1有理数的加法练习题
- 格式:doc
- 大小:20.50 KB
- 文档页数:1
一、有理数加法1. 计算:2 + 32. 计算:5 + (8)3. 计算:7 + (4)4. 计算:6 + 5 + 25. 计算:3 + 2 + (1) + 46. 计算:7 + (2) + 5 + (3)7. 计算:4 + (1) + 3 + (6)8. 计算:2 + 5 + (3) + 49. 计算:6 + (4) + 2 + (1)10. 计算:3 + 2 + (5) + 4二、有理数减法1. 计算:5 32. 计算:8 (2)3. 计算:7 (4)4. 计算:6 55. 计算:3 2 16. 计算:7 (2) 57. 计算:4 1 + 38. 计算:2 + 5 39. 计算:6 4 + 210. 计算:3 2 + 5三、有理数加减混合运算1. 计算:2 + 3 52. 计算:5 8 + 23. 计算:7 (4) + 14. 计算:6 + 5 25. 计算:3 + 2 1 + 46. 计算:7 (2) + 5 37. 计算:4 1 + 3 68. 计算:2 + 5 3 + 49. 计算:6 4 + 2 110. 计算:3 2 + 5 4四、有理数加减法应用题1. 甲数比乙数大5,乙数比丙数大3,求甲数比丙数大多少?2. 一支铅笔比一支钢笔贵1元,一支钢笔比一支圆珠笔贵2元,一支圆珠笔比一支水笔贵3元,求一支铅笔比一支水笔贵多少元?3. 一个班级有男生40人,女生比男生少10人,求这个班级女生有多少人?4. 一辆汽车行驶了300千米,比原计划少行驶了20千米,求原计划行驶的千米数。
5. 一本书原价100元,打八折后售价为80元,求这本书的折扣率。
五、有理数加减法综合题1. 计算:3 + 4 2 + 5 12. 计算:7 (3) + 2 5 + 63. 计算:8 + (4) 3 + 2 (1)4. 计算:5 (2) + 3 4 + (1)5. 计算:6 + 7 3 + 4 (2)6. 计算:5 (3) + 2 1 + 57. 计算:4 + 6 (2) + 3 48. 计算:2 5 + 4 (3) + 19. 计算:7 + 3 (2) + 5 610. 计算:6 (4) + 2 3 + 1六、有理数加减法应用题1. 一辆自行车以每小时15千米的速度行驶,行驶了3小时后,又以每小时10千米的速度行驶了2小时,求这辆自行车总共行驶了多少千米?2. 一个长方形的长是10厘米,宽是6厘米,求这个长方形的面积。
有理数四则运算练习题100道有理数加法 1、+2、+23、+ =-2 =1=-62原则一:所有正数求和,所有负数求和,最后计算两个数的差,取绝对值较大的数的符号。
7、|5+| =158、+|―| =-159、8+++=010、++2+ 11、+0+++ 13=-17=-16、2+65++ 17、+|-63|+|-37|+ = =018、19++418、+++ =-12=-420、+++ 1、++2++12=-5=2有理数减法7-―7― 0-- =-2=-16=9=-12---―― |-32|――72― =-=39.5=-233163―――10―3――7――=―70 =-10 =00.5+-+ -+-=3. =2原则三:结果的形式要与题目中数的形式保持一致。
如确定是分数还是小数,分数必须是带分数或真分数,不得是假分数,过程中无所谓。
有理数乘法× × ×31×=-6=0.0=31×+× ××0.5× ××=- =-60 =0.9××4×××=-4=-1-+6.75-―――5.1==7.4――― ―――=1=2.5-84-59+46-3 -44+6+―=-131=-7×4××4×××=-1 =2×5×36=32—63+12=30—27—2=1=-2525×-×+25× ×=25×=-16-30+21=25×1=-2=372原则四:巧妙运用运算律×72×××2758=28+54-60+56=××× =7=28有理数除法318÷ ÷÷÷ ÷= -=- =1=- =2593÷ ÷90.25÷-36÷÷=- = -1 =-2=-4026-3÷÷÷× =-36= =-1173733751÷× -×÷ ÷ ==-=206÷÷3÷× 0÷[×] =1=18=0÷-3.××÷ -1÷×1×=-6=1=-4=-6原则五:结果的形式要与题目中数的形式保持一致。
有理数的加减法练习题及答案篇一:有理数加减法经典测七年级(上)有理数的加减法测验一.选择题(每题2分,共18分)1.相反数是它本身的数是()2、一个有理数的绝对值等于其本身,这个数是()A、正数B、非负数C、零D、负数3、以下说法不正确的选项()A、有理数的绝对值一定是正数B、数轴上的两个有理数,绝对值大的离原点远C、一个有理数的绝对值一定不是负数D、两个互为相反数的绝对值相等4、已经明白a为有理数,以下式子一定正确的选项()A.︱a︱=aB.︱a︱≥a C.︱a︱=-a D.a>05、以下各式中,等号成立的是()A、-?6=6B、?(?6)=-6 C、-2 11226、在数轴上表示的数8与-2这两个点之间的间隔是()A、6 B、10 C、-10D-67、在-5,-1,-3.5,-0.01,-2,-212各数中,最大的数是()101A -12B -C -0.01D -5108、比-7.1大,而比1小的整数的个数是()A 6B 7C 8D 9 9、?357,?,?的大小顺序是()。
468753735A ????? B ?????,864846573357C ????? D ?????684468二、填空题(每空1分,共22分)1. |-4|-|-2.5|+|-10|=__________;|-24|÷|-3|×|-2|=_________ 2. 最大的负整数是_____________;最小的正整数是____________3. 绝对值小于5的整数有______个;绝对值小于6的负整数有_______个4. 4,0得相反数是,-(-4)的相反数是。
5. 绝对值最小的数是36.1的绝对值是。
312133.14?π= 2-3。
7. 20、假设零件的长度比标准多0.1cm记作0.1cm,那么—0.05cm表示____________. 8. 21、大于?411且小于1的整数有。
249. 19、x=y,那么x和y的关系10. 把以下各数填在相应的大括号里:+1124,-6,0.54,7,0,3.14,200%,3万,-,3.4365,-,-2.543。
有理数加减法专项练习【知识梳理1】有理数的加法运算法则 例1. 计算 123(5)2( 1.25)3(2)334-++-++- 【教法说明】先让学生思考本题怎样计算比较简便,可以通过提问的形式让学生之间比较方法。
本题主要考察有理数加法运算,教师需强调有理数的加法法则和有理数的运算律。
【参考答案】[][]123(5)3( 1.25)(2)233421423233=-++-+-+=--+=-解:原式【试一试】计算212(1)(3)(1)(2)2323-+-+-+ 521(2)(3)(15.5)(16)(5)772-+++-+-【参考答案】[][]221(3)(2)(1)2332221(3)(2)(1)2332115(6)5326=-+-+-+=-+-+-+=-+=-解:原式512131516572725211(316)(155)7722201010=-+--=--+-=-+=-解:原式【知识梳理2】有理数的减法运算法则 例2. 计算411(3)2522--- 【教法说明】教法同例题1。
本题主要考察减法运算,要求学生熟练运用减法运算法则和有理数的运算律。
【参考答案】[]4113(2)5224113(2)522441155=++-=++-=+=解:原式例3. 计算 ----+-+1502304849()(.)() 教法说明:先运用有理数减法法则,变减法为加法,再由有理数加法法则进行计算。
本题主要考察加法和减法的混合运算,要求学生熟练掌握加减法运算法则和运算技巧。
【参考答案】124()(0.48)()5039124(0.48)()5039640.02(0.48)()9921250.592918=-+++-+-=-+-++-=-+-++-=-+=-+=-解:原式(统一成加法)(加法交换律)【试一试】1. 计算 614(1)(2)()()777----- 1211(2)5(2)18383---+ 【参考答案】614(2)()()777614614(2)(2)()777777651(2)2777=-----=-++=-++=-+=-解:原式121152183831121(52)(1)8833213233=--++=-++-+=-+=-解:原式2. 计算133********(1)()()()464677----+-- 5111(2)(31)(57)6336----- 【参考答案】[]133********()()46467713731238788()()()()446677592521=+-++-++=++-+-++=-+=解:原式5111315763365111(37)(15)66331147=+-+=++-=-=解:原式【知识梳理3】有理数加法与减法简便运算 ※例4. 计算:10.30.130.320.08160.01-+-+【分析】这道题不能直接利用通分求结果。
有理数的加法计算题(附答案)一、选一选(每小4分,共28分)1、下面的说法中,正确的个数是()(1)一个有理数不是整数就是分数;(2)一个有理数不是正数就是负数;(3)一个整数不是正的就是负的;(4)一个分数不是正的就是负的。
A、1B、2C、3D、42、若ab<0,a+b>0,那么必有()A、符号相反B、符号相反且绝对值相等C、符号相反且负数的绝对值大D、符号相反且正数的绝对值大3、下列几个算式中正确的有()(1)-2-(-5) =-3;(2)-22=-4;(3)(-1/4)÷ (-4) =1;(4)(-3)3=-2A.0个B.1个C.2个D.3个4、已知:a、b、c在数轴上位置如图1,O为原点,则下列正确的是()A、abc>0B、|a|>|c|C、|a|>|b|D、<05、用计算器求103,键入顺序为()6、下列每组数中,相等的是()A.-(-3) 和-3;B. + (-3) 和-(-3);C.-(-3) 和|-3|;D.-(-3) 和-|-3|.7、若a>0>b>c,a+b+c=1,M= ,N= ,P= ,则M、N、P之间的大小关系是()A、M>N>PB、N>P>MC、P>M>ND、M>P>N二、填一填(每小题4分,共44分)8、__ 数的相反数大于它本身;__的倒数等于它本身.9、绝对值等于它本身的数是___;绝对值小于5且大于2的整是__.10、a为有理数,且|a|=-a,则a是.11、-2 的相反数的倒数是.12、-7与绝对值等于8的数的和等于.13、用简便方法计算:99 ×(-5)=.14、观察下面一列数,按某种规律填上适当的数:1,-2,4,-8,,.15、某校有男生m人,占全校学生的48%,则该校女生有.16、如果n是正整数,那么(-1)4n-1+(-1)4n+1=______.17、在一个班的40名学生中,14岁的有10人,15岁的有24人,16岁的有2人,17岁的有4人,那么这个班学生的平均年龄为______岁.18、观察以下等式,猜想第n个等式应为__________.1×2=1/3×1×2×3;1×2+2×3=1/3×2×3×41×2+2×3+3×4=1/3×3×4×5;1×2+2×3+3×4+4×5=1/3×4×5×6,……根据以上规律,请你猜测:1×2+2×3+3×4+……+n(n+1)=(n为自然数)三、计算(每小题7分,共21分)19、17-8÷(-2)+4×(-5);20、-24+3×(-1)6-(-2)3;21、计算:四(7分)、先化简,再求值:22、阅读材料,大数学家高斯在上学读书时曾经研究过这样一个问题:1+2+3+…+100=?经过研究,这个问题的一般性结论是1+2+3+…+ ,其中n是正整数。
之公保含烟创作
初一数学有理数的加法
一、填空题
1.m+0=_______,-m+0=_______,-m+m=_______.2.16+(-8)=_______,(-)+(-)=_______.3.若a=-b,则a+b=_______.
4.若|a|=2,|b|=5,则|a+b|=_______.
5.用算式暗示:温度-10℃上升了3℃到达_______.
二、判断题
1.若a>0,b<0,则a+b>0.()
2.若a+b<0,则a,b两数能够有一个正数.()
3.若x+y=0,则|x|=|y|.()
4.有理数中所有的奇数之和年夜于0.()
5.两个数的和一定年夜于其中一个加数.()
三、选择题
1.有理数a,b在数轴上对应位置如图所示,则a+b 的值为()
A.年夜于0 B.小于0
C.等于0 D.年夜于a
2.下列结论不正确的是()
A.若a>0,b>0,则a+b>0 B.若a<0,b<0,则a+b<0
C.若a>0,b<0,则|a|>|b|,则a+b>0 D.若a<0,b>0,且|a|>|b|,则a+b>0
3.一个数年夜于另一个数的相对值,则这两个数的和是()
A.正数B.正数
C.非正数D.非正数
4.如果两个数的和为正数,那么()
A.这两个加数都是正数B.一个数为正,另一个为0 C.两个数一正一负,且正数相对值年夜D.必属于上面三种之一
四、解答题
一辆货车从货场A动身,向东走了2千米抵达批发部B,持续向东走1.5千米抵达商场C,又向西走了5.5千米抵达超市D,最后回到货场.。
(暑假一日一练)七年级数学上册第1章有理数1.3.1有理数的加法习题学校:___________姓名:___________班级:___________一.选择题(共16小题)1.计算﹣3+1的结果是()A.﹣2 B.﹣4 C.4 D.22.计算:0+(﹣2)=()A.﹣2 B.2 C.0 D.﹣203.温度由﹣4℃上升7℃是()A.3℃B.﹣3℃C.11℃ D.﹣11℃4.我国是最早认识负数,并进行相关运算的国家.在古代数学名著《九章算术》里,就记载了利用算筹实施“正负术”的方法,图1表示的是计算3+(﹣4)的过程.按照这种方法,图2表示的过程应是在计算()A.(﹣5)+(﹣2)B.(﹣5)+2 C.5+(﹣2)D.5+25.如果□+=0,那么□内应填的数是()A.2 B.﹣2 C .﹣ D .6.比﹣2大3的数是()A.﹣3 B.﹣5 C.1 D.27.计算﹣8+3的结果是()A.﹣11 B.﹣5 C.5 D.118.计算(﹣2)+(﹣3)的结果是()A.﹣1 B.1 C.﹣5 D.59.计算﹣(+1)+|﹣1|,结果为()A.﹣2 B.2 C.1 D.010.计算|﹣5+2|的结果是()A.3 B.2 C.﹣3 D.﹣211.气温由﹣2℃上升3℃后是()A.﹣5℃B.1℃C.5℃D.3℃12.在下列执行异号两数相加的步骤中,错误的是()①求两个有理数的绝对值;②比较两个有理数绝对值的大小;③将绝对值较大数的符号作为结果的符号;④将两个有理数绝对值的和作为结果的绝对值A.①B.②C.③D.④13.如图,乐乐将﹣3,﹣2,﹣1,0,1,2,3,4,5分别填入九个空格内,使每行、每列、每条对角线上的三个数之和相等,现在a、b、c分别标上其中的一个数,则a﹣b+c的值为()A.﹣1 B.0 C.1 D.314.下列说法中正确的有()A.3.14不是分数B.﹣2是整数C.数轴上与原点的距离是2个单位的点表示的数是2D.两个有理数的和一定大于任何一个加数A.1个B.2个C.3个D.4个15.下列说法:①所有有理数都能用数轴上的点表示;②符号不同的两个数互为相反数;③有理数包括整数和分数;④两数相加,和一定大于任意一个加数.()A.3个B.2个C.1个D.0个16.绝对值大于2且小于5的所有整数的和是()A.0 B.7 C.14 D.28二.填空题(共8小题)17.计算:|﹣7+3|= .18.x是绝对值最小的有理数,y是最小的正整数,z是最大的负整数,则x+y+z= .19.如果|a|=4,|b|=7,且a<b,则a+b= .20.比﹣39大2的数是.21.小明家的冰箱冷冻室的温度为﹣5℃,调高4℃后的温度是℃.22.若a是最小的正整数,b是绝对值最小的数,c是相反数等于它本身的数,d是到原点的距离等于2的负数,e是最大的负整数,则a+b+c+d+e= .23.计算1+4+9+16+25+…的前29项的和是.24.从1,4,7……295,298(隔3的自然数)中任选两个数相加,和的不同值有个.三.解答题(共4小题)25.(﹣3)+(+15.5)+(﹣6)+(﹣5)26.某检修站,甲小组乘一辆汽车,约定向东为正,从A地出发到收工时,行走记录为(单位:千米):+15,﹣2,+5,﹣1,+10,﹣3,﹣2,+12,+4,﹣5,+6.同时,乙小组也从A地出发,沿南北方向的公路检修线路,约定向北为正,行走记录为:﹣17,+9,﹣2,+8,+6,+9,﹣5,﹣1,+4,﹣7,﹣8.(1)分别计算收工时,甲、乙两组各在A地的哪一边,分别距A地多远?(2)若每千米汽车耗油a升,求出发到收工时两组各耗油多少升?27.如果|a﹣b|=1,|b+c|=1,|a+c|=2,求|a+b+2c|的值.28.已知|x|=7,|y|=12,求代数式x+y的值.参考答案与试题解析一.选择题(共16小题)1.解:﹣3+1=﹣2;故选:A.2.解:0+(﹣2)=﹣2.故选:A.3.解:温度由﹣4℃上升7℃是﹣4+7=3℃,故选:A.4.解:由图1知:白色表示正数,黑色表示负数,所以图2表示的过程应是在计算5+(﹣2),故选:C.5.解:∵两数相加为0,∴两个数互为相反数,∴□内应填﹣.故选:C.6.解:∵﹣2+3=1,∴比﹣2大3的数是1.故选:C.7.解:﹣8+3=﹣5.故选:B.8.解:(﹣2)+(﹣3)=﹣(2+3)=﹣5,故选:C.9.解:原式=﹣1+1=0,故选:D.10.解:|﹣5+2|=|﹣3|=3,故选:A.11.解:﹣2+3=1(℃),故选:B.12.解:执行异号两数相加的步骤:①求两个有理数的绝对值,正确;②比较两个有理数绝对值的大小,正确;③将绝对值较大数的符号作为结果的符号,正确;④将两个有理数绝对值的和作为结果的绝对值,错误.故选:D.13.解:∵5+1﹣3=3,每行、每列、每条对角线上的三个数之和相等,∴a+5+0=33+1+b=3c﹣3+4=3,∴a=﹣2,b=﹣1,c=2,∴a﹣b+c=﹣2+1+2=1,故选:C.14.解:A.3.14是有限小数,是分数,此说法错误;B.﹣2是负整数,此说法正确;C.数轴上与原点的距离是2个单位的点表示的数是2和﹣2,此说法错误;D.两个有理数的和不一定大于任何一个加数,此说法错误;故选:A.15.解:①所有有理数都能用数轴上的点表示,正确;②符号不同的两个数互为相反数,相加为零此时互为相反数,故此选项错误;③有理数包括整数和分数,正确;④两数相加,和一定大于任意一个加数,两负数相加则不同,故此选项错误,故选:B.16.解:绝对值大于2且小于5的所有整数是:﹣4,﹣3,3,4.则﹣4+(﹣3)+3+4=0故选:A.二.填空题(共8小题)17.解:原式=|﹣4|=4.故答案为:418.解:∵x是绝对值最小的有理数,y是最小的正整数,z是最大的负整数,∴x=0,y=1,z=﹣1,则x+y+z=0+1﹣1=0.故答案为:0.19.解:∵|a|=4,|b|=7,且a<b,∴a=﹣4,b=7;a=4,b=7,则a+b=3或11,故答案为:3或11.20.解:比﹣39大2的数是:﹣39+2=﹣37故答案为:﹣3721.解:根据题意得:﹣5+4=﹣1(℃),∴调高4℃后的温度是﹣1℃.故答案为:﹣1.22.解:∵a是最小的正整数,b是绝对值最小的数,c是相反数等于它本身的数,d是到原点的距离等于2的负数,e是最大的负整数,∴a=1,b=0,c=0,d=﹣2,e=﹣1,∴a+b+c+d+e=1+0+0﹣2﹣1=﹣2.故答案为:﹣2.23.解:12+22+32+42+52+…+292+…+n2=0×1+1+1×2+2+2×3+3+3×4+4+4×5+5+…(n﹣1)n+n=(1+2+3+4+5+…+n)+[0×1+1×2+2×3+3×4+…+(n﹣1)n]=+{(1×2×3﹣0×1×2)+(2×3×4﹣1×2×3)+(3×4×5﹣2×3×4)+…+ [(n﹣1)•n•(n+1)﹣(n﹣2)•(n﹣1)•n]}=+ [(n﹣1)•n•(n+1)]=,∴当n=29时,原式==8555.故答案为 8555.24.解:1+4=5,295+298=593,和是隔3的自然数,n=(593﹣5)÷3+1=588÷3+1=197.故答案为:197.三.解答题(共4小题)25.解:原式=(﹣3﹣6)+(15.5﹣5)=﹣10+10=0.26.解:(1)∵(+15)+(﹣2)+(+5)+(﹣1)+(+10)+(﹣3)+(﹣2)+(+12)+(+4)+(﹣5)+(+6)=39,∴收工时,甲组在A地的东边,且距A地39千米.∵(﹣17)+(+9)+(﹣2)+(+8)+(+6)+(+9)+(﹣5)+(﹣1)+(+4)+(﹣7)+(﹣8)=﹣4,∴收工时,乙组在A地的南边,且距A地4千米;(2)从出发到收工时,甲组耗油为[|+15|+|﹣2|+|+5|+|﹣1|+|+10|+|﹣3|+|﹣2|+|+12|+|+4|+|﹣5|+|+6|]×a=(15+2+5+1+10+3+2+12+4+5+6)×a=65a(升),乙组耗油[|﹣17|+|+9|+|﹣2|+|+8|+|+6|+|+9|+|﹣5|+|﹣1|+|+4|+|﹣7|+|﹣8|]×a =(17+9+2+8+6+9+5+1+4+7+8)×a=76a(升).27.解:|a+c|=|a﹣b+b+c|=2,∵|a﹣b|=1,|b+c|=1,∴a﹣b=b+c=1或a﹣b=b+c=﹣1,①a﹣b=b+c=1时,a+c=2,所以,|a+b+2c|=|a+c+b+c|=|1+2|=3,②a﹣b=b+c=﹣1时,a+c=﹣2,所以,|a+b+2c|=|a+c+b+c|=|﹣1﹣2|=3,故|a+b+2c|=3.28.解:∵|x|=7,|y|=12,∴x=±7,y=±12.当x=7,y=12时,x+y=7+12=19;当x=﹣7,y=12时,x+y=﹣7+12=5;当x=7,y=﹣12时,x+y=7﹣12=﹣5;当x=﹣7,y=﹣12时,x+y=﹣7+(﹣12)=﹣19.。
有理数四则运算练习题100道有理数加法 1、+2、+23、+ =-2 =1=-62原则一:所有正数求和,所有负数求和,最后计算两个数的差,取绝对值较大的数的符号。
7、|5+| =158、+|―| =-159、8+++=010、++2+ 11、+0+++ 13=-17=-16、2+65++ 17、+|-63|+|-37|+ = =018、19++418、+++ =-12=-420、+++ 1、++2++12=-5=2有理数减法7-―7― 0-- =-2=-16=9=-12---―― |-32|――72― =-=39.5=-233163―――10―3――7――=―70 =-10 =00.5+-+ -+-=3. =2原则三:结果的形式要与题目中数的形式保持一致。
如确定是分数还是小数,分数必须是带分数或真分数,不得是假分数,过程中无所谓。
有理数乘法× × ×31×=-6=0.0=31×+× ××0.5× ××=- =-60 =0.9××4×××=-4=-1-+6.75-―――5.1==7.4――― ―――=1=2.5-84-59+46-3 -44+6+―=-131=-7×4××4×××=-1 =2×5×36=32—63+12=30—27—2=1=-2525×-×+25× ×=25×=-16-30+21=25×1=-2=372原则四:巧妙运用运算律×72×××2758=28+54-60+56=××× =7=28有理数除法318÷ ÷÷÷ ÷= -=- =1=- =2593÷ ÷90.25÷-36÷÷=- = -1 =-2=-4026-3÷÷÷× =-36= =-1173733751÷× -×÷ ÷ ==-=206÷÷3÷× 0÷[×] =1=18=0÷-3.××÷ -1÷×1×=-6=1=-4=-6原则五:结果的形式要与题目中数的形式保持一致。
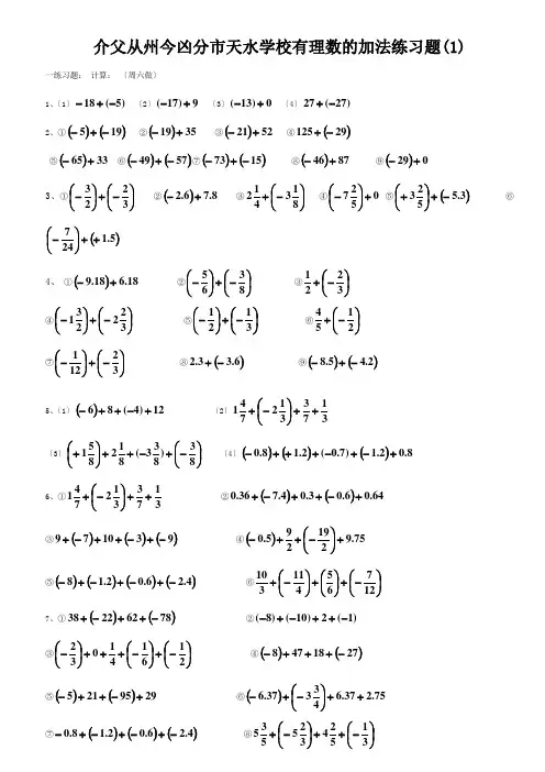
介父从州今凶分市天水学校有理数的加法练习题(1)一练习题: 计算: 〔周六做〕 1、〔1〕)5(18-+- 〔2〕9)17(+- 〔3〕0)13(+- 〔4〕)27(27-+2、①()()195-+- ②()3519+- ③()5221+- ④()29125-+⑤()3365+- ⑥()()5749-+-⑦()()1573-+- ⑧()8746+- ⑨()029+-3、①⎪⎭⎫ ⎝⎛-+⎪⎭⎫ ⎝⎛-3223 ②()8.76.2+- ③⎪⎭⎫ ⎝⎛-+813412 ④0527+⎪⎭⎫ ⎝⎛- ⑤()3.5523-+⎪⎭⎫ ⎝⎛+ ⑥()5.1247++⎪⎭⎫⎝⎛- 4、 ①()18.618.9+- ②⎪⎭⎫ ⎝⎛-+⎪⎭⎫ ⎝⎛-8365 ③⎪⎭⎫⎝⎛-+3221 ④⎪⎭⎫ ⎝⎛-+⎪⎭⎫ ⎝⎛-322231⑤⎪⎭⎫⎝⎛-+⎪⎭⎫ ⎝⎛-3121 ⑥⎪⎭⎫ ⎝⎛-+2154 ⑦⎪⎭⎫⎝⎛-+⎪⎭⎫ ⎝⎛-32121 ⑧()6.33.2-+ ⑨()()2.45.8-+- 5、〔1〕()12)4(86+-++- 〔2〕3173312741++⎪⎭⎫ ⎝⎛-+〔3〕⎪⎭⎫⎝⎛-+-++⎪⎭⎫ ⎝⎛+83)833(812851〔4〕()()()8.02.1)7.0(2.18.0+-+-+++- 6、①3173312741++⎪⎭⎫ ⎝⎛-+ ②()()64.06.03.04.736.0+-++-+ ③()()()931079-+-++-+④()75.9219295.0+⎪⎭⎫ ⎝⎛-++-⑤()()()()4.26.02.18-+-+-+- ⑥⎪⎭⎫⎝⎛-+⎪⎭⎫ ⎝⎛+⎪⎭⎫ ⎝⎛-+127654113107、①()()78622238-++-+②)1(2)10()8(-++-+-③⎪⎭⎫⎝⎛-+⎪⎭⎫ ⎝⎛-+++⎪⎭⎫ ⎝⎛-216141032 ④()()2718478-+++- ⑤()()2995215+-++- ⑥()75.237.643337.6++⎪⎭⎫ ⎝⎛-+-⑦()()()4.26.02.18.0-+-+-+- ⑧⎪⎭⎫⎝⎛-++⎪⎭⎫ ⎝⎛-+31524325535二计算:〔周日做〕1、 (1)(-)+(); (2)(-251)+(-); (3)(-131)+(-275); (4)(-483)+2125; (5)0+(-115); 〔6〕276+〔-176〕; 〔7〕 -〔-1731〕+〔-1731〕; 〔8〕〔-3〕+〔+721〕+〔〕;(9) (+6)+(-12)++(-)+(+)+(-); (10) 3+(-141)+(-365)+(-20101)+(-465). 2、用简便方法计算〔1〕〔+23〕+〔-27〕+〔+9〕+〔-5〕; 〔2〕〔-〕+(+0.2)+(-0.6)+(+0.35)+(-0.25);(3) 231+[653+(-231)+(-552)]+(-); (4) (-385)+(4121)+[(-65)+(+285)+(1+11211)]; (5) 841+[673+(-341)+(-574)]+(-376). 〔5〕12+(-8)+11+(-2)+(-12) 〔6〕 (-20.75)+3—+(-5)+(+19)〔7〕 5+(-0.6)+5+(-) 〔8〕 1+(-2)+3+(-4)+ …+2007+(-2021)3、(1)求绝对值小于4的所有整数的和;(2)设m 为-5的相反数与-12的和,n 为比-6大5的数,求m+n. 4、计算:(1) 、〔-9〕+〔-13〕 〔2〕、 〔-12〕+27 〔3〕、〔-28〕+〔-34〕 〔4〕、 67+〔-92〕(5) 、(-2)+4 〔6〕、〔-23〕+7+〔-152〕+65 〔7〕、 |+52+〔-31〕| + 〔-52〕+|―31|〔8〕、38+〔-22〕+〔+62〕+〔-78〕 〔9〕、〔-8〕+〔-10〕+2+〔-1〕 〔10〕、〔-8〕+47+18+〔-27〕 〔11〕、〔-32〕+0+〔+41〕+〔-61〕+〔-21〕 〔12〕、〔-5〕+5+〔-0.25〕+〔-5〕+〔-〕(13)、〔-5〕+21+〔-95〕+29 〔14〕、 6+〔-7〕+〔9〕+2 〔15〕、 72+65+〔-105〕+〔-28〕 (16)、〔-23〕+|-63|+|-37|+〔-77〕 〔17) 、 19+〔-195〕+47 (18) 、〔+18〕+〔-32〕+〔-16〕+〔+26〕〔19〕、〔-0.8〕+〔-〕+〔-0.6〕+〔-〕 〔20)、 〔-7〕+〔-343〕+7+5〔21〕、〔-8〕+〔-321〕+2+〔-21〕+12 〔22〕、 553+〔-532〕+452+〔-31〕三、计算〔周一做〕〔1〕 〔-2〕+3+1+〔-3〕+2+〔-4〕 (2) (-3)+40+(-32)+(-8)(3) 13+(-56)+47+(-34) (4) 43+(-77)+27+(-43)〔5〕23+〔-17〕+6+〔-22〕 〔6〕〔-2〕+3+1+〔-3〕+2+〔-4〕 〔7〕9+〔-2〕+8+(-8)+(-8)(8)〔-2〕+4+〔-6〕+8+…+〔-46〕+48 (9)1+2+3+…+99+100 (10)-1-2-3-…-99-100(11)(+66)+(―12)+(+1)+(―〕+(+)+(―) 四、绝对值:〔 周六日做 〕[典型例题] 1、〔教材变型题〕假设4x -=,那么x =__________;假设30x -=,那么x =__________;假设31x -=,那么x =__________. 2、〔易错题〕化简(4)--+的结果为___________3、〔教材变型题〕如果22a a -=-,那么a 的取值范围是 〔 〕A 、0a> B 、0a ≥ C 、0a ≤ D 、0a <4、〔创新题〕代数式23x -+的最小值是 〔 〕A 、0B 、2C 、3D 、55、(章节内知识点综合题)a b 、为有理数,且0a <,0b >,a b>,那么 〔 〕A 、ab b a <-<<- B 、b a b a -<<<- C 、ab b a -<<-< D 、b b a a -<<-<6、数轴上,绝对值为4,且在原点左边的点表示的有理数为___________.7、〔1〕绝对值小于π的整数有______________________ 〔2)绝对值不大于4的整数有______________________ 〔3〕绝对值小于10.1的整数有______________________ (4〕绝对值小于1163的整数有______________________(5〕到原点的距离不大于的点表示的所有整数是______________________ 8、当0a>时,a =_________,当0a <时,a=_________, 9、如果3a >,那么3a -=__________,3a-=___________.10、假设1x x=,那么x 是_______〔选填“正〞或“负〞〕数;假设1x x=-,那么x 是_______〔选填“正〞或“负〞〕数;11、3x =,4y =,且x y <,那么x y +=________12、(章节内知识点综合题)有理数a b c 、、在数轴上的位置如下列图,化简0a b c -+--13、〔科学探究题〕3a =,2b =,1c =且a b c <<,求a b c ++的值14、(1)一个数比它的绝对值小10,这个数是________________;(2)一个数的相反数的绝对值与这个数的绝对值的相反数的关系是______________; (3)一个数的绝对值与这个数的倒数互为相反数,那么这个数是________________; (4)假设a<0,b<0,且|a|>|b|,那么a 与b 的大小关系是______________; (5)绝对值不大于3的整数是____________________,其和为_____________; (6〕在有理数中,绝对值最小的数是_____;在负整数中,绝对值最 小的数是_____; 绝对值小于10的整数有_____个,其中最小的一个是_____; 〔7〕一个数的绝对值的相反数是-0.04,这个数是_______;〔8〕假设a 、b 互为相反数,那么|a|____|b|; 假设|a|=|b|,那么a 和b 的关系为__________. 15、解答题:〔1〕|x+2|=|-6| ,求x 〔2〕 |1 -x|= |31-| , 求x 〔3〕 |3x-2|=|2-x| , 求x (4) | 2a+1| = - |3b-1| ,求4a-6b+1的值(5) |a|+|b|=9 , 且 |a|=2,求b 的值五、解答题: 〔下面习题下周我在安排做〕 〔6〕 假设y x -+3-y =0 ,求2x+y 的值.〔7〕化简:| π-5|+|4 - π|+|-π+|O A B B O A B O A B (A )O 〔8〕假设|a|=|-4| ,|b|=|-6| 且a<b ,求a+b 的值 〔9〕假设|a-1|=|-4| ,|2-b|=|-3| 且|a|<|b| ,求a+b 的值 〔10〕 假设3+-y x 与1999-+y x 互为相反数,求x+ y+ 3(x-y)的值。
有理数的加法例子
1. 咱就说,1+2 不就是有理数的加法嘛!就好像你有一个苹果,我又
给了你两个苹果,那你现在不就有三个苹果了嘛,这多简单呀!
2. 你想想,(-3)+5 呀,不就像你欠了别人 3 块钱,结果突然又得到了 5 块钱,那最后你不还赚了 2 块嘛,这不是很好理解嘛!
3. 哎呀呀!2+(-2) 不就是很典型嘛!好比你有两块糖,然后你给出去两块,那不就又回到原点啦,有意思吧!
4. 嘿,4+(-1) 呢,就像你有 4 个玩具,不小心弄丢了 1 个,那还剩下 3 个呀,对不对!
5. 再来一个,(-5)+(-3) 呀,这就好比你今天特别倒霉,丢了 5 块钱,接着
又丢了 3 块钱,一共不就丢了 8 块钱嘛,这可真让人郁闷呐!
6. 哇塞,3+0 呀,这不就是你本来有 3 个啥,然后啥都没增加也没减少,
不还是 3 个嘛,多直观呀!
7. 瞧瞧,(-1)+(-4) 呀,就如同你一直在走霉运,先是发生一件坏事,接着
又来一件更坏的,哎呀,可真惨呐!
8. 最后一个,10+(-5) 呢,就好像你本来有 10 个积分,结果因为犯了个小错扣掉了 5 个,还剩下 5 个积分啦。
我觉得有理数的加法就是生活中各种情况的一种数学表达呀,能帮我们更好地理解和处理生活中的数量变化呢!。
有理数运算作业练习一(有理数加法) 一、直接写出答案: ① (-8)+(-9)= ② (-17)+21= ③ 45+(-23)=④ (-45)+23= ⑤ (-39)+(-45)= ⑥ (-28)+37= ⑦ (-13)+0=⑧ (-2.8)+2.8=⑨ (-0.9)+1.5= ⑩=⎪⎭⎫ ⎝⎛-+3221 二、计算:①31+(-28)+28+69 ②(-3)+40+(-32)+(-8)③(-301)+125+301+(-75) ④(-26)+52+16+(-72)⑤()36201124201+-++- ⑥⎪⎭⎫ ⎝⎛-+⎪⎭⎫ ⎝⎛-++⎪⎭⎫ ⎝⎛-+3121543221⑦()7110411421+-+⎪⎭⎫ ⎝⎛-++⎪⎭⎫ ⎝⎛+.. ⑧()⎪⎭⎫ ⎝⎛++⎪⎭⎫ ⎝⎛++-+⎪⎭⎫ ⎝⎛-2157218515723.练习二(有理数减法) 一、直接写出答案: ① 8-(-7)= ② (-3)-2= ③ 0-(-23)=④ (-6)-0=⑤ (-39)-(-5)= ⑥ 7.2-(-4.8)= ⑦ (-6)-6=⑧ 3.8-(-4.2)⑨ 415213-⎪⎭⎫ ⎝⎛-= ⑩ =⎪⎭⎫ ⎝⎛+-⎪⎭⎫ ⎝⎛-323212二、计算:①(-36)-(-21)―(―18)-16 ②(-32)-(-12)-40-(-15)⑤()()24321625++-+-+- ⑥⎪⎭⎫ ⎝⎛--⎪⎭⎫ ⎝⎛++⎪⎭⎫ ⎝⎛-+7312121274⑦()71102111421---⎪⎭⎫ ⎝⎛---⎪⎭⎫ ⎝⎛-.. ⑧()⎪⎭⎫ ⎝⎛++⎪⎭⎫ ⎝⎛+---⎪⎭⎫ ⎝⎛-2157518515723.练习三(有理数加减混合运算) 一、直接写出答案: ① -10+4.3= ② (-25.8)+10.8= ③ =⎪⎭⎫ ⎝⎛--⎪⎭⎫ ⎝⎛-5354④ =⎪⎭⎫ ⎝⎛--⎪⎭⎫ ⎝⎛-8385=⑤=⎪⎭⎫ ⎝⎛--4321 ⑥ 4.5-211= ⑦=⎪⎭⎫ ⎝⎛--⎪⎭⎫ ⎝⎛-3423⑧ -10.1-109 二、计算:①(-7)+24+(―4)-3 ②12+(-8)-(-11)+9③-5.3-(-2.3)+(-3.2) ④()⎪⎭⎫ ⎝⎛---+435021. ⑤ ⎪⎭⎫ ⎝⎛--⎪⎭⎫ ⎝⎛-+⎪⎭⎫ ⎝⎛-+325253825 ⑥()751827256431..-⎪⎭⎫⎝⎛---+⑦⎪⎭⎫ ⎝⎛----⎪⎭⎫⎝⎛-+⎪⎭⎫ ⎝⎛-41433132 ⑧⎥⎦⎤⎢⎣⎡+⎪⎭⎫ ⎝⎛-+⎥⎦⎤⎢⎣⎡⎪⎭⎫ ⎝⎛-+1216721711254练习四(有理数加减混合运算) 计算:①-3.5+(-2.5)+(-15) ②⎪⎭⎫ ⎝⎛--⎪⎭⎫ ⎝⎛-+-83872132③ ⎪⎭⎫⎝⎛-+⎪⎭⎫ ⎝⎛---73537152 ④⎪⎭⎫ ⎝⎛-+⎪⎭⎫ ⎝⎛--⎪⎭⎫ ⎝⎛-+21543221⑤ ⎪⎭⎫ ⎝⎛-+⎪⎭⎫ ⎝⎛---83318132 ⑥4134112353+⎪⎭⎫ ⎝⎛-+-⑦ 3684127310433..--⎪⎭⎫ ⎝⎛++-+ ⑧()217524150+--⎪⎭⎫⎝⎛-+..⑨21583125332612525+--+-+.. ⑩145253735374149-⎪⎭⎫ ⎝⎛--⎪⎭⎫ ⎝⎛++⎪⎭⎫ ⎝⎛+-⎪⎭⎫ ⎝⎛--⎪⎭⎫ ⎝⎛-练习五(有理数加减混合运算) 计算:①-17+(+65)+(-18)-20 ②4.7-(-8.9)-7.5+(-6)③ 74372811711--+- ④⎪⎭⎫ ⎝⎛--⎪⎭⎫ ⎝⎛+-⎪⎭⎫ ⎝⎛-+-1131114353522⑤ 54831138385113-+-+- ⑥31243214+-+-⑦ ⎪⎭⎫ ⎝⎛+-⎪⎭⎫ ⎝⎛-+-21331121250. ⑧⎪⎭⎫ ⎝⎛+--72656575⑨()6125065213+-+⎪⎭⎫ ⎝⎛++⎪⎭⎫ ⎝⎛-. ⑩()25032118134131250..-+⎪⎭⎫ ⎝⎛--⎪⎭⎫ ⎝⎛+-⎪⎭⎫ ⎝⎛--练习六(有理数乘法) 一、直接写出答案: ① -3×6= ② (-7)×(-9)= ③ =⎪⎭⎫⎝⎛-⨯⎪⎭⎫ ⎝⎛-5885 ④ ()=⎪⎭⎫ ⎝⎛-⨯-515= ⑤(-6)×(-8)= ⑥ -83×0= ⑦=⎪⎭⎫⎝⎛-⨯⎪⎭⎫ ⎝⎛+4932 ⑧ -6×0.25=⑨=⎪⎭⎫ ⎝⎛-⨯⎪⎭⎫ ⎝⎛-31025 ⑩ =⎪⎭⎫ ⎝⎛-⨯814 二、计算:①36.4×18.5×0×(-26.7) ②⎪⎭⎫⎝⎛+⨯⎪⎭⎫ ⎝⎛-215107③(-100)×(-1)×(-3)×(-0.5) ④⎪⎭⎫ ⎝⎛-⨯-313212⑤ ⎪⎭⎫ ⎝⎛-⨯⎪⎭⎫ ⎝⎛-⨯⎪⎭⎫ ⎝⎛-1582173 ⑥⎪⎭⎫ ⎝⎛+-⨯16518⑦⎪⎭⎫ ⎝⎛-⨯⎪⎭⎫ ⎝⎛-⨯⎪⎭⎫ ⎝⎛-⨯54433221 ⑧⎪⎭⎫⎝⎛-⨯⨯⎪⎭⎫ ⎝⎛-⨯--76879810940.练习七(有理数乘法) 计算:①(-85)×(-25)×(-4) ②30151109⨯⎪⎭⎫⎝⎛- ③ 72524⨯ ④()11141319-⨯⑤ ⎪⎭⎫ ⎝⎛-⨯⨯⎪⎭⎫⎝⎛-7111987 ⑥534265⨯⨯-.⑦ ()82014251-⨯⎪⎭⎫ ⎝⎛-⨯. ⑧36187436597⨯⎪⎭⎫⎝⎛-+-⑨⎪⎭⎫ ⎝⎛-⨯-⎪⎭⎫ ⎝⎛-⨯⎪⎭⎫ ⎝⎛--⎪⎭⎫ ⎝⎛-⨯5311351355313554 ⑩()()720945212957201253..⨯+⎪⎭⎫ ⎝⎛-⨯-+⨯+-⨯⎪⎭⎫ ⎝⎛-练习八(有理数乘法) 计算:①(-2)×(-7)×(-5)×(-71) ②()5614381174-⨯⎪⎭⎫⎝⎛+-③ ()36171110849⨯⎪⎭⎫ ⎝⎛-⨯-⨯ ④()6232136-⨯⑤ (-6)×(-25)×(-0.04) ⑥⎪⎭⎫ ⎝⎛--⨯-040311843.⑦ ()1287986-⨯⎪⎭⎫⎝⎛-⨯ ⑧()⎪⎭⎫⎝⎛-+-⨯-87432124⑨(-125)×(-25)×(-5)×(+2)×(-4)×(-8) ⑩()3211237443750237-⨯-⎪⎭⎫ ⎝⎛-⨯-⨯⎪⎭⎫⎝⎛-.练习九(有理数乘法) 一、直接写出答案: ① 8÷(-4)= ② (-8)÷(-4)= ③ =⎪⎭⎫⎝⎛-÷581④ =⎪⎭⎫⎝⎛-÷413= ⑤(-36)÷(-12)= ⑥ (-0.85)÷0.17= ⑦=⎪⎭⎫ ⎝⎛-÷⎪⎭⎫ ⎝⎛-3454⑧ 2.25÷(-1.5)=⑨=⎪⎭⎫ ⎝⎛-÷⎪⎭⎫ ⎝⎛-31035 ⑩ =⎪⎭⎫⎝⎛-÷810二、计算:①(-10)÷(-8)÷(-0.25) ②()⎪⎭⎫ ⎝⎛-÷÷-384121.③()()6416116-÷⎪⎭⎫ ⎝⎛-÷- ④21212411÷⎪⎭⎫ ⎝⎛-÷⎪⎭⎫ ⎝⎛-⑤ ⎪⎭⎫ ⎝⎛-÷⎪⎭⎫ ⎝⎛-÷⎪⎭⎫ ⎝⎛-3214374 ⑥⎪⎭⎫⎝⎛-÷⎪⎭⎫ ⎝⎛-215323⑦()⎪⎭⎫⎝⎛-÷⨯÷-21134413338 ⑧5244361832411÷⎥⎦⎤⎢⎣⎡⨯⎪⎭⎫ ⎝⎛-+-练习十(有理数混合运算) 一、计算:①(-10)×51×(-2.5)×(-32) ②()9425065⨯-⨯⨯⎪⎭⎫⎝⎛-. ③⎪⎭⎫ ⎝⎛-÷⎪⎭⎫ ⎝⎛+--121216141 ④⎪⎭⎫⎝⎛-÷⎪⎭⎫ ⎝⎛-8116159⑤ ⎪⎭⎫⎝⎛-÷⨯⨯-5427443128 ⑥()()16944981-÷⨯÷--⑦()92294954⨯⎪⎭⎫ ⎝⎛-÷⨯- ⑧⎪⎭⎫ ⎝⎛-÷⎥⎦⎤⎢⎣⎡⎪⎭⎫ ⎝⎛---6114541213312 ⑨⎪⎭⎫ ⎝⎛-÷⎥⎦⎤⎢⎣⎡⎪⎭⎫ ⎝⎛---⎪⎭⎫ ⎝⎛---4811631254132 ⑩()31234317503-⨯-÷⎪⎭⎫⎝⎛-÷⨯-.二、(1)(9-10)×(10-11)×(11-12)×……×(108-109) (2)65331653765347⨯+⨯+⨯⎪⎭⎫ ⎝⎛- (3)1000405310790⨯⎥⎦⎤⎢⎣⎡+⎪⎭⎫ ⎝⎛-+-..(4)23435631211-÷-⨯+- (5) ()⎪⎭⎫ ⎝⎛-⨯⎪⎭⎫ ⎝⎛+÷-211324(6)⎥⎦⎤⎢⎣⎡⎪⎭⎫ ⎝⎛+---12737121252 (7)3611273543÷⎪⎭⎫ ⎝⎛-+- (8)451132131511÷⨯⎪⎭⎫ ⎝⎛-⨯ (9) ()1452535213⨯-÷+-(10)()⎪⎭⎫⎝⎛-⨯-÷-324824 (11))41(43)31()32(----+-- (12)18172411712111324--+-(13) 当b>0时,a,a-b,a+b 哪个最大?哪个最小?当b<0时,a,a-b,a+b 哪个最大?哪个最小?。
专题复习-----有理数的加减运算好题精选(1)(2011.9)一。
有理数的加法:例题1:规定—种新运算:a△b = a×b-a-b + 1,如:1△2=1×2-1-2+1,则2△(-3)______3△(-4). ( ) A.大于 B.小于 C.等于 D.以上的不对例题2:如图,化简:2+|a-2|+|b-2|.例题5:两个有理数相加,请写出满足下列条件的一个算式:(1)和等于其中一个加数___________________;(2)和等于其中一个加数的相反数__________________________;(3)和大于每一个加数___________________________;(4)和小于每一个加数________________________________;(5)和大于其中一个加数而小于另一个加数_________________________;例题6:若1<x<4,化简1-xx的结果是。
+4-例题7:某工厂生产一批零件,根据零件质量要求:零件的长度可以有0.2㎝的误差,现抽查5个零件,检查数据记录如下表(超过规定长度的厘米数记为正数,不足规定长度的厘米数记为负数):(1)这5个零件中,符合要求的零件是哪几个?(2)这5个零件中,质量最好的是第几个?请说明理由.巩固练习:(一)1.绝对值大于3而小于6的所有整数的和是()A.9 B.-9 C.0 D.12.一天早晨的气温是-12℃,中午上升了5℃,半夜又下降了8℃,半夜的气温是( • )A.-25℃ B.-9℃ C.1℃ D.-15℃3. -10与+7的和的相反数是_______.4.若│x│=6,│y│=4,则x+y的值是()A.10或2 B.-2或-10 C.10 D.±10或±25. 已知两个数是3和-5,这两个数的和的绝对值是_______,这两个数的绝对值的和是______.(二)1.司机小李所开的出租车某时间段的乘客都在东西走向的西湖大道上。