人教版高中英语必修二巩固练习
- 格式:docx
- 大小:21.09 KB
- 文档页数:5
Unit 4 Section ⅡⅠ .把以下句子变成被动语态导学号 57144231 1. They are painting our classroom.→Our classroom __is being painted__by them.2. Many people are always asking him silly questions.→He __is always being asked__silly questions by many people.3. The old man is looking after the little dog.→The little dog __is being looked after__by the old man.4. Mary is writing a letter to her brother.→A letter __is being written__by Mary to her brother.5. They are interviewing him now.→He __is being interviewed__ now.6. They are planting trees on both sides of the road.→Trees __are being planted__on both sides of the road.7. Scientists are studying the disease.→The disease __is being studied__ by scientists.8. Our headmaster is interviewing him now.→He __is being interviewed__ by our headmaster now.Ⅱ .用单词的正确形式填空导学号 57144232 1. The milu deer __is being studied__(study) at the research center at present. 2. Look! The roads __are being widened__ (widen) now.3. Is the accident now __being looked__(look) into?4. Since your car __is being repaired__ (repair) , you may use mine.5. The new plan __is being discussed__(discuss) now.6. Look! The ship __is being unloaded__(unload) .7. The plan that he made a few days ago __is being carried__ (carry) out now. 8. This boy __is being treated__(treat) for a heart condition now.9. Their own car __is being mended__ (mend) , and this one is hired.10.—Why don't we choose that road to save time?— The bridge to it __is being repaired__(repair) .。
Unit 2The Olympic Games Ⅰ.单项填空1.With so much water being used in the bathroom,it is no________ that more environmentally friendly technologies have come out to make better use of water resources.A.surprise B.needC.question D.doubt2.The girls ________ into the company recently have to receive strict training before they start to work.A.accepted B.acceptingC.admitted D.admitting3.—Excuse me, can you tell me where the nearest bank is, please?—________ Oh yes! It’s past the office,next to a big market.A.Mm,let me think. B.Oh,I beg your pardon?C.You’re welcome. D.What do you mean?4.—My old tyre exploded,can you________ it with a new one?—Certainly,wait a minute.A.take the place of B.replaceC.take place D.in place of5.In order to find ________ better job,he decided to study ________ second foreign language.A.the;a B.a;aC.the;the D.a;the6.He felt that he didn’t________ to be given such a great honor.A.suppose B.deserveC.mean D.intend7.Tom as well as his friends who________football games________traveled with the team.A.likes;has B.like;haveC.likes;have D.like;has8.These dictionaries ________ the library again (by you).A.must be taken out B.mustn’t be taken out ofC.must take out of D.mustn’t take out of9.He didn’t ________ school the day before yesterday.A.attend B.joinC.join in D.take part in10.________ a chair in the corner of the room?A.Does there stand B.Stand thereC.There standing D.Do stand there11.I shall________ the loss of my laptop computer in the newspaper,with a reward for the finder.A.inform B.advertiseC.announce D.publish12.—Excuse me,sir.Would you do me a favor?—Of course.What is it?—I________ if you could tell me how to fill out this form.A.had wondered B.was wonderingC.would wonder D.did wonder13.Only when your identity has been checked________.A.you are allowed in B.you will be allowed inC.will you allow in D.will you be allowed in14.He hasn’t been to the countryside;________ he want to go there.A.so has B.so doesC.neither has D.neither does15.The wise little girl can ride a horse and swim,and she can shoot________.A.as well as B.as wellC.either D.alsoⅡ.阅读理解AIt might seem hard to imagine that a bad tooth could bedeadly.But doctors in the Washington area say a twelve-year-oldboy died last month of a tooth infection that spread to hisbrain.They say it might have been prevented if the boy had receivedthe dental care he needed.Experts at the National Institutes of Health say good dentalcare should start at birth.They say breast milk is the best food for the healthy development of teeth.Breast milk can help slow bacterial growth and acid production in the mouth.When baby’s teeth begin to appear,you can clean them with a wet toothbrush.Dentists say it is important to find soft toothbrushes made especially for babies,and use them very gently.The use of fluoride (氟化物) to protect teeth is common in many parts of the world.Thisnatural element is often added to drinking water supplies.The fluoride mixes with enamel(釉质),the hard surface on teeth,to help prevent holes,or cavities from forming.But the American Academy of Pediatric Dentistry points out that young children often swallow toothpaste when they brush their teeth.The group notes that swallowing fluoridated toothpaste can cause problems.So young children should be carefully supervised when they brush their teeth.And only a small amount of fluoridated toothpaste,the size of a green pea,should be used.Parents often wonder what effects sucking a thumb or sucking on a pacifier might have on their baby’s teeth.Dental experts generally agree that this is fine early in life.The American Academy of Family Physicians says most kids stop sucking their thumbs by the age of four.If it continues,the group advises parents to talk to their child’s dentist or doctor.It could influence the correct development of permanent teeth.16.The boy with a bad tooth died because________.A.his tooth disease was very deadlyB.the doctor refused to treat him properlyC.he didn’t receive timely treatmentD.something was wrong with his brain17.All the following statements are good to teeth except that ________.A.children live on breast milk every dayB.children begin to brush their teeth when they are old enoughC.children use fluoride toothpaste to brush their teethD.children form the habit of sucking their thumbs18.The underlined word “supervised” in the fifth paragraph means “________”.A.watched and directed B.taught and helpedC.praised and advised D.led and pointed out19.Which one of the followings is NOT true according to this passage?A.Dental care should be given to babies as soon as they are born.B.Special toothbrushes should be used for babies.C.Breast milk and fluoride are helpful to protect baby teeth.D.Dental experts suggest stopping babies sucking their thumbs.20.The best title of this passage is ________.A.The reason of a twelve-year-old boy’s deathB.Baby teeth should be cared for from birthC.Breast milk and fluoride are importantD.How to help young children form good habitsBRoberto Clemente was one of the most honored baseball players inhistory.Many players are known for their skills or the records theybroke.But Roberto was loved not only for his ability in sports,but alsofor the kind of person that he was.Roberto was born in 1934 in Carolina,Puerto Rico,whose family struggled financially.As a young boy,he helped his father,who worked on a sugar farm and also managed a store that sold food.In school,Roberto was an excellent runner.But more than anything,he loved playing baseball.Puerto Rico’s warm island climate made it easy for the young boy to play baseball all year.But he was good at throwing balls to a great distance.While in high school,Roberto played baseball for the Santurce Crabbers in the Puerto Rico’s Winter League.At 18,Roberto was already hitting a baseball better than many professional players in the United States.This ability was recognized the following year.An official from the Brooklyn Dodgers team in New York City came to Puerto Rico looking for new young players.The official,Al Campanis,was pleased with Roberto’s skills.He offered to give him a 10,000 dollar gift to play for the Brooklyn Dodgers.But Roberto was unable to join the major league team because he was still in high school.The young baseball player told Mr.Campanis that he would join the Brooklyn team as soon as he finished school.So Roberto joined the Brooklyn Dodgers after finishing high school.But Roberto began playing for the Pittsburgh Pirates in 1955.Roberto stood out among the other players in his team.The Pittsburgh Pirates did not do well the first few years when Roberto played in the team.But in 1960,everything changed.That year,he played in the first of his 12 All-Star games.Every year,the best players from the National and American leagues compete in an All-Star game.That same year,Roberto helped his team beat the New York Yankees to win the World Series—the national baseball championship.Roberto died on December 31,1972,in a plane crash while attempting to deliver aid to earthquake victims in Nicaragua.21.Roberto Clemente was highly honored because________.A.of his intelligenceB.he had no competitorsC.he was kind and generousD.of his personality and skills22.What do we know about Roberto according to the text?A.Roberto was not helpful.B.His family lived a happy life.C.His father worked very hard.D.Roberto had no interest in sports.23.Why did Mr.Campanis offer Roberto a 10,000 dollar gift?A.He was impressed by Roberto’s ability.B.He wanted to make friends with Roberto.C.Roberto played better than professional players.D.He invited Roberto to quit school and play for his team.24.Thanks to Roberto,the Pittsburgh Pirates________.A.defeated other 12 All-Star teamsB.was better widely known worldwideC.won the national baseball championshipD.beat the New York Yankees for the first time25.What would be the best title for the text?A.Roberto ClementeB.A Famous Black Baseball PlayerC.He Played 12 All-Star GamesD.The Pittsburgh Pirates’ Memory1.A2.C3.A4.B5.B6.B7.D8.B9.A 10.A 11.B 12.B 13.D 14.D 15.B 16.C 17.B 18.A 19.D 20.B 21.D 22.C 23.A 24.C 25.A。
B2U4 History and Traditions 单元词汇巩固练习1、根据首字母或中文写出下列单词1. He stayed in the village for three months, and moved to a __________________(附近的) city.2. He is an excellent lawyer with the determination to make _______________________(成就).3. It’s an organization that offers free ____________(合法的) advice头people on low incomes.4. The Education Department focuses on the entire education system, instead of i________________ schools.5. He took a very scientific __________________(方法) to management, which is of great use.6. Many couples have decided to have a second baby after the a_______________ of the two-child policy.7. It is g_____________ of him to contribute a lot of money to the rural schools.8. He is going to be in a very difficult p_____________ if things get worse.9. People have been following the _______________(习俗) of spring outings since ancient times.10. After the dinner, I looked at the bill and found it was 200 yuan in all, including a bottle of w___________.2、单句语法填空1. English, as well as Chinese and maths, _____________(be) of great importance.2. Dunn believes that people _____________ reach out to strangers feels a significantly greater sense of____________(belong), a bond with others.3. The museum _________________(locate) in a park which _________________(surround) with a number of______________(impress) buildings.4. ________ average, happy people have stronger immune systems, and there is evidence ________ they live longer.5. The hotel wanted to charge $150 ________ the room service, but we couldn’t afford ____________(live) in such _______ expensive hotel.6. All approaches you thought of to ______________(solve) the problem are very reasonable.7. Kate was in a hurry ____________(grow) up, eager __________ knowledge and experience.8. This _______________(fascinate) island, __________(join) to the mainland by a bridge, is a popular historic site.9. With the exam ________________(approach), I believe you should spend more time ______________(review).10. Not _____________(return) home for a long time, she is eager ________________(see) her parents.三、写出下面短语并用其适当形式填空break away (from)______________belong to________________as well as_______________ in defence of __________________surround...with..__________keep one’s eyes open______ be located in __________________take charge of____________the amount of____________ be crowded with________________ refer to _________________result in_________________1. When Abraham Lincoln was elected President, the southern states ________________ and founded a new nation.2. She speaks Chinese well, __________________ knowing some Russian.3. We shouldn’t forget the soldiers who died _____________________ our country.4. Professor Williams keeps telling his students that the future ________________ the creative.5. About two hours later, we arrived at a pleasant park __________________________ trees and flowers.6. The son ___________________ the company after his father’s death.7. It is not surprising that the shopping mall _________________________ people during significant festivals.8. ________________the middle of the Indian Ocean, Maldives has fascinating beaches.9. I’m familiar with the person ________________ at the meeting.10. _____________________ money she has spent on clothes comes up to 1 million.11. If you ___________________________, you’ll be surprised to find that you can see both its past and its present.12. It is his carelessness that _________________ the terrible accident.四、补全或翻译下面句子1. 众所周知,失败往往由懒惰导致,而勤奋(diligence)能导致成功。
Unit 3ComputersⅠ.单项填空1.I saw a woman running toward me in the dark.Before I could recognize who she was,she had run back in the direction ________ she had come.A.of which B.by whichC.in which D.from which2.Many scientists have believed that there may be a________ of life on the Mar.A.signal B.signC.mark D.sigh3.I knew ________ John Lennon,but not ________ famous one.A./;a B.a;theC./;the D.the;a4.She________her eyes from her book.A.rose B.arousedC.raised D.B and C5.—Would you like some more soup?—________.It is delicious, but I’ve had enough.A.Yes,please B.No,thank youC.Nothing more D.I’d like some6.________ the questions put forward,he felt very happy.A.Solved B.Having solvedC.Solving D.To solve7.Millions of pounds’ worth of damage ________ by a storm which swept across the north of England last night.A.has been caused B.had been causedC.will be caused D.will have been caused8.—How about going downtown this morning?—Well...,it’s a bit too cold outside.And ________,I’ve got to do some housework.A.some way B.anywayC.somehow D.somewhat9.Don’t believe him.He________ a story.A.makes up B.is making upC.makes up of D.is making out10.________the car accident,Jackson couldn’t work any longer.A.As a result B.As a result ofC.As the result D.As result of11.He studys very hard.I’m sure he is ________ the way to becoming a college student.A.on B.inC.at D.by12.—How do you________ a disagreement between the company and its customers?—The key to solving the problem is to meet the demand made by the customers.A.make do with B.do withC.handle with D.deal with13.________ about the economic crisis that he decided to look for more information about it.A.So curious he was B.So curious was heC.Such curious he was D.Such curious was he14.I couldn’t do my homework with all that noise________.A.going on B.goes onC.went on D.to go on15.The new story is written in________ easy English________ even beginners can understand it.A.such;that B.so;thatC.such;as D.too;thatⅡ.阅读理解Rachel Carson was born on May 27,1907 in Pennsylvania.Hermother bequeathed her a deep love of nature and the living world thatRachel expressed first as a writer and later as a student of marinebiology.Carson graduated from Pennsylvania College for Women in1929 and studied at the Woods Hole Marine Biological Laboratory.Shereceived her master’s degree in zoology from Johns HopkinsUniversity in 1932.She worked for the U.S.Bureau of Fisheries,writing radio scripts during the Depression(经济大萧条) to increase her income writing feature articles on natural history for the Baltimore Sun.She began a 15-year career in the federal service as a scientist and editor in 1936 and rose to become Editor-in-Chief of all publications for the U.S.Fish and Wildlife Service.She wrote books on conservation(保护) and natural resources and edited scientific articles,but in her free time turned her government research into prose(散文),first as an articleUndersea(1937),and then in a book,Under the Sea-Wind(1941).In 1952 she published her prize-winning study of the ocean,The Sea Around Us,which was followed by The Edge of the Sea in 1955.These books made up a biography(传记) of the ocean and made Carson famous as a naturalist and science writer for the public.Carson resigned in 1952 to devote herself to her writing.She wrote several other articles designed to teach people about the wonder and beauty of nature,including Help Your Child to Wonder(1956)and Our E v er-Changing Shore(1957),and planned another book on ecology.In Carson’s writing,she expressed her view that human beings were only part of nature.Disturbed by the overuse of chemical pesticides(杀虫剂) after World War Ⅱ,Carson changed her focus in order to warn the public about the long term effects of misusing pesticides.In Silent Spring(1962) she challenged the practices of agricultural scientists and the government,and called for a change in the way humankind viewed the natural world.Carson was attacked by the chemical industry,but she still called for new policies to protect human health and the environment.Rachel Carson died in 1964 after a long battle against breast cancer.16.The underlined word “bequeathed” in Paragraph 1 probably means “________”.A.passed on B.gave lessonsC.brought up D.set an example17.What do we know about Rachel Carson during the Depression?A.She was working as a full-time editor.B.She wrote for radio stations.C.She devoted most of her energy to writing.D.She was in charge of the U.S.Bureau of Fisheries.18.By publishing her prose and books,Rachel Carson________.A.accumulated considerable wealthB.arouse people’s social awarenessC.rose to fame as a naturalist and writerD.showed concern about endangered species19.Why did Rachel Carson change the theme of her writing?A.World War Ⅱ caused a lot of suffering.B.Modern technologies improved nature.C.The environment was greatly damaged.D.Too many chemical pesticides were used.20.The text is mainly about________.A.how to protect marine animalsB.the life story of Rachel CarsonC.environmental protection in the U.S.D.the side effects of chemical pesticidesⅢ.任务型读写A smart card is a card that is carried with either a microprocessor and a memory chip or only a memory chip that is not programmable.The microprocessor card can add, delete, and deal with the information on the card, while a memory-chip card can only do one thing.Smart cards, unlike magnetic stripe cards, can do many different things and hold a lot of information.In this way, they do not need to get information from a faraway place when they are used.Today, there are several kinds of smart cards, all of which are very popular in the market: IC (Integrated Circuit) Microprocessor Cards (Chip Cards) offer a larger memory and better security than the traditional magnetic stripe cards do.Chip cards can also hold data. These cards are used for many things.Thus, chips have been the main platform for cards that hold a secure digital identity.Some examples of these cards are:Cards that hold money.Cards that provide safe access to a network.Cards that allow setting stop boxes on televisions to remain safe from privacy.Optical Memory Cards look like cards with a piece of CD on the top.Optical Memory Cards can store up to 4MB of data. But once written, the data can not be changed or removed. Thus, this type of card is good for keeping records, such as medical files, driving records or travel histories.Today, these have no processors in them(although this is coming in the near future).While the cards are almost as cheap as chip cards, the card readers are expensive.Title:21.________ CardsTypes 22.__________ Disadvantages SimilaritiesIC Chip Cards A larger memory & better23. ________ & hold dataNot mentionedPopularity;Large30.________;Low cost of cardsOptical 24._______ Cards 25.________,drivers and26.________ to keep records,but 27.________ not much28.____________ data;No processors;Expensivecard 29.________1.D2.B3.B4.C5.B6.B7.A8.B9.B 10.B 11.A 12.D 13.B 14.A 15.A 16.A 17.B 18.C 19.D 20.B21.Smart 22.Advantages 23.security 24.Memory 25.doctors 26.travelers 27.cost 28.Unchangeable 29.readers30.memory。
必修第二册unit1--语法基础巩固+能力提升专项训练Ⅰ.单句语法填空1.It shows that you have no __________ (curious) or interest in the organization.2.The __________ (declare) of Independence was made in America in 1776.3.One of the traditional __________ (complain) about English food is the way that vegetables are cooked.4.She put some __________ (decorate) on the Christmas tree.5.Really, I hardly know how to express my __________ (grateful).6.The sun was shining __________ (glory), so Karen and the old lady went along the footpath through the corn, where it was rather dusty.7.All action is based on __________ (judge).8.He __________ (basis) the book on his own life.9.“The criteria have to __________ (observe),”she said. “We can't just change the treaties”.10.It provides information on personalities, __________ (history) events and other content you'd expect to find in an encyclopedia.答案:1.curiosity 2.Declaration plaints 4.decorations 5.gratitude 6.gloriously7.judgment8.based9.be observed 10.historicalⅡ. 完成句子1. 找到一些小组活动,你可以与那些和你有同样兴趣的人在一起。
高中英语学习材料madeofjingetiejiUnit4基础巩固练习一、词汇练习:词形变化1).__________(vi.)回答,响应,做出反应______________ (n)2).__________(adj.)远的,远处的。
___________(n.)3).__________ (n.)痛苦减轻或解除。
____________(vt.)使减轻或解除。
4)._________(vt.)包含,容纳,容忍。
______________(n.)容器5).___________(vt.)影响,感动,侵袭_______ (n.)喜爱,感情___________(n)影响6).___________(vt.)接替,继任,成功__________(n.)___________ adj.__________7)._____________(vt.)雇佣,利用时间精力。
________n.雇员,雇工____________ n.雇主。
___________ n.雇用使用。
8)._______________(n./ vt.)损害,危害。
__________ adj.9).________________n.胃__________________(n. pl)二、重点句式.1.This is ___________ wildlife protection is all about . 这就是野生动物的保护。
2.Please take me to a distant land __________ ----请带我一个---遥远的地方去。
3.But _____________ an experience ! 但是这是一次多么有趣的经历。
4.When scientists ___________ the bones , they were surprised to find that --- 当科学家们检查那些骨头时,他们惊奇地发现---三、课文完形:根据课文内容完成下面语法填空,注意单词拼写和词语用法:Daisy desired to help 1 (endanger) species of wildlife because a large number of animals are dying 2 . One day, a flying carpet took her to a 3 (遥远) land, 4 she could find antelopes 5 gave fur to make sweaters. Then she met an elephant in Zimbabwe and was told that elephants used to be hunted without 6 . But now people know the 7 (重要) of wildlife 8 (protect).四、单词拼写:1. Most people are afraid of w_______ animals.2. The p_________ of the old buildings is poor.3. It is hard for the graduates to a_______ for ideal jobs.4. China is becoming a p________ country in international affairs.5. The story of Hong Zhanhui a _________ millions of Chinese.6. Why are pandas in d_________ of disappearing?7. He is wearing sunglasses to p________ his eyes from the strong sunlight.8. They tried their best to bring the new law into e_______.9. Why are they in danger of d___________?10. One home in China is in Wolong Nature R________, Sichuan Province.11. Another problem is the l_______ of bamboo.12. The number of South China tiger has risen from very few to about 60 after being left in p_________ with no hunting.13. What do you s________ we (should) do to protect wildlife?14. We are killed for the wool that is taken from under our s___________.15. More a__________ should be paid to improving the living condition of farmers.16. I have not heard from her r__________.17. It was as f_________ as tiger.18. Sea water c__________ salt.19. He is the l_________ boy in the family.20. Poverty and ignorance are e___________ of progress.五、选词填空短语填入每个句子的空白处(注意所填短语的形式变化):die out as a result (of) in peace in danger protect…from pay attentionto come into being1 The new country _________ only two years ago.2 He fell far behind other students ________ laziness.3 The government is doing its best to _____ those rare animals _______ being hunted.4 I had warned him of the possible danger, but he didn’t _______ it.5 Elephants would _________ if men are allowed to shoot as many as they wished.6 Children’s lives are _________ every time they cross the road.7 The two communities live together _________.六、句型巩固1.你的相册里有多少张照片,包括上星期拍的。
高中英语学习材料madeofjingetieji巩固练习单项选择从A、B、C、D四个选项中选出可以填入空白处的最佳选项。
1.(2007年湖北)Water can absorb and give off a lot of heat without big changes in temperature,thus creating a ________ environment.A.peaceful B.sensitive C.common D.stable2.There is little time left,so I’ll tell you about it ________.A.in detail B.in brief C.in general D.in all3.A lot of new questions ________ at the meeting.A.was come up B.came up with C.came up D.put forward4.(2008年天津)My brother is really ________.He often works in his office far into the night.A.open-minded B.hard-working C.self-confident D.warm-hearted 5.John is very ________ —If he promises to do something,he’ll do it.A.independent B.confident C.reliable D.flexible6.Stop doing such silly thing.Otherwise,you will regret it ________.A.late B.toward C.afterward D.toward7.The traffic lights ________ green and I pulled away.A.came B.grew C.got D.went8.John spent most of his time practising speaking English in addition ________ his spare time.A.of B.to C.for D.into9.(2008年湖南高考)The growing speed of the plant is influenced by a number of factors,________ are beyond our control.A.most of them B.most of which C.most of what D.most of that 10.The owner of the shop told his assistant to ________ the pears according to size.A.work out B.make out C.sort out D.figure out11.(2009年江苏)This special school accepts all disabled students,________ educational level and background.A.according to B.regardless of C.in addition to D.in terms of12.To make a cake,we ________ flour,eggs,sugar and milk together.A.mix B.combine C.connect D.join13.By nine o’clock,all the Olympic torch bearers had reached the top of Mount Qomolangma,________ appeared a rare rainbow soon.A.of which B.on which C.from which D.above which14.There are two buildings,________ stands nearly a hundred feet high.A.the larger B.the larger of whichC.the larger one that D.the larger of them15.Is this the school ________ you studied ten years ago?A.the one that B.that C in that D.in which完形填空(共20小题;每小题2分,满分40分)阅读下面短文,掌握其大意,然后从1~20各题所给的四个选项(A、B、C和D)中,选出最佳选项。
人教版高中英语必修二unit1__基础巩固练习名师精练:Unit1基础巩固练习一、用括号中所给词的适当形式填空。
1. I won’t waste any more of your __________ (value) time.2. It’s normal to experience ______ (culture) shock when you go abroad for the first time.3. He is the only __________ (survive) of the accident.4. That shop has a fine __________ (select) of cakes.5. Our __________ (wood) sofa seems not very comfortable.6. It was __________ (amaze) that he knew nothing about the event.7. Two leaders __________ (secret) flew to that country to solve the problem.8. It is __________ (doubt) whether he can carry on his tasks as president for the next five years.9. The __________ (sail) are asked to take their positions by their captain.10. Yesterday they were invited to a __________ (form) party.二、将下列词组或短语译成中文或英文。
1. in search of ___________2. belong to _____________3. at war _______________4. in return _____________5. less than ______________6. take part in____________7. think highly of _______________8. pay much attention to __________9. rather than ______________10. there is no doubt that_________11.文化遗产_______________12. 调查_______________13. 充当;作……之用_______________14. 在某一点上达成协议_______________15. 认为……是……;把……看作…… _______________三、根据提示完成句子:1. 他们成立了一个委员会来调查这一事件。
必修二Unit 2 Wildlife Protection基础巩固练习一、重点短语翻译1. 知道……;意识到……____________2. 到底、究竟____________3. 适应;适合____________4. 平均来说____________5. 采取措施做某事____________6. 灭亡;逐渐消失____________7. 取得很大的进步____________8. 就……而言____________9. 对...担心/关切____________10. 打算做... ____________ 11. 看清;听清;分清____________12. 使某人想起... ____________13. 提醒某人做... ____________14. 保护;照管;监督____________15. 搜索;查找____________16. 一谈到……____________17. 在压力下____________18. 由于,因为____________19. 日日夜夜____________20. 激起___________二、词形转换1. illegal (adj.) _______________ (adv.) ______________(反义)2. immediate (adj.) _______________ (adv.)3. alarm(v.) __________ (adj. 令人惊恐的) _______________(adj. 感到惊恐的)4. unusual (adj.) ___________________(反义)5. aware (adj.) ___________________(n.)6. beauty (n.) _______________(adj.)7. effective (adj.) ____________(n.)8. intend (v.) ______________(n.)9. exist (v.) _______________(n.)10. extinct (v.) _________________(n.)11. concern (v.) ________________(adj.担心的) _________________(adj. 有关的)三、单词拼写1. If we did not stop the _______(非法的) hunt in the ocean, we would lose our home.2. They used to go ________(打猎) and saw it as a noble entertainment.3. It is hard to imagine what ________(进步) they have made in the past few months.4. I can't make a promise that you will make a ________(利润).5. I'd prefer to ________(保留) my thoughts until I find all the evidence.6. Unfortunately,he was ________(射死) dead.7. With my special care,my mother ________(康复) quickly.8. It is ________(不寻常的) for you to catch a cold on hot days.9.In ancient time,people who ________(生存) in the wild led a hard life.10. The vegetables are ________(搅拌) into the rice while it is hot.四、单句语法填空1. He didn't answer my question _____________ (immediate), which made me very upset.2.A great many species in the world are at the edge of____________ (extinct).3.As far as I'm ____________ (concern), it's everyone's duty to protect the environment. 4.And then huge plants start to spring up and grow at an ____________ (alarm) rate.5. The boy was enjoying the ____________ (beautiful) of nature.6. In order to avoid traffic jams, I strongly suggest some ___________ (effect) measures be taken.7. Unattended luggage will ____________ (remove) and may be destroyed.8. When it comes ____________ gift lists, I've never had to think about what I want.9. Let's not stir ____________ the football fans or they might start to fight.10. Those who hunt animals ___________ (illegal) will be punished by law.五、单选题1. This species has nearly________ because its habitat is being destroyed..A. died ofB. died outC. died awayD. died from2. The ______ earthquake here made people feel very _______.A. alarmed; alarmingB. alarmed; alarmedC. alarming; alarmingD. alarming; alarmed3. People around the world should _________ the real situation of water shortage.A. be aware ofB. aware ofC. be aware thatD. aware that4. On the top of Mount Tai, people excitedly_______ the sun rising from the sea of clouds.A. preservedB. reservedC. observedD. served5. _______, the more you practise, the better at it you will become.A. As far as I am cencernedB. As I cencernC. As far as I cencernedD. As far I am cencerned6. How to _________ the new environment is the first thing that you have to face.A. adapt inB. adapt forC. adapt toD. adapt from7. We should take measures _________ the environment at once.A. to protectB. for protectingC. protectingD.on protecting8. The old photos reminded me____the days I spent in the countryside.A. withB. toC. onD. of9. Will you _________my clothes while I have a swim?.A. watch outB. watch forC. watch overD. watch out for10.I think it’s very unkind of you to ______ stories about him.A. make outB. make upC. make forD. make sense11. He had intended ________ to your birthday party, but his mother got ill that day.A. to comeB. to comingC. for comingD. at coming12.As they entered the forest, they walked around_____ a suitable camping spot.A. in search ofB. searchedC. searchingD. searched for13.A new sports meeting ________ in our school now.A. is heldB. has heldC. is being heldD. has been held14. The castle ________at the moment.A. is being attacked B.is under attack C. attacked D.A&B15.Mother _____the dishes in the kitchen now.A. is being cookedB. is cooking C.is to cook D.has cooked六、完成句子1. 最重要的事情是人们应该意识到环境保护的重要性。
Unit 4Wildlife protectionⅠ.单项填空1.He had a son and a daughter,________taught at the same school.A.that B.both of whomC.neither of them D.both of them2.This book________ 18 articles,________ three written by my father.A.contains;includes B.includes;containingC.contains;including D.includes;contained3.If you buy more than ten,they will knock 20 percent off ________.A.a price B.priceC.the price D.prices4.Once out of the earth’s gravity,the astronaut is ________ by the problem of weightlessness.A.affected B.effectedC.related D.offered5.—Would you mind if I take the seat?—________.A.Yes,sit down,pleaseB.No,not at allC.Surely,never mindD.No,you can’t take it6.I wrote him a letter to show my ________ of his thoughtfulness.A.achievement B.agreementC.attention D.appreciation7.Some measures________ to protect wildlife resources.A.are taking B.are madeC.are being taken D.being taken8.On the basis of his great experience,he had________ developing an entirely new method of polar exploration.A.succeeded in B.won forC.had victory to D.won in9.My chest________ when I make a deep breath,doctor.A.harms B.woundsC.hurts D.injures10.It is said that he________ in a computer company since graduation.A.has employed B.has been employedC.had employed D.is employed11.Great attention must be paid ________ education,especially in the countryside.A.develop B.to developC.to developing D.developing12.The new law has come into________;surely it will have________ on industry of the country.A.affect;an effect B.effect;affectC.effect;an effect D.an effect;an effect13.He said in his letter that he was going to visit China ________ and he had the idea ________.A.long before;before longB.before long;long beforeC.before long;soonD.before long;before long14.My parents had to use________ they had to buy the house in which we are now living.A.what B.what thatC.all what D.that15.—The housework is too much for me,Jack.—Sorry,but I can’t help________ it,Joan.I’ve got something important to do,you know.A.do B.doingC.to be doing D.having doneⅡ.完形填空One day I took a bus with my girlfriend.It was so __16__ that we stood for several stops until a vacant seat was __17__ for her.Then a pretty girl rushed towards me,saying,“Hi,where are you going?”I was so struck by the stranger that I had a hard time trying to __18__ her.Clearly she had taken me __19__ somebody else.I returned her greeting with politeness,__20__ to give explanation to my girlfriend later.Noticing my dialogue with somebody else,my girlfriend __21__ her eyes and found she waspretty.She asked jealously,“who’s she?” The pretty girl,quite __22__ of the situation,spoke out first,“Hi,let me __23__ myself.I’m Nancy,used to be __24__.Very glad to meet you.”She behaved very __25__.But I was __26__ to search in my memory for someone called Nancy among my neighbors.I was worrying how to explain this to my girlfriend __27__ the pretty girl again turned to me,“Will you give me your cellphone number so that we __28__ keep contact(联系) later?” I had to submit to her __29__.Then the girl got off the bus at the next stop.A minute later I got a short __30__ on my phone from a stranger.My girlfriend __31__ my phone and read the note.It was from the girl,who said,“Just now,two thieves tried to __32__ your pocket.I had to act as an acquaintance to draw your attention.I should have left at the __33__ stop but gave up as I noticed these two thieves also __34__ to leave at the same stop.Because of the __35__ I delayed my departure.Now you’ll understand all I have done to you.Wish you luck.”16.A.tiring B.slowC.crowded D.messy17.A.ready B.availableC.special D.suitable18.A.identify B.realizeC.remind D.judge19.A.on B.byC.with D.for20.A.preferring B.planningC.managing D.promising21.A.fixed B.openedC.raised D.focused22.A.proud B.carefulC.afraid D.aware23.A.explain B.enjoyC.introduce D.help24.A.partners B.neighborsC.friends D.colleagues25.A.naturally B.generouslyC.cautiously D.normally26.A.in a hurry B.at a lossC.at ease D.in time27.A.while B.beforeC.when D.until28.A.would B.canC.should D.must29.A.request B.questionC.command D.opinion30.A.suggestion B.warningC.notice D.message31.A.removed B.seizedC.found D.caught32.A.steal B.reachC.get D.pick33.A.terminal B.formerC.previous D.latter34.A.pretending B.intendingC.demanding D.announcing35.A.incident B.matterC.accident D.affairⅢ.阅读理解A popular saying goes,“Sticks and stones may break mybones,but words will never hurt me.”However,that’s notreally true.Words have the power to build us up or tear us down.Itdoesn’t matter if the words come from someone else orourselves—the positive and negative effects are lasting.We all talk to ourselves sometimes.We’re usually too embarrassed to admit it,though.But we really shouldn’t be,because more and more experts believe talking to ourselves is a healthy habit.This “self-talk” helps us motivate(激发) ourselves,remember things,solve problems and calm ourselves down.Be aware,though,that as much as 77% of self-talk tends to be negative.So in order to stay positive,we should only speak words of encouragement to ourselves.We should also be quick to give_ourselves_a_pat_on_the_back.The next time you finish a project,do well on a test,or finally clean your room,join me in saying,“Good job!”Often,words came out of our mouths without us thinking about the effects they will have;but we should be aware that our words will cause certain responses to others.For example,when returning an item to a store,we might use warm,friendly language during the exchange.And the clerk will probably respond in a similar manner.Or we can use harsh (苛刻的),critical language,which will most likely cause the clerk to be defensive.Words possess power because of their lasting effects.Many of us regret something we once said.And we remember unkind words said to us!Before speaking,we should always ask ourselves:Is it true?Is it loving?Is it needed?If what we want to say doesn’t pass this test,then it’s better left unsaid.Words possess power:both positive and negative.Those around us receive encouragement when we speak positively.We can offer hope,build self-esteem(自尊) and motivate others to do their best.Negative words destroy all those things.Will we use our words to hurt or to heal?The choice is ours.36.The author argues in the first paragraph that ________.A.words will never hurt us at allB.words have lasting effects on usC.inspiring words give us confidenceD.negative words may let us down37.Why should not we feel embarrassed when it comes to talking to ourselves?A.Talking to ourselves is believed to be good for our health.B.Almost everybody has the habit of talking to oneself.C.Talking to ourselves helps us to solve all the problems.D.It is harmful to have “self-talk” when we are alone.38.The underlined phrase “give ourselves a pat on the back”in Paragraph 3 means “________”.A.blame ourselvesB.punish ourselvesC.talk to ourselvesD.praise ourselves39.Which of the following statements would the author agree to?A.Unkind words are unlikely to be forgotten.B.Positive words may destroy all the good relations.C.It is better to think twice before talking to others.D.Kind words are sure to cause unfavorable responses.40.Why should we talk in a friendly way when returning an item to a store? A.Because kind words destroy true relationships.B.Because the clerk in a store is hard to deal with.C.Because critical language may hurt your feelings.D.Because friendly words cause positive responses.1.B2.C3.C4.A5.B6.D7.C8.A9.C 10.B 11.C 12.C 13.B 14.A15.A16.C 17.B 18.A 19.D 20.B 21.C 22.D 23.C 24.B 25.A 26.B 27.C 28.B 29.A 30.D 31.B 32.D 33.C 34.B 35.A36.B 37.A 38.D 39.C 40.D。
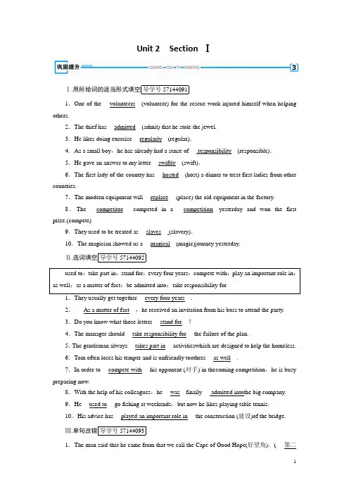
Unit 2Section ⅠⅠ.用所给词的适当形式填空导学号 571440911.One of the __volunteers__(volunteer) for the rescue work injured himself when helping others.2.The thief has __admitted__(admit) that he stole the jewel.3.He likes doing exercise __regularly__(regular).4.As a small boy,he has already had a sense of __ responsibility__(responsible).5.He gave an answer to my letter __swiftly__(swift).6.The first lady of the country has __hosted__(host) a dinner to treat first ladies from other countries.7.The modern equipment will __replace__ (place) the old equipment in the factory.8.The __competitor__ competed in a __competition__yesterday and won the first prize.(compete)9.They used to be treated as __slaves__ (slavery).10.The magician showed us a __magical__(magic)journey yesterday.Ⅱ.选词填空导学号 57144092used to;take part in;stand for;every four years;compete with;play an important role in;as well;as a matter of fact;be admitted into;take responsibility forThey usually get together __every four years__.2.__As a matter of fact__,he received an invitation from his boss to attend the party.3.Do you know what those letters __stand for__?4.The manager should __take responsibility for__ the failure of the plan.5.The gentleman always __takes part in__ activitieswhich are designed to help the homeless.6.Tom often loses his temper and is unfriendly toothers __as well__.7.In order to __compete with__ his opponent (对手) in thecoming competition,he is busy preparing now.8.With the help of his colleagues,he __was__finally __ admitted intothe big company.9.He __used to__ go fishing at weekends,but now he likes playing table tennis.10.His advice has __played an important role in__ the construction (建设)of the bridge.Ⅲ.单句改错导学号 571440931.The man said that he came from that we call the Cape of Good Hope(好望角).( __第二个that改为what__)2.Giving up the chance,and you'll be sorry one day.( __Giving→Give__)3.—How often does he go swimming?—Each one week.( __Each→Every__)4.He didn't go to the cinema last week,so did his wife.( __so→nor/neither__)5.You can do it as better as your brother now.We are proud of you.( __better→well__)Ⅳ.完成句子导学号 571443501.If you don't go to the party,__nor will/shall I__.(nor)如果你不参加那个晚会,我也不去。
Unit2 Discovering Useful Structures 基础考点巩固练Ⅰ.单词拼写1. At rest the_________(昆虫)looks like a dead leaf.2. It is well known that the __________(袋鼠)is a native of Australia.3. The Royal Bengal tiger is the only type that exists in India and the number of this creature is greatly r_____________ every year because of poaching (偷猎).4. With the development of tourism industry, the n_________ profit of the natives here has greatly increased this year.5. [2019 •北京卷改编]Regardless of the weather or the distance, Paul Wilson will make sure low-income students in his___________(街区)arrive at their college classes on time.Ⅱ.单句语法填空1. Chinese food____________(love) by people all over the world.2. Your experiment report ________(type)now and it will be finished soon.3. Many interesting experiments____________(do) these days.4. —I don’t suppose the police know who did it.—Well, surprisingly they do. A man has been arrested and _______(question) now.5. In the distance, some deer __________(be) eating grass gracefully on the plain.6. [2019 •天津卷改编]The captain of the ship was advised to turn back due _______a sudden heavy storm.Ⅲ.将下列句子转换成被动语态1.The cat is attacking a mouse.____________________________________________2.That nurse is looking after the babies._____________________________________________3.The World Wildlife Fund is protecting the African elephants._____________________________________________4. Scientists are researching the side effects of the new drug.____________________________________________5. We have to take another road because this road is under repair._____________________________________________Ⅳ.单句写作1.这些天我们正在制订勘探南极的计划。
Unit 2 Section ⅡⅠ .将以下句子变为被动语态导学号571441021.They will build a special village for the athletes to compete in the coming Olympic Games.→A special village __will be built__for the athletes to compete in the coming Olympic Games.2. The villagers will plant more trees around the village.→Will more trees __be planted__ (by the villagers) around the village?3. The government is to construct a wider road between the town and the city.→A wider road __is to be constructed__(by the government)between the town and the city.4. The expert will encourage children to do more exercise.→Children __will be encouraged__(by the expert) to do more exercise.5. The students are going to clean the classroom after school.→The classroom __is going to be cleaned__(by the students)after school.6. When will they operate on the patient?→When __will__the patient __be operated on__ (by them)?7. The company will not send any worker to the rural area.→Any worker __will not be sent__(by the company) to the rural area.8. Is the organization to carry out the plan?→__Is the plan to be carried out__( by the organization) ?9. My sister will give me a birthday gift.→ A birthday gift __will be given to me__(by my sister).→ I __will be given a birthday gift__( by my sister).10. We shall ask them to help you tomorrow.→They __will be asked__(by us) to help you tomorrow.Ⅱ .用所给词或短语的适合的语态形式填空导学号 571441031. She will __be given__(give) a gold medal in this competition.2. The students' papers will be made __to mark__(mark) tonight.3. They will __finish__(finish)the project within five years.4. The famous painting is to __be exhibited__(exhibit)in the museum during the following week.5. By whom will the Olympic flag __be carried__(carry)during the ceremony?6. How will the flag __be made__(make)?7. What will __be taken care of__(take care of) by those volunteers?8. How much money will __be spent__(spend)on this project?9. Next year , a new and modern school will __appear__(appear) in this area.10.When the project __is completed__(complete) ,more books will __be kept__(keep) in the library.。
好题新练:Unit2基础巩固练习一、用所给的词的适当形式填空1. There is a keen (compete) between the two motorcar firms.2. We must pay special (attend) to this word.3. The computer is too old. We need a (replace) for it.4. Chinese woman's soccer team deserved (win) the championship, they played much better than any of the other teams.5. He is descended (遗传) from an (honor) family.(他出自名门)6. The suspect didn’t admit (break) into the house.7. (Advertise) is often the most effective method of promotion(推销).8. Asia-Europe Economic Forum (host) in Xi’an successfully.9. The hosting of the Olympic Games (apply) for by a country.10. Put forward your ideas and give reasons for your (choose).二、完成句子1. — _______ ________ (多久一次) do you go home to have a rest?— We go home to have a rest _______ _______ _______ (每隔两周).2. Speaking __________ an important _______ _______ (起作用) learning English.3. Have you _______ ________ (听人说起过) him since then?4. She has a great gift for music and ______ ______ ______ ____(有可能成为) a musician.5. When you meet with new words in reading, you needn’t _____ _____ _____ (查找) in your dictionary.6. I must ______ _______(登广告聘请) a new secretary.7. They __________ _______(讨价还价) the level of wages.三、句型转换1. He stood up and went out of the room.同义句:He ______ ______ ______ _______ and went out of the room.2. Some students don’t like taking part in social activities.同义句:Some students don’t like social activities.3. BBC symbolizes British Broadcasting Corporation.同义句:BBC British Broadcasting Corporation.4. Vice Minister takes charge of the economic work.同义句:Vice Minister the economic work.5. He didn’t reject her wish to choose her husband in a race.同义句:He didn’t her wish to choose her husband in a race.6. Can you make certain what time the train leaves?同义句:Can you what time the train leaves?7. The beggar is so hungry that he can’t speak.同义句:The beggar is hungry speak.8. The problem is too difficult for him to deal with.同义句:The problem is difficult he can’t deal with it.9. The design and construction of these roads will create about 10500 jobs.被动句:A bout 10500 jobs .10. The driver noticed a young man steal a lady’s purse.被动句:A young man .四、单项选择1. It’s a problem of such difficulty ________ nobody can work it out.A. asB. whichC. thatD. where2. The police questioned William closely and he finally admitted ________ the car.A. to stealB. having stolenC. to have stolenD. to be stealing3. —Do you know Ann Watterson very well?—Yes,she used to be an editor and ________ the business part of the paper.A. was in charge ofB. is in charge ofC. was in the charge ofD. is in the charge of4. Mike was our ________customer,who used to shop here on Sundays.A. regularB. usualC. normalD. formal5. If you keep practicing your son in football,he ________ to make a famous player.A. wantsB. hopesC. promisesD. wishes6. Her sister ________ a rich man. They ________ for twenty years.A. married with;have marriedB. married to;have marriedC. married;have been marriedD. has married with;have been married7. —There are many ________ for the Summer and Winter Olympic Games. Can you list some of them?—Running races,horse riding,sailing and so on.A. basesB. designsC. mattersD. events8. When will your daughter ___________the entrance examination?A. joinB. take part inC. attendD. take9. We all sang high praise for the important part he ___________ in this match.A. playedB. didC. hadD. took10. ________ get a good seat, he set out early after supper.A. In order toB. So thatC. So as toD. In order that11. When I was at school, I _____ up very late, reading storybooks.A. used to stayB. was used to stayC. used to stayingD. is used to staying12. Tom admitted ______ in the examination and he was not admitted _____ the school at last.A. to cheat; toB. cheating; toC. to cheat; asD. cheating; as13. Which do you enjoy _____ your weekends, fishing or watching TV?A. spendingB. to spendC. being spentD. spent14. It’s always difficult being in a foreign country, ___________if you can’t speak the language.A. extremelyB. naturallyC. basicallyD. especially15. ______ the danger from enemy action, people had to deal with the lack of food, clothing, fuel, and almost everything.A. As far asB. As long asC. As well asD. As soon as16. You should not pay too much attention to all of the differences between ______ culture and your own.A. otherB. the otherC. some othersD. another17. The students handed in their test papers to their teacher ________.A. one after oneB. one after anotherC. little by littleD. step by step参考答案与解析一、用所给的词的适当形式填空1. competition2. attention3. replacement4. to win5. honorable6. breaking7. advertising 8. was hosted 9. should be applied / is applied 10. choice二、完成句子1. How often; every two weeks2. plays... part/role in3. heard of4. is likely to be5. look them up6. advertise for7. bargained over三、句型转换1. rose to his feet2. Joining in3. stands for4. is in charge of5. refuse6.figure out7. too to8. so that9. well be created by the design and construction of these roads10. was noticed to steal a lady’s purse by the driver四、单项选择1. C. 句意为:那是个复杂得没人能够解决的问题。
Unit 2 Section ⅢⅠ .依据首字母及语境写单词导学号 571441241. He tried to relax himself mentally by doing some p __hysical__exercise.2. The driver was f __ined__200 yuan for running the red light.3. The manager c __harged__ the customer $ 3,000 for making the poster.4. They finally sold their house by a __dvertising__ it in the newspaper.5. The g __lory__ of competing for his country in the Olympic Games made him happy.6. The customer b __argained__ with the salesman about the price of the clothes.7. Things are so difficult that it seems h __opeless__.8. It's f __oolish__ of you to waste your precious time.9. His leg was broken and he suffered great p __ain__.10. You d __eserve__ rewarding for always being so helpful.Ⅱ .选词填空导学号57144125make a bargain with ;hear of;change one's mind;pick...up ;one after another;apart from ;in charge of ;as well ;win glory for;promise to do1. Once he__promises to__help , he is sure to keep the promise.2. Even though the situation seems hopeless to him , he will never __change his mind__.3. __Apart from__ her appearance, her character is charming, too.4. My colleague told me that he would__pick__me __up__at the school gate by phoning.5. As soon as the boys reached the swimming pool , they jumped into it __one after another__.6. When he __heard of__ the good news , he became excited.7. The person __in charge of__ the activity is from that university.8. He works hard to __win glory for__himself.9. After __making a bargain with__the businessman,the customer bought a dress with satisfaction.10. The city planners have planned to build a fitness center( 健身中心 ) and a grass land __as well__.Ⅲ .达成句子导学号 571441261. There is an increase of 20% in toy prices , but mascots in our shop are __a__bargain at分析:句意:玩具价钱上20%,可是我商铺的祥瑞物是一个一英,很廉价。
高中英语学习材料(灿若寒星*制作整理)巩固练习单项填空1、—Hey,I think Jenny’s team will lose tonight’s game.—Oh,really?________A.What makes you think so?B.Let’s make a decision.C.I beg your pardon?D.That’s my opinion.2.Jack ________many times to take good care of his clothes,but he turns a deaf ear to it.A.has told B.toldC.has been told D.was being told3.—I’m sorry for my mistake.—________,I’m glad you made that mistake,for it will serve as a warning to you.A.In any way B.In a wayC.In her way D.In the way4.—All of us could imagine who would win before the competition ended.—Of course. The result was________.A.logical B.magicalC.hopeless D.sure5.With time________,the pollution in this river is getting worse and worse.A.goes after B.going byC.passes by D.going ahead6.Han Geng was the first Chinese that became a pop singer in South Korea.________,he was paid more attention to.A.As a result B.What’s moreC.After all D.In return7.Flowers of this kind are so ________that they can be seen everywhere.A.usual B.ordinaryC.normal D.common8.While he was ________about in the street,he happened to meet Lucy.A.wandering B.wonderingC.wondered D.wandered9.We’ve missed the last bus. I’m afraid we have no ________but to walk.A.way B.choiceC.possibility D.selection10.We’ll take a holiday to Sydney. Would you like to ________my dog for me while we are away?A.look at B.search forC.watch over D.care about11.The manager of the sales department is kept busy all day .After he has solved one problem,another is sure to________.A.raise B.riseC.arise D.replace12.His daughter has such high ________that she entered Beijing University at the age of15.A.power B.technologyC.character D.intelligence13.It was________ hot in the room that I didn’t like to stay there.A.really B.suchC.too D.so14.Lucy advised him not to buy the knife,but he bought it________.A.anyhow B.howeverC.though D.totally15.He got seriously ill when he was a baby. Later he couldn’t see anything at all. He was ________blind.A.nearly B.totallyC.especially D.probably完形填空The king’s Elephant keeper had a Dog,who often went into the house where the king’s Elephant lived. At first the Dog went there to get the__16__that was left after the Elephant had__17__eating.Day after day they became great__18__.The Elephant began to share his food with the Dog,and they__19__and played together.One day a__20__saw the Dog. He loved the Dog,so he__21__the Dog and took him away from the Elephant- keeper. The Elephant__22__the Dog and did not want to eat. The next__23__,the king knew it. He sent his servant to find out why the Elephant was__24__in that way.The servant went to__25__the Elephant- keeper,“Why does the Elephant look so__26__?” The keeper answered,“There was a Dog who was the Elephant’s friend but he__27__yesterday.”“Do you know__28__he is now?” asked the servant.“No,I do not,” said the keeper.Then the servant went back to the king and said,“The Elephant is not sick,but he is__29__without his friend,the Dog. A farmer took him away,but nobody knows where the farmer__30__.”“Well,” said the king,“I’ll send__31__all over the country,asking the farmer to turn him__32__.I’ll give him as much money as he paid for the Dog.”When the farmer__33__this,he turned him loose. The Dog ran back as__34__as he could .The Elephant was so__35__to see the Dog that he picked him up and put him on his head.All the rest of their lives the Elephant and the Dog lived together.16.A. money B.waterC.cloth D.food17.A. hated B.allowedC.finished D.forgot18.A. friends B.heroesC.soldiers D.workers19.A. traveled B.ateC.studied D.tried20.A. farmer B.keeperC.servant D.king21.A. trained B.borrowedC.bought D.refused22.A. visited B.metC.welcomed D.missed23.A. week B.dayC.hour D.month24.A. acting B.runningC.sleeping D.drinking25.A. warn B.recognizeC.ask D.help26.A. clever B.shortC.busy D.sad27.A. passed away B.went awayC.turned up D.came back28.A. where B.whoC.how D.why29.A. free B.slowC.lonely D.lovely30.A. walks B.writesC.reads D.lives31.A. wood B.wordC.air D.medicine32.A. loose B.quickC.right D.open33.A. felt B.stoppedC.imagined D.heard34.A. often B.fastC.carefully D.quietly35.A. glad B.sorryC.safe D.shy阅读理解AA German dog in Alaska has been given a hero’s award for saving his owner’s house from a fire. Buddy guided a team of firefighters through winding roads to the house in an isolated (偏远的) area.That day,his owner Ben Heinrichs was working on his truck inside his garage when a spark ignited some fuel and caught fire.Ben managed to run outside,closed the door to stop the fire from spreading and rolled in the snow to put out the flames on his clothes. But he suddenly remembered the dog was still in the workshop and ran back to fetch him. While Buddy escaped uninjured,his owner suffered burns to his face and second- degree burns to his left hand.The dog ran off after his master said he needed help. On the road he came across the Alaskan firemen who had been called about the fire. But they had got lost and were about to turn down the wrong road. When they caught sight of Buddy who made eye contact with them and raced ahead down the right road,the firemen immediately followed him and he often turned round to make sure they were behind him .The dog’s quick reaction saved the family.“Buddy recognized how serious the situation was and acted br avely in getting help for his family,” said Officer Holloway at a ceremony to honor the dog .Buddy,whose good deed was shown on a police car’s video,was given a smart dog bowl as a reward,and a big bone.Ben said that he knew Buddy was clever and added that Buddy was brave too,having twice driven bears away when he was fishing.36.What does the underlined word “ignited” in Paragraph 2 mean?A.To make a mistake.B.To make something more serious.C.To stop something from happening.D.To cause something to burn.37.Ben ran back into the garage because________.A.he wanted to save his whole familyB.he wanted to put out the fire himselfC.he wanted to save his dog BuddyD.he heard someone calling “help”38.What can we infer from the passage?A.The dog has never been so brave before.B.The dog has saved his owner’s life before.C.The firemen didn’t believe a dog would know the way.D.The firemen didn’t know what the dog was trying to tell them at first.39.What’s the purpose of the ceremony?A.To honor the dog Buddy.B.To honor the firemen.C.To honor Ben.D.To encourage people to keep dogs.BQuite simply,a domestic robot is a machine used for household work .There are only a few limited models so far,but scientists all over the country are expecting a robot revolution within the next couple of decades .In fact,in 2006,America’s richest man Bill Gates wrote an article “A Robot in Every Home”,which discussed the great potential (潜力) for robots in every American home.There are three types of domestic robots:low- level robots,care robots and the highest level robots. Low- level robots are basic machines designed for fun .There are several domestic robots in the market today,but most of them are not very advanced .However,there are three domestic robots that are useful when it comes to helping you with housework.PatrolBotProduced by MobileRobots Inc.,the PatrolBot is a service robot. It can walk around like a security guard (保安),or go to pre-programmed places using a map,which you can create using its computer system .It can act as a guard with its cameras and detection (侦查) abilities. It can carry up to 15 lbs of weight,which means you can have it carry things from point A to point B.RoombaThe Roomba is a smart cleaner and is becoming popular in the US .More than 3 million units have been sold since it was introduced in 2002.You can program your Roomba to clean even when you’re out .The robot can also move from one room to another after finishing cleaning one.ScoobaWhile the Roomba cleans your floor,the Scooba washes it .Produced by iRobot,the Scooba is another robotic floor washer that uses a special cleaning solution that effectively cleans the floors and prevents rust .It leaves a totally clean and dry floor.40.What’s the author’s purpose in writing this pass age?A.To introduce some robots for home use.B.To teach us how to buy a cheap robot.C.To tell us how to operate a robot.D.To encourage us to buy a robot.41.We can learn from the passage that________.A.Bill Gates is against the use of robotsB.people produce low- level robots mainly for funC.there are four types of domestic robots nowD.Scooba is produced by Mobile Robots Inc.42.Which robot can help people wash and dry floors?A.PatrolBot. B.Roomba.C.Scooba. D.IRobot.43.Which of the following statements is NOT true about Roomba?A.It was introduced in 2002.B.It has not been well- received in the US.C.It can work when you are not at home.D.It can move from one room to another.CAlthough mobile phones have brought a lot of convenience (便利) to people,they have also brought troubles.Besides endless spam text messages (垃圾短信),another problem seems even more annoying (讨厌的).That is the so called “one ring” call. It is a phone call that only rings one time and stops before the receiver is able to pick it up. When the receiver calls back,the other side is usually a recorded advertisement. And by the time people realize that they have been hoaxed,they’ve already paid for the call.An article in the China Youth Daily says that these terrible calls trouble many mobile users day and night. But up till now,the government hasn’t taken any steps to solve the problem. It seems that if someone chooses to use a cell phone ,he must bear (忍受) the trouble.The number of mobile phone users in China has risen to more than 570 million. Thanks to news reports,many people have come to understand the harm of the “one ring” call .Some users say they won’t call back if it is an unknown number. But the article points out that this doesn’t mean the related government departments should turn a blind eye to it.According to an online survey of more than 200,000 Chinese netizens (网民),nearly 70 percent believed telecommunication (电信) operators make money from these annoying phone calls. The article argues that “one ring” calls not only take away people’s money,but also trouble their lives.New technology should not do harm to society. Instead,people should enjoy the convenience of information technology. Thus,the article advises that laws should be set up to protect people’s legal rights.44.The underlined word “hoaxed” in Paragraph 2 probably means “________”.A.selected B.cheatedC.heard D.refused45.Who helped the mobile users most to realize the harm of the “one ring” call?A.Netizens. B.News reporters.C.Government officials. D.Telecommunication operators.46.It can be inferred from the passage that________.A.“one ring” calls and spam text messages are from the same peopleB.mobile users can’t do anything about the “one ring” callC.“one ring” calls will be got rid of in the near futureD.telecommunication operators hate “one ring” calls too47.What’s the main idea of this passage?A.“One ring” calls do great harm to our society.B.Mobile phones do people more harm than good.C.Information technology brings people much trouble.D.We need better ways to enjoy information technology.DShopping in Thailand is fun for westerners because of the low prices of many goods,but that is only the beginning of the fun .Not only can you expect fairly low prices,but Thailand has a system of bargaining for goods that makes shopping great fun. At any of the markets and street stores,you can expect to pay 10-50% less than the price that is asked,but you have to master bargaining skills.If the shop has fixed prices,then there is no bargaining. Only bargain at places where there are no posted prices.You may need to shop around to get an idea of the proper local price for an item before you seriously start to bargain.Learn some Thai and start the conversation in Thai. This will make you not seem like a tourist and the seller will be less likely to increase the price. Try to learn Thai numbers as well.Use humor and flattery (奉承).Thai people love to laugh and they love to be flattered.Making a joke or praising them is an easy way to lower the price of almost any item.Don’t lose your temper about the bargaining. Thai people do not like conflicts (冲突).If you lose your temper,you will seem rude and lose face with the Thai. Always be polite and smile when bargaining.Remember that bargaining for Thai people is both like a game and a way to deal with people. If you can make the bargaining more like a conversation,you’ll do much better and everyone will be happier.Don’t be afraid to walk away if the price seems too high. Many times this will cause the seller to come after you saying “OK” and agree to your price. On the other hand,don’t back out of a sale after a price has been agreed upon. This is considered quite rude .If you agree to a price,then just buy the item.48.Which of the following is considered rude in Thailand?A.Walking away when the price is too high.B.Flattering the sellers.C.Losing your temper when bargaining.D.Considering bargaining as a game.49.We can learn from the passage that in Thailand,________.A.one should bargain even if the prices are postedB.store owners love to laugh and make jokes with customersC.westerners like shopping there because of high qualityD.store owners seldom ask for too high prices50.According to the last paragraph,when a price has been agreed upon in Thailand,________.A.it’s quite OK for the customer to give it upB.the customer can try to cut the price down againC.the customer can pretend to walk away to get a lower priceD.the customer had better stick to the deal第二节(共5小题;每小题2分,满分10分)When I was a kid my parents sent me to a summer camp in New Hampshire.51.________At camp we did tons of great things like swimming,sports,and archery,but for me,the most memorable experience was an overnight t rip of mountain climbing .If you’ve ever hiked a mountain,you know it’s a physical challenge,especially when you’re carrying your food and shelter on your back.52.________“How much farther is it?”“My pack is too heavy,can you carry it for me?”The reply of the teachers was,“Suck it up.” The truth is,the complaining campers were nowhere near the point of exhaustion. If they had been,the teachers would have noticed the signs and given them care.53.________Once they realized they weren’t getting any sympathy they overcame the discomfort,and in most cases ended up having a great time.54.________You can complain,or you can make the best of it .If you complain,you might feel like you’re getting the negative energy out,but you’re probably not going to cause a po sitive change. It’s much more likely that your complaining will arouse the dislike of those around you.No one likes a complainer. Complaining makes life harder for everyone.55.________A.The summer camp was interesting but full of complaint.B.The kids si mply weren’t used to the physical challenge.C.It’s no use complaining and it can’t bring us what we want.D.This was a great experience for me.E.There are two ways to deal with an unpleasant situation.F.When campers got tired,they certainly started complaining.G.We should complain less and make more effort.书面表达请根据下列提示,写一篇有关计算机的短文。
汉英翻译1.与……有联系或关系答案:relate to2.就这一次答案:for once3.对……上瘾答案:be addicted to4.在各方面;到处答案:on all sides5.十分之九答案:nine out of ten6.使报纸保持均衡答案:keep the newspaper balanced7.条理地;有组织地答案:in an organized way8.适应新生活答案:adapt to a new life9.注意……答案:draw attention to10.尊敬答案:look up to11.爱上;喜欢上答案:fall in love with单项填空]1.——No,thanks.I’ve hadA.more thanC.plenty moreD.less解析:more than可作“很,非常”解。
答案:A2.When I saw Jane,I stopped and smiled,but sheA.refusedC.missed解析:ignore意为“(故意)不理睬”。
答案:B3.Tom’s absence made difficultC.difficult for解析:make it+adj.+(for sb.) to do sth.是固定结构,其中的it是形式宾语,后面的不定式作真正的宾语。
答案:B4.To our delight she quickly adapted herselfA.withC.to解析:adapt oneself to是固定词组,意为“适合”。
答案:C5.I think the director’s attitude this program will decide what we should doA.forC.at解析:attitude常与介词to/toward(s)连用,意为“对……的态度”。
答案:D6.I will do it myselfA.thanC.in place ofD.rath解析:rather than相当于instead of,意为“而不是,而不”。
高中英语学习材料(灿若寒星*制作整理)巩固练习翻译下列单词或短语1.共有;共用__________________ 11.解决一个数学问题__________________ 2.在…的帮助下_________________ 12.允许某人做某事____________________ 3.走过;过去___________________ 13.轮流做某事________________________ 4.在某种程度上________________ 14.尽管;虽然______________________ 5.看守;监视___________________ 15.每年一次__________________________ 6.依…看;据…认为_______________ 16.获得第一名_______________________ 7.处理信息______________________ 17.与…共享信息_____________________ 8.祢补;补足____________________ 18.执行指令_________________________ 9.技术革命_____________________ 19.出现;发生_____________________ 10.为人类服务__________________ 20.普遍的;通用的;__________________ 用上面的单词和短语填空。
1.You must _______the time you wasted this afternoon by working late tonight.2.Could you_______ my clothes while I have a swim?3.The new reforms have not met with ______approval within the government.4.As time__________ my memory seems to get worse.5.Don’t lose heart.__________, you have tried your best.6.I haven’t a thing___________ with my father.7.His parents doesn’t __________him_______ go out alone at night.8.__________his teachers and parents, he has made rapid progress.9.__________all the efforts, he failed.10._________I can see what you mean , even though I don’t share your poi nt of view.完成句子1.人们认为我头脑简单,直到发现我有人工智能时,他们才不这么想了。
However, people thought I ___________until they discovered I _______________2.我喜欢被相距遥远不能交谈的人们用来彼此联系。
I __________used to connect people_____________ to speak to each other.3.我没想到你现在会在这里。
I never_____________ now.4.她电脑用得很好,现在很少用纸和笔写字了。
She uses the computer _______________ she seldom /doesn’t ____________a pen and paper. 5.但是我总是孤独地立在那里,直到60年代早期,他们把我与因特网连在了一起。
But I was always _______________by myself, until _____________, they gave me a family connected by a network..6.从我出生以来。
我就是真心真意地为人类服务而构建自己的。
I have truly been built to ________________ since my birth.7.大多数人认为美国队会打赢。
___________________ the US team will win the game.8.从某种程度上,她的英语有进步,但对她来说,道路还很长。
______________, her English has improved but _______________翻译句子1. 他除了辞职别无选择。
(choice)_____________________________________________________________________2从那时起,我和我的家庭成员被亿万人用来处理信息,并通过因特网在世界范围内彼此沟通。
(deal with; communicate with)_____________________________________________________________________3.她本来因为父亲对她的计划会大加赞赏,但并没有。
(thought)___________________________________________________________________4.曾经有个阶段我的外形完全改变了。
(when引导的定语从句)____________________________________________________________________5.他太累了以至于一躺下就睡着了。
(so…that…的倒装句)_____________________________________________________________________6.已决定于下周六举行运动会。
(decide;现在完成时的被动语态)_____________________________________________________________________7.他像孩子一样单纯。
(as…as…)_____________________________________________________________________8.我们利用晴朗的天气去远足。
(take advantage of)_____________________________________________________________________9. 他在那艘船上工作时写出了那部最伟大的小说。
(while doing)_____________________________________________________________________10.你做的比我预料的要好得多。
(a lot )______________________________________________________________________单项选择从A、B、C、D四个选项中,选出可以填入空白处的最佳选项。
1.(2008年浙江高考)Running a company is not ________ a matter of hiring people—they also need to be trained.A.simply B.partly C.seriously D.equally2.(2011年广东完形)I observed a number of ________ childrenwho were taken out of a special class and placed in a regular class.A.intelligent B.competent C.ordinary D.independent3.(2008年山东)By the time he realizes he ________ into a trap,it’ll be too late for him to do anything about it.A.walks B.walked C.has walked D.had walked4.(2008年辽宁)________ hungry I am,I never seem to be able to finish off this loaf of bread.A.Whatever B.Whenever C.Wherever D.However5.(2009年全国Ⅱ)Jenny nearly missed the flight ________ doing too much shopping.A.as a result of B.on top ofC.in front of D.in need of6.(湖北高考)I’m certain David’s told you his business troubles.________ it’s no secret that he owes a lot of money to the bank.A.However B.Anyway C.Therefore D.Though7.So difficult ________ it to live in an English-speaking country that I determined to learn English well.A.I have felt B.have I felt C.I did feel D.did I feel8.I’m sorry you’ve been waiting so long.but it’ll still be some time ________ Brian gets back.A.before B.since C.till D.after9.The mainland ________ fresh water and vegetables ________ people in Hong Kong every day.A.provides;for B.provides;with C.supplies;for D.offers;with 10.As you know,men,women and children are ________.A.man B.human beings C.human races D.man kinds答案解析翻译下列单词或短语1.in common 11. solve a mathematical problem2.with the help of 12. allow sb. to do sth.3.go by 13. take turns to do sth4.in a way 14. in spite of5.watch over 15. once a year6.in one’s opinion 16. win first place7.deal with information 17. win first place8.make up 18. follow instructions9.technological revolution 19. arise10.serve the human race 20. universal用以上的单词和短语填空。