复习题-ch1
- 格式:docx
- 大小:292.67 KB
- 文档页数:8
Exercise Ch. 11.21(b)注意先平移再翻转1/21.11 Determine the fundamental period of the signal = 1 +e """式Solution: The period of eNi=7. jl^iSThe period of e isN :=5.So N = N I N2=35 1.25. (a). Periodic. T=-T/2.Solution: T=2^/4=^/2.(b) . Periodic. T=2.Solution: T=2^/^=2.(c) x(r) = [ 1 + cos(4l-2勿/3)]/2. Periodic, pcri(Kl= 2^/4 = /rZ2(d) . Peritxlic. T=0.5.Solution: x(/) = E v {cos(4^r)w(/)J=-{ COS (4E )M (I ) + COS (4TT (T ))W (T ) }*=-cos(4^r) {:/(/) + w(-z)}—= -cos(4^r)2So. T=2^/4^=0.51.26 Determine whether or no each of (he following discrete-time signals is periodic. If (he signals is periodic, determineits fundamental period.(a) . Periodic. N=7(d) (e) x[n]u[n-3]-x[n}is2“Solution: N=———* m =7, m=3.6Z7(b). Not periodic.Solution: N= --------- * m = 16〃m , it s not rational number.1/8(c)Periodic. period=8 + J = cos| —(?: + ^V)2] = cos(—+—nN + —N2)8 8 4 8若乌N +服2=2Jbr・k为整数,对所有n成立.HP2nN^N2 = \6k对所有n成立,则有 4 8 2N + N?均为16的整故倍.故x[n|为周期的,基波周期为8(d)= cosG〃)cosg〃)As 饲/2芥=1/4,躲/2芥=1/8, the fundamental period is T= 8.(e). Periodic. N=16Solution as follow:A n] = 2cos(—n) + sm(—〃) 一2cos(— " + —)4 8 2 6in (his equation,sin(—n), it's period is N=2^ #m/(^/8)=16, m=l.it's period is N=2 龙*m/( n /2)=4. m=l.So, the fundamental period of.v| n] is N=(8,16,4)=16.1.49. (f) Solution:(1 +,)5= (VI)%,=4y[2e|1 + ,| = + = Z^ = tan l(I) = -补充:Please represent the Figure R1.2I in P. 60 with the step function w(lo).Solution:x(r) = -(2+0[w(/ + 2)-M(r+l)]+[w(r+l)-u(/)]+2[M(n-w(r-l)]+(2-0[w(/-l)-w(/-2)]= -(2+t)u(t+2)+(3++1)+w(/) T • u(t-1)+(2 2)1.19 For each of the following inpul-output relationships, determine whether the corresponding system is linear, timeinvariant or both.(c ) The system is linear and time-invariant.1.22(0 同"一 一 2]=上[0]况〃一 2] = y[n]vl») ・・・三i I~1 -i .|l -i/2 1.31 In this problem wc illustrate one of the most important consequences of the properties of linearity and time invariance.Specifically, once we know the response of a linear system or a linear time-invariant (LTI) system to a single input or the responses to several inputs, wc can directly compute the responses (o many other input signals. Much of the remainder of this book deals with a thorough exploitation of 【his fact in order to develop results and techniques for analyzing and synthesizing LTI systems.(a) Consider an LTI system whose response to the signal xi(r) in Figure Pl.31 (a) is the signal yi(z) illustrated inFigure Pl.31(b). Determine and sketch carefully the response of the system to the input X2(l) depicted in Figure1.31(c).(b) Determine and sketch the response of the system considered in part (a)(o the input xj(/) shown in Figure PI.3I(d)..弓(。
机械工程材料老师给的复习题华南理工大学广州学院答案篇一:机械工程材料习题集答案-华南理工大学习题集参考答案Ch1 金属的晶体构造三、1. bcc、fcc、hcp,bcc、fcc、hcp。
2. 致密度,配位数3. 2/a2 、1.4/a2、2.31/a2 ;1/a、1.4/a、0.58/a。
{111}、lt;110。
4. 多、晶体缺陷。
5. fcc、hcp。
6. 4、2a、12、0.74。
47. 空位、间隙原子;位错;晶界和亚晶界。
8. [121]、(121)9. 畸变,升高,下降。
10.晶体中已滑移的部分,未滑移部分。
11.⊥、∥12.位错线和。
1;无数。
四、Ch2纯金属的结晶三、 1. 低于理论结晶温度才结晶,理论结晶温度-实际结晶温度。
2. 形核与长大。
3. 大、细、高、好。
4. 液、固相自由能差,液相过冷。
5. 平面、密排面。
6. 外表细等轴晶、柱状晶、中心粗等轴晶。
7. 偏析、疏松、气孔、夹杂物。
8. (1)细,(2)细,(3)细。
四、五、Ch3 金属的塑性变形与再结晶三、1. 滑移、孪生,滑移2. 原子密度最大。
3. {110},6,lt;111,2,12;{111},4,lt;110,3,12。
Fcc,滑移方向较多。
4. ?k??scos?cos?或??ks?cos?cos?,小,软位向。
5. 晶界、晶体位向差,较高。
6. 提高,升高,下降。
再结晶退火。
7. 织构。
8. 回复、再结晶、晶粒长大。
9. 去应力退火,200-3000C。
10. 去应力退火。
11. 再结晶退火,降低硬度、恢复塑性。
12. 再结晶温度。
低于再结晶温度,高于再结晶温度。
13. 偏析、杂质、夹杂物,热加工纤维组织(流线)。
14. 优于。
四、Ch4 合金的相构造与二元合金相图三、 1. 固溶体;金属化合物2. 溶剂,溶质,溶剂。
3. 溶质,溶剂;置换固溶体、间隙固溶体。
4. 升高,提高,下降。
5. 正常价化合物;电子化合物;间隙化合物。
高中学业水平考试题目分章节知识点排必修1 Ch1 从实验学化学§1 化学实验基础考纲目标:化学实验基础1.了解化学实验是科学探究过程中的一种重要方法。
2.了解化学实验室常用仪器的主要用途和使用方法。
3.掌握化学实验的基本操作,能识别化学品安全使用标识,了解实验室一般事故的预防和处理方法。
4.了解常见气体的实验室制法(包括所用试剂、仪器,反应原理和收集方法)。
5.能对常见的物质进行检验、分离和提纯,能根据要求配制溶液。
6.了解控制实验条件的方法;能简单分析或处理实验数据,得出合理结论。
7.了解科学探究的基本过程,学习运用以实验和推理为基础的科学探究方法。
认识化学是一门以实验为基础的科学。
一、加热的仪器61.(09广东)下列能够用酒精灯加热的仪器是A.量筒B.烧杯C.容量瓶D.蒸发皿28.(10广东)能使用酒精灯直接加热的器皿是二、仪器读数8.(09广东)观察右图,量筒中液体的体积读数是A.1.3mLB.1.4mLC.1.5mLD.1.6mL三、试剂保存26.(09广东)铝制器皿能够盛放的物质是A.KOH溶液B.浓硫酸C.NaOH溶液D.稀硫酸36.(10广东)下列试剂保存或盛放方法正确的是A.浓硝酸盛放在铜质器皿中B.稀硝酸盛放在铁质器皿中C.NaOH溶液保存在带橡胶塞的试剂瓶中D.NaOH溶液保存在带玻璃塞的试剂瓶中四、物质的分离和提纯或除杂34.(09广东)下列各组混合物中能够使用分液漏斗分离的是A.乙醇和乙酸B.苯和水C.乙酸和乙酸乙酯D.汽油和柴油59.下(11广东)列实验操作过程中不需要使用圆底烧瓶的是A.过滤B.蒸馏C.溶解D.分液30.(10广东)向碘水中加入适量CCl4并振荡,静置后观察到的现象是A.形成均匀的无色溶液B.形成均匀的紫红色溶液C.液体分层,下层呈紫红色D.液体分层,上下层均呈无色56.(10广东)实验室里由粗盐制备精盐的实验中,必需的操作步骤有A.溶解B.过滤C.分液D.蒸发浓缩43.(10广东)通常用活性炭去除冰箱中的异味,主要利用了活性炭的A.吸附性B.还原性C.稳定性D.氧化性25.(11广东)向盛有KI溶液的试管中加入一定量CCl4后,滴加少量氯水,振荡,CCl4层变成紫色,继续滴加氯水,振荡,CCl4层颜色会逐渐变浅直至无色。
《普通化学》《Ch1原子结构与分子结构》复习题及答案一、是非题(对的在括号内填“√”号,错的填“×”号)1. ψ是核外电子运动的轨迹。
2. 微观粒子的特性主要是波、粒二象性。
3. 2p有三个轨道,可以容纳3个电子。
4. 1s轨道上只可容纳1个电子。
5. n =1时,l可取0和1。
6. 主量子数n=3时,有3s,3p,3d,3f等四种原子轨道。
7. 一组n,l,m组合确定一个波函数。
8. 一组n,l,m,m s组合可表述核外电子一种运动状态。
9. 轨道角度分布图是角度分布函数对,θφ作图得到的图像。
10. d区元素外层电子构型是n s1~2。
11. 电负性越大的元素的原子越容易获得电子。
12. 同周期元素从左至右原子半径减小。
13. 共价键的重叠类型主要有σ键π键两种。
14. NH3和BF3都是4原子分子,故二者空间构型相同。
15. 色散力是主要的分子间力。
16. μ= 0的分子中的化学键一定是非极性键。
17. 非极性分子内的化学键一定是非极性键。
18. 键能越大,键越牢固,分子也越稳定。
19. sp2杂化轨道是由某个原子的1s轨道和2p轨道混合形成的。
20. 当原子中电子从高能级跃迁到低能级时,两能级间的能量相差越大,则辐射出的电磁波的波长越长。
21. 波函数ψ是描述微观粒子运动的数学函数式。
22. 电子具有波粒二象性,就是说它一会是粒子,一会是波动。
23. 电子云图中黑点越密之处表示那里的电子越多。
24. 氢原子中原子轨道的能量由主量子数n来决定。
25. 色散力只存在于非极性分子之间,取向力只存在于极性分子之间。
26. 分子中的化学键为极性键,则分子为极性分子。
27. van der Waals 力属于一种较弱的化学键。
28. He2的分子轨道表示式为 (σ1s)2(σ1s*)2。
29. 中心原子中的几个原子轨道杂化时,必形成数目相同的杂化轨道。
30. 在CCl4、CHCl2和CH2Cl2分子中,碳原子都采用sp2杂化,因此这些分子都呈四面体形。
第一章作业参考答案1.1、令A[1…60]=11,12,…,70,用算法BINARYSEARCH搜索下列x值时执行了多少次比较运算?(a)33 (b) 7 (c) 70 (d) 77解:当x=33,第一次比较中,数组的中间元素A[30]=40; 33<40,剩余的子序列为A[1…29]=11,12,…39;第二次比较中,A[15]=25;33>25,剩余的子序列为A[16…29]=26,27,…39;第三次比较中,A[22]=32; 33>32,剩余的子序列为A[23…29]= 33,…39;第四次比较中,A[26]=36;33<36;剩余的子序列为A[23…25]= 33,34,35;第五次比较中,A[24]=34;33<34;剩余的子序列为A[23]= 33;第六次比较中,A[23]=33;33=33;搜索成功共进行6次比较当x=7,第一次比较中,数组的中间元素A[30]=40; 7<40,剩余的子序列为A[1…29]=11,12,…39;第二次比较中,A[15]=25;7<25,剩余的子序列为A[1…14]=11,12,…24;第三次比较中,A[7]=17;7<17,剩余的子序列为A[1…6]=11,12,…16;第四次比较中,A[3]=13;7<13,剩余的子序列为A[1…2]=11,12;第五次比较中,A[1]=11;7<11,此时high=0;low=1;high<low;停止比较。
共进行6次比较当x=70,第一次比较中,数组的中间元素A[30]=40; 70>40,剩余的子序列为A[31…60]=41,42,…70;第二次比较中,A[45]=55;70>55,剩余的子序列为A[46…60]=56,57,…70;第三次比较中,A[53]=63;70>63,剩余的子序列为A[54…60]=64,65,…70;第四次比较中,A[57]=67;70>67,剩余的子序列为A[58…60]=68,69,70;第五次比较中,A[59]=69;70>69,剩余的子序列为A[60]=70;第六次比较中,A[60]=70;比较结束;共进行6次比较;当x=77,第一次比较中,数组的中间元素A[30]=40; 77>40,剩余的子序列为A[31…60]=41,42,…70;第二次比较中,A[45]=55;77>55,剩余的子序列为A[46…60]=56,57,…70;第三次比较中,A[53]=63;77>63,剩余的子序列为A[54…60]=64,65,…70;第四次比较中,A[57]=67;77>67,剩余的子序列为A[58…60]=68,69,70;第五次比较中,A[59]=69;77>69,剩余的子序列为A[60]=70;第六次比较中,A[60]=70;77>70,high=60;low=61;停止比较,共进行6次比较1.10:BOTTOMUPSORT对于数组A[1...16]的运作过程如下:共执行47次该算法执行的比较次数为:8+2+3+2+3+7+7+15=471.15 用Θ符号表示㏒2n+n+㏒㏒n。
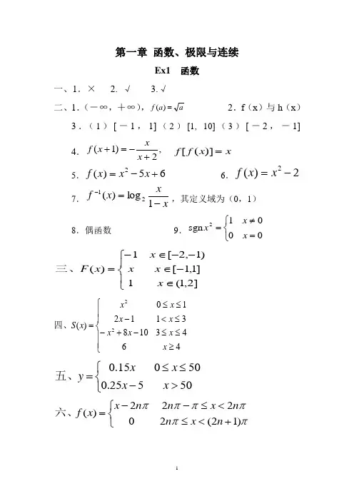
第一章 函数、极限与连续Ex1 函数一、1.× 2. √ 3.√二、1.(-∞,+∞),a a f =)( 2.f (x )与h (x )3.(1)[-1,1](2)[1, 10](3)[-2,-1]4.,2)1(+-=+x xx f x x f f =)]([ 5.65)(2+-=x x x f 6.2)(2-=x x f 7.x x x f -=-1log )(21,其定义域为(0,1)8.偶函数 9.⎩⎨⎧=≠=0001sgn 2x x x⎪⎩⎪⎨⎧∈-∈--∈-=]2,1(1]1,1[)1,2[1)(x x xx x F 三、⎪⎪⎩⎪⎪⎨⎧≥≤≤-+-≤<-≤≤=4643108311210)(22x x x x x x x x x S 四、⎩⎨⎧>-≤≤=50525.050015.0x x x xy 五、 ⎩⎨⎧+<≤<≤--=ππππππ)12(20222)(n x n n x n n x x f 六、⎪⎩⎪⎨⎧-<---=>-=-110111x x x x x x f )(七、八、将x 换成x1,可解方程组得⎪⎭⎫⎝⎛--=bcx x ac b a x f 221)(,是奇函数。
Ex2 数列极限的概念一、1、,N ∃ 当n >N 时, 记为 )(lim ∞→→=∞→n A u A u n n n 或 2、只要ε21>n , 取⎥⎦⎤⎢⎣⎡=ε21N , 13.只要ε999.0log >n ,取[]ε999.0log =N , 即有极限 = 0 二、1. C 2. C 3. B三、1.证:要 n n n n 1)13((31341314222<+=-++ <ε, 取⎥⎦⎤⎢⎣⎡=ε1N , 则当n > N 时,就有 ε<-++34131422n n .2. 证:要επ<<-++n n n 20)1(2cos1 , 取⎥⎦⎤⎢⎣⎡=ε2N ,3、证:{}n x Θ有界,M x N n M n ≤∈∀>∃∴|,,0都有对;又0lim =∞→n n y ,My N n N n εε<>∃>∀∴都有当对,,,0因此,对上述N ,当n >N 时,就有ε<n n y x ,0lim =∴∞→n n n y x .Ex3 函数极限的概念一、1.证:.sin ,,01,1,1sin ,022εεεεε<>>=><<>∀xxX x X x x x x 就有时则当故取则有要使得对 0sin lim =∴+∞→xxx 2.证:.1,,01,1,1111,022εεεεε<-+>>=><<++=-+>∀x x X x X x xx x x x 就有时则当故取则有要使得对0)1(lim 3=-+∴→x x x3. 证:.1153,20,03,32,231153,0εδεδεεε<-+<-<>=<-<-=-+>∀x x x x x 就有时则当故取则有要使得对 11)53(lim 2=+∴→x x .9,30,01,7min ,79,13,3,339,0:.4222εδεδεεε<-<-<<>⎭⎬⎫⎩⎨⎧=<-<-∴→<+-=->∀x x x x x x x x 就有时 则当故取因此可以限制 要使得 对证Θ9lim 23=∴→x x ,1lim 0=+→xx x Θ二、证: ,1lim 0-=-→x xxx x x 0lim→∴不存在。
1. 2. 3. 4. 5.6.有四批零件,第一批有2000个零件,其中5%是次品。
第二批有500个零件,其中40%是次品。
第三批和第四批各有1000个零件,次品约占10%。
我们随机地选择一个批次,并随机地取出一个零件。
(1) 问所选零件为次品的概率是多少?(2) 发现次品后,它来自第二批的概率是多少?解:(1)用i B 表示第i 批的所有零件组成的事件,用D 表示所有次品零件组成的事件。
()()()()123414P B P B P B P B ====()()()()12341002000.050.420005001001000.10.110001000P D B P D B P D B P D B ========()11110.050.40.10.10.16254444P D =⨯+⨯+⨯+⨯=(2)发现次品后,它来自第二批的概率为,()()()()2220.250.40.6150.1625P B P D B P B D P D ⨯===7. 8.9. 设随机试验X 的分布律为X 1 2 3P0.2 0.5 0.3求X 的概率密度和分布函数,并给出图形。
解:()()()()0.210.520.33f xx x x δδδ=-+-+-()()()()0.210.520.33F x u x u x u x =-+-+-10.11. 设随机变量X 的概率密度函数为()xf x ae -=,求:(1)系数a ;(2)其分布函数。
解:(1)由()1f x dx ∞-∞=⎰()()2xxx f x dx ae dx ae dx e dx a ∞∞∞---∞-∞-∞==+=⎰⎰⎰⎰所以12a =(2)()1()2xxtF x f t dt e dt --∞-∞==⎰⎰所以X 的分布函数为()1,0211,02xx e x F x e x -⎧<⎪⎪=⎨⎪-≥⎪⎩12.13.14. 若随机变量X 与Y 的联合分布律为Y X-1 0 1 0 0.070.18 0.15 10.080.320.20求:(1)X 与Y 的联合分布函数与密度函数;(2)X 与Y 的边缘分布律;(3)Z XY =的分布律;(4)X 与Y 的相关系数。
复习题(一)1。
用高级语言编写的源程序必须通过___________程序翻译成二进制程序才能执行,这个二进制程序称为____________程序。
【答案】编译目标2。
下列符号串中,属于C语言合法标识符的是()①else ②a-2 ③_00 ④00【答案】③3.下列说法中,正确的是()①主函数名是由程序设计人员按照“标识符”的规则选取的②分号和回车符号都可以作为一个语句的结束符号③在程序清单的任何地方都可以插入一个或多个空格符号④程序的执行,总是从源程序清单的第1行开始【答案】③4.-12345E-3代表的十进制实数是________________________.【答案】—12.3455.设字符型变量ch中存放字符“A”,则执行“ch+++2”后,ch中的字符是________。
【答案】B6.设字符型变量ch1中存放的字符是“A",字符型变量ch2中存放的字符是“B”,则执行“!(ch1=’B')&&(ch2='C')”的运算后,变量ch2中的字符是_____________.【答案】B6-1.设整型变量m,n,a,b,c,d均为1,执行“(m=a〉b)&&(n=a>b)”后m,n 的值是()①0,0 ②0,l ③1,0 ④1 ,l【答案】②。
7.设整型变量x1和x2的值均为10,则表达式“x1/=x2-4”的值是_______________. 【答案】l8.在C语言中,如果某个关系表达式成立(真),则该关系表达式的值是____;如果某个逻辑表达式为假,则该逻辑表达式的值是_________.【答案】1 09.设有整型变量x,如果表达式“!x”值为0,则x的值为_________;如果表达式“!x"值为1,则x的值为___________。
【答案】非010.下列表达式中,不属于逗号表达式的是()①a=b,c ②a,b=c ③a=(b,c) ④a,(b=c)【答案】③11.在三种选择结构中,能用2个条件,控制从3个操作中选择一个操作执行的选择结构是______选择结构【答案】多分支12.在三种循环结构中,先执行循环操作内容(即循环体),后判断控制循环条件的循环结构是______循环结构。
SOLUTIONS TO TEXT PROBLEMS:Quick Quizzes1. The four principles of economic decisionmaking are: (1) people face tradeoffs; (2) the cost ofsomething is what you give up to get it; (3) rational people think at the margin; and (4) peoplerespond to incentives. People face tradeoffs because to get one thing that they like, they usually have to give up another thing that they like. The cost of something is what you give up to get it, not just in terms of monetary costs but all opportunity costs. Rational people think at the margin by taking an action if and only if the marginal benefits exceed the marginal costs. Peoplerespond to incentives because as they compare benefits to costs, a change in incentives maycause their behavior to change.2. The three principles concerning economic interactions are: (1) trade can make everyone betteroff; (2) markets are usually a good way to organize economic activity; and (3) governments cansometimes improve market outcomes. Trade can make everyone better off because it allowscountries to specialize in what they do best and to enjoy a wider variety of goods and services.Markets are usually a good way to organize economic activity because the invisible hand leadsmarkets to desirable outcomes. Governments can so metimes improve market outcomes because sometimes markets fail to allocate resources efficiently because of an externality or market power.3. The three principles that describe how the economy as a whole works are: (1) a country’sstandard of living depends on its ability to produce goods and services; (2) prices rise when thegovernment prints too much money; and (3) society faces a short-run tradeoff between inflation and unemployment. A country’s standard of living depends on its ability to produce g oods andservices, which in turn depends on its productivity, which is a function of the education ofworkers and the access workers have to the necessary tools and technology. Prices rise whenthe government prints too much money because more money in circulation reduces the value of money, causing inflation. Society faces a short-run tradeoff between inflation and unemployment that is only temporary and policymakers have some ability to exploit this relationship usingvarious policy instruments.Questions for Review1. Examples of tradeoffs include time tradeoffs (such as studying one subject over another, orstudying at all compared to engaging in social activities) and spending tradeoffs (such as whether to use your last ten dollars on pizza or on a study guide for that tough economics course).2. The opportunity cost of seeing a movie includes the monetary cost of admission plus the timecost of going to the theater and attending the show. The time cost depends on what else youmight do with that time; if it's staying home and watching TV, the time cost may be small, but if it's working an extra three hours at your job, the time cost is the money you could have earned. 3. The marginal benefit of a glass of water depends on your circumstances. If you've just run amarathon, or you've been walking in the desert sun for three hours, the marginal benefit is veryhigh. But if you've been drinking a lot of liquids recently, the marginal benefit is quite low. Thepoint is that even the necessities of life, like water, don't always have large marginal benefits.4. Policymakers need to think about incentives so they can understand how people will respond tothe policies they put in place. The text's example of seat belts shows that policy actions canhave quite unintended consequences. If incentives matter a lot, they may lead to a very2 Chapter 1/Ten Principles of Economicsdifferent type of policy; for example, some economists have suggested putting knives in steeringcolumns so that people will drive much more carefully! While this suggestion is silly, it highlights the importance of incentives.5. Trade among countries isn't a game with some losers and some winners because trade can makeeveryone better off. By allowing specialization, trade between people and trade betweencountries can improve everyone's welfare.6. The "invisible hand" of the marketplace represents the idea that even though individuals andfirms are all acting in their own self-interest, prices and the marketplace guide them to do what is good for society as a whole.7. The two main causes of market failure are externalities and market power. An externality is theimpact of one person’s actions on the well-being of a bystander, such as from pollution or thecreation of knowledge. Market power refers to the ability of a single person (or small group ofpeople) to unduly influence market prices, such as in a town with only one well or only one cable television company. In addition, a market economy also leads to an unequal distribution ofincome.8. Productivity is important because a country's standard of living depends on its ability to producegoods and services. The greater a country's productivity (the amount of goods and servicesproduced from each hour of a worker's time), the greater will be its standard of living.9. Inflation is an increase in the overall level of prices in the economy. Inflation is caused byincreases in the quantity of a nation's money.10. Inflation and unemployment are negatively related in the short run. Reducing inflation entailscosts to society in the form of higher unemployment in the short run.Problems and Applications1. a. A family deciding whether to buy a new car faces a tradeoff between the cost of the carand other things they might want to buy. For example, buyi ng the car might mean theymust give up going on vacation for the next two years. So the real cost of the car is thefamily's opportunity cost in terms of what they must give up.b. For a member of Congress deciding whether to increase spending on national parks, thetradeoff is between parks and other spending items or tax cuts. If more money goesinto the park system, that may mean less spending on national defense or on the policeforce. Or, instead of spending more money on the park system, taxes could be reduced.c. When a company president decides whether to open a new factory, the decision is basedon whether the new factory will increase the firm's profits compared to other alternatives.For example, the company could upgrade existing equipment or expand existing factories.The bottom line is: Which method of expanding production will increase profit the most?d. In deciding how much to prepare for class, a professor faces a tradeoff between thevalue of improving the quality of the lecture compared to other things she could do withher time, such as working on additional research.2. When the benefits of something are psychological, such as going on a vacation, it isn't easy tocompare benefits to costs to determine if it's worth doing. But there are two ways to think aboutChapter 1/Ten Principles of Economics 3 the benefits. One is to compare the vacation with what you would do in its place. If you didn'tgo on vacation, would you buy something like a new set of golf clubs? Then you can decide ifyou'd rather have the new clubs or the vacation. A second way is to think about how much work you had to do to earn the money to pay for the vacation; then you can decide if thepsychological benefits of the vacation were worth the psychological cost of working.3. If you are thinking of going skiing instead of working at your part-time job, the cost of skiingincludes its monetary and time costs, which includes the opportunity cost of the wages you aregiving up by not working. If the choice is between skiing and going to the library to study, then the cost of skiing is its monetary and time costs including the cost to you of getting a lower grade in your course.4. If you spend $100 now instead of saving it for a year and earning 5 percent interest, you aregiving up the opportunity to spend $105 a year from now. The idea that money has a time value is the basis for the field of finance, the subfield of economics that has to do with prices offinancial instruments like stocks and bonds.5. The fact that you've already sunk $5 million isn't relevant to your decision anymore, since thatmoney is gone. What matters now is the chance to earn profits at the margin. If you spendanother $1 million and can generate sales of $3 million, you'll earn $2 million in marginal profit,so you should do so. You are right to think that the project has lost a total of $3 million ($6million in costs and only $3 million in revenue) and you shouldn't have started it. That's true, but if you don't spend the additional $1 million, you won't have any sales and your losses will be $5million. So what matters is not the total profit, but the profit you can earn at the margin. In fact, you'd pay up to $3 million to complete development; any more than that, and you won't beincreasing profit at the margin.6. Harry suggests looking at whether productivity would rise or fall. Productivity is certainlyimportant, since the more productive workers are, the lower the cost per gallon of potion. Ronwants to look at average cost. But both Harry and Ron are missing the other side of theequation−revenue. A firm wants to maximize its profits, so it needs to examine both costs andrevenues. Thus, Hermione is right−it’s best to examine whether the extra revenue wouldexceed the extra costs. Hermione is the only one who is thinking at the margin.7. a. The provision of Social Security benefits lowers an individual’s incentive to save forretirement. The benefits provide some level of income to the individual when he or sheretires. This means that the individual is not entirely dependent on savings to supportconsumption through the years in retirement.b. Since a person gets fewer after-tax Social Security benefits the greater is his or herearnings, there is an incentive not to work (or not work as much) a fter age 65. Themore you work, the lower your after-tax Social Security benefits will be. Thus thetaxation of Social Security benefits discourages work effort after age 65.8. a. When welfare recipients who are able to work have their benefits cut off after two years,they have greater incentive to find jobs than if their benefits were to last forever.b. The loss of benefits means that someone who can't find a job will get no income at all,so the distribution of income will become less equal. But the economy will be moreefficient, since welfare recipients have a greater incentive to find jobs. Thus the changein the law is one that increases efficiency but reduces equity.9. By specializing in each task, you and your roommate can finish the chores more quickly. If you4 Chapter 1/Ten Principles of Economicsdivided each task equally, it would take you more time to cook than it would take your roommate, and it would take him more time to clean than it would take you. By specializing, you reduce the total time spent on chores.Similarly, countries can specialize and trade, making both better off. For example, suppose ittakes Spanish workers less time to make clothes than French workers, and French workers canmake wine more efficiently than Spanish workers. Then Spain and France can both benefit ifSpanish workers produce all the clothes and French workers produce all the wine, and theyexchange some wine for some clothes.10. a. Being a central planner is tough! To produce the right number of CDs by the right artistsand deliver them to the right people requires an enormous amount of information. Youneed to know about production techniques and costs in the CD industry. You need toknow each person's musical tastes and which artists they want to hear. If you make thewrong decisions, you'll be producing too many CDs by artists that people don't want tohear, and not enough by others.b. Your decisions about how many CDs to produce carry over to other decisions. You haveto make the right number of CD players for people to use. If you make too many CDsand not enough cassette tapes, people with cassette players will be stuck with CDs theycan't play. The probability of making mistakes is very high. You will also be faced withtough choices about the music industry compared to other parts of the economy. If youproduce more sports equipment, you'll have fewer resources for making CDs. So alldecisions about the economy influence your decisions about CD production.11. a. Efficiency: The market failure comes from the monopol y by the cable TV firm.b. Equityc. Efficiency: An externality arises because secondhand smoke harms nonsmokers.d. Efficiency: The market failure occurs because of Standard Oil's monopoly power.e. Equityf. Efficiency: There is an externality because of accidents caused by drunk drivers.12. a. If everyone were guaranteed the best health care possible, much more of our nation'soutput would be devoted to medical care than is now the case. Would that be efficient?If you think that currently doctors form a monopoly and restrict health care to keep theirincomes high, you might think efficiency would increase by providing more health care.But more likely, if the government mandated increased spending on health care, theeconomy would be less efficient because it would give people more health care than theywould choose to pay for. From the point of view of equity, if poor people are less likelyto have adequate health care, providing more health care would represent animprovement. Each person would have a more even slice of the economic pie, thoughthe pie would consist of more health care and less of other goods.b. When workers are laid off, equity considerations argue for the unemployment benefitssystem to provide them with some income until they can find new jobs. After all, no oneplans to be laid off, so unemployment benefits are a form of insurance. But there’s anefficiency problem why work if you can get income for doing nothing? The economyisn’t operating efficiently if p eople remain unemployed for a long time, andunemployment benefits encourage unemployment. Thus, there’s a tradeoff betweenequity and efficiency. The more generous are unemployment benefits, the less income islost by an unemployed person, but the more that person is encouraged to remainunemployed. So greater equity reduces efficiency.Chapter 1/Ten Principles of Economics 5 13. Since average income in the United States has roughly doubled every 35 years, we are likely tohave a better standard of living than our parents, and a much better s tandard of living than our grandparents. This is mainly the result of increased productivity, so that an hour of workproduces more goods and services than it used to. Thus incomes have continuously risen overtime, as has the standard of living.14. If Americans save more and it leads to more spending on factories, there will be an increase inproduction and productivity, since the same number of workers will have more equipment towork with. The benefits from higher productivity will go to both the workers, who will get paidmore since they're producing more, and the factory owners, who will get a return on theirinvestments. There is no such thing as a free lunch, however, because when people save more, they are giving up spending. They get higher incomes at the cost of buying fewer goods.15. a. If people have more money, they are probably going to spend more on goods andservices.b. If prices are sticky, and people spend more on goods and services, then output mayincrease, as producers increase output to meet the higher demand rather than raisingprices.c. If prices can adjust, then the higher spending of consumers will be matched withincreased prices and output won't rise.16. To make an intelligent decision about whether to reduce inflation, a policymaker would need toknow what causes inflation and unemployment, as well as what determines the tradeoff between them. Any attempt to reduce inflation will likely lead to higher unemployment in the short run. A policymaker thus faces a tradeoff between the benefits of lower inflation compared to the cost of higher unemployment.。
《一》1.从哲学的角度看,产生复杂现象的根本原因是什么?2.什么是科学?3. 简述科学技术现代化在实现我国现代化过程中的地位和作用。
4. 请简述海德格尔的技术哲学观。
《二》一、为什么必须实现人与自然的协调发展?如何协调人与自然的关系?二、结合自己的专业,谈谈系统科学方法的应用。
三、结合技术发明的案例来说明技术原理构思的基本方法。
(结合自己专业,谈谈对技术发明的认识)四、为什么说高新技术产业化是现代工业的必由之路?五、现实世界中的科学家的行为常常偏离默顿规范(科学共同体的行为规范),你认为默顿规范还有什么理论价值和实际意义?要点:主要从思想境界和伦理道德方面;针砭时弊。
主要从正面来论述。
六、结合个人专业实际,论述学习科学技术哲学对提高科学技术工作者科学素养的作用。
(结合自己的专业论述科学技术哲学意义)七、在人与自然的关系问题上,有人主张以人为中心,有人主张以生态为中心。
你如何看待这个问题,如何实现人与自然的和谐发展。
八、有人认为科学技术本身是中性的,无所谓善恶,科技对人际环境的负面作用完全是人类自身的责任,评论并说说你的看法。
九、论述创造性思维的特点,如何提高创造性思维能力十、建设创新型国防科技工业,核心是增强自主创新能力,掌握核心技术,自主知识产权,结合自己专业,谈谈对技术创新的理解。
《三》1、什么是科学技术哲学?2、什么是自然科学?其主要特征有哪些?3、什么是技术?其主要特征有哪些?4、什么是系统?系统的突出特征是什么?5、什么是系统的开放性、稳定性?6、什么是系统的层次结构?7、层次结构理论的方法论意义有哪些?8、自然界的主要运动形式有哪些?9、试述系统进化的一般根据。
10、什么是天然自然、人工自然?11、人与自然协调发展的观念前提有哪些要点?14、什么是科学事实?科学事实有哪些特点?16、什么是实验方法?其特点及作用有哪些?17、什么是科学抽象?18、什么是科学概念?科学概念是怎样形成的?19、什么是分析?什么是综合?20、什么是归纳、什么是演绎?归纳与演绎的辩证关系如何?21、什么是类比方法?什么是黑箱方法?22、什么是形象思维?什么是直觉思维?23、创造性思维的方法的特征有哪些?24、创造性思维的必备品质有哪些?25、什么是科学假说,科学假说的作用有哪些?科学假说与科学理论之间有什么关系?26、简述从抽象到具体的理论构建方法。
单项选择1)一个算法应包含至少_______输出A、一个以上B、零个C、多个D、一个2)以下是一台打印机的性能描述,其中表示打印速度的是_____________。
A、1200*1200 dpiB、12 PPMC、8 MBD、USB3)若某光盘的存储容量是4.7GB.则它的类型是________。
A、DVD-ROM(双面单层)B、DVD-ROM(单面双层)C、CD-ROM光盘D、DVD-ROM(单面单层)4)由于_____芯片的存储容量较大,易修改,不但可用在PC机中还可使用在数码相机和优盘中。
A、PROMB、EPROMC、Mask ROMD、Flash ROM5)程序设计语言分成三类,它们是机器语言、汇编语言和________。
A、高级语言B、置标语言C、数学语言D、自然语言6)已知X的补码为10011000,则它的原码是________。
A、01101000B、11101000C、01100111D、100110007)从存储器的存取速度上看,由快到慢的存储器依次是____________。
A、内存、Cache、硬盘和光盘B、内存、Cache、光盘和硬盘C、Cache、内存、光盘和硬盘D、Cache、内存、硬盘和光盘8)CPU是构成微型计算机的最重要部件,下列关于Pentium4的叙述中错误的是________。
A、一台计算机能够执行的指令集完全由该机所安装的CPU决定B、Pentium 4的主频速度提高l倍,PC机的处理速度也相应提高1倍C、Pentium 4运算器中有多个运算部件D、Pentium 4除运算器、控制器和寄存器之外,还包括Cache存储器9)磁盘驱动器属于_________设备。
A、输入和输出B、输入C、输出D、以上均不是10)浮点数之所以能表示很大或很小的数,是因为使用了__________。
A、较多的字节B、较长的尾数C、符号位D、阶码11)十进制数92转换为二进制数和十六进制数分别是_________。
数据库系统概论复习资料期中考试范围:CH1-CH6第一章绪论一选择题:1.在数据管理技术的发展过程中,经历了人工管理阶段、文件系统阶段和数据库系统阶段。
在这几个阶段中,数据独立性最高的是阶段。
A.数据库系统B.文件系统C.人工管理D.数据项管理2.数据库的概念模型独立于。
A.具体的机器和DBMS B.E-R图C.信息世界D.现实世界3.数据库的基本特点是。
A.(1)数据可以共享(或数据结构化) (2)数据独立性(3)数据冗余大,易移植(4)统一管理和控制B.(1)数据可以共享(或数据结构化) (2)数据独立性(3)数据冗余小,易扩充(4)统一管理和控制C.(1)数据可以共享(或数据结构化) (2)数据互换性(3)数据冗余小,易扩充(4)统一管理和控制D.(1)数据非结构化(2)数据独立性(3)数据冗余小,易扩充(4)统一管理和控制4. 是存储在计算机内有结构的数据的集合。
A.数据库系统B.数据库C.数据库管理系统D.数据结构5.数据库中存储的是。
A.数据B.数据模型C.数据以及数据之间的联系D.信息6. 数据库中,数据的物理独立性是指。
A.数据库与数据库管理系统的相互独立B.用户程序与DBMS的相互独立C.用户的应用程序与存储在磁盘上数据库中的数据是相互独立的D.应用程序与数据库中数据的逻辑结构相互独立7. .数据库的特点之一是数据的共享,严格地讲,这里的数据共享是指。
A.同一个应用中的多个程序共享一个数据集合B.多个用户、同一种语言共享数据C.多个用户共享一个数据文件D.多种应用、多种语言、多个用户相互覆盖地使用数据集合8.据库系统的核心是。
A.数据库B.数据库管理系统C.数据模型D.软件工具9. 下述关于数据库系统的正确叙述是。
A.数据库系统减少了数据冗余B.数据库系统避免了一切冗余C.数据库系统中数据的一致性是指数据类型一致D.数据库系统比文件系统能管理更多的数据10. 数将数据库的结构划分成多个层次,是为了提高数据库的。
课下测试补交(ch01、ch02、ch07)课下测试补交(ch01、ch02、ch07)课下测试ch011.Amdahl定律说明,我们对系统的某个部分做出重⼤改进,可以显著获得⼀个系统的加速⽐。
(B)A .正确B .错误解析:课本p16 Amdahl定律,该定律的主要思想是,当我们对系统的某个部分加速时,其对整个性能的影响取决于该部分的重要性和加速程度。
2.Linux中,内核虚拟内存在虚拟地址空间的低端。
(B)A .正确B .错误解析:课本p13 内核虚拟内存在虚拟地址空间的最顶端⽽不是最低端3.实现进程这个抽象概念需要低级硬件和操作系统软件之间的紧密合作。
(A)A .正确B .错误解析:课本p12 进程是操作系统对正在运⾏的程序的⼀种抽象。
⼀个系统上可以同时运⾏多个进程,每个进程好像独占的使⽤硬件。
所谓并发,是说⼀个进程的指令和另⼀个进程的指令交错执⾏。
操作系统实现这种交错执⾏的机制称为上下⽂切换。
操作系统跟踪进程运⾏所需的所有状态信息(也就是上下⽂),任何⼀个时刻,处理器只能运⾏⼀个进程。
当操作系统决定要把控制权从当前进程转移到⼀个新进程时,就要进⾏上下⽂切换,即保存当前进程的上下⽂,恢复新进程的上下⽂,然后将控制权转交给新进程,新进程就从上次停⽌的地⽅开始执⾏。
实现进程这个抽象概念需要低级硬件和操作系统软件之间的紧密合作4.操作系统有两个基本功能:防⽌硬件被滥⽤;向应⽤供⼀致的机制来控制低级硬件设备。
实现这两个功能相关的抽象有(ACD)A .⽂件B .虚拟机C .虚拟内存D .进程解析:课本p10 操作系统有两个基本功能:防⽌硬件被失控的应⽤程序滥⽤;向应⽤程序提供简单⼀致的机制来控制复杂的低级硬件设备。
操作系统通过⼏个抽象的基本概念(进程、虚拟存储器和⽂件)来实现以上两个基本功能。
5.存储器层次结构的主要思想是(A)A .上⼀层的存储器作为低⼀层存储器的⾼速缓存B .存储设备形成存储层次结构C .存储器分为主存和辅存D .较⼤的存储器运⾏慢,快速设备造价⾼解析:课本p10 在这个结构中,从上到下,设备容量越来越⼤,运⾏速度越来越慢,同时造价也越来越便宜。
复变函数复习题 CH1 复数与复变函数1. (cos θ+i sin θ)3=( ) A.cos(3θ)+i sin(3θ)B.cos3sin3θθi + C.cos(3θ)+3i sin(3θ)D.cos3sin33θθi +2. 下列集合为无界单连通区域的是( ) A.Re(z-5i )2≥ B.| z-5i |3≤ C.| z-5i |>0D.Im(z-5i )<-13. Re(e2x+iy)=()A.e 2x B.e y C.e 2x cosyD.e 2xsiny4. Re(cosi)=()A .2e e 1-+ B .2e e 1-- C .2ee1+-- D .2ee1--5. 复数e 3-2i 所对应的点( )。
A. 第一象限 B. 第二象限 C. 第三象限 D. 第四象限6. 设z=(-i)i ,则|z|=__________.7. Z=4i 3i3ee 2ππ则argZ=________.8. 23.设z=e 2+i ,则argz=. 9. 5.复数e3+i所对应的点在()A.第一象限B.第二象限C.第三象限D.第四象限10. 复数z=--355(cos sin)ππi 的三角表示式为( )A.-+34545(cossin)ππi B.34545(cos sin)ππ-i C. 34545(cos sin)ππ+i D.--34545(cossin)ππi11. 在w=Z 3的映射下,Z 平面上的区域-6π<argZ<6π映射成W 平面上的区域________.12. 下列集合为有界单连通区域的是() A.0<|z-3|<2B.Rez>3C.|z+a|<1D.π≤<πargz 2113. 设z=x+iy ,则|e 2i+2z |=( )A.e 2+2x B.e |2i+2z|C.e 2+2z D.e 2x 14. 下列集合为无界多连通区域的是( ) A.0<|z-3i|<1B.Imz>πC.|z+ie|>4D.π<<π2z arg 2315. 设z=cos(π+5i),则Rez 等于( )。
A. 2e e55+-- B.2e e55+- C.2e e55-- D. 016. 复数i -3的指数表达式是___________(辐角在主值范围内)。
17. 设z=x+iy,则(1+i )z 2的实部为( )A.x 2-y 2+2xyB.x 2-y 2-2xyC.x 2+y 2+2xyD.x 2+y 2-2xy18. 设复数)2)(1(--=i i i z ,(1)求z 的实部和虚部;(2)求z 的模;(3)指出z 是第几象限的点.19. 设iy x z +=.将方程1Re ||=+z z 表示为关于x ,y 的二元方程,并说明它是何种曲线. 20. 求解方程z 4+16=0。
21. 设z =1-i ,则Im(21z)=( )A .-1B .-21C .21D .122. 复数z =ii -+23的幅角主值是( )A .0B .4πC .2πD .43π23. 复数-1-i 的指数形式为__________.24. 设z =x +iy 满足x -1+i (y +2)=(1+i )(1-i ),则z =__________. 25. 区域0<arg z<4π在映射w =z 3下的像为__________.26. 将曲线的参数方程z =3e it +e -it (t 为实参数)化为直角坐标方程.27. 设z=i +-11,则z 为()A .21i +- B .21i--C .21i- D .21i+28. 复数1-3i 的三角表达式是_________________.29. 用θcos 与θsin 表示θ5cos.30. 设z 为非零复数,a ,b 为实数,若ib a zz+=_,则a 2+b 2的值( )A .等于0B .等于1C .小于1D .大于131. 设2,3z w i z =+=,则( )A .3arg π=w B .6arg π=w C .6arg π-=w D .3arg π-=w32. 设i z 101103+-=,则=_z ____________.33. 设z 为非零复数,a ,b 为实数,若ib a zz+=_,则a 2+b 2的值( )A .等于0B .等于1C .小于1D .大于134. 设2,3z w i z =+=,则( )A .3arg π=w B .6arg π=w C .6arg π-=w D .3arg π-=w35. 设iz 101103+-=,则=_z____________.36. 设复数)2)(1(--=i i iz ,(1)求z 的实部和虚部;(2)求z 的模;(3)指出z 在第几象限.37. 设iy x z +=.将方程1Re ||=+z z 表示为关于x ,y 的二元方程,并说明它是何种曲线.38. z=2-2i ,|z 2|=( = |z|2)A.2B.8C.4D.839. 复数方程z=cost+isint 的曲线是()A.直线B.圆周C.椭圆D.双曲线 40. 若z 1=e1+i π,z 2=3+i ,求解z 1·z 241. 计算复数z=327-的值.42. 包含了单位圆盘|z|<1的区域是( )A.Re z<-1B.Re z<0C.Re z<1D.Im z<0 43. arg (-1+3i )=.44. 求z =(-1+i )6的共轭复数z 及共轭复数的模|z |.45. 设t 为实参数,求曲线z=re it+3(0≤t <2π的直角坐标方程. 46. arg(2-2i)=( )A.43π-B.4π-C.4π D.43π47. 复数方程z=3t+it 表示的曲线是( )A.直线B.圆周C.椭圆 D.双曲线 48. 若ii z -+=31,则z =___________.49. 解方程z 4=-1.50. 设z=1+2i ,则Im z 3=( )A.-2B.1C.8D.1451. z=(1+cost)+i(2+sint),0≤t<2π所表示的曲线为( ) 52. arg(3-i)=___________. 53. 求方程z 3+8=0的所有复根.54. 复数i 31z +-=的幅角主值为( )A.32π B.6πC. 6π-D. 32π-55. 下列点集不是区域的是( )A.{z|Rez>0};B.{z|Rez<0};C.{z||z|≤|i|};D.{z||z|>1} 56. 下列方程不表示...圆周的是( ) A.z=3e it -1(0≤t<2π)B.z=re it (r>0,0≤t<2π)C.z=sint+icost(0≤t<2π) D.z-z =i57. 方程z 3+1=0的所有复数根为___________. 58. 复数21i z -=的指数形式为___________.59. 平面点集E={(x,y )|x 2+y 2-2y ≤0}(其中z=x+iy )用复数模的不等式可表示成___________. 60. 设复数.)19991998)(20001999()20001999)(19991998(z i i i i z ,求-+-+=61. 设z=3+4i,,则Re z 2=( )A .-7B .9C .16D .2562. 下列复数中,使等式z1=-z 成立的是( )A .z=e2πiB .z=eπiC .z=i2eπ-D .z=i43eπ63. 设0<t ≤2π,则下列方程中表示圆周的是( ) A .z=(1+i)tB .z=e it +2iC .z=t+t iD .z=2cost+i3sint64. 下列区域为有界单连通区域的是( ) A .0<|z-i|<1 B .0<Imz<πC .|z-3|+|z+3|<12 D .0<argz<43π65. arg(1+i)=.66. 设z=x+iy,则曲线|z-1|=1的直角坐标方程为. 67. 已知方程(1+2i)z=4+3i ,则z 为( )。
A. 2+iB. -2+iC. 2-iD. -2-i68. 2.方程Re(z+2)=1所代表的曲线是( )。
A. 直线 B. 椭圆C. 双曲线D. 抛物线69. 3.复数z=-(cos 3π+isin 3π)的三角形式是( )。
A. (cos32π+isin32π)B. (cos 3π+isin3π)C. (cos32π+isin32π-)D. (cos3π-+isin3π-)70. 复变函数f(z)=Imz 在复平面上可导的点集为______. 71. 设复数z 满足arg(z+2)=3π,arg(z -2)=65π,试求z.72. 复数方程z=2+θi e (θ为实参数,0≤θ<2π)所表示的曲线为() A .直线B .圆周C .椭圆D .抛物线 73. 已知4arg 2π=z ,则argz=()A .8πB .4πC .2π D .π74. 求出复数z=4)31(i +-的模和辐角.75. 设z=x+iy ,满足Re(z 2+3)=4,求x 与y 的关系式. 76. z=6+i,则 |z|=__________,argz=__________. 77. z=e -3+i 则argz=__________.78. 复数-1+3i 的三角形式是__________.79. 一曲线的复数方程是|z-i|=1,则此曲线的直角坐标方程为__________. 80. 试证:设1z 1-z +是纯虚数,则必有|z|=1.81. 求z 4+3-i=0的根.82. Z=x+iy,已知x=-1,argZ=32-π,则y ,|Z|分别等于________.83. 曲线的复数方程为Z=t-ti,t ≠0. t ∈R ,它的直角坐标方程是________.84. 复数Z 满足|Z|=2及|Z-2|=2,求Z. 85. 解方程Z 4+i=0.86. 复数z=1625825-i的辐角为()A.arctan12B.-arctan 12C.π-arctan 12D.π+arctan1287. 方程Rez 2=1所表示的平面曲线为()A.圆 B.直线C.椭圆D.双曲线88. 复数z=4+48i 的模|z|=. 89. 设z=(1+i)100,则Imz=.90. 若),(,),(21d c z b a z ==,则=⋅21z z ( ).(A) ),(a bd ac + (B) ),(b bd ac - (C) ),(ad bc bd ac +-(D) ),(ad bc bd ac -+ 91. 若0>R ,则:{),(z R N =∞( )}.(A) R z <(B) R z <<0(C) +∞<<z R (D) R z >92. 若y x z i +=,则=y ( ).(A)2z z + (B) 2z z - (C)i2z z + (D)i2z z -93. 若)i 1)(i 4()i 1)(i 4(+--+=A ,则=A ( ). (A) 3 (B) 0 (C) 1 (D) 294. 若y x z i +=,v u z w i 2+==,则=v . 95. 复平面上满足4Re =z 的点集为 . 96. 设00i y x z +=,),2,1(i =+=n y x z n n n ,则{}n z 以0z 为极限的充分必要条件是=+∞→n n x lim 且=+∞→n n y lim .97. 求复数i 1--的实部、虚部、模与主辐角. 98. 写出复数i -的三角式.99. 写出复数ii 1i1i -+-的代数式.100. 求根式327-的值.101. 证明:若i ii b a y x y x +=+-,则122=+b a .102. 证明:)Re(2212221221z z z z z z ++=+.103.设iz -=11,求Re Im z z 和。