(教师用书)2020高中数学 集合单元质量评估 北师大版必修1
- 格式:doc
- 大小:195.00 KB
- 文档页数:6
2019-2020年高中数学第一章集合阶段质量评估北师大版必修一、选择题(本大题共10小题,每小题5分,共50分.在每小题给出的四个选项中,只有一项是符合题目要求的)1.已知集合A={x|-1≤x<3},B={x|2<x≤5},则A∪B等于()A.{x|2<x<3}B.{x|-1≤x≤5}C.{x|-1<x<5} D.{x|-1<x≤5}解析:结合数轴分析可知,A∪B={x|-1≤x≤5}.答案:B2.符合条件{a}P⊆{a,b,c}的集合P的个数是()A.2 B.3C.4 D.5解析:集合P内除了含有元素a外,还必须含b,c中至少一个,故P={a,b},{a,c},{a,b,c}共3个.答案:B3.已知集合A,B均为集合U={1,3,5,7,9}的子集,若A∩B={1,3},(∁U A)∩B={5},则集合B等于()A.{1,3} B.{3,5}C.{1,5} D.{1,3,5}解析:画出满足题意的Venn图,由图可知B={1,3,5}.答案:D4.设M={x|x=a2+1,a∈N*},P={y|y=b2-4b+5,b∈N*},则下列关系正确的是() A.M=P B.MPC.PM D.M与P没有公共元素解析:∵a∈N*,∴x=a2+1=2,5,10,….∵b∈N*,∴y=b2-4b+5=(b-2)2+1=1,2,5,10,….∴MP.答案:B5.若全集U={1,2,3,4,5,6},M={2,3},N={1,4},则集合{5,6}等于()A.M∪N B.M∩NC.(∁U M)∪(∁U N) D.(∁U M)∩(∁U N)解析:∵∁U M={1,4,5,6},∁U N={2,3,5,6},∴(∁U M)∩(∁U N)={5,6}.答案:D6.如图,I为全集,M,P,S是I的三个子集,则阴影部分所表示的集合是() A.(M∩P)∩S B.(M∩P)∪SC.(M∩P)∩(∁I S) D.(M∩P)∪(∁I S)解析:阴影部分在M中,也在P中但不在S中,故表示的集合为(M∩P)∩(∁I S).答案:C7.已知集合A={x|x<3,或x≥7},B={x|x<a}.若(∁U A)∩B≠∅,则a的取值范围为() A.a>3 B.a≥3C.a≥7 D.a>7解析:因为A={x|x<3,或x≥7},所以∁U A={x|3≤x<7},又(∁U A)∩B≠∅,则a>3.答案:A8.已知集合A={x|x>a},B={x|1<x<2},且A∪(∁R B)=R,则实数a的取值范围是() A.{a|a≤1} B.{a|a<1}C.{a|a≥2} D.{a|a>2}解析:∁R B={x|x≤1或x≥2},∵A∪(∁R B)=R,∴a≤1.答案:A9.若集合A={x||x|=1},B={x|ax=1},若A∪B=A,则实数a的值为()A.1 B.-1C.1或-1 D.1或0或-1解析:∵A={-1,1}且A∪B=A,∴B⊆A,∴B={-1}或{1}或∅.当B={1}时a=1;当B={-1}时a=-1;当B=∅时a=0.∴a的值为0或1或-1.答案:D10.定义集合M与N的新运算:M⊕N={x|x∈M或x∈N且x∉M∩N},则(M⊕N)⊕N =()A.M∩N B.M∪NC.M D.N解析:按定义,M⊕N表示右上图的阴影部分,两圆内部的公共部分表示M∩N.(M⊕N)⊕N应表示x∈M⊕N或x∈N且x∉(M⊕N)∩N的所有x的集合,(M⊕N)∩N表示右下图右边的阴影部分,因此(M⊕N)⊕N=M.答案:C二、填空题(本大题共4小题,每小题5分,共20分.请把正确答案填在题中横线上)11.已知集合A={x|x≤2},B={x|x>a},如果A∪B=R,那么a的取值范围是________.解析:如图中数轴所示,要使A∪B=R,需满足a≤2.答案:a≤212.集合A={1,2,3,5},当x∈A时,若x-1∉A,x+1∉A,则称x为A的一个“孤立元素”,则A中孤立元素的个数为________.解析:当x=1时,x-1=0∉A,x+1=2∈A;当x=2时,x-1=1∈A,x+1=3∈A;当x=3时,x-1=2∈A,x+1=4∉A;当x=5时,x-1=4∉A,x+1=6∉A;综上可知,A中只有一个孤立元素5.答案:513.设U=R,A={x|x>0},B={x|x>1},则A∩(∁U B)=________________________________________________________________________.解析:∵∁U B={x|x≤1},借助数轴可以求出∁U B与A的交集为图中阴影部分,即{x|0<x≤1}.答案:{x|0<x≤1}14.已知集合A{2,3,7},且A中至多有1个奇数,则这样的集合共有________个.解析:(1)若A中有且只有1个奇数,则A={2,3}或{2,7}或{3}或{7};(2)若A中没有奇数,则A={2}或∅.答案:6三、解答题(本大题共4个小题,满分50分.解答应写出必要的文字说明、证明过程或演算步骤)15.(12分)已知M ={1,t },N ={t 2-t +1},若M ∪N =M ,求t 的取值集合. 解析: ∵M ∪N =M , ∴N ⊆M ,即t 2-t +1∈M ,(1)若t 2-t +1=1,即t 2-t =0,解得t =0或t =1,当t =1时,M 中的两元素相同,不符合集合中元素的互异性,舍去.∴t =0. (2)若t 2-t +1=t ,即t 2-2t +1=0,解得t =1, 由(1)知不符合题意,舍去. 综上所述,t 的取值集合为{0}.16.(12分)已知集合A ={x |-1≤x <3},B ={x |2x -4≥x -2}. (1)求A ∩B ;(2)若集合C ={x |2x +a >0},满足B ∪C =C ,求实数a 的取值范围. 解析: (1)∵B ={x |x ≥2}, ∴A ∩B ={x |2≤x <3}(2)∵C =⎩⎨⎧⎭⎬⎫x ⎪⎪x >-a 2,B ∪C =C ⇔B ⊆C ,∴-a2<2, ∴a >-4.∴a 的取值范围是{a |a >-4}.17.(13分)若集合A ={x |-3≤x ≤4}和B ={x |2m -1≤x ≤m +1}. (1)当m =-3时,求集合A ∩B . (2)当B ⊆A 时,求实数m 的取值范围. 解析: (1)当m =-3时,B ={x |-7≤x ≤-2}, A ∩B ={x |-3≤x ≤-2}. (2)∵B ⊆A ,∴B =∅或B ≠∅. 当B =∅时,2m -1>m +1,即m >2. 当B ≠∅时,有 ⎩⎪⎨⎪⎧2m -1≤m +12m -1≥-3m +1≤4,即-1≤m ≤2.综上所述,所求m 的范围是m ≥-1.18.(13分)已知全集U =R ,集合A ={a |a ≥2或a ≤-2},B ={a |关于x 的方程ax 2-x +1=0有实根}.求A ∪B ,A ∩B ,A ∩(∁U B ).解析: A ={a |a ≥2或a ≤-2},对于方程ax2-x+1=0有实根,当a=0时,x=1;当a ≠0时,Δ=1-4a ≥0,a ≤14. 所以B =⎩⎨⎧⎭⎬⎫a | a ≤14 .所以A ∪B =⎩⎨⎧⎭⎬⎫a | a ≤14或a ≥2,A ∩B ={a |a ≤-2}, A ∩(∁U B )={a |a ≥2}..。
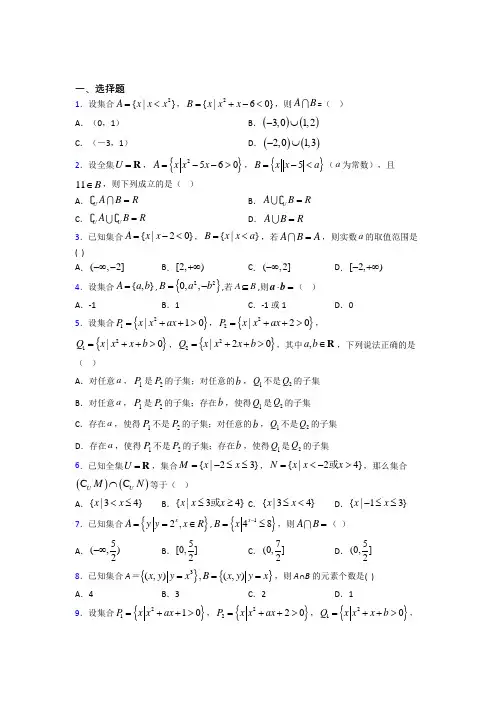
一、选择题1.设集合2{|}A x x x =<,2}6{|0B x x x =+-<,则A B =( )A .(0,1)B .()()3,01,2-⋃C .(-3,1)D .()()2,01,3-⋃2.设全集U =R ,{}2560A x x x =-->,{}5B x x a =-<(a 为常数),且11B ∈,则下列成立的是( )A .U AB R =B .UA B R =C .UUAB R = D .AB R =3.已知集合{|20}A x x =-<,{|}B x x a =<,若A B A =,则实数a 的取值范围是( )A .(,2]-∞-B .[2,)+∞C .(,2]-∞D .[2,)-+∞4.设集合{,}A a b =,{}220,,B a b =-,若A B ⊆,则⋅=a b ( )A .-1B .1C .-1或1D .05.设集合{}21|10P x x ax =++>,{}22|20P x x ax =++>,{}21|0Q x x x b =++>,{}22|20Q x xx b =++>,其中,a b ∈R ,下列说法正确的是( )A .对任意a ,1P 是2P 的子集;对任意的b ,1Q 不是2Q 的子集B .对任意a ,1P 是2P 的子集;存在b ,使得1Q 是2Q 的子集C .存在a ,使得1P 不是2P 的子集;对任意的b ,1Q 不是2Q 的子集D .存在a ,使得1P 不是2P 的子集;存在b ,使得1Q 是2Q 的子集6.已知全集U =R ,集合{|23}M x x =-≤≤,{|24}N x x x =<->或,那么集合()()C C U U M N ⋂等于( )A .{|34}x x <≤B .{|34}x x x ≤≥或C .{|34}x x ≤<D .{|13}x x -≤≤7.已知集合{}2,xA y y x R ==∈,{}148x B x -=≤,则A B =( )A .5(,)2-∞B .5[0,]2C .7(0,]2D .5(0,]28.已知集合A ={}{}3(,),(,)x y y x B x y y x ===,则A ∩B 的元素个数是( )A .4B .3C .2D .19.设集合{}2110P x x ax =++>,{}2220P x x ax =++>,{}210Q x x x b =++>,{}2220Q x x x b =++>,其中a ,b ∈R 下列说法正确的是( ) A .对任意a ,1P 是2P 的子集;对任意的b ,1Q 不是2Q 的子集 B .对任意a ,1P 是2P 的子集;存在b ,使得1Q 是2Q 的子集 C .存在a ,使得1P 不是2P 的子集;对任意的b ,1Q 不是2Q 的子集 D .存在a ,使得1P 不是2P 的子集;存在b ,使得1Q 是2Q 的子集10.已知集合{}25A x x =-≤≤,{}121B x m x m =+≤≤-,若B A ⊆,则实数m 的取值范围是( ) A .3m <B .23m ≤≤C .3m ≤D .23m <<11.已知非空集合M 满足:对任意x M ∈,总有2x M ∉M ,若{}0,1,2,3,4,5M ⊆,则满足条件的M 的个数是( )A .11B .12C .15D .1612.已知集合{}11A x x =-≤≤,{}220B x x x =-≤,则AB =( )A .{}12x x -≤≤B .{}10x x -≤≤C .{}12x x ≤≤D .{}01x x ≤≤二、填空题13.已知集合{}25A x x =-≤≤,{}121B x m x m =+≤≤-,若B A ⊆,则实数m 的取值范围为________.14.集合{(,)|||,}A x y y a x x R ==∈,{(,)|,}B x y y x a x R ==+∈,已知集合A B中有且仅有一个元素,则常数a 的取值范围是________ 15.用列举法表示集合*6,5A aN a Z a ⎧⎫=∈∈=⎨⎬-⎩⎭__________.16.已知集合(){}22112|2103x P x Q x x x m ⎧-⎫=-=-+-⎨⎬⎩⎭≤,≤,其中m >0,全集U =R .若“Ux P ∈”是“∈Ux Q ”的必要不充分条件,则实数m 的取值范围为__________.17.已知{|14}A x x =-≤≤,{|}B x x a =<,若A B =∅,则a 的取值范围是__________18.已知集合(){}22330,,A x x a x a a R x R =+--=∈∈,集合(){}22330,,B x x a x a a a R x R =+-+-=∈∈,若,A B A B ≠⋂≠∅,则A B =_______19.已知集合()(){}250M x x x =+->,集合()(){}10N x x a x a =---<,若M N N =,则实数a 的取值范围是_____________20.设集合1{|0}x A x x a-=≥-,集合{}21B x x =-,且B A ⊆,则实数a 的取值范围为______.三、解答题21.已知集合{|314}A x x =-<+,{|213}B x m x m =-<+. (1)当1m =时,求AB ;(2)若A B A ⋃=,求m 的取值范围.22.已知集合2212x A x x ⎧+⎫=<⎨⎬-⎩⎭,{}254B x x x =>-,{}1,C x x m m =-<∈R ,(1)求AB ;(2)若()A B C ⋂⊆,求m 的取值范围. 23.在①{}23B x x =-<<,②{}35RB x x =-<<,③{}26B x x a =≥+且{}A B x x a ⋃=>这三个条件中任选一个,补充在下面的问题中,并解答该问题.问题:已知非空集合{}8A x a x a =<<-,______,若A B =∅,求a 的取值集合.24.已知集合612A xx ⎧⎫=≥⎨⎬+⎩⎭,{}2(4)70B x x m x m =-+++<.(1)若3m =时,求()RAB ;(2)若A B A ⋃=,求实数m 的取值范围.25.已知集{}28A x x =≤≤,{}26B x x m =≤≤-,{}112C x m x m =-≤≤+,U =R .(1)若()UA B =∅,求m 的取值范围; (2)若BC ≠∅,求m 的取值范围.26.设全集为R ,}{37A x x =≤<,}{510B x x =<<.求()R C A B ⋃.【参考答案】***试卷处理标记,请不要删除一、选择题 1.B 解析:B 【分析】化简集合A ,B ,根据交集运算即可求值. 【详解】因为2{|}A x x x =<(,0)(1,)=-∞⋃+∞,26{|}(32)0,B x x x =+-<=-所以()()3,01,2A B ⋂=-⋃. 故选:B 【点睛】本题主要考查了一元二次不等式的解法,集合的运算,属于中档题.2.D解析:D 【分析】求出集合A ,根据11B ∈可求得实数a 的取值范围,利用集合的基本运算可判断各选项的正误. 【详解】{}{25601A x x x x x =-->=<-或}6x >,{}5B x x a =-<,且11B ∈,则6a >,{}{}555B x x a x a x a ∴=-<=-<<+,对于A 选项,取7a =,则{}212B x x =-<<,{}16UA x x =-≤≤,所以,{}16UA B x x R ⋂=-≤≤≠,A 选项错误;对于B 选项,取7a =,则{2U B x x =≤-或}12x ≥,此时UAB A R =≠,B 选项错误;对于C 选项,取7a =,则{}16UA x x =-≤≤,{2UB x x =≤-或}12x ≥,此时,{2UU A B x x ⋃=≤-或16x -≤≤或}12x R ≥≠,C 选项错误;对于D 选项,6a >,则51a -<-,511a +>,此时A B R =,D 选项正确.故选:D. 【点睛】本题考查与集合运算正误的判断,同时也考查了一元二次不等式以及绝对值不等式的求解,考查计算能力,属于基础题.3.B解析:B 【解析】由题意可得{}|2A x x =<,结合交集的定义可得实数a 的取值范围是[)2,+∞ 本题选择B 选项.4.A解析:A 【分析】由集合的包含关系得,a b 的方程组,求解即可 【详解】A B ⊆,由集合元素互异性得0,0,a b a b ≠≠≠ 则22a a b b ⎧=⎨=-⎩ 或22b a a b ⎧=⎨=-⎩ 解得11a b =⎧⎨=-⎩或11b a =⎧⎨=-⎩故选: A 【点睛】本题考查集合的包含关系,考查元素的互异性,是基础题5.B解析:B 【分析】先证得1P 是2P 的子集,然后求得b 使1Q 是2Q 的子集,由此确定正确选项.【详解】对于1P 和2P ,由于210x ax ++>时222110x ax x ax ++=+++>,所以1P 的元素,一定是2P 的元素,故对任意a ,1P 是2P 的子集.对于1Q 和2Q ,根据判别式有140440b b -<⎧⎨-<⎩,即1b >时,12Q Q R ==,满足1Q 是2Q 的子集,也即存在b ,使得1Q 是2Q 的子集. 故选B. 【点睛】本小题主要考查子集的判断,考查恒成立问题和存在性问题的求解策略,属于基础题.6.A解析:A 【分析】先分别求出C ,C U U M N ,再求()()C C U U M N ⋂即可 【详解】∵C {|}23U M x x x =<>-或,C {|24}U N x x =-≤≤, ∴()()C C {|34}U U M N x x ⋂=<≤. 故选:A . 【点睛】本题考查交集与补集的混合运算,属于中档题7.D解析:D 【分析】根据指数函数的值域可得集合A ,解指数函数的不等式可得集合B ,再进行交集运算即可. 【详解】∵{}()2,0,xA y y x R ==∈=+∞,由148x -≤,即22322x -≤,解得52x ≤,即5,2B ⎛⎤=-∞ ⎥⎝⎦, ∴5(0,]2A B ⋂=, 故选:D. 【点睛】本题主要考查了指数函数的值域,指数类型不等式的解法,集合间交集的运算,属于基础题.8.B解析:B 【解析】 【分析】首先求解方程组3y x y x ⎧=⎨=⎩,得到两曲线的交点坐标,进而可得答案.【详解】联立3y x y x⎧=⎨=⎩,解得1,0,1x =-即3y x =和y x =的图象有3个交点()11--,,()0,0,(11),, ∴集合A B 有3个元素,故选B.【点睛】本题考查了交集及其运算,考查了方程组的解法,是基础题.9.B解析:B 【分析】先证得1P 是2P 的子集,然后求得b 使1Q 是2Q 的子集,由此确定正确选项.【详解】对于1P 和2P ,由于210x ax ++>时222110x ax x ax ++=+++>,所以1P 的元素,一定是2P 的元素,故对任意a ,1P 是2P 的子集;对于1Q 和2Q ,根据判别式有140440b b -<⎧⎨-<⎩,即1b >时,12Q Q R ==,满足1Q 是2Q 的子集,也即存在b ,使得1Q 是2Q 的子集. 故选: B. 【点睛】方法点睛:该题主要考查子集的判断,解题方法如下:(1)利用子集的概念,可以判断出1P 的元素,一定是2P 的元素,得到对任意a ,1P 是2P 的子集;(2)利用R 是R 的子集,结合判别式的符号,存在实数1b >时,有12Q Q R ==,得到结果.10.C解析:C 【分析】由B A ⊆,分B =∅和B ≠∅两种情况讨论,利用相应的不等式(组),即可求解. 【详解】由题意,集合{}25A x x =-≤≤,{}121B x m x m =+≤≤-,因为B A ⊆, (1)当B =∅时,可得121m m +>-,即2m <,此时B A ⊆,符合题意;(2)当B ≠∅时,由B A ⊆,则满足12121215m m m m +≤-⎧⎪-≤+⎨⎪-≤⎩,解得23m ≤≤,综上所述,实数m 的取值范围是3m ≤. 故选:C. 【点睛】本题主要考查了了集合的包含关系求解参数的取值范围问题,其中解答中熟记集合件的基本关系,合理分类讨论列出方程组是解答的根据,着重考查分类讨论思想,以及运算能力.11.A解析:A 【分析】可得集合M 是集合{}2,3,4,5的非空子集,且2,4不同时出现,即可得到结论. 【详解】由题意,可得集合M 是集合{}2,3,4,5的非空子集,共有42115-=个, 且2,4不能同时出现,同时出现共有4个, 所以满足题意的集合M 的个数为11个,故选A. 【点睛】本题主要考查了元素与集合的关系,以及集合的子集个数的判定及应用,着重考查了分析问题和解答问题的能力,属于中档试题.12.D解析:D 【解析】B ={x ∣x 2−2x ⩽0}={x |0⩽x ⩽2}, 则A ∩B ={x |0⩽x ⩽1}, 本题选择D 选项.二、填空题13.【分析】由分和两种情况分别讨论进而建立不等关系可求出答案【详解】当即时此时满足;当即时此时由可得解得综上实数的取值范围为故答案为:【点睛】本题考查根据集合的包含关系求参数的范围其中的易漏点在于漏掉考 解析:(,3]-∞【分析】由B A ⊆,分B =∅和B ≠∅两种情况分别讨论,进而建立不等关系,可求出答案. 【详解】当121m m +>-,即2m <时,此时B =∅,满足B A ⊆;当121m m +≤-,即2m ≥时,此时B ≠∅,由B A ⊆,可得12215m m +≥-⎧⎨-≤⎩,解得23m ≤≤.综上,实数m 的取值范围为(,3]-∞.故答案为:(,3]-∞ 【点睛】本题考查根据集合的包含关系求参数的范围,其中的易漏点在于漏掉考虑子集为空集的情况,易错点在于弄错不等关系,结合数轴依次分类讨论即可避免此类问题.14.【分析】若中有且仅有一个元素则方程有且仅有一个解进而求解即可【详解】由题因为中有且仅有一个元素则方程有且仅有一个解当时则当时则由已知得或或或解得故答案为:【点睛】本题考查由交集结果求参数范围考查分类 解析:[1,1]-【分析】 若AB 中有且仅有一个元素,则方程a x x a =+有且仅有一个解,进而求解即可【详解】 由题,因为AB 中有且仅有一个元素,则方程a x x a =+有且仅有一个解,当0x ≥时,ax x a =+,则1a x a =-, 当0x <时,ax x a -=+,则1a x a =-+, 由已知得0101a a a a ⎧≥⎪⎪-⎨⎪-≥⎪+⎩或0101aa a a ⎧<⎪⎪-⎨⎪-<⎪+⎩或101a aa =⎧⎪⎨-<⎪+⎩或011a a a ⎧≥⎪-⎨⎪=-⎩, 解得11a -≤≤,故答案为:[]1,1- 【点睛】本题考查由交集结果求参数范围,考查分类讨论思想和转化思想15.【分析】对整数取值并使为正整数这样即可找到所有满足条件的值从而用列举法表示出集合【详解】因为且所以可以取234所以故答案为:【点睛】考查描述法列举法表示集合的定义清楚表示整数集属于基础题 解析:{}1,2,3,4-【分析】对整数a 取值,并使65a-为正整数,这样即可找到所有满足条件的a 值,从而用列举法表示出集合A . 【详解】 因为a Z ∈且*65N a∈- 所以a 可以取1-,2,3,4. 所以{}1,2,3,4A =- 故答案为:{}1,2,3,4- 【点睛】考查描述法、列举法表示集合的定义,清楚Z 表示整数集,属于基础题.16.【分析】解出集合PQ 根据充分条件和必要条件关系得出两个集合的包含关系即可求出范围【详解】由题:是的必要不充分条件即P Q 解不等式所以0P Q 所以解得:故答案为:【点睛】此题考查根据充分条件和必要条解析:9m ≥【分析】解出集合P ,Q ,根据充分条件和必要条件关系得出两个集合的包含关系即可求出范围. 【详解】 由题:“Ux P ∈”是“∈Ux Q ”的必要不充分条件,UQUP ,即P Q ,解不等式1123x --≤,12123x --≤-≤, 646x -≤-≤,210x -≤≤所以[]1122,103x P x ⎧-⎫=-=-⎨⎬⎩⎭≤, (){}()()()(){}22|210|110Q x x x m x x m x m =-+-=-+--≤≤,m >0,P Q ,所以11012m m +≥⎧⎨-≤-⎩,解得:9m ≥.故答案为:9m ≥ 【点睛】此题考查根据充分条件和必要条件判断集合的包含关系求解参数范围,关键在于准确判断两个集合的包含关系,列出不等式组求解.17.【分析】根据集合所以集合没有公共元素列出两个集合的端点满足的不等关系结合数轴可以得出的范围得到结果【详解】集合由借助于数轴如图所示可得故答案为:【点睛】该题主要考查集合中参数的取值范围的问题两个集合解析:(,1]-∞-. 【分析】根据集合{|14}A x x =-≤≤,{|}B x x a =<,A B φ⋂=,所以集合,A B 没有公共元素,列出两个集合的端点满足的不等关系,结合数轴可以得出a 的范围,得到结果. 【详解】集合{|14}A x x =-≤≤,{|}B x x a =<, 由A B φ⋂=,借助于数轴,如图所示,可得1a ≤-, 故答案为:(,1]-∞-. 【点睛】该题主要考查集合中参数的取值范围的问题,两个集合的关系,属于中档题目.18.【分析】设公共根是代入两方程作差可得即公共根就是进一步代入原方程求解两集合即可得出答案【详解】两个方程有公共根设公共根为两式相减得:即①若则两个方程都是与矛盾;②则公共根为代入得:即解得:(舍)故答 解析:{2,3,1}--【分析】设公共根是b ,代入两方程,作差可得b a =,即公共根就是a ,进一步代入原方程求解两集合,即可得出答案. 【详解】A B ⋂≠∅∴两个方程有公共根设公共根为b∴2(23)30b a b a +--=,22(3)30b a b a a +-+-=两式相减得:20ab a -=,即()0a b a -=.①若0a =,则两个方程都是230x x -=,与A B ≠矛盾;②0,a ≠则b a =,∴公共根为a ,代入2(23)30x a x a +--=得:2(23)30a a a a +--= 即220a a -=,解得:0a =(舍),2a ={}2|60{3,2}A x x x ∴=+-==- 2|20{1,2}B x x x{2,3,1}A B ∴⋃=--故答案为:{2,3,1}--【点睛】本题考查了集合并集运算,能够通过,A B A B ≠⋂≠∅解读出两个集合中的方程有公共根,是解题的关键.19.【分析】解一元二次不等式求得集合根据列不等式组解不等式求得的取值范围【详解】由解得或由解得由于所以或即或故答案为:【点睛】本小题主要考查一元二次不等式的解法考查根据集合交集的结果求参数的取值范围属于解析:(][)35-∞-⋃+∞,, 【分析】解一元二次不等式求得集合,M N ,根据MN N =列不等式组,解不等式求得a 的取值范围.【详解】由()()250x x +->解得2x <-或5x >.由()()10x a x a ---<解得1a x a <<+.由于M N N =,所以12a +≤-或5a ≥,即3a ≤-或5a ≥.故答案为:(][)35-∞-⋃+∞,, 【点睛】本小题主要考查一元二次不等式的解法,考查根据集合交集的结果求参数的取值范围,属于基础题. 20.【分析】解可得集合B 对于A 先将转化为且分三种情况讨论求出集合A 判断是否成立综合可得a 的范围即可得答案【详解】或则或对于A 且时成立符合题意时或不会成立不符合题意时或要使成立必有则a 的范围是综合可得a 的 解析:[]1,3【分析】 解21x ->可得集合B ,对于A ,先将1|0x x a-≥-转化为()()10x x a --≥且x a ≠,分1a =,1a >,1a <三种情况讨论,求出集合A ,判断B A ⊆是否成立,综合可得a 的范围,即可得答案【详解】211x x ->⇔<或3x >,则{|1B x x =<或3}x >,对于A ,()()1010x x x a x a-≥⇔--≥-且x a ≠, 1a =①时,{|1}A x x =≠,B A ⊆成立,符合题意,1a <②时,{|A x x a =<或1}x ≥,B A ⊆不会成立,不符合题意,1a >③时,{A x x a =或1}x ≤, 要使B A ⊆成立,必有3a ≤,则a 的范围是13a ,综合①②③可得,a 的取值范围为13a ≤≤,即[]1,3;故答案是:[]1,3.【点睛】本题考查集合之间关系的判断,涉及分式、绝对值不等式的解法,解分式不等式一般要转化为整式不等式,有参数时,一般要分类讨论.三、解答题21.(1){|13}A B x x ⋂=;(2)3(2-,0][4⋃,)+∞. 【分析】(1)当1m =时,求出集合B ,A ,由此能求出A B .(2)由A B A ⋃=,得B A ⊆,当B =∅时,213m m -+,当B ≠∅时,21321433m m m m -<+⎧⎪->-⎨⎪+⎩,由此能求出m 的取值范围.【详解】解:(1)当1m =时,{|14}B x x =<,{|314}{|43}A x x x x =-<+=-<,{|13}A B x x ∴⋂=.(2)A B A =,B A ∴⊆,当B =∅时,213m m -+,解得4m ,当B ≠∅时,21321433m m m m -<+⎧⎪->-⎨⎪+⎩,解得302m -<, 综上,m 的取值范围为3(2-,0][4⋃,)+∞. 【点睛】结论点睛:本题考查交集、实数的取值范围的求法,并集、交集的结论与集合包含之间的关系:A B A B A =⇔⊆,A B A A B ⋂=⇔⊆.22.(1){}12x x <<;(2)12m ≤≤【分析】(1)解不等式,可求出集合,A B ,进而求出二者的交集即可;(2)结合(1),由()A B C ⋂⊆,可得{}12x x <<⊆{}11x m x m -<<+,进而可列出不等关系,求解即可.【详解】(1)由2212x x +<-,得402x x +<-,等价于()()420x x +-<,解得42x -<<, 所以集合{}42A x x =-<<,由254x x >-,解得1x >或5x <-,所以{1B x x =>或}5x <-, 所以A B ={}42x x -<<{1x x >或}5x <-{}12x x =<<.(2)因为()A B C ⋂⊆,所以{}12x x <<⊆{}1,x x m m -<∈R , 即{}12x x <<⊆{}11x m x m -<<+, 所以1112m m -≤⎧⎨+≥⎩,解得12m ≤≤. 综上所述,实数m 的取值范围是12m ≤≤.【点睛】本题考查分式不等式、一元二次不等式的解法,考查集合的交集,考查根据集合的包含关系求参数,考查学生的推理能力与计算求解能力,属于中档题.23.答案见解析.【分析】选①:本题首先可根据A 是非空集合得出4a <,然后根据A B =∅得出3a ≥或82a -≤-,最后通过计算即可得出结果. 选②:本题首先可以根据A 是非空集合得出4a <,然后根据{}R 35B x x =-<<求出集合B ,最后根据A B =∅列出不等式组,通过计算即可得出结果.选③:本题首先可以根据A 是非空集合得出4a <,然后根据题意得出268a a +=-,最后通过计算即可得出结果.【详解】选①:因为A 是非空集合,所以8a a ->,解得4a <,因为{}23B x x =-<<,A B =∅,所以3a ≥或82a -≤-,解得3a ≥或10a ≥,综上所述,a 的取值集合是{}34a a ≤<.选②:因为A 是非空集合,所以8a a ->,解得4a <,因为{}R 35B x x =-<<,所以{3B x x =≤-或}5x ≥,因为A B =∅,所以3854a a a ≥-⎧⎪-≤⎨⎪<⎩,解得34a ≤<,故a 的取值集合是{}34a a ≤<.选③:因为A 是非空集合,所以8a a ->,解得4a <,因为A B =∅,{}26B x x a =≥+,{}A B x x a ⋃=>,所以268a a +=-,解得2a =-或1,故a 的取值集合是{}2,1-.【点睛】关键点点睛:本题考查根据集合的运算结果求参数的取值范围,若两个集合的交集为空集,则这两个集合没有相同的元素,考查集合的混合运算,考查计算能力,是中档题. 24.(1){}22x x -<≤;(2)197,33⎡⎤-⎢⎥⎣⎦. 【分析】(1)依题意先求出集合A 和集合B ,再求出B R ,然后按照交集的定义求出结果即可; (2)由A B A ⋃=可得出B A ⊆,然后分B φ=和B φ≠两种情况进行分类讨论,进而求出结果即可.【详解】(1){}24A x x =-<≤,当3m =时,{}25B x x =<<, ∴{2C B x x =≤R 或}5x ≥,(){}22R A B x x ⋂=-<≤;(2)∵A B A ⋃=,∴B A ⊆,令()2(4)7=-+++f x x m x m , ①当B φ=时,即()0f x ≥恒成立,所以()2=44(7)0∆+-+≤m m ,解得:62m -≤≤;②当B φ≠时,即()0f x <有解,所以6m <-或2m >,令()0f x =,解得:x =,所以24≥-≤ ,解得1963-≤<-m 或723<≤m , 综合①②得m 的范围是197,33⎡⎤-⎢⎥⎣⎦. 【点睛】易错点点睛:由A B A ⋃=可得出B A ⊆,然后进行分类讨论,切记别漏掉B φ=的情形,否则容易漏解.25.(1)2m ≥-;(2)1722m m ⎧⎫≤≤⎨⎬⎩⎭. 【分析】(1)当()U A B =∅,在B A ⊆,然后针对B =∅与B ≠∅分类讨论求解; (2)若B C ≠∅,则B ≠∅,C ≠∅,若B C ≠∅,则只需1612m m m -≤-≤+或2126m m ≤+≤-,然后解出m 的取值范围.【详解】解:(1)∵{}28A x x =≤≤,∴{U |2A x x =<或}8x >, ∵()U A B =∅,则B A ⊆,当B =∅时,62m -<,即4m >,当B ≠∅时,62m -≥,68m -≤,解得24m -≤≤.综上所述:2m ≥-.(2)由题可知,B ≠∅,C ≠∅,62,121,m m m -≥⎧⎨+≥-⎩解得24m -≤≤. 若BC ≠∅时,则只需:1612m m m -≤-≤+或2126m m ≤+≤-, 解得:1722m ≤≤. ∴ 当BC ≠∅,m 的取值范围为1722m m ⎧⎫≤≤⎨⎬⎩⎭. 【点睛】 本题考查集合的运算结果求参数的取值范围问题,难度一般,解答时,因为空集是任何集合的子集,所以解答时注意空集的特殊性.26.{|3x x <或}5x >【分析】根据补集的定义求出R C A ,再有并集的定义对R C A 和B 集合取并集即可.【详解】因为}{37A x x =≤<,所以由补集定义知,}{73R C A x x x =≥<或,因为}{510B x x =<<,所以作图如下:由图可知,()}{35R C A B x x x ⋃=<>或.故答案为:{|3x x <或}5x >【点睛】本题主要考查集合交、补混合运算;熟练掌握各自定义是求解本题关键;对于此类题目学生应掌握画数轴辅助解题,画数轴时应注意实点和虚点的区别;属于中档题,常考题型.。
一、选择题1.已知集合{|0}M y y =≥,2{|1}N y y x ==-+,则MN =( )A .()0,1B .[]0,1C .[)0,+∞D .[)1,+∞2.设集合{}20,201x M x N x x x x ⎧⎫=≤=-<⎨⎬-⎩⎭,则M N ⋂为( )A .{}01x x ≤<B .{}01x x <<C .{}02x x ≤<D .{}02x x <<3.设集合2{|}A x x x =<,2}6{|0B x x x =+-<,则A B =( )A .(0,1)B .()()3,01,2-⋃C .(-3,1)D .()()2,01,3-⋃4.由实数x ,﹣x ,|x |,2x ,33x -组成的集合中,元素最多有( ) A .2个 B .3个C .4个D .5个5.函数()log a x x f x x=(01a <<)的图象大致形状是( )A .B .C .D .6.设集合A={2,1-a ,a 2-a +2},若4∈A ,则a =( ) A .-3或-1或2 B .-3或-1 C .-3或2D .-1或27.在整数集Z 中,被5所除得余数为k 的所有整数组成一个“类”,记为[]k ,即[]{5|}k n k n Z =+∈,0,1,2,3,4k =;给出四个结论:(1)2015[0]∈;(2)3[3]-∈;(3)[0][1][2][3][4]Z =⋃⋃⋃⋃;(4)“整数,a b ”属于同一“类”的充要条件是“[0]a b -∈”. 其中正确结论的个数是( ) A .1个B .2个C .3个D .4个8.对于非空实数集A ,定义{|A z *=对任意},x A z x ∈≥.设非空实数集(],1C D ≠⊆⊂-∞.现给出以下命题:(1)对于任意给定符合题设条件的集合C ,D ,必有D C **⊆;(2)对于任意给定符合题设条件的集合C ,D ,必有C D *≠∅;(3)对于任意给定符合题设条件的集合C ,D ,必有CD *=∅;(4)对于任意给定符合题设条件的集合C ,D ,必存在常数a ,使得对任意的b C *∈,恒有a b D *+∈.以上命题正确的个数是( )A .1B .2C .3D .49.设全集为R ,集合{}2log 1A x x =<,{B x y ==,则()RAB =( )A .{}02x x <<B .{}01x x <<C .{}11x x -<<D .{}12x x -<<10.若集合2{||31|2},{|0},1x A x x B x x -=-≥=≤-则()R C A B =( )A .1[,2]3-B .∅C .1(,)(1,2]3-∞-⋃ D .1,1(1,2]3⎛⎫-⋃ ⎪⎝⎭11.设集合{}21xA y y ==-,{}1B x x =≥,则()R A C B =( )A .(],1-∞-B .(),1-∞C .()1,1-D .[)1,+∞12.设{}2|8150A x x x =-+=,{}|10B x ax =-=,若A B B =,求实数a 组成的集合的子集个数有 A .2B .3C .4D .8二、填空题13.设集合{}1,2,4A =,{}2|40B x x x m =-+=.若{}1A B ⋂=,则B =__________.14.集合1{}2|Ax x ≤=<,{|}B x x a =<,若A B B ⋃=,则a 的取值范围是_______.15.已知集合()2{}2|1A x log x =-<,{|26}B x x =<<,且A B =________.16.已知有限集{}123,,,,(2)n A a a a a n =≥. 如果A 中元素(1,2,3,,)i a i n =满足1212n n a a a a a a =+++,就称A 为“复活集”,给出下列结论:①集合⎪⎪⎩⎭是“复活集”; ②若12,a a R ∈,且12{,}a a 是“复活集”,则124a a >; ③若*12,a a N ∈,则12{,}a a 不可能是“复活集”; ④若*i a N ∈,则“复活集”A 有且只有一个,且3n =.其中正确的结论是____________.(填上你认为所有正确的结论序号)17.设A 是集合{}123456S =,,,,,的非空子集,称A 中的元素之和为A 的“容量”,则S 的所有非空子集的“容量”之和是_______18.设全集{|35}Ux x =-≤≤,集合1{|||1},{|0}2A x xB x x =≤=>+,则()UC A B ⋂=_____________.19.记[]x 为不大于x 的最大整数,设有集合[]{}{}2|2=|2A x x x B x x =-=<,,则A B =_____.20.若集合{}|121A x m x m =+<≤-,{}|25B x x =-≤<,若()()R R C A C B ⊇,则m 的取值范围是_____________.三、解答题21.设集合{}{}222280,430A x x x B x x ax a =+-<=-+= (1)若x A ∈是x B ∈的必要条件,求实数a 的取值范围;(2)是否存在实数a ,使A B ϕ⋂≠成立?若存在,求出实数a 的取值范围;若不存在,请说明理由.22.已知集合{|A x y ==,{}22|60B x x ax a =--<,其中0a ≥.(1)当1a =时,求集合A B ⋃,()R C A B ⋂; (2)若()R C A B B ⋂=,求实数a 的取值范围. 23.已知集合{}2210,A x ax x a R =++=∈. (1)若A 中只有一个元素,求a 的值; (2)若A 中至少有一个元素,求a 的取值范围; (3)若A 中至多有一个元素,求a 的取值范围.24.已知集合2{|320}A x ax x =-+=,其中a 为常数,且a R ∈. (1)若A 中至少有一个元素,求a 的取值范围; (2)若A 中至多有一个元素,求a 的取值范围.25.已知集合{|12},{|11}A x ax B x x =<<=-<<,求满足A B ⊆的实数a 的取值范围. 26.已知函数()()2log 4f x x =-的定义域为集合A ,集合{}211B x m x m =-≤<+.(1)当0m =时,求A B ;(2)若B A ⊆,求实数m 的取值范围;(3)若AB =∅,求实数m 的取值范围.【参考答案】***试卷处理标记,请不要删除一、选择题 1.B 解析:B 【解析】∵集合{}2{|1}1N y y x y y ==-+=≤,{|0}M y y =≥,∴[]0,1M N ⋂=,故选B.2.B解析:B 【分析】根据分式不等式和一元二次不等式的解法,求得集合{01},{|02}M x x N x x =≤<=<<,再结合集合交集的运算,即可求解.【详解】由题意,集合{}20{01},20{|02}1x M xx x N x x x x x x ⎧⎫=≤=≤<=-<=<<⎨⎬-⎩⎭,所以{}01M N x x ⋂=<<. 故选:B . 【点睛】本题主要考查了集合的交集的概念及运算,其中解答中结合分式不等式和一元二次不等式的解法,准确求解集合,A B 是解答的关键,着重考查了计算能力.3.B解析:B 【分析】化简集合A ,B ,根据交集运算即可求值. 【详解】因为2{|}A x x x =<(,0)(1,)=-∞⋃+∞,26{|}(32)0,B x x x =+-<=-所以()()3,01,2A B ⋂=-⋃. 故选:B 【点睛】本题主要考查了一元二次不等式的解法,集合的运算,属于中档题.4.A解析:A 【分析】根据绝对值的定义和开平方、立方的方法,应对x 分0,0,0x x x >=<三种情况分类讨论,根据讨论结果可得答案. 【详解】当0x >时,0x x x ===-<,此时集合共有2个元素,当0x =时,0x x x ====-=,此时集合共有1个元素,当0x <时,0x x -===>,此时集合共有2个元素,综上所述,此集合最多有2个元素.故选:A . 【点睛】本题考查了元素与集合关系的判断及根式的化简求值,其中解答本题的关键是利用分类讨论思想,对x 分三种情况进行讨论,是基础题.5.C解析:C 【分析】确定函数是奇函数,图象关于原点对称,x >0时,f (x )=log a x (0<a <1)是单调减函数,即可得出结论. 【详解】由题意,f (﹣x )=﹣f (x ),所以函数是奇函数,图象关于原点对称,排除B 、D ; x >0时,f (x )=log a x (0<a <1)是单调减函数,排除A . 故选C . 【点睛】本题考查函数的图象,考查函数的奇偶性、单调性,正确分析函数的性质是关键.6.C解析:C 【解析】若1−a =4,则a =−3,∴a 2−a +2=14,∴A ={2,4,14}; 若a 2−a +2=4,则a =2或a =−1,检验集合元素的互异性: a =2时,1−a =−1,∴A ={2,−1,4}; a =−1时,1−a =2(舍), 本题选择C 选项.7.C解析:C 【分析】根据新定义,对每个选项逐一判断,即可得到答案. 【详解】对于(1),因为20155403÷=,余数为0,所以2015[0]∈,故(1)正确; 对于(2),因为()3512-=⨯-+,所以33[]-∉,故(2)错误; 对于(3),因为整数集中的数被5除的数可以且只可以分成五类,故[0][1][2][3][4]Z =⋃⋃⋃⋃,故(3)正确;对于(4),因为整数,a b 属于同一“类”,所以整数,a b 被5除的余数相同,从而-a b 被5除的余数为0,反之也成立,故“整数,a b ”属于同一“类”的充要条件是“[0]a b -∈”.故(4)正确.综上所述,正确的个数为:3个. 故选C . 【点睛】本题考查了集合的新定义,解题关键是理解被5所除得余数为k 的所有整数组成一个“类”,考查了分析能力和计算能力.8.B解析:B 【分析】根据题干新定义{|A z *=对任意},x A z x ∈≥,通过分析举例即可判断。
一、选择题1.设集合2{|}A x x x =<,2}6{|0B x x x =+-<,则A B =( )A .(0,1)B .()()3,01,2-⋃C .(-3,1)D .()()2,01,3-⋃2.函数()log a x x f x x=(01a <<)的图象大致形状是( )A .B .C .D .3.对任意x M ∈,总有2x M ∉x M ,若{}0,1,2,3,4,5M ⊆,则满足条件的非空集合M 的个数是( ) A .11B .12C .15D .164.已知{}lg M y y x ==,{}xN y y a ==,则MN =( )A .0,B .RC .∅D .,05.已知集合{}1,2,3,4,5,6U =,集合A 、B 是U 的子集,且A B U ⋃=,A B ⋂≠∅.若{}3,4=UAB ,则满足条件的集合A 的个数为( )A .7个B .8个C .15个D .16个6.对于非空集合P ,Q ,定义集合间的一种运算“★”:{P Q x x P Q =∈★∣且}x P Q ∉⋂.如果{111},{1}P x x Q x y x =-≤-≤==-∣∣,则P Q =★( )A .{12}xx ≤≤∣ B .{01xx ≤≤∣或2}x ≥ C .{01xx ≤<∣或2}x > D .{01xx ≤≤∣或2}x > 7.对于集合A 和B ,令{,,},A B x x a b a A b B +==+∈∈如果{2,},S x x k k Z ==∈{}|21,T x x k x Z ==+∈,则S T +=( )A .整数集ZB .SC .TD .{41,}x x k k Z =+∈8.设集合1{|0}x A x x a-=≥-,集合{}21B x x =->,且B A ⊆,则实数a 的取值范围是 () A .1a ≤B .3a ≤C .13a ≤≤D .3a ≥9.若集合2{||31|2},{|0},1x A x x B x x -=-≥=≤-则()R C A B =( )A .1[,2]3- B .∅C .1(,)(1,2]3-∞-⋃D .1,1(1,2]3⎛⎫-⋃ ⎪⎝⎭10.对于下列结论:①已知∅ 2{|40}x x x a ++=,则实数a 的取值范围是(],4-∞; ②若函数()1y f x =+的定义域为[)2,1-,则()y f x =的定义域为[)3,0-;③函数2y =(],1-∞;④定义:设集合A 是一个非空集合,若任意x A ∈,总有a x A -∈,就称集合A 为a 的“闭集”,已知集合{}1,2,3,4,5,6A ⊆,且A 为6的“闭集”,则这样的集合A 共有7个. 其中结论正确的个数是( ) A .0B .1C .2D .311.如果集合{}2210A x ax x =--=只有一个元素,则a 的值是( ) A .0B .0或1C .1-D .0或1-12.设{}2|8150A x x x =-+=,{}|10B x ax =-=,若AB B =,求实数a 组成的集合的子集个数有 A .2B .3C .4D .8二、填空题13.已知集合A ={x |x ≥2},B ={x ||x ﹣m |≤1},若A ∩B =B ,则实数m 的取值范围是______.14.已知集合1{}2A =-,,1{}0|B x mx =+>,若A B B ⋃=,则实数m 的取值范围是________.15.若规定{}1210E a a a =⋯,,,的子集{}12,,n k k k a a a 为E 的第k 个子集,其中12111222n k k k k ---=++⋯+,则E 的第211个子集是____________. 16.若关于x 的方程2210ax x ++=的解集有唯一子集 ,则实数a 的取值范围是_____. 17.已知{}2|340,{|10}A x x x B x ax a =+-==-+=,且B A ⊆,则所有a 的值所构成的集合M =_________.18.已知集合(){}22330,,A x x a x a a R x R =+--=∈∈,集合(){}22330,,B x x a x a a a R x R =+-+-=∈∈,若,A B A B ≠⋂≠∅,则A B =_______19.记[]x 为不大于x 的最大整数,设有集合[]{}{}2|2=|2A x x x B x x =-=<,,则A B =_____.20.关于x 的不等式组10ax x a <⎧⎨-<⎩的解集不是空集,则实数a 的取值范围是_____.三、解答题21.已知集合()(){}|31A x y x x ==+-,{}22|60B x x ax a =--<,其中0a ≥.(1)当1a =时,求集合A B ⋃,()R C A B ⋂; (2)若()R C A B B ⋂=,求实数a 的取值范围. 22.已知集合2212x A x x ⎧+⎫=<⎨⎬-⎩⎭,{}254B x x x =>-,{}1,C x x m m =-<∈R ,(1)求AB ;(2)若()A B C ⋂⊆,求m 的取值范围.23.已知集合{}43A x x =-≤≤,集合{}121B x m x m =-≤≤+. (1)若B A ⊆,求实数m 的取值范围;(2)若不存在实数x 使x A ∈,x B ∈同时成立,求实数m 的取值范围. 24.已知集合{|1A x x =≤或5}x,集合{|221}B x a x a =-≤≤+(1)若1a =,求A B 和A B ;(2)若记符号{A B x A -=∈且}x B ∉,在图中把表示“集合A B -”的部分用阴影涂黑,并求当1a =时的A B -; (3)若AB B =,求实数a 的取值范围.25.已知集合2{|320}A x ax x =-+=,其中a 为常数,且a R ∈. (1)若A 中至少有一个元素,求a 的取值范围; (2)若A 中至多有一个元素,求a 的取值范围.26.关于x 的不等式22(21)(2)0x a x a a -+++->,223()0x a a x a -++<的解集分别为M 和N(1)试求M 和N ;(2)若M N ⋂=∅,求实数a 的取值范围.【参考答案】***试卷处理标记,请不要删除一、选择题1.B 解析:B 【分析】化简集合A ,B ,根据交集运算即可求值. 【详解】因为2{|}A x x x =<(,0)(1,)=-∞⋃+∞,26{|}(32)0,B x x x =+-<=-所以()()3,01,2A B ⋂=-⋃. 故选:B 【点睛】本题主要考查了一元二次不等式的解法,集合的运算,属于中档题.2.C解析:C 【分析】确定函数是奇函数,图象关于原点对称,x >0时,f (x )=log a x (0<a <1)是单调减函数,即可得出结论. 【详解】由题意,f (﹣x )=﹣f (x ),所以函数是奇函数,图象关于原点对称,排除B 、D ; x >0时,f (x )=log a x (0<a <1)是单调减函数,排除A . 故选C . 【点睛】本题考查函数的图象,考查函数的奇偶性、单调性,正确分析函数的性质是关键.3.A解析:A 【分析】根据题意,0M ∉且1M ∉,且2、4不同时在集合M 中,对集合M 分两种情况讨论:①2M ∉且4M ∉;②2和4有且只有一个在集合M 中,分别列举出符合条件的集合M ,即可得出答案. 【详解】2111==,200==,由题意可知0M ∉且1M ∉,由于242=,所以,2和4不同时在集合M 中.①当2M ∉且4M ∉时,则符合条件的集合M 有:{}3、{}5、{}3,5,共3种; ②若2和4有且只有一个在集合M 中,则符合条件的集合M 有:{}2、{}2,3、{}2,5、{}2,3,5、{}4、{}3,4、{}4,5、{}3,4,5,共8种.综上所述,满足条件的非空集合M 的个数是3811+=. 故选:A.【点睛】本题考查满足条件的集合个数的求解,列举出满足条件的集合即可,考查分类讨论思想的应用,属于中等题.4.A解析:A 【解析】 【分析】先化简集合M ,N ,再计算M ∩N 即可. 【详解】由已知易得M =R ,N ={y ∈R|y >0},∴M ∩N =(0,+∞). 故选A . 【点睛】本题主要考查了集合的交运算,化简计算即可,比较简单.5.C解析:C 【分析】由题意知3、4B ∉,则集合A 的个数等于{}1,2,5,6非空子集的个数,然后利用公式计算出集合{}1,2,5,6非空子集的个数,即可得出结果. 【详解】由题意知3、4B ∉,且集合A 、B 是U 的子集,且A B U ⋃=,A B ⋂≠∅, 则AB 为集合{}1,2,5,6的非空子集,因此,满足条件的集合A 的个数为42115-=.故选C. 【点睛】本题考查集合个数的计算,一般利用列举法将符合条件的集合列举出来,也可以转化为集合子集个数来进行计算,考查化归与转化思想的应用,属于中等题.6.C解析:C 【分析】先确定,P Q ,计算P Q 和P Q ,然后由新定义得结论.【详解】由题意{|02}P x x =≤≤,{|10}{|1}Q x x x x =-≥=≥, 则{|0}PQ x x =≥,{|12}P Q x x =≤≤,∴{|01P Q x x =≤<★或2}x >. 故选:C . 【点睛】本题考查集合新定义运算,解题关键是正确理解新定义,确定新定义与集合的交并补运算之间的关系.从而把新定义运算转化为集合的交并补运算.7.C解析:C 【分析】由题意分别找到集合S ,T 中的一个元素,然后结合题中定义的运算确定S T +的值即可. 【详解】由题意设集合S 中的元素为:2,k k Z ∈,集合T 中的元素为:21,m m Z +∈, 则S T +中的元素为:()22121k m k m ++=++, 举出可知集合S T T +=. 故选:C . 【点睛】本题主要考查集合的表示方法,集合的运算法则等知识,意在考查学生的转化能力和计算求解能力.8.C解析:C 【解析】 【分析】先求出集合B ,比较a 与1的大小关系,结合B A ⊆,可求出实数a 的取值范围. 【详解】解不等式21x ->,即21x -<-或21x ->,解得1x <或3x >,{1B x x ∴=<或}3x >.①当1a =时,{}1A x x =≠,则B A ⊆成立,符合题意; ②当1a <时,{A x x a =<或}1x ≥,B A ⊄,不符合题意;③当1a >时,{1A x x =≤或}x a >,由B A ⊆,可得出3a ≤,此时13a .综上所述,实数a 的取值范围是13a ≤≤. 故选:C. 【点睛】本题考查集合之间关系的判断,涉及分式、绝对值不等式的解法,解分式不等式一般要转化为整式不等式,有参数时,一般要分类讨论.9.D解析:D 【分析】解绝对值不等式求得集合A ,解分式不等式求得集合B ,求得集合A 的补集,然后求此补集和集合B 的并集,由此得出正确选项. 【详解】由|31|2x -≥得312x -≤-或312x -≥,解得13x ≤-或1x ≥,故1,13R C A ⎛⎫=- ⎪⎝⎭.由201x x -≤-得()()12010x x x ⎧--≤⎨-≠⎩,解得12x <≤,所以()R C A B =1,1(1,2]3⎛⎫-⋃ ⎪⎝⎭.故选:D. 【点睛】本小题主要考查绝对值不等式的解法,考查分式不等式的解法,考查集合补集、并集的计算,属于基础题.10.D解析:D 【分析】A .考虑方程有解的情况;B .根据抽象函数定义域求解方法进行分析;C .根据二次函数的取值情况分析函数值域;D .根据定义采用列举法进行分析. 【详解】①由∅ 2{|40}x x x a ++=可得²40x x a ++=有解,即2440a ∆=-,解得4a ≤,故①正确;②函数()1y f x =+的定义域为[)2,1-,则21x ,故112x -≤+<,故()y f x =的定义域为[)1,2-,故②错误;③函数21y ==[)1,+∞,故(]2,1y =-∞,故③正确;④集合{}1,2,3,4,5,6A ⊆且A 为6的“闭集”,则这样的集合A 共有{}3,{}1,5,{}2,4,{}1,3,5,{}2,4,6,{}1,2,4,5,{}1,2,3,4,5共7个,故④正确.故正确的有①③④. 故选:D . 【点睛】本题考查命题真假的判定,考查集合之间的包含关系,考查函数的定义域与值域,考查集合的新定义,属于中档题.11.D解析:D 【分析】由题意得知关于x 的方程2210ax x --=只有一个实数解,分0a =和00a ≠⎧⎨∆=⎩两种情况讨论,可得出实数a 的值. 【详解】由题意得知关于x 的方程2210ax x --=只有一个实数解.当0a =,{}12102A x x ⎧⎫=--==-⎨⎬⎩⎭,合乎题意;当0a ≠时,则440a ∆=+=,解得1a =-. 综上所述:0a =或1-,故选D. 【点睛】本题考查集合的元素个数,本质上考查变系数的二次方程的根的个数,解题要注意对首项系数为零和非零两种情况讨论,考查分类讨论思想,属于中等题.12.D解析:D 【分析】先解方程得集合A ,再根据A B B =得B A ⊂,最后根据包含关系求实数a ,即得结果.【详解】{}2|8150{3,5}A x x x =-+==,因为AB B =,所以B A ⊂,因此,{3},{5}B =∅,对应实数a 的值为110,,35,其组成的集合的子集个数有328=,选D. 【点睛】本题考查集合包含关系以及集合子集,考查基本分析求解能力,属中档题.二、填空题13.3+∞)【分析】先求出集合再利用交集定义和不等式性质求解【详解】∵集合解得∴实数m 的取值范围是故答案为:【点睛】本题考查实数的取值范围的求法解题时要认真审题注意不等式性质的合理运用是基础题解析:[3,+∞) 【分析】先求出集合B ,再利用交集定义和不等式性质求解. 【详解】∵集合{|2}A x x =≥,{|||1}{|11}B x x m x m x m =-≤=-≤≤+,A B B =,12m ∴-≥,解得3m ≥,∴实数m 的取值范围是[)3,+∞. 故答案为:[)3,+∞. 【点睛】本题考查实数的取值范围的求法,解题时要认真审题,注意不等式性质的合理运用,是基础题.14.【分析】讨论和及确定集合利用列不等式求解【详解】由题意知则当时∵∴解得当时∵∴解得当时也有综上实数m 的取值范围是故答案为:【点睛】本题考查集合的包含关系考查一次不等式解集注意m=0的讨论是易错题解析:1(,1)2-【分析】讨论0m >和0m <及0m =确定集合B ,利用A B ⊆列不等式求解 【详解】由题意知A B B ⋃=,则A B ⊆, 当0m >时,1{|}B x x m=>-, ∵1{}2A =-,, ∴11m-<- 解得01m <<,当0m <时,1{|}B x x m=<-, ∵1{}2A =-,, ∴12m -> 解得102m -<<,当0m =时也有A B ⊆.综上,实数m 的取值范围是1(,1)2- 故答案为:1(,1)2-. 【点睛】本题考查集合的包含关系,考查一次不等式解集,注意m =0的讨论,是易错题15.【分析】根据题意分别讨论的取值通过讨论计算的可能取值即可得出答案【详解】而的第个子集包含此时的第个子集包含此时的第个子集包含此时的第个子集包含此时的第个子集包含的第个子集是故答案为:【点睛】本题主要 解析:{}12578,,,,a a a a a【分析】根据题意,分别讨论2n 的取值,通过讨论计算n 的可能取值,即可得出答案. 【详解】72128211=<,而82256211=>,E ∴的第211个子集包含8a ,此时21112883-=,626483=<,7212883=>,E ∴的第211个子集包含7a ,此时836419-=,421619=<,523219=>,E ∴的第211个子集包含5a ,此时19163-=,1223=<,2243=>,E ∴的第211个子集包含2a ,此时321-=,021=E ∴的第211个子集包含1a ,E ∴的第211个子集是{}12578,,,,a a a a a .故答案为:{}12578,,,,a a a a a 【点睛】本题主要考查了与集合有关的信息题,理解条件的定义是解决本题的关键.16.【分析】由题意知关于的方程无实数解可得出由此可解出实数的取值范围【详解】由题意知关于的方程无实数解当时原方程为解得不合乎题意;当时则有解得综上所述实数的取值范围是故答案为:【点睛】本题考查利用集合的 解析:()1,+∞【分析】由题意知,关于x 的方程2210ax x ++=无实数解,可得出0a ≠⎧⎨∆<⎩,由此可解出实数a 的取值范围. 【详解】由题意知,关于x 的方程2210ax x ++=无实数解.当0a =时,原方程为210x +=,解得12x =-,不合乎题意;当0a ≠时,则有440a ∆=-<,解得1a >. 综上所述,实数a 的取值范围是()1,+∞. 故答案为:()1,+∞. 【点睛】本题考查利用集合的子集个数求参数,将问题转化为方程无实解是解题的关键,考查分类讨论思想的应用,属于中等题.17.【分析】计算根据得到四种情况分别计算得到答案【详解】当时:此时;当时:解得;当时:解得;当时:无解;综上所述:故答案为:【点睛】本题考查了根据集合关系求参数忽略掉空集是容易发生的错误解析:110,,23⎧⎫-⎨⎬⎩⎭【分析】计算{}1,4A =-,根据B A ⊆得到B =∅,{}1B =,{}4B =-,{}1,4B =-四种情况,分别计算得到答案.【详解】{}{}2|3401,4A x x x =+-==-,B A ⊆当B =∅时:{|10}B x ax a =-+==∅,此时0a =;当{}1B =时:{}{|10}1B x ax a =-+==,解得12a =; 当{}4B =-时:{}{|10}4B x ax a =-+==-,解得13a =-;当{}1,4B =-时:{}{|10}1,4B x ax a =-+==-,无解; 综上所述:110,,23a ⎧⎫∈-⎨⎬⎩⎭ 故答案为:110,,23⎧⎫-⎨⎬⎩⎭【点睛】本题考查了根据集合关系求参数,忽略掉空集是容易发生的错误. 18.【分析】设公共根是代入两方程作差可得即公共根就是进一步代入原方程求解两集合即可得出答案【详解】两个方程有公共根设公共根为两式相减得:即①若则两个方程都是与矛盾;②则公共根为代入得:即解得:(舍)故答解析:{2,3,1}--【分析】设公共根是b ,代入两方程,作差可得b a =,即公共根就是a ,进一步代入原方程求解两集合,即可得出答案.【详解】A B ⋂≠∅∴两个方程有公共根设公共根为b∴2(23)30b a b a +--=,22(3)30b a b a a +-+-=两式相减得:20ab a -=,即()0a b a -=.①若0a =,则两个方程都是230x x -=,与A B ≠矛盾;②0,a ≠则b a =,∴公共根为a ,代入2(23)30x a x a +--=得:2(23)30a a a a +--= 即220a a -=,解得:0a =(舍),2a ={}2|60{3,2}A x x x ∴=+-==- 2|20{1,2}B x x x{2,3,1}A B ∴⋃=--故答案为:{2,3,1}--【点睛】本题考查了集合并集运算,能够通过,A B A B ≠⋂≠∅解读出两个集合中的方程有公共根,是解题的关键.19.【分析】求即需同时满足A 集合和B 集合的x 的取值范围先根据比较容易得出解集再将B 集合的解集代入A 集合中判断出可以成立的值即可得【详解】当时当时不满足;当时满足;当时不满足;当时满足;即同时满足和的值有解析:{-【分析】求A B 即需同时满足A 集合和B 集合的x 的取值范围,先根据{}{}=|2=|22B x x x x <-<<,比较容易得出解集, 再将B 集合的解集代入A 集合中,判断出可以成立的值,即可得A B【详解】 {}{}=|2=|22B x x x x <-<<当22x -<<时,[]2,1,0,1x =--,当[]2x =-时,[]2200x x x +==⇒=,不满足[]2x =-; 当[]1x =-时,[]2211x x x +==⇒=±,1x =-满足[]1x =-;当[]0x =时,[]222x x x +==⇒=,不满足[]0x =;当[]1x =时,[]223x x x +==⇒=x []1x =;即同时满足[]22x x -=和2x <的x 值有则A B ={-故答案为:{- 【点睛】本题考查了集合的计算,和取整函数的理解,针对两个集合求交集的情况,可先对较简单的或者不含参数的集合求解,再代入较复杂的或含参数的集合中去计算.本题属于中等题. 20.【分析】对进行分类讨论解出的三种情况再和取公共部分从而求得实数的取值范围【详解】根据题意的解为当时的解为此时与显然有公共部分所以解集不为空集当时的解为此时与显然有公共部分所以解集不为空集当时的解为关 解析:(1,)-+∞【分析】对a 进行分类讨论,解出1ax <的三种情况,再和x a <取公共部分,从而求得实数a 的取值范围.【详解】根据题意,0x a -<的解为x a <,当0a >时,1ax <的解为1x a <, 此时x a <与1x a<显然有公共部分,所以解集不为空集. 当0a =时,1ax <的解为R ,此时x a <与R 显然有公共部分,所以解集不为空集.当0a <时,1ax <的解为1x a>, 关于x 的不等式组11,,0,,ax x a x a x a ⎧<>⎧⎪⇔⎨⎨-<⎩⎪<⎩的解集不是空集, ∴1a a<,即21a <,解得10a -<<. 综上所述a 的取值范围为(1,)-+∞.故答案为:(1,)-+∞.【点睛】本题考查一元一次不等式组的求解,考查分类论论思想的运用,注意对a 进行分类讨论后,把求得a 的范围进行整合.三、解答题21.()[)()13,3,()1,3R A B C A B ⋃=-⋂= ()20a =【分析】(1)先求集合B,再根据交集、并集以及补集得定义求结果,(2)先根据条件化为集合关系,再结合数轴求实数a 的取值范围.【详解】(1){()(){}[]||3103,1A x y x x x ===+-≥=-当1a =时,{}{}()222|60|602,3B x x ax a x x x =--<=--<=-, 所以[)3,3,A B ⋃=-因为()()(),31,R C A =-∞-⋃+∞,所以()()1,3R C A B ⋂= (2)因为()R C A B B ⋂=,所以R B C A ⊆,当B =∅时,0a =,满足条件,{}()220|602,3a B x x ax a a a >=--<=-当时,不满足条件,因此0a =.【点睛】防范空集.在解决有关,A B A B ⋂=∅⊆等集合问题时,往往忽略空集的情况,一定先考虑∅是否成立,以防漏解.22.(1){}12x x <<;(2)12m ≤≤【分析】(1)解不等式,可求出集合,A B ,进而求出二者的交集即可;(2)结合(1),由()A B C ⋂⊆,可得{}12x x <<⊆{}11x m x m -<<+,进而可列出不等关系,求解即可.【详解】(1)由2212x x +<-,得402x x +<-,等价于()()420x x +-<,解得42x -<<, 所以集合{}42A x x =-<<,由254x x >-,解得1x >或5x <-,所以{1B x x =>或}5x <-, 所以A B ={}42x x -<<{1x x >或}5x <-{}12x x =<<.(2)因为()A B C ⋂⊆,所以{}12x x <<⊆{}1,x x m m -<∈R , 即{}12x x <<⊆{}11x m x m -<<+, 所以1112m m -≤⎧⎨+≥⎩,解得12m ≤≤. 综上所述,实数m 的取值范围是12m ≤≤.【点睛】本题考查分式不等式、一元二次不等式的解法,考查集合的交集,考查根据集合的包含关系求参数,考查学生的推理能力与计算求解能力,属于中档题.23.(1)1m ;(2)2m <-或4m >.【分析】(1)分B =∅和B ≠∅两种情况讨论,结合B A ⊆可得出关于实数m 的不等式组,由此可解得实数m 的取值范围;(2)由题意可得AB =∅,分B =∅和B ≠∅两种情况讨论,结合已知条件可得出关于实数m 的不等式组,由此可解得实数m 的取值范围.【详解】(1)当121m m ->+,即2m <-时,B A =∅⊆,故2m <-符合题意; 当B ≠∅且B A ⊆时,有12114213m m m m -≤+⎧⎪-≥-⎨⎪+≤⎩,解得21m -≤≤.综上可知,m 的取值范围是1m ;(2)因为不存在实数x 使得x A ∈且x B ∈,所以AB =∅.当B =∅时,有2m <-; 当B ≠∅且A B =∅时,有12113m m m -≤+⎧⎨->⎩或121214m m m -≤+⎧⎨+<-⎩,解得4m >. 故实数m 的取值范围是2m <-或4m >.【点睛】易错点点睛:在利用集合的包含关系以及集合运算求参数时,不能忽略对含参数的集合为空集的情况的讨论,从而导致解题不完整.24.(1){|01}AB x x =≤≤,{|2A B x x =≤或5}x ;(2)阴影图形见解析,{|0A B x x -=≤或5}x ;(3)0a ≤或3a >. 【分析】(1)当1a =时,求得集合B ,根据交集、并集的运算法则,即可求得答案;(2)阴影图形见解析,当1a =时,求得集合B ,根据A B -的定义,即可求得答案; (3)由题意得B A ⊆,分别讨论B =∅和B ≠∅两种情况,根据集合的包含关系,即可求得a 的范围.【详解】(1)当1a =时,02{}|B x x ≤≤=,所以{|01}A B x x =≤≤,{|2A B x x =≤或5}x ;(2)A-B 的部分如图所示:,当1a =时,{|0A B x x -=≤或5}x; (3)因为A B B =,所以B A ⊆,当B =∅时,221a a ->+,解得3a >,当B ≠∅时,则11221a a a +≤⎧⎨-≤+⎩或225221a a a -≥⎧⎨-≤+⎩, 解得0a ≤或∅,综上:0a ≤或3a >.【点睛】易错点为:根据集合包含关系求参数时,当B A ⊆,且集合B 含有参数时,需要讨论集合B 是否为空集,再进行求解,考查分析理解,计算求值的能力,属中档题.25.(1)9,8⎛⎤-∞ ⎥⎝⎦;(2){}90,8⎡⎫⋃+∞⎪⎢⎣⎭【分析】(1)对a 分类讨论:0a =,解出即可判断出是否满足题意.0a ≠时,A 中至少有一个元素,满足0∆,解得a 范围即可得出.(2)对a 分类讨论:0a =,直接验证是否满足题意.0a ≠时,由A 中至多有一个元素,可得0∆≤,解得a 范围即可得出.【详解】解:(1)0a =,由320x -+=,解得23x =,满足题意,因此0a =. 0a ≠时,A 中至少有一个元素,∴980a ∆=-,解得98a ,0a ≠. 综上可得:a 的取值范围是9,8⎛⎤-∞ ⎥⎝⎦. (2)0a =,由320x -+=,解得23x =,满足题意,因此0a =. 0a ≠时,A 中至多有一个元素,∴980a ∆=-,解得98a. 综上可得:a 的取值范围是{}90,8⎡⎫⋃+∞⎪⎢⎣⎭.【点睛】 本题考查了集合的性质、一元二次方程的实数根与判别式的关系,考查了分类讨论方法、推理能力与计算能力,属于中档题.26.(1)(,1)(2,)M a a =-∞-⋃++∞,集合N 见解析;(2)[1,2]-.【分析】(1)对两个不等式进行因式分解,分类讨论即可得解;(2)结合(1)的结论进行分类讨论求解.【详解】(1)22(21)(2)0x a x a a -+++->即()()()120x a x a ---+>所以(,1)(2,)M a a =-∞-⋃++∞;223()0x a a x a -++<即()()20x a x a --<当1a >或0a <时,2(,)N a a =;当01a <<时,2(,)N a a =;当1a =或0a =时,N =∅;(2)分类讨论:当1a =或0a =时,N =∅,符合题意;当01a <<时,2(,)N a a =,M N ⋂=∅, 即212a a a a ≥-≤+⎧⎨⎩,2102a a a a -+≥≤+⎧⎨⎩恒成立,所以01a <<符合题意; 当1a >或0a <时,212a a a a ≥-≤+⎧⎨⎩解得:12a -≤≤,所以[)(]1,01,2a ∈-,综上所述:[1,2]a ∈-【点睛】此题考查求二次不等式的解集,关键在于准确进行因式分解并分类讨论,根据两个集合的交集为空集求参数的取值范围,考查分类讨论思想.。
模块综合测评(时间:120分钟,满分150分)一、单项选择题:本题共8小题,每小题5分,共40分.在每小题给出的四个选项中,只有一项是符合题目要求的.1.设集合A={1,2,6},B={2,4},C={x∈R|-1≤x≤5},则(A∪B)∩C=()A.{2}B.{1,2,4}C.{1,2,4,6} D.{x∈R|-1≤x≤5}B[由题意知A∪B={1,2,4,6},所以(A∪B)∩C={1,2,4}.]2.函数y=x2-5x-6在区间[2,4]上是( )A.递减函数B.递增函数C.先递减再递增函数 D.先递增再递减函数C[作出函数y=x2-5x-6的图象(图略)知图象开口向上,且对称轴为x=错误!,在[2,4]上先减后增.故选C。
]3.函数f (x)=错误!的定义域为( )A.(-1,0)∪(0,1] B.(-1,1]C.(-4,-1]D.(-4,0)∪(0,1]A[由错误!得-1<x〈0或0〈x≤1,所以函数f (x)的定义域为(-1,0)∪(0,1],故选A。
]4.当前,国家正分批修建经济适用房以解决低收入家庭住房紧张问题,已知甲、乙、丙三个社区现分别有低收入家庭360户、270户、180户,若第一批经济适用房中有90套住房用于解决这三个社区中90户低收入家庭的住房问题,先采用分层抽样的方法决定各社区户数,则应从甲社区中抽取低收入家庭的户数为()A.40 B.30C.20 D.36A[由题意,每个个体抽到的概率为错误!=错误!,其中甲社区有360户低收入家庭,所应从甲社区抽取低收入家庭的户数为360×错误!=40户.]5.2019年10月1日在庆祝中华人民共和国成立70周年大阅兵的徒步方队中,被誉为“最强大脑"的院校科研方队队员分别由军事科学院、国防大学、国防科技大学三所院校联合抽组,已知军事科学院的甲、乙、丙三名同学被选上的概率分别为错误!,错误!,错误!,这三名同学中至少有一名同学被选上的概率为( )A.错误!B.错误!C.错误!D.错误!C[由题知三名同学都没有被选上的概率为错误!×错误!×错误!=错误!,所以这三名同学中至少有一名同学被选上的概率为1-错误!=错误!。
模块综合测评(时间:120分钟满分:150分)一、选择题(本大题共12小题,每小题5分,共60分)1.已知集合U={1,2,3,4,5,6,7},A={2,4,5,7},B={3,4,5},则(∁U A)∪(∁U B)等于()A.{1,6}B.{4,5}C.{2,3,4,5,7}D.{1,2,3,6,7}解析:∁U A={1,3,6},∁U B={1,2,6,7},所以(∁U A)∪(∁U B)={1,2,3,6,7}.答案:D2.设A={x|0≤x≤2},B={y|1≤y≤2},在下列各图中能表示从A到B的映射的是()解析:由图示可知,A,B中的映射是从[0,2]到[0,2];C中是从[0,2]到[1,2],但对[0,2]中的每一个值在[1,2]中都有两个值与之对应,所以它不是映射;D中的映射是[0,2]到[1,2]的映射,故选D.答案:D的定义域为M,g(x)=ln(1+x)的定义域为N,则M∩N等于()3.已知函数f(x)=1-A.{x|x>-1}B.{x|x<1}C.{x|-1<x<1}D.⌀解析:由题意,1-x>0,得x<1,即M={x|x<1}.1+x>0,即x>-1,N={x|x>-1},所以M∩N={x|-1<x<1}.答案:C4.已知幂函数的图像过点2,1,则它的单调递增区间是()A.(0,+∞)B.[0,+∞)C.(-∞,+∞)D.(-∞,0)解析:设幂函数为y=x n,将2,1代入得1=2n,解得n=-2,于是幂函数为y=x-2.所以它的递增区间是(-∞,0).答案:D5.函数y=(a>1)的图像的大致形状是()解析:函数y=(a>1)=,0,-,0(a>1)的图像为C.答案:C6.某工厂去年总产值为a,计划今后5年内每年比上一年增长10%,则这5年的最后一年该厂的总产值是()A.1.14aB.1.15aC.1.16aD.(1+1.15)a解析:由题意,得x年后的总产值为y=a·(1+10%)x,则5年后的总产值为a(1+10%)5,即1.15a.答案:B7.已知f(x)为R上的减函数,则满足f1>f(1)的实数x的取值范围是()A.(-∞,1)B.(1,+∞)C.(-∞,0)∪(0,1)D.(-∞,0)∪(1,+∞)解析:由题意,得1<1,当x<0时显然成立,当x>0时,x>1.故选D.答案:D8.(2017天津,文6)已知奇函数f(x)在R上是增函数,若a=-f21,b=f(log24.1),c=f(20.8),则a,b,c的大小关系为() A.a<b<c B.b<a<c C.c<b<a D.c<a<b 解析:∵f(x)为奇函数,∴a=-f21=f-21=f(log25).∵log25>log24.1>log24=2,20.8<21=2,∴log25>log24.1>20.8.又f(x)在R上是增函数,∴f(log25)>f(log24.1)>f(20.8),即a>b>c.故选C.答案:C9.函数f(x)=-x2+4x在[m,n]上的值域是[-5,4],则m+n的取值所成的集合为()A.[0,6]B.[-1,1]C.[1,5]D.[1,7]解析:∵f(x)=-(x-2)2+4,x∈[m,n],∴m≤2,且n≥2.①若f(m)=-5,即-m2+4m=-5.∴m=-1或m=5(舍去),此时2≤n≤ .∴1≤m+n≤ .②若f(n)=-5,即-n2+4n=-5,∴n=5.此时-1≤m≤2,∴ ≤m+n≤7.综上得1≤m+n≤7,选D.答案:D10.若函数f(x)=x3+x2-2x-2的一个正数零点附近的函数值用二分法逐次计算,参考数据如下表:那么方程x3+x2-2x-2=0的一个近似根(精确到0.1)为()A.1.2B.1.3C.1.4D.1.5解析:f(1)f(1.5)<0,取中点1.25;f(1.5)f(1.25)<0,取中点1.375;f(1.375)f(1.5)<0,取中点1.438;f(1.375)f(1.438)<0,取中点1.4065;f(1.4065)f(1.438)<0,取中点1.42225.精确到0.1为1.4.故选C.答案:C11.已知函数f(x)=2-0 ,0 0 ,在区间,-2上满足f(-x)+f(x)=0,则g(-2)的值为()A.-22B.22C.-2D.2解析:由题意知f(x)是区间,-2上的奇函数,∴a+-b2+4b=0,a<0,∴(b-2)2+--2=0,解得b=2,a=-2.∴g(-2)=-f(2)=-2-2a+b=-2+22+2=22.故选B.答案:B12.导学号85104099在同一平面直角坐标系中,函数y=g (x )的图像与y=e x的图像关于直线y=x 对称,而函数y=f (x )的图像与y=g (x )的图像关于y 轴对称.若f (m )=-1,则m 的值为( ) A.-e B.-1C.eD.1解析:因为y=g (x )与y=e x关于y=x 对称,所以g (x )=ln x. 又由题意f (x )=ln(-x ), 又因为f (m )=-1, 所以ln(-m )=-1=lne -1. 所以-m=e -1.所以m=-1.答案:B二、填空题(本大题共4小题,每小题5分,共20分.把答案填在题中横线上) 13.若函数y=f (x )的定义域是[0,2],则函数g (x )= 2-1的定义域是 .解析:∵f (x )的定义域是[0,2],∴g (x )=2-1的定义域需 0 2 2,-1 0,得0≤x<1,∴g (x )的定义域是[0,1).答案:[0,1)14.已知定义域为R 的奇函数f (x )在(0,+∞)上是增函数,且f -12 =0,则不等式f (log 4x )>0的解集是 .解析:定义域为R 的奇函数f (x )在(0,+∞)上是增函数,且f -12 =0,可得f (x )在(-∞,0)上是增函数,且f 12 =-f -12 =0, 当log 4x>0即x>1,f (log 4x )>0即为log 4x>12,解得x>2; 当log 4x<0即0<x<1,f (log 4x )>0即为log 4x>-12,解得12<x<1. 综上可得,原不等式的解集为 12,1 ∪(2,+∞).答案:12,1∪(2,+∞)15.幂函数y=xα,当α取不同的正数时,在区间[0,1]上它们的图像是一族美丽的曲线(如图).设点A(1,0),B(0,1),连接AB,线段AB恰好被其中的两个幂函数y=xα,y=xβ的图像三等分,即有BM=MN=NA,那么,αβ等于.解析:(方法1)由条件,得M1,2,N2,1,可得1221,即α=lo21,β=lo12.所以αβ=lo21·lo121221=1.(方法2)由方法1,得1221,则1121,即αβ=1.答案:116.下列结论中:①定义在R上的函数f(x)在区间(-∞,0]上是增函数,在区间[0,+∞)上也是增函数,则函数f(x)在R上是增函数;②若f(2)=f(-2),则函数f(x)不是奇函数;③函数y=x-0.5是(0,1)上的减函数;④对应法则和值域相同的函数的定义域也相同;⑤若x0是二次函数y=f(x)的零点,且m<x0<n,那么f(m)f(n)<0一定成立.写出上述所有正确结论的序号:.解析:①符合增函数定义,正确;②不正确,f(x)=0,x∈R就是奇函数;③正确,画出函数图像草图(图略)可判断;④不正确;⑤只对m,n非常接近x0时,f(m)f(n)<0才成立.答案:①③三、解答题(本大题共6小题,共70分.解答应写出文字说明、证明过程或演算步骤)17.(10分)设U=R,A={x|2x-3≤1},B={x|2<x<5},C={x|a≤x≤a+1}(a为实数).(1)求A∩B;(2)若B∪C=B,求a的取值范围.解:(1)∵2x-3≤1,∴x≤ .∴A∩B={x|2<x≤ }.(2)由B∪C=B,得C⊆B.∴2,1,即2<a<4.∴a∈(2,4).18.(12分)已知f(x)=1 ,-20, 21,02, 2-1,2,(1)若f(a)=4,且a>0,求实数a的值;(2)求f-2的值.解:(1)若0<a<2,则f(a)=2a+1=4,解得a=2,满足0<a<2.若a≥2,则f(a)=a2-1=4,解得a= 或a=-(舍去),∴a=2或a=.(2)由题意,f-2=f-21=f-12=f-121=f12=2×12+1=2.19.(12分)已知二次函数f(x)的二次项系数为a(a<0).1,3是函数y=f(x)+2x的两个零点.若方程f(x)+6a=0有两个相等的根,求f(x)的解析式.解:因为1,3是y=f(x)+2x的两个零点,且a<0,所以f(x)+2x=a(x-1)(x-3),得f(x)=a(x-1)(x-3)-2x=ax2-(2+4a)x+3a.①所以f(x)+6a=ax2-(2+4a)x+9a=0.②又方程②有两个相等的实根,所以Δ=[-(2+4a)]2-4a·9a=0,即5a2-4a-1=0,解得a=1(舍去)或a=-1.将a=-1代入①,得f(x)=-1x2-x-.20.(12分)已知函数f(x)=lg1(m,n∈R,m>0)的图像关于原点对称.(1)求m,n的值;(2)若函数h(x)=f(2x)-lg21-2在(0,1)内存在零点,求实数b的取值范围.解:(1)函数f(x)=lg1(m,n∈R,m>0)的图像关于原点对称, 所以f(-x)+f(x)=0,所以lg--1+lg1=0,所以--11=1,即2-1 21-22-1=0.所以1-20,2-10,0,解得-1,2(2)由h(x)=f(2x)-lg21-2=lg2-121-lg21-2=lg2-1- 2-2,由题设知h(x)=0在(0,1)内有解,即方程2x-1=b-(2x)2-2x在(0,1)内有解.b=(2x)2+2x+1-1=(2x+1)2-2在(0,1)内递增,得2<b<7.所以当2<b<7时,函数h(x)=f(2x)-lg21-2在(0,1)内存在零点.21.(12分)经过市场调查,某种商品在销售中有如下关系:第x 1≤x≤ 0,x∈N+)天的销售价格(单位:元/件)为f(x)= 0,110,0-,10 0,第x天的销售量(单位:件)为g(x)=a-x(a为常数),且在第20天该商品的销售收入为1 200元(销售收入=销售价格×销售量).(1)求a的值,并求第15天该商品的销售收入;(2)求在这30天中,该商品日销售收入y的最大值.解:(1)当x=20时,由f(20)g(20)=(60-20)(a-20)=1200, 解得a=50.从而可得f(15)g(15)=(60-15)(50-15)=1575(元),即第15天该商品的销售收入为1575元.(2)由题意可知y= 0 0-,110, 0- 0-,10 0,即y=-2102000,110, 2-110 000,10 0,当1≤x≤10时,y=-x2+10x+2000=-(x-5)2+2025.故当x=5时y取最大值,y max=-52+10×5+2000=2025.当10<x≤ 0时,y<102-110×10+3000=2000.故当x=5时,该商品日销售收入最大,最大值为2025元.22.导学号85104100(12分)已知函数f(x)=3x,f(a+2)=27,函数g(x)=λ·2ax-4x的定义域为[0,2].(1)求a的值;(2)若函数g(x)在[0,2]上单调递减,求λ的取值范围;(3)若函数g(x)的最大值是1,求λ的值.解:(1)27=3a+2=33,∴a=1.(2)由(1)得,g(x)=λ·2x-4x.任取0≤x1<x2≤2,则Δx=x2-x1>0,∵g(x)在[0,2]上是减函数,∴Δy=y2-y1<0,Δy=y2-y1=g(x2)-g(x1)=λ·222-(λ·211)=λ·22-(22)2-[λ·21-(21)2]=(2221)[λ-(2221)]<0,对于x∈[0,2]恒成立.∵2221>0,∴λ-(2221)<0对于x∈[0,2]恒成立,即λ<2122对于x∈[0,2]恒成立.∵2221>2,∴λ≤2.∴λ的取值范围是(-∞,2].(3)设t=2x,∵0≤x≤2,∴1≤2x≤ .∴1≤t≤ .y=-t2+λt=--222,1≤t≤ .①当2<1,即λ<2时,y max=λ-1=1,∴λ=;②当1≤2≤ ,即2≤λ≤8时,y max=21, ∴λ=2∉[2,8](舍);③当2>4,即λ>8时,y max=-16+4λ=1,∴λ=12<8(舍).综上λ=.。
&知识就是力量 &最新(新课标)北师大版高中数学必修一第一章集合单元测试题(时间: 120 分钟满分 150 分)一、选择题(本大题共 10小题,每小题 5 分,共 50分.在每小题给出的四个选项中,只有一项是符合题目要求的)1.下列说法正确的是 ( )A.很小的实数可以构成集合B.集合 {y|y=x2-1}与集合 {(x, y)|y= x2- 1}是同一个集合C.自然数集 N 中最小的数是 1D.空集是任何集合的子集2.已知集合 A= {x|0< x< 3},B= {x|1≤ x<2},则 A∪ B=( )A.{x|x≤0} B.{x|x≥ 2}C. {x|1≤ x< 3} D. {x|0<x< 2}3.已知集合 M={0,1,2},N={x|x=2a-1,a∈ N+},则集合 M∩N=( )A. {0} B. {1,2}C. {1} D. {2}k 1 k 14.已知集合 M={x|x=2+4,k∈Z},N={x|x=4+2,k∈Z},若 x0∈M,则 x0与 N的关系是 ( )&知识就是力量 &C.x0∈N 或 x0? N D. x0? N225.已知 M={y|y=x2+1,x∈R},N={y|y=- x2+1,x∈R},则 M∩N=( )A.{0,1} B.{(0,1)}C.{1} D.以上都不是6.设全集 U 和集合B,P 满足 A=? U B,B=? U P,则 A与 P 的关系是 ( )A,A. A= ? U P B.A=PC. A P D.A P27.已知全集 U={1,2,3,4,5},集合 A={x|x2-3x+2=0},B={x|x= 2a,a∈A},则集合 ? U(A∪B)中元素的个数是 ( )A. 1 个B.2个C. 3 个D.4 个8.已知集合 A={x|a-1≤x≤a+2},B={x|3<x<5},则能使 A? B 成立的实数 a的取值范围是 ( )A. {a|3<a≤ 4} B. {a|3≤a≤ 4}C. {a|3<a<4} D.?9.设集合 A={x||x-a|<1},B={x|1<x<5},若 A∩B=? ,则实数 a的取值范围是 ( ) A.{a|0≤a≤6} B. {a|a≤ 2 或 a≥4}C. {a|a≤ 0 或 a≥6} D. {a|2≤ a≤4}10.已知 A,B 均为集合 U={1,3,5,7,9}的子集,且 A∩B={3},(? U B)∩ A={9},则 A 等于( )C.{3,5,9}D.{3,9}二、填空题(本大题共 5小题,每小题 5 分,共 25分.把答案填在题中横线上)11.设集合 A={- 1,1,3},B={a+2,a2+4},A∩ B={3},则实数 a= .12.如图所示的全集 I 及集合 A,B, C,则阴影部分可用集合的运算表示为___13.设 A={x|-2≤x≤4},B={x|x<a},若 A∩B=? ,则实数 a的取值范围是214.已知集合 A={1,3,x},B={1,x2},设 U 为全集,若 B∪(? U B)=A,则? U B=15. 设 U={0,1,2,3},A={x∈U|x2+ mx=0},若 ? U A={1,2},则实数 m= .三、解答题(本大题共 6小题,共 75 分.解答应写出文字说明、证明过程或演算步骤)16.( 12分)设集合 A={-2},B={x|ax+1=0,a∈R},若 A∩B=B,求实数 a 的值.2217.( 12 分)设 A={x|x2- 3x+ 2= 0}, B={x|x2- ax+ 2=0},若 A∪B=A,求由 a 的值组成的集合.18.( 12分)设 A {x|2x2 ax 2 0},B {x|x2 3x 2a 0},且 AI B {2}.(1)求a的值及集合A,B ;(2)设全集U AUB,求(痧U A)U(U B),并写出(痧U A)U(U B)的所有子集.19.( 12 分)设集合 A {x|x2 ax 12 0}, B {x|x2 bx c 0},且A B, AUB { 3,4},AI B { 3},求实数a, b, c的值.20.(13分)已知集合 A {x| 3 x 6},B {x|b 3 x b 7},M {x| 4 x 5},全集UR .(1)求AI M ;(2)若 BU(e U M) R,求实数 b 的取值范围.21.( 14 分)已知集合 A={x||x-a|=4},集合 B={1,2,b}.(1)是否存在实数 a,使得对于任意实数 b 都有 A? B?若存在,求出对应的 a;若不存在,试说明理由;(2)若 A? B 成立,求出对应的实数对 (a, b).参考答案一、选择题1.D 2. D 3. C 4.A 5. C 6.B 7.B8. B 9.C 10.D提示:1.不确定哪个数是很小的数,所以 A错误; B中两个集合描述的对象不同;自然数集N 中最小的数是0,故选 D.2.如图,A∪B={x|0<x<2}.故选 D.3.N={正奇数}, M={0,1,2},所以 M∩N={1}.2k+ 1 k+24.M={x|x=,k∈Z},N={x|x=,k∈ Z},因为 2k+1(k∈Z)是一个奇数, k+ 2(k∈Z)是一个整数,44所以 x0∈M 时,一定有 x0∈N,故选 A.5.M={y|y≥1},N={y|y≤1},所以 M∩ N={1}.6.由 A=? U B,得? U A=B.又因为 B=? U P,所以? U P=? U A.即 P= A,故选 B.27.因为 A={x|x2-3x+2=0}={1,2},B={x|x=2a,a∈A}={2,4},所以 A∪B={1,2,4},所以 ? U(A∪B)={3,5}中有 2 个元素.故选 B.8.根据题意可画出下图.a- 1≤ 3,a+2≥5.9.已知 A={x|a-1<x<a+1},B={x|1<x<5},若 A∩B=? ,借助于数轴可知应满足 a+1≤1或a-1≥5,即 a ≤0 或 a≥ 6.10.借助于 Venn 图解,因为 A∩B={3},所以 3∈ A,又因为 (? U B)∩A={9},所以9∈A,所以选 D.二、填空题11.1 12. B∩(? I A)∩ ( ? I C) 13. {a|a≤- 2}14.{- 3}或{ 3}或{3}15. -3提示:11. 因为 A∩ B={3},所以 3∈B,因为 a2+4≥4,所以 a+ 2=3,所以 a= 1.12.阴影部分位于集合 B 内,且位于集合 A,C的外部,故可表示为 B∩(? I A)∩(? I C).13.画出数轴,则 a≤- 2.14.因为 B∪(? U B)= A,所以 A= U,所以 B? A.(1)当 x2=3 时, x=± 3, B={1,3}, ? U B={ 3}或{- 3};(2)当x2=x时, x=0或1.当 x=0时,B={0,1},? U B={3};而当 x=1不满足集合元素的互异性,舍去.15.因为 ? U A={1,2},所以 A={0,3},故 m=- 3.三、解答题16.解:因为 A∩B= B,所以 B? A.因为 A={- 2}≠? ,所以 B=? 或 B≠ ? .当 B =? 时,方程 ax +1=0 无实数解, a = 0.1 当 B ≠? 时, a ≠0,则 B ={- }, a1 1 1所以- ∈A ,即有- =- 2,得 a = .a a 21综上,得 a = 0 或 a =2.17.解:由 A ∪ B =A ,可知 B? A ,而 A ={1,2},故 B 可为 {1,2},{1},{2},或? .当 B ={1,2}=A 时,显然有 a =3.当 B ={1},{2},或? 时,方程 x 2-ax +2=0有等根或无实根, 故Δ≤ 0,即a 2-8≤0,解得- 2 2≤a ≤2 2.但当 a =±2 2时,得到 B ={- 2}或{ 2},不能满足 B? A.故所求 a 值的集合为 {3}∪{a|- 2 2<a<2 2}.18.解:(1)因为 A B 2 ,所以 2 A ,即 10+2a=0,解得 a=-5,2 1 2 从而可知 A {x|2x 2-5x 2 0}={2, } , B {x|x 2 3x 10 0}={2, 5};1 1 1(2)由( 1)知U AUB = ,2,-5 ,所以e U A= -5,e U B= ,所以(痧U A)U( U B) {1, 5},2 U U 2 U U2其子集为 , {1} , { 5} , { 1, 5} .22 将-3 代入方程 x 2 ax 12 0得 a =-1 ,从而 A={-3 , 4}.又 AUB { 3,4} ,A B,-3 B ,所以 B={-3}.所以由根与系数的关系知( -3 ) +(-3)=-b,(-3)(-3)=c, b=-6,c=919.解:因为 AI B { 3},所以 -3 A .&知识就是力量 &20.解: (1) AI M {x| 3 x 6}I { x| 4 x 5} {x| (2)因为 e U M { x| x 4或x 5} ,又 B {x|b 3 x b 所以 b 3 4 ,解得 2 b 1 .b75所以实数 b 的取值范围是 2 b 1.21.解: (1) 设存在实数 a ,使得对任意的实数 b ,都有 A? B . 因为 A ={a +4,a -4},b 任意,所以 1,2都是 A 中的元素, 所以这样的实数 a 不存在.(2)因为 A? B 成立, A ={a +4,a -4},所以有a -4=1 a - 4=2 a -4=b a -4=b或或或,a +4=b a + 4=b a +4=1 a +4=2a =5 a = 6 a =- 3 a =- 2解得 或 或 或 .b = 9 b =10 b =- 7 b =- 6所以实数对为 (5,9),(6,10),(-3,-7),(-2,- 6). 3 x 5} .7}, BU(e U M) R , a +4=2,a 无实数解. a -4=1。
第一章单元质量评估时间:120分钟 满分:150分一、选择题(每小题5分,共60分)1.设集合A ={1,2,3},B ={1,3,9},x ∈A ,且x ∉B ,则x =( B ) A .1 B .2 C .3 D .9解析:因为x ∈A ,所以x 的可能取值是1,2,3.因为x ∉B ,所以x 的值不能取1,3,9,所以x =2.2.已知集合A ={x |x 2+4x =0},那么下列结论正确的是( A ) A .0∈A B .4∈A C .-4∉A D .0∉A 解析:由于A ={0,-4},故选A.3.方程组⎩⎪⎨⎪⎧x +y =1,x -y =3的解集是( D )A .{2,-1}B .{x =2,y =-1}C .{(x ,y )|(2,-1)}D .{(2,-1)}解析:由⎩⎪⎨⎪⎧x +y =1,x -y =3得⎩⎪⎨⎪⎧x =2,y =-1,所以方程组⎩⎪⎨⎪⎧x +y =1,x -y =3的解集为{(2,-1)}.4.设全集U ={1,3,5,7},集合M ={1,|a -5|},∁U M ={5,7},则实数a 的值为( A ) A .2或8 B .-8或-2 C .-2或8 D .2或-8 解析:由已知得|a -5|=3⇒a =8或2.故选A. 5.下列集合中,只有一个子集的是( D ) A .{x ∈R |x 2-4=0} B .{x |x >9或x <3} C .{(x ,y )|x 2+y 2=0} D .{x |x >9且x <3}解析:A 、B 、C 都不是空集,D =∅,故D 只有一个子集.6.若集合M ={(x ,y )|x +y =0},N ={(x ,y )|x 2+y 2=0,x ∈R ,y ∈R },则有( A ) A .M ∪N =M B .M ∪N =N C .M ∩N =M D .M ∩N =∅解析:集合M 表示直线x +y =0上的点,集合N ={(0,0)},所以M ∪N =M ,M ∩N =N ,故A 正确.7.下列四个命题:①{0}是空集;②若a ∈N ,则-a ∉N ;③集合{x ∈R |x 2-2x +1=0}有两个元素;④集合⎩⎪⎨⎪⎧⎭⎪⎬⎪⎫x ∈Q ⎪⎪⎪6x ∈N是有限集.其中正确命题的个数为( D )A .1B .2C .3D .0解析:①{0}是含有一个元素0的集合,不是空集,故①不正确; ②当a =0时,0∈N ,-a =-0=0∈N ,故②不正确;③∵x 2-2x +1=0,∴x 1=x 2=1.∴{x ∈R |x 2-2x +1=0}={1},∴③不正确;④∵当x 为正整数的倒数时,有6x∈N ,∴⎩⎪⎨⎪⎧⎭⎪⎬⎪⎫x ∈Q ⎪⎪⎪6x∈N是无限集,∴④不正确. 8.已知集合A ={x |x 2-3x +2=0,x ∈R },B ={x |0<x <5,x ∈N },则满足条件A ⊆C ⊆B 的集合C 的个数为( D )A .1B .2C .3D .4解析:由题意知:A ={1,2},B ={1,2,3,4}.又A ⊆C ⊆B ,则集合C 可能为{1,2},{1,2,3},{1,2,4},{1,2,3,4}.9.在集合{a ,b ,c ,d }上定义两种运算⊕和⊗如下:那么d ⊗(a ⊕c )=( A ) A .a B .b C .c D .d解析:由⊕定义知a ⊕c =c ,由⊗定义知d ⊗c =a ,即d ⊗(a ⊕c )=d ⊗c =a .10.设M ={x |x =a 2+1,a ∈N +},P ={y |y =b 2-4b +5,b ∈N +},则下列关系正确的是( B )A .M =PB .MPC .P MD .M 与P 没有公共元素解析:因为a ∈N +,所以x =a 2+1=2,5,10,….因为b ∈N +,所以y =b 2-4b +5=(b -2)2+1=1,2,5,10,….所以M P .11.设S 为全集,则下列几种说法中,错误的个数为( A )①若A ∩B =∅,则(∁S A )∪(∁S B )=S ;②若A ∪B =S ,则(∁S A )∩(∁S B )=∅;③若A ∪B =∅,则A =B .A .0B .1C .2D .3解析:对于①,∵(∁S A )∪(∁S B )=∁S (A ∩B )=∁S ∅=S ,∴①正确;对于②,∵(∁S A )∩(∁S B )=∁S (A ∪B )=∁S S =∅,∴②正确;对于③,∵A ∪B =∅,∴A =B =∅,∴③正确.综上知,错误的个数为0. 12.定义集合运算:A ⊙B ={z |z =xy (x +y ),x ∈A ,y ∈B },设集合A ={0,1},B ={2,3},则集合A ⊙B 的所有元素之和为( D )A .0B .6C .12D .18解析:理解定义A ⊙B 是关键,得出A ⊙B 的所有元素为0,6,12.故所有元素之和为18. 二、填空题(每小题5分,共20分)13.已知全集U ={1,2,3,4},集合A ={1,2},B ={2,3},则A ∩(∁U B )等于{1}. 解析:因为∁U B ={1,4},所以A ∩(∁U B )={1}.14.设集合M ={-1,0,1},N ={a ,a 2},则使M ∩N =N 成立的a 的值是-1.解析:由于集合中的元素互不相同,所以a ≠a 2⇒a ≠0,且a ≠1.又因为M ∩N =N ,所以a =-1.15.设集合M ={x |x =3k ,k ∈Z },P ={x |x =3k +1,k ∈Z },Q ={x |x =3k -1,k ∈Z },若a ∈M ,b ∈P ,c ∈Q ,则a +b -c ∈Q (填M ,P ,Q 中的一个).解析:依据题意设a =3k ,b =3t +1,c =3m -1(k ,t ,m ∈Z ),则a +b -c =3(k +t -m )+2,所以该元素具有集合Q 中元素的特征性质,应属于集合Q .16.已知集合A ={x |a +1<x <2a -1},B ={x |x <-2,或x >7},且A ∁R B ,则实数a 的取值X 围是{a |a ≤4}.解析:∁R B ={x |-2≤x ≤7},若A =∅显然满足条件,此时a +1≥2a -1,所以a ≤2, 若A ≠∅,即a >2时满足A∁R B ,则有⎩⎪⎨⎪⎧a +1≥-2,2a -1≤7,所以-3≤a ≤4,所以2<a ≤4,综上知a ≤4.三、解答题(写出必要的计算步骤、解答过程,只写最后结果的不得分,共70分) 17.(10分)请选择适当的方法表示下列集合: (1)1到100连续自然数的平方;(2)能被3整除,且大于4小于15的自然数; (3)正偶数集;(4)由不等式x 2-x -2>0的所有解组成的集合; (5)到定点O 的距离等于定长r 的点M 的集合; (6)平面直角坐标系内第一象限内的点集.解:(1){1,4,9,16,…,1002};(2){6,9,12}; (3){x |x =2n ,n ∈N +};(4){x |x 2-x -2>0};(5){点M ||OM |=r }(O 是定点,r 是定长);(6){(x ,y )|x >0,y >0}. 18.(12分)设A ={x |x 2-8x +15=0},B ={x |ax -1=0}. (1)若a =15,试判定集合A 与B 的关系;(2)若B ⊆A ,某某数a 组成的集合C .解:(1)由x 2-8x +15=0,得x =3,或x =5,所以A ={3,5}, 若a =15,由ax -1=0,得15x -1=0,即x =5,所以B ={5},所以B A .(2)因为A ={3,5},又B ⊆A .故若B =∅,则方程ax -1=0无解,有a =0; 若B ≠∅,则a ≠0,由ax -1=0,得x =1a,所以1a =3,或1a =5,即a =13,或a =15.故C =⎩⎨⎧⎭⎬⎫0,13,15.19.(12分)设U =⎩⎨⎧⎭⎬⎫-13,5,-3,-13是集合A ={x |3x 2+px -5=0}与B ={x |3x 2+10x+q =0}的公共元素.(1)某某数p ,q 的值; (2)求∁U A ,∁U B .解:(1)由题意知,-13是方程3x 2+px -5=0与3x 2+10x +q =0的公共解,∴⎩⎪⎨⎪⎧3×⎝ ⎛⎭⎪⎫-132+⎝ ⎛⎭⎪⎫-13p -5=0,3×⎝ ⎛⎭⎪⎫-132+10×⎝ ⎛⎭⎪⎫-13+q =0,∴⎩⎪⎨⎪⎧p =-14,q =3.(2)∵A ={x |3x 2-14x -5=0}=⎩⎨⎧⎭⎬⎫-13,5,∴∁U A ={-3}.∵B ={x |3x 2+10x +3=0}=⎩⎨⎧⎭⎬⎫-13,-3,∴∁U B ={5}.20.(12分)设全集U =R ,集合A ={x |0≤x ≤1},B ={x |2x -4>x -2}. (1)求∁U (A ∪B );(2)若集合C ={x |2x +a >0},满足B ∪C =C ,某某数a 的取值X 围.解:(1)A ={x |0≤x ≤1},B ={x |x >2},A ∪B ={x |0≤x ≤1,或x >2},∁U (A ∪B )={x |x <0,或1<x ≤2}.(2)C =⎩⎪⎨⎪⎧⎭⎪⎬⎪⎫x ⎪⎪⎪x >-a 2,B ∪C =C ⇒B ⊆C ,所以a ≥-4. 21.(12分)已知集合A ={x |1<x <3},集合B ={x |2m <x <1-m }. (1)当m =-1时,求A ∪B ; (2)若A ⊆B ,某某数m 的取值X 围; (3)若A ∩B =∅,某某数m 的取值X 围.解:(1)当m =-1时,B ={x |-2<x <2},则A ∪B ={x |-2<x <3}. (2)由A ⊆B 知,⎩⎪⎨⎪⎧1-m >2m ,2m ≤1,1-m ≥3,得m ≤-2.(3)由A ∩B =∅得:①当2m ≥1-m ,即m ≥13时,B =∅,符合题意.②当2m <1-m ,即m <13时,则⎩⎪⎨⎪⎧m <13,1-m ≤1或⎩⎪⎨⎪⎧m <13,2m ≥3,得0≤m <13或m 不存在,即0≤m <13.综上知m ≥0.22.(12分)已知集合A ={x |x 2-3x +2=0},B ={x |x 2-mx +m -1=0},若A ∩B =B ,某某数m 的取值X 围.解:A ={1,2},因为A ∩B =B ,所以B ⊆A .所以B =∅或{1}或{2}或{1,2}. 又Δ=m 2-4m +4=(m -2)2≥0,故B ={1}或{2}或{1,2}.当B ={1}时,有⎩⎪⎨⎪⎧m -22=0,1-m +m -1=0,所以m =2.当B ={2}时,有⎩⎪⎨⎪⎧ m -22=0,4-2m +m -1=0,方程组无解.当B ={1,2}时,有⎩⎪⎨⎪⎧1+2=m ,1×2=m -1,所以m =3,此时Δ>0.综上所述,m =2或m =3.。
一、选择题1.已知集合{}11M x Z x =∈-≤≤,{}Z (2)0N x x x =∈-≤,则如图所示的韦恩图中的阴影部分所表示的集合为( )A .{}0,1B .{}1,2-C .{}1,0,1-D .1,0,1,22.由实数x ,﹣x ,|x |2x 33x - ) A .2个B .3个C .4个D .5个3.已知集合{}2,,M m m a b a b Q ==+∈,则下列四个元素中属于M 的元素的个数是( )①12π1162+22+2323-+A .4B .3C .2D .14.对任意x M ∈,总有2x M ∉x M ,若{}0,1,2,3,4,5M ⊆,则满足条件的非空集合M 的个数是( ) A .11B .12C .15D .165.已知区间1[,]3A m m =-和3[,]4B n n =+均为[]0,1的子区间,定义b a -为区间[],a b 的长度,则当A B 的长度达到最小时mn 的值为( )A .0B .112C .0或112D .0或16.已知集合{}2|230A x x x =--≤,集合{}||1|3B x x =-≤,集合4|05x C x x -⎧⎫=≤⎨⎬+⎩⎭,则集合A ,B ,C 的关系为( )A .B A ⊆B .A B =C .C B ⊆D .A C ⊆7.已知集合{}2|230A x x x =--<,集合{}1|21x B x +=>,则C B A =( )A .[3,)+∞B .(3,)+∞C .(,1][3,)-∞-⋃+∞D .(,1)(3,)-∞-+∞8.设全集为R ,集合{}2log 1A x x =<,{}21B x y x ==-,则()RAB =( )A .{}02x x <<B .{}01x x <<C .{}11x x -<<D .{}12x x -<<9.已知集合{}|15A x x =≤<,{}|3B x a x a =-<≤+.若B A B =,则a 的取值范围为( ) A .3,12⎛⎤-- ⎥⎝⎦B .3,2∞⎛⎤-- ⎥⎝⎦C .(],1-∞-D .3,2⎛⎫-+∞ ⎪⎝⎭10.已知全集U =R ,集合(){}{}20,1A x x x B x x =+<=≤,则图中阴影部分表示的集合是( )A .()2,1-B .[][)1,01,2-C .()[]2,10,1--D .0,111.若{}{}0,1,2,3,|3,A B x x a a A ===∈,则A B 的子集个数是()A .6B .8C .4D .212.已知集合{0,1,2,3,4},{|21,}A B x x n n A ===+∈,则A B 等于( )A .{}1,3,5B .{}3C .{}5,7,9D .{}1,3二、填空题13.已知集合(){|221,}A k k k Z απαπ=≤≤+∈,{|55}B a α=-≤≤,则A B ⋂=__________.14.我们将b a -称为集合{|}M x a x b =≤≤的“长度”,若集合2{|}3M x m x m =≤≤+,{|0.5}N x n x n =-≤≤,且集合M 和集合N 都是集合{|01}x x ≤≤的子集,则集合M N ⋂的“长度”的最小值是________15.已知集合{}2|60M x x x =+->,{}2|230,0N x x ax a =-+≤>,若M N ⋂中恰有一个整数,则a 的最小值为_________.16.已知全集{}1,2,3,4,5,6U =,①A U ⊆;②若x A ∈,则2x A ∉;③若Ux A ∈,则2Ux A ∉,则同时满足条件①②③的集合A 的个数为______17.已知非空集合{}|121A x m x m =+≤≤-,集合{}2|1030B x x x =+-≥,若A B =Φ,则实数m 的取值范围为__________18.定义有限数集A 中的最大元素与最小元素之差为A 的“长度”,如:集合1{1,2,4}A =的“长度”为3,集合{}23A =的“长度”为0.已知集合{1,2,3,4,5,6}U =,则U 的所有非空子集的“长度”之和为_________.19.已知集合{}1,1A =-,{}|10B x ax =+=,若B A ⊆,则实数a 所有取值的集合为_____20.任意两个正整数x 、y ,定义某种运算⊗:()()x y x y x y x y x y +⎧⊗=⎨⨯⎩与奇偶相同与奇偶不同,则集合{(,)|6,,}M x y x y x y =⊗=∈*N 中元素的个数是________三、解答题21.若全集U =R ,集合{23},{27},{(4)(3)0}A x a x a B x x C x x x =-≤≤+=≤≤=-+≥.(1)当3a =时,求,()U A B A C B ;(2)若AC A =,求实数a 的取值范围.22.已知集合A ={x |a -1<x <2a +1},B ={x |x 2-x <0} (I )若a =1,求AB ,()R AB ;(II )若A B =∅,求实数a 的取值范围23.已知集合A ={x|2a +1≤x≤3a -5},B ={x|x <-1,或x >16},分别根据下列条件求实数a 的取值范围.(1)A∩B =∅;(2)A ⊆(A∩B ).24.已知集合{}2|280A x x x =+-≤,[)1,B =-+∞,设全集为U =R .(1)求()UA B ∩;(2)设集合(1,1)C a a =-+,若C A B ⊆⋃,求实数a 的取值范围. 25.已知集合{|123}A x a x a =+≤≤+,{}2|7100B x x x =-+-≥. (1)已知3a =,求集合()R A B ;(2)若B A ⊆,求实数a 的范围.26.设集合{}2|320A x x x =++=,{}2|2(1)30B x x a x a =++++=. (1)若{1}A B ⋂=-,求实数a 的值; (2)若A B A ⋃=,求实数a 的取值范围.【参考答案】***试卷处理标记,请不要删除一、选择题 1.B 解析:B 【分析】阴影部分可以用集合M N 、表示为()()M N C M N ⋃⋂,故求出M N 、、M N ⋃,M N ⋂即可解决问题. 【详解】解:由题意得,{}1,0,1M =-,{}0,1,2N ={}1,0,1,2M N ⋃=-,{}0,1M N ⋂=阴影部分为()(){}1,2M N C M N ⋃⋂=-故选B 【点睛】本题考查用韦恩图表示的集合的运算,解题时要能用集合的运算表示出阴影部分.2.A解析:A 【分析】根据绝对值的定义和开平方、立方的方法,应对x 分0,0,0x x x >=<三种情况分类讨论,根据讨论结果可得答案. 【详解】当0x >时,0x x x ===-<,此时集合共有2个元素,当0x =时,0x x x ====-=,此时集合共有1个元素,当0x <时,0x x -===>,此时集合共有2个元素,综上所述,此集合最多有2个元素. 故选:A . 【点睛】本题考查了元素与集合关系的判断及根式的化简求值,其中解答本题的关键是利用分类讨论思想,对x 分三种情况进行讨论,是基础题.3.C解析:C 【分析】①②③都可以写成m a =+,a b 是否是有理数,④计算.【详解】①当1a +=+时,可得1,a b π==,这与,a b Q ∈矛盾,3==3a ∴+=,可得3,1a b == ,都是有理数,所以正确,2122==-,12a ∴+=-,可得11,2a b ==-,都是有理数,所以正确,④2426=+=而(22222a a b +=++,,a b Q ∈,(2a ∴+是无理数,不是集合M 中的元素,只有②③是集合M 的元素. 故选:C 【点睛】本题考查元素与集合的关系,意在考查转化与化归的思想,计算能力,属于基础题型.4.A解析:A 【分析】根据题意,0M ∉且1M ∉,且2、4不同时在集合M 中,对集合M 分两种情况讨论:①2M ∉且4M ∉;②2和4有且只有一个在集合M 中,分别列举出符合条件的集合M ,即可得出答案.【详解】2111==,200==,由题意可知0M ∉且1M ∉,由于242=,所以,2和4不同时在集合M 中.①当2M ∉且4M ∉时,则符合条件的集合M 有:{}3、{}5、{}3,5,共3种; ②若2和4有且只有一个在集合M 中,则符合条件的集合M 有:{}2、{}2,3、{}2,5、{}2,3,5、{}4、{}3,4、{}4,5、{}3,4,5,共8种.综上所述,满足条件的非空集合M 的个数是3811+=. 故选:A. 【点睛】本题考查满足条件的集合个数的求解,列举出满足条件的集合即可,考查分类讨论思想的应用,属于中等题.5.C解析:C 【分析】由于这两个集合都是区间[]0,1的子集,根据区间长度的定义可得当103314m n ⎧-=⎪⎪⎨⎪+=⎪⎩或10m n =⎧⎨=⎩时AB 的长度最小,解出方程组即可得结果.【详解】由于这两个集合都是区间[]0,1的子集,根据区间长度的定义可得当103314m n ⎧-=⎪⎪⎨⎪+=⎪⎩或10m n =⎧⎨=⎩时A B 的长度最小,解得1314m n ⎧=⎪⎪⎨⎪=⎪⎩或10m n =⎧⎨=⎩,即112mn =或0,故选C. 【点睛】本题主要考查集合的表示方法,两个集合的交集的定义,充分理解区间长度的定义是解题的关键,属于中档题.6.D解析:D 【分析】根据一元二次不等式的解法可求出集合A ,根据绝对值不等式的解法可求出集合B ,根据分式不等式的解法可求出集合C ,从而可得出集合A ,B ,C 间的关系. 【详解】解:由于{}{{}2|23013A x x x x x =--≤=-≤≤,{}{}|1324B x x x x =-≤=-≤≤, {}4|0545x C x x x x -⎧⎫=≤=-<≤⎨⎬+⎩⎭,可知,A C ⊆. 故选:D. 【点睛】本题考查一元二次不等式、绝对值不等式和分式不等式的解法,以及集合间的关系,考查计算能力.7.A解析:A 【分析】首先解得集合A ,B ,再根据补集的定义求解即可. 【详解】 解:{}2|230{|13}A x x x x x =--<=-<<,{}1|21{|1}x B x x x +=>=>-,{}C |3[3,)B A x x ∴=≥=+∞,故选A .【点睛】本题考查一元二次不等式的解法,指数不等式的解法以及补集的运算,属于基础题.8.B解析:B 【解析】 【分析】解出集合A 、B ,再利用补集和交集的定义可得出集合()RA B .【详解】由2log 1x <,02x <<,{}02A x x ∴=<<.由210x -≥,得1x ≤-或1x ≥,则{}11B x x x =≤-≥或,{}11R B x x ∴=-<<, 因此,(){}01A B x x ⋂=<<R ,故选:B. 【点睛】本题考查交集和补集的混合运算,同时也考查了对数不等式以及函数定义域的求解,考查计算能力,属于中等题.9.C解析:C 【分析】首先确定B A ⊂,分B φ=和B φ≠两种情况讨论,求a 的取值范围. 【详解】B A B =B A ∴⊂,当B φ=时,332a a a -≥+⇒≤-; 当B φ≠时,3135a a a a -<+⎧⎪-≥⎨⎪+<⎩,312a ∴-<≤- , 综上:1a ≤-, 故选C. 【点睛】本题考查根据集合的包含关系,求参数取值范围,意在考查分类讨论的思想,属于基础题型.10.C解析:C 【分析】由集合描述求集合,A B ,结合韦恩图知阴影部分为()()U C A B A B ⋂⋂⋃,分别求出()U C A B 、()A B ⋃,然后求交集即可.【详解】(){}20{|20}A x x x x x =+<=-<<,{}1{|11}B x x x x =≤=-≤≤,由图知:阴影部分为()()U C A B A B ⋂⋂⋃,而{|10}A B x x ⋂=-≤<,{|21}A B x x ⋃=-<≤,∴(){|1U C A B x x ⋂=<-或0}x ≥,即()(){|21U C A B A B x x ⋂⋂⋃=-<<-或01}x ≤≤,故选:C 【点睛】本题考查了集合的基本运算,结合韦恩图得到阴影部分的表达式,应用集合的交并补混合运算求集合.11.C解析:C 【分析】先求得B 的具体元素,然后求A B ,进而确定子集的个数.【详解】依题意{}0,3,6,9B =,所以{}0,3A B ⋂=,其子集个数为224=,故选C. 【点睛】本小题主要考查集合元素的识别,考查两个集合的交集,考查集合子集的个数计算,属于基础题.12.D解析:D 【分析】首先求得集合B ,然后进行交集运算即可. 【详解】由题意可得:{}1,3,5,7,9B =,则{}1,3A B =.故选D . 【点睛】本题主要考查集合的表示方法,交集的定义与运算等知识,意在考查学生的转化能力和计算求解能力.二、填空题13.或【分析】分别讨论时集合A 与集合B 的交集即可求解【详解】当时当时当时当时或故答案为: 或【点睛】本题主要考查了集合的交集分类讨论的思想属于中档题解析:{|5ααπ-≤≤- 或0}απ≤≤ 【分析】分别讨论1,0,k =-时集合A 与集合B 的交集即可求解. 【详解】(){|221,}A k k k Z απαπ=≤≤+∈,∴当1k =-时,2παπ-≤≤-,当0k =时,0απ≤≤, 当1k时,5α<,当2k ≤-时,5α<-{|55}B a α=-≤≤,A B ∴={|5ααπ-≤≤-或0}απ≤≤故答案为:{|5ααπ-≤≤- 或0}απ≤≤ 【点睛】本题主要考查了集合的交集,分类讨论的思想,属于中档题.14.【分析】当集合的长度的最小值时与应分别在区间的左右两端由此能求出的长度的最小值【详解】由题的长度为的长度为当集合的长度的最小值时与应分别在区间的左右两端故的长度的最小值是故答案为:【点睛】本题考查交解析:16【分析】当集合M N ⋂的“长度”的最小值时,M 与N 应分别在区间[]0,1的左右两端,由此能求出M N ⋂的“长度”的最小值 【详解】由题,M 的“长度”为23,N 的“长度”为12, 当集合M N ⋂的“长度”的最小值时,M 与N 应分别在区间[]0,1的左右两端, 故M N ⋂的“长度”的最小值是2111326+-=, 故答案为:16【点睛】本题考查交集的“长度”的最小值的求法,考查新定义的合理运用15.2【分析】解一元二次不等式求得集合根据交集结果可知在只有一个整数解由二次函数性质可得解方程组求得结果【详解】令则对称轴为恰有一个整数即在只有一个整数解即解得:的最小值为故答案为:【点睛】本题考查根据解析:2 【分析】解一元二次不等式求得集合M ,根据交集结果可知()2230f x x ax =-+≤在()(),32,-∞-+∞只有一个整数解,由二次函数性质可得()()3040f f⎧≤⎪⎨>⎪⎩,解方程组求得结果. 【详解】()(){}()()320,32,M x x x =+->=-∞-⋃+∞,令()()2230f x x ax a =-+>,则对称轴为x a =,M N ⋂恰有一个整数,即()0f x ≤在()(),32,-∞-+∞只有一个整数解,()()3040f f ⎧≤⎪∴⎨>⎪⎩,即963016830a a -+≤⎧⎨-+>⎩,解得:1928a ≤<, a ∴的最小值为2.故答案为:2 【点睛】本题考查根据交集结果求解参数范围的问题,关键是能够将整数解个数问题转化为二次函数图象的讨论,通过约束二次函数的图象得到不等关系.16.8【分析】由条件可得:当则即则即但元素3与集合的关系不确定3属于时6属于的补集;3属于的补集时6属于;而元素5没有限制【详解】由①;②若则;③若则当则即则即但元素3与集合的关系不确定3属于时6属于的解析:8 【分析】由条件可得:当1A ∈,则2A ∉,即2UA ∈,则4UA ∉,即4A ∈,但元素3与集合A的关系不确定,3属于A 时,6属于A 的补集;3属于A 的补集时,6属于A ;而元素5没有限制. 【详解】由①A U ⊆;②若x A ∈,则2x A ∉;③若Ux A ∈,则2Ux A ∉.当1A ∈,则2A ∉,即2UA ∈,则4UA ∉,即4A ∈,但元素3与集合A 的关系不确定,3属于A 时,6属于A 的补集;3属于A 的补集时,6属于A ; 而元素5没有限制.{1,4,6},{2,3,5},{2,3},{1,4,5,6},{1,3,4},{2,4,5},{2,A ∴=6},{1,3,4,5},同时满足条件①②③的集合A 的个数为8个. 故答案为:8. 【点睛】本题考查了集合的运算性质、元素与集合的关系,考查了分类讨论思想方法、推理能力与计算能力,属于中档题.17.或【分析】化简集合对集合是否为空集分类讨论若满足题意若根据条件确定集合的端点位置即可求解【详解】由得若满足题意;若可得或解得或;综上:或故答案为:或【点睛】本题考查集合间的运算不要遗漏空集情况属于中 解析:4m >或2m <【分析】化简集合B ,对集合A 是否为空集分类讨论,若A =∅满足题意,若A =∅,根据条件确定集合A 的端点位置,即可求解.【详解】由21030x x +-≥得25,[2,5]x B -≤≤∴=-,若,121,2A m m m =∅+>-<,满足题意;若,A A B ≠∅=∅,可得12115m m m +≤-⎧⎨+>⎩或121212m m m +≤-⎧⎨-<-⎩, 解得4m >或m ∈∅;综上:4m >或2m <.故答案为:4m >或2m <【点睛】本题考查集合间的运算,不要遗漏空集情况,属于中档题.18.201【分析】根据集合长度的定义可将集合的非空子集分六类分别计算可求出答案【详解】集合有6个元素非空子集有个①集合长度为0的子集有:;②集合长度为1的子集有:;③集合长度为2的子集有:;④集合长度为 解析:201【分析】根据集合“长度”的定义,可将集合U 的非空子集分六类,分别计算可求出答案.【详解】集合U 有6个元素,非空子集有62163-=个,①集合“长度”为0的子集有:{}{}{}{}{}{}1,2,3,4,5,6;②集合“长度”为1的子集有:{}{}{}{}{}1,2,2,3,3,4,4,5,5,6;③集合“长度”为2的子集有:{}{}{}{}1,3,2,4,3,5,4,6,{}{}{}{}1,2,3,2,3,4,3,4,5,4,5,6;④集合“长度”为3的子集有:{}{}{}1,4,2,5,3,6,{}{}{}1,2,4,1,3,4,2,3,5,{}{}{}2,4,5,3,4,6,3,5,6,{}{}1,2,3,4,2,3,4,5,{}3,4,5,6;⑤集合“长度”为4的子集有:{}{}1,5,2,6,{}{}{}1,2,5,1,3,5,1,4,5,{}{}{}2,3,6,2,4,6,2,5,6,{}{}{}1,2,3,5,1,2,4,5,1,3,4,5,{}{}{}2,3,4,6,2,3,5,6,2,4,5,6,{}2,3,4,5,6,{}1,2,3,4,5; ⑥集合“长度”为5的子集有:{}1,6,{}1,2,6,{}1,3,6,{}1,4,6,{}1,5,6,{}1,2,3,6,{}1,2,4,6,{}1,2,5,6,{}1,3,4,6,{}1,3,5,6,{}1,4,5,6{1,3,4,5,6},{1,2,4,5,6},{1,2,3,5,6},{1,2,3,4,6},{1,2,3,4,56},. U 的所有非空子集的“长度”之和为061528312416516201⨯+⨯+⨯+⨯+⨯+⨯=. 故答案为:201.【点睛】本题考查新定义,要求读懂题意并结合已有知识、能力进行理解,根据新定义进行计算、推理、迁移,新定义问题要把握两点:一是掌握问题原型的特点及其问题解决的思想方法;二是根据问题情境的变化,通过思考,合理进行思想方法的迁移.19.【分析】分类讨论:当时;当时分别讨论中元素为1和-1两种情况依次求解【详解】由题:当时符合题意;当时或所以或1所以实数所有取值的集合为故答案为:【点睛】此题考查通过集合的包含关系求参数的值其中的易漏 解析:{}1,0,1-【分析】分类讨论:当B =∅时,0a =;当B ≠∅时,分别讨论B 中元素为1和-1两种情况依次求解.【详解】由题:B A ⊆当0a =时,B =∅符合题意;当0a ≠时,1B A a ⎧⎫=-⊆⎨⎬⎩⎭,11a -=或11a -=- 所以,1a =-或1,所以实数a 所有取值的集合为{}1,0,1-.故答案为:{}1,0,1-【点睛】此题考查通过集合的包含关系求参数的值,其中的易漏点在于漏掉考虑子集为空集的情况,依次分类讨论即可避免此类问题.20.【分析】根据正整数的奇偶讨论的不同取值情况:若一奇一偶则取;若都是奇数或都是偶数则取列举出所有可能即可【详解】集合若一奇一偶则取此时所有个数为此时共有4个;若都是偶数则取此时所有个数为此时共有2个; 解析:9【分析】根据正整数的奇偶,讨论x y 、的不同取值情况:若一奇一偶,则取6xy =;若都是奇数或都是偶数,则取6x y +=,列举出所有可能即可.【详解】集合{(,)|6,,}M x y x y x y =⊗=∈*N若x y 、一奇一偶,则取6xy =,此时所有个数为16x y =⎧⎨=⎩,23x y =⎧⎨=⎩,32x y =⎧⎨=⎩,61x y =⎧⎨=⎩,此时(),x y 共有4个;若x y 、都是偶数,则取6x y +=,此时所有个数为24x y =⎧⎨=⎩,42x y =⎧⎨=⎩,此时共(),x y 有2个; 若x y 、都是奇数,则取6x y +=,此时所有个数为15x y =⎧⎨=⎩,33x y =⎧⎨=⎩, 51x y =⎧⎨=⎩此时(),x y 共有3个;综上可知,满足条件的元素共有9个.故答案为:9【点睛】本题考查了新定义运算与集合的综合应用,注意分析题意并正确理解新定义是解决此类问题的关键,属于中档题. 三、解答题21.(1)[2,6],()(,6](7,)U AB AC B ==-∞+∞;(2)(,6][6,)a ∈-∞-+∞. 【分析】(1)由集合的交、并、补的运算即可得解;(2)由集合的包含关系可得:因为AC A =,所以A C ⊆,再列不等式33a +≤-或24a -≥,求解即可. 【详解】解:(1)因为3a =,所以[1,6],A =又因为[2,7],B =所以(,2)(7,)U C B =-∞+∞, 故[2,6]A B =,()(,6](7,)U A C B =-∞+∞;(2)因为A C A =,所以A C ⊆,{}(4)(3)0(,3][4,)C x x x =-+≥=-∞-⋃+∞又 又集合{}23[2,3],A x a x a a a =-≤≤+=-+所以33a +≤-或24a -≥,即6a ≤-或6,a ≥故实数a 的取值范围为(,6][6,)-∞-+∞.【点睛】本题考查了集合的交、并、补的运算,重点考查了集合的包含关系,属基础题. 22.(I )(0,3),AB =()[1,3)R A B =;(II )12a ≤-或2a ≥ 【分析】(I )先解不等式得集合B ,再根据并集、补集、交集定义求结果;(II )根据A =∅与A ≠∅分类讨论,列对应条件,解得结果.【详解】(I )2{|0}(0,1)B x x x =-<=a =1,A ={x |0<x <3},所以(0,3),AB = (,0][1,)()[1,3)R R B A B =-∞+∞∴=;(II )因为A B =∅,所以当A =∅时,1212a a a -≥+∴≤-,满足题意;当A ≠∅时,须212112*********a a a a a a a a >-⎧-<+⎧⎪∴∴-<≤-⎨⎨+≤-≥≤-≥⎩⎪⎩或或或2a ≥ 综上,12a ≤-或2a ≥ 【点睛】本题考查集合交并补运算、根据并集结果求参数,考查基本分析求解能力,属中档题. 23.(1){a|a≤7};(2){a|a <6或a >152} 【分析】(1)根据A∩B=∅,可得-1≤2a+1≤x≤3a -5≤16,解不等式可得a 的取值范围;(2)由A ⊆(A∩B )得A ⊆B ,分类讨论,A =∅与A≠∅,分别建立不等式,即可求实数a 的取值范围【详解】(1)若A =∅,则A∩B =∅成立.此时2a +1>3a -5,即a <6. 若A≠∅,则2135{2113516a a a a +≤-+≥--≤解得6≤a≤7.综上,满足条件A∩B =∅的实数a 的取值范围是{a|a≤7}.(2)因为A ⊆(A∩B ),且(A∩B )⊆A , 所以A∩B =A ,即A ⊆B . 显然A =∅满足条件,此时a <6.若A≠∅,则2135{351a a a +≤--<-或2135{2116a a a +≤-+> 由2135{351a a a +≤--<-解得a ∈∅;由2135{2116a a a +≤-+>解得a >152.综上,满足条件A ⊆(A∩B )的实数a 的取值范围是{a|a <6或a >152}. 考点:1.集合关系中的参数取值问题;2.集合的包含关系判断及应用 24.(1)()[)4,1U AB =--(2)[)3,-+∞ 【分析】(1)先化简集合A ,再求()U A B ∩;(2)先求出[)4,A B =-+∞,得14a -≥-,解不等式即得解.【详解】(1)由题得[]4,2A =-,[)1,B =-+∞,(,1)U B =-∞-, 所以()[)4,1U A B =--;(2)由题得[)4,AB =-+∞,若C A B ⊆⋃,则14a -≥-,所以3a ≥-. 所以a 的取值范围是[)3,-+∞.【点睛】本题主要考查集合的运算和关系,意在考查学生对这些知识的理解掌握水平.25.(1)(){|24}R A B x x ⋂=≤<(2)1a =【分析】化简集合B ,(1)计算3a =时集合A ,根据补集与交集的定义;(2)由题意得出A ≠∅,根据包含关系,列出关于a 的不等式,求出实数a 的取值范围.【详解】集合{|123}A x a x a =+≤≤+ {}{}22|7100|7100{|25}B x x x x x x x x =-+-≥=-+≤=≤≤;(1)当3a =时,{|49}A x x =≤≤{| 4 R A x x ∴=<或9}x >则(){|24}R A B x x ⋂=≤<(2)因为B A ⊆,{|25}B x x =≤≤,所以A ≠∅,则1232a a a +≤+⇒≥-并且由B A ⊆,得12235a a +≤⎧⎨+≥⎩,解得1a = 综上,实数a 的取值范围是1a =.【点睛】本题主要考查了交集,并集的运算以及根据包含关系求参数范围,属于中档题. 26.(1)2(2)21a -<≤【分析】(1)先化简{}{}2|3202,1=++==--A x x x ,再由{1}A B ⋂=-,则1B -∈,代入求解.(2)将A B A ⋃=转化为B A ⊆,再分B 是空集和不是空集两种情况讨论求解.【详解】(1)因为{}{}2|3202,1=++==--A x x x 又因为{1}A B ⋂=-所以1B -∈所以()12(1)130++⨯-++=a a解得:2a =(2)因为A B A ⋃=所以B A ⊆当()2[2(1)]430∆=+-+<a a 时 解得21a -<<,B =∅ 成立当()2[2(1)]430∆=+-+=a a 时 解得:2a =-或1a =当2a =-时, {}1B =,不成立,当1a =时,{}2B =-,成立,当()2[2(1)]43>0∆=+-+a a 时 解得:2a <-或>1a ,此时{}2,1==--B A 才成立,而2(a+1)=-332a ⎧⎨+=⎩ ,解得 5=-21a a ⎧⎪⎨⎪=-⎩无解. 综上:实数a 的取值范围21a -<≤【点睛】本题主要考查了集合的基本运算和已知集合关系求参数的问题,还考查了分类讨论的思想和运算求解的能力,属于中档题.。
温馨提示:此套题为Word版,请按住Ctrl,滑动鼠标滚轴,调节合适的观看比例,答案解析附后。
关闭Word文档返回原板块。
单元素养评价(一)(第一章)(120分钟150分)一、单选题(每小题5分,共40分)1.(2020·全国卷Ⅱ)已知集合A={x||x|<3,x∈Z},B={x||x|>1,x∈Z},则A∩B= ( )A. B.{-3,-2,2,3)C.{-2,0,2}D. {-2,2}【解析】选D.因为A==,B==或,所以A∩B=.2.命题“∀x∈(0,+∞),e x≥x+1”的否定是( )A.∃x∈(0,+∞),e x≥x+1B.∀x∈(0,+∞),e x<x+1C.∃x∈(0,+∞),e x<x+1D.∀x∈(-∞,0],e x≥x+1【解析】选C.命题为全称量词命题,则命题“∀x∈(0,+∞),e x≥x+1”的否定是“∃x∈(0,+∞),e x<x+1”.3.若集合A={x|x<0},且B⊆A,则集合B可能是( )A.{x|x>-1}B.RC.{-2,-3}D.{-3,-1,0,【解析】选C.因为-2∈A,-3∈A,所以{-2,-3}⊆A.【补偿训练】已知A⊆B,A⊆C,B={-2,0,1,,C={1,3,6,,则集合A可以为( )A.,B.,C.,D.,【解析】选B.由已知条件可得:B∩C={1,,又A⊆B,A⊆C,所以集合A 可以为{1,.4.若a,b,c∈R且a>b,则下列不等式成立的是( )A.a2>b2B.<C.a|c|>b|c|D.>【解析】选D.选项A:a=0,b=-1,符合a>b,但不等式a2>b2不成立,故本选项是错误的;选项B:当a=0,b=-1符合已知条件,但零没有倒数,故<不成立,故本选项是错误的;选项C:当c=0时,a|c|>b|c|不成立,故本选项是错误的;选项D:因为c2+1>0,所以根据不等式的性质,由a>b能推出>.5.已知a,b∈R,则“a+2b=0”是“=-2”成立的( )A.充分不必要条件B.必要不充分条件C.充分必要条件D.既不充分也不必要条件【解析】选B.=-2⇒a+2b=0,反之不成立.所以“a+2b=0”是“=-2”成立的必要不充分条件.6.某市原来居民用电价为0.52元/kW·h,换装分时电表后,峰时段(早上八点到晚上九点)的电价为0.55元/kW·h,谷时段(晚上九点到次日早上八点)的电价为0.35元/kW·h.对于一个平均每月用电量为200 kW·h的家庭,换装分时电表后,每月节省的电费不少于原来电费的10%,则这个家庭每月在峰时段的平均用电量至多为( )A.110 kW·hB.114 kW·hC.118 kW·hD.120 kW·h【解析】选C.设每月峰时段的平均用电量为x kW·h,则谷时段的用电量为(200-x)kW·h;根据题意,得:(0.52-0.55)x+(0.52-0.35)(200-x)≥200×0.52×10%,解得x≤118.所以这个家庭每月峰时段的平均用电量至多为118 kW·h.7.已知2a+1<0,则关于x的不等式x2-4ax-5a2>0的解集是( )A.{x|x<5a或x>-a}B.{x|x>5a或x<-a}C.{x|-a<x<5a}D.{x|5a<x<-a}【解析】选A.方程x2-4ax-5a2=0的两根为-a,5a.因为2a+1<0,所以a<-,所以-a>5a.结合二次函数y=x2-4ax-5a2的图象,得原不等式的解集为{x|x<5a或x>-a},故选A.8.若0<x<,则函数y=x的最大值为 ( )A.1B.C.D.【解析】选C.因为0<x<,所以1-4x2>0,所以x=×2x≤×=,当且仅当2x=,即x=时等号成立.二、多选题(每小题5分,共20分,全部选对得5分,选对但不全的得3分,有选错的得0分)9.(2020·宿迁高一检测)已知集合A=[2,5),B=(a,+∞).若A⊆B,则实数a的值可能是 ( )A.-3B.1C.2D.5【解析】选AB.因为A⊆B,所以a<2,结合选项可知,实数a的值可能是-3和1.10.下列不等式不一定正确的是( )A.x+≥2B.≥2C.>xyD.≥【解析】选BCD.因为x与同号,所以=|x|+≥2,A正确;当x,y异号时,B不正确;当x=y时,=xy,C不正确;当x=1,y=-1时,D不正确.11.已知2<x<3,2<y<3,则( )A.2x+y的取值范围为(6,9)B.2x-y的取值范围为(2,3)C.x-y的取值范围为(-1,1)D.xy的取值范围为(4,9)【解析】选ACD.因为2<x<3,2<y<3,所以4<xy<9,4<2x<6,所以6<2x+y<9,而-3<-y<-2,所以1<2x-y<4,-1<x-y<1.12.3+5x-2x2>0的充分不必要条件是( )A.-<x<3B.-<x<0C.1<x<2D.-1<x<6【解析】选BC.由不等式3+5x-2x2>0,可得2x2-5x-3<0,解得-<x<3, 由此可得:选项A,-<x<3是不等式3+5x-2x2>0成立的充要条件;选项B,-<x<0是不等式3+5x-2x2>0成立的充分不必要条件;选项C,1<x<2是不等式3+5x-2x2>0成立的充分不必要条件;选项D,-1<x<6是不等式3+5x-2x2>0成立的必要不充分条件.三、填空题(每小题5分,共20分)13.已知集合M={1,m+1,m2+4},如果5∈M,那么m= .【解析】①当m+1=5时,m=4,此时集合M={1,5,,符合题意,②当m2+4=5时,m=1或-1,若m=1,集合M={1,2,,符合题意,若m=-1,集合M={1,0,,符合题意,综上所求,m的值为4或1或-1.答案:4或1或-114.二次函数y=ax2+bx+c(x∈R)的部分对应值如表:x -3 -2 -1 0 1 2 3 4y 6 0 -4 -6 -6 -4 0 6则a= ;不等式ax2+bx+c>0的解集为.【解析】由表知x=-2时y=0,x=3时,y=0,所以二次函数y=ax2+bx+c可化为y=a(x+2)(x-3).又因为x=1时,y=-6,所以a=1,图象开口向上,结合二次函数的图象可得不等式ax2+bx+c>0的解集为{x|x<-2或x>3}.答案:1 {x|x<-2或x>3}15.已知A={x|1<x<2},B={x|x2-2ax+a2-1<0},若A⊆B,则a的取值范围是.【解析】方程x2-2ax+a2-1=0的两根为a+1,a-1,且a+1>a-1,所以B={x|a-1<x<a+1}.因为A⊆B,所以,解得1≤a≤2.答案:1≤a≤216.若正数a,b满足a+b=1,则+的最小值为. 【解析】由a+b=1,知+==,又ab≤=(当且仅当a=b=时等号成立),所以9ab+10≤,所以≥.答案:四、解答题(共70分)17.(10分)判断下列命题是全称量词命题还是存在量词命题.(1)任何一个实数除以1,仍等于这个数;(2)至少有一个整数,它既能被11整除,又能被9整除;(3)∀x∈R,(x+1)2≥0;(4)∃x∈R,x2<2.【解析】(1)命题中含有全称量词“任何一个”,故是全称量词命题.(2)命题中含有存在量词“至少有一个”,是存在量词命题.(3)命题中含有全称量词“∀”,是全称量词命题.(4)命题中含有存在量词“∃”,是存在量词命题.18.(12分)已知集合A=,B={x|x<1或x>2},U=R.(1)求A∪B,A∩(U B);(2)若C={x|2m-1<x≤3m+1},且B∪C=U,求m的取值范围.【解析】(1)因为集合A=,B={x|x<1或x>2},所以A∪B=,因为U=R,B={x|x<1或x>2},所以U B={x|1≤x≤2}. 所以A∩(U B)=.(2)依题意得:即所以≤m<1.19.(12分)(2020·抚顺高一检测)(1)已知集合A=,B=,且A∩B=B,求实数a的取值范围;(2)已知p:x-2>0,q:ax-4>0,其中a∈R,若p是q的必要不充分条件,求实数a的取值范围.【解析】(1)由题知B⊆A.①当=2时,a=4,检验当a=4时,A={1,2,4,,B={1,符合题意.②当=4时,a=16,检验当a=16时,A={1,2,4,,B={1,符合题意.③当=a2时,a=0或1,检验当a=0时,A={1,2,4,,B={1,符合题意. 当a=1时,A={1,2,4,,由于元素的互异性,所以舍去.综上:a=4或a=16或a=0.(2)设A={x|x>2},B={x|ax-4>0},因为p是q的必要不充分条件,所以B A.①当a>0时,>2,所以0<a<2.②当a<0时,不满足题意.③当a=0时,q:-4>0,即B=∅,符合题意.综上:0≤a<2.20.(12分)“绿水青山就是金山银山”.随着经济的发展,我国更加重视对生态环境的保护,2018年起,政府对环保不达标的养鸡场进行限期整改或勒令关闭.一段时间内,鸡蛋的价格起伏较大(不同周价格不同).假设第一周、第二周鸡蛋的价格分别为x元、y元(单位:kg);甲、乙两人的购买方式不同:甲每周购买3 kg鸡蛋,乙每周购买10元钱鸡蛋.(1)若x=8,y=10,求甲、乙两周购买鸡蛋的平均价格.(2)判断甲、乙两人谁的购买方式更实惠(平均价格低视为实惠),并说明理由.【解析】(1)因为x=8,y=10,所以甲两周购买鸡蛋的平均价格为=9(元),乙两周购买鸡蛋的平均价格为=(元).(2)甲两周购买鸡蛋的平均价格为=,乙两周购买鸡蛋的平均价格为=,由(1)知,当x=8,y=10时,乙两周购买鸡蛋的平均价格比甲两周购买鸡蛋的平均价格低,猜测乙的购买方式更实惠.证法一(比较法):依题意x,y>0,且x≠y,因为-==>0,所以>,所以乙两周购买鸡蛋的平均价格比甲两周购买鸡蛋的平均价格低,即乙的购买方式更实惠.证法二(分析法):依题意x,y>0,且x≠y,要证:>,只需证:(x+y)2>4xy只需证:x2+y2>2xy,只需证:x≠y(已知).所以乙两周购买鸡蛋的平均价格比甲两周购买鸡蛋的平均价格低,即乙的购买方式更实惠.21.(12分)解关于x的不等式x2+3ax-4a2<0(a∈R).【解析】由于x2+3ax-4a2<0可化为(x-a)·(x+4a)<0,且方程(x-a)(x+4a)=0的两个根分别是a和-4a.当a=-4a,即a=0时,不等式的解集为∅;当a>-4a,即a>0时,解不等式得-4a<x<a;当a<-4a,即a<0时,解不等式得a<x<-4a.综上所述,当a=0时,不等式的解集为∅;当a>0时,不等式的解集为{x|-4a<x<a};当a<0时,不等式的解集为{x|a<x<-4a}.22.(12分)(2020·滨州高一检测)为了缓解市民吃肉难的生活问题,某生猪养殖公司欲将一批猪肉用冷藏汽车从甲地运往相距120千米的乙地,运费为每小时60元,装卸费为1 000元,猪肉在运输途中的损耗费(单位:元)是汽车速度(km/h)值的2倍.(说明:运输的总费用=运费+装卸费+损耗费)(1)若汽车的速度为每小时50千米,试求运输的总费用.(2)为使运输的总费用不超过1 260元,求汽车行驶速度的范围.(3)若要使运输的总费用最小,汽车应以每小时多少千米的速度行驶? 【解析】(1)当汽车的速度为每小时50千米时,运输的总费用为:×60+1 000+2×50=1 244(元).(2)设汽车行驶的速度为x km/h,由题意可得:×60+1 000+2x≤1 260,化简得x2-130x+3 600≤0,解得40≤x≤90,故为使运输的总费用不超过1 260元,汽车行驶速度不低于40 km/h 时,不高于90 km/h.(3)设汽车行驶的速度为x km/h,则运输的总费用为×60+1 000+2x=2x++1 000≥2+1 000=1 240,当2x=,即x=60时取得等号,故若要使运输的总费用最小,汽车应以每小时60千米的速度行驶.关闭Word文档返回原板块。
第一章 单元质量评估卷本试卷分第Ⅰ卷(选择题)和第Ⅱ卷(非选择题)两部分,满分150分,考试时间120分钟.第Ⅰ卷 (选择题,共60分)一、单项选择题(本大题共8小题,每小题5分,共40分.在每小题给出的四个选项中,只有一项是符合题目要求的)1.已知集合A ={x|x 2-1=0},则下列结论错误..的是( ) A .1∈A B .{-1} A C .∅⊇A D .{-1,1}=A2.王昌龄是盛唐著名的边塞诗人,被誉为“七绝圣手”.其名篇“但使龙城飞将在,不教胡马度阴山”(人在阵地在,人不在阵地在不在不知道),由此推断,胡马度过阴山是龙城飞将不在的什么条件?( )A .充分条件B .必要条件C .充要条件D .既不充分也不必要条件3.已知集合M ={x|x(x -2)<0},N ={x|x -1<0},则下列Venn 图中阴影部分可以表示集合{x|1≤x<2}的是( )4.已知命题p :∃x ,y ∈Z ,2x +4y =3,则( ) A.p 是假命题,p 否定是∀x ,y ∈Z ,2x +4y ≠3 B.p 是假命题,p 否定是∃x ,y ∈Z ,2x +4y ≠3 C.p 是真命题,p 否定是∀x ,y ∈Z ,2x +4y ≠3 D.p 是真命题,p 否定是∃x ,y ∈Z ,2x +4y ≠3 5.已知a <0,-1<b <0,则( ) A.-a <ab <0 B .-a >ab >0C.a >ab >ab 2 D .ab >a >ab 26.已知集合A ={x |x 2+x -2≤0},B =⎩⎨⎧⎭⎬⎫x ⎪⎪⎪x +1x -2≥0 ,则A ∩(∁R B )=( ) A.(-1,2) B .(-1,1) C.(-1,2] D .(-1,1]7.“关于x 的不等式x 2-2ax +a >0的解集为R ”的一个必要不充分条件是( )A.0<a <1 B .0<a <13C.0≤a ≤1 D.a <0或a >138.若正数a ,b 满足2a +1b =1,则2a+b 的最小值为( )A.42 B .82 C.8 D .9二、多项选择题(本大题共4小题,每小题5分,共20分.在每小题给出的选项中,有多项符合题目要求.全部选对得5分,选对但不全的得2分,有选错的得0分)9.有下列命题中,真命题有( )A.∃x ∈N *,使x 为29的约数B.∀x ∈R ,x 2+x +2>0C.存在锐角α,sin α=1.5D.已知A ={a |a =2n },B ={b |b =3m },则对于任意的n ,m ∈N *,都有A ∩B =∅10.已知1a <1b<0,下列结论中正确的是( )A.a <b B .a +b <ab C.|a |>|b | D .ab <b 211.若对任意x ∈A ,1x∈A ,则称A 为“影子关系”集合,下列集合为“影子关系”集合的是( )A.{-1,1} B .⎩⎨⎧⎭⎬⎫12,2 C.{}x |x 2>1 D .{x |x >0}12.如图,二次函数y =ax 2+bx +c (a ≠0)的图象与x 轴交于A ,B 两点,与y 轴交于C 点,且对称轴为x =1,点B 坐标为(-1,0),则下面结论中正确的是( )A.2a +b =0B.4a -2b +c <0C.b 2-4ac >0D.当y <0时,x <-1或x >4第Ⅱ卷 (非选择题,共90分)三、填空题(本大题共4小题,每小题5分,共20分,请把正确答案填在题中横线上)13.不等式-x 2+6x -8>0的解集为________.14.某商家一月份至五月份累计销售额达3 860万元,预测六月份销售额为500万元,七月份销售额比六月份递增x %,八月份销售额比七月份递增x %,九、十月份销售总额与七、八月份销售总额相等,若一月至十月份销售总额至少达7 000万元,则x 的最小值为________.15.若1a +1b =12(a >0,b >0),则4a +b +1的最小值为________.16.已知非空集合A ,B 满足下列四个条件: ①A ∪B ={1,2,3,4,5,6,7}; ②A ∩B =∅;③A 中的元素个数不是A 中的元素; ④B 中的元素个数不是B 中的元素.(1)若集合A 中只有1个元素,则A =________;(2)若两个集合A 和B 按顺序组成的集合对(A ,B )叫作有序集合对,则有序集合对(A ,B )的个数是________.四、解答题(本大题共6小题,共70分.解答时应写出必要的文字说明,证明过程或演算步骤)17.(本小题满分10分)已知集合A ={x |1<x <2},B ={x |m -2<x <2m }. (1)当m =2时,求A ∩B ;(2)若________,求实数m 的取值范围.请从①∀x ∈A 且x ∉B ;②“x ∈B ”是“x ∈A ”的必要条件;这两个条件中选择一个填入(2)中横线处,并完成第(2)问的解答.(如果选择多个条件分别解答,按第一个解答计分)18.(本小题满分12分)已知p :x 2-3x -4≤0;q :x 2-6x +9-m 2≤0,若p 是q 的充分条件,求m 的取值范围.19.(本小题满分12分)已知函数f (x )=ax 2+bx ,a ∈(0,1).(1)若f (1)=2,求1a +4b的最小值;(2)若f (1)=-1,求关于x 的不等式f (x )+1>0的解集.20.(本小题满分12分)为了保护环境,某工厂在政府部门的鼓励下进行技术改进:把二氧化碳转化为某种化工产品,经测算,该处理成本y (单位:万元)与处理量x (单位:吨)之间的函数关系可近似表示为y =x 2-40x +1 600,x ∈[30,50],已知每处理一吨二氧化碳可获得价值20万元的某种化工产品.(1)判断该技术改进能否获利?如果能获利,求出最大利润;如果不能获利,则国家至少需要补贴多少万元该工厂才不会亏损?(2)当处理量为多少吨时,每吨的平均处理成本最少?21.(本小题满分12分)若集合A ={x |x 2+2x -8<0},B ={x ||x +2|>3},C ={x |x2-2mx +m 2-1<0,m ∈R }.(1)若A ∩C =∅,求实数m 的取值范围. (2)若(A ∩B )⊆C ,求实数m 的取值范围.22.(本小题满分12分)已知x >0,y >0,2xy =x +4y +a . (1)当a =16时,求xy 的最小值;(2)当a =0时,求x +y +2x +12y的最小值.第一章 单元质量评估卷1.答案:C解析:因为A ={x |x 2-1=0}={-1,1},所以选项A ,B ,D 均正确,C 不正确. 2.答案:A解析:因为人在阵地在,所以胡马度过阴山说明龙城飞将不在,因为人不在阵地在不在不知道,所以龙城飞将不在,不能确定胡马是否度过阴山,所以胡马度过阴山是龙城飞将不在的充分条件,结合选项,可得A 正确.3.答案:B解析:x (x -2)<0⇒0<x <2,x -1<0⇒x <1,选项A 中Venn 图中阴影部分表示M ∩N =(0,1),不符合题意;选项B 中Venn 图中阴影部分表示∁M (M ∩N )=[1,2),符合题意;选项C 中Venn 图中阴影部分表示∁N (M ∩N )=(-∞,0],不符合题意;选项D 中Venn 图中阴影部分表示M ∪N =(-∞,2),不符合题意.故选B.4.答案:A解析:由于x ,y 是整数,2x +4y 是偶数,所以p 是假命题.原命题是存在量词命题,其否定是全称量词命题,注意到要否定结论,所以p 的否定是“∀x ,y ∈Z ,2x +4y ≠3”.故选A.5.答案:B解析:∵a <0,-1<b <0,∴ab >0,a <ab 2<0,故A ,C ,D 都不正确,正确答案为B.6.答案:D解析:由x 2+x -2≤0,得-2≤x ≤1,∴A =[-2,1].由x +1x -2≥0,得x ≤-1或x >2,∴B =(-∞,-1]∪(2,+∞).则∁R B =(-1,2],∴A ∩(∁R B )=(-1,1].故选D.7.答案:C解析:因为关于x 的不等式x 2-2ax +a >0的解集为R ,所以函数f (x )=x 2-2ax +a 的图象始终落在x 轴的上方,即Δ=4a 2-4a <0,解得0<a <1,因为要找其必要不充分条件,从而得到(0,1)是对应集合的真子集,故选C.8.答案:D解析:∵a >0,b >0,且2a +1b =1,则2a+b =⎝ ⎛⎭⎪⎫2a +b ⎝ ⎛⎭⎪⎫2a +1b =5+2ab+2ab ≥5+4=9,当且仅当2ab =2ab 即a =13,b =3时取等号,故选D.9.答案:AB解析:A 中命题为真命题.当x =1时,x 为29的约数成立;B 中命题是真命题.x 2+x +2=⎝ ⎛⎭⎪⎫x +12 2+74 >0恒成立;C 中命题为假命题.根据锐角三角函数的定义可知,对于锐角α,总有0<sin α<1;D 中命题为假命题.易知6∈A ,6∈B ,故A ∩B ≠∅.10.答案:BD解析:因为1a <1b<0,所以b <a <0,故A 错误;因为b <a <0,所以a +b <0,ab >0,所以a +b <ab ,故B 正确;因为b <a <0,所以|a |>|b |不成立,故C 错误;ab -b 2=b (a -b ),因为b <a <0,所以a -b >0,即ab -b 2=b (a -b )<0,所以ab <b 2成立,故D正确.故选BD.11.答案:ABD解析:根据“影子关系”集合的定义,可知{-1,1},⎩⎨⎧⎭⎬⎫12,2 ,{x |x >0}为“影子关系”集合,由{x |x 2>1},得{x |x <-1或x >1},当x =2时,12 ∉{x |x 2>1},故不是“影子关系”集合.故选ABD.12.答案:ABC解析:∵二次函数y =ax 2+bx +c (a ≠0)图象的对称轴为x =1,∴-b2a =1,得2a +b=0,故A 正确;当x =-2时,y =4a -2b +c <0,故B 正确;该函数图象与x 轴有两个交点,则b 2-4ac >0,故C 正确;∵二次函数y =ax 2+bx +c (a ≠0)的图象的对称轴为x =1,点B 的坐标为(-1,0),∴点A 的坐标为(3,0),∴当y <0时,x <-1或x >3,故D 错误.故选ABC.13.答案:(2,4)(或写成{x |2<x <4}) 解析:原不等式等价于x 2-6x +8<0, 即(x -2)(x -4)<0,得2<x <4. 14.答案:20解析:把一月份至十月份的销售额相加求和,列出不等式,求解. 七月份:500(1+x %),八月份:500(1+x %)2. 所以一月份至十月份的销售总额为:3 860+500+2[500(1+x %)+500(1+x %)2]≥7 000,解得1+x %≤-2.2(舍)或1+x %≥1.2,所以x min =20. 15.答案:19解析:由1a +1b =12 ,得2a +2b=1,4a +b +1=(4a +b )⎝ ⎛⎭⎪⎫2a +2b +1=8+2+8a b +2b a+1≥11+28a b ·2ba=19.当且仅当8a b =2ba,即a =3,b =6时,4a +b +1取得最小值19.16.答案:(1){6} (2)32解析:(1)若集合A 中只有1个元素,则集合B 中有6个元素,所以6∉B ,故A ={6}. (2)当集合A 中有1个元素时,A ={6},B ={1,2,3,4,5,7},此时有序集合对(A ,B )有1个;当集合A 中有2个元素时,5∉B ,2∉A ,此时有序集合对(A ,B )有5个;当集合A中有3个元素时,4∉B ,3∉A ,此时有序集合对(A ,B )有10个;当集合A 中有4个元素时,3∉B ,4∉A ,此时有序集合对(A ,B )有10个;当集合A 中有5个元素时,2∉B ,5∉A ,此时有序集合对(A ,B )有5个;当集合A 中有6个元素时,A ={1,2,3,4,5,7},B ={6},此时有序集合对(A ,B )有1个.综上,可知有序集合对(A ,B )的个数是1+5+10+10+5+1=32.17.解析:(1)当m =2时,B ={x |0<x <4}, 所以A ∩B ={x |1<x <2}. (2)若选择条件①,由∀x ∈A 且x ∉B 得:A ∩B =∅, 当B =∅时,m -2≥2m ,即m ≤-2; 当B ≠∅时,m -2<2m ,即m >-2m -2≥2或2m ≤1,即m ≥4或m ≤12 , 所以m ≥4或-2<m ≤12,综上所述:m 的取值范围为:m ≥4或m ≤12.若选择条件②,由“x ∈B ”是“x ∈A ”的必要条件得:A ⊆B,即⎩⎪⎨⎪⎧m -2≤12m ≥2 ,所以1≤m ≤3. 18.解析:由x 2-3x -4≤0,解得-1≤x ≤4, 由x 2-6x +9-m 2≤0,可得[x -(3+m )][x -(3-m )]≤0,① 当m =0时,①式的解集为{x |x =3};当m <0时,①式的解集为{x |3+m ≤x ≤3-m }; 当m >0时,①式的解集为{x |3-m ≤x ≤3+m };若p 是q 的充分条件,则集合{x |-1≤x ≤4}是①式解集的子集.可得⎩⎪⎨⎪⎧m <0,3+m ≤-1,3-m ≥4 或⎩⎪⎨⎪⎧m >0,3-m ≤-1,3+m ≥4,解得m ≤-4或m ≥4.故m 的取值范围是(-∞,-4]∪[4,+∞). 19.解析:(1)由f (1)=2可得:a +b =2, 因为a ∈(0,1),所以2-b ∈(0,1)⇒1<b <2,所以1a +4b =12 ×(a +b )⎝ ⎛⎭⎪⎫1a +4b =12 ×⎝ ⎛⎭⎪⎫1+4+b a +4a b ≥12 ×⎝ ⎛⎭⎪⎫5+2b a ·4a b =92,当且仅当b a =4a b 时取等号,即当且仅当a =23 ,b =43 时取得最小值为92.(2)由f (1)=-1可得:a +b =-1, 则f (x )+1>0化为:ax 2-(a +1)x +1=(ax -1)(x -1)>0,因为0<a <1,所以1a>1,则解不等式可得x >1a或x <1,则不等式的解集为⎩⎨⎧⎭⎬⎫x ⎪⎪⎪x >1a或x <1 .20.解析:(1)当x ∈[30,50]时,设该工厂获利为S 万元,则S =20x -(x 2-40x +1 600)=-(x -30)2-700,所以当x ∈[30,50]时,S 的最大值为-700,因此该工厂不会获利,国家至少需要补贴700万元,该工厂才不会亏损.(2)由题知,二氧化碳的平均处理成本P =y x=x +1 600x-40,x ∈[30,50],当x ∈[30,50]时,P =x +1 600x-40≥2x ·1 600x-40=40,当且仅当x =1 600x,即x =40时等号成立,所以当处理量为40吨时,每吨的平均处理成本最少.21.解析:(1)由已知可得A ={x |-4<x <2},B ={x |x <-5或x >1},C ={x |m -1<x <m +1}.若A ∩C =∅,则m -1≥2或m +1≤-4, 解得m ≥3或m ≤-5.所以实数m 的取值范围为{m |m ≤-5或m ≥3}. (2)结合(1)可得A ∩B ={x |1<x <2}.若(A ∩B )⊆C ,即{x |1<x <2}⊆{x |m -1<x <m +1}, 则⎩⎪⎨⎪⎧m -1≤1m +1≥2,解得1≤m ≤2.所以实数m 的取值范围为{m |1≤m ≤2}.22.解析:(1)当a =16时,2xy =x +4y +16≥2x ·4y +16=4xy +16, 即2xy ≥4xy +16, 即(xy +2)(xy -4)≥0, 所以xy ≥4,即xy ≥16,当且仅当x =4y =8时等号成立, 所以xy 的最小值为16.(2)当a =0时,2xy =x +4y ,即12y +2x=1,所以x+y+2x+12y=x+y+1=(x+y)⎝⎛⎭⎪⎫2x+12y+1=72+2yx+x2y≥72+22yx·x2y=112,当且仅当2yx=x2y,即x=3,y=32时等号成立,所以x+y+2x+12y的最小值为112.。
一、选择题1.设集合}{2230A x x x =+->,集合}{2210,0,B x x ax a =--≤>若A B 中恰含有一个整数 ,则实数a 的取值范围是( ) A .34,43⎡⎫⎪⎢⎣⎭B .30,4⎛⎫ ⎪⎝⎭C .3,4⎡⎫+∞⎪⎢⎣⎭D .()1,+∞2.已知集合{|20}A x x =-<,{|}B x x a =<,若A B A =,则实数a 的取值范围是( )A .(,2]-∞-B .[2,)+∞C .(,2]-∞D .[2,)-+∞3.下图中的阴影部分,可用集合符号表示为( )A .()()U U A B ⋂ B .()()U UA BC .()UA BD .()UA B ⋂4.已知集合A 、B 均为非空集合,定义{*|()A B x x A B =∈⋃且}()x A B ∉⋂,若{}1,0,1,2,3A =-,{}2|1,B x x t t A ==+∈,则集合*A B 的子集共( )A .64个B .63个C .32个D .31个5.在整数集Z 中,被5所除得余数为k 的所有整数组成一个“类”,记为[]k ,即[]{5|}k n k n Z =+∈,0,1,2,3,4k =;给出四个结论:(1)2015[0]∈;(2)3[3]-∈;(3)[0][1][2][3][4]Z =⋃⋃⋃⋃;(4)“整数,a b ”属于同一“类”的充要条件是“[0]a b -∈”. 其中正确结论的个数是( ) A .1个B .2个C .3个D .4个6.已知区间1[,]3A m m =-和3[,]4B n n =+均为[]0,1的子区间,定义b a -为区间[],a b 的长度,则当A B 的长度达到最小时mn 的值为( )A .0B .112C .0或112D .0或17.已知全集U =R ,集合{|23}M x x =-≤≤,{|24}N x x x =<->或,那么集合()()C C U U M N ⋂等于( )A .{|34}x x <≤B .{|34}x x x ≤≥或C .{|34}x x ≤<D .{|13}x x -≤≤8.已知集合A ={x |-3≤x -1<1},B ={-3,-2,-1,0,1,2},若C ⊆A ∩B ,则满足条件的集合C的个数是( ). A .7B .8C .15D .169.已知全集U =R ,集合91A xx ⎧⎫=>⎨⎬⎩⎭和{}44,B x x x Z =-<<∈关系的Venn 图如图所示,则阴影部分所表示集合中的元素共有( )A .3个B .4个C .5个D .无穷多个10.对于下列结论:①已知∅ 2{|40}x x x a ++=,则实数a 的取值范围是(],4-∞; ②若函数()1y f x =+的定义域为[)2,1-,则()y f x =的定义域为[)3,0-; ③函数2245y x x =-+(],1-∞;④定义:设集合A 是一个非空集合,若任意x A ∈,总有a x A -∈,就称集合A 为a 的“闭集”,已知集合{}1,2,3,4,5,6A ⊆,且A 为6的“闭集”,则这样的集合A 共有7个. 其中结论正确的个数是( ) A .0B .1C .2D .311.下列结论正确的是() A .若a b <且c d <,则ac bd <B .若a b >,则22ac bc >C .若0a ≠,则12a a +≥ D .若0a b <<,集合1|A x x a ⎧⎫==⎨⎬⎩⎭,1|B x x b ⎧⎫==⎨⎬⎩⎭,则A B ⊇12.若{}{}0,1,2,3,|3,A B x x a a A ===∈,则A B 的子集个数是()A .6B .8C .4D .2二、填空题13.已知集合2|230A x x x ,{}|0B x x a =-=,若B A ≠⊂,则实数a 的值为______.14.对于任意集合X 与Y ,定义:①{}|X Y x x X x Y -=∈∉且,②()()X Y X Y Y X =--△∪,(X Y △称为X 与Y 的对称差).已知{}{}2|2|33A y y x x x R B y y ==-∈=-,,≤≤,则A B =△______.15.设全集{}22,3,3U a a =+-,集合{},3A a =,{}2U C A =,则a =___________.16.已知{|14}A x x =-≤≤,{|}B x x a =<,若A B =∅,则a 的取值范围是__________17.已知集合{}1,1A =-,{}|10B x ax =+=,若B A ⊆,则实数a 所有取值的集合为_____18.已知集合(){}22330,,A x x a x a a R x R =+--=∈∈,集合(){}22330,,B x x a x a a a R x R =+-+-=∈∈,若,A B A B ≠⋂≠∅,则A B =_______19.已知集合2{1,9,},{1,}A x B x ==,若A B A ⋃=,则x 的值为_________.20.在整数集Z 中,被5除所得余数为k 的所有整数组成一个“类”,记为[k ],即[k ]={5n +k | n ∈Z},k =0,1,2,3,4.给出如下四个结论:①2 014∈[4]; ②-3∈[3]; ③Z =[0]∪[1]∪[2]∪[3]∪[4];④整数a ,b 属于同一“类”的充要条件是“a -b ∈[0]”.其中,正确的结论是________.三、解答题21.已知集合{|314}A x x =-<+,{|213}B x m x m =-<+. (1)当1m =时,求AB ;(2)若A B A ⋃=,求m 的取值范围.22.已知集合{}{}27,32A x x B x a x a =-<<=≤≤-. (1)若4a =,求AB 、()RC A B ;(2)若A B A ⋃=,求实数a 的取值范围.23.已知集合A ={x |a -1≤x ≤2a +3},B ={x |-2≤x ≤4},全集U =R . (1)当a =2时,求A ∪B 和(∁R A )∩B ; (2)若A ∩B =A ,求实数a 的取值范围.24.已知全集U =R ,集合{|4A x x =<-或1}x >,{}312B x x =-≤-≤, (1)求AB 、()()U UA B ;(2)若集合{}2121M x k x k =-≤≤+是集合A 的子集,求实数k 的取值范围. 25.已知不等式()210x a x a -++≤的解集为A .(1)若2a =,求集合A ;(2)若集合A 是集合{}4|2x x -≤≤的真子集,求实数a 的取值范围.26.设集合2{|320}A x x x =-+≥,{|B x y ==,全集U =R ,求()U A C B ⋂.【参考答案】***试卷处理标记,请不要删除一、选择题 1.A 解析:A 【分析】先化简集合A ,再根据函数y =f (x )=x 2﹣2ax ﹣1的零点分布,结合A ∩B 恰有一个整数求解. 【详解】A ={x |x <﹣3或x >1},函数y =f (x )=x 2﹣2ax ﹣1的对称轴为x =a >0, 而f (﹣3)=6a +8>0,f (﹣1)=2a >0,f (0)<0,故其中较小的零点为(-1,0)之间,另一个零点大于1,f (1)<0, 要使A ∩B 恰有一个整数, 即这个整数解为2, ∴f (2)≤0且f (3)>0, 即44109610a a --≤⎧⎨-->⎩,解得:3443a a ⎧≥⎪⎪⎨⎪<⎪⎩, 即34≤a <43, 则a 的取值范围为34,43⎡⎫⎪⎢⎣⎭. 故答案为:A. 【点睛】本题主要考查集合的交集运算的应用以及二次函数的零点分布问题,还考查了转化求解问题的能力,属于中档题.2.B解析:B 【解析】由题意可得{}|2A x x =<,结合交集的定义可得实数a 的取值范围是[)2,+∞ 本题选择B 选项.3.C解析:C【分析】图中阴影部分是集合A 与集合B 的补集的交集. 【详解】图中阴影部分是集合A 与集合B 的补集的交集,所以图中阴影部分,可以用()UA B 表示. 【点睛】本题考查了用韦恩图表示集合间的关系,考查了学生概念理解,数形结合的能力,属于基础题.4.C解析:C 【分析】先求集合B ,再求并集、交集、补集,最后根据元素确定子集个数. 【详解】因为{}2|1,{1,2,5,10}B x x t t A ==+∈=, 所以{}{}1,0,1,2,3510,1,2,AB A B =-=,,*{1,0,3,5,10}A B ∴=-因此集合*A B 的子集有5232=个, 故选:C 【点睛】本题考查并集、交集、补集定义以及子集个数,考查综合本分析求解能力,属基础题.5.C解析:C 【分析】根据新定义,对每个选项逐一判断,即可得到答案. 【详解】对于(1),因为20155403÷=,余数为0,所以2015[0]∈,故(1)正确; 对于(2),因为()3512-=⨯-+,所以33[]-∉,故(2)错误; 对于(3),因为整数集中的数被5除的数可以且只可以分成五类,故[0][1][2][3][4]Z =⋃⋃⋃⋃,故(3)正确;对于(4),因为整数,a b 属于同一“类”,所以整数,a b 被5除的余数相同,从而-a b 被5除的余数为0,反之也成立,故“整数,a b ”属于同一“类”的充要条件是“[0]a b -∈”.故(4)正确.综上所述,正确的个数为:3个. 故选C . 【点睛】本题考查了集合的新定义,解题关键是理解被5所除得余数为k 的所有整数组成一个“类”,考查了分析能力和计算能力.6.C解析:C 【分析】由于这两个集合都是区间[]0,1的子集,根据区间长度的定义可得当103314m n ⎧-=⎪⎪⎨⎪+=⎪⎩或10m n =⎧⎨=⎩时AB 的长度最小,解出方程组即可得结果.【详解】由于这两个集合都是区间[]0,1的子集,根据区间长度的定义可得当103314m n ⎧-=⎪⎪⎨⎪+=⎪⎩或10m n =⎧⎨=⎩时A B 的长度最小,解得1314m n ⎧=⎪⎪⎨⎪=⎪⎩或10m n =⎧⎨=⎩,即112mn =或0,故选C. 【点睛】本题主要考查集合的表示方法,两个集合的交集的定义,充分理解区间长度的定义是解题的关键,属于中档题.7.A解析:A 【分析】先分别求出C ,C U U M N ,再求()()C C U U M N ⋂即可 【详解】∵C {|}23U M x x x =<>-或,C {|24}U N x x =-≤≤, ∴()()C C {|34}U U M N x x ⋂=<≤. 故选:A . 【点睛】本题考查交集与补集的混合运算,属于中档题8.D解析:D 【分析】推导出C ⊆A ∩B ={-2,-1,0,1},由此能求出满足条件的集合C 的个数. 【详解】∵集合A ={x |-3≤x -1<1}={x |-2≤x <2},B ={-3,-2,-1,0,1,2},C ⊆A ∩B ={-2,-1,0,1}, ∴满足条件的集合C 的个数是:24=16. 故选:D . 【点睛】本题考查满足条件的集合C 的个数的求法,考查交集定义等基础知识,考查运算求解能力,是基础题.9.B解析:B 【分析】先解分式不等式得集合A ,再化简B ,最后根据交集与补集定义得结果. 【详解】 因为91(0,9)A xx ⎧⎫=>=⎨⎬⎩⎭,{}{}44,3,2,1,0,1,2,3B x x x Z =-<<∈=---, 所以阴影部分所表示集合为(){0,1,2,3}U C A B =---,元素共有4个,故选B 【点睛】本题考查分式不等式以及交集与补集定义,考查基本分析求解能力,属基础题.10.D解析:D 【分析】A .考虑方程有解的情况;B .根据抽象函数定义域求解方法进行分析;C .根据二次函数的取值情况分析函数值域;D .根据定义采用列举法进行分析. 【详解】①由∅ 2{|40}x x x a ++=可得²40x x a ++=有解,即2440a ∆=-,解得4a ≤,故①正确;②函数()1y f x =+的定义域为[)2,1-,则21x ,故112x -≤+<,故()y f x =的定义域为[)1,2-,故②错误;③函数21y ==[)1,+∞,故(]2,1y =-∞,故③正确;④集合{}1,2,3,4,5,6A ⊆且A 为6的“闭集”,则这样的集合A 共有{}3,{}1,5,{}2,4,{}1,3,5,{}2,4,6,{}1,2,4,5,{}1,2,3,4,5共7个,故④正确.故正确的有①③④. 故选:D . 【点睛】本题考查命题真假的判定,考查集合之间的包含关系,考查函数的定义域与值域,考查集合的新定义,属于中档题.11.C解析:C 【分析】通过举例和证明的方式逐个分析选项. 【详解】A :取5,3,6,1a b c d =-==-=,则30,3ac bd ==,则ac bd >,故A 错误;B :取3,1,0a b c ===,则22ac bc =,故B 错误;C:21122a a a a ⎫+=+=+≥⎝成立,故C 正确;D :因为0a b <<,所以11a b>,则A B ,故D 错误;故选:C. 【点睛】本题考查不等关系和等式的判断,难度一般.判断不等关系是否成立,常用的方法有:(1)直接带值验证;(2)利用不等式的性质判断;(3)采用其他证明手段.(如借助平方差、完全平方公式等).12.C解析:C 【分析】先求得B 的具体元素,然后求A B ,进而确定子集的个数.【详解】依题意{}0,3,6,9B =,所以{}0,3A B ⋂=,其子集个数为224=,故选C. 【点睛】本小题主要考查集合元素的识别,考查两个集合的交集,考查集合子集的个数计算,属于基础题.二、填空题13.-1或3【分析】解方程用列举法表示集合AB 由即得解【详解】集合若故a=-1或3故答案为:-1或3【点睛】本题考查了集合的包含关系考查了学生概念理解数学运算能力属于基础题解析:-1或3 【分析】解方程,用列举法表示集合A ,B ,由B A ≠⊂,即得解. 【详解】集合2|230{1,3}Ax x x ,{}|0{}B x x a a =-==若B A ≠⊂,故a =-1或3 故答案为:-1或3 【点睛】本题考查了集合的包含关系,考查了学生概念理解,数学运算能力,属于基础题.14.【分析】先求出和再计算【详解】由已知则∴故答案为:【点睛】本题考查集合的新定义解题关键是理解新定义运算把新运算转化为集合的运算 解析:[3,1)(3,)--+∞【分析】先求出A B -和B A -,再计算A B ∆ 【详解】由已知{|1}A y y =≥-,则{|3}(3,)A B y y -=>=+∞,{|31}[3,1)B A y y -=-≤<-=--,∴()()[3,1)(3,)A B A B B A ∆=--=--+∞, 故答案为:[3,1)(3,)--+∞【点睛】本题考查集合的新定义,解题关键是理解新定义运算,把新运算转化为集合的运算.15.【分析】根据与可知再根据集合相等求解即可【详解】由可知即故当时当时即故不满足故故答案为:【点睛】本题主要考查了根据集合的基本关系求解参数的问题需要根据题意分情况讨论同时注意集合的互异性属于中档题【分析】根据{}2U C A =与{}22,3,3U a a =+-可知{}23,3A a a =+-,再根据集合相等求解即可.【详解】由{}2U C A =,{}22,3,3U a a =+-可知{}23,3A a a =+-,即{}{}23,3,3a a a +-=.故232,3a a aa ⎧+-=⎪⎨≠⎪⎩ .当0a ≥时,23a a a a +-=⇒=当0a <时,23a a a +-=-即 ()()2230130a a a a +-=⇒-+=,故3a =-.不满足2,3a ≠.故a =【点睛】本题主要考查了根据集合的基本关系求解参数的问题,需要根据题意分情况讨论,同时注意集合的互异性,属于中档题.16.【分析】根据集合所以集合没有公共元素列出两个集合的端点满足的不等关系结合数轴可以得出的范围得到结果【详解】集合由借助于数轴如图所示可得故答案为:【点睛】该题主要考查集合中参数的取值范围的问题两个集合解析:(,1]-∞-. 【分析】根据集合{|14}A x x =-≤≤,{|}B x x a =<,A B φ⋂=,所以集合,A B 没有公共元素,列出两个集合的端点满足的不等关系,结合数轴可以得出a 的范围,得到结果. 【详解】集合{|14}A x x =-≤≤,{|}B x x a =<, 由A B φ⋂=,借助于数轴,如图所示,可得1a ≤-, 故答案为:(,1]-∞-. 【点睛】该题主要考查集合中参数的取值范围的问题,两个集合的关系,属于中档题目.17.【分析】分类讨论:当时;当时分别讨论中元素为1和-1两种情况依次求解【详解】由题:当时符合题意;当时或所以或1所以实数所有取值的集合为故答案为:【点睛】此题考查通过集合的包含关系求参数的值其中的易漏 解析:{}1,0,1-【分析】分类讨论:当B =∅时,0a =;当B ≠∅时,分别讨论B 中元素为1和-1两种情况依次求解. 【详解】 由题:B A ⊆当0a =时,B =∅符合题意; 当0a ≠时,1B A a ⎧⎫=-⊆⎨⎬⎩⎭,11a -=或11a -=-所以,1a =-或1,所以实数a 所有取值的集合为{}1,0,1-. 故答案为:{}1,0,1- 【点睛】此题考查通过集合的包含关系求参数的值,其中的易漏点在于漏掉考虑子集为空集的情况,依次分类讨论即可避免此类问题.18.【分析】设公共根是代入两方程作差可得即公共根就是进一步代入原方程求解两集合即可得出答案【详解】两个方程有公共根设公共根为两式相减得:即①若则两个方程都是与矛盾;②则公共根为代入得:即解得:(舍)故答解析:{2,3,1}--【分析】设公共根是b ,代入两方程,作差可得b a =,即公共根就是a ,进一步代入原方程求解两集合,即可得出答案.【详解】A B ⋂≠∅∴两个方程有公共根设公共根为b∴2(23)30b a b a +--=,22(3)30b a b a a +-+-=两式相减得:20ab a -=,即()0a b a -=.①若0a =,则两个方程都是230x x -=,与A B ≠矛盾;②0,a ≠则b a =,∴公共根为a ,代入2(23)30x a x a +--=得:2(23)30a a a a +--= 即220a a -=,解得:0a =(舍),2a ={}2|60{3,2}A x x x ∴=+-==- 2|20{1,2}B x x x{2,3,1}A B ∴⋃=--故答案为:{2,3,1}--【点睛】本题考查了集合并集运算,能够通过,A B A B ≠⋂≠∅解读出两个集合中的方程有公共根,是解题的关键.19.或0【分析】由题意利用集合的包含关系和集合运算的互异性即可确定x的值【详解】由可知B ⊆A 则或解得:或或当时满足题意;当时满足题意;当时满足题意;当时不满足集合元素的互异性舍去综上可得:x 的值为或0故 解析:3,3-或0【分析】由题意利用集合的包含关系和集合运算的互异性即可确定x 的值.【详解】由A B A ⋃=可知B ⊆A ,则29x =或2x x =, 解得:3x =±或0x =或1x =,当3x =时,{}{}1,9,3,1,9A B ==,满足题意;当3x =-时,{}{}1,9,3,1,9A B =-=,满足题意;当0x =时,{}{}1,9,0,1,0A B ==,满足题意;当1x =时,不满足集合元素的互异性,舍去.综上可得:x 的值为3,3-或0.故答案为:3,3-或0.【点睛】本题主要考查并集的定义,集合中元素的互异性,分类讨论的数学思想等知识,意在考查学生的转化能力和计算求解能力.20.①③④【分析】对各个选项分别进行分析利用类的定义直接求解【详解】在①中∵2014÷5=402…4∴2014∈4故①正确;在②中∵﹣3=5×(﹣1)+2∴﹣3∉3故②错误;在③中∵整数集中的数被5除的解析:①③④【分析】对各个选项分别进行分析,利用类的定义直接求解.【详解】在①中,∵2014÷5=402…4,∴2014∈[4],故①正确;在②中,∵﹣3=5×(﹣1)+2,∴﹣3∉[3],故②错误;在③中,∵整数集中的数被5除的数可以且只可以分成五类,∴Z =[0]∪[1]∪[2]∪[3]∪[4],故③正确;在④中,∵2015÷5=403,2010÷5=402,∴2015与2010属于同一个“类”[0],故④正确.故答案为①③④.【点睛】本题为同余的性质的考查,具有一定的创新,关键是对题中“类”的题解,属基础题.三、解答题21.(1){|13}A B x x ⋂=;(2)3(2-,0][4⋃,)+∞. 【分析】(1)当1m =时,求出集合B ,A ,由此能求出A B .(2)由A B A ⋃=,得B A ⊆,当B =∅时,213m m -+,当B ≠∅时,21321433m m m m -<+⎧⎪->-⎨⎪+⎩,由此能求出m 的取值范围.【详解】解:(1)当1m =时,{|14}B x x =<,{|314}{|43}A x x x x =-<+=-<,{|13}A B x x ∴⋂=.(2)A B A =,B A ∴⊆,当B =∅时,213m m -+,解得4m ,当B ≠∅时,21321433m m m m -<+⎧⎪->-⎨⎪+⎩,解得302m -<, 综上,m 的取值范围为3(2-,0][4⋃,)+∞. 【点睛】结论点睛:本题考查交集、实数的取值范围的求法,并集、交集的结论与集合包含之间的关系:A B A B A =⇔⊆,A B A A B ⋂=⇔⊆.22.(1)(]2,10AB =-;[]()7,10R A B =;(2)3a <. 【分析】(1)直接按集合并集的概念进行运算,先求出A R 再与集合B 取交集;(2)根据并集的结果可得B A ⊆,分B =∅、B ≠∅两种情况进行讨论求解a 的取值范围.【详解】(1)4a =,[](]4,10,(2,7)2,10B A A B ==-⇒=-, (][)[],27,+()7,10R R A A B =-∞-∞⇒=(2)A B A B A ⋃=⇒⊆,①若321B a a a =∅⇒>-⇒<;②若32122133273a a a B a a a a a ≤-≥⎧⎧⎪⎪≠∅⇒>-⇒>-⇒≤<⎨⎨⎪⎪-<<⎩⎩. 综上所述,3a <.【点睛】本题考查集合的基本运算、根据两集合并集的结果求参数的范围,属于中档题. 23.(1)A ∪B ={x |-2≤x ≤7};(∁R A )∩B ={x |-2≤x <1};(2){4a a <-或11}2a -≤≤.【分析】(1)由a =2,得到A ={x |1≤x ≤7},然后利用集合的基本运算求解.(2)由A ∩B =A ,得到A ⊆B .然后分A =∅,A ≠∅两种情况讨论求解. 【详解】(1)当a =2时,A ={x |1≤x ≤7},则A ∪B ={x |-2≤x ≤7},∁R A ={x |x <1或x >7},(∁R A )∩B ={x |-2≤x <1}.(2)∵A ∩B =A ,∴A ⊆B .若A =∅,则a -1>2a +3,解得a <-4;若A ≠∅,由A ⊆B ,得12312234a a a a -≤+⎧⎪-≥-⎨⎪+≤⎩,解得-1≤a ≤12综上,a 的取值范围是{4a a <-或 11}2a -≤≤.【点睛】本题主要考查集合的基本要和基本运算,还考查了分类讨论的思想和运算求解的能力,属于中档题.24.(1){}13A B x x ⋂=<≤,()(){1U U A B x x ⋃=≤或3}x >;(2)52k <-或1k >.【分析】(1)先求出B ,U A ,U B ,再求A B ,()()U U A B 即可;(2)先分类讨论①当M φ=时,k 不存在;②当M φ≠时,解得52k <-或1k >,最后写出实数k 的取值范围即可.【详解】 解:(1)因为全集U =R ,集合{|4A x x =<-或1}x >,{}312B x x =-≤-≤, 所以{}23B x x =-≤≤,{|41}U x x A =-≤≤,{2U B x x =<-或3}x >,所以{}13A B x x ⋂=<≤,()(){1U U A B x x ⋃=≤或3}x >,(2)因为集合{}2121M x k x k =-≤≤+是集合A 的子集, 所以①当M φ=时,2121k k ,k 不存在;②当M φ≠时,214k +<-或211k ->,解得:52k <-或1k >, 综上所述:实数k 的取值范围是52k <-或1k >. 【点睛】 本题考查集合的运算、根据集合的基本关系求参数范围,是基础题.25.(1){}|12x x ≤≤;(2)[]4,2.【分析】(1)当2a =时,不等式化为2320x x -+≤,结合一元二次不等式的解法,即可求解; (2)把不等式化为()()10x x a --≤,分类讨论,结合集合的包含关系,即可求解.【详解】(1)由题意,当2a =时,不等式()210x a x a -++≤,即2320x x -+≤, 即()()120x x --≤,解得12x ≤≤,所以集合{}|12A x x =≤≤.(2)由()210x a x a -++≤,可得()()10x x a --≤, 当1a <时,不等式()()10x x a --≤的解集为{}|1x a x ≤≤.由集合A 是集合{}4|2x x -≤≤的真子集可得4a ≥-,所以41a -≤<,当1a =时,不等式()()10x x a --≤的解集为{}|1x x =满足题意;当1a >时,不等式()()10x x a --≤的解集为{}|1x x a ≤≤,由集合A 是集合{}4|2x x -≤≤的真子集,可得2a ≤,所以11a <≤,综上可得:42x -≤≤,即实数a 的取值范围为[]4,2-.【点睛】本题主要考查了一元二次不等式的求解及其应用,其中解答中熟记一元二次不等式的解法,结合集合的关系求解是解答的关键,着重考查了推理与运算能力,属于中档试题. 26.{|1x x ≤或}23x ≤<【分析】先化简集合A ,B 中元素的性质,再求得U B ,进而由交集的定义求解即可. 【详解】由题,因为2320x x -+≥,解得2x ≥或1x ≤,所以{|2A x x =≥或}1x ≤,因为30x -≥,解得3x ≥,所以{}|3B x x =≥,所以{}U |3B x x =<,则(){U |1A B x x ⋂=≤或}23x ≤<【点睛】本题考查集合的交集、补集运算,考查解一元二次不等式,考查具体函数的定义域.。
一、选择题1.下列表示正确的个数是( ) (1){}{}2100;(2)1,2;(3){(,)}3,435x y x y x y +=⎧∉∅∅⊆=⎨-=⎩;(4)若A B ⊆则A B A =A .0B .1C .2D .32.已知集合{}11M x Z x =∈-≤≤,{}Z (2)0N x x x =∈-≤,则如图所示的韦恩图中的阴影部分所表示的集合为( )A .{}0,1B .{}1,2-C .{}1,0,1-D .1,0,1,23.函数()log a x x f x x=(01a <<)的图象大致形状是( )A .B .C .D .4.已知集合A 、B 均为非空集合,定义{*|()A B x x A B =∈⋃且}()x A B ∉⋂,若{}1,0,1,2,3A =-,{}2|1,B x x t t A ==+∈,则集合*A B 的子集共( )A .64个B .63个C .32个D .31个5.集合2|01x A x x -⎧⎫=<⎨⎬+⎩⎭,{|()()0}B x x a x b =--<,若“2a =-”是“A B ⋂≠∅”的充分条件,则b 的取值范围是( ) A .1b <-B .1b >-C .1b ≤-D .12b -<<-6.集合{}2|6,y y x x ∈=-+∈N N 的真子集的个数是( ) A .9B .8C .7D .617.集合{}*|421A x x N =--∈,则A 的真子集个数是( ) A .63B .127C .255D .5118.已知全集U =R ,集合91A xx ⎧⎫=>⎨⎬⎩⎭和{}44,B x x x Z =-<<∈关系的Venn 图如图所示,则阴影部分所表示集合中的元素共有( )A .3个B .4个C .5个D .无穷多个9.已知集合A ={}{}3(,),(,)x y y x B x y y x ===,则A ∩B 的元素个数是( )A .4B .3C .2D .110.已知全集为R ,集合A ={﹣2,﹣1,0,1,2},102x B xx -⎧⎫=<⎨⎬+⎩⎭∣,则A ∩(∁R B )的子集个数为( ) A .2B .3C .4D .811.若{}{}0,1,2,3,|3,A B x x a a A ===∈,则A B 的子集个数是()A .6B .8C .4D .212.已知集合{0,1,2,3,4},{|21,}A B x x n n A ===+∈,则A B 等于( )A .{}1,3,5B .{}3C .{}5,7,9D .{}1,3二、填空题13.全集{U x x =是不大于20的素数},若{}3,5A B ⋂=,{}7,19A B ⋂=,{}2,17A B ⋃=,则集合A =___________.14.设集合{}1,2,4A =,{}2|40B x x x m =-+=.若{}1A B ⋂=,则B =__________.15.对于任意集合X 与Y ,定义:①{}|X Y x x X x Y -=∈∉且,②()()X Y X Y Y X =--△∪,(X Y △称为X 与Y 的对称差).已知{}{}2|2|33A y y x x x R B y y ==-∈=-,,≤≤,则A B =△______.16.设不等式20x ax b ++≤的解集为[]A m n =,,不等式()()2101x x x ++>-的解集为B ,若()(]213A B A B =-+∞=,,,∪∩,则m n +=__________. 17.用列举法表示集合*6,5A a N a Z a ⎧⎫=∈∈=⎨⎬-⎩⎭__________. 18.设集合{}24,,3A m m m =+中实数m 的取值集合为M ,则R C M =_____.19.若关于x 的方程2210ax x ++=的解集有唯一子集 ,则实数a 的取值范围是_____. 20.设A 是集合{}123456S =,,,,,的非空子集,称A 中的元素之和为A 的“容量”,则S 的所有非空子集的“容量”之和是_______三、解答题21.已知集合{}12,U xx x P =-≤≤∈∣,{}02,A x x x P =≤<∈,{}1,(11)B x a x x P a =-<≤∈-<<.(1)若P =R ,求U A 中最大元素m 与UB 中最小元素n 的差m n -;(2)若P =Z ,求AB 和UA 中所有元素之和及()UAB .22.已知集合4231a A a a ⎧⎫-=≤⎨⎬+⎩⎭,{}12B a a =+≤,{3}C x m x m =-<≤+(1)求AB ;(2)若()C AC ⊆,求m 的取值范围.23.已知集合{}02A x x =<<,{}1B x x a =<<-(1)若3a =-,求()R A B ⋃;(2)若AB B =,求a 的取值范围.24.已知全集为R ,集合{}503x A x R x -=∈>+,()2{|21050}B x R x a x a =∈-++≤. (1)若RB A ⊆,求实数a 的取值范围;(2)从下面所给的三个条件中选择一个,说明它是RB A ⊆的什么条件(充分必要性).①[)7,10a ∈-;②(]7,10a ∈-;③(]6,10a ∈.25.已知集合{}|13A x x =-<<,集合(){}2|25250B x x k x k =+--<,k ∈R .(1)若1k =时,求B R,A B ;(2)若“x A ∈”是“x B ∈”的充分不必要条件,求实数k 的取值范围.26.设关于x 的不等式2(21)(2)(1)0x a x a a -+++->和2()()0x a x a --<的解集分别为A 和B .(1)求集合A ;(2)是否存在实数a ,使得A B =R ?如果存在,求出a 的值,如果不存在,请说明理由;(3)若A B ⋂≠∅,求实数a 的取值范围.【参考答案】***试卷处理标记,请不要删除一、选择题 1.D 解析:D【解析】选项(1)中元素与空集的关系是不属于,正确;(2)空集是非空集的子集正确;(3)集合前后不相等,一个是方程的根构成的集合,有一个元素,一个是两个实数构成的集合,故不正确;(4)根据集合子集的意义知若A B ⊆则AB A =正确.2.B解析:B 【分析】阴影部分可以用集合M N 、表示为()()M N C M N ⋃⋂,故求出M N 、、M N ⋃,M N ⋂即可解决问题. 【详解】解:由题意得,{}1,0,1M =-,{}0,1,2N ={}1,0,1,2M N ⋃=-,{}0,1M N ⋂=阴影部分为()(){}1,2M N C M N ⋃⋂=-故选B 【点睛】本题考查用韦恩图表示的集合的运算,解题时要能用集合的运算表示出阴影部分.3.C解析:C 【分析】确定函数是奇函数,图象关于原点对称,x >0时,f (x )=log a x (0<a <1)是单调减函数,即可得出结论. 【详解】由题意,f (﹣x )=﹣f (x ),所以函数是奇函数,图象关于原点对称,排除B 、D ; x >0时,f (x )=log a x (0<a <1)是单调减函数,排除A . 故选C . 【点睛】本题考查函数的图象,考查函数的奇偶性、单调性,正确分析函数的性质是关键.4.C解析:C 【分析】先求集合B ,再求并集、交集、补集,最后根据元素确定子集个数. 【详解】因为{}2|1,{1,2,5,10}B x x t t A ==+∈=, 所以{}{}1,0,1,2,3510,1,2,AB A B =-=,,*{1,0,3,5,10}A B ∴=-因此集合*A B 的子集有5232=个, 故选:C 【点睛】本题考查并集、交集、补集定义以及子集个数,考查综合本分析求解能力,属基础题.5.B解析:B 【分析】由题意知{}|12A x x =-<<,当2a =-时,()(){}|20B x x x b =+-<,且A B ⋂≠∅成立,通过讨论2b <-,2b =-,2b >-三种情况,可求出b 的取值范围.【详解】 解:{}2|0|121x A x x x x -⎧⎫=<=-<<⎨⎬+⎩⎭,当2a =-时,()(){}|20B x x x b =+-< 当2b <- 时,{}|2B x b x =<<-,此时A B =∅不符合题意;当2b =-时,B =∅ ,此时AB =∅不符合题意;当2b >-时,{}|2B x x b =-<<因为A B ⋂≠∅,所以1b >-.综上所述,1b >-. 故选:B. 【点睛】本题考查了分式不等式求解,考查了一元二次不等式,考查了由两命题的关系求参数的取值范围.本题的关键是由充分条件,分析出两集合的关系.6.C解析:C 【分析】根据条件求解,x y 的范围,结合,x N y N ∈∈,得到集合为{2,5,6},利用集合真子集个数的公式即得解. 【详解】由于260y N y x ∈∴=-+≥x ≤≤,又,x N ∈0,1,2x ∴=6,5,2y ∴=,即集合{}2|6,{2,5,6}y y x x ∈=-+∈=N N故真子集的个数为:3217-= 故选:C 【点睛】本题考查了集合真子集的个数,考查了学生综合分析,数学运算的能力,属于中档题.7.B解析:B 【分析】先求得{}*|421A x x N =--∈的元素个数,再求真子集个数即可.【详解】由{}*|421A x x N=--∈,则421x --为正整数.则21x -可能的取值为0,1,2,3,故210,1,2,3x -=±±±,故x 共7个解.即{}*|421A x x N =--∈的元素个数为7故A 的真子集个数为721127-= 故选:B 【点睛】本题主要考查集合中元素个数的求解与知识点:元素个数为n 的集合的真子集有21n -个. 属于基础题型.8.B解析:B 【分析】先解分式不等式得集合A ,再化简B ,最后根据交集与补集定义得结果. 【详解】因为91(0,9)A x x ⎧⎫=>=⎨⎬⎩⎭,{}{}44,3,2,1,0,1,2,3B x x x Z =-<<∈=---,所以阴影部分所表示集合为(){0,1,2,3}U C A B =---,元素共有4个,故选B 【点睛】本题考查分式不等式以及交集与补集定义,考查基本分析求解能力,属基础题.9.B解析:B 【解析】 【分析】首先求解方程组3y x y x⎧=⎨=⎩,得到两曲线的交点坐标,进而可得答案.【详解】联立3y x y x⎧=⎨=⎩,解得1,0,1x =-即3y x =和y x =的图象有3个交点()11--,,()0,0,(11),, ∴集合A B 有3个元素,故选B.【点睛】本题考查了交集及其运算,考查了方程组的解法,是基础题.10.D解析:D 【分析】解不等式得集合B ,由集合的运算求出()R A B ,根据集合中的元素可得子集个数.【详解】10{|21}2x B x x x x -⎧⎫=<=-<<⎨⎬+⎩⎭∣,{|2R B x x =≤-或1}x ≥,所以()R A B {2,1,2}=-,其子集个数为328=.故选:D . 【点睛】本题考查集合的综合运算,考查子集的个数问题,属于基础题.11.C解析:C 【分析】先求得B 的具体元素,然后求A B ,进而确定子集的个数.【详解】依题意{}0,3,6,9B =,所以{}0,3A B ⋂=,其子集个数为224=,故选C. 【点睛】本小题主要考查集合元素的识别,考查两个集合的交集,考查集合子集的个数计算,属于基础题.12.D解析:D 【分析】首先求得集合B ,然后进行交集运算即可. 【详解】由题意可得:{}1,3,5,7,9B =,则{}1,3A B =.故选D . 【点睛】本题主要考查集合的表示方法,交集的定义与运算等知识,意在考查学生的转化能力和计算求解能力.二、填空题13.【分析】本题首先可根据素数的定义得出然后根据题意绘出韦恩图最后根据韦恩图即可得出结果【详解】因为全集是不大于的素数所以因为所以因为所以可绘出韦恩图如图所示:由韦恩图可知故答案为:【点睛】本题考查根据 解析:{}3,5,11,13【分析】本题首先可根据素数的定义得出{}2,3,5,7,11,13,17,19U =,然后根据题意绘出韦恩图,最后根据韦恩图即可得出结果. 【详解】因为全集{U x x =是不大于20的素数},所以{}2,3,5,7,11,13,17,19U =,因为{}2,17A B ⋃=,所以{}3,5,7,11,13,19A B =,因为{}3,5A B ⋂=,{}7,19A B ⋂=, 所以可绘出韦恩图,如图所示:由韦恩图可知,{}3,5,11,13A =, 故答案为:{}3,5,11,13. 【点睛】本题考查根据集合运算结果求集合,考查素数的定义,素数是指在大于1的自然数中,只能被1和该数本身整除的数,考查韦恩图的应用,能否根据题意绘出韦恩图是解决本题的关键,考查数形结合思想,是中档题.14.【解析】因为所以为方程的解则解得所以集合 解析:{}1,3【解析】 因为{}1A B ⋂=,所以1x =为方程240x x m -+=的解, 则140m -+=,解得3m =,所以2430x x -+=,(1)(3)0x x --=,集合{}1,3B =.15.【分析】先求出和再计算【详解】由已知则∴故答案为:【点睛】本题考查集合的新定义解题关键是理解新定义运算把新运算转化为集合的运算 解析:[3,1)(3,)--+∞【分析】先求出A B -和B A -,再计算A B ∆ 【详解】由已知{|1}A y y =≥-,则{|3}(3,)A B y y -=>=+∞,{|31}[3,1)B A y y -=-≤<-=--,∴()()[3,1)(3,)A B A B B A ∆=--=--+∞, 故答案为:[3,1)(3,)--+∞【点睛】本题考查集合的新定义,解题关键是理解新定义运算,把新运算转化为集合的运算.16.【分析】计算得到根据得到得到答案【详解】则或即故故故答案为:【点睛】本题考查了不等式的解集根据集合的运算结果求参数意在考查学生的综合应用能力 解析:2【分析】计算得到()()2,11,B =--+∞,根据()(]213A B A B =-+∞=,,,∪∩得到[]1,3A =-,得到答案.【详解】()()2101x x x ++>-,则1x >或21x -<<-,即()()2,11,B =--+∞.()(]213A B A B =-+∞=,,,∪∩,故[]1,3A =-,故2m n +=. 故答案为:2. 【点睛】本题考查了不等式的解集,根据集合的运算结果求参数,意在考查学生的综合应用能力.17.【分析】对整数取值并使为正整数这样即可找到所有满足条件的值从而用列举法表示出集合【详解】因为且所以可以取234所以故答案为:【点睛】考查描述法列举法表示集合的定义清楚表示整数集属于基础题 解析:{}1,2,3,4-【分析】对整数a 取值,并使65a-为正整数,这样即可找到所有满足条件的a 值,从而用列举法表示出集合A . 【详解】 因为a Z ∈且*65N a∈- 所以a 可以取1-,2,3,4. 所以{}1,2,3,4A =- 故答案为:{}1,2,3,4- 【点睛】考查描述法、列举法表示集合的定义,清楚Z 表示整数集,属于基础题.18.【分析】根据集合中的元素的互异性列出不等式组求解【详解】由题:集合则化简得:解得:即所以故答案为:【点睛】此题考查根据集合中元素的互异性求参数的取值范围需要注意不重不漏 解析:{}4,2,0,1,4--【分析】根据集合中的元素的互异性,列出不等式组求解. 【详解】由题:集合{}24,,3A m m m =+,则224343m m m m m m ≠⎧⎪+≠⎨⎪+≠⎩,化简得:()()()441020m m m m m ⎧≠⎪+-≠⎨⎪+≠⎩, 解得:()()()()()(),44,22,00,11,44,m ∈-∞----+∞, 即()()()()()(),44,22,00,11,44,M =-∞----+∞, 所以{}4,2,0,1,4R C M =--. 故答案为:{}4,2,0,1,4--【点睛】此题考查根据集合中元素的互异性求参数的取值范围,需要注意不重不漏.19.【分析】由题意知关于的方程无实数解可得出由此可解出实数的取值范围【详解】由题意知关于的方程无实数解当时原方程为解得不合乎题意;当时则有解得综上所述实数的取值范围是故答案为:【点睛】本题考查利用集合的 解析:()1,+∞【分析】由题意知,关于x 的方程2210ax x ++=无实数解,可得出00a ≠⎧⎨∆<⎩,由此可解出实数a 的取值范围. 【详解】由题意知,关于x 的方程2210ax x ++=无实数解.当0a =时,原方程为210x +=,解得12x =-,不合乎题意;当0a ≠时,则有440a ∆=-<,解得1a >. 综上所述,实数a 的取值范围是()1,+∞. 故答案为:()1,+∞. 【点睛】本题考查利用集合的子集个数求参数,将问题转化为方程无实解是解题的关键,考查分类讨论思想的应用,属于中等题.20.672【分析】在所有的子集中每个元素出现的次数都是个由此能求出结果【详解】在所有的子集中每个元素出现的次数都是个的所有非空子集的容量之和为故答案为:672【点睛】本题主要考查学生的对新定义的分析和解解析:672 【分析】在S 所有的子集中,每个元素出现的次数都是52个,由此能求出结果. 【详解】在S 所有的子集中,每个元素出现的次数都是52个,S ∴的所有非空子集的“容量”之和为5(123456)672+++++=2故答案为:672 【点睛】本题主要考查学生的对新定义的分析和解决的能力,主要考查了转化与划归的思想.三、解答题21.(1)3;(2)所求元素之和为1,(){}1,1,2UAB =-或(){1,0,1,2}UAB =-.【分析】(1)根据P =R ,然后利用补集的运算,分别求得UA ,UB 再求解.(2)根据P =Z ,得到{}{}02,0,1A x x x =≤<∈=Z ,{}1B =或{}0,1,进而得到{}0AB =或A B =∅求解.【详解】(1)因为P =R ,{}12,U xx x P =-≤≤∈∣, 所以{|10U A x x =-≤<或}2x =,{}1,12U B xx a x =-≤≤-<≤∣, ∴2m =,1n =-, ∴(13)2m n --=-=. (2)∵P =Z ,∴{}{}12,1,0,1,2U x x x =-≤≤∈=-Z , ∴{}{}02,0,1A x x x =≤<∈=Z ,{}1B =或{}0,1.∴{}0AB =或A B =∅,即A B 中元素之和为0.又{}1,2UA =-,其元素之和为121-+=. 故所求元素之和为011+=. ∵{}0AB =或A B =∅,∴(){}1,1,2UAB =-或(){1,0,1,2}U A UC B C U =∅==-.【点睛】本题主要考查集合的补集运算,还考查了分析求解问题的能力,属于中档题. 22.(1)(1,1]A B ⋂=-;(2)1m . 【分析】(1)先利用分式不等式的解法和绝对值不等式的解法化简集合A ,B ,再利用交集运算求解.(2)根据()C A C ⊆,得到C A ⊆,然后分C =∅和C ≠∅两种情况讨论求解.【详解】(1)因为集合423(1,5]1a A a a ⎧⎫-=≤=-⎨⎬+⎩⎭,{}12[3,1]B a a =+≤=-,所以(1,1]A B ⋂=-. (2)因为()C AC ⊆,所以C A ⊆,①当3m m -≥+即32m ≤-时,C =∅,符合题意, ②当3m m -<+即32m >-时,则135m m -≥-⎧⎨+≤⎩,解得132m -<≤, 综上:1m 【点睛】本题主要考查集合的基本运算和集合的基本关系的应用以及分式不等式和绝对值不等式的解法,还考查了分类讨论思想和运算求解的能力,属于中档题.23.(1){2x x <或3x ≥};(2)[)2-+∞,. 【分析】(1)3a =-时,先计算B R,再进行并集运算即可;(2)先利用交集结果判断B A ⊆,再讨论B 是否空集使其满足子集关系,列式计算即得结果. 【详解】(1)因为3a =-,所以{}13B x x =<<,=B R{1x x ≤或3x ≥},故()=⋃RA B {2x x <或3x ≥};(2)因为AB B =,所以B A ⊆.若B =∅,则1a -≤,解得1a ≥-; 若B ≠∅,则12a a ->⎧⎨-≤⎩,解得21a -≤<-.综上所述,a 的取值范围为[)2-+∞,. 【点睛】 易错点睛:已知B A ⊆求参数范围时,需讨论集合B 是否是空集,因为空集是任意集合的子集,直接满足B A ⊆.24.(1)610a -≤≤;(2)答案见解析. 【分析】()1先求集合A ,B ,A R ,再由R B A ⊆得到a 的不等式,解得即可;()2结合()1利用充分必要条件的定义逐一判定.【详解】解:()1集合5|0(3)(5,)3x A x R x -⎧⎫=∈>=-∞-⋃+∞⎨⎬+⎩⎭, 所以[]35RA =-,,集合()()()2{|21050}{|250}B x R x a x a x R x a x =∈-++≤=∈--≤, 若RB A ⊆,只需352a-≤≤, 所以610a -≤≤.()2由()1可知的充要条件是[]610a ∈-,, 选择①,则结论是既不充分也不必要条件; 选择②,则结论是必要不充分条件; 选择③,则结论是充分不必要条件. 【点睛】关键点睛,利用集合关系求参数范围,求集合A ,B ,A R,再由RB A ⊆得到a 的不等式,进而利用a 的范围,判定充分必要条件,属于中档题. 25.(1)[)5,1,2⎛⎤-∞-⋃+∞ ⎥⎝⎦,5,32⎛⎫- ⎪⎝⎭;(2)[)3,+∞. 【分析】(1)若1k =,化简集合B ,利用补集和并集的定义进行计算可得答案; (2)“x A ∈”是“x B ∈”的充分不必要条件,则集合A 是集合B 的真子集,分52k <-,52k =-和52k >-分别求出集合B ,列出不等式可得实数k 的取值范围.【详解】(1)若1k =,{}25|2350|12B x x x x x ⎧⎫=+-<=-<<⎨⎬⎩⎭则R B =[)5,1,2⎛⎤-∞-⋃+∞ ⎥⎝⎦,A B =5,32⎛⎫- ⎪⎝⎭; (2)“x A ∈”是“x B ∈”的充分不必要条件,则集合A 是集合B 的真子集,(){}()(){}2|25250|250B x x k x k x x k x =+--<=-+<当52k <-时,5,2B k ⎛⎫=- ⎪⎝⎭,不合题意;当52k =-时,B φ=,不合题意;当52k >-时,5,2B k ⎛⎫=- ⎪⎝⎭,只需3k ≥; 综上可得:实数k 的取值范围是[)3,+∞. 【点睛】结论点睛:本题考查集合的交并补运算,考查充分不必要条件的应用,一般可根据如下规则判断:(1)若p 是q 的必要不充分条件,则q 对应集合是p 对应集合的真子集; (2)p 是q 的充分不必要条件, 则p 对应集合是q 对应集合的真子集; (3)p 是q 的充分必要条件,则p 对应集合与q 对应集合相等;(4)p 是q 的既不充分又不必要条件, q 对的集合与p 对应集合互不包含. 26.(1){|2A x x a =>+或1}x a <-;(2)不存在;理由见解析;(3)01a <<. 【分析】(1)解一元二次不等式能求出集合A . (2)由AB R =,根据2{|}B a a x a =<<和2{|}B a a x a =<<分类讨论,得到不存在实数a ,使得A B R =.(3)由AB ≠∅,根据2{|}B a a x a =<<和2{|}B a a x a =<<分类讨论,能求出实数a的取值范围. 【详解】解:(1)不等式2(21)(2)(1)0x a x a a -+++->可化为[(2)][(1)]0x a x a -+-->, 解得1x a <-或2x a >+,所以不等式的解集为{|1A x x a =<-或2}x a >+; (2)当0a =时,不等式2()()0x a x a --<化为20x <,此时不等式无解, 当0a <时,2a a >,不等式2()()0x a x a --<的解集为2{|}x a x a <<, 当01a <<时,2a a <,不等式2()()0x a x a --<的解集为2{|}x a x a <<, 当1a =时,2a a =,不等式2()()0x a x a --<化为2(10)x -<,此时不等式无解, 当1a >时,2a a >,不等式2()()0x a x a --<的解集为2{|}x a x a <<, 综上所述:当0a =或1a =时,B =∅, 当0a <或1a >时,2{|}B x a x a =<<, 当01a <<时,2{|}B x a x a =<<, 要使AB R =,当2{|}B a a x a =<<时,2a a >,2a x a <<,1a a - 或22a a +,无解, 当2{|}B a a x a =<<时,2a a <,2a x a <<,2a a +,21a a =-,无解, 故不存在实数a ,使得A B R =.(3)AB ≠∅,∴当2{|}B a a x a =<<时,1a a -<,或22a a +>,即220a a --<,解得10a -<< 或12a <<,此时实数a 的取值范围是(1-,0)(1⋃,2),当2{|}B a a x a =<<时,21a a -<或2a a +>,即210a a -+>, 解得01a <<,此时,实数a 的取值范围是(0,1). 【点睛】本题考查含参一元二次不等式的解法,解含参一元二次不等式需分类讨论,首先判断二次项系数是否为零,再对所对应的一元二次方程的根进行分类讨论;。
模块综合评估(一)时间:120分钟 满分:150分一、选择题(每小题5分,共60分)1.已知集合A ={x |x 2-1=0},则下列式子表示正确的个数为( C ) ①1∈A ;②{-1}∈A ;③∅⊆A ;④{1,-1}⊆A . A .1 B .2 C .3D .4解析:集合A ={x |x 2-1=0}={-1,1},则1∈A ,∅⊆A ,{1,-1}⊆A ,即①③④正确. 2.函数y =3x -1+lg(1-x )的定义域是( C ) A .(1,3)B .[1,3] C.⎣⎢⎡⎭⎪⎫13,1 D .(1,3]解析:由题意得⎩⎪⎨⎪⎧3x -1≥0,1-x >0,解得13≤x <1.3.已知函数则f [f (-4)]=( C )A .-4B .-14C .4D .6解析:本题考查复合函数值的求解.利用函数解析式直接求解.因为f (-4)=⎝ ⎛⎭⎪⎫12-4=16>0,所以f [f (-4)]=f (16)=16 12=4.4.若幂函数的图像过点⎝ ⎛⎭⎪⎫2,14,则幂函数增加的区间是( D ) A .(0,+∞) B .[0,+∞) C .(-∞,+∞)D .(-∞,0)解析:设幂函数为y =x α,将点⎝ ⎛⎭⎪⎫2,14代入得14=2α,解得α=-2,于是幂函数为y =x -2.所以幂函数增加的区间是(-∞,0).5.下列函数中,既是偶函数,又在区间(1,2)内是增函数的为( B ) A .y =|lgx |,x ∈(0,+∞) B .y =log 2|x |,x ∈R 且x ≠0 C .y =e x-e-x2,x ∈RD .y =x 3+1,x ∈R解析:显然y =|lg x |,x ∈(0,+∞)的定义域关于原点不对称,因此不具有奇偶性;依据y =log 2|x |,x ∈R 且x ≠0的图像可得它既是偶函数,又在区间(1,2)内是增函数;y =e x-e -x2,x ∈R 是奇函数;y =x 3+1,x ∈R 不具有奇偶性. 6.已知f (x )是偶函数,x ∈R ,当x >0时,f (x )为增函数,若x 1<0,x 2>0,且|x 1|<|x 2|,则( B )A .f (-x 1)>f (-x 2)B .f (-x 1)<f (-x 2)C .-f (x 1)>f (-x 2)D .-f (x 1)<f (-x 2)解析:∵当x >0时,f (x )为增函数,∴当|x 1|<|x 2|时,f (|x 1|)<f (|x 2|),又∵f (x )是偶函数,∴f (-x 1)<f (-x 2).7.已知函数f (x )=(x -a )·(x -b )(其中a >b ),若f (x )的图像如左图所示,则函数g (x )=a x +b 的图像是( A )解析:由已知函数的图像结合根的分布知识得⎩⎪⎨⎪⎧0<a <1,b <-1,由于函数g (x )=a x+b 的图像是由y =a x(0<a <1)向下平移|b |(|b |>1)个单位得到的,故选A.8.函数f (x )=log 3x -8+2x 的零点一定位于区间( B ) A .(5,6) B .(3,4) C .(2,3)D .(1,2)解析:f (3)=log 33-8+2×3=-1<0,f (4)=log 34-8+2×4=log 34>0.又f (x )在(0,+∞)上为增函数,所以其零点一定位于区间(3,4).9.已知a >1,在同一个坐标系中作出两个函数的图像(如图),则这两个函数可以为( D )A .y =a x 和y =log a (-x )B .y =a x和y =log a x -1C .y =a -x和y =log a x -1D .y =a -x 和y =log a (-x )解析:从图中观察可以发现,上面的图像应是底数小于1的指数函数的图像,下面的图像应是底数大于1的对数函数的图像关于y 轴的对称图形,比较四个选项中的函数可知两个函数应为y =a -x 和y =log a (-x ).10.已知f (x )=x 2 014+ax2 013-bx 2 015-8,f (-1)=10,则f (1)等于( D )A .10B .-10C .-4D .-24解析:令g (x )=x2 014+ax2 013-bx2 015,则g (-1)=1-a +b =18,所以b -a =17,所以g (1)=1+a -b =-16,所以f (1)=g (1)-8=-24. 11.已知函数f (x )=⎩⎪⎨⎪⎧|2x-1|,x <2,3x -1, x ≥2,则f (x )的值域是( D )A .[0,+∞)B .[1,3]C .[1,+∞)D .[0,3]解析:本题考查分段函数知识及函数值域的求解.本题可直接求解各段函数的值域然后取并集,也可结合函数图像直观求解,如图,观察图像可知其值域为[0,3].12.已知函数f (x )=⎩⎨⎧x ,x >1,2|x |,x ≤1.若关于x 的方程f (x )=k 有3个不同的实根,则实数k 的取值范围为( D )A .(0,+∞)B .[1,+∞)C .(0,2)D .(1,2]解析:本题考查了函数的零点及图像的问题,体现了数形结合思想的实际应用.函数f (x )=⎩⎨⎧x ,x >1,2|x |,x ≤1的图像如图所示,当k ∈(1,2]时,直线y =k 与函数f (x )的图像有3个不同的交点,即关于x 的方程f (x )=k 有3个不同的实根,故应选D.二、填空题(每小题5分,共20分)13.如图,函数f (x )的图像是曲线OAB ,其中O ,A ,B 三点的坐标分别为(0,0),(1,2),(1,3),则f ⎝⎛⎭⎪⎫1f 3的值等于2.解析:本题考查了函数的识图能力.由题意,f (3)=1,f (1)=2,所以f ⎝ ⎛⎭⎪⎫1f 3=f (1)=2.14.某厂有许多形状为直角梯形的铁皮边角料(如图),为降低消耗,开源节流,现要从这些边角料上截取矩形铁片(如图阴影部分)备用,则截取的矩形面积的最大值为180.解析:依题意知:20-x x =y -824-y ,即x =54(24-y ),∴阴影部分的面积S =xy =54(24-y )y =54(-y 2+24y ),∴当y =12时,S 有最大值为180.15.函数y =22-2x -3x2的递减区间是⎝ ⎛⎭⎪⎫-13,+∞. 解析:令u =2-2x -3x 2,y =2u,由u =-3x 2-2x +2知,u 在⎝ ⎛⎭⎪⎫-13,+∞上为减函数,而y =2u为增函数,所以函数的递减区间为⎝ ⎛⎭⎪⎫-13,+∞. 16.下列四个结论中正确的有①②④(填序号).①函数f (x )=lg(x +1)+lg(x -1)的定义域是(1,+∞); ②若幂函数y =f (x )的图像经过点(2,4),则该函数为偶函数; ③函数y =5|x |的值域是(0,+∞);④函数f (x )=x +2x在(-1,0)内有且只有一个零点. 解析:对于①,由题意得⎩⎪⎨⎪⎧x +1>0,x -1>0,解得x >1,故①正确;∵f (x )=x α的图像过点(2,4),∴2α=4,∴α=2,∴f (x )=x 2,为偶函数,故②正确; ∵|x |≥0,∴y =5|x |≥1,∴函数y =5|x |的值域是[1,+∞),故③不正确;∵f (-1)=-1+2-1=-12<0,f (0)=0+20=1>0,∴f (x )=x +2x在(-1,0)内至少有一个零点,又f (x )=x +2x 为增函数,∴f (x )=x +2x在(-1,0)内有且只有一个零点,故④正确. 三、解答题(写出必要的计算步骤、解答过程,只写最后结果的不得分,共70分) 17.(10分)设U =R ,集合A ={x |x 2+3x +2=0},B ={x |x 2+(m +1)x +m =0}.若(∁U A )∩B =∅,求m 的值.解:A ={x |x 2+3x +2=0}={-2,-1},由(∁U A )∩B =∅,得B ⊆A . ∵方程x 2+(m +1)x +m =0的判别式Δ=(m +1)2-4m =(m -1)2≥0, ∴B ≠∅.∴B ={-1}或B ={-2}或B ={-1,-2}. ①若B ={-1},则m =1.②若B ={-2},则-(m +1)=(-2)+(-2)=-4,且m =(-2)·(-2)=4,这两式不能同时成立.∴B ≠{-2}.③若B ={-1,-2},则-(m +1)=(-1)+(-2)=-3,且m =(-1)·(-2)=2. 由这两式得m =2.经检验知m =1和m =2符合条件.∴m =1或2. 18.(12分)设函数f (x )=lnx +1x -1. (1)判断函数f (x )在区间(1,+∞)上的单调性,并加以证明;(2)对于区间[2,4]上的任意一个x ,不等式f (x )>e x+m 恒成立,求实数m 的取值范围. 解:(1)函数f (x )在区间(1,+∞)上是单调递减的. 证明:设x 1,x 2∈(1,+∞),且x 1<x 2, 则f (x 1)-f (x 2)=lnx 1+1x 1-1-ln x 2+1x 2-1=ln ⎝ ⎛⎭⎪⎫x 1+1x 1-1·x 2-1x 2+1=ln ⎣⎢⎡⎦⎥⎤x 1x 2+x 2-x 1-1x 1x 2+x 1-x 2-1.由于x 1,x 2∈(1,+∞),且x 1<x 2,所以x 1x 2+(x 2-x 1)-1>x 1x 2+(x 1-x 2)-1>0, 故x 1x 2+x 2-x 1-1x 1x 2+x 1-x 2-1>1,所以ln ⎣⎢⎡⎦⎥⎤x 1x 2+x 2-x 1-1x 1x 2+x 1-x 2-1>0, 即f (x 1)>f (x 2),故函数f (x )在区间(1,+∞)上单调递减.(2)由f (x )>e x +m ,得m <f (x )-e x ,依题知m <[f (x )-e x]min ,记g (x )=f (x )-e x ,由(1)知f (x )在区间[2,4]上是递减的,且y =-e x在区间[2,4]上是递减的,所以g (x )=f (x )-e x 在区间[2,4]上是递减的.所以g (x )min =g (4)=ln 53-e 4.故实数m 的取值范围为⎝ ⎛⎭⎪⎫-∞,ln 53-e 4. 19.(12分)已知函数f (x )=ax 3-2ax +3a -4在区间(-1,1)上有一个零点. (1)求实数a 的取值范围;(2)若a =3217,用二分法求方程f (x )=0在区间(-1,1)上的根.解:(1)若a =0,则f (x )=-4与题意不符,∴a ≠0,∴f (-1)·f (1)=8(a -1)(a -2)<0,∴1<a <2.(2)若a =3217,则f (x )=3217x 3-6417x +2817,∴f (-1)>0,f (1)<0,f (0)=2817>0,∴零点在(0,1)上.又f ⎝ ⎛⎭⎪⎫12=0,∴f (x )=0的根为12.20.(12分)已知函数f (x )=lg(1+x )+lg(1-x ). (1)求函数f (x )的定义域; (2)判断函数f (x )的奇偶性;(3)若f (x )=lg[g (x )],判断函数g (x )在(0,1)内的单调性,并用定义证明.解:(1)要使函数f (x )有意义,须满足⎩⎪⎨⎪⎧1+x >0,1-x >0,解得-1<x <1,故函数f (x )的定义域为(-1,1). (2)函数f (x )为偶函数.理由如下:由(1)知,函数f (x )的定义域关于原点对称,且f (-x )=lg(1-x )+lg(1+x )=f (x ),故f (x )为偶函数.(3)函数g (x )在(0,1)内单调递减.证明如下: ∵f (x )=lg(1-x 2)=lg[g (x )],∴g (x )=1-x 2.对于任意的0<x 1<x 2<1,有g (x 1)-g (x 2)=(1-x 21)-(1-x 22)=(x 1+x 2)(x 2-x 1)>0, 即g (x 1)>g (x 2).故g (x )在(0,1)内单调递减.21.(12分)某公司生产一种产品,每年需投入固定成本0.5万元,此外每生产100件这样的产品,还需增加投入0.25万元,经市场调查知这种产品年需求量为500件,产品销售数量为t 件时,销售所得的收入为⎝⎛⎭⎪⎫0.05t -120 000t 2万元. (1)该公司这种产品的年生产量为x 件,生产并销售这种产品所得到的利润关于当年产量x 的函数为f (x ),求f (x );(2)当该公司的年产量为多少件时,当年所获得的利润最大.解:(1)当0<x ≤500时,f (x )=0.05x -120 000x 2-⎝ ⎛⎭⎪⎫0.25×x 100+0.5=-x 220 000+19400x -12,当x >500时,f (x )=0.05×500-120 000×5002-⎝ ⎛⎭⎪⎫0.25×x 100+0.5=12-1400x ,故f (x )=⎩⎪⎨⎪⎧-120 000x 2+19400x -12,0<x ≤500,12-1400x ,x >500.(2)当0<x ≤500时,f (x )=-x 220 000+19400x -12=-120 000(x -475)2+34532,故当x =475时,f (x )max =34532.当x >500时,f (x )=12-1400x <12-54=34432<34532, 故当该公司的年产量为475件时,当年获得的利润最大. 22.(12分)已知函数f (x )=log a 1-mxx -1是奇函数(a >0且a ≠1).(1)求m 的值;(2)判断f (x )在区间(1,+∞)上的单调性并加以证明;(3)当a >1,x ∈(1,3)时,f (x )的值域是(1,+∞),求a 的值. 解:(1)∵f (x )是奇函数,∴f (-x )=-f (x )在其定义域内恒成立, 即log a1+mx -x -1=-log a 1-mx x -1,∴1-m 2x 2=1-x 2恒成立,∴m =-1或m =1(舍去),∴m =-1.(2)由(1)得f (x )=log a x +1x -1(a >0且a ≠1), 设t (x )=x +1x -1,任取x 1,x 2∈(1,+∞),且x 1<x 2.∴t (x 1)-t (x 2)=x 1+1x 1-1-x 2+1x 2-1=2x 2-x 1x 1-1x 2-1,∵x 1>1,x 2>1,x 1<x 2,∴x 1-1>0,x 2-1>0,x 2-x 1>0. ∴t (x 1)>t (x 2),即x 1+1x 1-1>x 2+1x 2-1,∴当a >1时,log a x 1+1x 1-1>log a x 2+1x 2-1,即f (x 1)>f (x 2); 当0<a <1时,log ax 1+1x 1-1<log a x 2+1x 2-1,即f (x 1)<f (x 2). ∴当a >1时,f (x )在(1,+∞)上是减函数,当0<a <1时,f (x )在(1,+∞)上是增函数. (3)当a >1时,f (x )=log ax +1x -1在(1,3)上为减函数,要使f (x )在(1,3)上值域为(1,+∞),即log ax +1x -1>1,可得x +1x -1>a , 令g (x )=x +1x -1=1+2x -1在(1,3)上是减函数,所以g (x )∈(1+23-1,+∞), 所以a =1+23-1=2+3,即满足条件,所以a =2+ 3.。
第一章单元质量评估(一)时限:120分钟满分:150分一、选择题(每小题5分,共50分)1.下列各组对象:①一切很大的数;②接近于0的数的全体;③聪明人;④正三角形的全体;⑤平面上到定点A的距离等于2的点的全体.其中,能构成集合的有()A.2个B.3个C.4个D.5个解析:“很大的数”“接近于0的数”“聪明人”的标准不明确,所以①②③不能构成集合;④⑤能构成集合.答案:A2.设a=2+3,M={x|x≤10},给出下列关系:①a⊆M;②M⊇{a};③{a}∈M;④{∅}∈{a};⑤2a∉M.其中正确的关系共有()A.2个B.3个C.4个D.5个解析:2+3≤10,②⑤正确.答案:A3.若集合M={x|x>-1},则下列选项正确的是()A.0⊆M B.{0}∈MC.∅∈M D.{0}⊆M解析:元素与集合之间只能用“∈”或“∉”,故A错;集合与集合之间只能用“⊆”、“=”、“ ”,故B、C错,D对.答案:D4.设集合A={2,3},B={2,3,4},C={3,4,5},则(A∩B)∪C=()A.{2,3,4} B.{2,3,5}C.{3,4,5} D.{2,3,4,5}解析:A∩B={2,3},(A∩B)∪C={2,3,4,5}.答案:D5.已知集合A={x|x+1>0},B={x|x-3>0},则A∩(∁R B)等于()A.{x|-1<x≤3} B.{x|x≤3}C.{x|-1<x<3} D.{x|x>-1}解析:A={x|x>-1},B={x|x>3},∴∁R B={x|x≤3},由数轴可知A∩(∁R B)={x|-1<x≤3}.答案:A6.设全集U=R,集合E={x|x≤-3或x≥2},F={x|0<x+1<6},则集合{x|-1<x<2}是()A.E∩F B.(∁U E)∩FC.(∁U E)∪(∁U F) D.∁U(E∪F)解析:∵U=R,E={x|x≤-3或x≥2},F={x|0<x+1<6},∴∁U E={x|-3<x<2},∁U F={x|x≤-1或x≥5},∴(∁U E)∩F={x|-1<x<2}.答案:B7.设集合P={立方后等于自身的数},那么集合P的真子集个数是()A.3 B.4C.7 D.8解析:立方后等于自身的数有0,1,-1,所以P ={0,1,-1},其真子集个数为23-1=7(个).答案:C8.若A ⊆B ,A ⊆C ,B ={0,1,2},C ={0,2,4},则满足上述条件的集合A 的个数为( )A .4B .3C .2D .1解析:∵A ⊆B ,A ⊆C ,∴A ⊆(B ∩C ),B ∩C ={0,2},所满足条件的集合A 有22=4(个).答案:A9.图中阴影部分可表示为( )A .(A ∪B )∩∁U (A ∩B )B .∁U (A ∪B )C .∁U (A ∩B )D .∁U (A ∪B )∪(A ∩B )解析:阴影部分分两部分,A ∩B 及∁U (A ∪B ).答案:D10.已知集合M ={x |x =m +16,m ∈Z },N ={x |x =n 2-13,n ∈Z },P ={x |x =p 2+16,p ∈Z },则M ,N ,P 满足的关系是( )A .M =N PB .M N =PC .M N PD .N P =M解析:对于集合M :x =6m +16,m ∈Z对于集合N :x =3n -26=3(n -1)+16,n ∈Z 对于集合P :x =p 2+16=3p +16,p ∈Z由于3(n -1)+1和3p +1都表示被3除余1的数,而6m +1表示被6除余1的数,所以M N =P ,故应选B.答案:B二、填空题(每小题5分,共25分)11.已知集合S ={x ∈R |x +1≥2},T ={-2,-1,0,1,2},则S ∩T =________.解析:S ={x |x ≥1},S ∩T ={1,2}.答案:{1,2}12.设全集是实数集R ,M ={x |-2≤x ≤2},N ={x |x <1},则∁R (M ∩N )=________.解析:M ∩N ={x |-2≤x <1}.答案:{x |x <-2或x ≥1}13.已知A ={x ∈N +|x ≤8},B ={x |x =2k ,k ∈N ,且0<k <5},那么集合A 与B 的关系为________.解析:∵A ={1,2,3,4,5,6,7,8},B ={2,4,6,8}.集合B 中的元素2,4,6,8都是集合A 中的元素,而集合A 中的元素1,3,5,7不是集合的B 的元素,∴B A .答案:B A14.已知全集U =R ,A ={x |-2<x <2},B ={x |x ≥1},C ={x |0<x <4},则A ∩B ∩C =__________,(∁U A )∩C =________.答案:{x |1≤x <2} {x |2≤x <4}15.若方程x 2+px +4=0的解集为A ,方程x 2+x +q =0的解集为B ,且A ∩B ={4},则满足C ⊆(A ∪B )的所有集合C 的个数为________.解析:∵A ∩B ={4},∴⎩⎪⎨⎪⎧ 42+4p +4=0,42+4+q =0.解得⎩⎪⎨⎪⎧p =-5,q =-20 ∴⎩⎪⎨⎪⎧A ={1,4},B ={4,-5}.∴A ∪B ={1,4,-5}. ∴A ∪B 的所有子集有23=8(个).答案:8三、解答题(写出必要的计算步骤、解答过程,只写最后结果的不得分,共75分)16.(12分)含有两个实数的集合A 可以表示为{a -3,2a -1},求实数a 满足的条件.解:因为A ={a -3,2a -1}中含有两个元素,由集合中元素的互异性,可得a -3≠2a -1,所以a ≠-2,即实数a 满足的条件为a ≠-2.17.(12分)用适当的方法表示下列集合:(1)不超过10的非负偶数组成的集合;(2)大于10的所有自然数组成的集合.解:(1)不超过10的非负偶数有0,2,4,6,8,10,共6个,故可用列举法表示为{0,2,4,6,8,10}.(2)大于10的所有自然数有无数个,故可用描述法表示为{x |x >10,x∈N}.18.(12分)已知全集U={x|x≤10,x∈N},A={0,2,4,6,8},B={x|x∈U,x<5}.(1)求M={x|x∈A但x∉B};(2)求(∁U A)∩(∁U B).解:(1)由题意知B={0,1,2,3,4}.∴M={6,8};(2)∵∁U A={1,3,5,7,9,10},∁U B={5,6,7,8,9,10},∴(∁U A)∩(∁U B)={5,7,9,10}.19.(12分)若集合A={x|x2-5x+6=0},B={x|ax-6=0},且A ∪B=A,B≠∅,求由实数a组成的集合C.解:由x2-5x+6=0,得x=2,或x=3,故A={2,3},∵A∪B=A,且B≠∅,∴B是单元素集合{2},{3}.若B={2},则2a-6=0,得a=3;若B={3},则3a-6=0,得a=2.∴由实数a组成的集合为C={2,3}.20.(13分)已知全集U=R,A={x|x-1≥0},B={x|x+2>0},C ={x|x-a≥0},(1)求B∩(∁U A);(2)若A∪C=C,求实数a的最大值.解:(1)∵∁U A={x|x<1},∴B∩(∁U A)={x|-2<x<1}.(2)∵A∪C=C⇔A⊆C,∴a≤1,即a max=1.21.(14分)已知集合A={x|3≤x<6},B={x|2<x<9}.(1)分别求∁R(A∩B),(∁R B)∪A;(2)已知C={x|a<x<a+1},若C⊆B,求实数a的取值集合.解:(1)因为A ∩B ={x |3≤x <6}, 所以∁R (A ∩B )={x |x <3,或x ≥6}. 因为∁R B ={x |x ≤2,或x ≥9}, 所以(∁R B )∪A ={x |x ≤2,或3≤x <6,或x ≥9}.(2)因为C ⊆B ,所以⎩⎪⎨⎪⎧a ≥2,a +1≤9,解得2≤a ≤8,所以a ∈[2,8],即a 的取值集合为{a |2≤a ≤8}.。
高中数学学习材料唐玲出品数学北师版必修1第一章集合单元检测(时间:90分钟满分:100分)一、选择题(本大题共10小题,每小题5分,共50分.在每小题给出的四个选项中,只有一项是符合题目要求的)1.2010年,广州成功举办了第16届亚运会,在本次亚运会中,下列能构成集合的是( ).A.所有著名运动员B.所有的志愿者C.所有高个子运动员D.所有喜欢中国的运动员2.若集合A={0,1,2,3},B={1,2,4},则集合A∩B=( ).A.{0,1,2,3,4} B.{1,2,3,4}C.{1,2} D.{0}3.设集合A={4,5,7,9},B={3,4,7,8,9},全集U=A∪B,则集合U(A∩B)中的元素共有( ).A.3个B.4个C.5个D.6个M={5,7},则a的值为( ).4.设全集U={1,3,5,7},集合M={1,|a-5|},M U,A.2或-8 B.-8或-2C.-2或8 D.2或85.设集合M={x|x>1},P={x|x2-6x+9=0},则下列关系中正确的是( ).A.M=P B.P M C.M P D.M∪P=R 6.已知集合A={x|a-1≤x≤a+2},B={x|3<x<5},则能使A B成立的实数a的范围是( ).A.{a|3<a≤4} B.{a|3≤a≤4}C.{a|3<a<4} D.7.设U是全集,集合P,Q满足P Q,则下面结论中错误..的是( ).A.P∪Q=Q B.(U P)∪Q=UC.P∩(U U)=D.(U P)∩(U Q)=U P8.设集合A,B都是U={1,2,3,4}的子集,已知(U A)∩(U B)={2},(U A)∩B={1},则集合A等于( ).A.{1,2} B.{2,3}C.{3,4} D.不确定9.满足M{a 1,a2,a3,a4},且M∩{a1,a2,a3}={a1,a2}的集合M的个数是( ).A.1 B.2 C.3 D.410.定义集合运算:A*B={z|z=xy,x∈A,y∈B}.设A={1,2},B={0,2},则集合A*B 的所有元素之和为( ).A.0 B.2 C.3 D.6二、填空题(本大题共5小题,每小题5分,共25分.把答案填在题中的横线上)11.已知集合M={2},N={x|2x-a=0},且M∩N=N,则实数a=__________.12.已知集合A={-1,3,2m-1},集合B={3,m2}.若B A,则实数m=__________.13.已知集合M=,则用列举法表示集合M=__________.14.已知集合A={7,2m-1},B={7,m2},且A=B,则实数m=__________.15.已知集合A={x|-1≤x≤1},B={x|1-a≤x≤2a-1},若B A,那么a的取值范围是__________.三、解答题(本大题共2小题,共25分.解答时应写出文字说明、证明过程或演算步骤)16.(10分)已知集合U={1,2,3,4,5,6,7,8,9},且(U A)∩B={1,9},A∩B={2},(U A)∩(U B)={4,6,8},求集合A,B.17.(15分)集合A={x∈R|x2+ax+1=0},B={1,2},且A B,求实数a的取值范围.参考答案1. 答案:B2. 答案:C 由题意可得A ∩B ={1,2}.故选C.3. 答案:A A ∩B ={4,7,9},A ∪B ={3,4,5,7,8,9},U (A ∩B )={3,5,8}.故选A.4. 答案:D ∵U M ={5,7},∴M ={1,3}.∴|a -5|=3,∴a =8或a =2.5. 答案:B P ={3},∵3>1,∴3∈M .∴P M .但是2∈M,2P ,∴P M .6. 答案:B ∵A B ,∴a -1≤3且a +2≥5.∴3≤a ≤4.故选B.7. 答案:D ∵P Q ,∴如下图所示,可知,A ,B ,C 选项正确,故应选D.8. 答案:C 如图所示.由图得={1,2},∴A ={3,4}.9. 答案:B 集合M 必须含有元素a 1,a 2,并且不能含有元素a 3,故M ={a 1,a 2}或{a 1,a 2,a 4}.10.解:(1)对甲茶具店而言:茶社购买这种茶壶x 个时,每个售价为(80-2x )元,则y 1与x 之间的函数关系式为y 1=2(802)280(018,)44(18,),x x x x x x x x x ++⎧-=-+≤≤∈⎨>∈⎩N N对乙茶具店而言:茶社购买这种茶壶x 个时,每个售价为80×75%=60(元),则y 2与x 之间的函数关系式为y 2=60x (x ≥0,x ∈N +).(2)y 1-y 2=-2x 2+80x -60x =-2x 2+20x ≥00≤x ≤10.答:茶社购买这种茶壶的数量小于10个时,到乙茶具店购买茶壶花费较少;茶社购买这种茶壶的数量等于10个时,到甲、乙两家茶具店购买茶壶花费一样多;茶社购买这种茶壶的数量大于10个时,到甲茶具店购买茶壶花费较少.答案:D 依题意得,A *B ={0,2,4},其所有元素之和为6,选D.11. 答案:4 N =2a ⎧⎫⎨⎬⎩⎭,∵M ∩N =N ,∴N M . ∴2a ∈{2}.∴2a =2.∴a =4. 12. 答案:1 ∵B A ,∴m 2=2m -1,解得m =1.13. 答案:{2,4} ∵35m-∈N +, ∴5-m =1或5-m =3.∴m =4或m =2.∴M ={2,4}.14. 答案:1 ∵A =B ,∴2m -1=m 2,解得m =1,则A ={7,1},B ={7,1}.∴m =1.15. 答案:a ≥2 由数轴知,211,11,211,a a a a -≥-⎧⎪-≤-⎨⎪-≥⎩即2,32,1.a a a ⎧≥⎪⎪≥⎨⎪≥⎪⎩故a ≥2.16. 分析:由于题目条件中集合间的关系比较复杂,可以借助Venn 图直观表示. 解:如图所示,全集U 由四个集合()∩B ,A ∩B ,A ∩()和()∩()组成,且以上任意两个集合的交集为,故全集中每个元素仅属于四个集合中的一个集合.∴A ∩()={3,5,7}.∴集合A ={3,5,7,2},B ={2,1,9}.17. 分析:因为A B ,所以应分A =或A ={1}或A ={2}三种情况讨论. 解:∵A B ,∴A =或A ={1}或A ={2}.(1)若A =,则Δ=a 2-4<0,∴-2<a <2.(2)若A ={1},∴1+a +1=0.∴a =-2.此时,A ={x ∈R |x 2-2x +1=0}满足条件.(3)若A ={2},则4+2a +1=0,∴a =52-. 此时,方程为x 2-52x +1=0, 解得x =2或x =12. 此时A =12,2⎧⎫⎨⎬⎩⎭,与条件A ={2}矛盾. 故a =52-不合题意,舍去. 综上可知,-2≤a <2.。
一、选择题1.设集合A={2,1-a ,a 2-a +2},若4∈A ,则a =( )A .-3或-1或2B .-3或-1C .-3或2D .-1或22.设集合}{2230A x x x =+->,集合}{2210,0,B x x ax a =--≤>若A B 中恰含有一个整数 ,则实数a 的取值范围是( ) A .34,43⎡⎫⎪⎢⎣⎭ B .30,4⎛⎫ ⎪⎝⎭ C .3,4⎡⎫+∞⎪⎢⎣⎭ D .()1,+∞3.已知集合A 、B 均为非空集合,定义{*|()A B x x A B =∈⋃且}()x A B ∉⋂,若{}1,0,1,2,3A =-,{}2|1,B x x t t A ==+∈,则集合*A B 的子集共( )A .64个B .63个C .32个D .31个 4.设有限集合A =123{,,,}n a a a a ,则称123A n S a a a a =++++为集合A 的和.若集合M ={x ︳2,N ,6x t t t *=∈<},集合M 的所有非空子集分别记为123,,,k P P P P ,则123k P P P P S S S S ++++=( ) A .540 B .480 C .320 D .2805.已知{}lg M y y x ==,{}x N y y a==,则M N =( )A .0,B .RC .∅D .,0 6.已知集合{}2|230A x x x =--≤,集合{}||1|3B x x =-≤,集合4|05x C x x -⎧⎫=≤⎨⎬+⎩⎭,则集合A ,B ,C 的关系为( ) A .B A ⊆B .A B =C .C B ⊆D .A C ⊆ 7.集合2|01x A x x -⎧⎫=<⎨⎬+⎩⎭,{|()()0}B x x a x b =--<,若“2a =-”是“A B ⋂≠∅”的充分条件,则b 的取值范围是( ) A .1b <-B .1b >-C .1b ≤-D .12b -<<- 8.非空集合G 关于运算⊕满足:①对任意a 、b G ∈,都有a b G ⊕∈;②存在e G ∈使对一切a G ∈都有a e e a a ⊕=⊕=,则称G 是关于运算⊕的融洽集,现有下列集合及运算中正确的说法有( )个(1)G 是非负整数集,⊕:实数的加法;(2)G 是偶数集,⊕:实数的乘法;(3)G 是所有二次三项式组成的集合,⊕多项式的乘法;(4){}|G x x a a b Q ==+∈,,⊕:实数的乘法. A .1 B .2 C .3 D .49.在整数Z 集中,规定被5除所得余数为k 的所有整数组成“一类”,记为[]k ,即[]{}|5,k x x n n Z k ==+∈,0,1,2,3,4k =,给出如下四个结论:①[]20183∈;②[]20183-∈;③[][][][][]01234Z =;④“整数a ,b 属于同‘一类’”的充要条件是“[]0a b -∈”;其中正确结论的个数是( )A .1B .2C .3D .410.已知集合{}|15A x x =≤<,{}|3B x a x a =-<≤+.若BA B =,则a 的取值范围为( )A .3,12⎛⎤-- ⎥⎝⎦B .3,2∞⎛⎤-- ⎥⎝⎦C .(],1-∞-D .3,2⎛⎫-+∞ ⎪⎝⎭ 11.已知集合22{|,N ,N}A t t m n m n = =+ ∈ ∈,且x A ∈,y A ,则下列结论中正确的是( )A .x y A +∈B .x y A -∈C .xy A ∈D .x A y∈ 12.集合{}{}A x||x-a|<1,x R ,|15,.A B B x x x R =∈=<<∈⋂=∅若,则实数a 的取值 范围是( )A .{}a |0a 6≤≤B .{}|24a a a ≤≥或C .{}|06a a a ≤≥或D .{}|24a a ≤≤二、填空题13.已知2{|31,},x A x x -+=≥∈R 21{|1,}3x B x x R x -=≤∈+,则A ∩B =______. 14.集合{(,)|||,}A x y y a x x R ==∈,{(,)|,}B x y y x a x R ==+∈,已知集合A B中有且仅有一个元素,则常数a 的取值范围是________ 15.设A 是集合{}123456S =,,,,,的非空子集,称A 中的元素之和为A 的“容量”,则S 的所有非空子集的“容量”之和是_______16.若{}|224x A x ≤≤,1|1x B x a x -⎧⎫=<⎨⎬+⎩⎭,若A B =∅,则实数a 的取值范围为_________;17.函数()[]f x x =的函数值表示不超过x 的最大整数,例如:[ 3.5]4-=-,[2.1]2=.若{|[][2][3],01}A y y x x x x ==++≤≤,则A 中所有元素的和为_______. 18.已知集合{}{}2430,21x A x x x B x =++≥<,则AB =____________ 19.若集合2{320}A x ax x =++=中至多有一个元素,则a 的取值范围是__________.20.已知集合{}2A ,,4a a =-,33,,2||b a B a a ⎧⎫=-⎨⎬⎩⎭,且A B =,则a b +=______。
【世纪金榜】(教师用书)2014高中数学集合单元质量评估北师大版必修1(120分钟150分)一、选择题(本大题共12小题,每小题5分,共60分,在每小题给出的四个选项中,只有一项是符合题目要求的)1.(2012·滁州高一检测)已知集合M={1,2,3},N={2,3,4},则( )(A)M⊆N (B)N⊆M(C)M∩N={2,3} (D)M∪N={1,4}2.(2012·邯郸高一检测)用列举法表示集合{x|x2-2x+1=0}为( )(A){1,1} (B){1}(C){x=1} (D){x2-2x+1=0}3.下列四个集合中,是空集的是( )(A){x|x+3=3}(B){(x,y)|y2=-x2,x,y∈R}(C){x|x2≤0}(D){x|x2-x+1=0,x∈R}4.(2012·长安高一检测)已知全集U=R,则正确表示集合M={0,1,2}和N={x|x2-x=0}关系的韦恩(Venn)图是( )5.若集合M={-1,0,1,2},N={x|x(x-1)=0},则M∪N=( )(A){-1,0,1,2} (B){0,1,2}(C){-1,0,1} (D){0,1}6.集合A={x|-1<x<2},B={x|1<x<3},那么A∩B=( )(A) (B){x|-1<x<1}(C){x|1<x<2} (D){x|2<x<3}7.(2012·红河州高一检测)设集合U={1,2,3,4,5},A={1,3,5},B={2,3,5},则图中阴影部分表示的集合是( )(A){1,2,4} (B){4}(C){3,5} (D)8.设集合A={x∈Z|-10≤x≤-1},B={x∈Z|-5≤x≤5},则A∪B中元素的个数是( )(A)11 (B)10 (C)16 (D)159.已知全集U={1,2,3,4,5,6,7},M={3,4,5},N={1,3,6},则集合{2,7}等于( )(A)M∩N (B)(U M)∩(UN)(C)(U M)∪(UN) (D)M∪N10.设全集是实数集R,M={x|-2≤x≤2},N={x|x<1},则(RM)∩N等于( )(A){x|x<-2} (B){x|-2<x<1}(C){x|x<1} (D){x|-2≤x<1}11.(2012·新课标全国高考)已知集合A={1,2,3,4,5},B={(x,y)|x∈A,y∈A,x-y∈A},则B中所含元素的个数为( )(A)3 (B)6 (C)8 (D)1011.(2012·焦作高一检测)设○+是R上的一个运算,A是R的非空子集,若对任意a,b∈A,有a○+b∈A,则称A对运算○+封闭,下列数集对加法,减法,乘法和除法(除数不等于零)四则运算都封闭的是( )(A)自然数集 (B)整数集(C)有理数集 (D)无理数集12.(能力题)设[x]表示不大于x的最大整数,例如:[-2.1]=-3,[3.4]=3.集合A={x|x2-2[x]=3},集合B={x|0<x+2<5},则A∩B等于( )},} (D){1,-1,}二、填空题(本大题共4小题,每小题5分,共20分,请把正确的答案填在题中的横线上)13.已知集合A={2,3},则集合A的子集的个数为____________.14.若集合S={y|y=2x,x∈R},T={y|y=x2+1,x∈R},则S∩T=___________.15.(2012·浏阳高一检测)若集合A={x|x≤2},B={x|x≥a}满足A∩B={2},则实数a=____________.16.(2011·上海高考)若全集U=R,集合A={x|x≥1}∪{x|x≤0},则UA=_______.三、解答题(本大题共6小题,共70分,解答时应写出必要的文字说明、证明过程或演算步骤)17.(10分)若-3∈{a-3,2a-1,a2+1},求实数a的值.18.(12分)设全集为R,A={x|x<-4或x>1},B={x|-2<x<3},求:(1)A∩B;(2)(R A)∩B;(3)A∪(RB).19.(12分)集合A={x|x2-ax+a2-19=0},B={x|x2-5x+6=0},C={x|x2+2x-8=0},满足A∩B≠∅,A∩C=∅,求实数a的值.20.(12分)(易错题)设全集U={2,4,-(a-3)2},集合A={2,a2-a+2},若UA={-1},求实数a的值.21.(12分)已知集合A={x|3≤x<7},B={x|2<x<10},C={x|x<a},全集为实数集R.(1)求A∪B,(RA)∩B;(2)如果A∩C≠∅,求a的取值范围.22.(12分)(能力题)集合P={x|a+1≤x≤2a+1},Q={x|-2≤x≤5}.(1)若a=3,求集合(RP)∩Q;(2)若P⊆Q,求实数a的取值范围.答案解析1.【解析】选C.∵M={1,2,3},N={2,3,4},∴M N,且N M,但M∩N={2,3},故选C.2.【解析】选B.方程x2-2x+1=0有两等根1,所以集合用列举法表示为{1}.3.【解析】选D.A项与C项中的集合为{0},B项中的集合为{(0,0)},D项中方程x2-x+1=0无实数解,故D项中的集合是空集.4.【解析】选B.N={0,1},所以N M,选项中只有B项符合题意.5.【解析】选A.由x(x-1)=0可得,x=0或x=1,所以N={0,1},所以M∪N={-1,0,1,2}.6.【解析】选C.如图在数轴上画出集合A和B,可得A∩B={x|1<x<2}.7.【解析】选A.图中阴影部分表示的集合是U(A∩B),又A∩B={3,5},∴U(A∩B)={1,2,4}.8.【解题指南】先求出A∪B,注意x的属性.【解析】选C.A∪B={x∈Z|-10≤x≤5},故A∪B为从-10到5的整数,共16个元素.9.【解析】选B.U M={1,2,6,7},UN={2,4,5,7},所以(UM)∩(UN)={2,7}.10.【解析】选A.RM={x|x>2或x<-2},所以(RM)∩N={x|x<-2}.11.【解析】选D.由x∈A,y∈A得x-y=0或x-y=±1或x-y=±2或x-y=±3或x-y=±4,故集合B中所含元素的个数为10个.11.【解析】选C.A中1-2=-1不是自然数,即自然数集不满足条件;B中1÷2=0.5不是整数,即整数集不满足条件;C中有理数集满足条件;D22不是无理数,即无理数集不满足条件,故选C.12.【解题指南】先确定集合B,由B中元素再确定[x]的所有可能取值,然后再逐一代入验证.【解析】选B.解不等式0<x+2<5得-2<x<3,所以B={x|-2<x<3}.若x∈A∩B,则2x2x3, 2x3,⎧-=⎨-⎩[]<<所以[x]只可能取值-2,-1,0,1,2.若[x]=-2,则x2=3+2[x]<0,没有实数解;若[x]=-1,则x2=1,解得x=-1;若[x]=0,则x2=3,没有符合条件的解;若[x]=1,则x2=5,没有符合条件的解;若[x]=2,则x2=7,有一个符合条件的解7.因此,A∩7}.13.【解析】A的子集有∅,{2},{3},{2,3},共4个. 答案:414.【解析】S=R,T={y|y≥1},所以S∩T={y|y≥1}.答案:{y|y≥1}15.【解析】由A∩B={2},可知集合A与B只有一个公共元素为2,只有在a=2时满足题意,所以a=2. 答案:216.【解题指南】借助数轴先表示出集合A,再求UA.【解析】如图,∵A={x|x≥1}∪{x|x≤0},∴UA={x|0<x<1}.答案:{x|0<x<1}17.【解析】∵-3∈{a-3,2a-1,a2+1} ,∴a-3=-3或2a-1=-3,∴a=0或a=-1.当a=0时,a-3=-3,2a-1=-1,a2+1=1,适合条件;当a=-1时,a-3=-4,2a-1=-3,a2+1=2,适合条件.从而,a=0或a=-1.18.【解析】(1)A∩B={x|1<x<3}.(2)∵RA={x|-4≤x≤1},∴(RA)∩B={x|-2<x≤1}.(3)∵RB={x|x≤-2或x≥3},∴A∪(RB)={x|x≤-2或x>1}.19.【解析】B={2,3},C={-4,2},而A∩B≠∅,则2,3至少有一个元素在A中.又A∩C=∅,∴2∉A,3∈A,即9-3a+a2-19=0,得a=5或-2,而a=5时,A=B,与A∩C=∅矛盾,∴a=-2.20.【解析】由U A={-1},可得1U,1A,-∈⎧⎨-∉⎩所以()22a31,a a21,⎧--=-⎪⎨-+≠-⎪⎩解得a=4或a=2.当a=2时,A={2,4},满足A⊆U,符合题意.当a=4时,A={2,14},不满足A⊆U,故舍去.综上a的值为2.21.【解析】(1)∵A={x|3≤x<7},B={x|2<x<10},∴A∪B={x|2<x<10}.∵A={x|3≤x<7},∴RA={x|x<3或x≥7},∴(RA)∩B={x|x<3或x≥7}∩{x|2<x<10}={x|2<x<3或7≤x<10}.(2)如图,∩C≠∅. ∴当a>3时,A22.【解析】(1)∵a=3,P={x|4≤x≤7},RP={x|x<4或x>7},Q={x|-2≤x≤5},∴(RP)∩Q={x|-2≤x<4}.(2)∵P⊆Q,∴对P分情况进行讨论.①当P≠∅时,a12,2a15,0a2; 2a1a1,+≥-⎧⎪+≤∴≤≤⎨⎪+≥+⎩②当P=∅时,2a+1<a+1,∴a<0.综上实数a的取值范围为(-∞,2].【方法技巧】分类讨论思想的本质解答本题时用到了分类讨论思想,分类讨论思想是将整体问题化为部分问题来解决,在每部分问题中相当于在原来题干的基础上又附加了一个条件.运用分类讨论思想来解题时,必须要统一分类标准,保证分类时不重、不漏,并力求最简.。