年,人类不可能完整观测,目前的理论仍有部分是推测的假说。
目前天体物理学家主要利用观测大量恒星,判断其在生命期的不同阶段,并以计算机模型模拟恒星的演变。
诞生恒星的演化开始于巨分子云。
一个星系中大多数虚空的密度是每立方厘米大约0.1到1个原子,但是巨分子云的密度是每立方厘米数百万个原子。
一个巨分子云包含数十万到数千万个太阳质量,直径为50到300光年。
恒星演化在巨分子云环绕星系旋转时,一些事件可能造成它的引力坍缩。
巨分子云可能互相冲撞,或者穿越旋臂的稠密部分。
邻近的超新星爆发抛出的高速物质也可能是触发因素之一。
最后,星系碰撞造成的星云压缩和扰动也可能形成大量恒星。
基础天文学题库及答案# 基础天文学题库及答案1. 题目:太阳系中最大的行星是哪一颗?答案:木星。
2. 题目:什么是恒星?答案:恒星是宇宙中通过核聚变反应产生能量的天体,它们能够发出光和热。
3. 题目:地球绕太阳公转一周需要多长时间?答案:地球绕太阳公转一周大约需要365.25天,即一年。
4. 题目:什么是月食?答案:月食是当地球位于太阳和月球之间时,地球的阴影投射到月球上的现象。
5. 题目:银河系的中心是什么?答案:银河系的中心是一个超大质量黑洞,被称为人马座A*。
6. 题目:什么是黑洞?答案:黑洞是一种天体,其引力强大到连光都无法逃脱,通常由恒星坍缩形成。
7. 题目:什么是超新星爆炸?答案:超新星爆炸是一种极为明亮的爆炸现象,通常发生在恒星生命周期的末期,其亮度可以短暂地超过整个星系。
8. 题目:什么是行星的轨道周期?答案:行星的轨道周期是指行星绕恒星公转一周所需的时间。
9. 题目:什么是光年?答案:光年是天文学中用来测量距离的单位,指的是光在一年时间里在真空中行进的距离。
10. 题目:什么是宇宙背景辐射?答案:宇宙背景辐射是宇宙大爆炸后遗留下来的热辐射,是宇宙早期状态的证据。
11. 题目:什么是引力透镜效应?答案:引力透镜效应是指当一个质量巨大的天体(如星系团)位于观测者和另一个更遥远的天体之间时,其强大的引力场可以弯曲光线,从而放大或扭曲远处天体的图像。
12. 题目:什么是太阳黑子?答案:太阳黑子是太阳表面出现的较冷区域,它们在太阳活动周期中出现和消失。
13. 题目:什么是行星的逆行?答案:行星的逆行是指从地球上观察时,行星在天空中相对于恒星背景向后移动的现象。
14. 题目:什么是宇宙的膨胀?答案:宇宙的膨胀是指宇宙自大爆炸以来一直在扩大,星系之间的距离随着时间的推移而增加。
15. 题目:什么是暗物质?答案:暗物质是一种不发光、不吸收光,但通过引力作用可以感知到的物质,它占据了宇宙总质量的大部分。
天文学基础测1.大爆炸宇宙论最早是( )提出的。
*A 哥白尼B 伽利略C 伽莫夫(正确答案)D 霍伊尔2.不是天文学中的长度单位有( )。
[单选题] *A 光年B 光速(正确答案)C 天文单位D 秒差距3. 一个视力正常的人,在晴朗的夜晚到无光害的地方观赏星星,直接用肉眼能看到最暗的星星亮度约为( )。
[单选题] *A 24 星等B 15 星等C 9 星等D 6 星等(正确答案)4. 第一架天文望远镜是伽利略在( )制作的。
[单选题] *A 1608 年B 1609 年(正确答案)C 1610 年D 1611 年5. 第一个登上月球的宇航员是( )。
[单选题] *A 阿姆斯特朗(正确答案)B 加加林C 奥尔德林6. 美国天文学家( )发现远处的星系都在远离我们而去。
[单选题] *A 哈勃(正确答案)B 沙普利C 汤博D 奥伯斯7. ( )证明了奇点是广义相对论的必然推论。
[单选题] *A.爱因斯坦B.史瓦西C.拉普拉斯D.彭罗斯和霍金(正确答案)8. 万有引力的发现者是:( ) [单选题] *A.爱因斯坦B.普朗克C.麦克斯韦D.牛顿(正确答案)9. 一个秒差距的距离相当于多长?( ) [单选题] *A.206265 千米B.206265 米C.3.26 光年(正确答案)D.202Au10. 世纪 60 年代天文学的四个重大发现分别是什么?( ) [单选题] *A. 星际分子,太阳黑子,脉冲星,微波背景辐射B. 星际分子,类星体,脉冲星,微波背景辐射(正确答案)C. 星际分子,类星体,脉冲星,太阳黑子D. 太阳黑子,类星体,脉冲星,微波背景辐射11. 第二宇宙速度是( ) [单选题] *A.7.9km/sB.11.2km/s(正确答案)C.16.7km/sD.11.3km/s12. 属于物质密集的形态的天体是?( ) [单选题] *A.星云B.磁层C.引力场D.恒星(正确答案)13. 恒稳态宇宙学说的代表人物是() [单选题] *A.霍伊尔(正确答案)B.霍金C.伽莫夫D.勒梅特14. 大气窗口是地球大气层对电磁波留下的光学与无线电两处透明窗口,其中光学窗口波长范围是( ) [单选题] *A.1 千米—10 千米B.0.35-33 微米(正确答案)C.1 毫米—100 毫米D.10 米—100 米15. 下面是天体的视星等数值,其中最亮的天体是( ) [单选题] *A.-26.74(正确答案)B.-1.45C.0D. +2.1216. 视星等为 0.1 的恒星,把其距离增加到 10 倍,其视星等为( ) [单选题] *A.+1B.-2.512C.0.5D. +5.1(正确答案)17. 根据哈佛光谱分类法,太阳属于( )星 *A.O 类B.A 类C.G 类(正确答案)D.M 类18. 寿命最长的恒星是( ) [单选题] *A.1M 太阳B.8M 太阳C.0.5M 太阳(正确答案)D.3M 太阳19. 一个质量为 0.8M 太阳的恒星其归宿会成为( )星 [单选题] *A.脉冲星B.白矮星(正确答案)C.黑矮星D.黑洞20.丹麦天文学家赫茨普龙与( )天文学家罗素各自独立地提出了恒星的光谱型与光度之间存在着相关关系,并以图形来表示,称为赫罗图 [单选题] *A.美国(正确答案)B.英国C.德国D.俄罗斯21.主序星的能量来源是什么( ) [单选题] *A.氢原子核聚变为氦原子核的热核反应(正确答案)B.氢气燃烧C.氢气爆炸D.氦原子核裂变22.仙王座δ 星属于( ) [单选题] *A.长周期变星B.天琴座 RR 型变星C.造父变星(正确答案)D.爆发性变星23.猎户座马头星云属于( ) [单选题] *A.发射星云B.反射星云C.暗星云(正确答案)D.行星状星云24.恒星距离测定最原始的方法是( ) [单选题] * A.三角视差法(正确答案)B.分光视差法C.光波法D.以上均不是25.黑洞中心奇点的体积是( ) [单选题] * A.无限大B.任意C.0(正确答案)D.以上均不对26. 为便于观测日、月、五星的运动,中国古代很早就将黄、赤道附近的天区分为( ) [单选题] *A.黄道十二宫B.二十八宿(正确答案)C.360 度D.三垣27. 天文台的大多数光学望远镜属于( ) [单选题] *A.折射望远镜B.反射望远镜(正确答案)C.折反射望远镜D.射电望远镜28. 太阳在星空背景上移动的路径与月球在星空背景上移动的路径分别叫( )。
天文学基础作业——SkyMap使用手册(以SkyMap Pro11Demo为例)一、键位相关按F1键获得帮助。
按F2键放大地图,按F3键缩小地图。
按F4显示更多星体,按F5显示更少星体。
按N、S、W、E键确定星图视野方向。
按1、2、……、9、0数字键确定星图视野范围大小,数字越大,视野越小。
按方向键使星图视野滚动。
使用鼠标滑轮使星图视野上下滚动。
按住鼠标左键拖动使星图视野左右滚动。
按page down和page up键或按住鼠标右键拖动,使星图视野相对地顺时针或逆时针旋转。
按A键打开或关闭“高度/方位角网格”(altitude/azimuth grid)按R键打开或关闭“赤经/赤纬网格”(RA/DEC grid)在星图的上下左右区域双击左键,可以使星图相应地向上下左右移动。
在星图中长按左键,拖动一段距离再松手,会弹出“星图视野”窗口(Map View)。
其中可以设置星图视野中心的位置、时代坐标、地图大小。
二、菜单相关◇文件(File)①新建星图/打开星图/保存星图/星图另存为/退出软件(New/Open/Save/Save as/Close)②保存默认值(Save default):将当前的设定(赤经赤纬、时间、星图尺寸等)记为默认值。
通用(General...):设置SkyMap盘位置、真实星图更新频率、右键菜单栏及其他一些杂项。
状态栏(Status Bar...):勾选要在状态栏显示的信息。
其中有:高度/方位角(Altitude/Azimuth)赤经/赤纬(RA/DEC)视图层级(View level)两点间角距(Separation/PA):显示在星图上最后一次点击的点和倒数第二次点击的点之间的角距天体星等限制(Star mag limit)(mag=magnitude):亮度低于多少星等的天体不在星图上显示深空天体星等限制(Deep sky mag limit)③偏好(Perference):当地时间和日期(Local time and data)协调时(UTC time and data)朱利安日期(Julian time and date)当地恒星时(Local sidereal time)当地标准时间时钟/协调时时钟/莱曼阿尔法太阳望远钟(LMT clock/UTC clock/LST clock)快捷键设置(Keyboard Shortcut)图片(Picture...):设置天体图片的位置、外接等背景图片(Background Images...)视野等级(Level...):1、2、……、9、0数字键对应的角距、天体星等限制、深空天体星等限制…………◇查看(View):③工具栏(Toolbars):设定是否显示各工具组栏和工具箱。
放大星图/缩小星图/缩放星图时是否改变星图设置水平镜像/竖直镜像顺时针旋转/逆时针旋转在地平坐标系(Alt/Az)中滚动/在赤道坐标系(Ra/Dec)中滚动提高极限星等/降低极限星等搜索框(输入对象名称)打印帮助星图刷新的时间间隔(默认1h)真实时间更新开关星图刷新的时间间隔设置时间回退动画/前一时间/停止动画/后一时间/时间前进动画望远镜视场标注文字标注直线和箭头标注显示北方星空恒星显示设定显示东方星空行星显示设定显示南方星空星座显示设定显示西方星空左滚星图彗星显示设定显示全天上滚星图小行星显示设定下滚星图深空天体显示设定设定观测地点右滚星图星表显示设定设定观测时间背景图片设定选定区域放大光线设定其他设定坐标格及尺度设定变换地平坐标栅格变换赤道坐标栅格变换黄道坐标栅格变换银道坐标栅格④色彩(Colours):设定主界面的显示色彩(如果看惯平常用的印刷黑白星图,可以将原来的Normal改为Black on White)。
⑤清空星图(Clean up map):清除你在星图上标注的文字和线段。
◇插入(Insert):作为观测的辅助工具,你可以在星图中插入望远镜的圆形视场范围、相机或CCD拍摄的矩形范围等。
◇搜索(Search):①搜索行星(Planet...):②搜索星座(Constellation...):③搜索恒星(Star):④搜索深空天体星表名(Deep Sky Catalog Number...):⑤搜素深空天体俗称(Deep Sky Popular Name...):⑥搜索彗星(Comet...):⑦搜索小行星(Asteroid...):◇计划(Planning):制定观测计划。
◇工具(Tools):③日/月食(Eclipses)◇望远镜(Telescope):如果你的望远镜有相应的接口和电脑的串口(COM1)相连接,你可以通过该菜单进行设置和连接,并实现用SkyMap控制望远镜。
◇窗口(Windows):◇帮助(Help):三、软件相关当你运行软件遇到问题时,Tips of the Day窗口会展示一些有帮助性的提示。
你可以通过点击”Show Tips on StartUp”将它取消。
要获得关于一个菜单栏选项的详细帮助,可以按工具栏中的“帮助”(Help),然后点击该菜单栏选项。
要查看当前星图中所有可见的深空对象的列表,可以使用搜索/列表/深空对象(Search/List/Deep Sky Object)菜单选项图中的空心圆代表着一个任意的星体,有一条线经过的圆代表一个双星系统。
要查看一个星体的详细信息,可以将鼠标移至星体上右键点击,在弹出的选项单之中点击“关于对象”about<object>。
要在SkyMap数据库中展示任一对象的信息,而不在星图中对它进行定位,可以在恰当的对话框中的“搜索”菜单栏选择对象,然后点击“信息”(Info)。
要给一个对象做批注,可以打开信息对话框(Info Dialog),然后选择”Notes”。
要存入观察记录中发现的星体,可以打开信息对话框(Info Dialog),然后选择”Tools/Log...”。
要查看存储的对一个对象的所有观察记录,可以打开信息对话框(Info Dialog),然后选择”Tools/Query...”。
要将一个对象加入到目标列表,可以打开信息对话框(Info Dialog),然后选择”Tools/Add to Target List...”。
天极是正在缓慢移动的(地轴的进动)。
四千年前金字塔建成,那时北极指向的星不是今天的北极星而是天龙座α。
想要观察到这一现象,可以将时间调至2000BC,然后按N。
要查看太阳、月球以及其他星体的出没时间和路径,可以打开工具(Tools)菜单中的“周日视现象”(Daily phenomena)。
要试出最好的星图视野来观察不同的物体,可以右键点击选择“目镜”(Eyepiece)然后点击“在地图上绘制”(Draw on Map)。
如果你喜欢使用牵星法定位目标,可以右键点击“目镜”(Eyepiece)后使用“在地图上绘制”(Draw on Map)。
要显示一个对象在一段时间内的运动轨迹,可以先绘制一个对象可见的星图,然后右键点击对象,在弹出的菜单栏中选择“对象轨迹”(Track of<object>)。
为了更好地展示对象的轨迹,你可以使用方向键调整你的星图视野。
要将星图视野中心与一个移动中的对象固连,可以右键点击该对象,然后在弹出的选项单中选择“与该对象固连”(Lock onto<object>)。
当日期时间变化时,星图会保持聚焦该对象。
要取消固连到一个对象,可以点击工具栏中的“取消固连”(Unlock)要将自己的空间名加入SkyMap提供的列表,可以使用文本编辑器编辑文件”Location.dat”。
要将自己喜欢的名称加入深空对象的常用名列表,可以打开文本文件”Sacpop.dat”,然后根据指示添加条目。
要将自己喜欢的对象或星群(asterisms)加入SkyMap,可以创建一个文本目录,然后将其作为被引用的外部数据目录。
要通过名称限制显示在特定目录中的对象,可以在深空对象布局对话框中输入名称。
例如,输入”M”以便单独查看Messier对象。
要测量星图上两点的角距,可以点击这两个点,它们的独立状态会显示在状态栏。
要使现在的设置成为以后程序的默认值,可以在“文件”(File)菜单栏中选择“保存默认值”(Save Defaults)。
要从星图中移除一个对象轨迹或目镜圆,可以在“视野”(View)菜单栏中选择“清空地图”(Clean up map)。
要查看真实时间下的星图,可以在工具栏中打开“真实时间模式”(real time)。
要查看当天处于黄昏还是黑暗阶段,可以选择“工具”(Tools)菜单栏中的“日与夜”(Day and night)。
要在度假之前得到观测地对应的星图,可以使用“观测地定位”(Observation Location)。
要进行多种不同的观测,你可以创建不同的使用者账户的窗口。
SkyMap的布局存储是基于每一个用户的。
作为不同的用户登陆SkyMap可以快速改变布局。
要隐藏搜索目标制作器(search target maker),可以使用“查看/隐藏搜索目标”菜单选项(View/Hide Search Target)。
你可以通过SkyMap使用任一图片浏览器。
要设置游览器的名字,在“文件”(File)菜单栏中选择“偏好”(Perferences),然后在对话框中展示“文件”(File)页面。
通过天文望远镜获得的视野(与实物相比)可能是上下颠倒的、左右颠倒的,也可能是上下左右都颠倒的。
无论你的望远镜属于什么系统,要使你观察到的视野和SkyMap中的星图视野匹配,可以使用工具栏中的“水平翻转”(Flip Horizontal)和“竖直翻转”(Flip Vertical)。
当你将SkyMap的发现图表和你的望远镜视野比对时,可能需要镜像翻转或者旋转你的星图。
当你在观测天体时,可以在视野(View)菜单栏中选择颜色-红光(Color-Red)可以使用红光(red)视野模式帮助保护夜晚视野,同时也不要忘记使用一个红光闪光灯。
当你开着红光灯查看一份打印出的彩色星图时,打印成红色的对象将会消失,而打印成绿色的对象将会显得更暗。
四、天文望远镜相关要估计角距,可以认为距离眼睛一个手臂距离之外的拳头的宽度对应10°角,距离眼睛一个手臂距离之外的拇指的宽度对应2°角。
要观测天体的颜色,可以尝试给你的望远镜或双筒望远镜散焦(de-focus)。
要在给定目镜的情况下计算望远镜的放大倍数,可以简单计算为物镜的焦距除以目镜的焦距。
在人的视力较差的夜晚,有时可以通过缩小光圈并安装离轴的光圈罩,来提升大型望远镜的行星图像的成像质量。
如果你在寻星镜(finder scope)中找不到对象,可以检查你的镜头表面是否有水凝结。