原子物理学杨福家第四版课后答案.doc
- 格式:doc
- 大小:2.44 MB
- 文档页数:33
原子物理学课后前六章答案(第四版)杨福家著(高等教育出版社)第一章:原子的位形:卢瑟福模型 第二章:原子的量子态:波尔模型 第三章:量子力学导论第四章:原子的精细结构:电子的自旋 第五章:多电子原子:泡利原理 第六章:X 射线第一章 习题1、2解1.1 速度为v 的非相对论的α粒子与一静止的自由电子相碰撞,试证明:α粒子的最大偏离角约为10-4rad.要点分析: 碰撞应考虑入射粒子和电子方向改变.并不是像教材中的入射粒子与靶核的碰撞(靶核不动).注意这里电子要动.证明:设α粒子的质量为Mα,碰撞前速度为V ,沿X 方向入射;碰撞后,速度为V',沿θ方向散射。
电子质量用me 表示,碰撞前静止在坐标原点O 处,碰撞后以速度v 沿φ方向反冲。
α粒子-电子系统在此过程中能量与动量均应守恒,有:222212121v m V M V M e +'=αα (1)ϕθααcos cos v m V M V M e +'= (2)ϕθαsin sin 0v m V M e −'= (3)作运算:(2)×sin θ±(3)×cos θ,(4)(5)再将(4)、(5)二式与(1)式联立,消去V’与v,化简上式,得(6)θϕμϕθμ222sin sin )(sin +=+ (7)视θ为φ的函数θ(φ),对(7)式求θ的极值,有令sin2(θ+φ)-sin2φ=0 即 2cos(θ+2φ)sin θ=0若 sin θ=0, 则 θ=0(极小) (8)(2)若cos(θ+2φ)=0 ,则 θ=90º-2φ (9)将(9)式代入(7)式,有θϕμϕμ2202)(90sin sin sin +=−θ≈10-4弧度(极大)此题得证。
1.2(1)动能为5.00MeV 的α粒子被金核以90°散射时,它的瞄准距离(碰撞参数)为多大? (2)如果金箔厚1.0 μm ,则入射α粒子束以大于90°散射(称为背散射)的粒子数是全部入射粒子的百分之几?要点分析:第二问是90°~180°范围的积分.关键要知道n, 注意推导出n 值.其他值从书中参考列表中找.解:(1)依金的原子序数Z2=79答:散射角为90º所对所对应的瞄准距离为22.8fm.(2)解: 第二问解的要点是注意将大于90°的散射全部积分出来. (问题不知道nA,但可从密度与原子量关系找出)从书后物质密度表和原子量表中查出ZAu=79,AAu=197, ρAu=1.888×104kg/m3依θasin即单位体积内的粒子数为密度除以摩尔质量数乘以阿伏加德罗常数。
4—l 一束电子进入1.2T 的均匀磁场时,试问电子自旋平行于和反平行于磁场的电子的能量差为多大?解:已知: 电子自旋磁矩在磁场方向的投影B B s s z g m μμμ±=±=(注意做题时,它是磁场方向的投影,不要取真实值B μ3)依磁矩与磁场的作用能量 θμμcos B B E =⋅=自旋与磁场平行时B B B E B s s μμμ==⋅=01cos自旋与磁场反平行时B B B E B s s μμμ-==⋅=1802cos则 eV eV B E E E B 4412101100.57881.222--⨯=⨯⨯⨯=μ=-=∆389.4—2 试计算原子处于232D 状态的磁矩μ及投影μz 的可能值.解:已知:j =3/2, 2s +1=2 s =1/2, ι=2则 5441564321232123=-+=-+=)()(jl s g j依据磁矩计算公式 B B j j g j j μμμ15521)(-=+-= 依据磁矩投影公式B j j z g m μ-=μ5652±±=,j j g m∴B B z μ±μ±=μ5652, 4-3 试证实:原子在6G 3/2状态的磁矩等于零,并根据原子矢量模型对这一事实作出解释.4-4 在史特恩-盖拉赫实验中,处于基态的窄的银原子束通过极不均匀的横向磁场,并射到屏上,磁极的纵向范围d =10cm ,磁极中心到屏的距离D =25 cm .如果银原子的速率为400m /s ,线束在屏上的分裂间距为2.0mm ,试问磁场强度的梯度值应为多大?银原子的基态为2S 1/2,质量为107.87u .4-5 在史特恩-盖拉赫实验中(图19.1),不均匀横向磁场梯度为cm T zB/.05=∂∂,磁极的纵向范围d =10cm ,磁极中心到屏的距离D =30cm ,使用的原子束是处于基态F 的钒原子,原子的动能E k=50MeV .试求屏上线束边缘成分之间的距离.解: 对于多个电子 2S +1=4 S =3/2 L =3, J =3/2则 52)4151415(2123)(2123222=-+=-+=2jl s g j23212123--++=;;;j m依公式 kTdDz B g m Z B J J 3⋅∂∂μ-=又 meV mV 5021= 3kT=mV 2=0.1eVkTdDz B g m Z B J J 3⋅∂∂μ-==cm 520920503010055223..±=⨯⨯⨯⨯± 和kTdDz B g m Z BJ J 3⋅∂∂μ-==cm 0.17365030105.05221±=⨯⨯⨯⨯± 4-6. 在史特恩-盖拉赫实验中,原子态的氢从温度为400K 的炉中射出,在屏上接受到两条氢束线,间距为0.60cm .若把氢原子换成氯原子(基态为2P 3/2,),其它实验条件不变,那么,在屏上可以接受到几条氯束线?其相邻两束的间距为多少?解: 已知 Z 2=0.30cm T =400K 3kT =3×8.617×10-5×400eV=0.103eVJ =1/2 g j =2 m j g j =±1由kTdDz B g m Z B J J 3⋅∂∂μ-=30.=⋅∂∂μkTdD z B B 3当换为氯原子时,因其基态为2P 3/2 ,j =3/2, l =1 s =1/234)415234(2123)(2123222=-+=-+=jl s g j23;21;21;23--++=j mcmz 0.60.33423±=⨯⨯±='cm z 0.20.33421±=⨯⨯±=''则相邻两条间距为|Z ”-Z ’|=0.4cm ,共有2j +1=4条。
原子物理学课后答案(第四版)杨福家著高等教育出版社第一章:原子的位形:卢瑟福模型第二章:原子的量子态:波尔模型第三章:量子力学导论第四章:原子的精细结构:电子的自旋第五章:多电子原子:泡利原理第六章:X射线第七章:原子核物理概论第八章:超精细相互作用原子物理学——学习辅导书吕华平刘莉主编(7.3元定价)高等教育出版社第一章习题答案1-1 速度为v 的非相对论的α粒子与一静止的自由电子相碰撞,试证明:α粒子的最大偏离角约为410-rad.解:设碰撞以后α粒子的散射角为θ,碰撞参数b 与散射角的关系为2cot 2θa b =(式中Ee Z Z a 02214πε=)碰撞参数b 越小,则散射角θ越大。
也就是说,当α粒子和自由电子对头碰时,θ取得极大值。
此时粒子由于散射引起的动量变化如图所示,粒子的质量远大于自由电子的质量,则对头碰撞后粒子的速度近似不变,仍为,而电子的速度变为,则粒子的动量变化为v m p e 2=∆散射角为410*7.21836*422-=≈≈∆≈v m v m p p e αθ 即最大偏离角约为410-rad.1-2 (1)动能为5.00MeV 的α粒子被金核以︒90散射时,它的瞄准距离(碰撞参数)为多大? (2)如果金箔厚为1.0um ,则入射α粒子束以大于︒90散射(称为背散射)的粒子是全部入射粒子的百分之几? 解:(1)碰撞参数与散射角关系为:2cot 2θa b =(式中Ee Z Z a 02214πε=)库伦散射因子为:Ee Z Z a 02214πε==fm MeV MeV fm 5.45579*2**44.1= 瞄准距离为: fm fm a b 8.2245cot *5.45*212cot 2===︒θ(2)根据碰撞参数与散射角的关系式2cot 2θa b =,可知当︒≥90θ时,)90()(︒≤b b θ,即对于每一个靶核,散射角大于︒90的入射粒子位于)90(︒<b b 的圆盘截面内,该截面面积为)90(2︒=b c πσ,则α粒子束以大于︒90散射的粒子数为:π2Nntb N =' 大于︒90散射的粒子数与全部入射粒子的比为526232210*4.98.22*142.3*10*0.1*19788.18*10*02.6--===='πρπtb M N ntb N N A 1—3 试问:4.5Mev 的α粒子与金核对心碰撞时的最小距离是多少?若把金核改为Li 7核,则结果如何? 解:(1)由式4—2知α粒子与金核对心碰撞的最小距离为=m r Ee Z Z a 02214πε==fm MeV MeV fm 6.505.479*2**44.1=(2)若改为Li 7核,靶核的质量m '不再远大于入射粒子的质量m ,这时动能k E 要用质心系的能量c E ,由式3—10,3—11知,质心系的能量为:)(212mm mm m v m E u u c +''==式中 得k k k Li He Li k u c E E E A A A E m m m v m E 117747212=+=+≈+''==α粒子与Li 7核对心碰撞的最小距离为:=m r Ee Z Z a 02214πε==fm MeV MeV fm 0.37*5.411*3*2**44.1=1—4 (1)假定金核半径为7.0fm ,试问:入射质子需要多少能量,才能在对头碰撞时刚好到达金核的表面?(2)若金核改为铝核,使质子在对头碰撞时刚好到达铝核的表面,那么,入射质子的能量应为多少?设铝核半径为4.0fm 。
原子物理学杨福家第四版课后答案原子物理学作为物理学的一个重要分支,对于理解物质的微观结构和性质具有至关重要的意义。
杨福家所著的《原子物理学》第四版更是众多学子深入学习这一领域的重要教材。
然而,课后习题的解答往往成为学习过程中的关键环节,它有助于巩固所学知识,加深对概念的理解。
以下便是对该教材课后答案的详细阐述。
首先,让我们来看第一章“原子的位形:卢瑟福模型”的课后习题。
其中,有一道关于α粒子散射实验的题目,要求计算α粒子在与金原子核发生散射时的散射角。
解答这道题,需要我们深刻理解库仑散射公式以及相关的物理概念。
我们知道,α粒子与金原子核之间的相互作用遵循库仑定律,通过对散射过程中动量和能量的守恒分析,可以得出散射角与α粒子的初始能量、金原子核的电荷量以及散射距离之间的关系。
经过一系列的数学推导和计算,最终得出具体的散射角数值。
第二章“原子的量子态:玻尔模型”中的课后习题,重点考察了对玻尔氢原子模型的理解和应用。
比如,有一道题让我们计算氢原子在不同能级之间跃迁时所发射光子的波长。
这就要求我们熟练掌握玻尔的能级公式以及光的波长与能量之间的关系。
根据玻尔的理论,氢原子的能级是量子化的,当电子从一个能级跃迁到另一个能级时,会释放出一定能量的光子。
通过计算两个能级之间的能量差,再利用光子能量与波长的关系式,就可以求出相应的波长。
在第三章“量子力学导论”的课后习题中,常常涉及到对波函数和薛定谔方程的理解和运用。
例如,有一道题给出了一个特定的势场,要求求解在此势场中粒子的波函数和可能的能量本征值。
解答此类问题,需要我们将给定的势场代入薛定谔方程,然后通过数学方法求解方程。
这个过程可能会涉及到一些复杂的数学运算,如分离变量法、级数解法等,但只要我们对量子力学的基本概念和方法有清晰的认识,就能够逐步推导得出答案。
第四章“原子的精细结构:电子的自旋”的课后习题,则更多地关注电子自旋与原子能级精细结构之间的关系。
比如,有题目要求计算在考虑电子自旋轨道耦合作用下,某原子能级的分裂情况。
原子物理学课后前六章答案(第四版)杨福家著(高等教育出版社)第一章:原子的位形:卢瑟福模型 第二章:原子的量子态:波尔模型 第三章:量子力学导论第四章:原子的精细结构:电子的自旋 第五章:多电子原子:泡利原理 第六章:X 射线第一章 习题1、2解1.1 速度为v 的非相对论的α粒子与一静止的自由电子相碰撞,试证明:α粒子的最大偏离角约为10-4rad.要点分析: 碰撞应考虑入射粒子和电子方向改变.并不是像教材中的入射粒子与靶核的碰撞(靶核不动).注意这里电子要动.证明:设α粒子的质量为M α,碰撞前速度为V ,沿X 方向入射;碰撞后,速度为V',沿θ方向散射。
电子质量用me 表示,碰撞前静止在坐标原点O 处,碰撞后以速度v 沿φ方向反冲。
α粒子-电子系统在此过程中能量与动量均应守恒,有:(1)ϕθααcos cos v m V M V M e +'= (2)ϕθαsin sin 0v m V M e -'= (3)作运算:(2)×sin θ±(3)×cos θ,(4)(5)再将(4)、(5)二式与(1)式联立,消去V’与v,化简上式,得(6)θϕμϕθμ222s i n s i n )(s i n +=+ (7)视θ为φ的函数θ(φ),对(7)式求θ的极值,有令sin2(θ+φ)-sin2φ=0 即 2cos(θ+2φ)sin θ=0若 sin θ=0, 则 θ=0(极小) (8)(2)若cos(θ+2φ)=0 ,则 θ=90º-2φ (9)将(9)式代入(7)式,有θϕμϕμ2202)(90si n si n si n +=-θ≈10-4弧度(极大)此题得证。
1.2(1)动能为5.00MeV 的α粒子被金核以90°散射时,它的瞄准距离(碰撞参数)为多大? (2)如果金箔厚1.0 μm ,则入射α粒子束以大于90°散射(称为背散射)的粒子数是全部入射粒子的百分之几?要点分析:第二问是90°~180°范围的积分.关键要知道n, 注意推导出n 值.其他值从书中参考列表中找.解:(1)依金的原子序数Z2=79答:散射角为90º所对所对应的瞄准距离为22.8fm.(2)解: 第二问解的要点是注意将大于90°的散射全部积分出来. (问题不知道nA,但可从密度与原子量关系找出)从书后物质密度表和原子量表中查出ZAu=79,AAu=197, ρAu=1.888×104kg/m3依θa 2sin即单位体积内的粒子数为密度除以摩尔质量数乘以阿伏加德罗常数。
《原子物理学》杨福家第四版课后答案目录第一章原子的位形 ...................................... - 1 - 第二章原子的量子态:波尔模型 ............................ - 7 - 第三章量子力学导论 (12)第四章原子的精细结构:电子的自旋 ............................ 16 第五章多电子原理:泡利原理 (23)第六章 X 射线 ............................................. 28 第七章原子核物理概论 ................... 没有错误!未定义书签。
第一章原子的位形 1-1)解:α粒子与电子碰撞,能量守恒,动量守恒,故有:+'='+=e e v m v M v M v M mv Mv ρρρ222212121='-='-?222e e v M m v v v Mm v v ρρρ e v m p ρρ=?e p=mv p=mv ∴??,其大小: (1) 222(')(')(')e m v v v v v v v M-≈+-=近似认为:(');'p M v v v v ?≈-≈22e m v v v M∴??=有 212e p p Mmv ??=亦即: (2)(1)2/(2)得22422210e e m v m p Mmv M-?===p亦即:()ptg rad pθθ?≈=-4~10 1-2) 解:① 22a b ctg Eθπε=228e ;库仑散射因子:a=4)2)(4(420202E Z e E Ze a πεπε==22279()() 1.44()45.545eZ a fmMev fm E Mev πε?=== 当901θθ=?=时,ctg2122.752b a fm ∴== 亦即:1522.7510b m -=?② 解:金的原子量为197A =;密度:731.8910/g m ρ=? 依公式,λ射α粒子被散射到θ方向,d Ω立体角的内的几率: nt d a dP 2sin16)(42θθΩ=(1)式中,n 为原子核数密度,()AA m n n N ρ∴=?= 即:A V n Aρ=(2)由(1)式得:在90o→180 o范围内找到α粒子得几率为:(θP 18022490a nt 2sin ()164sin 2d a nt πθθπρθθ?==?将所有数据代入得)(θP 5()9.410ρθ-=?这就是α粒子被散射到大于90o范围的粒子数占全部粒子数得百分比。
原子物理杨福家习题答案原子物理是物理学的一个重要分支,研究微观世界中的原子和分子的性质与行为。
在学习原子物理的过程中,习题是不可或缺的一部分。
本文将为大家提供一些原子物理杨福家习题的答案,希望对大家的学习有所帮助。
1. 问题:什么是原子的核电荷数?答案:原子的核电荷数是指原子核中所含的质子数。
在一个稳定的原子中,核电荷数等于电子数。
例如,氢原子的核电荷数为1,氧原子的核电荷数为8。
2. 问题:什么是原子的质量数?答案:原子的质量数是指原子核中所含的质子数和中子数之和。
质量数决定了原子的相对质量。
例如,氢原子的质量数为1,氧原子的质量数为16。
3. 问题:什么是原子的原子序数?答案:原子的原子序数是指原子核中所含的质子数,也即是元素的序数。
原子序数决定了元素的化学性质和元素周期表中的位置。
例如,氢的原子序数为1,氧的原子序数为8。
4. 问题:什么是原子的核外电子?答案:原子的核外电子是指位于原子核外的电子。
核外电子决定了原子的化学性质和元素的化合价。
例如,氢原子只有一个核外电子,氧原子有八个核外电子。
5. 问题:什么是原子的核内电子?答案:原子的核内电子是指位于原子核内的电子。
核内电子对原子的化学性质没有直接影响,它们主要参与原子核的稳定性和放射性衰变过程。
6. 问题:什么是原子的能级?答案:原子的能级是指原子中电子的能量状态。
原子的能级是离散的,电子只能处于特定的能级上。
能级越高,电子的能量越大。
原子的能级结构决定了原子的光谱特性和化学反应性。
7. 问题:什么是原子的轨道?答案:原子的轨道是指原子中电子运动的空间区域。
根据量子力学理论,原子的轨道并不是传统意义上的固定轨道,而是描述电子在空间中可能存在的概率分布。
原子的轨道分为s轨道、p轨道、d轨道和f轨道等不同类型。
8. 问题:什么是原子的激发态?答案:原子的激发态是指原子中电子跃迁到高能级的状态。
当电子吸收足够能量时,它会从低能级跃迁到高能级,形成原子的激发态。
原子物理学杨福家第四版课后答案原子物理学是物理学的一个重要分支,它研究原子的结构、性质和相互作用等方面的知识。
杨福家所著的《原子物理学》第四版是一本备受欢迎的教材,为学生深入理解原子世界提供了坚实的基础。
以下是为您精心整理的该教材的课后答案。
第一章主要介绍了原子物理学的发展历程和一些基本概念。
课后习题可能会要求学生阐述卢瑟福散射实验的原理和意义。
卢瑟福散射实验是原子物理学中的一个关键实验,它证明了原子的核式结构。
在回答这类问题时,要清晰地说明实验的步骤、观察到的现象以及得出的结论。
例如,α粒子在穿过金箔时,大部分粒子直线通过,只有少数发生大角度偏转,这表明原子的正电荷和绝大部分质量集中在一个很小的核上。
第二章关于原子的能级和光谱,可能会有关于氢原子光谱线系的计算和解释的题目。
对于氢原子的能级公式和光谱线的频率、波长的计算,需要牢记相关公式并能准确运用。
比如,巴尔末系的波长可以通过公式计算得出,同时要理解为什么氢原子会产生这些特定的光谱线系,这涉及到电子的能级跃迁。
第三章的重点是量子力学初步。
在回答课后问题时,要理解波函数的物理意义以及薛定谔方程的应用。
例如,对于一个给定的势场,如何求解薛定谔方程得到波函数,并根据波函数计算出粒子在不同位置出现的概率。
这需要掌握一定的数学运算和物理概念。
第四章关于碱金属原子和电子自旋,可能会要求分析碱金属原子光谱的精细结构,并解释电子自旋的概念和作用。
在回答这类问题时,要清楚地说明由于电子自旋与轨道运动的相互作用,导致了碱金属原子光谱的精细分裂。
同时,要理解电子自旋的量子特性以及它对原子能级和光谱的影响。
第五章讲到了多电子原子。
这部分的课后习题可能会涉及到多电子原子的能级结构、电子组态和原子态的确定。
回答时需要运用泡利不相容原理、能量最低原理等规则来确定电子的排布,从而得出原子的可能状态。
第六章是在原子的壳层结构基础上,进一步探讨了 X 射线。
对于 X 射线的产生机制、特征谱线以及与物质的相互作用等问题,需要有清晰的理解和准确的表述。
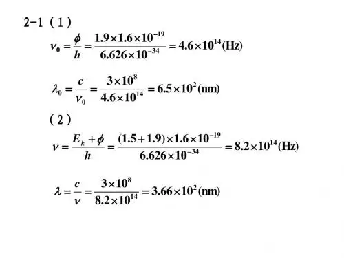
原子物理习题库及解答第一章1-1 由能量、动量守恒 ⎪⎩⎪⎨⎧'+'='+'=e e e e v m v m v m v m v m v m αααααααα222212121(这样得出的是电子所能得到的最大动量,严格求解应用矢量式子)Δp θ得碰撞后电子的速度 ee m m v m v +='ααα2 p故 αv v e2≈' 由)(105.24001~22~~~4rad m m v m v m v m v m pp tg e e e e -⨯=='∆ααααααθθ1-2 (1) )(8.225244.127922fm ctg a b =⨯⨯⨯==θ (2) 52321321063.91971002.63.19]108.22[14.3--⨯=⨯⨯⨯⨯⨯==nt b NdN π1-3 Au 核: )(6.505.4244.1794422fm v m Ze r m =⨯⨯⨯==αα Li 核:)(92.15.4244.134422fm v m Ze r m =⨯⨯⨯==αα1-4 (1))(3.16744.1791221Mev r e Z Z E mp =⨯⨯==(2))(68.4444.1131221Mev r e Z Z E m p =⨯⨯==1-5 2sin /)4(2sin /)4(420222142221θρθr ds t A N E e Z Z ntd E e Z Z N dN p p ⋅=Ω= 42323213)5.0(1105.1105.11971002.6)41044.179(⨯⨯⨯⨯⨯⨯⨯⨯=--68221090.8197105.144.1795.102.6--⨯=⨯⨯⨯⨯⨯=1-660=θ时,232221⋅==a ctg ab θ 90=θ时,12222⨯==a ctg a b θ 3)21()23(22222121===∴b bdN dN ππ1-7 由32104-⨯=nt b π,得ntb π32104-⨯=由22θctg a b =,得 23233232)67.5(1021811002.614.310410104)2(⨯⨯⨯⨯⨯⨯=⨯=--- ntctg a π )(1096.5224cm -⨯=)(8.23161096.5)41(2sin )4(2442b a d d =⨯⨯⨯==Ω∴-θσ1-8(1)设碰撞前m 1的速度为v 1,动量为p 1。
原子物理学课后前六章答案(第四版)杨福家著(高等教育出版社)第一章:原子的位形:卢瑟福模型 第二章:原子的量子态:波尔模型 第三章:量子力学导论第四章:原子的精细结构:电子的自旋 第五章:多电子原子:泡利原理 第六章:X 射线第一章 习题1、2解1.1 速度为v 的非相对论的α粒子与一静止的自由电子相碰撞,试证明:α粒子的最大偏离角约为10-4rad.要点分析: 碰撞应考虑入射粒子和电子方向改变.并不是像教材中的入射粒子与靶核的碰撞(靶核不动).注意这里电子要动.证明:设α粒子的质量为Mα,碰撞前速度为V ,沿X 方向入射;碰撞后,速度为V',沿θ方向散射。
电子质量用me 表示,碰撞前静止在坐标原点O 处,碰撞后以速度v 沿φ方向反冲。
α粒子-电子系统在此过程中能量与动量均应守恒,有:222212121v m V M V M e +'=αα (1)ϕθααcos cos v m V M V M e +'= (2)ϕθαsin sin 0v m V M e -'= (3)作运算:(2)×sin θ±(3)×cos θ,得)sin(sin ϕθθα+=VM v m e (4))sin(sin ϕθϕαα+='VM V M (5)再将(4)、(5)二式与(1)式联立,消去V’与v化简上式,得(6)θϕμϕθμ222sin sin )(sin +=+ (7)视θ为φ的函数θ(φ),对(7)式求θ的极值,有令sin2(θ+φ)-sin2φ=0 即 2cos(θ+2φ)sin θ=0若 sin θ=0, 则 θ=0(极小) (8)(2)若cos(θ+2φ)=0 ,则 θ=90º-2φ (9)将(9)式代入(7)式,有θϕμϕμ2202)(90si n si n si n +=-θ≈10-4弧度(极大)此题得证。
1.2(1)动能为5.00MeV 的α粒子被金核以90°散射时,它的瞄准距离(碰撞参数)为多大?(2)如果金箔厚1.0 μm ,则入射α粒子束以大于90°散射(称为背散射)的粒子数是全部入射粒子的百分之几?要点分析:第二问是90°~180°范围的积分.关键要知道n, 注意推导出n 值.其他值从书中参考列表中找.解:(1)依金的原子序数Z2=79答:散射角为90º所对所对应的瞄准距离为22.8fm.(2)解: 第二问解的要点是注意将大于90°的散射全部积分出来.(问题不知道nA,但可从密度与原子量关系找出)从书后物质密度表和原子量表中查出ZAu=79,AAu=197, ρAu=1.888×104kg/m3依θa2 sin即单位体积内的粒子数为密度除以摩尔质量数乘以阿伏加德罗常数。
目录第一章原子的位形 (2)第二章原子的量子态:波尔模型 (8)第三章量子力学导论 (12)第四章原子的精细结构:电子的自旋 ........................ 错误!未定义书签。
第五章多电子原理:泡利原理 (23)第六章 X射线 ............................................................................... . (28)第七章原子核物理概论 ........................................... 错误!未定义书签。
第一章 原子的位形 1-1)解:α粒子与电子碰撞,能量守恒,动量守恒,故有:eevmvMvM vMmvMv 222 2121 21222e e v Mmvv v M mvvevmpeep=mvp=mv ,其大小: (1)222(')(')(') em vvvvvvvM近似认为:(');'pMvvvv22e m vvv M有21 2eppMmv亦即: (2)(1)2/(2)得224222 10e e mvm pMmvM p亦即:()ptgrad p-4~101-2) 解:① 22a bctg E228e;库仑散射因子:a=4 )2)(4 ( 4 2 0 20 2 E Ze E Zea 22279()()1.44()45.545 eZ afmMevfm EMev当901时,ctg2122.752 bafm亦即:1522.7510bm② 解:金的原子量为197A ;密度:731.8910/gm依公式,λ射粒子被散射到θ方向,d 立体角的内的几率:ntdadP 2sin16)( 42(1)式中,n 为原子核数密度,()AAmnnN即:AVn A(2)由(1)式得:在90º→180 º范围内找到粒子得几率为: )(P 1802 2 490ant2sin() 164sin2dant将所有数据代入得)(P5()9.410这就是粒子被散射到大于90º范围的粒子数占全部粒子数得百分比。
原子物理学课后前六章答案(第四版)杨福家著(高等教育出版社)第一章:原子的位形:卢瑟福模型 第二章:原子的量子态:波尔模型 第三章:量子力学导论第四章:原子的精细结构:电子的自旋 第五章:多电子原子:泡利原理 第六章:X 射线第一章 习题1、2解1.1 速度为v 的非相对论的α粒子与一静止的自由电子相碰撞,试证明:α粒子的最大偏离角约为10-4rad.要点分析: 碰撞应考虑入射粒子和电子方向改变.并不是像教材中的入射粒子与靶核的碰撞(靶核不动).注意这里电子要动.证明:设α粒子的质量为M α,碰撞前速度为V ,沿X 方向入射;碰撞后,速度为V',沿θ方向散射。
电子质量用me 表示,碰撞前静止在坐标原点O 处,碰撞后以速度v 沿φ方向反冲。
α粒子-电子系统在此过程中能量与动量均应守恒,有:(1)ϕθααcos cos v m V M V M e +'= (2) ϕθαsin sin 0v m V M e -'= (3)作运算:(2)×sin θ±(3)×cos θ,(4)(5)再将(4)、(5)二式与(1)式联立,消去V’与v化简上式,得(6)θϕμϕθμ222s i n s i n )(s i n +=+ (7)视θ为φ的函数θ(φ),对(7)式求θ的极值,有令sin2(θ+φ)-sin2φ=0 即 2cos(θ+2φ)sin θ=0若 sin θ=0, 则 θ=0(极小) (8)(2)若cos(θ+2φ)=0 ,则 θ=90º-2φ (9)将(9)式代入(7)式,有θϕμϕμ2202)(90sin sin sin +=-θ≈10-4弧度(极大)此题得证。
1.2(1)动能为5.00MeV 的α粒子被金核以90°散射时,它的瞄准距离(碰撞参数)为多大?(2)如果金箔厚1.0 μm ,则入射α粒子束以大于90°散射(称为背散射)的粒子数是全部入射粒子的百分之几?要点分析:第二问是90°~180°范围的积分.关键要知道n, 注意推导出n 值.其他值从书中参考列表中找.解:(1)依金的原子序数Z2=79答:散射角为90º所对所对应的瞄准距离为22.8fm.(2)解: 第二问解的要点是注意将大于90°的散射全部积分出来. (问题不知道nA,但可从密度与原子量关系找出)从书后物质密度表和原子量表中查出ZAu=79,AAu=197, ρAu=1.888×104kg/m3依θa 2sin即单位体积内的粒子数为密度除以摩尔质量数乘以阿伏加德罗常数。
目 录第一章 原子的位形.......................................................错误 !未定义书签。
第二章 原子的量子态:波尔模型...................................错误 !未定义书签。
第三 章量 子力学导论⋯⋯⋯⋯⋯⋯⋯⋯⋯⋯⋯⋯⋯⋯⋯⋯⋯⋯⋯⋯⋯⋯⋯..12第四章 原子的精细结构:电子的自旋............................16第五章 多电子原理:泡利原理⋯⋯⋯⋯⋯⋯⋯⋯⋯⋯⋯⋯⋯⋯⋯⋯⋯⋯⋯⋯ 23 第六章 X 射线 .................................................................................................................................................................................................................. 28 第七章 原子核物理概论 ................................................................................................ 没有错误 !未定义书签。
第一章 原子的位形 1-1) 解:α粒子与电子碰撞,能量守恒,动量守恒,故有:1 2 1 2 1 Mv 2v vmv e 2 Mv 2 mv e 2Mv2v2mv e 2Mv Mv mv eMpmv e(1)22m2(v v ' ) (v v ')(v v ') M v e近似认为: p M (v v '); v v '有 2vvmv e 2M1Mmv e亦即: p p2(2)2(1) 2/(2) 得p 2m 2v e 2 2m 10 4p Mmv e 2 M亦即: tgp~10 -4 (rad )p1-2)解:① bactg28e 2 ;库仑散射因子: a= E2 24221.44 fmMev(2 79)a2Ze a ( (e e2)()(22Z)) 45.5 fm4E44 0E5Mev当90时, ctg 2 1 b1a 22.75 fm2亦即: b 22.75 10 15 m② 解:金的原子量为 A197 ;密度:1.89 107 g / m 3依公式,λ射 粒子被散射到θ方向, d 立体角的内的几率:dP( )a 2dnt(1)16 sin 42式中, n 为原子核数密度,m n( A)nN A即: nV A(2)A由( 1)式得:在 90o →180 o 范围内找到 粒子得几率为:P(( )180 a 2nt 2 sin d a 2nt9016 sin 442将所有数据代入得P(( )) 9.4 105这就是粒子被散射到大于 90o 范围的粒子数占全部粒子数得百分比。
1-3) 解:EE 44.5.5Mev;;对于全金核 Z 79;对于 7 Li,,Z 3;r m a2Ze 2( e 2 )(2Z)4 0 E4E当 Z =79 时r m 1.44 fm Mev2 79 50.56 fm4.5Mev当 Z =3 时, r m 1.92 fm;但此时 M 并不远大于 m ,E lm E c E c 1 uv 2 M m E, a c a(1 m )2 M M r ma c a(1 4) 3.02 fm7 1-4) 解:① r m 2Ze 2( e 2 )(2Z) 7 fm4 0 E 4 0 E将 Z =79 代入解得: E=16.25Mev② 对于铝, Z = 13,代入上公式解得:4fm=e 2 (13) E=4E以上结果是假定原子核不动时得到的, 因此可视为理论系的结果, 转换到实验室 中有: E l (1 m )E cM对于① E l (1 1 ) E c 16.33Mev 197② E l (1 1)E c 4.9Mev 27可见,当 M>>m 时, E l E c ,否则, E l E c1-5) 解:在θ方向 d Ω立方角内找到电子的几率为:dN nt ( 1 Z 1Z 2 e 2)2 d N4 4E sin 42注意到:Antt; nt N A tdN N At( a )2 dnN AANA4 sin 42a ( e2Z 1Z 2) 1.44 fmMev79 113.76 fm 4E1.0Mevds 1.5 1.5 10 2r 2102dN N 6.02 10a 232 d1513 210 223(114 10 ) 2 1.510 6A t ( ) 1.510n48.9NA 197444sin 30sin 241-6) 解:Nnt( a) 2cos2 d dN d( a )2Nnt 44 sin 44 sin 322180散射角大于θ得粒子数为: N 'dN180d sin2 N60 60sin 323,即为所求依题意得:N90180d sin 2 190sin 321-7) 解P(1800 )180dN 1800nt12Z 1Z 2e 2 2 cos 2 dN42Esin 32180tN A cos d 180mN A a2cosa 222 dA 4sin3A4sin32 2mN A a 2ctg 2 0 4 10 3 A 4 2a 216 10 3 Am N A ctg 2 02d a 2181 4 10 3tg 2 100 c()1d444 2 10 2 6.02 10 23 sin 4 300依题:sin224 10 28 m 2/ sr 24b / sr1-8) 解:在实验室系中,截面与偏角的关系为(见课本 29 页)m 1 1m 1sin ( L )max 90 m 1 1m 2 m 2m 2 1m1sin L 0m 2-m 1sinL)-m1(1sin Lm 21m 2① 由上面的表达式可见:为了使L ( L ) 存在,必须:1 (m1sin L ) 2m 2即:(1 m 1 sin L )(1-m 1sin L ) 0m 2m 2m 1 1 sin L亦即: m 21-m 1sinLm 21m 1sinm 2或1-m 1sinm 2L L考虑到: L 180sinL第二组方程无解第一组方程的解为: 1 m 1 sin L1m 2可是,m 1sinL 的最大值为1,即: sin L m 1m 2m 2② m 1 为α粒子, m 2 为静止的 He 核,则m 11 ,m 21-9 )解:根据 1-7 )的计算,靶核将入射粒子散射到大于的散射几率是P( ) nta 2ctg 224当靶中含有两种不同的原子时,则散射几率为0.7 10.32将数据代入得:(1 1.44 10 13 Mev cm)23.142 2 1.5 10 3 g cm 2 6.022 1023 mol 1 ctg 2154 (1.0Mev)(0.7079210.304921 )5.8 10 3197g mol108g mol1-10) 解:① 金核的质量远大于质子质量,所以,忽略金核的反冲,入射粒子被靶核散时则:之间得几率可用的几率可用下式求出: nt ( a)22 sint ( a )2 2 sin4sin 4 A 4 sin422Z 1 Z 2e 2 1 79 1.44Mev fmaE R1.2Mev94.8 fm4由于 12 ,可近似地将散射角视为:12596160 ;61 590.0349rad22180将各量代入得:19.32 1.5 10 410 1326.02 1023 94.8 2 sin 60 0.0349 1.51 10 41974sin 4 30 单位时间内入射的粒子数为: N QI t 5.0 10 9 1 3.125 1010 (个)ee1.60 10 19T 时间内入射质子被散时到 59 61 之间得数目为:NN T3.125 1010 1.51 10 4 60 5 1.4 109 ( 个)② 入射粒子被散时大于θ的几率为:nt a 2 ctg2tN A a 2 ctg 2 1.88 10 34 2 A 4 2N N T 3.125 1010 1.88 10 360 5 1.8 1010(个)③大于 10 的几率为:nt a2 ctg 28.17 10 2 4 2 10大于 10 的原子数为:N ' 3.125 1010 8.17 10 2 60 5 7.66 1011(个)小于 10 的原子数为:N 3.125 1010 1 60 5 N ' 8.6 1012(个)注意:大于 0 的几率: 1大于 0 的原子数为:NT 3.125 1010 60 5第二章原子的量子态:波尔模型2-1) 解:hv E k W①E k 0,有 hv 01.9W e0 W 1.9eVs 4.6 1014 Hzh 4.1357 10 15 eVc hc 1.24 103 nm eV 0W 1.9eV 652.6nm② c hc 1.24 103 nm eV nmhcE k W (1.5 1.9)eV 364.72-2) 解:r n a1n2 ;v n c ZV1 Z; E n E1(Z)2 Z n n n①对于 H:1 1 1 1 12 1 2 12r a nr a n 0.53a A ;0r.53 A4a;r 24.a A 2.12 Av1 c 2.19 106 (m s 1 ); v2 1v1 1.1 10 6 (m s 1 ) 2对于 He+:Z=2r 1 1a 1 0.265 A ; r 2 2a 1 1.06 A 2 v 1 2 c 4.38 106 (m s 1); v 1c 2.19 106 ( m s 1 )对于 Li +:Z =31a 1 0.177 A ; r 2 4r 1a 1 0.707 A33v 1 3c 6.57 106 (m s 1 ); v 13 c 3.29 10 6 ( m s 1 )2② 结合能=Z 2E nE 1 ( n) E AE H 13.6 ev; E He 4 13.6 54.4ev; E Li122.4ev③ 由基态到第一激发态所需的激发能:E 1E 1 ( Z)2E 1 ( Z)2Z 2E 1( 1 1)3E 1Z 22 1443 33hchc3 3 对于 H : ( (E 1E)1H )H1212.4.hc.41010eveVv( E( )(1313.6).6) 101310.2.6.ev2ev;4; 40.8ev;H H303A.9A 12161216A A4 4 He4HeEEE 1010.E2.eveV.2ev+E )3 340.408ev.8;ev;Hhchc303303.9.9A.9A对于 He : ( E 1() He413.6134.6H EEEHe4He++E()1 E ) 3 3491.408ev.8;ev;H hchc135135303..A.19A对于 Li : (13.136.96HLiHe4 4HeEE2-3) 解:所谓非弹性碰撞,即把 Li ++打到某一激发态,2而 Li ++最小得激发能为E12LiE 2 E 1 E 1 (3232 ) 91.8eV2这就是碰撞电子应具有的最小动能。