二元一次方程组易错题整理
- 格式:docx
- 大小:21.42 KB
- 文档页数:4
解二元一次方程组常见错解示例一、概念不清例1.下面不是二元一次方程组的是( ) .(A)1,2;xy=-⎧⎨=⎩(B) x+ 2y= 4y-3x= 8;(C)6,113;4x yx y+=⎧⎪⎨+=⎪⎩(D)3416,5633.x yx y+=⎧⎨-=⎩错解:选B .错解分析:错选B 原因是对二元一次方程组的概念理解不透彻. 事实上,二元一次方程组有两个特点:1.方程组中的每一个方程都是一次方程;2.方程组中含有两个且只含有两个未知数. C 中虽然含有两个未知数,但1134x y+=不是一次方程,所以C 就不是二元一次方程组. 要特别注意B这种形式的等式. 实际上它可以写成x + 2y = 8 和4y - 3x = 8 这两个方程,它们可以组成一个二元一次方程组. A、B、D都是二元一次方程组.正确答案:选 C.二、张冠李戴例2.若一个二元一次方程的一组解是1,2,xy=⎧⎨=⎩则这个方程可以是( 只要求写出一个) .错解:3, 3 1. x yx y+=⎧⎨-=⎩错解分析:题目要求写出一组解是12xy=⎧⎨=⎩的二元一次方程,而不是二元一次方程组,错误的原因是把二元一次方程的“冠”戴在了二元一次方程组的头上.正解:x+ y= 3(符合题意即可,答案不唯一) .三、循环代入 例3.解方程组398510-=⎧⎨-=⎩x y x y ①,②.错解:由①,得 y = 3x - 9 ③ 将③代入①,得3x - ( 3x - 9) = 9, 即9= 9.因此,原方程组的解是一切实数.错解分析:本题错在对代入法的主要步骤掌握不牢,理解不够深刻. 错解中出现了“9= 9”这个恒等式的原因是方程③是由方程①变形得到的,接着又代入方程①,犯下了循环代入的错误.正解:由①, 得 y = 3x - 9 ③ 将③代入②, 得8x - 5( 3x - 9) = 10. 解之,得x = 5.将x = 5 代入③,得y = 6. 所以原方程组的解是5,6.x y =⎧⎨=⎩四、换元后未还原 例4.解方程组3()4()1,1.26x y x y x y x y +--=⎧⎪+-⎨+=⎪⎩错解:设x + y = a ,x - y = b , 则原方程组可化为341,1.26a b a b -=⎧⎪⎨+=⎪⎩解之,得5,31.a b ⎧=⎪⎨⎪=⎩所以原方程组的解是5,31.x y ⎧=⎪⎨⎪=⎩错解分析:整体换元的解题策略是正确的,但没有把元换回来, 因而致错. 正解:设x+ y= a,x- y= b,则原方程组可化为341,1. 26a ba b-=⎧⎪⎨+=⎪⎩解之,得5,31. ab⎧=⎪⎨⎪=⎩所以5,31. x yx y⎧+=⎪⎨⎪-=⎩解之,得4,31.3 xy⎧=⎪⎪⎨⎪=⎪⎩这就是原方程组的解.二元一次方程(组)错解示例一、例1.有下列各式:①2x+y-1;②ab-2b=7;③x-5=6;④1x-2y =1;⑤x=y;⑥2x-3y=5-x;⑦2x2+2x-6=2x2-(x+y).其中是二元一次方程的有。
中考二元一次方程组易错题50题含答案解析一、单选题1.方程2x +y =5与下列方程构成的方程组的解为31x y =⎧⎨=-⎩的是( )A .x ﹣y =4B .x +y =4C .3x ﹣y =8D .x +2y =﹣12.下列方程是二元一次方程的是( ) A .24x x -=B .26x y -=C .23x y+= D .5xy =3.方程组25328x y x y -=⎧⎨-=⎩消去y 后得到的方程是 ( )A .5313x y -=B .()32258x x --=C .()35282y y +-= D .83252xx --= 4.已知:21x y =⎧⎨=⎩是方程5kx y -=的解,则k 的值是( )A .2B .2-C .3-D .35.已知x ,y 满足2245240x xy y y -++-=,则下面关于x ,y 描述正确地是( ) A .满足条件的整数x ,y 有2对 B .满足条件的整数x ,y 有4对 C .满足条件的整数x ,y 有8对D .满足条件的整数x ,y 有无数对6.下面各组x 、y 的值满足二元一次方程35x y +=的是( ) A .2x =-,1y = B .0x =,5y = C .2x =,1y =D .5x =,0y =7.《孙子算经》是中国传统数学的重要著作,其中有一道题,原文是:“今有木,不知长短,引绳度之,余绳四尺五寸;屈绳量之,不足一尺.木长几何?”意思是:用一根绳子去量一根木头的长,绳子还剩余4.5尺;将绳子对折再量木头,则木头还剩余1尺,问木头长多少尺?可设木头长为x 尺,绳子长为y 尺,则所列方程组正确的是( )A . 4.521y x x y -=⎧⎨-=⎩B . 4.521x y x y -=⎧⎨-=⎩C . 4.512x y y x -=⎧⎪⎨-=⎪⎩D . 4.512y x yx -=⎧⎪⎨-=⎪⎩8.已知关于x、y的二元一次方程ax+b=y,下表列出了当x分别取值时对应的y 值.则关于x的不等式ax+b<0的解集为()A.x<1B.x>1C.x<0D.x>09.现用100张铁皮做盒子,每张铁皮可做8个盒身或9个盒底,且一个盒身与两个盒底配成一个盒子.设用x张铁皮做盒身,y张铁皮做盒底,则可得方程组()A.100289x yx y+=⎧⎨⨯=⎩B.100829x yx y+=⎧⎨=⨯⎩C.891002x yx y+=⎧⎨=⎩D.891002x yx y+=⎧⎨=⎩10.下列选项不是..方程25x y-=的解的是()A.43xy=⎧⎨=⎩B.21xy=⎧⎨=-⎩C.31xy=⎧⎨=-⎩D.31xy=⎧⎨=⎩11.与方程组+23020x yx y-=⎧⎨+=⎩有完全相同的解的是().A.x+2y-3=0B.2x+y=0C.(x+2y-3)(2x+y)=0D.|x+2y-3|+(2x+y)2=012.230a b ca b c-+=⎧⎨-+=⎩,则=a cb-()A.1B.2C.3D.4 13.下列各组数值是二元一次方程2x﹣y=5的解是()A.21xy=-⎧⎨=⎩B.5xy=⎧⎨=⎩C.15xy=⎧⎨=⎩D.31xy=⎧⎨=⎩14.如图,正方形ABCD由四个相同的大长方形,四个相同的小长方形以及一个小正方形组成,其中四个大长方形的长和宽分别是小长方形长和宽的2倍,若中间小正方形的面积为1,则大正方形ABCD的面积是()A.16B.20C.25D.2615.关于x,y的方程组38x ayx y b-=⎧⎨+=⎩的解是21xy=⎧⎨=⎩,则a﹣b的值是()A.1B.﹣5C.5D.﹣116.我国明代数学读本《算法统宗》一书有这样一道题:一支竿子一条索,索比竿子长一托,对折索子来量竿,却比竿子短一托如果1托为5尺,那么索长和竿子长分别为多少尺?设索长为x尺,竿子长为y尺,可列方程组为()A.525x yx y-=⎧⎨-=⎩B.552x yxy-=⎧⎪⎨-=⎪⎩C.552x yyx-=⎧⎪⎨-=⎪⎩D.552y xyx-=⎧⎪⎨-=⎪⎩17.三元一次方程组354x yy zz x+=⎧⎪+=⎨⎪+=⎩的解为()A.23xyz=⎧⎪=⎨⎪=⎩B.123xyz=⎧⎪=⎨⎪=⎩C.13xyz=⎧⎪=⎨⎪=⎩D.311xyz=⎧⎪=⎨⎪=⎩18.二元一次方程2x+y=5的正整数解有()A.1个B.2个C.3个D.4个19.从4-,3-,1,3,4这五个数中,随机抽取一个数,记为m,若m使得关于x,y的二元一次方程组2223x ymx y+=⎧⎨-=-⎩有解,且使关于x的分式方程12111mx x--=--有正数解,那么这五个数中所有满足条件的m的值之和是()A.1B.2C.1-D.2-二、填空题20.已知12xy=⎧⎨=⎩是方程ax-y=3的解,则a的值为________.21.由方程y ﹣3x =4可得到用x 表示y 的式子是y =______.22.若方程组234,3223x y x y m +=⎧⎨+=-⎩的解满足1x y -=,则m =_______.23.某同学解方程组223x y x y +=⎧⎨-=⎩●的解为1x y =⎧⎨=⎩★,由于不小心,滴上了两滴墨水,刚好遮住了两个数●和★,请你帮他找回这个数,=●______.24.若关于x ,y 的二元一次方程组2123x y k x y k +=-⎧⎨+=⎩的解也是二元一次方程5x y +=的解,则k 的值为____________.25.如果22m x -+y=0是二元一次方程,则m =________.26.给出下列程序:已知当输入的x 值为1时,输出值为1;当输入的x 值为﹣1时,输出值为5,则当输入的x 值为12时,输出值为_______.27.已知x ay b =⎧⎨=⎩是方程组352158213537x y x y +=⎧⎨+=⎩的解,则a ﹣b =_____.28.已知点()36,415A x y -+,点()5,B y x 关于x 轴对称,则x y +的值是____. 29.已知2728x y x y +=⎧⎨+=⎩,则x y x y +=-___. 30.若方程组5{25x y x y =+-=的解满足方程0x y a ++=,则a 的值为_____.31.已知21x y =⎧⎨=⎩是二元一次方程组54ax by bx ay +=⎧⎨+=⎩的解,则a ba b +=-______. 32.x y 2y z 4z x 6+=⎧⎪+=⎨⎪+=⎩的解为______ .33.方程组28x y kx y k+=⎧⎨-=⎩的解满足x +2y >14,则k 的取值范围为___________34.如图,已知ABC 中,2AD CD =,AE BE =,BD 、CE 相交于点O .若ABC 的面积为30,则四边形ADOE 的面积为______.35.已知21x y =⎧⎨=⎩是二元一次方程组45ax by bx ay +=⎧⎨+=⎩的解,则=a ______,b =__________.36.若537y x a b +与3x y a b --是同类项,则x y +=__________.37.若x ay b =⎧⎨=⎩是方程22x y +=的解,则42a b +=________ .38.买2只签字笔,3只圆珠笔,1个笔记本,共需32元;买3只签字笔,5只圆珠笔,1个笔记本,共需45元.那么签字笔、圆珠笔、笔记本各买一件共需_____元.39.若关于x ,y 的方程组2x y m x my n -=⎧⎨+=⎩的解是13x y =⎧⎨=⎩,则|m +n |的值是________.三、解答题 40.解方程组 (1)134342x yx y ⎧-=⎪⎨⎪-=⎩ (2)3(1)55(1)3(5)x y y x -=+⎧⎨-=+⎩41.如图,已知AB CD ∥,E ,F 分别是射线CD ,AB 上的点,AE 平分BAC ∠,EF 平分AED ∠.(1)试说明23∠∠=;(2)若230AFE ∠-∠=︒,求AFE ∠的度数.42.某天小明和小华同时求解关于x ,y 的二元一次方程组161? ax by bx ay +=⎧⎨+=⎩①②,小明把方程★抄错,求得的解为13xy=-⎧⎨=⎩,小华把方程★抄错,求得的解为32xy=⎧⎨=⎩,求a,b的值.43.长沙县为加快新农村建设,建设美丽乡村,对A,B两类村庄进行了全面改建.根据预算,改建一个A类美丽宜居村庄和一个B类美丽宜居村庄共需资金600万元;改建2个A类美丽宜居村庄和5个B类美丽宜居村庄共需资金1950万元.(1)改建一个A类美丽宜居村庄和一个B类美丽宜居村庄所需资金分别是多少万元?(2)黄兴镇拟改建A类、B类美丽宜居村庄共10个,投入资金不超过2960万元,最多改建A类美丽宜居村庄多少个?44.已知关于x、y的二元一次方程组的解x、y是一对相反数,试求m 的值.45.一家服装店老板到厂家选购A,B两种型号的服装,若购进A种型号服装9件,B 种型号服装10件,需要1810元;若购进A种型号服装12件,B种型号服装8件,需要1880元(1)A,B两种型号的服装每件分别为多少元?.(2)已知A种型号服装每件的售价为108元,B种型号服装每件的售价为130元.根据市场需求,服装店老板决定,购进A种型号服装的数量要比购进B种型号服装的数量的2倍还多4件,且A种型号服装最多可购进28件,这样服装全部售出后,可使总的获利不少于699元.则有哪几种进货方案?46.南山植物园中现有A,B两个园区.已知A园区为长方形,长为(x+y)米,宽为(x -y)米;B园区为正方形,边长为(x+3y)米.(1)请用代数式表示A,B两园区的面积之和并化简.(2)现根据实际需要对A园区进行整改,长增加(11x-y)米,宽减少(x-2y)米,整改后A 园区的长比宽多350米,且整改后两园区的周长之和为980米.★求x,y的值;★若A园区全部种植C种花,B园区全部种植D种花,且C,D两种花投入的费用与吸引游客的收益如下表:求整改后A,B两园区旅游的净收益之和.(净收益=收益-投入)47.某手机店卖出甲型号手机10台和乙型号手机12台后的销售额为3.18万元;卖出甲型号手机6台和乙型号手机9台后的销售额为2.16万元.(1)请问甲型号手机和乙型号手机每台售价为多少元?(2)若甲型号手机每台进价为1000元,乙型号手机每台进价为800元,预计用不多于1.84万元且不少于1.76万元的资金购进这两种手机共20台,请问有几种进货方案?若所有购进的手机都可以售出,请求出所有方案中的最大利润.参考答案:1.A【分析】将31x y =⎧⎨=-⎩分别代入四个方程进行检验即可得到结果.【详解】解:A 、将31x y =⎧⎨=-⎩代入x ﹣y =4,得左边=3+1=4,右边=4,左边=右边,所以本选项正确;B 、将31x y =⎧⎨=-⎩代入x +y =4 ,得左边=3−1=2,右边=4,左边≠右边,所以本选项错误;C 、将31x y =⎧⎨=-⎩代入3x ﹣y =8,得左边=3×3+1=10,右边=8,左边≠右边,所以本选项错误;D 、将31x y =⎧⎨=-⎩代入x +2y =﹣1 ,得左边=3−2=1,右边=-1,左边≠右边,所以本选项错误;故选A .【点睛】本题考查了二元一次方程组的定义:一般地,二元一次方程组的两个方程的公共解,叫做二元一次方程组的解. 2.B【分析】根据二元一次方程的定义即可判断. 【详解】24x x -=是一元一次方程,故A 错误.26x y -= 含有两个未知数,且未知数的次数为1,是二元一次方程,故B 正确.23x y+= 是分式方程,故C 错误. 5xy = 是二元二次方程,故D 错误.故选B【点睛】本题考查的是二元一次方程的概念,关键是熟记二元一次方程要含有两个未知数,且未知数的次数为1. 3.B【分析】利用代入消元法即可求出消去y 后得到的方程 .【详解】解:25328x y x y -=⎧⎨-=⎩①②,由★得:25y x =-★,将★代入★得:32(25)8x x --=, 故选:B .【点睛】本题考查了解二元一次方程组,利用消元法是解题的关键. 4.D【分析】把方程的解代入方程转化为k 的一元一次方程求解即可.【详解】★21x y =⎧⎨=⎩是方程5kx y -=的解,★2k -1=5, 解得k =3, 故选D .【点睛】本题考查了二元一次方程的解,灵活运用方程解的定义转化为一元一次方程求解是解题的关键. 5.C【分析】将已知等式利用因式分解变形为()()22215x y y +-+=,令A =x -2y ,B =y +1,可得不同的方程组,解之可得满足条件的x 和y 的取值. 【详解】解:★2245240x xy y y -++-=, ★222442150x xy y y y -+++-=+, ★()()22215x y y +-+=, 令A =x -2y ,B =y +1, ★x ,y 均为整数,★2205A B ⎧=⎨=⎩(舍去),2214A B ⎧=⎨=⎩,2223A B ⎧=⎨=⎩(舍去),2232A B ⎧=⎨=⎩(舍去),2241A B ⎧=⎨=⎩,2250A B ⎧=⎨=⎩(舍去),★2112x y y -=±⎧⎨+=±⎩或2211x y y -=±⎧⎨+=±⎩,解得:31x y =⎧⎨=⎩或53x y =-⎧⎨=-⎩或11x y =⎧⎨=⎩或43x y =⎧⎨=-⎩或20x y =⎧⎨=⎩或22x y =-⎧⎨=-⎩或20x y =-⎧⎨=⎩或62x y =-⎧⎨=-⎩共8对,故选C .【点睛】本题考查了因式分解的应用,二元一次方程组,解题的关键是将已知等式合理变形. 6.B【分析】把选项中的x 、y 的值代入方程进行验证即可.【详解】解:A 、当x =-2,y =1时,3x +y =3×(-2)+1=-5≠5,所以2x =-,1y =不是方程的解;B 、当x =0,y =5时,3x +y =3×0+5=5,所以0x =,5y =是方程的解;C 、当2x =,1y =时,3x +y =3×2+1=7≠5,所以2x =,1y =不是方程的解;D 、当5x =,0y =时,3x +y =3×5+0=15≠5,所以5x =,0y =不是方程的解; 故选:B .【点睛】本题主要考查方程解的概念,掌握方程的解满足方程是解题的关键. 7.D【分析】设木头长为x 尺,绳子长为y 尺,根据“用一根绳子去量一根木头的长,绳子还剩余4.5尺;将绳子对折再量木头,则木头还剩余1尺”,即可得出关于x ,y 的二元一次方程组,此题得解.【详解】解:设木头长为x 尺,绳子长为y 尺, 由题意可得 4.512y x yx -=⎧⎪⎨-=⎪⎩. 故选:D .【点睛】本题考查由实际问题抽象出二元一次方程组,解答本题的关键是明确题意,列出相应的方程组. 8.B【分析】根据表格选取两对值代入二元一次方程组成方程组,解方程组得不等式,解不等式即可.【详解】解:由题意得出232a b a b -+=⎧⎨-+=⎩,解得11a b =-⎧⎨=⎩,则不等式为﹣x +1<0,解得x>1,故选:B.【点睛】本题考查表格信息,会利用表格信息确定方程组,会解方程组,会解一元一次不等式是解题关键.9.A【分析】设用x张铁皮做盒身,y张铁皮做盒底,根据共有100张铁皮,一个盒身与两个盒底配成一个盒子,列方程组即可.【详解】解:用x张铁皮做盒身,y张铁皮做盒底,由题意得,100 289x yx y+=⎧⎨⨯=⎩.故选:A.【点睛】本题考查了由实际问题抽象出二元一次方程组,解答本题的关键是读懂题意,设出未知数,找出合适的等量关系,列方程组.10.C【分析】根据二元一次方程的解得定义把x,y代入方程检验即可.【详解】A. x=4、y=3时,左边=8-3=5,此选项不符合题意;B. x=2、y=-1时,左边=4+1=5,不符合题意;C. x=3、y=-1时,左边=6+1=7≠5,符合题意;D. x=3、y=1时,左边=6−1=5,不符合题意;故选C.【点睛】此题考查二元一次方程的解,解题关键在于把x,y代入方程检验.11.D【分析】根据二元一次方程的解的概念可对A、B、C选项进行判断,根据非负数的性质,可得关于x、y的方程组,由此可判断D选项.【详解】解:根据二元一次方程解的定义可知A,B,C选项的解有无数组,故A,B,C选项都错误,D选项根据非负数的性质可得方程组+23020x yx y-=⎧⎨+=⎩,与所给方程组完全相同,故它们的解也相同.【点睛】本题考查了二元一次方程(组)的解的概念,几个非负数的和为0,则每个数都为0.掌握二元一次方程及方程组解的概念是解题的关键.12.C【分析】先用★-★得到2a b =,再将2a b =代入★得到c b =-,最后代入a c b-求值即可. 【详解】解:0230a b c a b c -+=⎧⎨-+=⎩①②, ★-★得,20a b -=,解得,2a b =,把2a b =代入★得,c b =-, 则2()3a c b b b b---==, 故选:C .【点睛】本题考查了加减消元法,求出a 、b 、c 之间的关系是解题的关键.13.D【分析】将选项中的解分别代入方程2x ﹣y =5,使方程成立的即为所求.【详解】解:A. 把21x y =-⎧⎨=⎩代入方程2x ﹣y =5,-4-1=-5≠5,不满足题意; B. 把05x y =⎧⎨=⎩代入方程2x ﹣y =5,0-5=-5≠5,不满足题意; C. 把15x y =⎧⎨=⎩代入方程2x ﹣y =5,2-5=-3≠5,不满足题意; D. 把31x y =⎧⎨=⎩代入方程2x ﹣y =5,6-1=5,满足题意; 故选:D .【点睛】本题考查了二元一次方程的解,方程的解即为能使方程左右两边相等的未知数的值.能正确掌握方程的解得概念是解答此题的关键.14.A【分析】设小长方形的长为a ,宽为b ,则大长方形的长为2a ,宽为2b ,根据图形中大小长方形长与宽之间的关系,可得出关于a 、b 的二元一次方程组,解之即可得出a 、b 的值,在利用正方形面积公式可求出结论.【详解】解:设小长方形的长为a ,宽为b ,则大长方形的长为2a ,宽为2b ,依题意,得:122a b a b a b=+⎧⎨=++⎩, 解得:3212a b ⎧=⎪⎪⎨⎪=⎪⎩, 2231(22)(22)1622a b ∴+=⨯+⨯=, 故选:A .【点睛】本题考查了二元一次方程组的应用,找准等量关系,正确列出二元一次方程组是解题的关键.15.B【分析】把方程组的解代入原方程可求出a 和b 的值,即得答案.【详解】解:把21x y =⎧⎨=⎩代入原方程得6821a b -=⎧⎨+=⎩, 解得23a b =-⎧⎨=⎩, 5a b ∴-=-.故选:B .【点睛】本题考查了方程组的解的概念,数学概念是数学的基础与出发点,当遇到有关二元一次方程组的解的问题时,要回到定义中去,通常采用代入法,即将解代入原方程组,这种方法主要用在求方程中的字母系数.16.B【分析】设索长为x 尺,竿子长为y 尺,根据“索比竿子长一托,对折索子来量竿,却比竿子短一托”,即可得出关于x 、y 的二元一次方程组,解之即可得出结论.【详解】解:设索长为x 尺,竿子长为y 尺, 根据题意,可列方程组为552x y x y -=⎧⎪⎨-=⎪⎩, 故选:B .【点睛】本题考查了由实际问题抽象出二元一次方程组,找准等量关系,正确列出二元一次方程组是解题关键.17.B【详解】在方程组354x y y z z x ⎧+=⎪+=⎨⎪+=⎩①②③中,★+★+★得6x y z ++=④,由★-★得3z =,由★-★得1x =,由★-★得2y =,所以方程组的解为123x y z =⎧⎪=⎨⎪=⎩,所以选择B .18.B【详解】试题分析:方程的正整数解为:13x y 和21x y =⎧⎨=⎩. 考点:二元一次方程的正整数解.19.D【分析】分别解出二元一次方程组,分式方程,根据题意得到满足条件的m 的值,计算即可. 【详解】解:解方程组2223x y mx y +=⎧⎨-=-⎩, 解得:14264x m m y m ⎧=⎪⎪+⎨+⎪=⎪+⎩, 当方程组有解时,4m ≠-, 解分式方程12111m x x--=--,得4x m =-, ★关于x 的分式方程12111m x x --=--有正数解, ★40m ->,解得,4m <,当1x =,即3m =时,分式方程无解,★3m ≠,★3m =-或1,★满足条件的m 的值之和为:312-+=-.故选:D .【点睛】本题考查分式方程的解法、二 元一次方程组的解法, 正确解出分式方程、二元一次方程组是解题的关键.20.5【详解】解:将12x y =⎧⎨=⎩代入方程可得: a -2=3解得a =5,故答案为5.21.4+3x【分析】根据等式的性质,通过移项得43y x +=.【详解】解:34y x -=移项,得43y x +=.故答案为43x +.【点睛】本题考查了解二元一次方程,能灵活运用等式的性质进行变形是解决本题的关键. 22.4【分析】利用两式相减,直接得到x y -即可解答.【详解】解:2343223x y x y m +=⎧⎨+=-⎩①② -②①可得:27x y m -=-,1x y -=,271m ∴-=,解得:4m =.故答案为4.【点睛】本题考查的是解二元一次方程组,熟练掌握加减消元法和代入消元法是解题的关键.23.-1【分析】两个数●和★分别用a 、b 表示,把1x y =⎧⎨=⎩★代入即可得到一个关于a 、b 的式子,即可求解.【详解】解:两个数●和★分别用a 、b 表示.根据题意得:12123b a b +=⎧⎨-=⎩,两式相加得:2=3+a ,解得:a =-1.故答案是:-1.【点睛】本题考查了方程组的解的定义,能使方程组中每个方程的左右两边相等的未知数的值即是方程组的解.解题的关键是要知道两个方程组之间解的关系.24.4 【分析】把两个方程相加即可求出413-+=k x y ,再利用5x y +=,从而可得4153-=k ,然后进行计算即可解答. 【详解】解:2123x y k x y k +=-⎧⎨+=⎩①②, ★+★得:3341+=-x y k , ★413-+=k x y , ★5x y +=, ★4153-=k , ★4k =,故答案为:4【点睛】本题考查了二元一次方程组的解,二元一次方程的解,运用整体思想是解题的关键.25.3【分析】根据二元一次方程的定义即可求解.【详解】依题意可得m-2=1解得m=3故答案为:3.【点睛】此题主要考查二元一次方程的定义,解题的关键是熟知二元一次方程的特点. 26.2【分析】根据程序,输入的x 值为1时,输出值为1,当输入的x 值为﹣1时,输出值为5,可列出方程15k b k b +=⎧⎨-+=⎩,解出k 和b 的值,当12x =时,即可确定出所求. 【详解】★输入的x 值为1时,输出值为1;当输入的x 值为﹣1时,输出值为5★15k b k b +=⎧⎨-+=⎩ 解得2{3k b =-= ★当12x =时,()12322kx b +=⨯-+= ★输出值为:2故答案为:2.【点睛】本题考查二元一次方程的知识,解题的关键是掌握解二元一次的方法:代入法和加减消元法.27.32【分析】把x a y b =⎧⎨=⎩代入方程组,★-★可以直接求出a -b 的值. 【详解】解:把x a y b =⎧⎨=⎩代入方程组得352158213537a b a b +=⎧⎨+=⎩①②, ★-★得14a -14b =21,★14(a -b )=21,★a -b =32, 故答案为:32. 【点睛】本题考查了二元一次方程组的解,把a -b 看作整体,直接求出来是解题的关键. 28.-6【分析】让两点的横坐标相等,纵坐标相加得0,即可得关于x ,y 的二元一次方程组,解值即可.【详解】解:★点()36,415A x y -+,点()5,B y x 关于x 轴对称,★3654150x y y x -=⎧⎨++=⎩; 解得:33x y =-⎧⎨=-⎩, ★=-6+x y ,故答案为-6.【点睛】本题考查平面直角坐标系中关于坐标轴成轴对称的两点的坐标之间的关系:关于横轴的对称点,横坐标不变,纵坐标变成相反数.29.-5【分析】利用加减法分别求得x+y,x-y的值,然后整体代入求解.【详解】解:2728x yx y+=⎧⎨+=⎩①②,★+★,得:3x+3y=15,★x+y=5,★-★,得:x-y=-1,★51x yx y+=--=-5,故答案为:-5.【点睛】本题考查求分式的值,解二元一次方程组,掌握解二元一次方程组的步骤,利用整体思想解答是关键.30.5【分析】首先解方程组求得x、y的值,然后代入方程中即可求出a的值.【详解】解:解525x yx y=+⎧⎨-=⎩得5xy=⎧⎨=-⎩把5xy=⎧⎨=-⎩代入0x y a++=得:5a=故答案为5.31.3【分析】直接把21xy=⎧⎨=⎩代入方程组,得到关于a、b的方程组,然后求出3a b+=,1a b-=,即可得到答案.【详解】解:★21xy=⎧⎨=⎩是二元一次方程组54ax bybx ay+=⎧⎨+=⎩的解,★25 24a bb a+=⎧⎨+=⎩,由两式相加,得339a b +=,★3a b +=;由两式相减,得1a b -=; ★331a b a b +==-; 故答案为:3.【点睛】本题考查了解二元一次方程组,以及二元一次方程组的解,解题的关键是掌握解二元一次方程组的方法,正确的求出3a b +=,1a b -=.32.x 2y 0z 4=⎧⎪=⎨⎪=⎩【分析】先消元求出z ,再依次求解.【详解】246x y y z z x ⎧⎪⎨⎪⎩+=①+=②+=③,★-★得:z -x =2 ★,★+★得:2z =8,解得:z =4,把z =4代入★得:y =0,把y =0代入★得:x =2,则原方程组的解是:20.4x y z ⎧⎪⎨⎪⎩=== 【点睛】本题考查的是三元一次方程组,熟练掌握三元一次方程组是解题的关键. 33.k <﹣2##﹣2>k【分析】解方程组求得x 、y 的值,进而求得x +2y =﹣7k ,根据已知得出不等式﹣7k >14,求出即可.【详解】解:28x y k x y k +=⎧⎨-=⎩①②,★+★得:3x=9k,解得:x=3k,把x=3k代入★得:3k-y=8k,解得:y=﹣5k,★x+2y=﹣7k,★x+2y>14,★﹣7k>14.★k<﹣2,故答案为:k<﹣2.【点睛】本题考查了二元一次方程组的解和解一元一次不等式组的应用,关键是能得出关于k的不等式.34.12.5【分析】连接AO,依据同高三角形的面积等于对应底边的关系,所以根据AE=BE可得:S△ACE=S△BEC,S△AOE=S△BOE,根据AD=2CD可得:S△ABD=23S△ABC=20,S△AOD=2S△ODC,设S△COD=x,S△AOE=a,列方程组可得结论.【详解】解:连接AO,★★ABC的面积为30,AE=BE,★S△ACE=S△BEC=12S△ABC=12×30=15,S△AOE=S△BOE,★AD=2CD,★S△ABD=23S△ABC=23×30=20,S△AOD=2S△ODC,设S△COD=x,S△AOE=a,★S△BOE=a,S△AOD=2x,★3152220x aa x+=⎧⎨+=⎩,解得:7.52.5ax=⎧⎨=⎩,★四边形ADOE 的面积=S △AOE +S △AOD =a +2x =7.5+5=12.5.故答案为:12.5.【点睛】本题主要考查了三角形面积和三角形中线的性质的运用,解决问题的关键是设S △COD =x ,S △AOE =a ,结合方程组解决问题.35. 1 2【分析】将21x y =⎧⎨=⎩代入方程组45ax by bx ay +=⎧⎨+=⎩可得关于a 、b 的方程组,继而再利用加减消元法进行求解即可.【详解】解:将21x y =⎧⎨=⎩代入方程组45ax by bx ay +=⎧⎨+=⎩得 2425a b b a +=⎧⎨+=⎩①②, ★×2-★得:3a =3,解得:a =1,把a =1代入★得2+b =4,解得:b =2,故答案为:1;2.【点睛】本题考查了二元一次方程组的解,解二元一次方程组,熟练掌握加减消元法是解本题的关键.36.-1【分析】根据同类项定义得到533y x x y +=⎧⎨=-⎩,求解即可得到答案. 【详解】解:★537y x a b +与3x y a b --是同类项,★533y x x y +=⎧⎨=-⎩,解得23x y =⎧⎨=-⎩, ★x +y =2-3=-1,故答案为:-1.【点睛】此题考查了利用同类项求参数,解二元一次方程组,正确理解同类项定义得到二元一次方程组是解题的关键.37.4【分析】先代入求出22a b +=,再变形,最后整体代入求出即可.【详解】★x a y b =⎧⎨=⎩是方程22x y +=的解, ★22a b +=,★()4222224a b a b +=+=⨯=.【点睛】本题考查了二元一次方程的解和求代数式的值的应用,用了整体代入思想. 38.19【分析】设买1只签字笔需要x 元,买1只圆珠笔需要y 元,买1个笔记本需要z 元,由“买2只签字笔,3只圆珠笔,1个笔记本,共需32元;买3只签字笔,5只圆珠笔,1个笔记本,共需45元”,可得出关于x ,y ,z 的三元一次方程组,由2×★-★,可得出x+y+z 的值,此题得解.【详解】设买1只签字笔需要x 元,买1只圆珠笔需要y 元,买1个笔记本需要z 元, 根据题意得:23323545x y z x y z ++⎧⎨++⎩=①=②, 2×★-★,得:x+y+z=19.故答案为19.【点睛】本题考查了三元一次方程组,找准等量关系,正确列出三元一次方程组是解题的关键.39.3【详解】将x=1,y=3代入方程组得:23{13m m n-=+=, 解得: 1{2m n =-=-, 则|m+n|=|−1−2|=|−3|=3.故答案为340.(1)64x y =⎧⎨=⎩ ;(2)57x y =⎧⎨=⎩. 【分析】(1)方程组整理后利用加减消元法求出解即可;(2)方程组整理后利用加减消元法求出解即可.【详解】解:(1)原方程组整理得:4312342x y x y -=⎧⎨-=⎩①②★×3-★×4得: 7y=28,解得:y=4,把y=4代入★得:x=6,则原方程组的解是64x y =⎧⎨=⎩; (2)原方程组整理得:383520x y x y -⎧⎨--⎩=①=② , ★-★得:4y=28,解得:y=7,把y=7代入★得:3x-7=8,解得:x=5,则原方程组的解是57x y =⎧⎨=⎩ . 故答案为(1)64x y =⎧⎨=⎩ ;(2)57x y =⎧⎨=⎩. 【点睛】本题考查解二元一次方程组,利用了消元的思想,消元的方法有:代入消元法与加减消元法.41.(1)见详解;(2)70AFE ∠=︒【分析】(1)由平行线的性质(两直线平行,内错角相等)和角平分线的性质(平分所在的角)求证即可;(2)根据平行线的性质和角平分线的性质,由已知230AFE ∠-∠=︒和平角的定义,设★1=x ,AFE ∠=y 建立二元一次方程组求解即可;(1)解:★AB CD ∥★13∠=∠.又★AE 平分BAC ∠,★12∠=∠,★23∠∠=.(2)解:★AB CD ∥,★AFE DEF ∠=∠.又★EF 平分AED ∠,★AEF DEF ∠=∠,★AFE AEF DEF ∠=∠=∠.设123x ∠=∠=∠=︒,AFE AEF DEF y ∠=∠=∠=︒,则302180y x x y -=⎧⎨+=⎩,解得4070x y =⎧⎨=⎩, ★70AFE ∠=︒.【点睛】本题考查平行线的性质,角平分线的性质,利用二元一次方程组求角度,熟记其性质是解题关键.42.25a b ⎧⎨⎩==. 【分析】根据小明的算法方程★的x 、y 值,根据小颖的算法,可得方程★的x 、y 值,把方程x 、y 的值代入,可得关于a 、b 方程组,解方程组,可得a 、b 的值【详解】由161?ax by bx ay +=⎧⎨+=⎩①②小明把方程★抄错,求得的解为13x y =-⎧⎨=⎩,得-b+3a=1★, 小颖把方程★抄错,求得的解为32x y =⎧⎨=⎩,得3a+2b=16★, 联立★★,313216b a a b -+⎧⎨+⎩==,解得25a b ⎧⎨⎩==. 【点睛】此题考查了二元一次方程组的解,二元一次方程组的解必须同时满足方程组中的两个方程.43.(1)改建一个A 类美丽村庄需要资金350万元,改建一个B 类美丽村庄需要资金250万元.(2)最多改建A 类美丽宜居村庄4个【分析】(1)设改建一个A类美丽宜居村庄需要资金x万元,改建一个B类美丽宜居村庄需要资金y万元,根据“改建一个A类美丽宜居村庄和一个B类美丽宜居村庄共需资金600万元;改建2个A类美丽宜居村庄和5个B类美丽宜居村庄共需资金1950万元”,即可得出关于x,y的二元一次方程组,解之即可得出结论;(2)设改建A类美丽宜居村庄a个,则改建B类美丽宜居村庄(10-a)个,利用总价=单价×数量,结合总价不超过2960元,即可得出关于a的一元一次不等式,解之即可得出a 的取值范围,再取其中的最大整数值即可得出结论.【详解】(1)设改建一个A类美丽宜居村庄需要资金x万元,改建一个B类美丽宜居村庄需要资金y万元,依题意得:600 251950x yx y+=⎧⎨+=⎩解得:350250xy=⎧⎨=⎩.答:改建一个A类美丽村庄需要资金350万元,改建一个B类美丽村庄需要资金250万元.(2)设改建A类美丽宜居村庄a个,则改建B类美丽宜居村庄(10-a)个,依题意得:350a+250(10-a)≤2960解得a≤4.6,a是正整数,∴a的最大值是4.答:最多改建A类美丽宜居村庄4个.【点睛】本题考查了二元一次方程组的应用以及一元一次不等式的应用,解题的关键是:(1)找准等量关系,正确列出二元一次方程组;(2)根据各数量之间的关系,正确列出一元一次不等式.44.7 5【详解】试题分析:把x=﹣y代入方程组可得到关于y、m的方程组,解此方程组可求得m的值.试题解析:解:由题意可知x=﹣y,代入方程组可得34{223y y my y m--=-+=+,整理可得7{23m yy m=-=+,把y=2m+3代入m=﹣7y可得m=﹣14m﹣21,解得m=﹣75,即m的值为﹣75.考点:二元一次方程组的解45.(1)A种型号服装每件90元,B种型号服装每件100元.(2)有三种进货方案:B型服装购进10件,A型服装购进24件;B型服装购进11件,A型服装购进26件;B型服装购进12件,A型服装购进28件.【分析】(1)根据题意可知,本题中的相等关系是“A种型号服装9件,B种型号服装10件,需要1810元”和“A种型号服装12件,B种型号服装8件,需要1880元”,列方程组求解即可.(2)利用两个不等关系列不等式组,结合实际意义求解.【详解】(1)解:设A种型号服装每件x元,B种型号服装每件y元.依题意可得9101810 1281880 x yx y+=⎧⎨+=⎩解得90100 xy=⎧⎨=⎩答:A种型号服装每件90元,B种型号服装每件100元.(2)解:设B型服装购进m件,则A型服装购进(24)m+件.根据题意得()()() 1089024130100699 2428m mm⎧-++-≥⎨+≤⎩,解不等式得19122m≤≤,因为m是正整数,所以10m=,11,12,2424m+=,26,28,答:有三种进货方案:B型服装购进10件,A型服装购进24件;B型服装购进11件,A 型服装购进26件;B型服装购进12件,A型服装购进28件.【点睛】利用二元一次方程组求解的应用题一般情况下题中要给出2个等量关系,准确地找到等量关系并用方程组表示出来是解题的关键.像这种利用不等式组解决方案设计问题时,往往是在解不等式组的解后,再利用实际问题中的正整数解,且这些正整数解的个数就是可行的方案个数.46.(1)2x 2+6xy +8y 2;(2)★3010x y =⎧⎨=⎩★57600元; 【分析】(1)根据长方形的面积公式和正方形的面积公式分别计算A 、B 两园区的面积,再相加即可求解;(2)★根据等量关系:整改后A 区的长比宽多350米;整改后两园区的周长之和为980米;列出方程组求出x ,y 的值;★代入数值得到整改后A 、B 两园区的面积之和,再根据净收益=收益﹣投入,列式计算即可求解.【详解】解:(1)A ,B 两园区的面积之和:(x +y )(x ﹣y )+(x +3y )(x +3y )=x 2﹣y 2+x 2+6xy +9y 2=2x 2+6xy +8y 2(平方米)答:A 、B 两园区的面积之和为(2x 2+6xy )平方米;(2)★整改后的长为:(x +y )+(11x ﹣y )=x +y +11x ﹣y=12x (米),整改后的宽为:(x ﹣y )﹣(x ﹣2y )=x ﹣y ﹣x +2y=y (米),依题意有:123502(12)4(3)980x y x y x y -=⎧⎨+++=⎩, 解得3010x y =⎧⎨=⎩. ★由题意得:12xy =12×30×10=3600(平方米),(x +3y )(x +3y )=x 2+6xy +9y 2=900+1800+900=3600(平方米),(18﹣12)×3600+(26﹣16)×3600=6×3600+10×3600=57600(元).答:整改后A 、B 两园区旅游的净收益之和为57600元.【点睛】考点:整式的混合运算.47.(1)甲型号手机每台售价为1500元,乙型号手机每台售价为1400元;(2)一共有五种进货方案,所有方案中最大利润为11200元.【分析】(1)设甲型号手机每台售价为x 元,乙型号手机每台售价为y 元,根据题意建立二元一次方程组求解即可;(2)设甲型号手机购进a 台,则乙型号手机购进(20-a )台,根据预计用不多于1.84万元且不少于1.76万元的资金购进这两种手机建立不等式组求出整数解即可,设利润为W ,根据题意得出相应的函数关系,判断出增减性,从而求算最大利润.【详解】解:(1)设甲型号手机每台售价为x 元,乙型号手机每台售价为y 元,根据题意得:1012318006921600x y x y +=⎧⎨+=⎩①② 由★得:336002x y =-★ 将★代入★得:310360012318002y y ⎛⎫-+= ⎪⎝⎭ ,解得:1400y = 将1400y =代入★得:1500x =★15001400x y =⎧⎨=⎩答:甲型号手机每台售价为1500元,乙型号手机每台售价为1400元;(2)设甲型号手机购进a 台,则乙型号手机购进(20-a )台,根据题意得:()()1000800201840010008002017600a a a a ⎧+-≤⎪⎨+-≥⎪⎩①② 由★得:12a ≤由★得:8a ≥★不等式组的解集为:812x ≤≤。
选择题1、下列方程①3x+6=2x,②xy=3,③,④中,二元一次方程有几个()A、1个B、2个C、3个D、4个2、如果是方程2x+y=0的一个解(m≠0),那么()A、m≠0,n=0B、m,n异号C、m,n同号D、m,n可能同号,也可能异号3、二元一次方程x+3y=10的非负整数解共有()对.A、1B、2C、3D、44、方程(|x|+1)(|y|﹣3)=7的整数解有()A、3对B、4对C、5对D、6对5、(2007•枣庄)已知方程组:的解是:,则方程组:的解是()A 、B 、C 、D 、6、解方程组时,一学生把c 看错得,已知方程组的正确解是,则a,b,c的值是()A、a,b不能确定,c=﹣2B、a=4,b=5,c=﹣2C、a=4,b=7,c=﹣2D、a,b,c都不能确定7、若关于x、y 的方程组只有一个解,则a的值不等于()A 、B 、﹣C 、D 、﹣8、若方程组的解是,则方程组的解是()《二元一次方程组》二元一次方程组易错题解析A、B、C、D、9、若方程组的解是,则方程组的解是()A、B、C、D、10、若方程组有无穷多组解,(x,y为未知数),则()A、k≠2B、k=﹣2C、k<﹣2D、k>﹣2填空题11、若是方程2x+y=0的解,则6a+3b+2=_________.12、已知二元一次方程3x+y=0的一个解是,其中a≠0,那么9a+3b﹣2的值为_________.13、若是方程3x+y=1的一个解,则9a+3b+4=_________.14、若4x﹣3y=0且x≠0,则=_________.15、已知方程组的解适合x+y=2,则m的值为_________.16、当a=_________时,方程组无解.17、关于x、y的方程组的解x,y的和为12,则k的值为_________.答案与评分标准选择题1、下列方程①3x+6=2x,②xy=3,③,④中,二元一次方程有几个()A、1个B、2个C、3个D、4个考点:二元一次方程的定义。
(易错题精选)初中数学方程与不等式之二元一次方程组单元汇编含答案一、选择题1.已知关于x,y 的二元一次方程组323223x y m x y m+=-⎧⎨+=⎩ 的解适合方程25x y -=,则m 的值为( ) A .1 B .2C .3D .4【答案】C 【解析】 【分析】整理方程为3x+7y=2,与25x y -=组成新的方程组,求解得31x y =⎧⎨=-⎩,代入原方程组中任意一个方程即可求出m. 【详解】解:将m=2x+3y 代入3232x y m +=-中得,3x+7y=2, ∵x,y 的二元一次方程组323223x y m x y m+=-⎧⎨+=⎩ 的解适合方程25x y -=,∴联立方程组25372x y x y -=⎧⎨+=⎩,解得:31x y =⎧⎨=-⎩, ∴23m x y =+=3, 故选C. 【点睛】本题考查解二元一次方程组的方法,属于简单题,熟练掌握加减消元和代入消元的方法是解题关键.2.二元一次方程3420x y +=的正整数解有( ) A .1组 B .2组C .3组D .4组【答案】A 【解析】 【分析】通过将方程变形,得到以x 的代数式,利用倍数逻辑关系,枚举法可得. 【详解】∵由3420x y += 可得,34y 203, 54x y x =-=-,,x y 是正整数. ∴根据题意,x 是4的倍数,则05x y ==,(不符题意);4,2x y == 是方程的解,8,1x y ==- (不符题意).故答案是A . 【点睛】本题既考查正整数的概念又考查代数式的变形,理解二元一次方程解的概念是本题的关键.3.重庆育才中学2019年“见字如面读陶分享会” 隆重举行,初一年级得到了一定数量的入场券,如果每个班10张,则多出15张,如果每个班12张,则差5张券,假设初一年级共有x 个班,分配到的入场券有y 张,列出方程组为( )A .1051215x y x y +=⎧⎨-=⎩B .1051215x yx y -=⎧⎨+=⎩C .1051215x y x y =-⎧⎨+=⎩D .1051215x y x y -=⎧⎨=+⎩【答案】A 【解析】 【分析】假设初一班级共有x 个班,分配到的入场券有y 张,根据“如果每个班10张,则多出5张券;如果每个班12张,则差15张券”列出方程组. 【详解】设初一班级共有x 个班,分配到的入场券有y 张, 则1051215x yx y +=⎧⎨-=⎩.故选:A . 【点睛】此题考查由实际问题抽象出二元一次方程组,解题的关键是明确题意,列出相应的方程组.4.《九章算术》是中国古代第一部数学专著,它对我国古代后世的数学家产生了深远的影响,该书中记载了一个问题,大意是:有几个人一起去买一件物品,每人出8元,多3元;每人出7元,少4元,问有多少人?该物品价几何?设有x 人,物品价值y 元,则所列方程组正确的是( )A .8374y x y x +=⎧⎨-=⎩B .8374x yx y +=⎧⎨-=⎩C .8374x y x y -=⎧⎨+=⎩D .8374y x y x -=⎧⎨+=⎩【答案】C 【解析】根据题意相等关系:①8×人数-3=物品价值,②7×人数+4=物品价值,可列方程组:8374x yx y -=⎧⎨+=⎩, 故选C.点睛:本题考查了二元一次方程组的应用,解答本题的关键是读懂题意,设出未知数,找出合适的等量关系.5.由方程组53x m y m-=⎧⎨+=⎩,可得到x 与y 的关系式是()A .2x y -=-B .2x y -=C .8x y -=D .8x y -=-【答案】C 【解析】 【分析】先解方程组求得5x m =+、3y m =-,再将其相减即可得解. 【详解】解:∵53x m y m -=⎧⎨+=⎩①②由①得,5x m =+ 由②得,3y m =-∴()()53538x y m m m m -=+--=+-+=. 故选:C 【点睛】本题考查了解含参数的二元一次方程组、以及代数求值的知识点,熟练掌握相关知识点是解决本题的关键.6.已知关于x y 、的方程组135x y a x y a +=-⎧⎨-=+⎩,满足12x y ≥,则下列结论:①2a ≥-;②53a =-时,x y =;③当1a =-时,关于x y 、的方程组135x y a x y a +=-⎧⎨-=+⎩的解也是方程2x y +=的解;④若1y ≤,则1a ≤-,其中正确的有( ) A .1个 B .2个C .3个D .4个【答案】C 【解析】 【分析】①解方程组得322x a y a =+⎧⎨=--⎩,由12x y ≥得到关于a 的不等式,解之可得答案;②将x =y代入方程组,求出a 的值,即可做出判断;③将x =y 代入322x a y a =+⎧⎨=--⎩求出x 、y 的值,从而依据x =y 得出答案;④由y≤1得出关于a 的不等式,解之可得. 【详解】解:关于x、y的方程组135 x y ax y a+=-⎧⎨-=+⎩,解得:322 x ay a=+⎧⎨=--⎩.①∵12x y ≥,∴a+3≥−a−1,解得a≥−2,故①正确;②将x=y代入322x ay a=+⎧⎨=--⎩,得:4353xa⎧=⎪⎪⎨⎪=-⎪⎩,即当x=y时,a=53-,此结论正确;③当a=−1时,2xy=⎧⎨=⎩,满足x+y=2,此结论正确;④若y≤1,则−2a−2≤1,解得a≥−32,此结论错误;故选:C.【点睛】本题考查了二元一次方程组的解,解题的关键是牢记二元一次方程组的解题方法.7.已知a,b满足方程组2226a ba b-=⎧⎨+=⎩,则3a+b的值是()A.﹣8 B.8 C.4 D.﹣4【答案】B【解析】【分析】方程组中的两个方程相加,即可得出答案.【详解】解:2226a ba b-=⎧⎨+=⎩①②,①+②,得:3a+b=8,故选B.【点睛】本题考查了解二元一次方程组和二元一次方程的解等知识点,能选择适当的方法求出解是解题的关键.8.已知点()3,1P -关于y 轴的对称点(),1Q a b b +-,则b a 的值为( ) A .9 B .25C .32D .16【答案】B 【解析】 【分析】根据关于y 轴对称的两点坐标关系:横坐标互为相反数,纵坐标相等,即可求出a 、b ,从而求出b a 的值. 【详解】解:∵点P (3,1-)关于y 轴的对称点(),1Q a b b +-, ∴311+=-⎧⎨-=-⎩a b b解得:52a b ìï=-í=ïïïî ∴()2-5=25=b a 故选:B. 【点睛】此题考查的是求一个点关于y 轴的对称点,掌握关于y 轴对称的两点坐标关系:横坐标互为相反数,纵坐标相等,是解决此题的关键.9.《孙子算经》中有一道题,原文是:“今有木,不知长短.引绳度之,余绳四足五寸;屈绳量之,不足一尺.木长几何?”意思是:用一根绳子去量一根长木,绳子还剩余4.5尺.将绳子对折再量长木,长木还剩余1尺,问木长多少尺,现设绳长x 尺,木长y 尺,则可列二元一次方程组为( )A . 4.5112y x y x -=⎧⎪⎨-=⎪⎩B . 4.5112x y y x -=⎧⎪⎨-=⎪⎩ C . 4.5112x y x y -=⎧⎪⎨-=⎪⎩D . 4.5112y x x y -=⎧⎪⎨-=⎪⎩【答案】B 【解析】 【分析】本题的等量关系是:绳长-木长 4.5=;木长12-绳长1=,据此可列方程组求解. 【详解】设绳长x 尺,长木为y 尺,依题意得 4.5112x y y x -=⎧⎪⎨-=⎪⎩, 故选B .【点睛】此题考查二元一次方程组问题,关键是弄清题意,找准等量关系,列对方程组,求准解.10.甲、乙两人在同一个地方练习跑步,如果让乙先跑10米,甲跑5秒钟就追上乙;如果甲让乙先跑2秒钟,那么甲跑4秒钟就能追上乙,若设甲、乙每秒钟分别跑x 、y 米,则列出方程组应是( )A .5105442x y x y +=⎧⎨-=⎩B .5510424x y x y =+⎧⎨-=⎩C .()5510 42x y x y y -=⎧⎨-=⎩D .()()51042x y x y x ⎧-=⎪⎨-=⎪⎩【答案】C 【解析】解:设甲、乙每秒分别跑x 米,y 米,由题意知:()551042x y x y y -=⎧⎨-=⎩.故选C .点睛:根据实际问题中的条件列方程组时,要注意抓住题目中的一些关键性词语,找出等量关系,列出方程组.11.《九章算术》是我国古代数学的经典著作,书中有一个问题:“今有黄金九枚,白银一十一枚,称之重适等.交易其一,金轻十三两.问金、银一枚各重几何?”.意思是:甲袋中装有黄金9枚(每枚黄金重量相同),乙袋中装有白银11枚(每枚白银重量相同),称重两袋相等.两袋互相交换1枚后,甲袋比乙袋轻了13两(袋子重量忽略不计).问黄金、白银每枚各重多少两?设每枚黄金重x 两,每枚白银重y 两,根据题意得( )A .11910813x yy x x y =⎧⎨+-+=⎩()() B .10891311y x x y x y +=+⎧⎨+=⎩C .91181013x y x y y x ()()=⎧⎨+-+=⎩D .91110813x y y x x y =⎧⎨+-+=⎩()()【答案】D 【解析】 【分析】根据题意可得等量关系:①9枚黄金的重量=11枚白银的重量;②(10枚白银的重量+1枚黄金的重量)-(1枚白银的重量+8枚黄金的重量)=13两,根据等量关系列出方程组即可. 【详解】设每枚黄金重x 两,每枚白银重y 两,由题意得:91110813x y y x x y =⎧⎨+-+=⎩()(),故选:D . 【点睛】此题主要考查了由实际问题抽象出二元一次方程组,关键是正确理解题意,找出题目中的等量关系.12.在方程组657237x y m x y +=+⎧⎨-=⎩的解中,x 、y 的和等于9,则72m +的算术平方根为( ) A .7 B .7±CD.【答案】A 【解析】 【分析】根据条件得到二元一次方程组937y x y x ⎧⎨-=+=⎩,求出x ,y 的值,进而求出72m +的算术平方根,即可. 【详解】 ∵657237x y m x y +=+⎧⎨-=⎩且x+y=9,∴937y x y x ⎧⎨-=+=⎩,解得:45x y =⎧⎨=⎩,∴72m +=65x y +=6×4+5×5=49, ∴72m +的算术平方根为:7. 故选A . 【点睛】本题主要考查二元一次方程组的解的意义,掌握解二元一次方程组的方法,是解题的关键.13.方程5x +2y =-9与下列方程构成的方程组的解为212x y =-⎧⎪⎨=⎪⎩的是( )A .x +2y =1B .3x +2y =-8C .5x +4y =-3D .3x -4y =-8【答案】D 【解析】试题分析:将x 与y 的值代入各项检验即可得到结果.解:方程5x+2y=﹣9与下列方程构成的方程组的解为的是3x ﹣4y=﹣8.故选D .点评:此题考查了二元一次方程组的解,方程组的解即为能使方程组中两方程成立的未知数的值.14.幼儿园阿姨分别给甲、乙两个小朋友若干颗糖果,她们数了一下,甲说“把你的一半给我,我就有14颗糖果”,乙说:“那把你的一半给我,我就有16颗糖果.”那么原来甲小朋友有糖果( )颗. A .6 B .8C .10D .12【答案】B 【解析】 【分析】设原来甲小朋友有x 颗,乙小朋友有y 颗,根据描述建立二元一次方程组求解. 【详解】设原来甲小朋友有x 颗,乙小朋友有y 颗,由题意得:11421162x y y x ⎧+=⎪⎪⎨⎪+=⎪⎩解得812x y =⎧⎨=⎩∴甲小朋友原来有8颗 故选B . 【点睛】本题考查二元一次方程组的应用,题目较简单,根据描述建立方程是解题的关键.15.A 地至B 地的航线长9360km ,一架飞机从A 地顺风飞往B 地需12h ,它逆风飞行同样的航线要13h ,则飞机无风时的平均速度是( )A .720km/hB .750 km/hC .765 km/hD .780 km/h【答案】B 【解析】 【分析】设飞机无风时的平均速度为x 千米/时,风速为y 千米/时,根据飞机顺风速度×时间=路程,飞机逆风速度×时间=路程,列方程组进行求解. 【详解】设飞机无风时的平均速度为x 千米/时,风速为y 千米/时,由题意得,12()9360 13()9360x yx y+=⎧⎨-=⎩,解得,75030xy=⎧⎨=⎩,答:飞机无风时的平均速度为750千米/时,故选B.【点睛】本题考查二元一次方程组的应用,熟练掌握顺风速度=静风速度+风速,逆风速度=静风速度-风速是解题的关键.16.小明在超市帮妈妈买回一袋纸杯,他把纸杯整齐地叠放在一起,如图请你根据图中的信息,若小明把100个纸杯整齐叠放在一起时,它的高度约是()A.106cm B.110cm C.114cm D.116cm【答案】A【解析】【分析】通过观察图形,可知题中有两个等量关系:单独一个纸杯的高度加上3个纸杯叠放在一起高出单独一个纸杯的高度等于9,单独一个纸杯的高度加上8个纸杯叠放在一起高出单独一个纸杯的高度等于14.根据这两个等量关系,可列出方程组,再求解.【详解】解:设每两个纸杯叠放在一起比单独的一个纸杯增高xcm,单独一个纸杯的高度为ycm,则29714x yx y+=⎧⎨+=⎩,解得17xy=⎧⎨=⎩则99x+y=99×1+7=106即把100个纸杯整齐的叠放在一起时的高度约是106cm.故选:A.【点睛】本题以实物图形为题目主干,图形形象直观,直接反映了物体的数量关系,这是近年来比较流行的一种命题形式,主要考查信息的收集、处理能力.本题易错点是误把9cm当作3个纸杯的高度,把14cm当作8个纸杯的高度.17.某校运动员分组训练,若每组7人,余3人;若每组8人,则缺5人;设运动员人数为x人,组数为y组,则列方程组为()A.7385y xy x=-⎧⎨=+⎩B.7385y xy x=+⎧⎨-=⎩C.7385y xy x=+⎧⎨+=⎩D.7385y xy x=+⎧⎨=+⎩【答案】A 【解析】 【分析】根据关键语句“若每组7人,余3人”可得方程7y+3=x ;“若每组8人,则缺5人.”可得方程8y-5=x ,联立两个方程可得方程组. 【详解】设运动员人数为x 人,组数为y 组, 由题意得:7385y x y x =-⎧⎨=+⎩.故选A . 【点睛】此题主要考查了由实际问题抽象出二元一次方程组,关键是正确理解题意,抓住关键语句,列出方程.18.利用两块相同的长方体木块测量一张桌子的高度,首先按图①方式放置,再交换两木块的位置,按图②方式放置测量的数据如图,则桌子的高度是( )A .73cmB .74cmC .75cmD .76cm【答案】C 【解析】 【分析】设长方体木块的长是xcm ,宽是ycm ,由题意得5x y -=,再代入求出桌子的高度即可. 【详解】设长方体木块的长是xcm ,宽是ycm ,由题意得8070x y y x -+=-+可得5x y -=则桌子的高度是8080575x y cm -+=-= 故答案为:C . 【点睛】本题考查了二元一次方程的实际应用,掌握解二元一次方程的方法是解题的关键.19.图①的等臂天平呈平衡状态,其中左侧秤盘有一袋石头,右侧秤盘有一袋石头和2个各10克的砝码.将左侧袋中一颗石头移至右侧秤盘,并拿走右侧秤盘的1个砝码后,天平仍呈平衡状态,如图②所示.则被移动石头的重量为( )A .5克B .10克C .15克D .20克【答案】A【解析】【分析】【详解】解:设左天平的一袋石头重x 克,右天平的一袋石头重y 克,被移动的石头重z 克,由题意,得: 2010x y x z y z =+⎧⎨-=++⎩解得z=5答:被移动石头的重量为5克.故选A .【点睛】本题考查了列三元一次方程组解实际问题的运用,三元一次方程组的解法的运用,解答时理解图象天平反映的意义找到等量关系是关键.20.二元一次方程3x+y =7的正整数解有( )组.A .0B .1C .2D .无数 【答案】C【解析】【分析】分别令x=1、2进行计算即可得【详解】解:方程3x+y=7,变形得:y=7-3x ,当x=1时,y=4;当x=2时,y=1,则方程的正整数解有二组故本题答案应为:C【点睛】本题考查了二元一次方程的解,给出一个未知数的值求出另一个未知数的值即可.。
中考二元一次方程组易错题50题含答案解析一、单选题1.方程组632x y x y +=⎧⎨-=-⎩的解是( ).A .51x y =⎧⎨=⎩B .42x y =-⎧⎨=-⎩C .51x y =-⎧⎨=-⎩D .42x y =⎧⎨=⎩2.在用代入消元法解二元一次方程组32346x y x y +=-⎧⎨-=⎩时,消去未知数x 后,得到的方程为( )A .()32346y y ---=B .()32346y y --+=C .()32346y y -+-=D .()32346y y -++=3.六十载春华秋实,一甲子桃李芬芳.2023年10月,重庆外国语学校即将迎来六十华诞,学校决定面向全校学生征集60周年校庆标识、吉祥物设计方案.初一年级某班准备了若干盒巧克力奖励给本班投稿的同学,若每3位同学奖励一盒巧克力,则少2盒;若每4位同学奖励一盒巧克力,则又多了2盒,设该班投稿的同学有x 人,巧克力有y 盒,依题意得方程组( )A .3242x y x y =+⎧⎨=-⎩B .332442x y x y =+⨯⎧⎨=-⨯⎩C .332442x y x y =-⨯⎧⎨=+⨯⎩D .3242x y x y =-⎧⎨=+⎩4.把一根长为7m 的钢管截断,从中得到两种不同规格的钢管,已知两种规格的钢管长分别为2m 和1m ,为了不造成浪费,不同的截法有( ) A .1种B .2种C .3种D .4种5.若258m x y -+=是关于x 、y 的二元一次方程,则m 的值是( ) A .3B .2C .1D .06.将231x y -=变形,用含x 的代数式表示y ,正确的是( ) A .132yx +=B .132yx -=C .123xy -=D .213x y -=7.成渝路内江至成都段全长170千米,一辆小汽车和一辆客车同时从内江、成都两地相向开出,经过1小时10分钟相遇,小汽车比客车多行驶20千米,设小汽车和客车的平均速度为x千米/小时和y千米/小时,则下列方程组正确的是()A.207717066x yx y+=⎧⎪⎨+=⎪⎩B.207717066x yx y-=⎧⎪⎨+=⎪⎩C.207717066x yx y-=⎧⎪⎨-=⎪⎩D.7717066772066x yx y⎧+=⎪⎪⎨⎪-=⎪⎩8.国家“双减”政策实施后,某校开展了丰富多彩的社团活动.某班同学报名参加书法和围棋两个社团,班长为参加社团的同学去商场购买毛笔和围棋(两种都购买)共花费360元.其中毛笔每支15元,围棋每副20元,共有多少种购买方案?()A.5B.6C.7D.89.小岩打算购买气球装扮学校“毕业典礼”活动会场,气球的种类有笑脸和爱心两种,两种气球的价格不同,但同一种气球的价格相同.由于会场布置需要,购买时以一束(4个气球)为单位,已知第一、二束气球的价格如图所示,则第三束气球的价格为()A.19B.18C.16D.1510.尹老师准备将100元钱全部用于购买A,B两种款式的笔记本作为奖品(两种款式的都要买).已知一个A款笔记本10元,一个B款笔记本15元,尹老师的购买方案共有()A.1种B.2种C.3种D.4种11.甲,乙两人练习跑步,若乙先跑10米,则甲跑5秒就可以追上乙;如果乙先跑2秒,甲跑4秒就可以追上乙.设甲的速度为x米/秒,乙的速度为y米/秒,根据题意,下列选项中所列方程组正确的是()A.B.C.D.12.下列等式中,是二元一次方程的是()A.xy=1B.y=3x﹣1C.1xy+=D.x2+x﹣3=013.已知方程组233x yx y n-=⎧⎨+=⎩中的x,y互为相反数,则n的值为()A.2B.﹣2C.0D.414.已知237351x yx y-=-⎧⎨+=-⎩的解21xy=-⎧⎨=⎩,则2(2)3(-1)73(2)5(-1)1x yx y+-=-⎧⎨++=-⎩的解为()A.-42xy=⎧⎨=⎩B.5xy=-⎧⎨=⎩C.5xy=⎧⎨=⎩D.41xy=-⎧⎨=⎩15.已知关于x,y的方程组35225x y ax y a-=⎧⎨-=-⎩,则下列结论中正确的是()①当a=5时,方程组的解是1020xy=⎧⎨=⎩;①当x,y的值互为相反数时,a=20;①当22x y⋅=16时,a=18;①不存在一个实数a使得x=y.A.①①①B.①①①C.①①①D.①①16.二元一次方程组1,3x yx y-=⎧⎨+=⎩的解是()A.2,1xy=⎧⎨=⎩B.1,2xy=-⎧⎨=-⎩C.3,2xy=⎧⎨=⎩D.1,2xy=⎧⎨=⎩17.解方程组278ax bycx y+=⎧⎨-=⎩时,一学生把c看错而得22xy=-⎧⎨=⎩,而正确的解是32xy=⎧⎨=-⎩,那么a、b、c的值是()A.a=4,b=-2,c=5B.a=4,b=5,c=-2C.a=-2,b=4,c=5D.a=5,b=4,c=-218.长方形ABCD可以分割成如图所示的七个正方形.若10AB=,则AD等于()A.252B.353C.14011D.1501119.方程2x+3y=7的正整数解有( ) A .0个B .1个C .2个D .无数个二、填空题20.小亮解方程组2?212x y x y +=⎧⎨-=⎩的解为5?x y =⎧⎨=⎩,由于不小心,滴上了两滴墨水,刚好遮住了两个数●和?,请你帮他找回?=________,●=________. 21.已知26x y -=,用x 的代数式表示y ,则y = _________ . 22.已知方程210x y --=,用含x 的代数式表示y ,得y =_______. 23.已知()57623m mn ab ab a b +÷-=-,求n m =_______.24.已知方程425x y +=,用关于x 的代数式表示y ,则y =__________.25.某水果店销售50千克香蕉,第一、二、三天的售价分别为9元/千克、6元/千克、3元/千克,三天全部售完,销售额共计270元.则第三天比第一天多销售香蕉__________千克.26.若不等式组00x b x a -<⎧⎨+>⎩的解集为23x <<,则关于x ,y 的方程组521ax y x by +=⎧⎨-=⎩的解为_______.27.方程4320x y +=的所有正整数解为______.28.若有理数a ,b 满足()22640a b a b -+++=,则a +b 的值为______.29.小明在拼图时,发现8个一样大小的长方形,恰好可以拼成一个大的长方形(如图甲);小红看见了,说:“我也来试一试,”结果小红七拼八凑,拼成了如图乙那样的正方形,中间还留下了一个洞,恰好是边长为3mm 的小正方形,则每个小长方形的面积为_______2mm .30.已知关于x 、y 的方程组54522x y ax by +=⎧⎨+=-⎩与2180x y ax by -=⎧⎨--=⎩有相同的解,则(a +b )2020的值为___.31.我图古代数学著作《九章算术》卷七有下列问题:“今有共买物,人出八,盈三;人出七,不足四.问人数.物价几何?”意思是:现在有几个人共同出钱去买物品如果每人出8钱,则剩余3钱;如果每人出7钱,则差4钱,问有多少人,物品的价格是多少?设有x 人.物品的价格为y 元,可列方程组为________.32.解方程组1226310x y z x y z x y z ++=⎧⎪+-=⎨⎪-+=⎩时,消去字母z ,得到含有未知数x ,y 的二元一次方程组是___.33.点()5,4A -和点()43,2B a b a b +-关于y 轴对称,则a b -的值是______.34.若关于x ,y 的二元一次方程组20x y A +=⎧⎨=⎩的解为13x y =-⎧⎨=⎩,则含x ,y 的多项式A 可以是___(写出一个即可).35.将方程52x y +=写成用含x 的代数式表示y ,则y =_______________.36.若关于x 、y 的二元一次方程组213x y m x y +=+⎧⎨-=⎩的解满足2x+3y >0,则m 满足的亲件是_____.37.已知|2x+y+1|+(x+2y ﹣7)2=0,则(x+y )2=________.38.在等式2y ax bx c =++中,当x 1=-时,y 0=;当x 5=时,y 60=;当x 2=时,y 3.=则a b c ++= ______ .39.若关于x 、y 的二元一次方程组33211x my x ny -=-⎧⎨+=⎩的解是13x y =⎧⎨=⎩,则关于a 、b 的二元一次方程组()()()()33211a b m a b a b n a b ⎧+--=-⎪⎨++-=⎪⎩的解是______.三、解答题40.计算:(1)解方程组:m n2522m 3n 4⎧-=⎪⎨⎪+=⎩; (2)解不等式:()()11x 73x 132--≥+41.阅读下列解方程组的部分过程,回答下列问题解方程组25323x y x y -=⎧⎨-=⎩①② 现有两位同学的解法如下:解法一;由①,得x =2y+5,① 把①代入①,得3(2y+5)﹣2y =3.…… 解法二:①﹣①,得﹣2x =2.……(1)解法一使用的具体方法是________,解法二使用的具体方法是______,以上两种方法的共同点是________.(2)请你任选一种解法,把完整的解题过程写出来42.某一天,文具经营户花360元从文具批发市场批发了自动铅笔和钢笔共80支,到文具店去卖,自动铅笔和钢笔当天的批发价与零售价如下表所示:问:他卖完这些自动铅笔和钢笔可赚多少钱? 43.计算: (1|2+(13-)﹣1(2)解方程组:11233240x y x y +⎧-=⎪⎨⎪+=⎩. 44.已知21x y =⎧⎨=⎩是二元一次方程组71ax by ax by +=⎧⎨-=⎩的解,求b a -的平方根.45.对于x 、y 我们定义一种新运算“※”:x y ax by =+※,其中a 、b 类为常数,等式的右边是通常的加法和乘法运算.已知:527=※、()3412-=※,求43※的值. 46.在近期“抗疫”期间,某药店销售A 、B 两种型号的口罩,已知销售800只A 型和450只B 型的利润为210元,销售400只A 型和600只B 型的利润为180元. (1)求每只A 型口罩和B 型口罩的销售利润;(2)在销售时,该药店开始时将B 型口罩提价100%,当收回成本后,为了让利给消费者,把B 型口罩的售价调整为进价的15%,求B 型口罩降价的百分率. 47.解方程组(1)25 342 x yx y-=⎧⎨+=⎩(2)2320 235297m nm nn--=⎧⎪-+⎨+=⎪⎩48.某超市每天能出售甲、乙两种肉类集装箱共21箱,且甲集装箱3天的销售量与乙集装箱4天的销售量相同.(1)求甲、乙两种肉类集装箱每天分别能出售多少箱?(2)若甲种肉类集装箱的进价为每箱200元,乙种肉类集装箱的进价为每箱180元,现超市打算购买甲、乙两种肉类集装箱共100箱,且手头资金不到18 080元,则该超市有几种购买方案?(3)若甲种肉类集装箱的售价为每箱260元,乙种肉类集装箱的售价为每箱230元,在(2)的情况下,哪种方案获利最多?49.已知方程组2468416x yx y+=-⎧⎨-=⎩和1113ax bybx ay-=⎧⎨-=⎩的解相同,求()3-a b的值.参考答案:1.D【分析】采用加减消元法解方程组即可.【详解】632x y x y +=⎧⎨-=-⎩①② ①-①得:48y = ①2y =将2y =代入①得:26x += ①4x =①方程组的解为42x y =⎧⎨=⎩故选D .【点睛】本题考查解二元一次方程组,熟练掌握消元法是解题的关键. 2.A【分析】将方程①整理后可得23x y =--,再利用代入消元法代入①中求出解即可.【详解】32346x y x y +=-⎧⎨-=⎩①②,由①得23x y =--①, 把①代入①得:()32346y y ---=.故选:A .【点睛】此题考查了解二元一次方程组,利用了消元的思想,本题运用的是代入消元法. 3.B【分析】设该班投稿的同学有x 人,巧克力有y 盒,若每3位同学奖励一盒巧克力,则人数是巧克力的3倍,故有332x y =+⨯,若每4位同学奖励一盒巧克力,则人数是巧克力的4倍,故有442x y =-⨯,列方程组即可.【详解】解:设该班投稿的同学有x 人,巧克力有y 盒, 依题意得:332442x y x y =+⨯⎧⎨=-⨯⎩故选:B .【点睛】本题考查了二元一次方程组的实际应用;解题的关键是依据等量关系正确列方程. 4.C【分析】设可以截成x 根2m 长的钢管和y 根1m 长的钢管,根据题意列出方程,然后找到方程的整数解即可.【详解】解:设可以截成x 根2m 长的钢管和y 根1m 长的钢管, 依题意,得:2x +y =7, ①y =7﹣2x . ①x ,y 均为正整数,①当x =1时,y =5;当x =2时,y =3;当x =3时,y =1,①共有3种不同的截法,截法1:截成1根2m 长的钢管和5根1m 长的钢管;截法2:截成2根2m 长的钢管和3根1m 长的钢管;截法3:截成3根2m 长的钢管和1根1m 长的钢管, 故选:C .【点睛】本题主要考查二元一次方程,掌握二元一次方程的解是关键. 5.A【分析】根据二元一次方程的定义:含有两个未知数,并且含有未知数的项的次数都是1列出关于m 的方程,解之可得答案.【详解】①258m x y -+=是关于x 、y 的二元一次方程, ①251m -=, 解得3m =, 故选:A .【点睛】本题主要考查了二元一次方程的定义,二元一次方程需满足三个条件:①首先是整式方程.①方程中共含有两个未知数.①所有未知项的次数都是一次. 6.D【分析】先移项得312y x -=-,再化简得系数化为1即可. 【详解】解:①231x y -=, ①312y x -=-,①213xy-=,故选:D.【点睛】本题考查了解二元一次方程,熟练掌握等式的基本性质,理由等式的性质对方程进行变形处理是解题的关键.7.D【分析】根据等量关系:相遇时两车走的路程之和为170千米,相遇时,小汽车比客车多行驶20千米,可得出方程组.【详解】设小汽车和客车的平均速度为x千米/小时,y千米/小时由题意得:7717066772066x yx y⎧+=⎪⎪⎨⎪-=⎪⎩,故选D【点睛】本题考查由实际问题抽象二元一次方程组的知识,解题的关键是仔细审题,根据等量关系建立方程.8.A【分析】设设购买毛笔x支,围棋y副,根据总价=单价×数量,即可得出关于x,y的二元一次方程,结合x,y均为正整数即可得出购买方案的数量.【详解】解:设购买毛笔x支,围棋y副,根据题意得,15x+20y=360,即3x+4y=72,①y=18-34 x.又①x,y均为正整数,①415xy=⎧⎨=⎩或812xy=⎧⎨=⎩或129xy=⎧⎨=⎩或166xy=⎧⎨=⎩或203xy=⎧⎨=⎩,①班长有5种购买方案.故选:A.【点睛】本题考查了二元一次方程的应用,找准等量关系“共花费360元”,列出二元一次方程是解题的关键.9.B【分析】设一个笑脸气球的单价为x元/个,一个爱心气球的单价为y元/个,根据前两束气球的价格,即可得出关于x y、的方程组,用前两束气球的价格相加除以2,即可求出第三束气球的价格.【详解】设一个笑脸气球的单价为x 元/个,一个爱心气球的单价为y 元/个,根据题意得:316320x y x y +=⎧⎨+=⎩①②, 方程(①+①)÷2,得:2x+2y=18.故选:B .【点睛】本题考查了二元一次方程组的应用,找准等量关系,正确列出二元一次方程组是解题的关键.10.C【分析】设购买x 个A 款笔记本,y 个B 款笔记本,根据总价=单价×数量,列出x ,y 的二元一次方程,结合x ,y 均为正整数,求出正整数解即可.【详解】解:设购买x 个A 款笔记本,y 个B 款笔记本,依题意,得:10x +15y =100, 解得3102x y =- ①x ,y 均为正整数,①y 是2的倍数,72x y =⎧∴⎨=⎩,44x y =⎧⎨=⎩,16x y =⎧⎨=⎩①共有3种购买方案.故选:C .【点睛】本题考查了二元一次方程的应用,找准等量关系,正确列出二元一次方程是解题的关键.11.A【详解】试题分析:此题中的等量关系:①乙先跑10米,则甲跑5秒就可以追上乙;①乙先跑2秒,则甲跑4秒就可追上乙.列出方程组即可.根据乙先跑10米,则甲跑5秒就可以追上乙,得方程5x ﹣5y=10;根据乙先跑2秒,则甲跑4秒就可追上乙,得方程4x=4y+2y .从而得出方程组.考点:由实际问题抽象出二元一次方程组12.B【分析】根据二元一次方程的定义逐一判断即可.【详解】解:A 中1xy =的项数是2次,故选项不符合题意;B 中31y x =-是二元一次方程,故选项符合题意;C 中10x y+=是分式方程,故选项不符合题意; D 中230x x +-=最高次数为2且只含一个未知数,是一元二次方程,故选项不符合题意;故选:B .【点睛】本题考查了二元一次方程的定义.解题的关键在于熟练掌握二元一次方程的定义:方程两边都是整式;含有两个未知数;并且含有未知数的项的最高次数都是一次的方程叫做二元一次方程.13.B【分析】根据题意由x ,y 互为相反数,得到x+y =0,与方程组第一个方程联立求出x 与y 的值,代入第二个方程求出n 的值即可.【详解】解:由题意得:x+y =0,即y =﹣x ,代入2x ﹣y =3得:2x+x =3,解得:x =1,即y =﹣1,代入得x+3y =n 得:n =1+3×(﹣1)=﹣2,故选:B .【点睛】本题考查二元一次方程组的解以及解二元一次方程组,熟练掌握相关的运算法则是解答本题的关键.14.A【分析】将x+2与y-1看做一个整体,根据已知方程组的解求出x 与y 的值即可.【详解】根据题意得:2=21=1x y +-⎧⎨-⎩ , 解得:=4=2x y -⎧⎨⎩. 故选:A .【点睛】此题考查二元一次方程的解,解题关键在于掌握方程的解即为能使方程左右两边相等的未知数的值.【分析】①把a=5代入方程组求出解,即可做出判断;②根据题意得到x+y=0,代入方程组求出a的值,即可做出判断;③当22x y⋅=16时,得到x+y=4,即y=4﹣x,代入方程组求出a的值,即可做出判断;④假如x=y,得到a无解,本选项正确;.【详解】解:①把a=5代入方程组得:351020x yx y-=⎧⎨-=⎩,解得:2010xy=⎧⎨=⎩,本选项错误;②由x与y互为相反数,得到x+y=0,即y=﹣x,代入方程组得:35225x x ax x a+=⎧⎨+=-⎩,解得:a=20,本选项正确;③当22x y⋅=16时,得到x+y=4,即y=4﹣x代入方程组得:35202285x x ax x a+-=⎧⎨+-=-⎩,解得:a=18,本选项正确;④若x=y,则有225x ax a-=⎧⎨-=-⎩,可得a=a﹣5,矛盾,故不存在一个实数a使得x=y,本选项正确;故选:C.【点睛】此题考查了二元一次方程组的解,方程组的解即为能使方程组中两方程都成立的未知数的值.16.A【分析】根据加减消元法,可得方程组的解.【详解】13x yx y-=⎧⎨+=⎩①②,①+①,得2x=4,解得x=2,把x=2代入①,得2-y=1,所以原方程组的解为21x y =⎧⎨=⎩. 故选A .【点睛】本题考查了解二元一次方程组,掌握加减消元法是解题的关键.本题还可以根据二元一次方程组的解的定义,将四个选项中每一组未知数的值代入原方程组进行检验. 17.B【分析】首先根据题意可得,3c -7×(-2)=8,解得,c =-2;再根据题意可得方程组322222a b a b -=⎧⎨-+=⎩,解此二元一次方程组可得a 、b 的值. 【详解】根据题意可得,3c -7×(-2)=8,解得,c =-2;由题意可得,22x y =-⎧⎨=⎩和32x y =⎧⎨=-⎩是方程2ax by +=的解, ①322222a b a b -=⎧⎨-+=⎩,解得4,5a b =⎧⎨=⎩ 故a =4,b =5,c =-2,故选B【点睛】此题主要考查了二元一次方程组的解,掌握解二元一次方程组的方法是解决问题的关键.18.D【分析】根据题意,设DE=x ,EF=y ,然后由边长的数量关系列出方程组,解方程组求出x 、y ,即可得到答案.【详解】解:如图:设DE=x ,EF=y ,根据题意,则32()10y x y x y =⎧⎨++=⎩, 解得:10113011x y ⎧=⎪⎪⎨⎪=⎪⎩, ①103015010111111AD =++=; 故选:D . 【点睛】本题考查了二元一次方程组的应用,解二元一次方程组,解题的关键是熟练掌握题意,正确列出方程组进行解题.19.B【分析】求出x=732y - ,根据x 、y 为正整数得出732y ->0,y >0,求出y 的范围,求出y 的值,求出x 的值,选出符合条件的解即可.【详解】解:①2x+3y=7,①x=732y -, ①x 、y 为正整数,①732y ->0,y >0 解得,0<y <73 , ①y 只能取1,2,当y=1时,x=2,当y=2时,x=12 (舍去),即方程2x+3y=7的正整数解有1个,故选B .【点睛】本题考查了二元一次方程的解,关键是求出其中一个未知数的取值范围. 20. -2 8【分析】把x=5代入方程组第二个方程求出y 的值,将x 与y 的值代入第一个方程左边即可得到结果.【详解】解:把x=5代入2x-y=12中,得:y=-2,当x=5,y=-2时,2x+y=10-2=8,故答案为:-2;8.【点睛】本题考查了二元一次方程组的解,方程组的解即为能使方程组中两方程都成立的未知数的值.21.2x -6##-6+2x【分析】利用移项解题即可.【详解】解:①26x y -=,①26y x =-.故答案为:26y x =-【点睛】本题考查解二元一次方程,能够熟练运用移项是解题关键.22.2x -1##-1+2x【分析】将x 看作已知数,移项即可求出y 即可.【详解】解:2x -y -1=0,解得y =2x -1.故答案为:2x -1.【点睛】此题考查解二元一次方程,解题的关键是将x 看作已知数求出y .23.9【分析】先根据单项式除以单项式运算法则化简等式左边,再由各字母指数相等列出关于m 、n 的方程组,然后解方程组求出m 、n ,代入求解即可.【详解】解:①()5476233m m n m m n a b ab a b a b ++-÷-=-=-,①471m m n +=⎧⎨-=⎩, 解得:32m n =⎧⎨=⎩, ①239n m ==,故答案为:9.【点睛】本题考查了单项式除以单项式运算、解二元一次方程组、代数式求值、有理数的乘方,掌握单项式除以单顶式运算法则,正确列出m 、n 的方程组是解答的关键. 24.y =2.5-2x .【分析】要用关于x 的代数式表示y ,就要把方程中含有x 的项和常数项移到等号的右边得到:2y=5-4x ,再把y 的系数变为1.得到:y =2.5-2x .【详解】解:移项得:2y =5-4x ,系数化1得:y =2.5-2x .故答案为y =2.5-2x .【点睛】本题主要考查了解二元一次方程,解本题关键是通过移项和合并同类项,化y的系数为1,把方程变形为等号左边是y,等号右边是含有x的代数式.25.10【分析】设第一天销售x千克香蕉,第三天销售y千克香蕉,则第二题销售(50-x-y)千克香蕉,根据题意列出方程即可求出结论.【详解】解:设第一天销售x千克香蕉,第三天销售y千克香蕉,则第二题销售(50-x-y)千克香蕉根据题意可得:9x+6(50-x-y)+3y=270解得:y-x=10即第三天比第一天多销售香蕉10千克故答案为10.【点睛】此题考查的是二元一次方程的应用,掌握实际问题中的等量关系是解决此题的关键.26.43xy=-⎧⎨=-⎩##34yx=-⎧⎨=-⎩【分析】先根据不等式组的解集是2<x<3求出a,b的值,然后解二元一次方程组即可.【详解】解不等式组x bx a-⎧⎨+⎩<>得a x b-<<,因为不等式组的解集是2<x<3,所以-a=2,b=3,则a=-2,b=3.方程组为25 231x yx y-+=⎧⎨-=⎩①②,①+①,解得y=-3,将y=-3代入①,得x=-4.所以方程组得解是43xy=-⎧⎨=-⎩.故答案为:43xy=-⎧⎨=-⎩.【点睛】本题主要考查了不等式组的解集,加减法解二元一次方程组,根据不等式组的解集求出字母的值是解题的关键.27.24x y =⎧⎨=⎩【分析】先用x 将y 表示出来,然后根据x 、y 均为正整数运用列举法即可求解.【详解】解:由4320x y +=可得y =2043x - , ①x 、y 均为正整数, ①2043x ->0,即x <5 当x =2时,y =4,①方程4x +3y =20的正整数解为24x y =⎧⎨=⎩. 故答案为24x y =⎧⎨=⎩. 【点睛】本题主要考查一元二次方程的特殊解,用一个未知数表示成另一个未知数是解答本题题的关键.28.-2 【分析】根据()22640a b a b -+++=,可知260-+=a b ,40a b +=,故可求出a +b .【详解】解:①()22640a b a b -+++=, ①2=640a b a b --⎧⎨+=⎩①②,令①+①可得:336a b +=-, ①2a b +=-,故答案为:−2【点睛】本题对于绝对值和平方的非负性及求二元一次方程组的解的考查,理解两个非负数的和等于零时每一个非负数必为零的特点是解题的关键.29.135【分析】设每个小长方形的长为x mm ,宽为 y mm ,根据图形给出的信息可知,长方形的5个宽与其3个长相等,两个宽-一个长=3,于是得方程组,解出即可.【详解】解:设每个长方形的长为x mm ,宽为y mm ,由题意,得3523x y y x =⎧⎨-=⎩, 解得159x y =⎧⎨=⎩. 9×15=135(mm 2).故答案为:135.【点睛】此题主要考查了二元一次方程组的应用,关键是正确理解题意,找出题目中的等量关系,列出方程组.30.1【分析】先求出方程组521x y x y +=⎧⎨-=⎩的解,把23x y =⎧⎨=⎩代入方程组452280ax by ax by +=-⎧⎨--=⎩,再求出a 、b 的值,最后求出答案即可.【详解】解:解方程组521x y x y +=⎧⎨-=⎩得:23x y =⎧⎨=⎩, 把23x y =⎧⎨=⎩代入方程组452280ax by ax by +=-⎧⎨--=⎩得:815222380a b a b +=-⎧⎨--=⎩, 解得:1a =,2b =-,所以20202020()(12)1a b +=-=,故答案为:1.【点睛】本题考查了解二元一次方程组和二元一次方程组的解,理解二元一次方程组的解的定义是解此题的关键.31.8374x y x y -=⎧⎨+=⎩【分析】根据每人出8钱,则剩余3钱;如果每人出7钱,则差4钱,可以列出相应的方程组,本题得以解决.【详解】解:由题意可得8374x y x y -=⎧⎨+=⎩故答案为:8374x y x y-=⎧⎨+=⎩. 【点睛】此题考查的是二元一次方程组的应用,掌握实际问题中的等量关系是解决此题的关键.32.2318 416x yx y+=⎧⎨+=⎩【分析】①+①得出2x+3y=18,①+①得出4x+y=16,再得出答案即可.【详解】解:1226310x y zx y zx y z++=⎧⎪+-=⎨⎪-+=⎩①②③,①+①得出2x+3y=18①,①+①得出4x+y=16①,由①和①组成方程组2318 416x yx y+=⎧⎨+=⎩,故答案为:2318 416x yx y+=⎧⎨+=⎩.【点睛】本题考查了解三元一次方程组,能选择适当的方法消元是解此题的关键.33.3【分析】根据关于y轴对称的点的横坐标互为相反数,纵坐标相等,可得答案.【详解】解:①点A和点B关于y轴对称,①可得方程组543042a ba b-++=⎧⎨=-⎩,解得:21 ab=⎧⎨=-⎩,①a-b=3,故答案为:3.【点睛】本题考查了关于y轴对称的点的坐标,利用关于y轴对称的点的横坐标互为相反数,纵坐标相等得出a,b是解题关键.34.3x y+【分析】根据13xy=-⎧⎨=⎩,添加系数,使得结果为0即可.【详解】解:①关于x,y的二元一次方程组2x yA+=⎧⎨=⎩的解为13xy=-⎧⎨=⎩,而-1×3+3=0,①多项式A可以是3x y+,故答案为:3x y+.【点睛】本题考查了二元一次方程组的解,本题是开放题,注意方程组的解的定义.35.25x-【详解】分析:把y移到等号的左边,其它的项移到等号的右边.详解:5x+y=2,移项得,y=2-5x.故答案为2-5x.点睛:本题考查了移项,移项时要注意移动的项必须改变符号.36.m>﹣1 5【分析】求解方程组,用含m的代数式分别表示出x、y.把x、y的值代入2x+3y,根据2x+3y>0,确定m的取值范围.【详解】213x y mx y+=+⎧⎨-=⎩①②①+①,得2x=2m+4①﹣①,得2y=2m﹣2即3y=3m﹣3①2x+3y=2m+4+3m﹣3=5m+1①2x+3y>0,①5m+1>0①m>﹣15故答案是:m>﹣1 5 .【点睛】考查了二元一次方程组的解法、一元一次不等式的解法.用含m的代数式表示x、y是解决本题的关键.37.4【详解】①|2x+y+1|+(x+2y﹣7)2=0,①210270x yx y++=⎧⎨+-=⎩,①3x+3y=6,即x+y=2,①(x+y)2=22=4.点睛:(1)一个代数式的绝对值和平方都是非负数;(2)两个非负数的和为0,则这两个非负数都为0.38.-4【详解】分析:将已知三对值代入等式得到关于a,b,c的方程组,求出方程组的解得到a,b,c的值即可.详解:①﹣①得:24a+6b=60,4a+b=10①,①﹣①得:3a+3b=3,a+b=1①,由①和①组成方程组,解方程组得:,把a、b的值代入①得:c=﹣5,所以a+b+c=﹣4.故答案为﹣4.点睛:本题考查了三元一次方程组的解法,把“三元”转化为“二元”、把“二元”转化为“一元”的消元的思想方法,消元的方法有:加减消元法与代入消元法.39.21 ab=⎧⎨=-⎩【分析】根据已知得出关于a,b的方程组进而得出答案.【详解】解:①关于x、y的二元一次方程组33211x myx ny-=-⎧⎨+=⎩,的解是13xy=⎧⎨=⎩,①方程组()()()()33211a b m a ba b n a b⎧+--=-⎪⎨++-=⎪⎩中13a ba b+=⎧⎨-=⎩,解得:21 ab=⎧⎨=-⎩.故答案为:21 ab=⎧⎨=-⎩.【点睛】本题主要考查二元一次方程组的解法,关键是根据整体思想及方程组的解法进行求解.40.(1)m5n2=⎧⎨=-⎩;(2)x1≤【分析】(1)整理后用加减消元法即可求解.(2)不等式去分母,去括号,移项合并,把x系数化为1,即可求出解集【详解】解:(1)原方程组整理得2520234m nm n-=⎧⎨+=⎩①②,①-①,得8n= -16,解得n= -2,将n= -2代入①,得2m-5×(-2)=20,解得m=5,①原方程组的解为52mn=⎧⎨=-⎩;(2)去分母得,-2(x-7)≥3(3x+1),去括号得,-2x+14≥9x+3,移项得,-2x-9x≥3-14,合并同类项得,-11x≥-11,化系数为1得,x≤1,故此不等式的解集为:x≤1.故答案为(1)52mn=⎧⎨=-⎩;(2)x≤1.【点睛】本题考查解二元一次方程组,解一元一次不等式,熟知解方程组的方法和解不等式的原则是解题的关键.在解答(2)时要注意,当不等式的两边同时除以一个负数时不等号的方向要改变.41.(1)代入消元法;加减消元法;基本思路都是消元;(2)13 xy=-⎧⎨=-⎩.【分析】(1)分析两种解法的具体方法,找出两种方法的共同点即可;(2)将两种方法补充完整即可.【详解】解:(1)解法一使用的具体方法是代入消元法,解法二使用的具体方法是加减消元法,以上两种方法的共同点是基本思路都是消元(或都设法消去了一个未知数,使二元问题转化为了一元问题);故答案为代入消元法,加减消元法,基本思路都是消元(或都设法消去了一个未知数,使二元问题转化为了一元问题);(2)方法一:由①得:x=2y+5①,把①代入①得:3(2y+5)﹣2y=3,整理得:4y=﹣12,解得:y=﹣3,把y=﹣3代入①,得x=﹣1,则方程组的解为13xy=-⎧⎨=-⎩;方法二:①﹣①,得﹣2x=2,解得:x=﹣1,把x=﹣1代入①,得﹣1﹣2y=5,解得:y=﹣3,则方程组的解为13xy=-⎧⎨=-⎩.【点睛】本题考查了解二元一次方程组,利用了消元的思想,消元的方法有:代入消元法与加减消元法.42.168元【详解】试题分析:(1)先列出两个等量关系:自动铅笔数量+钢笔数量=80,购自动铅笔钱数+购买钢笔B型灯钱数=360,解方程组求出自动铅笔和钢笔的单价,所以利用获利=自动铅笔利润+钢笔利润求出即可.试题解析:设自动铅笔买了x支,钢笔买了y支.则有解得这次赚得钱:7.2×50+5.6×30-360=168元答:他卖完这些笔可赚168元.考点:二元一次方程组的应用.43.(1)4-(2)88x y =⎧⎨=⎩【分析】(1)根据二次根式的性质、负指数的意义和二次根式的运算法则计算即可; (2)按照解二元一次方程组的方法解方程组即可.【详解】解:(1|2+(13-)﹣1=523--=4-(2)解方程组:11233240x y x y +⎧-=⎪⎨⎪+=⎩,化简得,3283240x y x y -=⎧⎨+=⎩①② ①+①得,648x =,解得,8x =,把8x =代入①得,2428y -=,解得,8y =,所以,原方程组的解为88x y =⎧⎨=⎩. 【点睛】本题考查了二次根式运算和解二元一次方程组,解题关键是熟练运用二次根式运算法则和熟练掌握二元一次方程组的解法.44.1±【分析】将x 和y 的值代入原方程,得到关于a 和b 的方程组,求出a 和b 的值即可.【详解】解:把21x y =⎧⎨=⎩代入二元一次方程组71ax by ax by +=⎧⎨-=⎩, 得:2721a b a b +=⎧⎨-=⎩,解得:23a b =⎧⎨=⎩. ①1b a -=,①b a -的平方根为1±.【点睛】本题考查了二元一次方程组的解以及平方根,解题的关键是求出a 和b 的值. 45.3.5【分析】根据已知条件得出方程组,求出a 、b 的值,根据题意得出3434232=⨯-⨯※,再求出答案即可.【详解】解:①527=※、()3412-=※,①5273412a b a b +=⎧⎨-=⎩①②, 2⨯+①②,得1326a =,解得:2a =,把2a =代入①,得1027b +=, 解得:32b =-, 所以343423 3.52=⨯-⨯=※. 【点睛】本题考查了解二元一次方程组和有理数的混合运算,能把二元一次方程组转化成一元一次方程是解此题的关键.46.(1)每只A 型口罩的销售利润为0.15元,每只B 型口罩的销售利润为0.2元(2)B 型口罩降价的百分率为92.5%【分析】(1)假设每只A 型口罩的销售利润为x 元,每只B 型口罩的销售利润为y 元,根据条件列二元一次方程组,求解即可;(2)设B 型口罩降价的百分率为m ,依题意列一元一次方程,求解即可.(1)解:设每只A 型口罩的销售利润为x 元,每只B 型口罩的销售利润为y 元,依题意,得:800450210400600180x y x y +=⎧⎨+=⎩, 解得:0.150.2x y =⎧⎨=⎩. ①每只A 型口罩的销售利润为0.15元,每只B 型口罩的销售利润为0.2元.。
中考二元一次方程组易错题50题含答案解析一、单选题1.下列各式中,是二元一次方程的为( ) A .23x y -B .12123x y+= C .11123x y -=D .3xy =2.已知方程组25{27x y x y +=+=,则x y -的值是( )A .5B .-2C .2D .-53.下列方程中,属于二元一次方程的是( ) A .=3B .xy ﹣3=1C .x+=5D .x 2﹣3y=04.下列方程中,二元一次方程的是( ) A .1xy =B .210xC .1x y -=D .11x y+= 5.下列方程组中,是二元一次方程组的是( )A .4119x y x y +=⎧⎪⎨+=⎪⎩B .1326x x y =⎧⎨-=⎩C .57x y y z +=⎧⎨+=⎩D .1x y xyx y -=⎧⎨-=⎩6.某年级共有246人,男生人数比女生人数的2倍少2人,问男、女生各有多少人?若设男生人数为x 人,女生人数为y 人,则( )A .24622x y y x +=⎧⎨=+⎩B .24622x y x y +=⎧⎨=+⎩C .24622x y y x +=⎧⎨=+⎩D .24622x y x y +=⎧⎨=+⎩7.关于x ,y 的二元一次方程组59x y kx y k +=⎧⎨-=⎩的解也是二元一次方程2x +3y =﹣6的解,则k 的值是( )A .﹣34B .34C .43D .﹣438.已知21x y =⎧⎨=⎩是关于x 、y 的方程2x -y +3k =0的解,则k 的值为( )A .-1B .2C .0D .19.方程x+4y=20的非负整数解有( ) A .4组B .5组C .6组D .无数组10.某人带了100元去市场头水果,他买了1千克的哈密瓜,2千克的青提葡萄,还剩30元.设哈密瓜每千克x 元,青提葡萄每千克y 元,得方程x +2y =70.则下列说法中,正确的是()A.1 千克青提葡萄的价格可以是36元B.若1千克哈密瓜的价格是12元,则1千克青提葡萄的价格是20元C.若x my n=⎧⎨=⎩是方程x+2y=70的解,则m,n都可以表示哈密瓜、青提葡萄的单价D.若m,n分别表示哈密瓜、青提葡萄的单价,则m,n一定是方程x+2y=70的解11.若21xy=⎧⎨=⎩是关于x、y的方程ax﹣y=3的解,则a=()A.1B.2C.3D.412.《九章算术》是中国古代的一本重要数学著作,其中有一道方程的应用题:“五只雀、六只燕共重16两,雀重燕轻.互换其中一只,恰好一样重.假设每只雀的重量相同,每只燕的重量相同,问每只雀、燕的重量各为多少?”解:设雀每只x两,燕每只y两,则可列出方程组为()A.651665x yx y y x+=⎧⎨+=+⎩B.651654x yx y y x+=⎧⎨+=+⎩C.561656x yx y y x+=⎧⎨+=+⎩D.561645x yx y y x+=⎧⎨+=+⎩13.某单位在一快餐店订了22盒盒饭,共花费183元,盒饭共有甲、乙、丙三种,它们的单价分别为10元、8元、5元.那么可能的不同订餐方案有()A.1个B.2个C.3个D.4个14.以方程组34105642x yx y-=⎧⎨+=⎩的解为坐标的点(x,y)在平面直角坐标系中的位置是()A.第一象限B.第二象限C.第三象限D.第四象限15.下列说法中正确的是()A.二元一次方程3x-2y=5的解为有限个B.方程3x+2y=7的自然数解有无数对C.方程组x yx y+=⎧⎨-=⎩的解为0D.方程组中各个方程的公共解叫做这个方程组的解16.疫情防控期间,某社区决定用1000元订购A,B两种型号口罩(两种口罩都买),其中A种型号口罩每包80元,B种型号口罩每包120元,则可供社区选择的购买方案有()A .4种B .5种C .6种D .7种17.现有几个人共同购买一件物品,每人出8钱,则多3钱;每人出7钱,则少4钱,求物品的价格和共同购买该物品的人数,设体物品的价格是x 钱,共同购买该物品的有y 人,根据题意,列出的方程组是( )A .374y x y x -=⎧⎨-=⎩B .8374y x y x -=⎧⎨-=-⎩C .8374y x y x -=-⎧⎨-=-⎩D .8374y x x y -=⎧⎨-=⎩18.当a 为何值时,方程组3522718x y ax y a -=⎧⎨+=-⎩的解,x 、y 的值互为相反数( )A .a =﹣8B .a =8C .a =10D .a =﹣1019.关于,x y 的方程组25527x y ax y -=⎧⎨+=⎩的解满足2x y +>,则a 的取值范围为( )A .15a <-B .15a >-C .15a <D .15a >二、填空题20.若单项式﹣5x 4y 2m +n 与2017xm ﹣ny 2是同类项,则m -7n 的算术平方根是_________. 21.已知21x y =-⎧⎨=⎩是二元一次方程mx+y=3的解,则m 的值是________.22.方程3x m-1+2y n-3=3是关于x 、y 的二元一次方程,则m=_______,n=________.23.若点M (x ,y )的坐标为方程组252y x y x =+⎧⎨=-+⎩的解,则点M 位于第_________ 象限.24.观察下列表格,写出方程组7350862x y x y -=⎧⎨-=⎩的解是____________.25.一轮船从甲地到乙地顺流航行需4小时,从乙地到平地逆流航行需6小时,则一木筏由甲地漂流到乙地的时间为__________. 26.由方程组21{3x m y m+=-=可得出x 与y 关系是______.27.若23x y =-⎧⎨=⎩是关于x ,y 的二元一次方程36x my +=的一个解,则m =___________.28.已知方程组2524x y x y +=⎧⎨+=⎩,那么(1)x y +=__________;x y -=__________. (2)421132435x y x y +----=__________. 29.已知x 、y 满足方程组35ax by ax by +=⎧⎨-=⎩的解是12x y =⎧⎨=-⎩,则()()()()113115a x b y a x b y ⎧++-=⎪⎨+--=⎪⎩的解为_______.30.甲、乙、丙三数的和是26,甲数比乙数大1,甲数的两倍与丙数的和比乙数大18,那么甲、乙、丙三个 数分别是__________.31.根据下图给出的信息,求每件T 恤衫和每瓶矿泉水的价格.设T 恤衫和每瓶矿泉水的价格分别为x 元和y 元,列方程组得______.32.把方程2x ﹣y ﹣3=0化成用含x 的代数式表示y 的形式:y =_____.33.解方程组278ax by cx y +=⎧⎨-=⎩时,甲同学正确解得32x y =⎧⎨=⎩,乙同学因把c 写错而得到21x y =-⎧⎨=⎩,则=a ______,b =_____,c =________. 34.若代数式232x x ++可以表示为2(1)(1)x a x b -+-+的形式,则2+a b 的值是________.35.有两块试验田,原来可产花生470kg ,改用良种后共产花生532kg.已知第一块试验田的产量比原来增加了16%,第二块试验田的产量比原来增加了10%,则这两块试验田改用良种后,第一块试验田增产________kg ,第二块试验田增产________kg.36.新晋网红打卡地的重庆十八梯吸引众多游客.某店借此购进一批文创产品,有冰箱贴A,手账本B,钥匙扣C,明信片D.其中C和D的数量和占总数量的45,且其数量比为1:7,A,B,C,D的进价分别为6元,12元,2元,1元,售价分别为9元,16元,4元,2元,全部售出后利润率为55%.该店第二次购入这四种产品,其中A数量增加,B数量不变,C数量是原来的2倍,D数量减少.已知A,B,C,D 的购进总数量与第一次相同,且A数量不超过50件.A、C第二次进价分别为6.6元,2.4元,B,D进价保持不变,另新购35个手机壳E,其进价为6元.店主将A,B,E的售价分别定为10元,18元,8元,C,D售价保持不变.恰逢文创主题宣传日,店主推出“游客每购买一个B就赠送一个D”的优惠,B最快售完.第二批五种产品全部售出后利润率为50%.则第二批购入A的数量为______.37.已知关于x的方程2817x x m-+=的解满足3(04)25x y nnx y n-=-⎧<<⎨+=⎩,若1y>,则m的取值范围是________.38.某医院在入口处开设了A、B、C三种画道,分别供本院医务人员、普通患者、老年患者入院,A、B、C通道共5个,每分钟每个通道平均可通过的人数比为6:5:3.该医院准备再增加三种类型的通道共5个,其中A型通道增加1个,受疫情防控影响,入口通行变缓慢,此时每分钟每个通道(包括之前的和新增的通道)平均可证行的人数均减少4人.据统计,新增通道后,所有通道平均每分钟可通行的总人数比之前的总人数增加了48人,且新增后所有B型通道每分钟平均可通过的人数与新增后的总人数之比为5:9.那么新增通道后,该医院所有通道平均每分钟可通行的总人数为______.39.2018年10月21日,重庆市第八届中小学艺术工作坊在渝北区空港新城小学体育馆开幕,来自全重庆市各个区县共二十多个工作坊集中展示了自己的艺术特色.组委会准备为现场展示的参赛选手购买三种纪念品,其中甲纪念品5元/件,乙纪念品7元/件,丙纪念品10元/件.要求购买乙纪念品数量是丙纪念品数量的2倍,总费用为346元.若使购买的纪念品总数最多,则应购买纪念品共_____件.三、解答题40.已知二元一次方程310x+y=(1)直接写出它所有的整数解;(2)请你写出一个二元一次方程,使它与已知方程组成的方程组的解为24x y =-⎧⎨=⎩41.(1)解方程组5238x y x y +=⎧⎨+=⎩(2)计算:2344111a a a a a -+⎛⎫-+÷ ⎪++⎝⎭ 42.关于x ,y 的二元一次方程组23322x y kx y k +=⎧⎨+=-⎩(1)若当方程组的解的和为6时,求k 的值. (2)设w x y =+,若31k -<<时,求w 的取值范围.43.解方程组:523437x y x y -=⎧⎨+=⎩ .44.如图,在平面直角坐标系xOy 中,对正方形ABCD 及其内部的每个点进行如下操作:把每个点的横、纵坐标都乘以同一种实数a ,将得到的点先向右平移m 个单位,再向上平移n 个单位(0,0)m n >>.得到正方形''''A B C D 及其内部的点,其中点A 、B 的对应点分别为'A ,'B .已知正方形ABCD 内部的一个点F 经过上述操作后得到的对应点'F 与点F 重合,求点F 的坐标.45.已知点(2,5)-+A a b a ,(21,)--+B b a b .若A 、B 关于y 轴对称,求2020(4)+a b 的值.46.某校修建了一栋4层的新教学楼,每层楼有6间教室,每间教室最多可容纳45名学生,进出这栋大楼共有3道门(一道正门和两道大小相同的侧门,在学校安全专项检查中,对这三道门进行了测试:当同时开启一道正门和一道侧门时,2分钟内可以通过400名学生,且一道正门平均每分钟比一道侧门可多通过40名学生. (1)求平均每分钟一道正门和一道侧门各可以通过多少名学生.(2)检查中发现,紧急情况下,因学生会发生拥挤,出门的效率降低20%.安全规定:在紧急情况下全大楼的学生应在5分钟内通过这三道门安全撤离.建造的这三道门是否符合安全规定?为什么?47.下面是学习二元一次方程组时,老师提出的问题和两名同学所列的方程.问题:某个工人一天工作6个小时,可以生产零件一整箱和不足一箱的20个;由于特殊情况,今天他只工作4个小时,生产零件一整箱和不足一箱的4个,问这一箱零件和该工人每小时能生产的零件数分别是多少?小明所列方程:62044y x y x =+⎧⎨=+⎩小亮所列方程:()42046x x +=+根据以上信息,解答下列问题.(1)以上两个方程(组)中x 意义是否相同?______(填“是”或“否”);(2)小亮的方程所用等量关系______(填序号,“①每个小时生产的零件数”或“①4个小时生产的零件数相等”);(3)从以上两个方程(组)中任选一个求解,完整解答老师提出的问题. 48.已知抛物线2y x bx c =++.(1)当抛物线与x 轴只有一个公共点时,求b 、c 满足的关系式;(2)当2b =时,()()12,,3,M m y N y 是抛物线图象上的两点,且12y y >,求实数m 的取值范围;(3)若抛物线上的点(,)P s t ,满足11s -≤≤时,t 有最小值为1和最大值为4+b .求,b c 的值.49.随着信息社会的不断发展,传统的教学模式也在不断发生改变.某培训机构顺应时代发展和大众需求,对培训课程采取了线上线下同步销售的策略,已知2节线上课程和3节线下课程需1075元,5节线上课程和2节线下课程需1450元. (1)分别求出该机构每节课的线上价格和线下价格;(2)该机构四月上旬业绩很不理想,因此中旬对线上、线下价格进行了调整,线上价格打八折,线下每节课价格降低25元,中旬共售出450节课,总销售额为78000元.因为疫情影响,马上来临的“五一”五天小长假.更多的人计划“充电”提升自己,该机构瞄准商机,四月下旬发起线上线下课程团购活动,被团购的课程数量越多.每节课的价格越便宜,果然四月下旬销量大幅增加,线上课程团购数量比中旬线上课程销量增加了12%a ,每节课的价格相较于中旬线上课程价格降低1%2a ,线下课程团购数量比中旬线下课程销量增加了4%a ,每节课的价格相较于中旬线下课程降低3%5a ,这批团购课程的销售总额比这批课程如果按照中旬线上线下对应价格销售所得的总额减少了共11%21a ,求a .参考答案:1.C【分析】二元一次方程:含有两个未知数,且含未知数的项的最高次数是1,这样的整式方程是二元一次方程,根据定义逐一判断即可.【详解】解:23x y -是代数式,不是方程,故A 不符合题意; 12123x y+=不是整式方程,故B 不符合题意; 11123x y -=符合二元一次方程的定义,故C 符合题意; 3xy =是二元二次方程,故D 不符合题意;故选:.C【点睛】本题考查的是二元一次方程的定义,掌握二元一次方程的定义是解题的关键. 2.C【详解】①-①可得x-y=2,故选C. 3.A【详解】试题分析:B 中xy 项次数为2.C 中去分母后x 项变为xy 项,次数为2次;D 中x 2次数为2次.故选A . 考点:二元一次方程性质点评:本题难度较低,主要考查学生对二元一次方程各项次数判断的学习.注意C 中干扰项. 4.C【分析】根据二元一次方程的定义可得答案.【详解】解:A .含有2个未知数,未知数的项的最高次数是2的整式方程,不属于二元一次方程,不符合题意;B .含有1个未知数,未知数的项的最高次数是2的整式方程,不属于二元一次方程,不符合题意;C .含有2个未知数,未知数的项的最高次数是1的整式方程,属于二元一次方程,符合题意;D .是分式方程,不属于二元一次方程,不符合题意. 故选:C .【点睛】此题主要考查二元一次方程的概念,要求熟悉二元一次方程的形式及其特点:含有2个未知数,未知数的项的次数是1的整式方程. 5.B【分析】二元一次方程满足的条件:为整式方程;含有2个未知数;最高次项的次数是1;两个二元一次方程组合成二元一次方程组.【详解】解:A 、第二个方程不是整式方程,不符合题意;B 、两个方程均为二元一次方程,符合题意;C 、整个方程组含有3个未知数,不符合题意;D 、最高次项的次数是2,不符合题意;故选:B .【点睛】主要考查二元一次方程组的概念,要求熟悉二元一次方程的形式及其特点:含有2个未知数,最高次项的次数是1的整式方程;注意二元一次方程组里只能含有2个未知数. 6.A【分析】若设男生人数为x 人,女生人数为y 人,根据某年级共有246名学生,男生人数为女生人数的2倍少2人,可列出方程组. 【详解】设男生人数为x 人,女生人数为y 人,24622x y y x +=⎧⎨=+⎩. 故选A .【点睛】本题考查理解题意的能力,以总人数和男生和女生的数量关系做为等量关系列方程组. 7.A【分析】先用含k 的代数式表示x 、y ,即解关于x ,y 的方程组,再代入2x +3y =﹣6中可得.【详解】解:解方程组 59x y k x y k +=⎧⎨-=⎩,得:x =7k ,y =﹣2k ,把x ,y 代入二元一次方程2x +3y =﹣6, 得:2×7k +3×(﹣2k )=﹣6,解得:k=﹣34,故选:A.【点睛】本题主要考查二元一次方程组的解法,解题的关键是用含k的代数式表示x、y.8.A【分析】把21xy=⎧⎨=⎩代入方程2x-y+3k=0即可求出k的值.【详解】解:把21xy=⎧⎨=⎩代入方程2x-y+3k=0,得4-1+3k=0,①k=-1.故选A.【点睛】本题考查了求二元一次方程的解,能使二元一次方程左右两边相等的未知数的值叫做二元一次方程的解.9.C【分析】分别列举出方程的非负整数解即可.【详解】①x=20,y=0;①x=16,y=1;①x=12,y=2;①x=8,y=3;①x=4,y=4;①x=0,y=5;一共有6组.故选C.【点睛】本题主要考查二元一次方程的非负整数解,一般直接列举出各组解即可.10.D【分析】根据题意和题目中的数据,可以判断各个选项中的说法是否正确,从而可以解答本题.【详解】解:①设哈密瓜每千克x元,青提葡萄每千克y元,得方程x+2y=70,①当y=36时,x=-2,此种情况不合实际,故选选项A不正确;当x=12时,12+2y=70,解得y=29,故选项B不正确;若x my n=⎧⎨=⎩是方程x+2y=70的解,则m,n不一定可以表示哈密瓜、青提葡萄的单价,如m=-2,n=36,故选项C不正确;若m,n分别表示哈密瓜、青提葡萄的单价,则m,n一定是方程x+2y=70的解,故选项D 正确;故选:D.【点睛】本题考查由实际问题抽象出二元一次方程、二元一次方程的解,解答本题的关键是明确题意,利用二元一次方程的知识解答.11.B【分析】根据方程的解满足方程,把解代入方程,可得关于a的一元一次方程,根据解一元一次方程,可得答案.【详解】解:①21xy=⎧⎨=⎩是关于x、y的方程ax﹣y=3的解,①代入得:2a﹣1=3,解得:a=2,故选B.【点睛】本题考查了本题考查了二元一次方程的解,掌握方程解的定义是解题的关键.12.D【分析】根据题意列二元一次方程组即可.【详解】设雀每只x两,燕每只y两则五只雀为5x,六只燕为6y,共重16两,则有5x+6y=16,互换其中一只则五只雀变为四只雀一只燕,即4x+y,六只燕变为五只燕一只雀,即5y+x,且一样重即4x+y=5y+x,由此可得方程组561645x yx y y x+=⎧⎨+=+⎩.故选:D.【点睛】列二元一次方程组解应用题的一般步骤.审:审题,明确各数量之间的关系;设:设未知数(一般求什么,就设什么);找:找出应用题中的相等关系;列:根据相等关系列出两个方程,组成方程组;解:解方程组,求出未知数的值;答:检验方程组的解是否符合题意,写出答案.13.D【分析】设甲盒饭、乙盒饭分别有x盒、y盒,则丙盒饭有(22﹣x﹣y)盒.根据共花费183元列方程,然后根据盒饭的数量都是正整数分析求解.【详解】解:设甲盒饭、乙盒饭分别有x盒、y盒,则丙盒饭有(22﹣x﹣y)盒.根据题意,得10x+8y+5(22﹣x﹣y)=183,整理,得5x+3y=73,7353xy-=.又0<x<22,0<y<22,0<22﹣x﹣y<22,则3.5<x<14.6,且x、y为整数,则x=5,8,11,或14.故选:D.【点睛】本题考查了二元一次方程的正整数解的应用,根据题意列出方程,并确定正整数解是解题关键.14.A【分析】解二元一次方程组得到x、y的值,从而得到点的坐标即可判断在第几象限.【详解】解:3410 5642 x yx y-=⎧⎨+=⎩解得:62 xy=⎧⎨=⎩①点的坐标(6,2)在第一象限.故选:A【点睛】本题主要考查的是二元一次方程的解法以及象限中点的特点,掌握以上方法是解题的关键.15.D【详解】A选项中,因为方程3x-2y=5的解有无数个,所以A选项错误;B 选项中,因为方程3x+2y=7的自然数解只有1对,所以B 选项错误;C 选项中,因为原方程组的解为00x y =⎧⎨=⎩,所以C 选项错误; D 选项中,因为“方程组的解就是方程组中各个方程的公共解”,所以D 选项正确; 故选D.点睛:(1)关于x y 、的二元一次方程()00ax by c a b +=≠≠,的解通常有无数个;(2)关于x y 、的二元一次方程组111222a x b y c a x b y c +=⎧⎨+=⎩的每一个解中应该包含两个未知数的值. 16.A【分析】设购买A 种型号x 包,B 种型号y 包,根据题意可列出二元一次方程,再根据实际意义求出整数解即可.【详解】设购买A 种型号x 包,B 种型号y 包,则可得方程:801201000x y +=,化简得:2325x y +=,由题意,x 和y 均为正整数,①①当x =2时,y =7,即:A 种型号2包,B 种型号7包;①当x =5时,y =5,即:A 种型号5包,B 种型号5包;①当x =8时,y =3,即:A 种型号8包,B 种型号3包;①当x =11时,y =1,即:A 种型号11包,B 种型号1包;①共有四种购买方案供选择,故选:A .【点睛】本题考查二元一次方程的正整数解,理解问题的实际意义,准确求取二元一次方的整数解是解题关键.17.B【分析】由题意设该物品的价格是x 钱,共同购买该物品的有y 人,由“每人出8钱,则多3钱;每人出7钱,则差4钱”,即可得出关于x ,y 的二元一次方程组.【详解】解:设该物品的价格是x 钱,共同购买该物品的有y 人,依题意可得:8374y x y x -=⎧⎨-=-⎩.故选:B .【点睛】本题考查由实际问题抽象出二元一次方程组以及数学常识,找准等量关系,正确列出二元一次方程组是解题的关键.18.B【分析】本题x 、y 的值互为相反数,可以得到一个新的二元一次方程x+y=0,将第一个方程减去第二个方程乘2,可以得到不含a 的方程-x-19y=36,组成新的二元一次方程组,解出x 、y 的值,最后代入第一个方程即可求出a 的值.【详解】解:当x 、y 互为相反数时,x+y =0①3522718x y a x y a -=⎧⎨+=-⎩①② ①①﹣①×2得:﹣x ﹣19y =36①01936x y x y +=⎧⎨--=⎩解得:22x y =⎧⎨=-⎩ 把x =2,y =﹣2代入①得:6+10=2a解得:a =8故选B .【点睛】本题考查了含参数的二元一次方程组,能够构建新的不含未知数的二元一次方程组是解决本题的关键.19.A【分析】用代入消元法解二元一次方程组将x 、y 用含a 的式子表示出来,然后再解不等式即可.【详解】解:25527x y a x y -=⎧⎨+=⎩①② 由①得:52x a y =+ ①将①代入①得:()55227a y y ++= ,解得:72512a y -=将72512a y -=代入①代入:576a x += ①2x y +> ①57725+2612a a +->,解得:15a <- 故答案为:A【点睛】本题考查参数二元一次方程组与不等式结合,掌握代入消元法解二元一次方程组是解题关键.20.4【详解】根据同类项定义由单项式﹣5x 4y 2m +n 与2017xm ﹣ny 2是同类项,可以得到关于m 、n 的二元一次方程4=m ﹣n ,2m +n =2,解得:m =2,n =﹣2,因此可求得m ﹣7n =16,即m ﹣7n 的算术平方根,故答案为 4.21.-1【分析】把二元一次方程的解代入原方程即可求出m 的值.【详解】把21x y =-⎧⎨=⎩代入二元一次方程mx+y=3得-2m+1=3,解得m=-1. 【点睛】此题主要考查二元一次方程的解,解题的关键是熟知二元一次方程的解的定义. 22. m=2 n=4【详解】①方程3x m-1+2y n-3=3是关于x 、y 的二元一次方程,①1131m n -=⎧⎨-=⎩,解得24m n =⎧⎨=⎩,即m=2,n=4. 23.二【分析】用代入消元法解二元一次方程组,得到x 、y 的值,即M 的坐标,即可解答.【详解】252y x y x =+⎧⎨=-+⎩①② 将①代入①中,得:252x x +=-+解得:=1x -将=1x -代入①中,得:3y =故原方程组的解为13x y =-⎧⎨=⎩故点M (-1,3)故点M 在第二象限.【点睛】本题考点涉及解二元一次方程组以及平面坐标系内点的坐标,熟练掌握相关知识点是解题关键.24.82x y =⎧⎨=⎩ 【分析】观察表格找出两个方程的公共解,即可得到方程组的解.【详解】解:观察表格可以发现,x =8和2y =是两方程的公共解,①原方程组的解为82x y =⎧⎨=⎩; 故答案为:82x y =⎧⎨=⎩. 【点睛】本题考查了二元一次方程组的解,解题的关键是理解方程组的解.25.24小时【分析】设轮船在静水的速度为x ,水流速度为y ,甲乙两地的距离为a ,然后根据一轮船从甲地到乙地顺流航行需4小时,从乙地到平地逆流航行需6小时,列出方程求解即可.【详解】解:设设轮船在静水的速度为x ,水流速度为y ,甲乙两地的距离为a ,由题意得:()()46x y a x y a ⎧+=⎪⎨-=⎪⎩, 解得524x y a y =⎧⎨=⎩①则一木筏由甲地漂流到乙地的时间24a y==小时, 故答案为:24小时.【点睛】本题主要考查了二元一次方程组的实际应用,解题的关键在于能够准确根据题意列出方程进行求解.26.24x y += 【详解】解:213x m y m ⎧⎨⎩+=-=①② 将①代入①得2x+y-3=1,即2x+y=4.故答案为:2x+y=4.27.4【分析】将23x y =-⎧⎨=⎩代入x ,y 的二元一次方程36x my +=,得出关于m 的方程,解方程即可.【详解】解:①23x y =-⎧⎨=⎩是关于x ,y 的二元一次方程36x my +=的一个解, ①()3236m ⨯-+=,解得:4m =.故答案为:4.【点睛】本题主要考查了二元一次方程的解,根据题意得出关于m 的方程()3236m ⨯-+=,是解题的关键.28. 3 1 2【分析】(1)两式相加再化简即可得出3x y +=,两式相减即可得出1x y -=; (2)将所求式子进行变形,然后将方程组的式子整体代入即可得解.【详解】(1)2524x y x y +=⎧⎨+=⎩①②+①②,得()39x y +=,即3x y +=①-②,得1x y -=故答案为:3;1;(2)()()221132242113243535x y x y x y x y +--++----=- =251132435⨯--⨯- =3-1=2故答案为:2.【点睛】此题主要考查利用二元一次方程组求解代数式,解题关键是运用整体代换思想.29.01x y =⎧⎨=-⎩【分析】根据两方程的特点,把x+1与y-1当做一个整体,代入原方程组的解即可.【详解】依题意得1112x y +=⎧⎨-=-⎩, 解得01x y =⎧⎨=-⎩故填:01x y =⎧⎨=-⎩. 【点睛】此题主要考查二元一次方程组的解,解题的关键是熟知整体法的使用. 30.10,9,7【分析】先设甲数为x ,乙数为y ,丙数为z ,根据甲乙丙三个数的和为26,甲数比乙数大1,甲数的两倍与丙数的和比乙数大18,列出方程组,求出方程组的解即可.【详解】设甲数为x ,乙数为y ,丙数为z ,根据题意得:261218x y z x y x z y ++=⎧⎪-=⎨⎪+-=⎩, 解得:1097x y z =⎧⎪=⎨⎪=⎩,则甲数是10,乙数是9,丙数是7,故答案为10,9,7.【点睛】本题考查了三元一次方程组的应用,解题的关键是读懂题意,根据题目中的数量关系,列出方程组.31.2284346x y x y +=⎧⎨+=⎩【分析】设每件T 恤衫为x 元,每瓶水y 元,根据第一幅图中两件T 恤衫和两瓶矿泉水为84元,第二幅图中一件T 恤衫和三瓶矿泉水共计46元,可列方程组.【详解】依题意得:2284346x y x y +=⎧⎨+=⎩.故答案为2284346x y x y +=⎧⎨+=⎩. 【点睛】本题考查理解题意的能力,关键根据图中给的信息,以钱数做为等量关系列方程组.32.2x ﹣3【分析】把方程2x-y-3=0看作关于y 的一元一次方程,然后解一次方程即可.【详解】解:解关于y 的方程2x ﹣y ﹣3=0得y =2x ﹣3.故答案为y =2x ﹣3.【点睛】本题考查二元一次方程,解题关键在于熟练掌握计算法则.33. 27- 107223 【分析】把甲乙两同学的结果代入方程组第一个方程计算求出a 与b 的值,把甲结果代入第二个方程求出c 的值即可.【详解】解:把32x y =⎧⎨=⎩与21x y =-⎧⎨=⎩代入ax +by =2得:32222a b a b ⎧⎨-⎩+=①+=②, ①−①×2得:27a -=, ①×2+①×3得:107b =, 把32x y =⎧⎨=⎩代入cx −7y =8得:3c −14=8, 解得:223c =, 故答案为:27-,107,223. 【点睛】此题考查了解二元一次方程组,利用了消元的思想,消元的方法有:代入消元法与加减消元法.34.17.【分析】将2(1)(1)x a x b -+-+展开,然后和232x x ++对号入座进行对比:一次项系数相等、常数项相等,从而得到关于a 、b 的二元一次方程组,解方程组后代入求值即可得解.【详解】解:①()()222(1)(13)221x a x b x a x x a x b -+-+=++-+-+=++①2312a a b -=⎧⎨-++=⎩①56a b =⎧⎨=⎩ ①25+26=17a b +=⨯.故答案是:17【点睛】本题考查了多项式乘以多项式法则、两个多项式相等即各项对应相等、解二元一次方程组、代数求值等知识点,能够得到关于a 、b 的二元一次方程组是解决问题的关键.35. 40 22【分析】根据题意可知,本题中的相等关系是“原来两块试验田可产花生470千克”和“改用良种后两块田共产花生532千克,第一块田的产量比原来增加16%,第二块田的产量比原来增加10%后的产量”,列方程组求解即可.【详解】设第一,二块田原产量分别为x 千克,y 千克.得47016%10%532470x y x y +⎧⎨+-⎩== 解得250220x y =⎧⎨=⎩所以16%x=40,10%y=22.故答案为40;22【点睛】此题主要考查了二元一次方程组的应用,准确的找到等量关系并用方程组表示出来是解题的关键.36.49或28##28或49【分析】首先利用第一次全部售出的利润率将四种商品的数量表示出来,再利用第二次全部售出的利润求解即可.【详解】解:设购进冰箱贴、手账本、钥匙扣、明信片的数量分别是a 、b 、c 、d , 由题意可知()45c d a b c d +=+++,即:44c d a b +=+ ,同时满足:7d c =,A ,B ,C ,D 每件商品的利润为3元,4元,2元,1元,则:全部售出利润为()342a b c d +++元,由题意可知,此时利润为55%,因此可得:3420.556122a b c d a b c d +++=+++, 化简得:6521890a b c d +--=,由此可得:0.5a c =, 1.5b c =,7d c =,设第二次购入时A 增加m 个,D 减少n 个,由题意可知,总数量不变,2a m b c d n a b c d ++++-=+++,即c n m =-,第二次当A ,B ,C ,D 单独出售时,每件商品的利润为3.4元,6元,1.6元,1元,E 每件商品的利润为2元,当存在购买一个B 就赠送一个D 时,此时的B 、D 的整体利润值为6-1=5(元) 由题意可知,当五种商品全部售出时获得的利润为:()()3.44 3.2 3.43520.56.612 2.42356a b c d m n a m b c d n ++++-+⨯=+++⨯+-+⨯, 即,0.24 1.653500a b c d m n -+++--=,可得:208553500a b c d m n -+++--=,①c n m =-①1725700n m -=,第二批购入A 的为数量为0.5c m +,即()0.5n m +,解得第二批购入A 的数量为:700421021203417m m ++=+, M 为整数,且102117m +为整数,且10213017m +≤,n 为整数, 解得:m =23或m =6,当m =23时,n =75,此时第二批购入A 的数量为:()0.50.59849n m +=⨯=,当m =6时,n =50,此时第二批购入A 的数量为:()0.50.55628n m +=⨯=,综上,第二批购入A 的数量为49或28,故答案为:49或28.【点睛】本题主要考查一元一次方程的实际应用,解题的关键是将第一次和第二次利润率表示出来.利润率=利润÷总收入×100%.37.15m ≤<【分析】解方程组得到221x n y n =+⎧⎨=-⎩,根据y 的取值范围求出n 的取值范围,又n=x-2得出x。
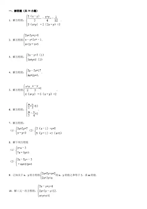
一.解答题(共30小题)1.解方程组:.2.解方程组.3.解方程组:4.解方程组:.5.解方程组.6.解方程组:.7.解方程组:(1)(2)8.解下列方程组(1)(2)9.已知关于x、y的方程组的x、y的值之和等于2,求m的值.10.解三元一次方程组:.11.已知关于x,y的二元一次方程组的解x与y的值互为相反数,试求m的值.12.解下列方程组.(1)(2)(3)(4).13.某铁件加工厂用如图1的长方形和正方形铁片(长方形的宽与正方形的边长相等)加工成如图2的竖式与横式两种无盖的长方体铁容器.(加工时接缝材料不计)(1)如果加工竖式铁容器与横式铁容器各1个,则共需要长方形铁片_________张,正方形铁片_________张;(2)现有长方形铁片2014张,正方形铁片1176张,如果加工成这两种铁容器,刚好铁片全部用完,那加工的竖式铁容器、横式铁容器各有多少个?(3)把长方体铁容器加盖可以加工成为铁盒.现用35张铁板做成长方形铁片和正方形铁片,已知每张铁板可做成3个长方形铁片或4个正方形铁片,也可以将一张铁板裁出1个长方形铁片和2个正方形铁片.该如何充分利用这些铁板加工成铁盒,最多可以加工成多少个铁盒?14.甲仓库和乙仓库分别存放着某种机器20台和6台.现在准备调运给A厂10台,B厂16台,已知从甲库调运一台机器到A厂的运费为400元,到B厂的运费为800元;从乙库调运一台机器到A厂的运费为300元,到B厂的运费为500元,如果总运费用了16000元.求:从甲库调给A厂,乙库调给B厂各为多少台机器?15.2010年4月14日青海省玉树发生了7.1级大地震,驻军某部(位于距玉树县城结古镇91公里处的上拉秀镇)接到上级命令,须火速前往结古镇救援.已知该部有120名官兵,且步行的速度为每小时10公里,现仅有一辆时速为80公里的卡车,可乘坐40人,请你设计一个乘车兼步行方案,使该部120人能在最短时间内赶往重灾区结古镇救援.其中中途换车(上、下车)的时间均忽略不计,最快多少时间可以赶到?(可用分数表示)16.(2009•云南)在“家电下乡”活动期间,凡购买指定家用电器的农村居民均可得到该商品售价13%的财政补贴.村民小李购买了一台A型洗衣机,小王购买了一台B型洗衣机,两人一共得到财政补贴351元,又知B型洗衣机售价比A型洗衣机售价多500元.求:(1)A型洗衣机和B型洗衣机的售价各是多少元?(2)小李和小王购买洗衣机除财政补贴外实际各付款多少元?17.(2009•江苏)一辆汽车从A地驶往B地,前路段为普通公路,其余路段为高速公路.已知汽车在普通公路上行驶的速度为60km/h,在高速公路上行驶的速度为100km/h,汽车从A地到B地一共行驶了2.2h.请你根据以上信息,就该汽车行驶的“路程”或“时间”,提出一个用二元一次方程组解决的问题,并写出解答过程.18.(2009•长沙)某中学拟组织九年级师生去韶山举行毕业联欢活动.下面是年级组长李老师和小芳、小明同学有关租车问题的对话:李老师:“平安客运公司有60座和45座两种型号的客车可供租用,60座客车每辆每天的租金比45座的贵200元.”小芳:“我们学校八年级师生昨天在这个客运公司租了4辆60座和2辆45座的客车到韶山参观,一天的租金共计5000元.”小明:“我们九年级师生租用5辆60座和1辆45座的客车正好坐满.”根据以上对话,解答下列问题:(1)平安客运公司60座和45座的客车每辆每天的租金分别是多少元?(2)按小明提出的租车方案,九年级师生到该公司租车一天,共需租金多少元?19.(2007•临夏州)某同学在A、B两家超市发现他看中的英语学习机的单价相同,书包单价也相同,英语学习机和书包单价之和是452元,且英语学习机的单价比书包单价的4倍少8元.(1)求该同学看中的英语学习机和书包单价各是多少元?(2)某一天该同学上街,恰好赶上商家促销,超市A所有商品打7.5折销售;超市B全场购物满100元返购物券30元销售(不足100元不返券,购物券全场通用),但他只带了400元钱,如果他只在一家超市购买看中的英语学习机、书包,那么在哪一家购买更省钱?两团共计应付门票费1392元,若合在一起作为一个团体购票,总计应付门票费1080元.(1)请你判断乙团的人数是否也少于50人;(2)求甲、乙两旅行团各有多少人?21.(2006•恩施州)某酒店客房部有三人间、双人间客房,收费数据如下表.为吸引游客,实行团体入住五折优惠措施.一个50人的旅游团优惠期间到该酒店入住,住了一些三人普通间和双人普通间客房.若每间客房正好住满,且一天共花去住宿费1510元,则旅游团住了三人普通间和双人普通间客房22.(2005•无锡)某天,一蔬菜经营户用60元钱从蔬菜批发市场批了西红柿和豆角共40㎏到菜市场去卖,西红柿23.(2005•乌鲁木齐)为满足市民对优质教育的需求某中学决定改变办学条件计划拆除一部分旧校舍、建造新校舍.拆除旧校舍每平米需80元,建造新校舍每平米需700元.计划在年内拆除旧校舍与建造新校舍共7200平方米,在实施中为扩大绿化面积,新建校舍只完成了计划的80%,而拆除校舍则超过了10%,结果恰好完成了原计划的拆、除的总面积.(1)求原计划拆建面积各多少平方米?(2)若绿化1平方米需200元,那么在实际完成的拆、建工程中节余的资金用来绿化大约是多少平方米?24.(2005•衢州)在“五•一”黄金周期间,小明、小亮等同学随父母一同去某地旅游,在某景点购买门票时,小明与小亮的对话:问:(1)小明他们一共去了几个成人几个学生?(2)请你帮小明算一算,用哪种方式买票更省钱并说明理由.25.(2005•呼和浩特)《一千零一夜》中有这样一段文字:有一群鸽子,其中一部分在树上欢歌,另一部分在地上觅食,树上的一只鸽子对地上的觅食的鸽子说:“若从你们中飞上来一只,则树下的鸽子就是整个鸽群的;若从树上飞下去一只,则树上、树下的鸽子有一样多了.”你知道树上、树下各有多少只鸽子吗?26.(2004•哈尔滨)“利海”通讯器材商场,计划用60000元从厂家购进若干部新型手机,以满足市场需求,已知该厂家生产三种不同型号的手机,出厂价分别为甲种型号手机每部1800元,乙种型号手机每部600元,丙种型号手机每部1200元.(1)若商场同时购进其中两种不同型号的手机共40部,并将60000元恰好用完.请你帮助商场计算一下如何购买;(2)若商场同时购进三种不同型号的手机共40部,并将60000元恰好用完,并且要求乙种型号手机的购买数量不少于6部且不多于8部,请你求出商场每种型号手机的购买数量.元,乙班则一次购买苹果70千克.(1)乙班比甲班少付出多少元?(2)甲班第一次、第二次分别购买苹果多少千克?28.某地生产一种绿色蔬菜,若在市场上直接销售,每吨利润为1000元;经粗加工后销售,每吨利润可达4500元;经精加工后销售,每吨利润涨至7500元.当地一家农工商公司收获这种蔬菜140吨,该公司加工厂的生产能力是:如果对蔬菜进行粗加工,每天可加工16t;如果进行精加工,每天可加工6t,但两种加式方式不能同时进行,受季节条件的限制,公司必须在15天之内将这批蔬菜全部销售或加工完毕,为此公司研制了三种加工方案.方案一:将蔬菜全部进行粗加工;方案二:尽可能多的对蔬菜进行精加工,没有来得及加工的蔬菜在市场上全部销售;方案三:将部分蔬菜进行精加工,其余蔬菜进行粗加工,并恰好在15天完成,你认为选择哪种方案获利最多,为什么?29.如图,某纸品加工厂为了制作甲,乙两种无盖的长方体小盒,利用边角料裁出长方形的宽和正方形的边长相等.现将150张正方形硬纸片和300张长方形硬纸片全部用于制作这两种小盒,可以做成甲,乙两种小盒各多少个?30.一列客车长200 m,一列货车长280 m,在平行的轨道上相向行驶,从两车头相遇到两车尾相离经过16s,已知客车与货车的速度之比是3:2,问两车每秒各行驶多少米?参考答案与试题解析一.解答题(共30小题)1.解方程组:.解:方程组可化为.2.解方程组.方程组的解为.3.解方程组:方程组的解是.方程组的解是.4.解方程组:.,∴5.解方程组.,∴6.解方程组:.,所以方程组的解是7.解方程组:(1)(2))方程组的解为.)原方程组去括号得:整理得:所以方程组的解为8.解下列方程组(1)(2))原方程组可化为,故原方程组的解为,y=故原方程组的解为9.已知关于x、y的方程组的x、y的值之和等于2,求m的值.的方程组为:∴,10.解三元一次方程组:.得方程组,方程组的解为.11.已知关于x,y的二元一次方程组的解x与y的值互为相反数,试求m的值.,,=012.解下列方程组.(1)(2)(3)(4).)方程组化简得:代入①..)方程化简得:代入①.13.某铁件加工厂用如图1的长方形和正方形铁片(长方形的宽与正方形的边长相等)加工成如图2的竖式与横式两种无盖的长方体铁容器.(加工时接缝材料不计)(1)如果加工竖式铁容器与横式铁容器各1个,则共需要长方形铁片7张,正方形铁片3张;(2)现有长方形铁片2014张,正方形铁片1176张,如果加工成这两种铁容器,刚好铁片全部用完,那加工的竖式铁容器、横式铁容器各有多少个?(3)把长方体铁容器加盖可以加工成为铁盒.现用35张铁板做成长方形铁片和正方形铁片,已知每张铁板可做成3个长方形铁片或4个正方形铁片,也可以将一张铁板裁出1个长方形铁片和2个正方形铁片.该如何充分利用这些铁板加工成铁盒,最多可以加工成多少个铁盒?个,根据题意得根据题意得14.甲仓库和乙仓库分别存放着某种机器20台和6台.现在准备调运给A厂10台,B厂16台,已知从甲库调运一台机器到A厂的运费为400元,到B厂的运费为800元;从乙库调运一台机器到A厂的运费为300元,到B厂的运费为500元,如果总运费用了16000元.求:从甲库调给A厂,乙库调给B厂各为多少台机器?15.2010年4月14日青海省玉树发生了7.1级大地震,驻军某部(位于距玉树县城结古镇91公里处的上拉秀镇)接到上级命令,须火速前往结古镇救援.已知该部有120名官兵,且步行的速度为每小时10公里,现仅有一辆时速为80公里的卡车,可乘坐40人,请你设计一个乘车兼步行方案,使该部120人能在最短时间内赶往重灾区结古镇救援.其中中途换车(上、下车)的时间均忽略不计,最快多少时间可以赶到?(可用分数表示)∴,316.(2009•云南)在“家电下乡”活动期间,凡购买指定家用电器的农村居民均可得到该商品售价13%的财政补贴.村民小李购买了一台A型洗衣机,小王购买了一台B型洗衣机,两人一共得到财政补贴351元,又知B型洗衣机售价比A型洗衣机售价多500元.求:(1)A型洗衣机和B型洗衣机的售价各是多少元?(2)小李和小王购买洗衣机除财政补贴外实际各付款多少元?,解得:17.(2009•江苏)一辆汽车从A地驶往B地,前路段为普通公路,其余路段为高速公路.已知汽车在普通公路上行驶的速度为60km/h,在高速公路上行驶的速度为100km/h,汽车从A地到B地一共行驶了2.2h.请你根据以上信息,就该汽车行驶的“路程”或“时间”,提出一个用二元一次方程组解决的问题,并写出解答过程.地,前解得解得解得解得18.(2009•长沙)某中学拟组织九年级师生去韶山举行毕业联欢活动.下面是年级组长李老师和小芳、小明同学有关租车问题的对话:李老师:“平安客运公司有60座和45座两种型号的客车可供租用,60座客车每辆每天的租金比45座的贵200元.”小芳:“我们学校八年级师生昨天在这个客运公司租了4辆60座和2辆45座的客车到韶山参观,一天的租金共计5000元.”小明:“我们九年级师生租用5辆60座和1辆45座的客车正好坐满.”根据以上对话,解答下列问题:(1)平安客运公司60座和45座的客车每辆每天的租金分别是多少元?(2)按小明提出的租车方案,九年级师生到该公司租车一天,共需租金多少元?19.(2007•临夏州)某同学在A、B两家超市发现他看中的英语学习机的单价相同,书包单价也相同,英语学习机和书包单价之和是452元,且英语学习机的单价比书包单价的4倍少8元.(1)求该同学看中的英语学习机和书包单价各是多少元?(2)某一天该同学上街,恰好赶上商家促销,超市A所有商品打7.5折销售;超市B全场购物满100元返购物券30元销售(不足100元不返券,购物券全场通用),但他只带了400元钱,如果他只在一家超市购买看中的英语学习机、书包,那么在哪一家购买更省钱?(今有甲、乙两个旅行团,已知甲团人数少于50人,乙团人数不超过100人.若分别购票,两团共计应付门票费1392元,若合在一起作为一个团体购票,总计应付门票费1080元.(1)请你判断乙团的人数是否也少于50人;(2)求甲、乙两旅行团各有多少人?13=107,11=98.21.(2006•恩施州)某酒店客房部有三人间、双人间客房,收费数据如下表.为吸引游客,实行团体入住五折优惠措施.一个50人的旅游团优惠期间到该酒店入住,住了一些三人普通间和双人普通间客房.若每间客房正好住满,且一天共花去住宿费1510元,则旅游团住了三人普通间和双人普通间客房化简得:∴22.(2005•无锡)某天,一蔬菜经营户用60元钱从蔬菜批发市场批了西红柿和豆角共40㎏到菜市场去卖,西红柿依题意有23.(2005•乌鲁木齐)为满足市民对优质教育的需求某中学决定改变办学条件计划拆除一部分旧校舍、建造新校舍.拆除旧校舍每平米需80元,建造新校舍每平米需700元.计划在年内拆除旧校舍与建造新校舍共7200平方米,在实施中为扩大绿化面积,新建校舍只完成了计划的80%,而拆除校舍则超过了10%,结果恰好完成了原计划的拆、除的总面积.(1)求原计划拆建面积各多少平方米?(2)若绿化1平方米需200元,那么在实际完成的拆、建工程中节余的资金用来绿化大约是多少平方米?(24.(2005•衢州)在“五•一”黄金周期间,小明、小亮等同学随父母一同去某地旅游,在某景点购买门票时,小明与小亮的对话:问:(1)小明他们一共去了几个成人几个学生?(2)请你帮小明算一算,用哪种方式买票更省钱并说明理由.+由题意得25.(2005•呼和浩特)《一千零一夜》中有这样一段文字:有一群鸽子,其中一部分在树上欢歌,另一部分在地上觅食,树上的一只鸽子对地上的觅食的鸽子说:“若从你们中飞上来一只,则树下的鸽子就是整个鸽群的;若从树上飞下去一只,则树上、树下的鸽子有一样多了.”你知道树上、树下各有多少只鸽子吗?;列出一个方程,再根据若从树上飞下去一只,则树上、树下的鸽由题意可:整理可得:解之可得:;26.(2004•哈尔滨)“利海”通讯器材商场,计划用60000元从厂家购进若干部新型手机,以满足市场需求,已知该厂家生产三种不同型号的手机,出厂价分别为甲种型号手机每部1800元,乙种型号手机每部600元,丙种型号手机每部1200元.(1)若商场同时购进其中两种不同型号的手机共40部,并将60000元恰好用完.请你帮助商场计算一下如何购买;(2)若商场同时购进三种不同型号的手机共40部,并将60000元恰好用完,并且要求乙种型号手机的购买数量不少于6部且不多于8部,请你求出商场每种型号手机的购买数量.,不合题意舍去.)根据题意得:或或甲班分两次共购买苹果70千克(第二次多于第一次),共付出189元,乙班则一次购买苹果70千克.(1)乙班比甲班少付出多少元?(2)甲班第一次、第二次分别购买苹果多少千克?28.某地生产一种绿色蔬菜,若在市场上直接销售,每吨利润为1000元;经粗加工后销售,每吨利润可达4500元;经精加工后销售,每吨利润涨至7500元.当地一家农工商公司收获这种蔬菜140吨,该公司加工厂的生产能力是:如果对蔬菜进行粗加工,每天可加工16t;如果进行精加工,每天可加工6t,但两种加式方式不能同时进行,受季节条件的限制,公司必须在15天之内将这批蔬菜全部销售或加工完毕,为此公司研制了三种加工方案.方案一:将蔬菜全部进行粗加工;方案二:尽可能多的对蔬菜进行精加工,没有来得及加工的蔬菜在市场上全部销售;方案三:将部分蔬菜进行精加工,其余蔬菜进行粗加工,并恰好在15天完成,你认为选择哪种方案获利最多,为什么?由题意,得29.如图,某纸品加工厂为了制作甲,乙两种无盖的长方体小盒,利用边角料裁出长方形的宽和正方形的边长相等.现将150张正方形硬纸片和300张长方形硬纸片全部用于制作这两种小盒,可以做成甲,乙两种小盒各多少个?根据题意得.30.一列客车长200 m,一列货车长280 m,在平行的轨道上相向行驶,从两车头相遇到两车尾相离经过16s,已知客车与货车的速度之比是3:2,问两车每秒各行驶多少米?xx。
第8章《二元一次方程组》易错题汇编一.选择题(共10小题)1.已知方程组,则x﹣y的值为()A.B.2C.3D.﹣22.已知二元一次方程组,则的值是()A.﹣5B.5C.﹣6D.63.关于x,y的二元一次方程组的解是,则m+n的值为()A.4B.2C.1D.04.已知方程组的解满足x﹣y=3,则k的值为()A.2B.﹣2C.1D.﹣15.篮球联赛中,每场比赛都要分出胜负,每队胜1场得2分,负1场得1分,某队在10场比赛中得到16分.若设该队胜的场数为x,负的场数为y,则可列方程组为()A.B.C.D.6.一道来自课本的习题:从甲地到乙地有一段上坡与一段平路.如果保持上坡每小时走3km,平路每小时走4km,下坡每小时走5km,那么从甲地到乙地需54min,从乙地到甲地需42min.甲地到乙地全程是多少?小红将这个实际问题转化为二元一次方程组问题,设未知数x,y,已经列出一个方程+=,则另一个方程正确的是()A.+=B.+=C.+=D.+=7.小慧去花店购买鲜花,若买5支玫瑰和3支百合,则她所带的钱还剩下10元;若买3支玫瑰和5支百合,则她所带的钱还缺4元.若只买8支玫瑰,则她所带的钱还剩下()A.31元B.30元C.25元D.19元8.某学校计划用17件同样的奖品全部用于奖励在“扫黑除恶宣传”活动中表现突出的班级,一等奖奖励3件,二等奖奖励2件,则分配一、二等奖个数的方案有()A.1种B.2种C.3种D.4种9.某公司有如图所示的甲、乙、丙、丁四个生产基地.现决定在其中一个基地修建总仓库,以方便公司对各基地生产的产品进行集中存储.已知甲、乙、丙、丁各基地的产量之比等于4:5:4:2,各基地之间的距离之比a:b:c:d:e=2:3:4:3:3(因条件限制,只有图示中的五条运输渠道),当产品的运输数量和运输路程均相等时,所需的运费相等.若要使总运费最低,则修建总仓库的最佳位置为()A.甲B.乙C.丙D.丁10.阅读理解:a,b,c,d是实数,我们把符号称为2×2阶行列式,并且规定:=a×d ﹣b×c,例如:=3×(﹣2)﹣2×(﹣1)=﹣6+2=﹣4.二元一次方程组的解可以利用2×2阶行列式表示为:;其中D=,D x=,D y=.问题:对于用上面的方法解二元一次方程组时,下面说法错误的是()A.D==﹣7B.D x=﹣14C.D y=27D.方程组的解为二.填空题(共4小题)11.已知是方程组的解,则a+b的值为.12.已知关于x,y的方程组的解满足x+y=5,则k的值为.13.用1块A型钢板可制成4件甲种产品和1件乙种产品;用1块B型钢板可制成3件甲种产品和2件乙种产品;要生产甲种产品37件,乙种产品18件,则恰好需用A、B两种型号的钢板共块.14.某磨具厂共有六个生产车间,第一、二、三、四车间毎天生产相同数量的产品,第五、六车间每天生产的产品数量分別是第一车间每天生产的产品数量的和.甲、乙两组检验员进驻该厂进行产品检验,在同时开始检验产品时,每个车间原有成品一样多,检验期间各车间继续生产.甲组用了6天时间将第一、二、三车间所有成品同时检验完;乙组先用2天将第四、五车间的所有成品同时检验完后,再用了4天检验完第六车间的所有成品(所有成品指原有的和检验期间生产的成品).如果每个检验员的检验速度一样,则甲、乙两组检验员的人数之比是.三.解答题(共2小题)15.对于实数a、b,定义关于“⊗”的一种运算:a⊗b=2a+b,例如3⊗4=2×3+4=10.(1)求4⊗(﹣3)的值;(2)若x⊗(﹣y)=2,(2y)⊗x=﹣1,求x+y的值.16.滴滴快车是一种便捷的出行工具,计价规则如下表:计费项目里程费时长费远途费单价 1.8元/公里0.3元/分钟0.8元/公里注:车费由里程费、时长费、远途费三部分构成,其中里程费按行车的实际里程计算;时长费按行车的实际时间计算;远途费的收取方式为:行车里程7公里以内(含7公里)不收远途费,超过7公里的,超出部分每公里收0.8元.小王与小张各自乘坐满滴快车,在同一地点约见,已知到达约见地点时他们的实际行车里程分别为6公里与8.5公里,两人付给滴滴快车的乘车费相同.(1)求这两辆滴滴快车的实际行车时间相差多少分钟;(2)实际乘车时间较少的人,由于出发时间比另一人早,所以提前到达约见地点在大厅等候.已知他等候另一人的时间是他自己实际乘车时间的1.5倍,且比另一人的实际乘车时间的一半多8.5分钟,计算俩人各自的实际乘车时间.试题解析1.已知方程组,则x﹣y的值为()A.B.2C.3D.﹣2解:由方程组可得:2x+y﹣(x+2y)=4﹣1=3,则x﹣y=3,故选:C.2.已知二元一次方程组,则的值是()A.﹣5B.5C.﹣6D.6解:,②﹣①×2得,2y=7,解得,把代入①得,+x=1,解得,∴==故选:C.3.关于x,y的二元一次方程组的解是,则m+n的值为()A.4B.2C.1D.0解:把代入得:,解得:,则m+n=0,故选:D.4.已知方程组的解满足x﹣y=3,则k的值为()A.2B.﹣2C.1D.﹣1解:,②﹣①,得:x﹣y=1﹣k,∵x﹣y=3,∴1﹣k=3,解得:k=﹣2,故选:B.5.篮球联赛中,每场比赛都要分出胜负,每队胜1场得2分,负1场得1分,某队在10场比赛中得到16分.若设该队胜的场数为x,负的场数为y,则可列方程组为()A.B.C.D.解:设这个队胜x场,负y场,根据题意,得.故选:A.6.一道来自课本的习题:从甲地到乙地有一段上坡与一段平路.如果保持上坡每小时走3km,平路每小时走4km,下坡每小时走5km,那么从甲地到乙地需54min,从乙地到甲地需42min.甲地到乙地全程是多少?小红将这个实际问题转化为二元一次方程组问题,设未知数x,y,已经列出一个方程+=,则另一个方程正确的是()A.+=B.+=C.+=D.+=解:设未知数x,y,已经列出一个方程+=,则另一个方程正确的是:+=.故选:B.7.小慧去花店购买鲜花,若买5支玫瑰和3支百合,则她所带的钱还剩下10元;若买3支玫瑰和5支百合,则她所带的钱还缺4元.若只买8支玫瑰,则她所带的钱还剩下()A.31元B.30元C.25元D.19元解:设每支玫瑰x元,每支百合y元,依题意,得:5x+3y+10=3x+5y﹣4,∴y=x+7,∴5x+3y+10﹣8x=5x+3(x+7)+10﹣8x=31.故选:A.8.某学校计划用17件同样的奖品全部用于奖励在“扫黑除恶宣传”活动中表现突出的班级,一等奖奖励3件,二等奖奖励2件,则分配一、二等奖个数的方案有()A.1种B.2种C.3种D.4种解:设分配x个一等奖,y个二等奖,依题意,得:3x+2y=17,∴y=.又∵x,y均为正整数,∴,,,∴共有3种分配方案.故选:C.9.某公司有如图所示的甲、乙、丙、丁四个生产基地.现决定在其中一个基地修建总仓库,以方便公司对各基地生产的产品进行集中存储.已知甲、乙、丙、丁各基地的产量之比等于4:5:4:2,各基地之间的距离之比a:b:c:d:e=2:3:4:3:3(因条件限制,只有图示中的五条运输渠道),当产品的运输数量和运输路程均相等时,所需的运费相等.若要使总运费最低,则修建总仓库的最佳位置为()A.甲B.乙C.丙D.丁解:∵甲、乙、丙、丁各基地的产量之比等于4:5:4:2,设甲基地的产量为4x吨,则乙、丙、丁基地的产量分别为5x吨、4x吨、2x吨,∵各基地之间的距离之比a:b:c:d:e=2:3:4:3:3,设a=2y千米,则b、c、d、e分别为3y千米、4y千米、3y千米、3y千米,设运输的运费每吨为z元/千米,①设在甲处建总仓库,则运费最少为:(5x×2y+4x×3y+2x×3y)z=28xyz;②设在乙处建总仓库,∵a+d=5y,b+c=7y,∴a+d<b+c,则运费最少为:(4x×2y+4x×3y+2x×5y)z=30xyz;③设在丙处建总仓库,则运费最少为:(4x×3y+5x×3y+2x×4y)z=35xyz;④设在丁处建总仓库,则运费最少为:(4x×3y+5x×5y+4x×4y)z=53xyz;由以上可得建在甲处最合适,10.阅读理解:a,b,c,d是实数,我们把符号称为2×2阶行列式,并且规定:=a×d ﹣b×c,例如:=3×(﹣2)﹣2×(﹣1)=﹣6+2=﹣4.二元一次方程组的解可以利用2×2阶行列式表示为:;其中D=,D x=,D y=.问题:对于用上面的方法解二元一次方程组时,下面说法错误的是()A.D==﹣7B.D x=﹣14C.D y=27D.方程组的解为解:A、D==﹣7,正确;B、D x==﹣2﹣1×12=﹣14,正确;C、D y==2×12﹣1×3=21,不正确;D、方程组的解:x===2,y===﹣3,正确;故选:C.11.已知是方程组的解,则a+b的值为1.解:把代入方程组得:,①+②得:3a+3b=3,a+b=1,故答案为:1.12.已知关于x,y的方程组的解满足x+y=5,则k的值为2.解:,②×2﹣①,得3x=9k+9,解得x=3k+3,把x=3k+3代入①,得3k+3+2y=k﹣1,解得y=﹣k﹣2,∵x+y=5,∴3k+3﹣k﹣2=5,解得k=2.13.用1块A型钢板可制成4件甲种产品和1件乙种产品;用1块B型钢板可制成3件甲种产品和2件乙种产品;要生产甲种产品37件,乙种产品18件,则恰好需用A、B两种型号的钢板共11块.解:设需用A型钢板x块,B型钢板y块,依题意,得:,(①+②)÷5,得:x+y=11.故答案为:11.14.某磨具厂共有六个生产车间,第一、二、三、四车间毎天生产相同数量的产品,第五、六车间每天生产的产品数量分別是第一车间每天生产的产品数量的和.甲、乙两组检验员进驻该厂进行产品检验,在同时开始检验产品时,每个车间原有成品一样多,检验期间各车间继续生产.甲组用了6天时间将第一、二、三车间所有成品同时检验完;乙组先用2天将第四、五车间的所有成品同时检验完后,再用了4天检验完第六车间的所有成品(所有成品指原有的和检验期间生产的成品).如果每个检验员的检验速度一样,则甲、乙两组检验员的人数之比是18:19.解:设第一、二、三、四车间毎天生产相同数量的产品为x个,每个车间原有成品m个,甲组检验员a人,乙组检验员b人,每个检验员的检验速度为c个/天,则第五、六车间每天生产的产品数量分別是x和x,由题意得,,②×2﹣③得,m=3x,把m=3x分别代入①得,9x=2ac,把m=3x分别代入②得,x=2bc,则a:b=18:19,甲、乙两组检验员的人数之比是18:19,故答案为:18:19.15.对于实数a、b,定义关于“⊗”的一种运算:a⊗b=2a+b,例如3⊗4=2×3+4=10.(1)求4⊗(﹣3)的值;(2)若x⊗(﹣y)=2,(2y)⊗x=﹣1,求x+y的值.解:(1)根据题中的新定义得:原式=8﹣3=5;(2)根据题中的新定义化简得:,①+②得:3x+3y=1,则x+y=.16.滴滴快车是一种便捷的出行工具,计价规则如下表:计费项目里程费时长费远途费单价 1.8元/公里0.3元/分钟0.8元/公里注:车费由里程费、时长费、远途费三部分构成,其中里程费按行车的实际里程计算;时长费按行车的实际时间计算;远途费的收取方式为:行车里程7公里以内(含7公里)不收远途费,超过7公里的,超出部分每公里收0.8元.小王与小张各自乘坐满滴快车,在同一地点约见,已知到达约见地点时他们的实际行车里程分别为6公里与8.5公里,两人付给滴滴快车的乘车费相同.(1)求这两辆滴滴快车的实际行车时间相差多少分钟;(2)实际乘车时间较少的人,由于出发时间比另一人早,所以提前到达约见地点在大厅等候.已知他等候另一人的时间是他自己实际乘车时间的1.5倍,且比另一人的实际乘车时间的一半多8.5分钟,计算俩人各自的实际乘车时间.解:(1)设小王的实际行车时间为x分钟,小张的实际行车时间为y分钟,由题意得:1.8×6+0.3x=1.8×8.5+0.3y+0.8×(8.5﹣7)∴10.8+0.3x=16.5+0.3y0.3(x﹣y)=5.7∴x﹣y=19∴这两辆滴滴快车的实际行车时间相差19分钟.(2)由(1)及题意得:化简得①+②得2y=36∴y=18 ③将③代入①得x=37∴小王的实际乘车时间为37分钟,小张的实际乘车时间为18分钟。
初中数学七年级二元一次方程组易错题1.不能正确理解二元一次方程组的定义1.已知方程组:①,②,③,④,正确的说法是().A.只有①③是二元一次方程组;B.只有③④是二元一次方程组;C.只有①④是二元一次方程组;D.只有②不是二元一次方程组.错解:A或C.解析:方程组①④是二元一次方程组,符合定义,方程组③是二元一次方程组,符合定义,而且是最简单、最特殊的二元一次方程组.正解:D.2.将方程相加减时弄错符号2.用加减法解方程组 .错解:①-②得,所以,把代入①,得,解得.所以原方程组的解是 .错解解析:在加减消元时弄错了符号而导致错误.正解:①-②得,所以,把代入①,得,解得.所以原方程组的解是 .3.将方程变形时忽略常数项3.利用加减法解方程组 .错解:①×2+②得,解得. 把代入①得,解得. 所以原方程组的解是 .错解解析:在①×2+②这一过程中只把①左边各项都分别与2相乘了,而忽略了等号右边的常数项4. 正解:①×2+②得,解得. 把代入①得,解得. 所以原方程组的解是.4.不能正确找出实际问题中的等量关系4.两个车间,按计划每月工生产微型电机680台,由于改进技术,上个月第一车间完成计划的120%,第二车间完成计划的115%,结果两个车间一共生产微型电机798台,则上个月两个车间各生产微型电机多少台?若设两车间上个月各生产微型电机台和台,则列方程组为( ).A. ;B. ;C. .D..错解:B 或D. 解析:错误的原因是等量关系错误,本题中的等量关系为:(1)第一车间实际生产台数+第二车间实际生产台数=798台;(2)第一车间计划生产台数+第二车间计划生产台数=680台.正解:C.2011中考总复习数学教材过关训练:二元一次方程组一、填空题1.已知⎩⎨⎧==5,3y x 是方程ax-2y=2的一个解,那么a 的值是________________.答案:4提示:方程的定义.2.2x+y=7的解有________________个,在自然数的范围内的解分别是________________.答案:无数 x=1,y=5;x=2,y=3;x=3,y=13.若-5x a-3b y 8与3x 8y 5a+b 的和仍是一个单项式,则a=________________,b=_________________.答案:2 -2提示:a-3b=8,5a+b=8,解二元一次方程组.4.某城市现有42万人口,计划一年后城镇人口增加0.8%,农村人口增加1.1%,这样全市人口将增加1%,求这个城市现在的城市人口数与农村人口数.若设农村现有人口为x 万,城镇现有人口为y 万,则所列方程组为___________________.答案:⎩⎨⎧+=+++=+%)11(42%)1.11(%)8.01(42x y y x 提示:列二元一次方程组.二、选择题5.若x a-b -2y a+b-2=11是二元一次方程,那么a,b 的值分别是A.0,-1B.2,1C.1,0D.2,-3答案:B提示:a-b=1,a+b-2=1,二元一次方程的定义.6.二元一次方程组⎩⎨⎧==+xy y x 2,102的解是( )A.⎩⎨⎧==34y xB.⎩⎨⎧==63y x C.⎩⎨⎧==42y x D.⎩⎨⎧==24y x 答案:C提示:用代入法.7.如图7-38,AB ⊥BC,∠ABD 的度数比∠DBC 的度数的两倍少15°,设∠ABD 和∠DBC 的度数分别为x 、y,那么下面可以求出这两个角的度数的方程组是图7-38A.⎩⎨⎧-==+1590y x y xB.⎩⎨⎧-==+15290y x y x C.⎩⎨⎧-==+y x y x 21590 D.⎩⎨⎧-==152902y x x 答案:B提示:列二元一次方程组.8.小明郊游,早上9时下车,先走平路然后登山,到山顶后又原路返回到下车处,正好是下午2时,若他走平路每小时行4千米,爬山时每小时走3千米,下山时每小时走6千米,小明从上午到下午一共走了_______________千米(途中休息时间不计).A.5B.10C.20D.答案不唯一答案:C提示:设平均路长为a,山路为b,则4a +3b +6b +4a =5,得a+b=10. 三、解答题9.解方程组:(1)⎩⎨⎧=-+=52,5y x y x (代入法);(2)⎩⎨⎧=-=-22,534y x y x (加减法); (3)⎪⎩⎪⎨⎧=+=-;2223,123y x yx(4)⎩⎨⎧+=-+=-).5(3)1(5,5)1(3x y y x答案:(1)⎩⎨⎧-==;5,0y x (2)⎩⎨⎧-==;1,5.0y x (3)⎩⎨⎧==;2,6y x (4)⎩⎨⎧==.7,5y x 提示:求解二元一次方程组. 10.小颖解方程组⎩⎨⎧=-=+4,72dy cx y ax 时,把a 看错后得到的解是⎩⎨⎧==.1,5y x 而正确解是⎩⎨⎧-==.1,3y x 请你帮小颖写出原来的方程组.答案:⎩⎨⎧=-=+.4,723y x y x 提示:求解关于a 、b 的二元一次方程组.11.甲、乙两种商品原来的单价和为100元.因市场变化,甲商品降价10%,乙商品提价40%,调价后两种商品的单价和比原来的单价和提高了20%.甲、乙两种商品原来的单价各是多少?答案:甲、乙两种商品原来的单价各是40元和60元.提示:设甲、乙两种商品原来的单价各是x 、y 元.由x+y=100,(1+10%)x+(1+40%)y=120解得.12.某校有两种类型的学生宿舍30间,大的宿舍每间可住8人,小的宿舍每间可住5人.该校198个住宿生恰好住满这30间宿舍.问大、小宿舍各有多少间?答案:大、小宿舍各有16和14间.提示:大、小宿舍各有x 、y 间,由x+y=30,8x+5y=198解得.13.(2010江苏南通中考)某校初三(2)班40名同学为希望工程捐款,共捐款100元.捐款情况如下表:表格中捐款2元和3元的人数不小心被墨水污染已看不清楚,请你根据已有的信息求出捐款2元和3元的人数分别是多少?答案:捐款2元和3元的人数分别是15人和12人.提示:设捐款2元和3元的人数分别是x 、y 人,由6+2x+3y+28=100,6+x+y+7=40解得.14.一辆汽车在公路上行驶,看到里程碑上是一个两位数,1小时后又看到一里程碑,其上的数也是一个两位数,且刚好它的十位数字与个位数字与第一次看到的两位数的十位数字与个位数字颠倒了位置,又过了1小时后看到里程碑上是一个三位数,她是第一次看到的两位数中间加一个0,求汽车的速度和第一次看到的两位数.答案:速度为45千米/时,数字为16.提示:设第一次看到的两位数个位数字是x ,十位数字是y ,10x+y-(10y+x)=100y+x-(10x+y),由题意知y=1解得x.二元一次方程组应用探索二元一次方程组是最简单的方程组,其应用广泛,尤其是生活、生产实践中的许多问题,大多需要通过设元、布列二元一次方程组来加以解决,现将常见的几种题型归纳如下:一、数字问题例1 一个两位数,比它十位上的数与个位上的数的和大9;如果交换十位上的数与个位上的数,所得两位数比原两位数大27,求这个两位数.分析:设这个两位数十位上的数为x,个位上的数为y,则这个两位数及新两位数及其之间的关系可用下表表示:解方程组109101027x y x yy x x y+=++⎧⎨+=++⎩,得14xy=⎧⎨=⎩,因此,所求的两位数是14.点评:由于受一元一次方程先入为主的影响,不少同学习惯于只设一元,然后列一元一次方程求解,虽然这种方法十有八九可以奏效,但对有些问题是无能为力的,象本题,如果直接设这个两位数为x,或只设十位上的数为x,那将很难或根本就想象不出关于x的方程.一般地,与数位上的数字有关的求数问题,一般应设各个数位上的数为“元”,然后列多元方程组解之.二、利润问题例2一件商品如果按定价打九折出售可以盈利20%;如果打八折出售可以盈利10元,问此商品的定价是多少?分析:商品的利润涉及到进价、定价和卖出价,因此,设此商品的定价为x元,进价为y 元,则打九折时的卖出价为0.9x元,获利(0.9x-y)元,因此得方程0.9x-y=20%y;打八折时的卖出价为0.8x元,获利(0.8x-y)元,可得方程0.8x-y=10.解方程组0.920%0.810x y yx y-=⎧⎨-=⎩,解得200150xy=⎧⎨=⎩,因此,此商品定价为200元.点评:商品销售盈利百分数是相对于进价而言的,不要误为是相对于定价或卖出价.利润的计算一般有两种方法,一是:利润=卖出价-进价;二是:利润=进价×利润率(盈利百分数).特别注意“利润”和“利润率”是不同的两个概念.三、配套问题例3 某厂共有120名生产工人,每个工人每天可生产螺栓25个或螺母20个,如果一个螺栓与两个螺母配成一套,那么每天安排多名工人生产螺栓,多少名工人生产螺母,才能使每天生产出来的产品配成最多套?分析:要使生产出来的产品配成最多套,只须生产出来的螺栓和螺母全部配上套,根据题意,每天生产的螺栓与螺母应满足关系式:每天生产的螺栓数×2=每天生产的螺母数×1.因此,设安排x人生产螺栓,y人生产螺母,则每天可生产螺栓25x个,螺母20y个,依题意,得120502201x y x y +=⎧⎨⨯=⨯⎩,解之,得20100x y =⎧⎨=⎩. 故应安排20人生产螺栓,100人生产螺母.点评:产品配套是工厂生产中基本原则之一,如何分配生产力,使生产出来的产品恰好配套成为主管生产人员常见的问题,解决配套问题的关键是利用配套本身所存在的相等关系,其中两种最常见的配套问题的等量关系是:(1)“二合一”问题:如果a件甲产品和b件乙产品配成一套,那么甲产品数的b倍等于乙产品数的a倍,即a b=甲产品数乙产品数; (2)“三合一”问题:如果甲产品a件,乙产品b件,丙产品c件配成一套,那么各种产品数应满足的相等关系式是:a b c==甲产品数乙产品数丙产品数. 四、行程问题例4 在某条高速公路上依次排列着A 、B 、C 三个加油站,A 到B 的距离为120千米,B 到C 的距离也是120千米.分别在A 、C 两个加油站实施抢劫的两个犯罪团伙作案后同时以相同的速度驾车沿高速公路逃离现场,正在B 站待命的两辆巡逻车接到指挥中心的命令后立即以相同的速度分别往A 、C 两个加油站驶去,结果往B 站驶来的团伙在1小时后就被其中一辆迎面而上的巡逻车堵截住,而另一团伙经过3小时后才被另一辆巡逻车追赶上.问巡逻车和犯罪团伙的车的速度各是多少?【研析】设巡逻车、犯罪团伙的车的速度分别为x 、y 千米/时,则()3120120x y x y -=⎧⎪⎨+=⎪⎩,整理,得40120x y x y -=⎧⎨+=⎩,解得8040x y =⎧⎨=⎩, 因此,巡逻车的速度是80千米/时,犯罪团伙的车的速度是40千米/时.点评:“相向而遇”和“同向追及”是行程问题中最常见的两种题型,在这两种题型中都存在着一个相等关系,这个关系涉及到两者的速度、原来的距离以及行走的时间,具体表现在:“相向而遇”时,两者所走的路程之和等于它们原来的距离;“同向追及”时,快者所走的路程减去慢者所走的路程等于它们原来的距离.五、货运问题典例5 某船的载重量为300吨,容积为1200立方米,现有甲、乙两种货物要运,其中甲种货物每吨体积为6立方米,乙种货物每吨的体积为2立方米,要充分利用这艘船的载重和容积,甲、乙两重货物应各装多少吨?分析:“充分利用这艘船的载重和容积”的意思是“货物的总重量等于船的载重量”且“货物的体积等于船的容积”.设甲种货物装x 吨,乙种货物装y 吨,则300621200x y x y +=⎧⎨+=⎩,整理,得3003600x y x y +=⎧⎨+=⎩,解得150150x y =⎧⎨=⎩, 因此,甲、乙两重货物应各装150吨.点评:由实际问题列出的方程组一般都可以再化简,因此,解实际问题的方程组时要注意先化简,再考虑消元和解法,这样可以减少计算量,增加准确度.化简时一般是去分母或两边同时除以各项系数的最大公约数或移项、合并同类项等.六、工程问题例 6 某服装厂接到生产一种工作服的订货任务,要求在规定期限内完成,按照这个服装厂原来的生产能力,每天可生产这种服装150套,按这样的生产进度在客户要求的期限内只能完成订货的45;现在工厂改进了人员组织结构和生产流程,每天可生产这种工作服200套,这样不仅比规定时间少用1天,而且比订货量多生产25套,求订做的工作服是几套?要求的期限是几天?分析:设订做的工作服是x 套,要求的期限是y 天,依题意,得()41505200125y x y x ⎧=⎪⎨⎪-=+⎩,解得337518x y =⎧⎨=⎩. 点评:工程问题与行程问题相类似,关键要抓好三个基本量的关系,即“工作量=工作时间×工作效率”以及它们的变式“工作时间=工作量÷工作效率,工作效率=工作量÷工作时间”.其次注意当题目与工作量大小、多少无关时,通常用“1”表示总工作量.分式方程应用题分类解析分式方程应用性问题联系实际比较广泛,灵活运用分式的基本性质,有助于解决应用问题中出现的分式化简、计算、求值等题目,运用分式的计算有助于解决日常生活实际问题.一、营销类应用性问题例1 某校办工厂将总价值为2000元的甲种原料与总价值为4800元的乙种原料混合后,其平均价比原甲种原料0.5kg 少3元,比乙种原料0.5kg 多1元,问混合后的单价0.5kg 是多少元?分析:市场经济中,常遇到营销类应用性问题,与价格有关的是:单价、总价、平均价等,要了解它们的意义,建立它们之间的关系式.二、工程类应用性问题例2 某工程由甲、乙两队合做6天完成,厂家需付甲、乙两队共8700元,乙、丙两队合做10天完成,厂家需付乙、丙两队共9500元,甲、丙两队合做5天完成全部工程的32,厂家需付甲、丙两队共5500元.⑴求甲、乙、丙各队单独完成全部工程各需多少天?⑵若工期要求不超过15天完成全部工程,问由哪个队单独完成此项工程花钱最少?请说明理由.分析:这是一道联系实际生活的工程应用题,涉及工期和工钱两种未知量.对于工期,一般情况下把整个工作量看成1,设出甲、乙、丙各队完成这项工程所需时间分别为x 天,y 天,z 天,可列出分式方程组.三、行程中的应用性问题例3 甲、乙两地相距828km ,一列普通快车与一列直达快车都由甲地开往乙地,直达快车的平均速度是普通快车平均速度的1.5倍.直达快车比普通快车晚出发2h ,比普通快车早4h 到达乙地,求两车的平均速度.分析:这是一道实际生活中的行程应用题,基本量是路程、速度和时间,基本关系是路程= 速度×时间,应根据题意,找出追击问题总的等量关系,即普通快车走完路程所用的时间与直达快车由甲地到乙地所用时间相等.四、轮船顺逆水应用问题例4 轮船在顺水中航行30千米的时间与在逆水中航行20千米所用的时间相等,已知水流速度为2千米/时,求船在静水中的速度分析:此题的等量关系很明显:顺水航行30千米的时间= 逆水中航行20千米的时间,即顺水航行速度千米30=逆水航行速度千米20.设船在静水中的速度为x 千米/时,又知水流速度,于是顺水航行速度、逆水航行速度可用未知数表示,问题可解决.五、浓度应用性问题例5 要在15%的盐水40千克中加入多少盐才能使盐水的浓度变为20%.分析:浓度问题的基本关系是:溶液溶质=浓度.此问题中变化前后三个基本量的关系如下表: 设加入盐x 千克.根据基本关系即可列方程.六、货物运输应用性问题 例6 一批货物准备运往某地,有甲、乙、丙三辆卡车可雇用.已知甲、乙、丙三辆车每次运货物量不变,且甲、乙两车单独运这批货物分别运2a 次、a 次能运完;若甲、丙两车合运相同次数运完这批货物时,甲车共运了180t ;若乙、丙两车合运相同次数运完这批货物时,乙车共运了270t .问:⑴乙车每次所运货物量是甲车每次所运货物量的几倍;⑵现甲、乙、丙合运相同次数把这批货物运完时,货主应付车主运费各多少元?(按每运1t 付运费20元计算)分析:解题思路应先求出乙车与甲车每次运货量的比,再设出甲车每次运货量是丙车每次运货量的n 倍,列出分式方程.《二元一次方程组实际问题》赏析【知识链接】列二元一次方程组解应用题的一般步骤可概括为“审、找、列、解、答”五步,即:(1)审:通过审题,把实际问题抽象成数学问题,分析已知数和未知数,并用字母表示其中的两个未知数;(2)找:找出能够表示题意两个相等关系;(3)列:根据这两个相等关系列出必需的代数式,从而列出方程组;(4)解:解这个方程组,求出两个未知数的值;(5)答:在对求出的方程的解做出是否合理判断的基础上,写出答案.【典题精析】例1(2006年南京市)某停车场的收费标准如下:中型汽车的停车费为6元/辆,小型汽车的停车费为4元/辆.现在停车场有50辆中、小型汽车,这些车共缴纳停车费230元,问中、小型汽车各有多少辆?解析:设中型汽车有x 辆,小型汽车有y 辆.由题意,得⎩⎨⎧=+=+.23046,50y x y x 解得,⎩⎨⎧==.35,15y x 故中型汽车有15辆,小型汽车有35辆.例2(2006年四川省眉山市)某蔬菜公司收购蔬菜进行销售的获利情况如下表所示:现在该公司收购了140吨蔬菜,已知该公司每天能精加工蔬菜6吨或粗加工蔬菜16吨(两种加工不能同时进行).(1)如果要求在18天内全部销售完这140吨蔬菜,请完成下列表格:(2)如果先进行精加工,然后进行粗加工,要求在15天内刚好加工完140吨蔬菜,则应如何分配加工时间?解:(1)全部直接销售获利为:100×140=14000(元);全部粗加工后销售获利为:250×140=35000(元);尽量精加工,剩余部分直接销售获利为:450×(6×18)+100×(140-6×18)=51800(元).(2)设应安排x 天进行精加工, y 天进行粗加工.由题意,得⎩⎨⎧=+=+.140166,15y x y x 解得,⎩⎨⎧==.5,10y x 故应安排10天进行精加工,5天进行粗加工.【跟踪练习】为满足市民对优质教育的需求,某中学决定改变办学条件,计划拆除一部分旧校舍,建造新校舍,拆除旧校舍每平方米需80元,建新校舍每平方米需700元. 计划在年内拆除旧校舍与建造新校舍共7200平方米,在实施中为扩大绿地面积,新建校舍只完成了计划的80%,而拆除旧校舍则超过了计划的10%,结果恰好完成了原计划的拆、建总面积.(1)求:原计划拆、建面积各是多少平方米?(2)若绿化1平方米需200元,那么在实际完成的拆、建工程中节余的资金用来绿化大约是多少平方米?答案:(1)原计划拆、建面积各是4800平方米、2400平方米;(2)可绿化面积为1488平方米.列二元一次方程组解应用题之典型题题型一 配套问题1.某服装厂生产一批某种款式的秋装,已知每2米的某种布料可做上衣的衣身3个或衣袖5只. 现计划用132米这种布料生产这批秋装(不考虑布料的损耗),应分别用多少布料才能使做的衣身和衣袖恰好配套?题型二年龄问题2.甲对乙说:“当我的岁数是你现在的岁数时,你才4岁”.乙对甲说:“当我的岁数是你现在的岁数时,你将61岁”.请你算一算,甲、乙现在各多少岁?题型三百分比问题3.有甲乙两种铜和银的合金,甲种合金含银25%,乙种合金含银37.5%,现在要熔制含银30%的合金100千克,甲、乙两种合金各应取多少?题型四数字问题4.有一个两位数,个位上的数字比十位上的数字大5,如果把这两个数字的位置对换,那么所得的新数与原数的和是143,求这个两位数.题型五古算术问题5.巍巍古寺在山林,不知寺内几多僧。
(易错题精选)初中数学方程与不等式之二元一次方程组难题汇编含答案解析一、选择题1.下面几对数值是方程组233,22x y x y +=⎧⎨-=-⎩的解的是( )A .1,x y =⎧⎨=⎩B .1,2x y =⎧⎨=⎩C .0,1x y =⎧⎨=⎩D .2,1x y =⎧⎨=⎩【答案】C 【解析】 【分析】利用代入法解方程组即可得到答案. 【详解】23322x y x y +=⎧⎨-=-⎩①②, 由②得:x=2y-2③,将③代入①得:2(2y-2)+3y=3, 解得y=1,将y=1代入③,得x=0, ∴原方程组的解是01x y =⎧⎨=⎩, 故选:C. 【点睛】此题考查二元一次方程组的解法:代入法或加减法,根据每个方程组的特点选择恰当的解法是解题的关键.2.《孙子算经》中有一道题,原文是:“今有木,不知长短.引绳度之,余绳四足五寸;屈绳量之,不足一尺.木长几何?”意思是:用一根绳子去量一根长木,绳子还剩余4.5尺.将绳子对折再量长木,长木还剩余1尺,问木长多少尺,现设绳长x 尺,木长y 尺,则可列二元一次方程组为( )A . 4.5112y x y x -=⎧⎪⎨-=⎪⎩B . 4.5112x y y x -=⎧⎪⎨-=⎪⎩ C . 4.5112x y x y -=⎧⎪⎨-=⎪⎩D . 4.5112y x x y -=⎧⎪⎨-=⎪⎩【答案】B 【解析】 【分析】本题的等量关系是:绳长-木长 4.5=;木长12-绳长1=,据此可列方程组求解. 【详解】设绳长x尺,长木为y尺,依题意得4.5112x yy x-=⎧⎪⎨-=⎪⎩,故选B.【点睛】此题考查二元一次方程组问题,关键是弄清题意,找准等量关系,列对方程组,求准解.3.我国古代数学著作《增删算法统宗》记载”绳索量竿”问题:“一条竿子一条索,索比竿子长一托.折回索子却量竿,却比竿子短一托“其大意为:现有一根竿和一条绳索,用绳索去量竿,绳索比竿长5尺;如果将绳索对半折后再去量竿,就比竿短5尺.设绳索长x 尺,竿长y尺,则符合题意的方程组是()A.5{152x yx y=+=-B.5{1+52x yx y=+=C.5{2-5x yx y=+=D.-5{2+5x yx y==【答案】A【解析】【分析】设索长为x尺,竿子长为y尺,根据“索比竿子长一托,折回索子却量竿,却比竿子短一托”,即可得出关于x、y的二元一次方程组.【详解】设索长为x尺,竿子长为y尺,根据题意得:515 2x yx y=+⎧⎪⎨=-⎪⎩.故选A.【点睛】本题考查了二元一次方程组的应用,找准等量关系,正确列出二元一次方程组是解题的关键.4.已知甲、乙两数之和是42,甲数的3倍等于乙数的4倍,求甲、乙两数.若设甲数为x,乙数为y,由题意得方程组()A.4243y xx y+=⎧⎨=⎩B.4243x yx y+=⎧⎨=⎩C.421134x yx y-=⎧⎪⎨=⎪⎩D.4234x yx y+=⎧⎨=⎩【答案】D【解析】【分析】按照题干关系分别列出二元一次方程,再组合行成二元一次方程组即可.【详解】解:由甲、乙两数之和是42可得,42x y +=;由甲数的3倍等于乙数的4倍可得,34x y =,故由题意得方程组为:4234x y x y +=⎧⎨=⎩, 故选择D. 【点睛】本题考查了二元一次方程组的应用,理清题干关系,分别列出两个二元一次方程即可.5.甲乙两人同解方程 2{78ax by cx y +=-= 时,甲正确解得 3{2x y ==- ,乙因为抄错c 而得2{2x y =-= ,则a+b+c 的值是( )A .7B .8C .9D .10【答案】A 【解析】 【分析】根据题意可以得到a 、b 、c 的三元一次方程组,从而可以求得a 、b 、c 的值,本题得以解决. 【详解】解:根据题意可知,∴3a-2b=2,3c+14=8,-2a+2b=2 ∴c=-2,a=4,b=5 ∴a+b+c=7. 故答案为:A. 【点睛】此题考查二元一次方程组的解,解题的关键是明确题意,找出所求问题需要的条件.6.若方程组5133x y a x y a -=+⎧⎨+=-⎩的解x 与y 的差为3,则a 的值为( )A .0B .7C .7-D .8【答案】B 【解析】 【分析】先利用加减消元法解方程组得到37838a x a y -⎧=⎪⎪⎨+⎪=-⎪⎩,再根据已知条件列出关于参数a 的方程,然后解一元一次方程即可得解. 【详解】解:∵5133x y a x y a -=+⎧⎨+=-⎩①②②-①×3得,38a y +=- ①+②×5得,378a x -=∴方程组的解为:37838a x a y -⎧=⎪⎪⎨+⎪=-⎪⎩∵方程组5133x y a x y a -=+⎧⎨+=-⎩的解x 与y 的差为3,即3x y -=∴373388a a -+⎛⎫--= ⎪⎝⎭ ∴7a =. 故选:B 【点睛】本题考查了解含参数的二元一次方程组、列一元一次方程并解一元一次方程,能得到关于参数a 的方程是解决问题的关键.7.用白铁皮做罐头盒,每张铁皮可制盒身10个或制盒底40个,一个盒身与两个盒底配成一套罐头盒,现有120张白铁皮,设用x 张制盒身,y 张制盒底,得方程组 ( )A .1204010x y y x +=⎧⎨=⎩B .1201040x y y x +=⎧⎨=⎩C .1204020x y y x +=⎧⎨=⎩D .1202040x y y x +=⎧⎨=⎩【答案】C 【解析】 【分析】首先根据题意可以得出以下两个等量关系:①制作盒身的白铁皮张数+制作盒底的白铁皮的张数=120,②盒身的个数×2=盒底的个数,据此进一步列出方程组即可. 【详解】∵一共有120张白铁皮,其中x 张制作盒身,y 张制作盒底, ∴120x y +=,又∵每张铁皮可制盒身10个或制盒底40个,一个盒身与两个盒底配成一套罐头盒, ∴4020y x =, ∴可列方程组为:1204020x y y x+=⎧⎨=⎩,故选:C. 【点睛】本题主要考查了二元一次方程组的实际应用,根据题意正确找出相应的等量关系是解题关键.8.若关于x ,y 的方程组4510(1)8x y kx k y +=⎧⎨--=⎩中x 的值比y 的相反数大2,则k 是( )A .-3B .-2C .-1D .1【答案】A 【解析】 【分析】根据“x 的值比y 的相反数大2”得出“x=-y+2”,再代入到方程组的第一个方程得到y 的值,进而得出x 的值,把x ,y 的值代入方程组中第二方程中求出k 的值即可. 【详解】∵x 的值比y 的相反数大2, ∴x=-y+2,把x=-y+2代入4x+5y=10得,-4y+8+5y=10, 解得,y=2, ∴x=0,把x=0,y=2代入kx-(k-1)y=8,得k=-3. 故选A. 【点睛】此主要考查了与二元一次方程组的解有关的问题,解题的关键是列出等式“x=-y+2”.9.方程组的解为,则被遮盖的前后两个数分别为( )A .1、2B .1、5C .5、1D .2、4【答案】C 【解析】 【分析】把x=2代入x+y=3求出y ,再将x ,y 代入2x+y 即可求解. 【详解】 根据,把x=2代入x+y=3.解得y=1.把x=2,y=1代入二元一次方程组中2x+y=5 故被遮盖的两个数分别为5和1.【点睛】主要考查学生对二元一次方程组知识点的掌握.将已知解代入其中x+y=3求出y 值为解题关键.10.某玩具车间每天能生产甲种玩具零件200个或乙种玩具零件100个,甲种玩具零件1个与乙种玩具零件2个能组成一个完整的玩具,怎样安排生产才能在30天内组装出最多的玩具?设生产甲种玩具零件x 天,生产乙种玩具零件y 天,则有( )A .30200100x y x y +=⎧⎨=⎩B .30100200x y x y +=⎧⎨=⎩C .302200100x y x y +=⎧⎨⨯=⎩D .302100200x y x y +=⎧⎨⨯=⎩【答案】C 【解析】 【分析】根据题意可以列出相应的二元一次方程组,本题得以解决.【详解】 由题意可得,{x y 302200x 100y+=⨯=,故答案为C 【点睛】本题考查由实际问题抽象出二元一次方程组,解题的关键是明确题意,列出相应的方程组.11.已知32x y =⎧⎨=-⎩是方程组23ax by bx ay +=⎧⎨+=-⎩的解,则+a b 的值是( ) A .﹣1 B .1C .﹣5D .5【答案】A 【解析】 【分析】把32x y =⎧⎨=-⎩代入方程组,可得关于a 、b 的方程组,继而根据二元一次方程组的解法即可求出答案. 【详解】将32x y =⎧⎨=-⎩代入23ax by bx ay +=⎧⎨+=-⎩,可得:322323a b b a -=⎧⎨-=-⎩,两式相加:1a b +=-, 故选A .本题考查二元一次方程组的解,解题的关键是熟练运用二元一次方程组的解法.12.已知关于x y 、的方程组135x y a x y a +=-⎧⎨-=+⎩,满足12x y ≥,则下列结论:①2a ≥-;②53a =-时,x y =;③当1a =-时,关于x y 、的方程组135x y a x y a +=-⎧⎨-=+⎩的解也是方程2x y +=的解;④若1y ≤,则1a ≤-,其中正确的有( ) A .1个 B .2个C .3个D .4个【答案】C 【解析】 【分析】 ①解方程组得322x a y a =+⎧⎨=--⎩,由12x y ≥得到关于a 的不等式,解之可得答案;②将x =y代入方程组,求出a 的值,即可做出判断;③将x =y 代入322x a y a =+⎧⎨=--⎩求出x 、y 的值,从而依据x =y 得出答案;④由y≤1得出关于a 的不等式,解之可得. 【详解】解:关于x 、y 的方程组135x y ax y a +=-⎧⎨-=+⎩,解得:322x a y a =+⎧⎨=--⎩.①∵12x y ≥, ∴a +3≥−a−1, 解得a≥−2,故①正确;②将x =y 代入322x a y a =+⎧⎨=--⎩,得:4353x a ⎧=⎪⎪⎨⎪=-⎪⎩,即当x =y 时,a =53-,此结论正确; ③当a =−1时,20x y =⎧⎨=⎩,满足x +y =2,此结论正确;④若y≤1,则−2a−2≤1,解得a≥−32,此结论错误;故选:C .本题考查了二元一次方程组的解,解题的关键是牢记二元一次方程组的解题方法.13.若12xy=⎧⎨=-⎩是关于x和y的二元一次方程1ax y+=的解,则a的值等于()A.3 B.1 C.1-D.3-【答案】A【解析】【分析】将方程的解代入所给方程,再解关于a的一元一次方程即可.【详解】解:将12xy=⎧⎨=-⎩代入1ax y+=得,21a-=,解得:3a=.故选:A.【点睛】本题考查的知识点是二元一次方程的解以及解一元一次方程,比较基础,难度不大.14.二元一次方程3x+y=7的正整数解有()组.A.0 B.1 C.2 D.无数【答案】C【解析】【分析】分别令x=1、2进行计算即可得【详解】解:方程3x+y=7,变形得:y=7-3x,当x=1时,y=4;当x=2时,y=1,则方程的正整数解有二组故本题答案应为:C【点睛】本题考查了二元一次方程的解,给出一个未知数的值求出另一个未知数的值即可.15.为奖励消防演练活动中表现优异的同学,某校决定用1200元购买篮球和排球,其中篮球每个120元,排球每个90元,在购买资金恰好用尽的情况下,购买方案有()A.4种B.3种C.2种D.1种【答案】B【解析】【分析】设购买篮球x个,排球y个,根据“购买篮球的总钱数+购买排球的总钱数=1200”列出关于x、y的方程,由x、y均为非负整数即可得.【详解】设购买篮球x个,排球y个,根据题意可得120x+90y=1200,则y=4043x-,∵x、y均为正整数,∴x=1、y=12或x=4、y=8或x=7、y=4,所以购买资金恰好用尽的情况下,购买方案有3种,故选B.【点睛】本题考查二元一次方程的应用,解题的关键是理解题意,依据相等关系列出方程.16.如果21xy=-⎧⎨=⎩是二元一次方程mx+y=3的一个解,则m的值是()A.-2 B.2 C.-1 D.1【答案】C【解析】【分析】把x与y的值代入方程计算即可求出m的值.【详解】把21xy=-⎧⎨=⎩代入方程得:-2m+1=3,解得:m=-1,故选:C.17.A地至B地的航线长9360km,一架飞机从A地顺风飞往B地需12h,它逆风飞行同样的航线要13h,则飞机无风时的平均速度是()A.720km/h B.750 km/h C.765 km/h D.780 km/h【答案】B【解析】【分析】设飞机无风时的平均速度为x千米/时,风速为y千米/时,根据飞机顺风速度×时间=路程,飞机逆风速度×时间=路程,列方程组进行求解.【详解】设飞机无风时的平均速度为x千米/时,风速为y千米/时,由题意得,12()9360 13()9360x yx y+=⎧⎨-=⎩,解得,75030x y =⎧⎨=⎩,答:飞机无风时的平均速度为750千米/时, 故选B . 【点睛】本题考查二元一次方程组的应用,熟练掌握顺风速度=静风速度+风速,逆风速度=静风速度-风速是解题的关键.18.图①的等臂天平呈平衡状态,其中左侧秤盘有一袋石头,右侧秤盘有一袋石头和2个各10克的砝码.将左侧袋中一颗石头移至右侧秤盘,并拿走右侧秤盘的1个砝码后,天平仍呈平衡状态,如图②所示.则被移动石头的重量为( )A .5克B .10克C .15克D .20克【答案】A 【解析】 【分析】 【详解】解:设左天平的一袋石头重x 克,右天平的一袋石头重y 克,被移动的石头重z 克,由题意,得:2010x y x z y z =+⎧⎨-=++⎩解得z=5答:被移动石头的重量为5克. 故选A . 【点睛】本题考查了列三元一次方程组解实际问题的运用,三元一次方程组的解法的运用,解答时理解图象天平反映的意义找到等量关系是关键.19.某商店对一种商品进行促销,促销方式:若购买不超过10件,按每件a 元付款:若一次性购买10件以上,超出部分按每件b 元付款.小明购买了14件付款90元;小聪购买了19件付款115元,则a ,b 的值为( ) A .7,5a b == B .5,7a b == C .8,5a b == D .7,4a b ==【答案】A 【解析】 【分析】根据题意可列出关于a 、b 的二元一次方程组,解方程组即可.【详解】解:由题意得:10490109115a b a b +=⎧⎨+=⎩①②, 由②−①得:525=b ,解得:5b =,将5b =代入①得:104590+⨯=a ,解得:7a =,∴方程组的解为75a b =⎧⎨=⎩, 故选:A .【点睛】此题考查了二元一次方程组的应用,解题的关键是读懂题意,找出题目中的数量关系,列出方程组.20.若方程6ax by +=的两个解是11x y =⎧⎨=⎩,21x y =⎧⎨=-⎩,则,a b 的值为( ) A .42a b =⎧⎨=⎩B .24a b =⎧⎨=⎩C .24a b =-⎧⎨=-⎩D .42a b =-⎧⎨=-⎩【答案】A【解析】【分析】将方程的两组解代入6ax by +=中,可以得到一个关于a,b 的二元一次方程组,解方程组即可.【详解】 ∵方程6ax by +=的两个解是11x y =⎧⎨=⎩,21x y =⎧⎨=-⎩, ∴626a b a b +=⎧⎨-=⎩解得42a b =⎧⎨=⎩, 故选:A .【点睛】本题主要考查二元一次方程的解,掌握二元一次方程组的解法是解题的关键.。
初中数学方程与不等式之二元一次方程组易错题汇编含解析一、选择题1.若215(3)()x mx x x n +-=++,则m 的值为()A .-2B .2C .-5D .5【答案】A 【解析】 【分析】将等式右边的整式展开,然后和等式左边对号入座进行对比:一次项系数相等、常数项相等,从而得到关于m 、n 的二元一次方程组,解方程组即可得解. 【详解】解:∵()()()2215333x mx x x n x n x n +-=++=+++∴3315m n n =+⎧⎨=-⎩①②由②得,5n =-把5n =-代入①得,2m =- ∴m 的值为2-. 故选:A 【点睛】本题考查了多项式乘以多项式法则、两个多项式相等即各项对应相等、解二元一次方程组等知识点,能够得到关于m 、n 的二元一次方程组是解决问题的关键.2.《孙子算经》中有一道题,原文是:“今有木,不知长短.引绳度之,余绳四足五寸;屈绳量之,不足一尺.木长几何?”意思是:用一根绳子去量一根长木,绳子还剩余4.5尺.将绳子对折再量长木,长木还剩余1尺,问木长多少尺,现设绳长x 尺,木长y 尺,则可列二元一次方程组为( )A . 4.5112y x y x -=⎧⎪⎨-=⎪⎩B . 4.5112x y y x -=⎧⎪⎨-=⎪⎩ C . 4.5112x y x y -=⎧⎪⎨-=⎪⎩D . 4.5112y x x y -=⎧⎪⎨-=⎪⎩【答案】B 【解析】 【分析】本题的等量关系是:绳长-木长 4.5=;木长12-绳长1=,据此可列方程组求解. 【详解】设绳长x 尺,长木为y 尺,依题意得4.5112x yy x-=⎧⎪⎨-=⎪⎩,故选B.【点睛】此题考查二元一次方程组问题,关键是弄清题意,找准等量关系,列对方程组,求准解.3.我国古代数学著作《增删算法统宗》记载”绳索量竿”问题:“一条竿子一条索,索比竿子长一托.折回索子却量竿,却比竿子短一托“其大意为:现有一根竿和一条绳索,用绳索去量竿,绳索比竿长5尺;如果将绳索对半折后再去量竿,就比竿短5尺.设绳索长x 尺,竿长y尺,则符合题意的方程组是()A.5{152x yx y=+=-B.5{1+52x yx y=+=C.5{2-5x yx y=+=D.-5{2+5x yx y==【答案】A【解析】【分析】设索长为x尺,竿子长为y尺,根据“索比竿子长一托,折回索子却量竿,却比竿子短一托”,即可得出关于x、y的二元一次方程组.【详解】设索长为x尺,竿子长为y尺,根据题意得:515 2x yx y=+⎧⎪⎨=-⎪⎩.故选A.【点睛】本题考查了二元一次方程组的应用,找准等量关系,正确列出二元一次方程组是解题的关键.4.若是关于x、y的方程组的解,则(a+b)(a﹣b)的值为( )A.15 B.﹣15 C.16 D.﹣16【答案】B【解析】【分析】把方程组的解代入方程组可得到关于a、b的方程组,解方程组可求a,b,再代入可求(a+b)(a-b)的值.【详解】解:∵是关于x、y的方程组的解,∴ 解得∴(a+b )(a-b )=(-1+4)×(-1-4)=-15. 故选:B . 【点睛】本题考查方程组的解的概念,掌握方程组的解满足方程组中的每一个方程是解题关键.5.甲乙两人同解方程 2{78ax by cx y +=-= 时,甲正确解得 3{2x y ==- ,乙因为抄错c 而得2{2x y =-= ,则a+b+c 的值是( )A .7B .8C .9D .10【答案】A 【解析】 【分析】根据题意可以得到a 、b 、c 的三元一次方程组,从而可以求得a 、b 、c 的值,本题得以解决. 【详解】解:根据题意可知,∴3a-2b=2,3c+14=8,-2a+2b=2 ∴c=-2,a=4,b=5 ∴a+b+c=7. 故答案为:A. 【点睛】此题考查二元一次方程组的解,解题的关键是明确题意,找出所求问题需要的条件.6.用白铁皮做罐头盒,每张铁皮可制盒身10个或制盒底40个,一个盒身与两个盒底配成一套罐头盒,现有120张白铁皮,设用x 张制盒身,y 张制盒底,得方程组 ( )A .1204010x y y x +=⎧⎨=⎩B .1201040x y y x +=⎧⎨=⎩C .1204020x y y x +=⎧⎨=⎩D .1202040x y y x +=⎧⎨=⎩【答案】C 【解析】 【分析】首先根据题意可以得出以下两个等量关系:①制作盒身的白铁皮张数+制作盒底的白铁皮的张数=120,②盒身的个数×2=盒底的个数,据此进一步列出方程组即可.∵一共有120张白铁皮,其中x 张制作盒身,y 张制作盒底, ∴120x y +=,又∵每张铁皮可制盒身10个或制盒底40个,一个盒身与两个盒底配成一套罐头盒, ∴4020y x =,∴可列方程组为:1204020x y y x +=⎧⎨=⎩,故选:C. 【点睛】本题主要考查了二元一次方程组的实际应用,根据题意正确找出相应的等量关系是解题关键.7.下列方程组中,是二元一次方程组的是( )A .2113x y x⎧+=⎪⎨⎪=⎩ B .3526x y y z -=⎧⎨-=⎩C .1521x yxy ⎧+=⎪⎨⎪=⎩D .2224xy x ⎧=⎪⎨⎪-=⎩【答案】D 【解析】 【分析】根据二元一次方程组的定义进行判断即可. 【详解】解:A 、该方程组中未知数的最高次数是2,属于二元二次方程组,故本选项错误; B 、该方程组中含有3个未知数,属于三元一次方程组,故本选项错误; C 、该方程组中未知数的最高次数是2,属于二元二次方程组,故本选项错误; D 、该方程组符合二元一次方程组的定义,故本选项正确; 故选D . 【点睛】本题考查了二元一次方程组的定义,组成二元一次方程组的两个方程应共含有两个未知数,且未知数的项最高次数都应是一次的整式方程.8.已知2,1.x y =⎧⎨=⎩是方程25+=x ay 的解,则a 的值为( )A .1B .2C .3D .4【答案】A 【解析】将21x y =⎧⎨=⎩代入方程2x+ay=5,得:4+a=5,解得:a=1,9.方程组的解为,则被遮盖的前后两个数分别为( )A .1、2B .1、5C .5、1D .2、4【答案】C 【解析】 【分析】把x=2代入x+y=3求出y ,再将x ,y 代入2x+y 即可求解. 【详解】 根据,把x=2代入x+y=3.解得y=1.把x=2,y=1代入二元一次方程组中2x+y=5 故被遮盖的两个数分别为5和1. 故选C. 【点睛】主要考查学生对二元一次方程组知识点的掌握.将已知解代入其中x+y=3求出y 值为解题关键.10.如果230x y z +-=,且20x y z -+=,那么xy的值为( ) A .15B .15-C .13 D .13-【答案】D 【解析】 【分析】将题目中的两个方程相加,即可求得3x +y =0的值,根据x 与y 的关系代入即可求出xy的值. 【详解】解:2x +3y −z =0 ① ,x −2y +z =0 ② , ①+②,得 3x +y =0, 解得,1=-3x y , 故选D . 【点睛】本题主要考查解三元一次方程组,解答本题的关键是明确题意,求出所求式子的值.11.甲仓库与乙仓库共存粮450 吨、现从甲仓库运出存粮的60%.从乙仓库运出存粮的40%.结果乙仓库所余的粮食比甲仓库所余的粮食多30 吨。
方程与不等式之二元一次方程组易错题汇编附答案、选择题【分析】先解二元一次方程组 X 、y ,然后利用解为整数解题即可 【详解】m m 2 4 2 m因为方程组的解为整数,所以 m 可以为0、1、3、4,所以满足条件的 m 的整数有4个,选A 【点睛】本题主要考查二元一次方程组的解,解出X 、y 再利用解为整数求解是本题关键【答案】 【解析】 【分析】按照题干关系分别列出二元一次方程,再组合行成二元一次方程组即可【详解】 解:由甲、乙两数之和是 42可得,x y 42 ;由甲数的3倍等于乙数的4倍可得,3x 4y ,故由题意得方程组为:X y 42 3x 4y1 .关于X 、y 的方程组2x ymx y的解为整数,则满足这个条件的整数m 的个数有mA . 4个【答案】A 【解析】B . 3个C. 2个D .无数个解方程组2x y 2mx y 2 m x得到2.已知甲、乙两数之和是 X ,乙数为42, y ,由题意得方程组(甲数的3倍等于乙数的4倍,求甲、 乙两数•若设甲数为42 A . 4xy x 3yx B . 4xy 42 3y42C. 1-x 3x y 42 D .3x 4y【点睛】本题考查了二元一次方程组的应用,理清题干关系,分别列出两个二元一次方程即可| m-n|=2 .故选 D .点睛:此题主要考查了二元一次方程组解的定义,以及解二元一次方程组的基本方法.x 2 { ,贝U a+b+c 的值是(y 2【解析】3.若关于x , y 的方程组{2x ymyx 的解是{y2,则m n 为(A . 1【答案】D 【解析】B . 3C. 5D . 2解:根据方程组解的定义,把2代入方程,得:1m,解得:n 3•那么5x=24. 是方程y=7mx-3y=2的一个解,则 m 为()A . 823B . 一2C.19 D .—飞【答案】B 【解析】 【分析】把x 与y 的值代入方程计算即可求出 【详解】m 的值.x=2 解:把y=7 解得:23m=—2故选: B .【点睛】此题考查了二元一次方程的解, 方程的解即为能使方程左右两边相等的未知数的值.ax 5.甲乙两人同解方程 {cxby 7y2x时,甲正确解得{ y:,乙因为抄错c 而得A . 7【答案】AB . 8 C. 9 D 10代入方程得:2m-21=2,根据题意可以得到 a 、b 、c 的三元一次方程组,从而可以求得 a 、b 、c 的值,本题得以解决. 【详解】解:根据题意可知,••• 3a -2b=2, 3c+14=8, -2a+2b=2 •• c=-2, a=4, b=5 •• a+b+c=7.故答案为:A. 【点睛】此题考查二元一次方程组的解,解题的关键是明确题意,找出所求问题需要的条件.的张数=120,② 盒身的个数X 2盒底的个数,据此进一步列出方程组即可 【详解】•••一共有120张白铁皮,••• x y 120 ,又•••每张铁皮可制盒身••• 40y 20x ,x 1 B . y 1【答案】6.用白铁皮做罐头盒, 成一套罐头盒,现有每张铁皮可制盒身120张白铁皮,设用 10个或制盒底40个,一个盒身与两个盒底配 x 张制盒身,y 张制盒底,得方程组(x y 12040y 20xx y 120 10y 40xx y 120 A .40y 10x【答案】C 【解析】 【分析】首先根据题意可以得出以下两个等量关系:B .C.D .x y20y 12040x①制作盒身的白铁皮张数+制作盒底的白铁皮其中x 张制作盒身,y 张制作盒底,10个或制盒底40个,一个盒身与两个盒底配成一套罐头盒,•••可列方程组为:y 12040y 20x故选:C. 【点睛】本题主要考查了二元一次方程组的实际应用, 键. 根据题意正确找出相应的等量关系是解题关7.下列 4组数值,哪个是二元一次方程 2x+3y = 5 的解?(xA .yx 4 D . y 1【分析】二兀一次方程2X+3y = 5的解有无数个,所以此题应该用排除法确定答案,分别代入方程 组,使方程左右相等的解才是方程组的解. 【详解】入原方程验证二元一次方程的解.②a 5-时,Xy ;③当a1时,关于X 、y 的方程组 X y 1 a的解也是方X y 3a 5程X y2的解;④若y 1,则a1,其中正确的有()A . 1个B . 2个 C. 3个D . 4个【答案】C【解析】【分析】X解得:y1①••• X - y ,2a + 3》-a-1,A 、 把 X = 0,B 、C 、D 、 把 X = 1, 把 X = 2, 把 x = 4, 3 9 9 y =—代入方程,左边=0+—=-给边,所以不是方程的解;55 5y = 1代入方程,左边=右边=5,所以是方程的解;y =- 3代入方程,左边=-5给边,所以不是方程的解; y = 1代入方程,左11故选B . 【点睛】 此题考查二元次方程的解的定义, 要理解什么是二元一次方程的解,并会把X , y 的值代已知关于X 、y 的方程组3a15,满足X 2y ,则下列结论:①解方程组得2a2,由1-y 得到关于a 的不等式,2解之可得答案;②将X = y代入方程组,求出a 的值, 从而依据X = y 得出答案; 【详解】 X a 3即可做出判断;③将X = y 代入y 2a由ywi 得出关于a 的不等式,解之可得.2求出 X 、y 的值,解:关于X 、y 的方程组1 a 3a 5,2a 2解得a>-2故①正确;x② 将x = y 代入ya 3,得:2a 243 5 3即当x = y 时,a =5,此结论正确;3 x 2③ 当a = -1时,,满足x + y = 2,此结论正确;y 03 ④若y<1则-2a-2 解得a >—,此结论错误; 2故选:C. 【点睛】本题考查了二元一次方程组的解,解题的关键是牢记二元一次方程组的解题方法.9.为了迎接体育中考,体育委员到体育用品商店购买排球和实心球,若购买个实心球共需95元,若购买5个排球和7个实心球共需230元,若设每个排球 实心球y 元,则根据题意列二元一次方程组得(2个排球和3x 元,每个3x 2y 5x 7y 【答案】 B【解析】95230 2x B . 5x3y 95 7y 2303x c. 7x 2y 5y95 D . 2302x 7x3y 955y 230分析:根据题意,确定等量关系为:个排球和7个实心球共需230元,根据所设未知数列方程,构成方程组即可 详解:设每个排球 x 元,每个实心球y 元,若购买2个排球和 3个实心球共需 95元, 若购买5则根据题意列二元一次方程组得: 2x 3y 95 5x 7y 230故选B .点睛:此题主要考查了二元一次方程组的应用,关键是确定问题中的等量关系,列方程组10.如果方程组m 一的解是二元一次方程4m3x - 5y - 30= 0的一个解,那么 m 的值为(A . 7【答案】 【解析】 【分析】理解清楚题意,运用三元一次方程组的知识,把 程3x-5y-30=0求得a 的值.B . C. D . 2x , y 用含m 的代数式表示出来,代入方【解析】 【分析】根据题意可得等量关系: 枚黄金的重量)-(1枚白银的重量+8枚黄金的重量)=13两,根据等量关系列出方程组即 可. 【详解】y = m 1 y =4m 2 (1)代入5+ (2)得 x=_m ,23(1)得 y=- 5 m ,把x , y 代入方程3x-5y-30=0 得: 3 x _m +5 x 3m-30=0,2 2解得m=2; 故选D . 【点睛】本题的实质是解三元一次方程组,用加减法或代入法来解答.11.《九章算术》是我国古代数学的经典著作,书中有一个问题: 十^一枚,称之重适等.交易其一,金轻十三两.问金、银一枚各重几何? 中装有黄金9枚(每枚黄金重量相同),乙袋中装有白银 重两袋相等.两袋互相交换 金、今有黄金九枚,白银一 ”.意思是:甲袋11枚(每枚白银重量相同),称1枚后,甲袋比乙袋轻了 13两(袋子重量忽略不计)•问黄 白银每枚各重多少两?设每枚黄金重x 两,每枚白银重y 两,根据题意得()A .11x 9y(10y x) (8x y) 13 B .10y 9x x 8x y 13 11y 9x c. (8x11yy) (10y x) 139x (10y x) (8x【答案】DD .11y y) 13①9枚黄金的重量=11枚白银的重量; ②(10枚白银的重量+1【详解】设每枚黄金重x 两,每枚白银重 y 两,由题意得:9x 11y(10y x) (8x y) 13’解:因为 7a b 5 12a b 11 0,【分析】根据二次根式的性质和绝对值的概念先列出关于 求值. 【详解】故选:D . 【点睛】此题主要考查了由实际问题抽象出二元一次方程组, 等量关系.关键是正确理解题意,找出题目中的 12.已知关于x,y 的二元一次方程组3x 2x 2y 3y3m 2的解适合方程x 2y 5,则m 的 值为()A . 1【答案】C B .【解析】 【分析】整理方程为3x+7y=2,与x 2y 5组成新的方程组,求解得3,代入原方程组中任意一1个方程即可求出 m. 【详解】解:将m=2x+3y 代入3x2y 3m 2 中得,3x+7y=2, •/x,y 的二元一次方程组3x :2y 3m 2x 3y2的解适合方程x 2y 5,x •••联立方程组3x 2y 7y52,解得:m 2x 3y =3,故选C. 【点睛】本题考查解二元一次方程组的方法 ,属于简单题,熟练掌握加减消元和代入消元的方法是解题关键-13.若 J b 5 |2a b 1| a )2019 等于()A .1【答案】A【解析】 B . 1C. 52019D .52019a,b 的方程组,求出解,然后代入式子中a b 5 0,①所以2a b 1 0,②由②,得b 2a 1③,将③ 代入① ,得a 2a 1 5 0,解得把a 得b故选【点睛】本题考查了二元一次方程组的解法,也考查了二次根式和绝对值的性质,比较基础14.学校八年级师生共466 人准备参加社会实践活动,现已预备了共10 辆,刚好坐满.设49 座客车x 辆,466 人,且刚好坐满,即可列出方程组【详解】解:设49 座客车x 辆,37 座客车y 辆,故选:A.【点睛】本题考查了由实际问题抽象出二元一次方程组,根据实际问题中的条件列方程组时,要注意抓住题目中的一些关键性词语,找出等量关系,列出方程组.15.某文具店一本练习本和一支水笔的单价合计为10 支水笔,共花了36 元.如果设练习本每本为下列方程组中,正确的是(xy3C 20x 10y 36yx3D 20x 10y 362,2 代入③ 中,3,a)2019( 1)20191.(bA.所以49 座和37 座两种客车37 座客车y 辆,根据题意可列出方程组()x y 10A.49x 37y 466 B.xy37x1049y 466C.x y 46649x 37y 10D.xy37x46649y 10【答案】A【解析】【分析】设49 座客车x 辆,37 座客车y 辆,根据49 座和37座两种客车共10 辆,及10 辆车共坐根据题意得:x y 1049x 37y 4663 元,小妮在该店买了x 元,水笔每支为y 元,20 本练习本和那么根据题意,xy3A. B 20x 10y 36 xy310x 20y 36【答案】 B 【解析】分析:根据等量关系 “一本练习本和一支水笔的单价合计为 3元”, “20本练习本的总价 +10支水笔的总价 =36”,列方程组求解即可.详解:设练习本每本为 x 元,水笔每支为 y 元, 根据单价的等量关系可得方程为 x+y=3,根据总价 36 得到的方程为 20x+10y=36,所以可列方程为:X y—320x 10y=36故选: B . 点睛:此题主要考查了由实际问题抽象出二元一次方程组,得到单价和总价的 系是解决本题的关键.16. A 地至B 地的航线长9360km , —架飞机从 A 地顺风飞往B 地需12h ,它逆风飞行同样 的航线要13h ,则飞机无风时的平均速度是()分析】 设飞机无风时的平均速度为 x 千米/时,风速为y 千米/时,根据飞机顺风速度 >时间=路 程,飞机逆风速度 >时间=路程,列方程组进行求解. 【详解】设飞机无风时的平均速度为 x 千米/时,风速为y 千米/时, 2 个等量关A . 720km/h【答案】 B 【解析】B .750 km/hC .765 km/hD . 780 km/h由题意得,12(x 13(x y) 9360 y) 9360 ,750x 解得,y答:飞机无风时的平均速度为 750 千米/时,故选 B . 30点睛】本题考查二元一次方程组的应用,熟练掌握顺风速度=静风速度 度-风速是解题的关键.+风速,逆风速度=静风速17. 利用两块相同的长方体木块测量一张桌子的高度,首先按图 木块的位置,按图 ② 方式放置测量的数据如图,则桌子的高度是(① 方式放置,再交换两xx 80 x y 70 y故答案为:C .【点睛】本题考查了二元一次方程的实际应用,掌握解二元一次方程的方法是解题的关键. 18.图①的等臂天平呈平衡状态,其中左侧秤盘有一袋石头,右侧秤盘有一袋石头和 2个 各10克的砝码•将左侧袋中一颗石头移至右侧秤盘,并拿走右侧秤盘的1个砝码后,天平仍呈平衡状态,如图 ②所示•则被移动石头的重量为( ) LI y 20 z y z 10解得z=5A . 73cm【答案】C【解析】【分析】B . 74cm C. 75cm D . 76cm 设长方体木块的长是xcm , 宽是 ycm ,由题意得x y 5,再代入求出桌子的高度即可. 【详解】设长方体木块的长是 xcm , 宽是 ycm ,由题意得可得x y 5则桌子的高度是80 80 5 75cmA . 5克【答案】【解析】【分析】【详解】 解: B . 10 克 C. 15 克 D . 20 克 设左天平的一袋石头重X 克,右天平的一袋石头重y 克,被移动的石头重 z 克,由题得: ■M W ::卩 V “LiJ I ,1 Hi ' J【解析】【分析】【详解】故选:A .【点睛】本题主要考查二元一次方程组的应用,读懂题意列出方程组是解题的关键.是关于X 和y 的二元一次方程ax y 1的解,则a 的值等于() 2 解得:a 故选:A .答:被移动石头的重量为 5克. 故选A .【点睛】本题考查了列三元一次方程组解实际问题的运用 图象天平反映的意义找到等量关系是关键. ,三元一次方程组的解法的运用 ,解答时理解19.用5个大小相同的小长方形拼成了如图所示的大长方形,若大长方形的周长是 每个小长方形的周长是( )28,则 C. 13D . 16 设小长方形的长为方形的周长.X,宽为 y . 根据题意列出方程组,解方程组求出 x,y 的值,进而可求小长设小长方形的长为 X,宽为 y , 根据题意有X 2y(3y X X)228解得 •••小长方形的周长为(4 2)12 , 20.若A . 3【答案】B . 1 C. 1 D . 3【分析】将方程的解代入所给方程,再解关于【详解】 a 的一元一次方程即可.X 解:将y 12代入 aX y 1 得,a 2 1,【答案】A【点睛】本题考查的知识点是二元一次方程的解以及解一元一次方程,比较基础,难度不大.。
二元一次方程组易错题1、下列方程中,是二元一次方程的是( )A .3x-y 2=0B .2x +1y =1C .3x -52y=6 D .4xy=3 2.若4x-3y=0,则4545x y x y-+的值为( )A .31B .-14C .12D .不能确定 3.方程3x+2y=5的非负整数解的个数为( )A .1个B .2个C .3个D .4个4.如果二元一次方程组3,9x y a x y a+=⎧⎨-=⎩的解是二元一次方程2x-3y+12=0的一个解,那么a•的值是( ) A .34 B .-47 C .74D .-43 5.某商场根据市场信息,对商场中现有的两台不同型号的空调进行调价销售,•其中一台空调调价后售出可获利10%(相对于进价),另一台空调调价后售出则要亏本10%,这两台空调调价后的售价恰好相同,那么商场把这两台空调调价后售出( )A .既不获利也不赔本;B .可获利1%;C .要亏本2% ;D .要亏本1%6.关于x 、y 的二元一次方程组⎩⎨⎧=-=+42by ax by ax 与⎩⎨⎧-=-=+654432y x y x 的解相同, 则a= ,b= .7.甲、乙两人共同解方程组 由于甲看错了方程①中的a ,得到方程组的解为⎩⎨⎧-=-=13y x ;乙看错了方程②中的b ,得到方程组的解为 。
(1)甲把a 看成了什么乙把b 看成了什么(2)求出原方程组的正确解。
(3)试计算20072006101⎪⎭⎫ ⎝⎛-+b a 的值.⎩⎨⎧==45y x ⎩⎨⎧-=-=+ ②by x ①y ax 241558、6,234()5() 2.x y x yx y x y +-⎧+=⎪⎨⎪+--=⎩9、已知关于x,y 的方程组⎩⎨⎧=+=+1y x 42ny mx 与⎩⎨⎧=-+=-3)1(3y m nx y x 的解相同,求(1)求这个相同的解(2)m,n 的值。
10、如果方程组⎩⎨⎧=+=+205273y x my x 的解为正整数,则m 的整数值为()应用题:1、 行程问题(1) 已知甲、乙两人从相距18km 的两地同时出发,相向而行,145h 相遇,如果甲比乙先走23h ,那么在乙出发后32h 两人相遇,求甲、乙两人的速度.(2)甲乙两人分别从相距30千米的A 、B 两地同时出发,相向而行,经过3小时后相距3千米,再经过2小时,甲到B 地所剩的路程是乙到A 地所剩路程的2倍,求甲乙两人的速度。
二元一次方程组易错题
1下列方程中,是二元一次方程的是(
) 2 A . 3x-y 2
=0
B . ?+丄=1
C .-
3 5y=6 2
D
.4xy=3
x y
2 .若 4x-3y=0 , 则4x _5y 的值为
()
4x -.-5y
A . 31 B
.-1 C
.1 D . 不能确定
4
2
3.方程3x+2y=5的非负整数解的个数为( )
A . 1个
B . 2个
C . 3个
D . 4个
4.如果二元- 次方程组
x y 3a,
的解是二兀一次方程
2x-3y+12=0的一个解,那么a?的值是()A .-
|x —y =9a
4
4
C . 7
4
B.——
D .--
7 4 3
5.某商场根据市场信息,
对商场中现有的两台不同型号的空调进行调价销售, ?其中一台空调调价后售出
可获利10%(相对于进价),另一台空调调价后售出则要亏本 10%这两台空调调价后的售价恰好相同,
那么商场把这两台空调调价后售出(
)
A .既不获利也不赔本;
B .可获利1%;
C .要亏本2% ;
D .要亏本1% 6•关于x 、y 的二元一次方程组?x +by =2与/X *3y =4
的解相同,
ax-by =4
4x-5y=-6
贝 H a= ______ , b= ______ .
(1)甲把a 看成了什么?乙把 b 看成了什么?
(2)求出原方程组的正确解。
7.甲、乙两人共同解方程组 7=_3 ;乙看错了方程②中的
y=—1
'ax+5y = 15 ① £x _
by = -2 ② b ,得到方程
组的解为
由于甲看错了方程①中的
x =5。
a ,得到方程组的解为
(3)试计算
3x + 7y = m
10、如果方程组丿 y
的解为正整数,则 m 的整数值为(
2x +5y =20
4(x y) -5(x-y) =2.
mx 2ny 二 4 M +y =1
求(1)求这个相同的解(2) m,n 的值。
9、已知关于x,y 的方程组丿
r.
与
x — y = 3
y
的解相同,
小 x + (m —1)y =3
应用题: 1、行程问题
4
2
(1)
已知甲、乙两人从相距 18km 的两地同时出发,相向而行,
1上h 相遇,如果甲比乙先走
h ,那么
5
3
3
在乙出发后上h 两人相遇,求甲、乙两人的速度.
2
(2)甲乙两人分别从相距 30千米的A 、B 两地同时出发,相向而行,经过 3小时后相距3千米,再经过
2小时,甲到B 地所剩的路程是乙到 A 地所剩路程的2倍,求甲乙两人的速度。
(3) (环形行程)如图是一个长为 400米的环形跑道,其中 A,B 为跑道对
称轴上的两点,且 A 、B 之间有 一条50米的直线通道,甲乙两人同时从 A 点处出发,甲按逆时针方向以速度 V 1沿跑道跑步,当跑到 B 点 处继续沿跑道前进,乙按顺时针方向以速度 V 2沿跑道跑步,当跑到 B 点处时沿直线通道跑回 A 点处。
假
设两人跑步时间足够长,求(1)如果V 1:V 2 = 3:2,那么甲跑了多少路程后,两人首次在 A 点处相遇? (2)如果V 1: V 2 = 5 : 6,那么乙跑了多少路程后,两人首次在
B 点处相遇?
甲 乙
B
甲
2配套问题
(1)某车间28名工人,生产一种螺栓和螺母,每人每天平均能生产螺栓12只或螺母18只,要求一个
螺栓配两个螺母,问如何安排生产螺母和螺栓的人数,才能使螺栓与螺母恰好配套?
(2).实验室需要一批无盖的长方体模型,一张大纸板可以做成长方体的侧面30个或长方体的底面25个,
一个无盖的长方体由4个侧面和一个底面构成。
现有26张大纸板,则用多少张做侧面,多少张做底面才可以使得刚好配套,没有剩余。