钢材材料性能汇总
- 格式:xls
- 大小:1.68 MB
- 文档页数:8
钢铁行业的创新材料介绍新型钢铁材料的性能和应用领域钢铁行业的创新材料:介绍新型钢铁材料的性能和应用领域钢铁作为重要的基础材料,在各个行业都扮演着重要的角色。
随着科技进步和工业发展,钢铁行业也不断追求创新,致力于开发新型的钢铁材料。
本文将介绍一些新型钢铁材料的性能以及它们在不同应用领域的应用。
一、高强度钢高强度钢是新一代的钢铁材料,其特点在于具有更高的强度和良好的韧性。
通过调整化学成分和制造工艺,高强度钢比传统钢材表现出更好的机械性能,能够在更薄的厚度下承受更大的载荷。
这使得高强度钢在航空航天、汽车制造和建筑领域中得到广泛应用。
例如,航空航天企业使用高强度钢制造轻量化的飞机零件,汽车制造商采用高强度钢降低车身重量,提高燃油效率,建筑领域则广泛应用于高楼大厦的结构材料。
二、耐腐蚀钢耐腐蚀钢是一类能够在恶劣环境下长期抵御腐蚀的钢铁材料。
在海洋环境、化工工业等领域,由于酸雨、盐雾等因素的存在,钢铁很容易受到腐蚀,导致使用寿命减少。
耐腐蚀钢通过添加合金元素,如镍、铬等,在钢材表面形成一层耐腐蚀的保护膜,能够有效延长钢铁材料的使用寿命。
耐腐蚀钢在船舶建造、海洋工程、化工设备等领域得到广泛应用,提高了设备和结构的抗腐蚀能力,同时减少了维护和更换的成本。
三、复合钢复合钢是由两种或更多种不同性质的钢材复合而成的新型材料。
借助于不同钢材的特性互补,复合钢具备更好的综合性能。
在制造工艺上,采用熔焊、轧制等技术将不同钢材层叠在一起,形成独特的结构。
复合钢广泛应用于军事装备、船舶制造以及特殊工作环境下的机械设备。
例如,以高强度钢为表面层、耐腐蚀钢为内层的复合钢可以在船舶上既增加碰撞强度,又提高耐蚀性能。
四、高温合金钢高温合金钢是一种能够在高温环境下保持高强度和良好维度稳定性的钢材。
由于高温下钢材容易发生晶粒长大、蠕变、氧化等问题,传统钢材在高温条件下应用受到局限。
而高温合金钢通过合理控制合金元素的含量和制造工艺,使得钢材在高温环境下表现出更好的热稳定性和抗氧化性能。
钢材的力学性能有哪些?
钢材的力学性能主要包括强度、塑性、韧性、韧度、屈服点、断裂点、抗拉强度、抗压强度、断裂应变等。
1. 强度:钢材的强度是指其承受应力的能力,反映材料的抗拉强度和抗压强度。
2. 塑性:指材料在拉伸或压缩时,其变形量与外力的大小成正比。
3. 韧性:指材料在拉伸或压缩时,其变形量与外力的大小成反比。
4. 韧度:指材料在拉伸或压缩时,其变形量与外力的大小成反比,但变形量不超过一定值。
5. 屈服点:指材料在拉伸或压缩时,外力达到一定值时,材料开始变形的应力。
6. 断裂点:指材料在拉伸或压缩时,外力达到一定值时,材料断裂的应力。
7. 抗拉强度:指材料在拉伸时,外力达到一定值时,材料不再变形的应力。
8. 抗压强度:指材料在压缩时,外力达到一定值时,材料不再变形的应力。
9. 断裂应变:指材料在拉伸或压缩时,外力达到一定值时,材料断裂的变形量。
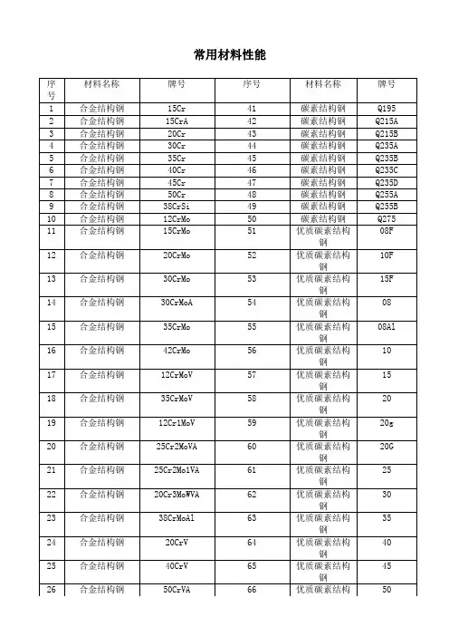
常用材料性能1、材料名称:合金结构钢牌号:15Cr标准:GB/T 3077-1988●特性及适用范围:是常用的低碳合金渗碳钢,冷变形塑性高,焊接性良好,在退火状态下可切削性好。
用作工作速度较高而断面不大的、心部韧性高的渗碳零件,如衬套、曲柄销、活塞销、活塞环、联轴节,以及工作速度较高的齿轮、凸轮、轴和轴承圈等,船舰主机用螺钉、机车小零件、汽轮机套环等●化学成份:碳 C :0.12~0.18硅Si:0.17~0.37锰Mn:0.40~0.70硫S :允许残余含量≤0.035磷P :允许残余含量≤0.035铬Cr:0.70~1.00镍Ni:允许残余含量≤0.030铜Cu:允许残余含量≤0.030●力学性能:抗拉强度σb (MPa):≥735(75)屈服强度σs (MPa):≥490(50)伸长率δ5 (%):≥11断面收缩率ψ (%):≥45冲击功Akv (J):≥55冲击韧性值αkv (J/cm2):≥69(7)硬度:≤179HB试样尺寸:试样毛坯尺寸为15mm●热处理规范及金相组织:热处理规范:淬火:第一次880℃,第二次780~820℃,水冷、油冷;回火200℃,水冷、空冷。
●交货状态:以热处理(正火、退火或高温回火)或不热处理状态交货,交货状态应在合同中注明。
2、材料名称:合金结构钢牌号:15CrA标准:GB/T 3077-1988●化学成份:碳 C :0.12~0.17硅Si:0.17~0.37锰Mn:0.40~0.70硫S :允许残余含量≤0.025磷P :允许残余含量≤0.025铬Cr:0.70~1.00镍Ni:允许残余含量≤0.030铜Cu:允许残余含量≤0.025●力学性能:抗拉强度σb (MPa):≥685(70)屈服强度σs (MPa):≥490(50)伸长率δ5 (%):≥12断面收缩率ψ (%):≥45冲击功Akv (J):≥55硬度:≤179HB试样尺寸:试样毛坯尺寸为15mm●热处理规范及金相组织:热处理规范:淬火:第一次880℃,第二次770~820℃,水冷、油冷;回火180℃,油冷、空冷。
常用模具钢材料对照及特性模具钢是用于制造模具的专用钢材,具有高硬度、高强度、高热导性和良好的耐磨性等优点。
根据使用要求和工作环境的不同,常用的模具钢材料有很多种。
下面是一些常见的模具钢材料的对照及其特性:1.SA840SA840是一种超高强度的合金模具钢,具有良好的耐蚀性和磨削性能,适用于制造大型模具和要求高精度的模具。
它的主要特点是硬度高、韧性好、抗压力强,可以有效地抵抗应力和磨损。
2.S50CS50C是一种碳素结构钢,具有良好的切削性能。
它的主要特点是硬度高、强度大、耐磨性好,适用于制造低要求的模具和中小型模具。
此外,S50C也具有良好的热处理性能,可以通过热处理来改变其力学性能。
3.718718是一种高强度的合金模具钢,具有良好的抗磨性和耐蚀性。
它的主要特点是硬度高、耐磨性好、抗拉强度大,适用于制造高要求的模具和具有复杂形状的模具。
718还具有较好的热处理性能和热稳定性,可以在高温环境下保持较好的性能。
4.P20P20是一种普通的塑料模具钢,具有良好的耐腐蚀性和耐磨性。
它的主要特点是硬度适中、韧性好、耐磨性较强,适用于制造中小型塑料模具和注塑模具。
P20具有很好的加工性能,容易切削和加工成形。
5.H13H13是一种热工具模具钢,具有良好的耐高温性和耐热疲劳性。
它的主要特点是硬度高、强度大、抗热冲击能力强,适用于制造高温工作模具和需要具备较长工作寿命的模具。
H13还具有优良的抗冲击性能和耐磨性,能够在恶劣环境下稳定工作。
总结:常用的模具钢材料有SA840、S50C、718、P20和H13等,它们具有不同的特点和适用范围。
选择适合的模具钢材料要根据具体的工作要求、工作环境和成本等因素来综合考虑,以确保模具具有良好的性能和寿命。
钢材的物理力学性能和机械性能表钢材的主要机械性能(也叫力学性能)通常是指钢材在标准条件下均匀拉伸.冷弯和冲击等.单独作用下所显示的各种机械性能。
钢材通常有五大主要的机械性能指标:通过一次拉伸试验可得到抗拉强度,伸长率和屈服点三项基本性能;通过冷弯试验可得到钢材的冷弯性能;通过冲击韧性试验可得到冲击韧性。
1.屈服点(σs)钢材或试样在拉伸时,当应力超过弹性极限,即使应力不再增加,而钢材或试样仍继续发生明显的塑性变形,称此现象为屈服,而产生屈服现象时的最小应力值即为屈服点。
设Ps为屈服点s处的外力,Fo为试样断面积,则屈服点σs =Ps/Fo(MPa),MPa称为兆帕等于N(牛顿)/mm2,(MPa=106Pa,Pa:帕斯卡=N/m2)2.屈服强度(σ0.2)有的金属材料的屈服点极不明显,在测量上有困难,因此为了衡量材料的屈服特性,规定产生永久残余塑性变形等于一定值(一般为原长度的0.2%)时的应力,称为条件屈服强度或简称屈服强度σ0.2。
3.抗拉强度(σb)材料在拉伸过程中,从开始到发生断裂时所达到的最大应力值。
它表示钢材抵抗断裂的能力大小。
与抗拉强度相应的还有抗压强度、抗弯强度等。
设Pb为材料被拉断前达到的最大拉力,Fo为试样截面面积,则抗拉强度σb= Pb/Fo (MPa)。
4.伸长率(δs)材料在拉断后,其塑性伸长的长度与原试样长度的百分比叫伸长率或延伸率。
5.屈强比(σs/σb)钢材的屈服点(屈服强度)与抗拉强度的比值,称为屈强比。
屈强比越大,结构零件的可靠性越高,一般碳素钢屈强比为0.6-0.65,低合金结构钢为0.65-0.75合金结构钢为0.84-0.86。
6.硬度硬度表示材料抵抗硬物体压入其表面的能力。
它是金属材料的重要性能指标之一。
一般硬度越高,耐磨性越好。
常用的硬度指标有布氏硬度、洛氏硬度和维氏硬度。
⑴布氏硬度(HB)以一定的载荷(一般3000kg)把一定大小(直径一般为10mm)的淬硬钢球压入材料表面,保持一段时间,去载后,负荷与其压痕面积之比值,即为布氏硬度值(HB),单位为公斤力/mm2 (N/mm2)。
钢的成分分析汇总钢是一种由铁和碳组成的合金,同时还包含其他元素如硅、锰、硫、磷、铜、镍等。
这些元素的添加能够改善钢的性能,例如提高强度、耐蚀性、磁性、可焊性等。
钢的成分分析非常重要,因为不同的成分会影响钢的性能和用途。
以下是钢的常见成分分析汇总。
1.铁(Fe):钢的主要成分是铁,其含量通常在98%以上。
铁是钢的主体和支撑,具有良好的可塑性和韧性。
2.碳(C):碳是钢中最重要的合金元素之一、它的含量决定了钢的硬度和强度。
低碳钢(含碳量小于0.25%)具有良好的可塑性和焊接性能,多用于汽车结构、建筑材料等。
高碳钢(含碳量超过0.6%)具有很高的硬度和强度,适用于制作刀具、弹簧等。
3.硅(Si):硅用于提高钢的耐热性和抗氧化性。
它还能提高钢的流动性和可塑性,降低钢的磁性。
硅的含量通常在0.15-0.5%之间。
4.锰(Mn):锰用于增加钢的硬度和强度,促进钢在冷却和热处理过程中的形变。
锰的含量通常在0.25-1.5%之间。
5.硫(S):硫是钢中的杂质元素,会降低钢的塑性和韧性,增加钢的脆性。
因此,在特殊用途的钢中需要控制硫的含量。
6.磷(P):磷也是钢中的杂质元素,会降低钢的韧性和延展性,增加脆性。
磷的含量也需要控制在较低水平。
7.铜(Cu):铜用于提高钢的耐蚀性和抗氧化性能。
铜还能增加钢的硬度和强度,改善钢的可焊性和加工性能。
8.镍(Ni):镍可以提高钢的韧性、延展性和耐蚀性。
已经广泛应用于航空航天、化工和核工业等领域。
以上是钢的常见成分分析汇总。
除了上述元素之外,钢中还可以含有其他元素,如磷、硫、锡、钼、铝等,根据不同钢的用途和要求进行调整和控制。
成分分析对于钢的生产和应用具有重要意义,可以确保钢材的质量和性能的稳定性。
注塑模具常用钢材及硬度汇总注塑模具是一种用于制造塑料制品的模具,常见于家电、汽车、电子等行业。
模具的材料选择对模具的寿命、质量和成本等方面都具有重要影响。
下面是注塑模具常用钢材及硬度的汇总:1.P20钢:P20钢又称为低碳铬模具钢,具有良好的切削性能、加工性能和热处理性能。
其硬度一般为28-32HRC,适用于制造大多数注塑模具的芯、腔。
2.718钢:718钢是一种耐热性能较好的模具钢,具有优异的综合性能。
718钢的硬度一般在30-36HRC之间,适用于制造高要求的注塑模具。
3.NAK80钢:NAK80钢是一种低合金的中碳铬钼耐冲击模具钢,具有出色的耐磨性和耐蚀性。
其硬度一般为37-43HRC,适用于制造高要求的注塑模具。
4.S136钢:S136钢又称为不锈钢,具有良好的抗腐蚀性能和耐酸碱性能。
其硬度一般为48-52HRC,适用于制造高品质和高精度的注塑模具。
5.H13钢:H13钢是一种热作模具钢,具有良好的耐热性和热疲劳性能。
其硬度一般为45-50HRC,适用于制造需要抵抗高温和高压的注塑模具。
6.738钢:738钢是一种高硬度、高强度的模具钢,具有优异的耐磨性能和尺寸稳定性。
其硬度一般为48-52HRC,适用于制造长寿命和高要求的注塑模具。
除了以上几种常用钢材外,还有一些特殊用途的模具钢,如:SLD钢、STAVAX钢、420钢等。
这些钢材在不同的注塑模具制造过程和需求中具有特定的应用价值。
在选择模具钢材时,需要综合考虑模具的使用条件、工作环境、成本等因素。
合理选择合适的模具钢材,能够提高模具的使用寿命、耐磨性和生产效率,降低模具制造成本,提高产品质量。
史上最全钢材基本知识汇总一、钢材机械性能1 .屈服点3s)钢材或试样在拉伸时,当应力超过弹性极限,即使应力不再增加,而钢材或试样仍继续发生明显的塑性变形,称此现象为屈服,而产生屈服现象时的最小应力值即为屈服点。
设Ps为屈服点s处的外力,Fo为试样断面积,则屈服点as =Ps/Fo(MPa)2 .屈服强度30.2)有的金属材料的屈服点极不明显,在测量上有困难,因此为了衡量材料的屈服特性,规定产生永久残余塑性变形等于一定值(一般为原长度的0.2%)时的应力,称为条件屈服强度或简称屈服强度a0.2。
3 .抗拉强度3b)材料在拉伸过程中,从开始到发生断裂时所达到的最大应力值。
它表示钢材抵抗断裂的能力大小。
与抗拉强度相应的还有抗压强度、抗弯强度等。
设Pb为材料被拉断前达到的最大拉力,Fo为试样截面面积,则抗拉强度ab= Pb/Fo(MPa)。
4 .伸长率(bs)材料在拉断后,其塑性伸长的长度与原试样长度的百分比叫伸长率或延伸率。
5 .屈强比(os/ob)钢材的屈服点(屈服强度)与抗拉强度的比值,称为屈强比。
屈强比越大,结构零件的可靠性越高,一般碳素钢屈强比为0.6-0.65,低合金结构钢为0.65-0.75合金结构钢为0.84-0.86。
6 .硬度硬度表示材料抵抗硬物体压入其表面的能力。
它是金属材料的重要性能指标之一。
一般硬度越高,耐磨性越好。
常用的硬度指标有布氏硬度、洛氏硬度和维氏硬度。
布氏硬度(HB)以一定的载荷(一般3000kg)把一定大小(直径一般为10mm)的淬硬钢球压入材料表面,保持一段时间,去载后,负荷与其压痕面积之比值,即为布氏硬度值(HB)。
洛氏硬度(HR)当HB>450或者试样过小时,不能采用布氏硬度试验而改用洛氏硬度计量。
它是用一个顶角120°的金刚石圆锥体或直径为1.59、3.18mm的钢球,在一定载荷下压入被测材料表面,由压痕的深度求出材料的硬度。
根据试验材料硬度的不同,分三种不同的标度来表示:HRA:是采用60kg载荷和钻石锥压入器求得的硬度,用于硬度极高的材料(如硬质合金等)。
q235钢材料参数Q235钢材料参数___________________________Q235是一种低碳钢,也叫一般结构钢,是按照GB/T700-2006标准制定的。
由于其具有较好的可塑性、焊性和耐腐蚀性,因此在工业上应用十分广泛。
本文将详细介绍Q235钢材料的参数。
## 一、物理性能Q235的物理性能有以下几个方面:1. 熔点:1420℃~1460℃;2. 硬度:155HB;3. 密度:7.85g/cm3;4. 抗张强度:≥375MPa;5. 屈服强度:≥235MPa;6. 弹性模量:200GPa;7. 断裂伸长率:≥25%。
## 二、化学成分Q235的化学成分主要有以下几个方面:1. 碳含量:0.12%-0.20%;2. 硫含量:≤0.045%;3. 磷含量:≤0.045%;4. 锰含量:0.30%-0.70%。
## 三、力学性能Q235的力学性能有以下几个方面:1. 抗拉强度:≥375MPa;2. 屈服强度:≥235MPa;3. 伸长率:≥25%。
## 四、焊接性能Q235的焊接性能有以下几个方面:1. 热弯拉伸试验:满足GB/T700-2006标准要求;2. 氢焊焊接试验:满足GB/T700-2006标准要求。
## 五、表面处理Q235的表面处理一般有热浸镀锌和热浸型锌处理。
热浸锌是将钢材浸入锌液中加热的处理方法,可以使钢材表面形成一层稳定的锌层,从而提高材料的耐腐蚀性、耐磨性和装饰性能。
热浸型锌处理是将钢材浸入型锌液中加热的处理方法,可以使钢材表面形成一层厚重的型锌层,从而使材料具有很强的耐腐蚀性。
以上就是Q235钢材料的参数。
Q235的物理性能、化学成分、力学性能、焊接性能和表面处理都是十分重要的参数,应当在生产和使用过程中加以重视。
模具钢材材料常用型号以及特性汇总分享模具的材料选择好不好,直接影响到产品的制造周期,也就是开模数,也会影响到产品的表面处理工艺,有些材料不能做镜面高光处理,有些材料则强度会弱,不适合做插穿的镶件等。
1.Code:P1-P19H1-H19Wx:Sx:Shock Resisting SteelOx:OilHardening Steel (油钢)Ax:AirHardening SteelDx:High Carbon, High Chromium Steel(铬钢)2.德国标准DINCode:1.2738:Low carbon, high alloy (P20 - 塑胶模钢)1.23111.23121.20831.23161.23431.23441.25101.23793.Code:SxxC:Plain Carbon steel(黄牌 - S55C)SUSxx:Stainless Steel (抗酸钢- 420)SCrx:Chromium SteelSCMx:Chromium Molybdenum Steel(P20)SKx:Carbon Tool SteelSKSx:Low Alloy Steel (油钢 - O1)SKD11:MediumHigh Alloy Steel(铬钢- D2)SKD6:SKD61SKHxxSUMx:SUJx:A冷冲压模具、冷拉深模具、压印模具、冷挤压模具、螺纹压制模具和粉末压制模具等。
冷作模具钢的范围很广,.从各种碳素工具钢、合金工具钢、高速工具钢到粉末高速工具钢和粉末高合金模具钢。
冷作模具钢具是真空脱气精炼钢,内质纯净,机械加工性良好,切削明显提高,淬透性良好,空冷淬硬不易出现淬裂,耐磨性极为优异,韧性良好,可用作不锈钢及高硬度材料的冲裁模。
1.抗磨损冷作模具钢6Cr4W3MoVNb、6W6Mo5Cr4V、7Cr7Mo3V2Si、Cr4W2MoV、Cr5Mo1V、Cr6WV、Cr12、Cr12MoV、Cr12W、Cr12Mo1V1。
钢铁材料的特性与应用钢铁是一种重要的材料,在工业领域中应用广泛。
它经过多种加工和处理可以表现出许多特性,并适用于不同的应用。
本文将探讨钢铁材料的特性及其应用领域。
一、钢铁的特性1. 强度和硬度:钢铁是一种高强材料,具有较高的硬度。
通过不同的处理方式,可以获得不同的强度和硬度。
2. 耐腐蚀性:一些钢铁合金具有良好的耐腐蚀性能,如不锈钢。
在大气中或水中,它们能够长期保持外观和性能。
3. 导热性:钢铁是一种良好的导热材料,对于需要传递热能的应用很有用。
4. 可塑性:钢铁具有较好的可塑性,可以方便地进行加工和成型。
在工厂中,钢铁可以被轻松加工成许多不同形状的零件。
5. 焊接性:钢铁可以方便地与其他材料焊接在一起,形成强且稳定的连接。
这种特性使得钢铁在航空航天和汽车工业中应用广泛。
二、钢铁的应用1. 建筑结构:钢铁在建筑结构中应用广泛,如钢架结构、钢筋混凝土结构等。
由于钢铁具有较好的强度和刚性,能够承受较大的载荷,因此在高层建筑和大型桥梁等领域中很受欢迎。
2. 交通运输:钢铁在汽车、火车和船舶的制造中得到广泛应用。
汽车的发动机和底盘、火车轨道和车身、船舶的骨架和推进系统等都需要大量的钢铁。
3. 机械制造:钢铁在机械制造领域中也有很多应用,如制造工具、机器零件等。
钢铁的硬度和强度使它非常适合制造需要精密度和重载能力的设备。
4. 能源行业:钢铁制造是许多能源行业(如核电站和石油钻探)的重要组成部分。
在这些行业中,需要使用大量的钢铁结构来保证能源生产的安全性和可靠性。
5. 医疗行业:不锈钢具有良好的耐腐蚀性和生物相容性,因此在医疗行业中应用广泛。
从外科器械到植入物,不锈钢的应用范围很广。
6. 食品行业:钢铁制品对于保持食品的新鲜度和卫生安全性具有非常重要的作用。
在食品加工和储存领域,不锈钢制品被广泛应用于制作储存罐、管道和其他成分。
总之,钢铁是一种非常重要的材料,具有多种特性和应用领域。
随着科技的不断进步,我们相信其应用领域还会进一步扩大。
常用耐热钢的牌号化学成分热处理力学性能及用途耐热钢是指在高温下仍能保持一定强度和稳定性能的钢材。
常用的耐热钢材料主要有以下几种:1.1Cr5Mo:也被称为12Cr1MoV,其化学成分包括碳(C)≤0.15、硅(Si)≤0.50、锰(Mn)0.30-0.60、磷(P)≤0.025、硫(S)≤0.025、铬(Cr)0.80-1.10、镍(Ni)≤0.30、钼(Mo)0.45-0.65、铜(Cu)≤0.30,热处理状态为调质状态。
该材料具有高温强度好、抗氧化性能高、耐气腐蚀性好的特点,适用于石化设备、电力设备等高温工作环境中。
2.15CrMo:化学成分包括碳(C)0.12-0.18、硅(Si)0.17-0.37、锰(Mn)0.40-0.70、磷(P)≤0.03、硫(S)≤0.03、铬(Cr)0.80-1.10、钼(Mo)0.40-0.55,热处理状态为调质状态。
该材料具有强度高、塑性好、耐高温性能好的特点,适用于制造高压锅炉、石油化工设备、瓦斯燃烧器等。
3.25Cr2MoVA:化学成分包括碳(C)0.22-0.29、硅(Si)≤0.35、锰(Mn)0.40-0.70、磷(P)≤0.03、硫(S)≤0.03、铬(Cr)1.50-1.80、钼(Mo)0.45-0.65、钒(V)0.15-0.30、铝(Al)≤0.05、铜(Cu)≤0.35,热处理状态为调质状态。
该材料具有高温强度高、热变形性能好、抗氧化性能好的特点,适用于制造高温设备、航空发动机等。
4.12Cr2MoWVTiB:化学成分包括碳(C)0.08-0.15、硅(Si)0.17-0.37、锰(Mn)0.40-0.70、磷(P)≤0.03、硫(S)≤0.03、铬(Cr)1.00-1.30、钼(Mo)0.25-0.35、钨(W)0.90-1.10、钛(Ti)0.03-0.06、硼(B)0.001-0.005,热处理状态为调质状态。
该材料具有高温强度高、耐氧化性好、耐蠕变性能好的特点,适用于制造高温工作的炉具、高压容器等。
常用钢材特性介绍钢材是最常用的金属材料之一,具有广泛的应用于建筑、制造、汽车、航空航天等领域。
以下是常用钢材的特性介绍:1.碳钢:碳钢是最常见的钢材类型,主要由铁和碳组成,含有少量的其他元素如锰、硅等。
碳钢具有良好的强度和延展性,可以通过热处理来改变其硬度和强度。
碳钢价格低廉,易于加工和焊接,广泛用于建筑、机械制造和汽车工业。
2.不锈钢:不锈钢含有铬、镍等元素,具有良好的耐腐蚀性和抗氧化性能。
不锈钢可以抵抗大多数化学介质的侵蚀,不易生锈或变色。
不锈钢分为多种类型,如奥氏体不锈钢、马氏体不锈钢、铁素体不锈钢等,各有不同的特性和应用领域。
3.合金钢:合金钢是一种通过添加其他元素如钼、铬、镍、钛等来改善钢材性能的钢材。
合金钢可以在常温或高温下提供更高的强度、硬度和耐磨性。
合金钢在机械制造、汽车制造和航空航天等领域得到广泛应用。
4.高速钢:高速钢是一种专门用于切削工具的钢材,具有良好的热硬性和耐磨性。
高速钢能够在高速切削时保持良好的切削性能,并能在高温下保持较高的硬度。
高速钢适用于制造刀具、冲头、刀片等切削工具。
5.磁性材料:磁性钢材常用于电机、电磁设备和变压器等电工领域,具有良好的导磁性和磁导率。
磁性材料可分为软磁材料和硬磁材料,软磁材料具有较高的磁导率,适用于电子器件和电磁线圈等应用。
6.高温钢:高温钢是一种能够在高温条件下保持较高强度和耐热性的钢材。
高温钢可以在高温下保持结构的稳定性,具有优异的耐蠕变性和抗氧化性能。
高温钢广泛应用于石油化工、发电和航空航天等行业。
7.细晶粒钢:细晶粒钢是一种通过控制热处理过程来获得较小晶粒尺寸的钢材。
细晶粒钢具有优异的塑性和韧性,在相同强度条件下可以实现更轻和更薄的结构设计。
细晶粒钢被广泛应用于汽车制造、造船业和建筑领域。
总之,钢材具有丰富的材料特性,可以根据不同需求选择适合的钢材类型。
这些特性包括强度、硬度、韧性、耐腐蚀性、导磁性、耐热性等。
钢材的广泛应用使得我们的生活更加便利和丰富。
常用钢材型号性能特性汇总钢材是一种常见的金属材料,广泛应用于建筑、机械、汽车等各个领域。
根据不同的用途和要求,钢材可以有各种不同的型号和性能特性。
下面是一些常用钢材型号及其性能特性的汇总。
1.Q235钢:Q235钢是中国最常用的钢材之一,其主要特点是强度高、延展性好、焊接性能优良。
它可以用于制造各种结构件和机械零件。
2.Q345钢:Q345钢是一种低合金高强度结构钢,具有强度高、塑性好、耐蚀性好等特点。
它广泛应用于桥梁、船舶、建筑等领域。
3.45#钢:45#钢是一种碳素结构钢,具有硬度高、强度适中、韧性好等特点。
它主要用于制造机械零件,如轴、轴承等。
4.20#钢:20#钢是一种碳素结构钢,具有硬度适中、强度高、可塑性好等特点。
它广泛应用于机械制造、汽车制造、航空航天等领域。
5.40Cr钢:40Cr钢是一种铬钼合金结构钢,具有高强度、高硬度、耐磨性好等特点。
它适合制造高强度螺栓、螺母、齿轮等零部件。
6.65Mn钢:65Mn钢是一种弹簧钢,具有强度高、塑性好、磨损性能好等特点。
它广泛应用于制造弹簧及其他需要高强度的零部件。
7.304不锈钢:304不锈钢是一种常用的不锈钢材料,具有耐腐蚀性好、耐高温性能好等特点。
它广泛应用于化工、食品加工、建筑等领域。
8.316不锈钢:316不锈钢是一种耐腐蚀性能极好的不锈钢材料,具有耐高温、耐酸碱等特点。
它主要用于化工、医药、造船等领域。
9.H13工具钢:H13工具钢是一种热作模具钢,具有高硬度、高热稳定性等特点。
它广泛应用于各种模具制造。
10.P20塑料模具钢:P20塑料模具钢是一种高镍冷作模具钢,具有优良的切削加工性能和韧性。
它广泛应用于塑料模具制造。
以上是一些常用的钢材型号及其性能特性的汇总。
每种钢材都有其独特的特点和适用范围,在选择钢材时需要根据具体的使用要求和环境条件进行综合考虑。