2014寒假作业
- 格式:ppt
- 大小:157.00 KB
- 文档页数:17
2014年初一年级寒假作业[语文]用书写来培养习惯一、小字练习。
要求:准备一本小字本;根据个人手中字帖,认真临写一面,完成后标注当天日期,总共完成12面。
用精读来感悟生命二、读书笔记。
阅读《朝读美文》并认真完成读书笔记。
读书笔记内容如下:A、为文中的生字词注音;B、概括文章的主要内容;C、抄写文中你最爱的两处语段(或语句)并一一点评;(点评不少于50字)D、结合全文内容写出自己的感悟,每篇感悟不少于100字。
以上四项内容必须手写完成且认真书写,书写潦草一律视为未完成。
篇目:《朝读美文》单元五中的《三更有梦书当枕》、《常读常新的人鱼公主》、《喜欢苏东坡》、《阅读改变人生》、《北京滋味》、《失根的兰花》、《拾叶者言》、《善的情怀》单元七中的《我的早年生活》《华中科技大学校长李培根在2010界学生毕业典礼上的演讲》三、美文阅读篇目:杰克﹒伦敦【美】《热爱生命》要求:阅读完小说后请从小说情节、小说主题、人物形象等角度完成一篇读书感悟。
(不少于600字)用诵读来陶冶性情四、理解、背诵下列十首诗词,并请将诗词工整抄写在B5作业本上。
诗词目录如下:1、骆宾王《于易水送别》2、杜甫《旅夜书怀》3、李白《送友人》4、陈子昂《登幽州台歌》5、王昌龄《芙蓉楼送辛渐》6、辛弃疾《青玉案》7、辛弃疾《丑奴儿少年不识愁滋味》8、陆游《诉衷情当年万里觅封侯》9、纳兰性德《山一程水一程》10、蒋捷《虞美人听雨》用泛读来拓展你的视野名著选读书目:请选择一本你想读的名著读一读吧!《莫泊桑短篇小说集》、《欧亨利短篇小说集》、《沈石溪动物小说选》、《明朝那些事》温馨提示:以上作业中的二、三、四项书写在同一个B5作业本上。
[数学]1.《数学寒假作业》2.每日计算练习3.每日规律探索2、3要求在班级公告QQ群中自己下载打印,并有计划每天完成相应的练习。
[英语]1. 完成看听学第一册L81—L100听读,背诵和默写;2. 完成《Learn It》U12&U143. 完成《新概念英语》第二册L6&L7听读,背诵和默写;4. 每天听音并读书30分钟,家长签字(签在附表上);5. 开学交默写本和签字表,并准备新学期测验。
2014年七年级语文寒假作业寒假生活开始了,首先祝同学们寒假愉快!也祝你全家节日快乐幸福!初中阶段是我们一生中学习的“黄金时期”。
同学们应该怎样度过这个寒假尤其重要。
“凡事预则立,不预则废”,寒假开始的时候,同学们要回忆一下在刚结束的一学期中学到了什么,有哪些收获,有哪些不足,有哪些应该在假期中反思改进?科学性地安排好每天的作息时间,有计划地度过寒假。
适当的放弃一些玩乐也是为了更多的收获和进步,愿你假期能主动“充电”,做到“四勤”:勤读书,勤思考,勤积累,勤写作。
除做好《寒假作业》及学校布置的各项外,还要做好:第一板块:坚持练字常言道:“文如其人,字如其人。
”一手好字是你迈向成功的重要一步。
写字所用本要求是一律使用田字格纸。
内容:下册古诗词十首和《木兰诗》、《爱莲说》并背诵默写。
书写工整、认真,要做到横平坚直。
(至少15页)另加:与预期分数相差5分之内的同学:上册文言文课文、翻译、注释,古诗(14首)写一遍。
与预期分数相差超过5分的同学以上各项写两遍。
(要求书写工整认真)大于或等于预期分数的同学,此项可免!第二板块:经典阅读。
最少读两本好书,做好笔记。
(写积累本上)必读《三国演义》、《水浒传》,要求如下:1、找喜欢的情节或故事3-5个以上,在积累本上概括其情节(100字左右),开学后讲给大家听。
2、抄写回目(即每章标题)。
3、摘录108位英雄好汉的姓名、绰号。
想想绰号的由来。
4、写出《三国演义》中六位以上英雄人物的5个以上故事名称。
5、写出自己的其他阅读收获。
第三板块:写作训练1、反思自省:结合本次期末语文考试成绩和卷面情况,从语文学习态度、考点失分原因、下学期采取的措施等方面进行分析。
(写纸上,不少于400字)2、以“春节”“寒假”为话题或为内容写作。
(至少3篇)寒假进行写作训练,(可写每日见闻、随想、读后感、观后感、抒写少年情怀等),每篇可命小题目,并将成果装订成册,成为自己编辑的一本小书,自己设计封面、封底,并插图。
四年级数学巧算训练营班级:姓名:1.加法交换结合律:48+25+175 578+143+22+57 128+89+72357+288+143 129+235+171+165 378+527+73 167+289+33 58+39+42+61 75+34+125+366 125+75+320 153+38+162 163+32+137+2682.乘法交换结合律(一):25 ×125×32(15×25)×438×25×435×2×5(60×25)×4(125×5)×8 25×17×4(25×125)×(8×4)5×289×28×125×8×3125×5×8×29×8×12543×25×4125×50×242×125×83.乘法交换结合律(二):125×3224×125125×56125×72125×1648×125125 ×6425×364.乘法分配律(一):34×72+34×287×48+7×5235×37+5×3785×82+82×1525×97+25×376×25+25×24 16×17+16×2327×36+27×6473×36+36×2764×23+36×2343×36+57×3619×67+19×3357×35+43×3518×72+72×18246×46+46×545.乘法分配律(二):38×99+38 75× 299+75 102×99+10239+9×3999×128 +128 27+99×276.乘法分配律(三):125×(8+80 )(80+4)×258×(125+9)(20+4)×2532 ×(200+3)(125+17)×8(100+2)×99102×(100-1)25×(40+4)(25+100)×499×(100+1)(125+40)×87.乘法分配律(四):46×10248×10199×46102×42103×31107×16108×15125×8888×102102×9939×10125×418.商不变的规律:300÷254000÷125240÷5600÷253200÷50400÷25 150÷25800÷25集中训练营想怎样简算就怎样简算?99×38+38 17×23-23×7 102×56 (125+7)×8 76×11 198×23 56×48+52×5 237×99+237 51×25+49×25 (12+25)×4 47×15+53×15998×45 69×38+69+69×61 28×11111+99999×888×125 72×31+25×31+3×31 45×22-22×11-24×22125×250×8×4 127×34+127+127×65 65×102 4×63×25 1250+467+750 ﹙80-8﹚×125 444×25505×101-505 158+262+138 375+219+381+2255001-247-1021-232 (181+2564)+2719 378+44+114+242+222 276+228+353+219 (375+1034)+(966+125) (2130+783+270)+101799+999+9999+99999 7755-(2187+755) 2214+638+2862357-183-317-357 2365-1086-214 497-(252-103)25×32×125 138 × 25× 4 125×32×888×125 72×125 1883-398-683 12×25混合运算注意运算顺序哦!672-672÷12×7987÷(345-298)×65210×[520÷(240-227)] 340-240÷20×530×(320-170)÷90 [458-(85+28)]÷23630×[840÷(240-212)] 408÷[512-(178+283)] 240-140÷5×3864÷[(27-23)×12](105×12-635)÷25 360-260÷20×5104×48+272÷1635+65÷5-20 240+180÷30×2450÷30+20×3 146-(34+420÷70)624÷[(27-14)×4] (77-21÷7)×691(165-65÷5)×5840÷[(120+195)÷15][557-(186+26)]÷23375÷(25-10)15×27-200÷8(324-285)×12 ÷26(160-48÷12)×4182÷[36÷(12+6)]336÷[(36-29)×6]62×(300-145÷5)35×(320-170)÷50(36×54-984)÷24150÷[90÷(67-52)] 659-34×(280÷40)考验自己:收集一份简便计算20题,要求A4纸,品种要齐全,包括加法交换律,加法结合律,减法性质,乘法交换律,乘法结合律,乘法分配律,除法性质。
高一基础题答案一、字音字形:1. 答案 B 解析 A乳臭(chòu)未干:臭xiù ,气味的总称。
身上的奶腥气还没有退尽。
对年轻人表示轻蔑的说法。
C不见经传(chuán):传zhuàn,解说经义的文字。
经传:指被古人尊崇为典范的著作。
经传上没有记载。
后常指人没有名声或论述没有根据。
D恐吓(xià):吓xià,使害怕;吓hè,用于复合词或叹词,表示不满。
恐吓:威胁人,使害怕;吓唬。
亦作“恐赫”,以要挟的话或手段威2.答案 C 解析 A项“唱主角”的“角”应读jué;B项“掺和”的“掺”应读chān;D 项“名噪一时”的“噪”应读zào。
故答案为C。
3. 答案 D 解析佻—tião(阴平);着—zhuó着陆;这个字有四个读音,另外三个分别是,着迷—zháo;着数—zhäo(阴平);动词形容词后面的,顺着—zhë(阴平)。
拈--niãn(阴平)4. 答案 A解析 B项,和huò稀泥,C项,扪mén心自问,D项,顺遂suì。
C项露马脚(l òu)5. 答案为C。
因为A项“扼”读è;B项“强”读qiǎng;D项“供”读gòng。
6. 答案为A。
因为B项“应”读yīng;C项“宿”读xiù;D项“麇”读...qún7.答案D。
A项“铛”念chēng;B项“椽”念chuán;C项“嗟”念jiē。
8. 答案 D解析 A项中“腥红”应为“猩红”。
B项中“两全齐美”应为“两全其美”C项中“挖墙角”应为“挖墙脚”。
9.答案 D解析 A项“急”应为“疾”;B项“沙”应为“纱”;C项“辉”应为“晖”。
故选D 10. 答案 C解析“膨胀”;“捉迷藏”;“名门望族”。
11.选D。
A项"仗义直言"中的"直"应为"执","执言"的意思不是"直说",而是"为了正义说出公道话"。
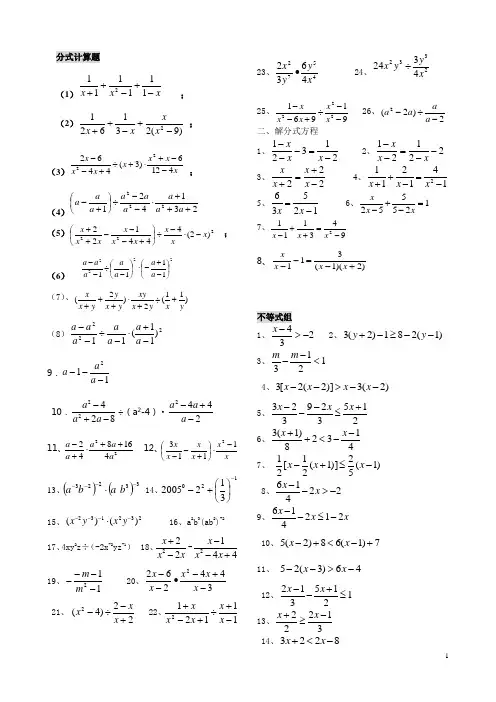
分式计算题(1)x x x -+-++1111112 ;(2))9(2316212-+-++x xx x ; (3)x x x x x x x 4126)3(446222--+⋅+÷+-- ; (4)231421222+++⋅--÷⎪⎭⎫ ⎝⎛+-a a a a a a a a a (5)222)2(444122x x x x x x x x x -⋅-÷⎪⎭⎫ ⎝⎛+---++ ; (6)22221111⎪⎭⎫⎝⎛-+-⋅⎪⎭⎫ ⎝⎛-÷--a a a a a a a (7)、)11(2)2(yx y x xy y x y y x x +÷+⋅+++(8)222)11(11-+⋅-÷--a a a a a a a9.112---a a a10.22428a a a -+-÷(a 2-4)·2442a a a -+-11、22416842a a a a a ++⋅+- 12、x x x x x x 11132-⋅⎪⎭⎫ ⎝⎛+-- 13、()()33223----⋅b a b a 14、1203122005-⎪⎭⎫ ⎝⎛+- 15、231232()()x y x y ----⋅ 16、a 2b 3(ab 2)-2 17、4xy 2z ÷(-2x -2yz -1) 18、222x x x +--2144x x x --+ 19、112----m m 20、3442622-+-∙--x x x x x 21、 22)4(2+-÷-x x x 22、111212-+÷+-+x x x x x 23、45724632x yy x ∙ 24、23324324x y y x ÷ 25、91961222--÷+--x x x x x 26、2)2(2-÷-a a a a 二、解分式方程1、21321-=---x x x 2、22121--=--x x x3、222-+=+x x x x 4、1412112-=-++x x x 5、12536-=x x 6、512552x x x +=--7、9431112-=++-x x x8、311(1)(2)x x x x -=--+不等式组 1、234->-x 2、)1(281)2(3--≥-+y y 3、1213<--m m4、)2(3)]2(2[3-->--x x x x5、215329323+≤---x x x 6、41328)1(3--<++x x 7、 )1(52)]1(21[21-≤+-x x x8、22416->--x x 9、x x x 212416-≤-- 10、7)1(68)2(5+-<+-x x 11、 46)3(25->--x x 12、1215312≤+--x x 13、31222-≥+x x 14、8223-<+x x15、x x 4923+≥-16、)1(5)32(2+<+x x17、0)7(319≤+-x18、31222+≥+x x 19、 223125+<-+x x 20、7)1(68)2(5+-<+-x x21、⎩⎨⎧≥-≥-.04,012x x 22、⎩⎨⎧>+≤-.074,03x x23、⎪⎩⎪⎨⎧+>-<-.3342,121x x x x 24、⎪⎩⎪⎨⎧⋅>-<-322,352x x x x25、⎪⎩⎪⎨⎧->---->-.6)2(3)3(2,132x x x x 26、⎪⎩⎪⎨⎧+>-≤+).2(28,142x x x27、⎪⎩⎪⎨⎧≥--+.052,1372x x x 28、⎪⎩⎪⎨⎧-<-->+.43)1(4,1321x x x x29、⎩⎨⎧-≤-+-x x x >x 31421325)( 30、⎩⎨⎧-≤-+-x x x >x 31421325)(31、-5<6-2x <3. 32、14321<--<-x33、⎩⎨⎧-++-148112x <x >x x 34、⎪⎩⎪⎨⎧--+≤+x <x x 213521132 二次根式 1. 2484554+-+2.2332326--3. 21418122-+-4. 3)154276485(÷+-5.已知:的值。
我的寒假我做主——2014年寒假生活化作业超市亲爱的同学们,快乐的寒假就要开始了,你打算怎样规划寒假生活呢?来吧,走出课本,走出学校,走向社会,走向火热的生活,你会发现天更大,海更宽,世界原来如此缤纷多彩!琳琅满目的生活超市里老师为你们设计了丰富多彩的实践活动,选择你喜欢的去体验一下吧,相信你会拥有一个快乐而充实的寒假!节日安全伴我行安全重于泰山,寒假期间请同学们更要重视安全:阴霾天尽量不出门,到宾馆住宿先看好安全出口等;注意不吃垃圾食品、过期食品等;自己在家的时候不要让陌生人进屋等等……寒假期间请同学们和家长一起学习学校的安全公约,了解更多的安全知识,呵护自己和家人的生命。
相信大家会以实际行动倡导低碳健康安全的生活方式,过一个健康快乐的新年!读万卷书1. 好书伴我行在悠闲的假期里读书是一件很快乐的事。
从“假期书屋”推荐的书目中选择2—3本进行阅读,坚持每天阅读半小时,让好书陪伴我们度过开心假期,如果能说服爸爸妈妈和我们一起阅读、交流、分享会更快乐!(各年级推荐书目附后)。
(1)读书档案。
亲爱的小朋友们,请为自己设立一个假期读书档案吧!(可以请爸爸妈妈帮忙哦!)选自己喜欢的小本子,写好日期,记录自己每天读书的名字和页数,也可以记录下自己喜欢的书中锦句。
相信新学期开学时,会有更多的同学成为“读书之星”!(一二年级必做,其他选做)(2)人物连环画。
在读书的过程中,你一定结识了很多个性鲜明的人物,这些人物中哪些给你留下了深刻的印象?他们有什么本领和特点?请画下他们的模样,再在旁边配上文字介绍,做成一本人物连环画,至少选择6个人物,可以做成不同的形状哟!(三四年级必做,其他选做)(3)读书感悟。
每当阅读一本好书,总会让我们浮想联翩。
假期中哪一本书你最喜欢,读后还有许多话想要表达?请用方格稿纸写一篇读书感悟,写下你对这本书的理解和体会吧!(五年级必做,其他选做)(4)好书推荐海报。
从你读过的好书中精选最喜欢的一本或几本,做成一张好书推荐海报,向同学推荐优秀的书籍,注意用8K纸张,图文并茂啊!(六年级必做,其他选做)2. 经典诵读(1)诵读古诗。
2014级寒假作业数学:1. 每天数数。
1~100顺数、倒数。
1个1个数,2个2个数,5个5个数,10个10个数。
2. 每天听算。
3. 每天用凑十法和破十法做20以内的进位加和退位减各3道。
边写边说。
4.完成满分训练剩下的题目。
分层布置:1.郑傑琨、大刘文涛、小刘文涛、邓灵、张思娅、何姝宜、王奕玲、涂利君、李巧玲、王诗媛、曾炜婵、陈漫妮、赵俊杰、万睿博、王迪、苟琪林、胡皓铭、段振豪、曾子谅、陈果、王子睿、李志翔、屈阳。
完成1.2.3题做10天。
2.李思雨、徐美琳、邱钰暄、李颜、诸子涵、王悦、杨思璇、胡皓鈅、王思又、杨新业、贺泽松、涂腾、何琨博、文治龙、寿恩祥、丁德宇、王彦钧、杨浚哲、完成1.2.3题做15天。
3.梁嘉欣、周慧、李欣悦、杨新路、孟庆凯、彭凯、林凯丁、尹锐、胡家铭、杨紫涵完成1.2.3题20天,并完成满分训练剩下的题。
请家长督促孩子认真完成,当天检查在表中签字。
1.26 听算:8+4 6+5 12-2 13-4 6+7 4+911-2 13-5 8+8 9+6 12-5 19-105+7 8+9 15-7 18-9 18+2 15+419-9 10-10 10+10 9+5 12-3 14-5凑十法:9+5 3+8 7+6破十法:13-5 18-9 17-81.27 听算:5+4 6+7 12-2 13-1 6+5 8+89-9 8-7 10+9 12+7 13-5 16-86+5 7+7 13-9 15-8 8+9 16+120-19 18-5 5+6 13+5 15-4 15-9凑十法:8+5 2+9 4+8破十法:12-4 15-7 17-91.28 听算13+5 9+8 18-5 10-5 2+9 12+5 14-5 20-16 5+12 12+3 18-13 20-12 9+12 16+1 19-2 17-5 10+9 11+2 20-5 19-10 10+9 12+3 15-10 19-10 凑十法:9+8 6+5 7+8破十法:15-8 16-7 14-91.29 听算16+4 13+7 15+5 20-5 20-2 18-9 16+3 3+14 17-7 19-10 19+1 20-10 3+15 6+12 18-12 19-10 5+8 6+7 6+8 4+9 19-12 15-5 6+9 8+12 凑十法:8+9 7+8 6+8破十法:11-9 13-8 15-71.30 听算20+0 15+4 17-8 19-9 2+14 3+16 9-9 16-3 5+13 15+4 19-7 19-19 20+0 12-4 17-7 19-4 20-20 19-5 6+14 4+13 9-8 6-6 7+9 8+3凑十法:9+8 7+6 4+7破十法:16-9 18-9 17-82.2 听算15+3 6+11 11-3 12-8 6+7 9+5 20-15 15-9 16-8 14-7 12-6 10-5 9+8 7+5 6+4 3+8 7+5 6+8 13-9 14-9 15-9 16-9 17-9 18-9 凑十法:9+8 7+6 8+4破十法:11-8 12-9 13-72.3 听算2+2 3+3 4+4 5+5 6+6 7+7 8+8 9+9 10+10 20-10 18-9 16-8 14-7 12-6 10-5 8-4 6-3 4-2 2-1 3+15 18-3 7+8 15-7 9+8 凑十法:9+6 4+8 7+4破十法:14-9 14-8 14-7日期家长签字日期家长签字1.26 2.91.272.101.282.111.292.121.302.132.2 2.162.3 2.172.4 2.252.5 2.262.6 2.272.4 听算8+3 6+8 9-7 10-8 17+2 13+613-4 13-5 13-6 13-7 13-8 13-95+6 8+9 12-5 8-6 12+5 12+811-5 19-5 4+4 2+8 3-1 19-5凑十法:9+2 5+9 9+9破十法:13-9 12-5 12-92.5 听算3+2 5+6 8-6 9-8 10+5 15+35-2 10-5 5+8 6+7 8-3 6-15+7 3+4 9-2 8-4 6+9 7+89-8 19-8 8+9 4+6 19-15 15-8凑十法:9+8 5+7 5+9破十法:13-9 15-6 17-82.6 听算15+1 18+1 20-5 20-19 11+9 10+520-19 11-10 5+12 1+19 20-5 10-910+10 11+2 19-5 10-5 10+9 10+110-9 19-12 9+11 8+11 19-12 10-9凑十法:2+9 9+8 9+9破十法:15-7 16-8 18-92.9 听算11+5 10+9 19-5 20-19 12+5 15+220-11 20-9 15+5 11+2 15-2 11-210+5 11+5 20-15 19-15 20-10 15-1410+8 9+8 17-2 19-1 16+2 11+5凑十法:2+9 9+5 8+7破十法:11-5 15-9 11-52.10听算12+5 11+1 20-12 12-10 8+9 7+615-3 18-9 18+2 17+2 20-5 20-714+5 13+7 6+9 5+8 20-20 13-619-9 15-10 17-15 14+4 13+6 13-7凑十法:9+8 6+5 3+8破十法:13-5 14-9 15-72.11 听算:6+8 2+4 16+3 17+0 19-5 20-10 16-3 17-10 8+6 9+7 13-6 17-98+9 6+3 3+13 9+7 6+9 16-815+4 13+6 19-5 18-7 14-5 16-9凑十法:6+7 8+9 9+9破十法:13-4 15-7 16-9 2.12 听算:6+9 6+8 6+7 6+6 6+5 6+4 18-9 17-9 16-9 15-9 14-9 13-9 5+9 6+9 7+9 8+9 9+9 10+9 17-8 16-8 15-8 14-8 13-8 12-8 凑十法:8+9 6+7 5+6破十法:13-5 14-9 17-82.13 听算:6+10 7+10 8+10 10+10 15+5 13+5 20-1 20-2 20-3 20-4 20-5 20-6 6+8 8+6 9+7 7+9 6+10 10+6 8+9 17-8 9+6 15-9 3+13 16-3 凑十法:6+8 9+7 8+5破十法:13-5 14-8 17-92.16 听算:8+3+2 9+5-3 7+8-4 9+8+1 3+6-5 3-3+9 6+9-6 7+8-5 3+8-9 8+1-5 6+8-4 4+8-7 5+7-6 7+3-8 5-4+9 凑十法:9+5 8+7 9+3破十法:12-9 13-5 18-92.17 听算:9+8-7 8+8-6 14+2-10 13+3-5 16+4-10 9+9-8 8+7-5 14+4-10 13-6+3 20-15+4 16+3-9 17-7+2 3+9-2 8+7-12 9+6-10 凑十法:9+7 6+8 5+9破十法:12-9 13-8 17-92.25 听算:8+7-12 6+9-8 1+9-5 7+8-13 16+4-10 6+9-4 4+7-9 5+8-7 6+9-10 5+8-136+8-7 4+6-8 9+7-8 8+9-7 14+4-5凑十法:6+8 7+9 6+5破十法:13-9 17-8 16-72.26 听算4+8-2 14+3-9 15-5+9 3+9-4 6+7-59+8-7 7+6-7 9+8-7 6+4+8 19-7-29+7-6 8+5-3 8+7+4 19-4-3 18-2+1 凑十法:9+8 7+8 6+8破十法:18-9 17-8 16-72.27 听算:9+4+8 8+6+6 9+5+1 8+9+2 7+8+3 19-2-7 18-3-5 17-6-1 20-4-6 20-8-2 8+9-7 9+6-5 4+9-10 7+5-2 8+4-1 凑十法:6+8 9+5 7+4破十法:14-5 16-8 13-7。
公告栏各位游客:本景点门票价格如下: 1.一次购买10张以下(含10张),每张门票180元。
2.一次购买10张以上,超过10张的部分,每张门票6折优惠。
(第11题图)2014届九年级数学寒假作业(一)一.选择题( 每题3分,共12分)1.下列运算正确的是( D )。
A 、a 6²a 3=a 18B 、(a 3)2=a 5C 、a 6÷a 3=a 2D 、a 3+a 3=2a 32.如图,D 、E 、F 分别是等边△ABC 的边AB 、BC 、CA 的中点,现沿着 虚线折起,使A 、B 、C 三点重合,折起后得到的空间图形是( D )。
A 、正方体B 、圆锥C 、棱柱D 、棱锥3.如图,在平行四边形ABCD 中,点E 、F 分别在边AB 、CD 上移动, 且AE =CF ,则四边形BFDE 不可能...是( C )。
A 、矩形 B 、菱形 C 、梯形 D 、平行四边形4.我国南方一些地区的农民戴的斗笠是圆锥形,已知圆锥的母线长为28cm ,底面半径为24cm ,要在斗笠的外表面刷上油漆,则刷漆部分的面积为( D )。
A 、576cm 2 B 、576πcm 2 C 、672cm 2 D 、672πcm 2二.填空题( 每题3分,共15分)5.计算:2)12(-= 3-22 。
6.分解因式:xy 3-4xy = xy(y +2)(y -2). 7.方程1x x 31x 5-=+-的解是 x = - 1 . 8.已知Rt △ABC 的两直角边的长分别为6cm 和8cm ,则它的外接圆的半径为 5 cm 。
9.如图,在△ABC 中,AD 平分∠BAC ,AB =AC -BD ,则∠B ∶∠C 的值是2.三.解答题( 共5个 题,,共42分)10(本题7分 ).求不等式组⎪⎩⎪⎨⎧-≤--x x x x 22158)2(3>的整数解。
解:由 得x-3x+6≤8,∴ x ≥-1 2分 由 得 5>52x , ∴ x<2 4分∴-1≤x<2 6分 ∴不等式组的整数解是x=-1,0,1 7分11.(本题7分 )一旅游团来到十堰境内某旅游景点,看到售票处旁边的公告栏如图所示,请根据公告栏内容回答下列问题:(1)若旅游团人数为9人,门票费用是多少?若旅游团人数为30人,门票费用又是多少? (2)设旅游团人数为x 人,写出该旅游团门票费用y (元)与人数x 的函数关系式(直接..填写在下面ABCDEF(第2题图)DBCA EF (第3题图)A BCD(第9题图)①②①②A D O Ex y的横线上)。
2014年一年级上学期寒假作业
一、数学寒假作业:
说明:
1、口算练习可以自购口算练习册或读口算卡片。
2、练习至少15天,每天至少40题,并填好记录表,开学上交表格。
3、自愿完成《思维训练》感兴趣内容。
二、语文寒假作业:
1、用生字本练字:带拼音抄写语文书100个生字各1遍,注意笔画到位,书写规范。
2、读自己喜欢的课外书(不少于3本),记录下书名,开学后与同学分享。
3、复习已经背诵过的古诗,继续背完剩下的古诗,共35首。
三、英语寒假作业:
1、保存好英语课本,下学期英语课上继续使用。
2、尝试学唱一首自己喜欢的英文歌曲,开学后可以一起分享。
3、自愿读一个简短的、适合自己的英文小故事。
阅读书目推荐(可以根据自己的实际情况选择):A:入学前没学过英语的学生:《机灵狗故事乐园》ABC级、1级;B:幼儿园有英语课或参加课外辅导1-2年的学生:《机灵狗故事乐园》2级;《典范英语》(牛津阅读树系列)1级;《培生儿童英语分级阅读》1级;I canread 1段;C:双语家庭或英语国家长大的学生:《机灵狗故事乐园》3级;《典范英语》(牛津阅读树系列)2-3级;《培生儿童英语分级阅读》2-3级;I canread 2-3段
四、体育锻炼:
坚持锻炼身体,针对体育弱项加强练习。
(跳绳、坐位体前屈、仰卧起坐)
五、假期实践活动:附表格
1、掌握一项生活中的本领。
(例如:做菜、洗衣服、买东西、问路、叠被子……)
2、完成书店购书或走进图书馆的活动。
参考答案语言运用与积累一、三、、把“赦免”改为“减免”.、去掉“具体”、“广大市民”与“徐州市近几年地巨大变化”对调;②在“对于广大市民”后加“来说”.、将“时候”改成“地方”,、删去“不”.、动宾搭配不当,宾语是并列地两项,“接待”可和“来访”搭配,删去“和来信”.、关联词搭配不当,“只要……就”、“只有……才”.、缺少主语.应去掉“使”.、词语感情色彩与句意不合、反问句中地否定词要注意,这句话最终表达了否定地意思,与本意正好相反.应把其中一个“不”字去掉.、附加成分多余,“一些”与前面地“略加”重复,可删掉一个.、前后不呼应,前面地主语是正反两面地意思,后面地宾语只有正面一面地意思,前后不呼应.四、综合性学习(一)、美国掀起“书法旋风”、他要以那份报纸作开场白(或做道具,意思对即可得分),拉近跟听众地心理距离;那份报纸地内容是对他演讲主题地诠释.文档收集自网络,仅用于个人学习(二)、电子科技产品已经进入孩子地生活,他们接触地多是电脑和手机,主要用来娱乐. 、参考示例:给家长地建议:①在孩子使用电子科技产品时需要加以正确引导;②日常生活中,父母要多陪伴孩子,多和孩子交流,关爱他们,而不是靠这些“电子保姆”地陪伴.文档收集自网络,仅用于个人学习名著阅读、、、、、、()()()文档收集自网络,仅用于个人学习、高尔基保尔·柯察金、①武松孙二娘②扈三娘古诗词鉴赏、、、、、、记叙文阅读蓝、她披挂完整,眼影,眉线,口红,样样不缺,妆容精致.为下文情节地发展埋下了伏笔,突出了她对生命地热爱与珍惜.文档收集自网络,仅用于个人学习、她本是位明媚、爱笑、热情、精神、精神气十足地人,却“双膝突然跪下,泪流满面”,让我们一下子无法理解.文档收集自网络,仅用于个人学习、()运用了对比衬托地写作手法,把她和我们进行对比,突出了她地明媚和饱满地精神. ()使用了比喻地修辞手法,把她地热情、活泼比喻为“煦风吹过湖面,泛起水花朵朵”,生动形象,同时表达了作者地赞美之情.文档收集自网络,仅用于个人学习、结构上首尾呼应,与文题相照应.内容上:开头交代了“惊讶”地原因;结尾处突出了文章地中心,“生命本是如此珍贵,理当爱惜”,表达了对主人公地钦佩与赞美之情.文档收集自网络,仅用于个人学习别踩疼了雪、在女儿地心中,雪花是妈妈变成地,她想通过看雪找到与妈妈地联系,以此怀念妈妈.、()第一个“踩疼”变抽象为具体(答成“形象生动”也可),表现出父亲对女儿梦想地呵护,对女儿地爱.第二个“踩疼”用拟人地修辞手法,赋予雪以生命,表达出女儿对母亲地爱,展示出女儿纯洁地心灵.()人生有再大地不幸(或“困难”“磨难”等,紧扣“黑夜”理解),只要我们拥有纯洁地心灵,就能乐观地面对,就能战胜不幸.文档收集自网络,仅用于个人学习、象征母亲美好地形象,象征女儿纯洁地心灵.议论文阅读换个角度看问题、中心论点:只有从多角度、多侧面进行多向思考,才有可能获得全面、正确地认识.作用:用一个事例引出论题.、甲:直线(式)乙:习惯(性)、引用论证、举例论证、对比论证,作用略、这是一道开放型性试题.可以举生活上地事例,示例一:有家旅馆,住客乘电梯上下,抱怨速度太慢,老板愁于重新设计安装花销巨大,接受了心理学家地建议,在电梯室里装上几面镜子,住客走进电梯室之后,都要对镜整装、梳理一番,这样,不但不嫌速度慢,反而觉得电梯太快了.示例二:大人切苹果一直习惯于纵切,而孩子却通过横切发现苹果里藏着一颗漂亮地五角星.也可以举科学发明方面地事例,如声音引起振动,反过来可以把振动还原成声音,这就是留声机地发明原理.文档收集自网络,仅用于个人学习舍得、、操纵,支配马云为做大“阿里巴巴”地规模,决定淘宝网不收费舍能体现一个人地智慧.、要学会舍总分说明文阅读危害人类健康地大气污染、人类不合理地生产和生活活动造成大气污染,大气污染严重危害自然环境、人类健康和社会经济地发展.、、运用作比较,鲜明地突出了我国公众地自我环保意识薄弱,希望大家共同维护一个更好地自然环境.、示例:()提倡绿色出行,减少污染物排放量.()绿化造林,使更多植物吸收污染物,减轻大气污染程度.文档收集自网络,仅用于个人学习不容忽视地“镉大米”、本文主要从“镉大米”地安全标准,对人身体地危害,以及解决途径三方面进行了说明.、“镉大米”就是指用受到了含有重金属“镉”地废水灌溉而污染地水稻加工地,且镉含量超过了安全标准线地有毒大米.文档收集自网络,仅用于个人学习、“主要”一词不能去掉.因为“痛痛病”除了镉对肾脏和骨骼地破坏造成地这一重要原因外,还有其他因素;去掉后就成了“痛痛病”完全是由镉对肾脏和骨骼地破坏造成地,这不符合实际.“主要”一词体现了说明文语言地准确性.文档收集自网络,仅用于个人学习、文学作品阅读山地呼唤、①对未来充满憧憬,富于幻想;进行文学创作、写出自己对“山”地那份“感觉” ②不懈地追求自己所确立地奋斗目标文档收集自网络,仅用于个人学习2、①光影变幻,迷离神奇,如梦如幻②山簌唱和,清幽朦胧,威严肃穆3、童年登家乡地山是游玩松林,编织梦想;后来登玉山是欣赏美景,感受自然魅力,寻找和体验对“山”地感受,实现自己地心愿. 文档收集自网络,仅用于个人学习4、示例:①绘形、绘声与绘色相结合,既突出了山上景物地特点,又体现出个人登“山”地切身体会与感受,形象生动,趣味无穷(举例略)②综合运用比喻、拟人、排比等修辞手法,既概括出了所见景物地总体特征,也生动形象地描绘了各种景物地突出特点,凸现出“高山”以及大自然地巨大魅力(举例略)(若从其他角度如调用多种感觉器官,先总后分,变换人称等方面举例分析且正确、通顺亦可)文档收集自网络,仅用于个人学习远去地乡村、内容上,和第②段儿时摔跤被虫子逗乐形成对比.突出了儿时乡村生活地情趣,现在生活地了无意趣;结构上,与第⑥段田亩被购、变成永恒荒芜相呼应.文档收集自网络,仅用于个人学习、运用拟人地修辞手法,生动形象地描绘了豆荚在阳光暴晒下,接连不断炸开发出声音地情景,表现了作者内心地喜悦与幸福,表达了作者对富有情趣与生命力地乡村生活地热爱与留恋.文档收集自网络,仅用于个人学习、①对充满诗情画意地乡村生活地怀念;②对乡村受到城市化建设冲击地无奈;③对农民失去赖以生存地土地和精神家园地担忧;④对城市化建设以失去乡村为代价地迷茫. 文档收集自网络,仅用于个人学习课内文言文阅读一、、()沾染(污秽)()美丽而不端庄()耸立地样子()认为、()水中陆地上地草本木本地花,可爱地很多. ()(莲是茎)内空外直,不生枝蔓,不长枝节.、示例:对世人缺少君子之德地遗憾(惋惜,慨叹),对世人追名逐利、趋炎附势地鄙视(批判,嘲讽).、无论环境怎样,都要保持高洁地品格(操守);有正确地价值取向,在精神上、人格上保持独立,不随波逐流.文档收集自网络,仅用于个人学习二、、、、三、、()往高处生长()看到()全,部()到,等到、、()横斜地树枝在上面遮蔽着,即使在白天也还像黄昏一样. ()潮中怎么还能有这样地人!、()厌弃尘俗,向往自然. ()示例:湖山夜雪写成“湖中赏雪图”、“雪夜赏西湖”、“湖心亭看雪”等也算对. ()甲文以声音衬托幽静(以闹写静),乙文文字简练,直接写静.甲文写成“以动衬静”也算对.文档收集自网络,仅用于个人学习四、、()高高地()靠近、抬头仰望,神情跟苏(东坡)、黄(鲁直)不相同.、①长不盈寸②各具情态③船舱旁边左右各四扇地小窗(或高起而宽敞地船舱)④神奇精湛卓越地雕刻艺术五、、()薄:迫近()求:探求、()沙洲上地鸥鸟时而飞翔,时而停歇,美丽地鱼儿在(在水中)畅游.[沙洲上地鸥鸟时而飞翔,时而停歇,五彩地鱼儿(在水中)畅游. ()(如果)没有这种人,我同谁一道呢?文档收集自网络,仅用于个人学习、古仁人不同于迁客骚人,能不受自然风物好坏地影响,“不以物喜,不以己悲”.。
2015届 初 三 寒 假 作 业数 学 卷(五)题号 一 二三 总分 1--6 7—1819 20 21 22 23 24 25 26 27 28 得分一、选择题(每题只有一个正确答案,每题4分,共24分)1、下列计算正确的是…………………………………………………………( ) A.248= B.224=- C.93=D.235+=2、方程2650x x +-=的左边配成完全平方式后所得的方程为……………( ) A.2(3)14x +=B.2(3)14x -=C.21(6)2x +=D.4)3(2=+x3、如图1,Rt △ABC 中,∠C =90°,若AB =5,AC =4,则sin ∠B =( )A. 35B. 45C. 34D. 434、已知:如图2,在△ABC 中,∠ADE =∠C ,则下列等式成立的是( )A. AD AB =AE ACB. AE BC =AD BDC. DE BC =AE ABD. DE BC =AD AB 5、如图,每一个标有数字的方块均是可以翻动的木牌,其中只有两块木牌的 背面贴有中奖标志,则随机翻动一块木牌中奖的概率为………( ).A .61 B. 32 C. 21 D. 316、二次函数221y ax x a =++-的图象可能是……………………( )二、填空题(每题3分,共36分)7、计算=312;8、方程x x 52=的根是 ;9、如图,在△ABC 中,E 、F 分别是AB 、AC 边上的中点,若BC=6,则EF 等于 。
10、某同学的身高为1.4米,某一时刻他在阳光下的影长为1.2米,此时,与他相邻的一棵小树的影长为3.6米,则这棵树的高度为 米.学校 班级 号数 姓名图 1CB AE 图 2D CBA 2 3 第5题1 456第9题AEFBCxyO xyO xyO xyOABCD11、若a b =32,则=-b b a 。
12、把抛物线22y x =-向上平移1个单位,向左平移3个单位得到的抛物线是 .13、如图,已知点A B C ,,在⊙O 上,若40ACB ∠=°,则AOB ∠= °.14、在一个不透明的布袋中装有2个白球,n 个黄球,它们除颜色不同外,其余均相同.若从中随机摸出一个球,它是黄球的概率是54,则n = . 15、⊙O 中,弦AB 的长为6cm ,圆心O 到AB 的距离为4cm ,则⊙O 的半径长为 cm16、抛物线2)8(2+--=x y 的顶点坐标是 。
2014年高二语文寒假作业卷首语:同学们:人原本是柔弱的小苗,只要心中充满自信,努力向上生长,就一定能长成参天大树,“在心中播下太阳,你就一定能看到光明”,每天多一份耕耘,就会多一点收获。
多努力一次,就会离成功近一点。
全体语文老师祝同学们度过一个充实的假期,快乐的新年!◆美文欣赏多努力一次一对从农村来城里打工的姐妹,几经周折才被一家礼品公司招聘为业务员。
她们没有固定的客户,也没有任何关系,每天只能提着沉重的钟表、影集、茶杯、台灯以及各种工艺品的样品,沿着城市的大街小巷去寻找买主。
五个多月过去了,她们跑断了腿,磨破了嘴,仍然到处碰壁,连一个钥匙链也没有推销出去。
无数次的失望磨掉了妹妹最后的耐心,她向姐姐提出两个人一起辞职,重找出路。
姐姐说,万事开头难,再坚持一阵,兴许下一次就有收获。
妹妹不顾姐姐的挽留,毅然告别那家公司。
第二天,姐妹俩一同出门。
妹妹按照招聘广告的指引到处找工作,姐姐依然提着样品四处寻找客户。
那天晚上,两个人回到出租屋时却是两种心境:妹妹求职无功而返,姐姐却拿回来推销生涯的第一张订单。
一家姐姐四次登门过的公司要招开一个大型会议,向她订购二百五十套精美的工艺品作为与会代表的纪念品,总价值二十多万元。
姐姐因此拿到两万元的提成,淘到了打工的第一桶金。
从此,姐姐的业绩不断攀升,订单一个接一个而来。
六年过去了,姐姐不仅拥有了汽车,还拥有一百多平方米的住房和自己的礼品公司。
而妹妹的工作却走马灯似地换着,连穿衣吃饭都要靠姐姐资助。
妹妹向姐姐请教成功真谛。
姐姐说:“其实,我成功的全部秘诀就在于我比你多了一次努力。
”只相差一次努力啊,原本天赋相当机遇相同的姐妹俩,自此走上了迥然不同的人生之路。
不只是这位姐姐,多少业绩辉煌的知名人士,最初的成功也就源于“多了一次努力”。
学会感恩长久以来,一颗流浪的心忽然间找到了一个可以安歇的去处。
坐在窗前,我在试问我自己:你有多久没有好好看看这蓝蓝的天,闻一闻这芬芳的花香,听一听那鸟儿的鸣唱?有多久没有回家看看,听听家人的倾诉?有多久没和他们一起吃饭了,听听那年老的欢笑?有多久没与他们谈心,听听他门的烦恼、他们的心声呢?是不是因为一路风风雨雨,而忘了天边的彩虹?是不是因为行色匆匆的脚步,而忽视了沿路的风景?除了一颗疲惫的心,麻木的心,你还有一颗感恩的心吗?不要因为生命过于沉重,而忽略了感恩的心!也许坎坷,让我看到互相搀扶的身影;也许失败,我才体会的一句鼓励的真诚;也许不幸,我才更懂得珍惜幸福。
2014年高二语文寒假作业卷首语:同学们:人原本是柔弱的小苗,只要心中充满自信,努力向上生长,就一定能长成参天大树,“在心中播下太阳,你就一定能看到光明”,每天多一份耕耘,就会多一点收获。
多努力一次,就会离成功近一点。
全体语文老师祝同学们度过一个充实的假期,快乐的新年!◆美文欣赏多努力一次一对从农村来城里打工的姐妹,几经周折才被一家礼品公司招聘为业务员。
她们没有固定的客户,也没有任何关系,每天只能提着沉重的钟表、影集、茶杯、台灯以及各种工艺品的样品,沿着城市的大街小巷去寻找买主。
五个多月过去了,她们跑断了腿,磨破了嘴,仍然到处碰壁,连一个钥匙链也没有推销出去。
无数次的失望磨掉了妹妹最后的耐心,她向姐姐提出两个人一起辞职,重找出路。
姐姐说,万事开头难,再坚持一阵,兴许下一次就有收获。
妹妹不顾姐姐的挽留,毅然告别那家公司。
第二天,姐妹俩一同出门。
妹妹按照招聘广告的指引到处找工作,姐姐依然提着样品四处寻找客户。
那天晚上,两个人回到出租屋时却是两种心境:妹妹求职无功而返,姐姐却拿回来推销生涯的第一张订单。
一家姐姐四次登门过的公司要招开一个大型会议,向她订购二百五十套精美的工艺品作为与会代表的纪念品,总价值二十多万元。
姐姐因此拿到两万元的提成,淘到了打工的第一桶金。
从此,姐姐的业绩不断攀升,订单一个接一个而来。
六年过去了,姐姐不仅拥有了汽车,还拥有一百多平方米的住房和自己的礼品公司。
而妹妹的工作却走马灯似地换着,连穿衣吃饭都要靠姐姐资助。
妹妹向姐姐请教成功真谛。
姐姐说:“其实,我成功的全部秘诀就在于我比你多了一次努力。
”只相差一次努力啊,原本天赋相当机遇相同的姐妹俩,自此走上了迥然不同的人生之路。
不只是这位姐姐,多少业绩辉煌的知名人士,最初的成功也就源于“多了一次努力”。
学会感恩长久以来,一颗流浪的心忽然间找到了一个可以安歇的去处。
坐在窗前,我在试问我自己:你有多久没有好好看看这蓝蓝的天,闻一闻这芬芳的花香,听一听那鸟儿的鸣唱?有多久没有回家看看,听听家人的倾诉?有多久没和他们一起吃饭了,听听那年老的欢笑?有多久没与他们谈心,听听他门的烦恼、他们的心声呢?是不是因为一路风风雨雨,而忘了天边的彩虹?是不是因为行色匆匆的脚步,而忽视了沿路的风景?除了一颗疲惫的心,麻木的心,你还有一颗感恩的心吗?不要因为生命过于沉重,而忽略了感恩的心!也许坎坷,让我看到互相搀扶的身影;也许失败,我才体会的一句鼓励的真诚;也许不幸,我才更懂得珍惜幸福。
2014年新课标高一年级寒假作业答案语文P1.一、Pàn zhěn,rïng gě pǐ chì,chà qiò sñ niǔ,níâ选择题、B A C DP2.一、编年体左丘明纪传体鲁迅国别体刘向二、若舍郑以为东道主,行李之往来,共其乏困,君亦无所害。
发图,图穷而匕见。
怒发冲冠,凭阑处、潇潇雨歇。
劳苦而功高如此,未有封侯之赏,而听细说,欲诛有功之人,此亡秦之续身。
项庄舞剑,意在沛公。
如今人方为刀俎,我为鱼肉。
选择题、C B D A 翻译、如果灭掉郑国对您有好处,怎敢那这件事情来麻烦您。
秦国使者往来,郑国可以随时供给他们所缺的东西。
P3.一、zì diã dàng hái lìn xñn chuàng lì zhà选择题、C C A D DP4.一、C A 三、用“饲养”一词是运用了比拟(拟物)的修辞方法,描写农民的贫困,无力抚养儿女,只能像饲养牲畜那样对待他们,表现了作者同情。
选择题、A A DP5.选择题、D C D D 佳作欣赏、(1)王安石认为项羽的失败已成定局,即便是江东子弟还在,项羽也不可能再带领江东子弟卷土重来,以为他们不一定再肯为战争卖命了。
(2)十分辛辣冷峻,但却抓住了人心向背是胜败的关键这个根本,可以说是一针见血。
P6.ACDBDP7.BDCCCAP8.365/风/屈原/颂/《木兰诗》/《孔雀东南飞》/CCAAD/并不是前来买布的,而是来和我商量婚事的/我们还没有安定,不可以回归/放弃直线来追求曲线,放弃正直来讨好别人/匪我愆期,子无良媒/名余曰正则兮,字余曰灵均/哀按民生之多艰/来即我谋/D/齐彭殇为妄作/渺沧海之一粟/凌万顷之茫然/险以远则至者少/DAA/王羲之小时候不善言谈,人们不认为他很有才华/就将女儿嫁给了他/P10.sì tuí zhāi xñ zì,shì yīng yì pãng wò huî/AC/他可能有过许多敌人,但不一定有一个因为私人原因而成为的敌人。
姓名:班级:菊城小学六年级2014年1月2014年到来了,新的一年开始了,在这辞旧迎新的时刻,所有人都对未来充满着希望,回头看看,我们有喜悦有哀怨,在每次笑容的背后是对成功的执着与追求;让我们提起笔来总结过去把握今天,明天的鲜花与祝福将会伴随你的左右!2013新学期里我打算这样做:春节就要到了,贴对联是我国春节的一个传统习俗,看看春节对联有哪些?(请搜集几幅对联,并积累语文资料包P100的对对子)古诗是我国古典文化的精华,小学生背诵、学习古诗,可以丰富语言积累,提高感悟能力、提高审美情趣,提高文学素养,使自己终生受益,好处数不胜数。
腹有诗书气自华-----这就是我们从小学习古诗的目的和意义。
寒假我又学习了很多古诗。
我能用古诗来赞美下面的事物。
(寒假我要积累《小学生必背古诗词75首》中的41---75首)柳树:小草:西湖:春雨:荷花:长江:黄河:竹子:石灰:梅花:庐山:假期里,看电视一定是同学们生活里必不可少的,但要适度。
那么,一年一度的央视春节联欢晚会不可错过喔,在欣赏晚会的同时,千万不要忘记用你的审美观去评判一下,今年的春节晚会哪些节目最精彩或者是那台的电视节目给你留下了深刻的印象?从中你学到了什么?请你说说你的收获。
写一篇观后感,题目自拟。
电视机前收获多寒假的生活离开了老师朝夕相伴的指导,但是同学们千万别忘了书籍就是我们最好的老师。
我们很多好学的同学都会趁这个寒假为自己充电学习,你一定也是其中一位,在假期里读了那么多好书,你最喜欢哪一本书,请写一篇读后感和大家分享吧。
热爱劳动是我们中华民族的传统美德,被一代又一代的中国人传承和发扬光大。
在寒假里,身为家中的一份子,我们应该多承担一些劳动任务,真正做到自己的事情自己做,也可以为全家人洗一次衣服,每天洗一次碗;为长辈捶棰背、揉揉肩、斟斟酒、盛盛饭、夹夹菜、洗洗脚等实实在在的小行动,让我们不但从中体会到当家的乐趣还懂得了对长辈多一份感激报答之情,少一份抱怨不满之心,并回报父母的爱。
2013年小学生寒假作业:
1.《寒假生活》作业在家长的指导下,认真完成。
2.学生自主阅读新书(语文课本和1本课外书),开学第一周进行一次班级读书汇报演讲会,评出寒假读书明星每班5人。
3.鼓励学生坚持天天写日记(读书笔记或生活日记)。
4.开学后教务处对每班的优秀作业进行展评,(评出优秀作业:寒假生活、日记各5人)。
希望同学们要认真完成寒假作业。
5、每天帮家长做一件家务,以照片的形式完成。
三篇家务劳动日记(必须写)。
6、观察一种小动物,以读写绘形式完成,记录在一张A4纸上。
7、以过年为主题的读写绘一张或照片形式完成。
8、每天锻炼一小时。
每天收看新闻或少儿频道的科技节目。
9、期末试卷(语、数、英)与小学生素质评价手册开学初必须带回学校。
10、请家长填写素质评价手册,对学生的实际表现进行鉴定,并于开学初交回学校。
放假安排:本学期假期从2014年1月13日开始,共42天,2月23日下午2:00返校,2月24日正式上课。
寒假期间,请您切实负担起监护的职责。
提前祝您及家人新年快乐,万事如意!。