八年级第二学期3月份月考检测数学试题含答案
- 格式:doc
- 大小:1019.00 KB
- 文档页数:18
八年级第二学期学习评价数学(1)一.选择题.(每题只有一个正确答案,请将正确答案填在下面的表格里.每题3分,共30分)1. 下列式子是分式的是( )A.B.C. D.【答案】B 【解析】【分析】本题主要考查了分式的识别,对于两个整式A 、B ,且B 中含有字母,,那么形如的式子就叫做分式,据此求解即可.【详解】解:根据分式的定义可知,四个选项中,只有B 选项中的式子是分式,故选:B .2. 化简的结果是( )A. 2 B. C.D. 【答案】C 【解析】【分析】根据负整数指数幂的运算法则进行化简即可.【详解】解:,故选:C .【点睛】本题考查了负整数指数幂,任何不等于零的数的(为正整数)次幂,等于这个数的次幂的倒数,即(,为正整数).3. 下列分式中,最简分式是( )A.B.C.D.【答案】C 【解析】【分析】利用最简分式定义进行分析即可;【详解】解:、该分式的分子、分母中含有公因式,不是最简分式,故此选项不符合题意;32a1x x +x y+xπ0B ≠AB12-2-1212-1122-=n -n n 1nnaa -=0a ≠n 211a a +-246a bc 22a a-2a b a ab++A ()1+aB 、该分式的分子、分母中含有公因数,不是最简分式,故此选项不符合题意;C 、该分式最简分式,故此选项符合题意;D 、该分式的分子、分母中含有公因式,不是最简分式,故此选项不符合题意;故选:C .【点睛】本题考查了最简分式的定义:一个分式的分子与分母没有公因式时,这个分式叫做最简分式,解题关键掌握最简分式的定义.4. 把下列分式中x ,y 的值都同时扩大到原来的5倍,那么分式的值保持不变的是( )A.B.C.D.【答案】A 【解析】【分析】根据分式的基本性质,x ,y 的值都同时扩大到原来的5倍,求出每个式子的结果,看结果是否等于原式.【详解】解:A 、,分式的值保持不变,符合题意;B 、,分式的值改变,不符合题意;C 、,分式的值改变,不符合题意;D 、,分式的值改变,不符合题意;故选:A .【点睛】本题考查了分式的基本性质.解题的关键是掌握分式的基本性质:分式的分子与分母同乘(或除以)一个不等于0的整式,分式的值不变.5. 春节游河南,探寻千年古韵,品味地道年味!有游客人,到龙门石窟游玩,需要住宿,如每个人住一间房,结果还有一个人无房住,则客房的间数是( )A.B.C.D.【答案】A 【解析】【分析】本题考查了列代数式,根据有一个人无房住可得住进房间的人数为人,再除以即可求出是2()a b +y x y-1x y-x y xy-2x y y -()55555y y yx y x y x y==---()11115555x y x y x y==⨯---()55515·5255x y x y x yx y xy xy---==⨯()()22255512555x y x yx yy yy ---==⨯m n 1m n-1m n-1m n+1m n+()1m -n客房的间数,读懂题意是解题的关键.【详解】解:由题意可得,客房间数为,故选:.6. 解分式方程,去分母后得到的方程是( )A. B. C. D. 【答案】B 【解析】【分析】本题主要考查了解分式方程,把方程两边同时乘以去分母即可得到答案.【详解】解:方程两边同时乘以去分母得,故选:B .7. 若,,则的值是( )A. 2 B. ﹣2C. 4D. ﹣4【答案】D 【解析】【分析】根据完全平方公式的变形求出的值,再计算异分母分式相加即可.【详解】∵,∴,∴,故选D .【点睛】本题考查了求代数式的值,涉及完全平方根公式,异分母分式相加,熟练掌握公式和运算法则是解题的关键.8. 如图,若,则表示的值的点落在( )的1m n-A 12113x x x+-=()1321x x -+=()13213x x-+=()13211x -+=1633x x x-+=3x 12113x x x+-=3x ()13213x x -+=2x y +=2xy =-y xx y+22x y +()2222x y x xy y +=++()()222222228x y x y xy +=+-=-⨯-=22842y x y x x y xy ++===--2a b =222a ab a b --A. 第①段B. 第②段C. 第③段D. 第④段【答案】C 【解析】【分析】把代入即可求出分式的值,再看值的点落在的位置.【详解】解:∵,∴,∵,∴表示的值的点落在段③,故选:C .【点睛】本题考查了分式的值,知晓把整体代入是解此题的关键.9. 已知关于m 的不等式组,且m 为整数,则关于x 的分式方程的解是( )A. B. C. D. 不能确定【答案】C 【解析】【分析】本题主要考查了求不等式组的整数解,解分式方程,先求出每个不等式的解集,再根据 “同大取大,同小取小,大小小大中间找,大大小小找不到(无解)”求出不等式组的解集,进而求出其整数解,即m 的值,然后解分式方程即可得到答案.【详解】解:解不等式①得,解不等式②得:,∴不等式组的解集为,∵m 为整数,2a b =2a b =222a ab a b --2222224222433b b b b b b -===-2013<<222a ab a b--2a b =12020m m -<⎧⎨-<⎩12+=-x x m 5x =1x =3x =12020m m -<⎧⎨-<⎩①②12m >2m <122m <<∴原分式方程为,去分母得:,去括号得:,解得,经检验,是原方程的解,故选:C10. 漳州市教育局为帮助全市贫困师生举行“一日捐”活动,甲、乙两校教师各捐款60000元,已知“…”,设乙学校教师有x 人,则可得方程,根据此情景,题中用“…”表示的缺失的条件应补( )A. 乙校教师比甲校教师人均多捐20元,且甲校教师的人数比乙校教师的人数多20%B. 甲校教师比乙校教师人均多捐20元,且乙校教师人数比甲校教师的人数多20%C. 甲校教师比乙校教师人均多捐20元,且甲校教师的人数比乙校教师的人数多20%D. 乙校教师比甲校教师人均多捐20元,且乙校教师人数比甲校教师的人数多20%【答案】A 【解析】【分析】根据乙学校教师有x 人推出的含义,再推出的含义,即可得解.【详解】设乙学校教师有x 人,则表示:甲校教师的人数比乙校教师的人数多20%,表示乙校教师比甲校教师人均多捐20元,因此可得出:已知“甲校教师比乙校教师人数多,且乙校教师比甲校老师人均多捐20元”;故选A .【点睛】本题考查分式方程的应用.准确理解方程中的等量关系,是解题的关键.二.填空题.(每小题3分,共15分)11. 若分式的值为0,则=______.【答案】1的的121x x +=-()121x x +=-122x x +=-3x =3x =600006000020(120)x x-=+%(120)x +%600006000020(120)x x-=+%(120)x +%600006000020(120)x x-=+%20%11x x -+x【分析】分式的值为0,即是分子为0,分母不能为0,据此可以解答本题.【详解】解:∵,∴,∴.故答案为:1【点睛】本题考查分式的值为0的条件,关键在于理解值为0的条件.12. 某种花粉颗粒的直径约为,将用科学记数法可以表示为________.【答案】【解析】【分析】本题主要考查了科学记数法,科学记数法的表现形式为的形式,其中,n 为整数,确定n 的值时,要看把原数变成a 时,小数点移动了多少位,n 的绝对值与小数点移动的位数相同,当原数绝对值大于等于10时,n 是正数,当原数绝对值小于1时n 是负数;由此进行求解即可得到答案.【详解】解:,故答案为:.13. 若关于x 的方程无解,则m =_____.【答案】1或2【解析】【分析】去分母得(m -2)x +1=0,根据方程无解分情况讨论,求解即可.【详解】解:去分母,得mx +1﹣2x =0,化简得(m ﹣2)x +1=0,当=0时,x =0或x =1当方程有增根为x =0时,m 不存在;当方程有增根x =1时,得m ﹣2+1=0,即当方程有增根时m =1;当m ﹣2=0时,原方程无解,此时m =2,综上所述:m =1或2,故答案为:1或2.101x x -=+10x -=10x +≠1x =0.000031m 0.00003153.110-⨯10n a ⨯110a ≤<50.000031 3.110-=⨯53.110-⨯21201mx x x x +-=--2x x -【点睛】本题考查了分式方程的解,理解分式方程无解的含义是解题的关键.14. 已知,则________.【答案】【解析】【分析】本题主要考查了异分母分式加法计算,先把已知式子右边通分得到,进而得到,据此求出A 、B 的值即可得到答案.【详解】解:∵,∴,∴,∴,∴,∴,故答案为:4.15. 已知关于分式方程的解满足,则的取值范围是______.【答案】且【解析】【分析】本题考查了分式方程的解,解不等式组,先求出分式方程的解,根据,得到关于的一元一次不等式组,解不等式组求出的取值范围,又由最简公分母的值不等于,可得不符合条件的取值,最后综合即可得到最终的取值范围,正确求出分式方程的解是解题的关键.【详解】解:由分式方程得,,∵分式方程的解满足,的()()223222x ABx x x +=+---A B -=4()()223222x Bx A Bx x ++-=--231A B B -==,()()223222x AB x x x +=+---()()()()22223222B x x Ax x x -+=+---()()223222x Bx A Bx x ++-=--231A B B -==,51A B ==,514A B -=-=x ()()232223x kx x x +=+--+41x -<<-k 714k -<<0k ≠41x -<<-k k 0k k ()()232223x kx x x +=+--+217x k =-()()232223x k x x x +=+--+41x -<<-∴,即,解得,又∵,∴且,即且,解得且,∴的取值范围为且,故答案为:且.三.解答题.(本大题8小题,共75分)16. 计算:(1);(2)解方程:.【答案】(1);(2)【解析】【分析】本题主要考查了分式的除法计算,解分式方程:(1)先把除法变成乘法,然后约分即可得到答案;(2)按照去分母,去括号,移项,合并同类项的步骤解方程,然后检验即可得到答案.【详解】解:(1);(2)21471k --<<-21472117k k -⎧>-⎪⎪⎨-⎪<-⎪⎩714k -<<()()230x x -+≠20x -≠30x +≠21207k --≠21307k -+≠35k ≠0k ≠k 714k -<<0k ≠714k -<<0k ≠322243x z xz y y ÷-32222x x x x-=---232x yz-1x =322243x z xz y y ÷-322234x z y y xz -=⋅232x yz=-32222x xx x-=---去分母得:,去括号得:,移项得:,合并同类项得;,经检验,是原方程的解,∴原方程的解为.17. 先化简,再求值:,其中.【答案】,【解析】【分析】本题主要考查了分式的化简求值,零指数幂,先把除数的式子通分,然后把除法变成乘法,接着约分化简,最后代值计算即可.【详解】解:,∵,∴原式.18. 已知x =﹣4时,分式无意义,x =2时,此分式的值为零,求分式的值.【答案】5【解析】【分析】由分式无意义,可求出a 的值,由分式的值为0,可求出b 的值.把a 、b 的值代入分式中求值即可.【详解】解:∵分式无意义,∴2x +a =0即当x =﹣4时,2x +a =0.解得a =8()3222x x x -=---3224x x x -=--+2243x x x -++=-1x =1x =1x =11a a a a +⎛⎫⎛⎫÷- ⎪ ⎪⎝⎭⎝⎭020241a =+11a -111a a a a +⎛⎫⎛⎫÷-⎪ ⎪⎝⎭⎝⎭211a a a a+-=÷()()111a a a a a +=⋅+-11a =-020241112a =+=+=1121==-2x b x a -+3a ba b+-∵分式的值为0,∴x ﹣b =0,即当x =2时,x ﹣b =0.解得b =2∴.【点睛】本题考查分式意义的条件,关键在于通过分式无意义算出a 、b 的值.19. 已知x 为整数,且++化简结果为整数,求出所有符合条件的x 值.【答案】x 值的为1或2或4或5【解析】【分析】将原式化简成,由x 为整数且化简结果为整数可得出x −3=±2或±1,解之即可得出结论.【详解】解:==∵x 为整数且也是整数,∴x-3=±2或±1,则x =1或2或4或5.所以所有符合条件的x 值的为1或2或4或5.【点睛】本题考查了分式的化简,将原式化简成是解题的关键.20. 有甲、乙两筐水果,甲筐水果的质量为,乙筐水果的质量为(其中).售完后,两筐水果都卖了150元.(1)哪筐水果卖的单价高?(2)高的单价是低的单价的多少倍?【答案】(1)甲水果的单价卖得高; (2)高的单价是低的单价的倍.【解析】【分析】此题考查了分式的混合运算,熟练掌握运算法则是解本题的关键.8253832a b a b ++==--⨯23x +23x -22189x x +-23x -222218339x x x x ++++--2222626218999x x x x x x ---+=++---2269x x +-23x -23x -23x -()21kg m -()21kg m -1m >11m m +-(1)用甲框的单间减去乙框的单间,再进行整理即可得出答案;(2)根据题意列出算式,计算即可得到结果.【小问1详解】根据题意得:,所以甲水果的单价卖得高;【小问2详解】根据题意得:,答:高的单价是低的单价的倍.21. 当时,定义一种新运算:,例如:,.(1)直接写出_______________;(2)若,求出m 的值.【答案】(1)2;(2).【解析】【分析】(1)根据题目所给条件代值进去计算即可求出,(2)根据m 与2的大小关系进行分类讨论求解分式方程即可求出m 的值.【详解】解:(1)因为,所以;(2)时,,解得,不合题意,舍去.时,,2222150150150(1)150(1)1500(1)1(1)(1)(1)(1)m m m m m m m m +---==>---+-+()()222111501501501(1)1(1)1501m m m m m m m +-+÷==---- 11m m +-a b ¹2,(,)2,a b a b F a b b a b b a⎧>⎪⎪-=⎨⎪<⎪-⎩2(3,1)131F ==-248(1,4)4(1)5F ⨯-==--(1,)F a a +=(),22,1()F m F m -=0m =1a a +>2(1,)21F a a a a+==+-m>222,22,12()(2)m F m F m m m -=-=--423m =<2m <()(222,22,22)1F m F m m m⨯-=-=--解得.综上,.【点睛】本题主要考查新定义与分式方程的求解,根据题目给定公式代值计算即可,第(2)问注意对m 的值进行分类讨论求解,注意求解出来的m 的值要根据分类讨论时的取值范围进行取舍.22. 甘蔗富含大量铁、钙、锌等人体必需的微量元素,素有“补血果”的美称,是冬季热销的水果之一,为此,某水果商家12月份第一次用600元购进云南甘蔗若干千克,销售完后,他第二次又用600元购进该甘蔗,但这次每千克的进价比第一次的进价提高了20%,所购进甘蔗的数量比第一次少了25千克.(1)求该商家第一次购买云南甘蔗的进价是每千克多少元?(2)假设商家两次购进的云南甘蔗按同一价格销售,要使销售后获利不低于1000元,则每千克的售价至少为多少元?【答案】(1)每千克4元;(2)每千克的售价至少为8元【解析】【分析】(1)设该商家第一次购买云南甘蔗的进价是每千克x 元,根据题意列出方程即可求出答案;(2)设每千克的售价为y 元,根据题意列出不等式即可求出答案.【详解】解:(1)设该商家第一次购买云南甘蔗的进价是每千克x 元,根据题意可知:=﹣25,x =4,经检验,x =4是原方程的解,答:该商家第一次购买云南甘蔗的进价是每千克4元;(2)设每千克的售价为y 元,第一销售了=150千克,第二次销售了125千克,根据题意可知:150(y ﹣4)+125(y ﹣4.8)≥1000,解得:y≥8,答:每千克的售价至少为8元.【点睛】本题考查分式方程的应用,解题的关键是正确找出题中的等量关系,本题属于基础题型.23. 我们定义:如果两个分式与的差为常数,且这个常数为正数,则称是的“和雅式”,这个常数称为关于的“和雅值”.如分式,,,则是的“和雅式”,关于的“和雅值”为.0m =0m =6000.2x x +600x 6004A B A B A B 21x A x =+21B x -=+22222(1)21111x x x A B x x x x -++-=-===++++A B A B 2(1)已知分式,,判断是否为的“和雅式”,若不是,请说明理由;若是,请证明并求出关于的“和雅值”;(2)已知分式,,是的“和雅式”,且关于的“和雅值”是,求的值;(3)已知分式,,是的“和雅式”,且关于的“和雅值”是,为整数,且“和雅式”的值也为整数,求所代表的代数式及所有符合条件的的值之和.【答案】(1)不是,理由见解析(2)(3),【解析】【分析】(1)根据新定义进行判断;(2)根据新定义,列出方程求解;(3)根据新定义列出方程,再根据整除的意义求解.【小问1详解】解:C 不是的“和雅式”;理由:,不是的“和雅式”;【小问2详解】由题意得:,,,,解得:,,;12C x =+225644x x D x x ++=++C D C D M =()(1)x b x x --N =()x x a x-M N M N 1a b +29E P x =-3x Q x=-P Q P Q 1x P E x 239E x =+12D C D -= 12x +-2(2)(3)(2)x x x +++=1(3)2x x -++=22x x --+10=-<C ∴D 1M N -=∴()(1)x b x x ---()x x a x-1=()2a b x b ∴-+=20a b b ∴-+==2a =0b =2a b ∴+=【小问3详解】由题意得:,,,为整数,为整数,的值为:或,的值为:,,,,,所以所有符合条件的的值之和为.【点评】本题考查了分式的加减法,理解新定义和掌握分式的运算是解题的关键.1P Q -=∴(3)(3)E x x +--3x x-1=39E x ∴=+ 29E P x =-=33x-x 3x ∴-1±3±x ∴024*******∴+++=x 12。
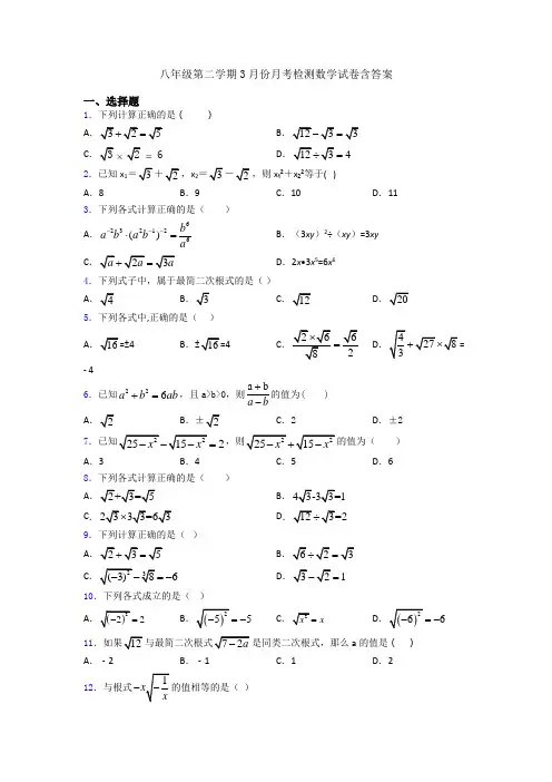
一、选择题1.下列各式成立的是( )A 3=B 3=C .22(3=- D .2-=2.当0x =的值是( )A .4B .2CD .03.下列二次根式是最简二次根式的是( )A BCD 4.下列运算正确的是( )A =B =C .3=D 2= 5.下列式子中,属于最简二次根式的是( )A BCD6.在函数y=3x -中,自变量x 的取值范围是( ) A .x≥-2且x≠3B .x≤2且x≠3C .x≠3D .x≤-27.1在3和4中x 的取值范围是1x ≥-;③3;④5=-58>.其中正确的个数为( ) A .1个B .2个C .3个D .4个8.已知a 满足2018a -a ,则a -2 0182=( ) A .0B .1C .2 018D .2 0199.下列计算正确的是( )A =B =C 6=-D 1=10.下列二次根式中,最简二次根式是( )A B C D二、填空题11.设4 a,小数部分为 b.则1a b- = __________________________.12.使函数212y x x=+有意义的自变量x 的取值范围为_____________13.设四边形ABCD 是边长为1的正方形,以对角线AC 为边作第二个正方形ACEF ,再以对角线AE 为边作第二个正方形AEGH ,如此下去…….⑴记正方形ABCD 的边长为11a =,按上述方法所作的正方形的边长依次为234,,,,n a a a a ,请求出234,,a a a 的值;⑵根据以上规律写出n a 的表达式.14.已知72x =-,a 是x 的整数部分,b 是x 的小数部分,则a-b=_______ 15.下面是一个按某种规律排列的数阵:11第行325 62第行7223 10 11 233第行 13154 1732 19254第行根据数阵排列的规律,第 5 行从左向右数第 3 个数是 ,第 n (n 3≥ 且 n 是整数)行从左向右数第 n 2- 个数是 (用含 n 的代数式表示). 16.已知|a ﹣20072008a -=a ,则a ﹣20072的值是_____. 17.4102541025-+++=_______. 18.20n n 的最小值为___ 19.已知x 51-,y 51+,则x 2+xy +y 2的值为______. 20.2m 1-1343m --mn =________.三、解答题21.观察下列各式子,并回答下面问题. 211-(1)试写出第n 个式子(用含n 的表达式表示),这个式子一定是二次根式吗?为什么? (2)你估计第16个式子的值在哪两个相邻整数之间?试说明理由.【答案】(1,该式子一定是二次根式,理由见解析;(215和16之间.理由见解析. 【分析】(1)依据规律可写出第n 个式子,然后判断被开方数的正负情况,从而可做出判断;(2)将16n =代入,得出第16,再判断即可. 【详解】解:(1 该式子一定是二次根式,因为n 为正整数,2(1)0n n n n -=-≥,所以该式子一定是二次根式(215=16=,∴1516<<.15和16之间. 【点睛】本题考查的知识点是二次根式的定义以及估计无理数的大小,掌握用“逼近法”估算无理数的大小的方法是解此题的关键.22.在学习了二次根式后,小明同学发现有的二次根式可以写成另一个二次根式的平方的形式.比如:2224312111-=-=-+=).善于动脑的小明继续探究:当a b m n 、、、为正整数时,若2a n +=+),则有22(2a m n =+,所以222a m n =+,2b mn =.请模仿小明的方法探索并解决下列问题:(1)当a b m n 、、、为正整数时,若2a n =+),请用含有mn 、的式子分别表示a b 、,得:a = ,b = ;(2)填空:13-( - 2;(3)若2a m +=(),且a m n 、、为正整数,求a 的值.【答案】(1)223a m n =+,2b mn =;(2)213--;(3)14a =或46.【解析】 试题分析: (1)把等式()233a b m n +=+右边展开,参考范例中的方法即可求得本题答案;(2)由(1)中结论可得:2231324a m nb mn ⎧=+=⎨==⎩ ,结合a b m n 、、、都为正整数可得:m=2,n=1,这样就可得到:21343(123)-=-;(3)将()2655a m n +=+右边展开,整理可得:225a m n =+,62mn =结合a m n 、、为正整数,即可先求得m n 、的值,再求a 的值即可.试题解析:(1)∵233a b m n +=+(), ∴223323a b m n mn +=++, ∴2232a m n b mn =+=,;(2)由(1)中结论可得:2231324a m nb mn ⎧=+=⎨==⎩ ,∵a b m n 、、、都为正整数, ∴12m n =⎧⎨=⎩或21m n =⎧⎨=⎩ ,∵当m=1,n=2时,223713a m n =+=≠,而当m=2,n=1时,22313a m n =+=, ∴m=2,n=1, ∴()21343=123--;(3)∵22265(5)525a m n m n mn +=+=++, ∴225a m n =+,62mn = , 又∵a m n 、、为正整数, ∴=1=3m n ,, 或者=3=1m n ,,∴当=1=3m n ,时,46a =;当=3=1m n ,,14a =, 即a 的值为:46或14.23.先化简,再求值:a+212a a -+,其中a =1007. 如图是小亮和小芳的解答过程.(1) 的解法是错误的;(2)错误的原因在于未能正确地运用二次根式的性质: ;(3)先化简,再求值:a =﹣2018.【答案】(1)小亮(2(a <0)(3)2013. 【解析】试题分析:(1,判断出小亮的计算是错误的;(2的应用错误;(3)先根据配方法把被开方数配成完全平方,然后根据正确的性质化简,再代入计算即可. 试题解析:(1)小亮(2(a <0)(3)原式=a+2(3-a )=6-a=6-(-2007)=2013.24.先化简,再求值:(()69x x x x --+,其中1x =.【答案】化简得6x+6,代入得 【分析】根据整式的运算公式进行化简即可求解. 【详解】(()69x x x x +--+=22369x x x --++ =6x+6把1x =代入原式=61)【点睛】此题主要考查实数的运算,解题的关键熟知整式的运算法则.25.已知x y ==求下列各式的值: (1)22x xy y -+;(2).y xx y+ 【答案】(1) 72;(2)8. 【分析】计算出xy=12, (1)把x 2-xy+y 2变形为(x+y )2-3xy ,然后利用整体代入的方法计算;(2)把原式变形为2()2x y xyxy+-,然后利用整体代入的方法计算.【详解】∵x =,y ==32∴xy=12, (1)22x xy y -+ =(x+y )2-3xy,=2132-⨯ =72; (2)y x x y +=2212()22812x y xy xy-⨯+-==.【点睛】本题考查了二次根式的化简求值:二次根式的化简求值,一定要先化简再代入求值.二次根式运算的最后,注意结果要化到最简二次根式,二次根式的乘除运算要与加减运算区分,避免互相干扰.26.先化简,再求值:2443(1)11m m m m m -+÷----,其中2m =.【答案】22mm-+1. 【解析】分析:先根据分式的混合运算顺序和运算法则化简原式,再将m 的值代入计算可得.详解:原式=221m m --()÷(31m -﹣211m m --) =221m m --()÷241m m --=221m m --()•122m m m --+-()() =﹣22m m -+=22m m-+当m ﹣2时,原式===﹣1+=1.点睛:本题主要考查分式的化简求值,解题的关键是掌握分式的混合运算顺序和运算法则.27.计算(1(2)21)-【答案】(1)4;(2)3+ 【分析】(1)先把各根式化为最简二次根式,再去括号,合并同类项即可; (2)利用平方差公式和完全平方公式计算即可. 【详解】解:(1)解:原式=4=+4=-(2)解:原式()22161=---63=-+3=+【点睛】本题考查了二次根式的混合运算,注意先化简,再进一步利用计算公式和计算方法计算.28.计算:(1)()22131)()2---+(2【答案】(1)12;(2) 【分析】(1)按照负整数指数幂、0指数幂、乘方的运算法则计算即可; (2)根据二次根式的加减乘除运算法则计算即可. 【详解】(1)解:原式= 9-1+4=12(2)【点睛】本题考查负整数指数幂、0指数幂、乘方以及二次根式的运算法则,熟练掌握二次根式的化简是关键.【参考答案】***试卷处理标记,请不要删除一、选择题1.A解析:A【分析】根据各个选项中的式子,可以计算出正确的结果,从而可以解答本题.【详解】解:A3=,故A正确;B-不能合并,故B错误;C、22(3=,故C错误;D、=D错误;故选:A.【点睛】本题考查二次根式的混合运算,解答本题的关键是明确二次根式混合运算的计算方法.2.B解析:B【分析】把x=0【详解】解:当x=0时,=2,故选:B.【点睛】本题考查了二次根式的定义和二次根式的性质,能灵活运用二次根式的性质进行计算是解题的关键.3.B解析:B【分析】直接利用最简二次根式的定义分析得出答案.【详解】解:ABC0.1,故此选项错误;D2故选:A.【点睛】此题主要考查了最简二次根式的定义,正确把握定义是解题关键.4.D解析:D【分析】利用二次根式的加减法对A、C进行判断;利用二次根式的性质对B进行判断;利用二次根式的除法法则对D进行判断.【详解】解:A A选项错误;B=B选项错误;C、=C选项错误;=,所以D选项正确.D2故选:D.【点睛】本题考查了二次根式的混合运算:先把二次根式化为最简二次根式,然后进行二次根式的乘除运算,再合并即可.在二次根式的混合运算中,如能结合题目特点,灵活运用二次根式的性质,选择恰当的解题途径,往往能事半功倍.5.B解析:B【分析】根据最简二次根式的定义(①被开方数不含有能开得尽方的因式或因数,②被开方数不含有分母,满足以上两个条件的二次根式叫最简二次根式)逐个判断即可.【详解】解:A=2,不是最简二次根式,故本选项错误;BC=D =,不是最简二次根式,故本选项错误; 故选:B . 【点睛】本题考查了最简二次根式的定义的应用,能熟记最简二次根式的定义是解此题的关键,注意:最简二次根式满足以下两个条件:①被开方数不含有能开得尽方的因式或因数,②被开方数不含有分母.6.A解析:A 【分析】根据二次根式的性质和分式的意义,被开方数大于等于0,分母不等于0,列不等式组求解. 【详解】 解:根据题意,有2030x x +≥⎧⎨-≠⎩, 解得:x ≥-2且x ≠3; 故选:A . 【点睛】当函数表达式是分式时,考虑分式的分母不能为0;当函数表达式是二次根式时,被开方数为非负数.7.A解析:A 【分析】答. 【详解】解:①3104<<,415∴<<,故①错误;x 的取值范围是1x ≥-,故②正确;9=,9的平方根是3±,故③错误;④5=,故④错误;58=,(229<,508-<58<,故⑤错误; 综上所述:正确的有②,共1个,故选:A .【点睛】本题考查了故算无理数的大小,解决本题的关键是掌握估算平方法比较无理数大小.8.D解析:D【解析】【分析】根据二次根式的被开数的非负性,求的a 的范围,然后再化简绝对值,最后,依据二次根式的定义进行变形即可.【详解】 解:等式20182019a a +--=a 成立,则a ≥2019, ∴a-2018+2019a -=a ,∴2019a -=2018,∴a-2019=20182,∴a-20182=2019.故选D .【点睛】本题主要考查的是二次根式有意义的条件,求得a 的取值范围是解题的关键.9.B解析:B【分析】根据二次根式加减运算和二次根式的性质逐项排除即可.【详解】2与3不能合并,所以A 选项错误;6626322÷=⨯==,所以B 选项正确; 23(3)8321--=-=,所以C 选项错误;2与3不能合并,所以D 选项错误;故选答案为B .【点睛】本题考查了二次根式加减运算和二次根式的性质,掌握同类二次根式的定义和二次根式的性质是解答本题的关键.10.A解析:A【解析】试题分析:最简二次根式是指不能继续化简的二次根式,A 、原式=;B 、是最简二次根式,不能化简;C、原式=;D、原式=.考点:最简二次根式二、填空题11.【分析】根据实数的估算求出a,b,再代入即可求解.【详解】∵1<<2,∴-2<-<-1,∴2<<3∴整数部分a=2,小数部分为-2=2-,∴==故填:.【点睛】此题主要考查无理解析:2 12 -【分析】根据实数的估算求出a,b,再代入1ab-即可求解.【详解】∵12<2,∴-2<2<-1,∴2<423∴整数部分a=2,小数部分为422,∴1ab-=222222+=-=21故填:2 12 -.【点睛】此题主要考查无理数的估算,分母有理化等,解题的关键熟知实数的性质. 12.【分析】利用二次根式有意义的条件和分式中分母不为零,即可完成. 【详解】根据题意,①当时,解得:即:①当时,解得:即:故自变量x 的取值范围为【点睛】 解析:11,022x x -≤≤≠ 【分析】利用二次根式有意义的条件和分式中分母不为零,即可完成.【详解】根据题意,220x x +≠解得:0,2x x ≠≠-12||0x -≥①当0x >时,120x -≥ 解得:12x ≤ 即:102x <≤①当0x <时,120x +≥ 解得:21x ≥-即:102x -≤< 故自变量x 的取值范围为11,022x x -≤≤≠ 【点睛】本题考查二次根式以及分式有意义的条件,熟练掌握分类讨论和解不等式组是解题关键. 13.(1)a2=,a3=2,a4=2;(2)an =(n 为正整数).【解析】(1)∵四边形ABCD 是正方形,∴AB =BC =1,∠B =90°.∴在Rt △ABC 中,AC ===.同理:AE =2,EH =2,解析:(1)a 2,a 3=2,a 4=;(2)a n n 为正整数).(1)∵四边形ABCD 是正方形,∴AB =BC =1,∠B =90°.∴在Rt △ABC 中,ACAE =2,EH =,…,即a 2a 3=2,a 4=(2)an n 为正整数).14.【分析】先把x 分母有理化求出x= ,求出a 、b 的值,再代入求出结果即可.【详解】∵∴∴∴【点睛】本题考查了分母有理化和估算无理数的大小的应用,解此题的关键是求a 、b 的值.解析:6【分析】先把x 分母有理化求出2 ,求出a 、b 的值,再代入求出结果即可.【详解】2x === ∵23<<∴425<<∴4,242a b ==-=∴42)6a b -=-=【点睛】本题考查了分母有理化和估算无理数的大小的应用,解此题的关键是求a 、b 的值.15.;.【分析】根据被开方数是连续的自然数写出即可;根据每一行的最后一个数的被开方数是所在的行数乘比行数大1的数写出第(n-1)行的最后一个数,然后被开方数加上(n-2)即可求解.【详解】【分析】根据被开方数是连续的自然数写出即可;根据每一行的最后一个数的被开方数是所在的行数乘比行数大1的数写出第(n-1)行的最后一个数,然后被开方数加上(n-2)即可求解.【详解】观察表格中的数据可得,第5行从左向右数第3=∵第(n-1,∴第n(n≥3且n是整数)行从左向右数第n-2个数是..【点睛】本题是对数字变化规律的考查,观察出被开方数是连续自然数并且每一行的最后一个数的被开方数是所在的行数乘比行数大1的数是解题的关键.16.2008【解析】分析:本题首先能够根据二次根式的被开方数为非负数的条件,得到a的取值范围;再根据a的取值范围,化简去掉绝对值;最后进行整理变形.详解:∵|a﹣2007|+=a,∴a≥2008,解析:2008【解析】分析:本题首先能够根据二次根式的被开方数为非负数的条件,得到a的取值范围;再根据a的取值范围,化简去掉绝对值;最后进行整理变形.详解:∵|a﹣2007=a,∴a≥2008,∴a﹣2007=a,=2007,两边同平方,得:a﹣2008=20072,∴a﹣20072=2008.故答案为:2008.点睛:解决此题的关键是能够得到a的取值范围,从而化简绝对值并变形.17.【分析】设,将等式的两边平方,然后根据完全平方公式和二次根式的性质化简即可得出结论.【详解】解:设,由算术平方根的非负性可得t≥0,则.故答案为:.【点睛】此题考查的是二【分析】t=,将等式的两边平方,然后根据完全平方公式和二次根式的性质化简即可得出结论.【详解】t=,由算术平方根的非负性可得t≥0,则244t=+=+8=+8=+81)=+62=1)t∴=.1.【点睛】此题考查的是二次根式的化简,掌握完全平方公式和二次根式的性质是解题关键.18.5【分析】因为是整数,且,则5n是完全平方数,满足条件的最小正整数n为5.【详解】∵,且是整数,∴是整数,即5n是完全平方数;∴n的最小正整数值为5.故答案为5.【点睛】主要考查了解析:5【分析】,则5n 是完全平方数,满足条件的最小正整数n 为5.【详解】∴是整数,即5n 是完全平方数;∴n 的最小正整数值为5.故答案为5.【点睛】主要考查了二次根式的定义,关键是根据乘除法法则和二次根式有意义的条件.二次根式有意义的条件是被开方数是非负数进行解答.19.4【详解】根据完全平方公式可得:原式=-xy==5-1=4.解析:4【详解】根据完全平方公式可得:原式=2()x y -xy=251515151)222=5-1=4. 20.21【分析】根据二次根式及同类二次根式的定义列出方程组即可求出答案.【详解】∵最简二次根式与是同类二次根式,∴ ,解得,,∴故答案为21.解析:21【分析】根据二次根式及同类二次根式的定义列出方程组即可求出答案.【详解】∴1221343nm m-=⎧⎨-=-⎩,解得,73mn=⎧⎨=⎩,∴7321. mn=⨯=故答案为21.三、解答题21.无22.无23.无24.无25.无26.无27.无28.无。
八年级第二学期3月份 月考检测数学试卷含答案一、选择题1.如果0,0a b <<,且6a b -= )A .6B .6-C .6或6-D .无法确定2.下列根式是最简二次根式的是( )A B C D .3.下列计算正确的是( )A=B CD =4.下列运算正确的是 ( )A .3=B =C .=D =5.m 能取的最小整数值是( ) A .m = 0B .m = 1C .m = 2D .m = 3 6.下列各式中,正确的是( )A .B .a 3 • a 2=a 6C .(b+2a) (2a -b) =b 2 -4a 2D .5m + 2m = 7m 27.设,n k 为正整数,1A =2A =3A =4A =…k A =….,已知1002005A =,则n =( ). A .1806B .2005C .3612D .40118.m 的值为( )A .7B .11C .2D .19.下列运算中正确的是( )A .= B===C 3===D 1== 10.下列运算正确的是( )A =B 2=C =D 9=11.下列根式中是最简二次根式的是( )A B C D 12.古希腊几何学家海伦和我国宋代数学家秦九韶都曾提出利用三角形的三边求面积的公式,称为海伦﹣秦九韶公式:如果一个三角形的三边长分别是a ,b ,c ,记2a b c p ++=,那么三角形的面积为()()()S p p a p b p c =---如图,在ABC ∆中,A ∠,B ,C ∠所对的边分别记为a ,b ,c ,若5a =,6b =,7c =,则ABC ∆的面积为( )A .66B .3C .18D .192二、填空题13.实数a 、b 22a -4a 436-12a a 10-b 4-b-2++=+,则22a b +的最大值为_________.14.当x 3x 2﹣4x +2017=________.15.已知a ,b 是正整数,若有序数对(a ,b )使得11)a b的值也是整数,则称(a ,b )是11)a b 的一个“理想数对”,如(1,4)使得112(a b=3,所以(1,4)是11)a b 的一个“理想数对”.请写出11)a b 其他所有的“理想数对”: __________.16.11122323-=11113-23438⎛⎫= ⎪⎝⎭11114-345415⎛⎫= ⎪⎝⎭据上述各等式反映的规律,请写出第5个等式:___________________________.17.已知x ,y 为实数,y 22991x x -+-+求5x +6y 的值________. 18.36,3,2315,,则第100个数是_______.19.如果332y x x --,那么y x =_______________________.20.4x -x 的取值范围是_____三、解答题21.3535+-解:设x 3535+-222(35)(35)2(35)(35)x =++-++-235354x =+,x 2=10∴x =10.0.【分析】根据题意给出的解法即可求出答案即可.【详解】设x两边平方得:x 2=2+2+即x 2=4+4+6,x 2=14∴x =.0,∴x .【点睛】本题考查了二次根式的运算,解题的关键是正确理解题意给出的解法,本题属于中等题型.22.先化简,再求值:a ,其中【答案】2a-1,【分析】先根据二次根式的性质进行化简,再代入求值即可.【详解】解:1a =-∴原式=1a a --=21a -当1a =-∴原式=(211-=1-【点睛】此题主要考查化简求值,正确理解二次根式的性质是解题关键.23.观察下列一组等式,然后解答后面的问题1)1=,1=,=,1=⋯⋯1(1)观察以上规律,请写出第n个等式:(n为正整数).(2(3【答案】(1)1=;(2)9;(3【分析】(1)根据规律直接写出,(2)先找出规律,分母有理化,再化简计算.(3)先对两个式子变形,分子有理化,变为分子为1,再比大小.【详解】解:(1)根据题意得:第n个等式为1=;故答案为1=;(2)原式111019==-=;-==,(3<∴>.【点睛】本题是一道利用规律进行求解的题目,解题的关键是掌握平方差公式.24.观察下列各式.====……根据上述规律回答下列问题.(1)接着完成第⑤个等式: _____;n n≥的式子写出你发现的规律;(2)请用含(1)(3)证明(2)中的结论.=+3)见解析【答案】(1=2(n【分析】(1)当n=5==+(2(n(3)直接根据二次根式的化简即可证明.【详解】解:(1==+(2(n(3=(n==+【点睛】此题主要考查探索数与式的规律,熟练发现规律是解题关键.25.计算(1-(2)(()21【答案】(1);(2)24+【分析】(1)先将各二次根式化为最简二次根式,再进行合并即可得到答案;(2)原式运用平方差公式和完全平方公式把括号展开后,再合并同类二次根式即可得到答案.【详解】解:(1=+2=(-+2=2-(2)(()21---=22(181)=452181--+=24+.【点睛】此题主要考查了二次根式的混合运算,熟练掌握运算法则和运算顺序是解答此题的关键.26.一样的式子,其实我====,1===;以上这种化简的步骤叫做分母有理化还可以用以下方法化简:221111===-=(12)化简:2n+++【答案】(1-2.【解析】试题分析:(12看出5-3,根据平方差公式分解因式,最后进进约分即可.(2)先每一个二次根式分母有理化,再分母不变,分子相加,最后合并即可.试题解析:(1)=====(2)原式=122n++++=12.考点:分母有理化.27.(1)计算)(2201113-⎛⎫--•-⎪⎝⎭(2)已知,,a bc为实数且2c=2c ab-的值【答案】(1)13;(2)12-【分析】(1)利用完全平方公式、负整数指数幂、零指数幂分别计算再合并即可;(2)先依据二次根式有意义的条件,求得a 、b 、c 的值,然后再代入计算即可.【详解】(1))(2201113-⎛⎫--•- ⎪⎝⎭31=+⨯=4+9=13;(2)根据二次根式有意义的条件可得:∵()2303010a a b ⎧-≥⎪⎪-≥⎨⎪-+≥⎪⎩,∴3a =,1b =-,∴2c =∴(()2223112c ab -=-⨯-=-【点睛】本题主要考查了二次根式的混合运算,二次根式有意义的条件以及二次根式的化简求值,熟练掌握二次根式有意义的条件是解题的关键.28.计算下列各题:(1(2)2-.【答案】(1)2)2--【分析】(1)根据二次根式的运算顺序和运算法则计算即可;(2)利用平方差、完全平方公式进行计算.【详解】解:(1)原式==;(2)原式22(5=--+525=---2=--【点睛】本题考查二次根式的加减乘除混合运算,熟练掌握运算法则和乘法公式是关键.29.计算:(1)13⎛+-⨯ ⎝⎭(2))()2221+.【答案】(1)6-;(2)12-【分析】(1)原式化简后,利用二次根式乘法法则计算即可求出值;(2)原式利用平方差公式,以及完全平方公式计算即可求出值.【详解】解:(1)原式=1(233⨯⨯-⨯=-⨯=3⎫⨯⎪⎪⎭=6-;(2)原式=3﹣4+12﹣=12﹣.【点睛】此题考查了二次根式的混合运算,以及平方差公式、完全平方公式,熟练掌握运算法则及公式是解本题的关键.30.02020((1)π-.【答案】【分析】本题根据零次幂,最简二次根式,整数次幂的运算规则求解即可.【详解】原式11=-=【点睛】本题考查幂的运算与二次根式的综合,需牢记非零常数的零次幂为1,二次根式运算时需化为最简二次根式,其次注意计算仔细.【参考答案】***试卷处理标记,请不要删除一、选择题1.B解析:B【解析】=-a-(-b)=b-a=-6.故选B2.B解析:B【分析】可以根据最简二次根式的定义进行判断.【详解】A,原根式不是最简二次根式;B=,原根式不是最简二次根式;C2==D、=4故选B.【点睛】本题考查最简二次根式的定义,熟练掌握最简二次根式的定义及二次根式的化简方法是解题关键.3.D解析:D【分析】直接利用二次根式的混合运算法则分别判断得出答案.【详解】解:AB2=,故此选项不合题意;C,故此选项不合题意;D=故选:D.【点睛】本题考查二次根式的混合运算,正确掌握相关运算法则是解题关键.4.A解析:A【分析】根据各个选项中的式子,可以计算出正确的结果,从而可以解答本题.【详解】A、3=,故选项A正确;B B错误;C、18=,故选项C错误;D=D错误;故选:A.【点睛】本题考查了二次根式的混合运算,解答本题的关键是明确二次根式混合运算的计算方法.5.B解析:B【分析】根据被开方数大于等于0列式计算即可得解.【详解】310m-≥,解得13m≥,所以,m能取的最小整数值是1.故选:B.【点睛】本题考查了二次根式的意义和性质,性质:二次根式中的被开方数必须是非负数,否则二次根式无意义.6.A解析:A【分析】比较两个二次根式的大小可判别A,根据同底数幂的乘法、平方差公式、合并同类项的运算法则分别计算可判断B、C、D的正误.【详解】A、=,=∵1812>,∴>,故该选项正确;B、3a•25a a=,故该选项错误;C、()()22224b a a b a b+-=-,故该选项错误;D、527m m m+=,故该选项错误;故选:A.【点睛】本题考查了二次根式大小的比较,同底数幂的乘法、平方差公式、合并同类项的运算,熟练掌握相关运算法则是解题的关键.7.A解析:A【解析】【分析】利用多项式的乘法把各数开方进行计算,然后求出A 1,A 2,A 3的值,从而找出规律并写出规律表达式,再把k=100代入进行计算即可求解.【详解】∵(n+3)(n-1)+4=n 2+2n-3+4=n 2+2n+1=(n+1)2,∴A 11n =+∵(n+5)A 1+4=(n+5)(n+1)+4=n 2+6n+5+4=n 2+6n+9=(n+3)2,∴A 23n =+∵(n+7)A 2+4=(n+7)(n+3)+4=n 2+10n+21+4=n 2+10n+25=(n+5)2,∴A 35n =+⋯⋯依此类推,A k =n+(2k-1)∴A 100=n+(2×100-1)=2005解得,n=1806.故选A.【点睛】本题是对数字变化规律的考查,对被开方数整理,求出A 1,A 2,A 3,从而找出规律写出规律的表达式是解题的关键.8.C解析:C【分析】几个二次根式化为最简二次根式后,如果被开方数相同,则这几个二次根式即为同类二次根式.【详解】解=m=7时==,故A 错误;当m=11时==B 错误;当m=1时=故D 错误;当m=2时=故C 正确; 故选择C.【点睛】本题考查了同类二次根式的定义.9.B解析:B【分析】根据二次根式的乘除法则求出每个式子的值,再判断即可.【详解】解: A. 67=⨯==42,故本选项不符合题意;===,故本选项,符合题意;===3,故本选项不符合题意;D. ==3,故本选项不符合题意;故选B .【点睛】本题考查二次根式的性质和二次根式的乘除法则,能灵活运用二次根式的乘除法则进行计算是解题关键.10.C解析:C【分析】根据二次根式的减法法则对A 进行判断;根据二次根式的加法法则对B 进行判断;根据二次根式的乘法则对C 进行判断;根据二次根式的除法法则对D 进行判断.【详解】解:A =,所以A 选项错误;B =B 选项错误;C =C 选项正确;D 3=,所以D 选项错误.故选:C .【点睛】本题考查了二次根式的混合运算:先把二次根式化为最简二次根式,然后进行二次根式的乘除运算,再合并即可.11.B解析:B【分析】根据最简二次根式的条件:①根号下不含能开得尽方的因数或因式;②根号下不含分母,据此逐项判断即可.【详解】解:A 、被开方数含分母,故A 不符合题意;B 、被开方数不含分母;被开方数不含能开得尽方的因数或因式.,故B 符合题意;C 被开方数含能开得尽方的因数或因式,故C 不符合题意;D 、被开方数含能开得尽方的因数或因式,故D 不符合题意;故选:B .【点睛】本题考查了最简二次根式,解题的关键是掌握最简二次根式的两个条件.12.A解析:A【分析】利用阅读材料,先计算出p 的值,然后根据海伦公式计算ABC ∆的面积;【详解】7a =,5b =,6c =. ∴56792p ++==,∴ABC ∆的面积S ==故选A .【点睛】考查了二次根式的应用,解题的关键是代入后正确的运算,难度不大.二、填空题13.【分析】首先化简,可得|a-2|+|a-6|+|b+4|+|b-2|=10,然后根据|a-2|+|a-6|≥4,|b+4|+|b-2|≥6,判断出a ,b 的取值范围,即可求出的最大值. 【详解】解析:【分析】10-b 4-b-2=+,可得|a-2|+|a-6|+|b+4|+|b-2|=10,然后根据|a-2|+|a-6|≥4,|b+4|+|b-2|≥6,判断出a ,b 的取值范围,即可求出22a b +的最大值.【详解】10-b 4-b-2=+,1042b b =-+--,∴261042a a b b -+-=-+--,∴264210a a b b -+-+++-=,∵264a a -+-≥,426b b ++-≥,∴ 264a a -+-=,42=6b b ++-,∴2≤a≤6,-4≤b≤2,∴22a b +的最大值为()226452+-=,故答案为52.【点睛】本题考查了二次根式的性质与化简,绝对值的意义,算术平方根的性质.解题的关键是要明确化简二次根式的步骤:①把被开方数分解因式;②利用算术平方根的性质,把被开方数中能开得尽方的因数(或因式)都开出来;③化简后的二次根式中的被开方数中每一个因数(或因式)的指数都小于根指数2. 14.2016【解析】把所求的式子化成(x ﹣2)2+2013然后代入式子计算,即可得到:x2﹣4x+2017=(x ﹣2)2+2013 =()2+2013=3+2013=2016.故答案是:2016.解析:2016【解析】把所求的式子化成(x ﹣2)2+2013然后代入式子计算,即可得到:x 2﹣4x+2017=(x ﹣2)2+2013 =2+2013=3+2013=2016.故答案是:2016.点睛:此题主要考查了配方法的应用,解题关键是把式子配成完全平方,然后整体代入即可求解,考查了学生对整体思想的认识和应用,学生对整体思想不熟时出错的主要原因.15.(1,1)、(4,1)、(4,4)、(9,36)、(16,16)、(36,9)【解析】试题解析:当a=1,=1,要使为整数,=1或时,分别为4和3,得出(1,4)和(1,1)是的“理想数对”,解析:(1,1)、(4,1)、(4,4)、(9,36)、(16,16)、(36,9)【解析】试题解析:当a =1,要使或12时,分别为4和3,得出(1,4)和(1,1)是的“理想数对”,当a =412,要使+或12时,分别为3和2,得出(4,1)和(4,4)是的“理想数对”,当a =913,要使16时,=1,得出(9,36)是的“理想数对”,当a =1614,要使14时,=1,得出(16,16)是的“理想数对”,当a =3616,要使13时,=1,得出(36,9)是的“理想数对”, 即其他所有的“理想数对”:(1,1)、(4,1)、(4,4)、(9,36)、(16,16)、(36,9).故答案为:(1,1)、(4,1)、(4,4)、(9,36)、(16,16)、(36,9). 16.【解析】上述各式反映的规律是(n ⩾1的整数),得到第5个等式为: (n ⩾1的整数).故答案是: (n ⩾1的整数).点睛:这是一道等式规律探寻题,此类题的一般推倒方法为:第一步.标序号;=【解析】上述各式反映的规律是=n ⩾1的整数),得到第5==n ⩾1的整数).=n ⩾1的整数). 点睛:这是一道等式规律探寻题,此类题的一般推倒方法为:第一步.标序号;第二步,找规律,分别比较等式中各部分与序号之间的关系,把其蕴含的规律用含序数的代数式表示出来;第三步,根据找出的规律得出第n 个等式.17.-16【解析】试题分析:根据分式的有意义和二次根式有意义的条件,可知x2-9=0,且x-3≠0,解得x=-3,然后可代入得y=-,因此可得5x+6y=5×(-3)+6×(-)=-15-1=-16 解析:-16【解析】试题分析:根据分式的有意义和二次根式有意义的条件,可知x2-9=0,且x-3≠0,解得x=-3,然后可代入得y=-16,因此可得5x+6y=5×(-3)+6×(-16)=-15-1=-16.故答案为:-16.点睛:此题主要考查了分式的有意义和二次根式有意义,解题关键是利用二次根式的被开方数为非负数和分式的分母不为0,可列式求解.18.【分析】原来的一列数即为,,,,,,于是可得第n个数是,进而可得答案.【详解】解:原来的一列数即为:,,,,,,∴第100个数是.故答案为:.【点睛】本题考查了数的规律探求,属于常考解析:【分析】,,于是可得第n进而可得答案.【详解】,∴第100 .故答案为:【点睛】本题考查了数的规律探求,属于常考题型,熟练掌握二次根式的性质、找到规律是解题的关键.19.【分析】根据二次根式的有意义的条件可求出x,进而可得y的值,然后把x、y的值代入所求式子计算即可.【详解】解:∵x-3≥0,3-x≥0,∴x=3,∴y=﹣2,故答案为:.【点睛】 解析:19【分析】根据二次根式的有意义的条件可求出x ,进而可得y 的值,然后把x 、y 的值代入所求式子计算即可.【详解】解:∵x -3≥0,3-x ≥0,∴x =3,∴y =﹣2, ∴2139y x -==. 故答案为:19. 【点睛】本题考查了二次根式有意义的条件和负整数指数幂的运算,属于常考题型,熟练掌握基本知识是解题的关键.20.x≥4【解析】试题分析:根据算术平方根的意义,可知其被开方数为非负数,因此可得x-4≥0,解得x≥4.故答案为x≥4.点睛:此题主要考查了平方根的意义,解题时要注意被开方数为非负数的条件,然解析:x≥4【解析】试题分析:根据算术平方根的意义,可知其被开方数为非负数,因此可得x-4≥0,解得x≥4. 故答案为x≥4.点睛:此题主要考查了平方根的意义,解题时要注意被开方数为非负数的条件,然后列不等式求解即可,是一个中考常考的简单题.三、解答题21.无22.无24.无25.无26.无27.无28.无29.无30.无。
一、选择题1.在ABC 中,AB 边上的中线3,6,8CD AB BC AC ==+=,则ABC 的面积为( ) A .6B .7C .8D .92.如图,点A 的坐标是(2)2,,若点P 在x 轴上,且APO △是等腰三角形,则点P 的坐标不可能是( )A .(2,0)B .(4,0)C .(-22,0)D .(3,0) 3.如图所示,在中,,,.分别以,,为直径作半圆(以为直径的半圆恰好经过点,则图中阴影部分的面积是( )A .4B .5C .7D .64.将6个边长是1的正方形无缝隙铺成一个矩形,则这个矩形的对角线长等于( )A .37B .13C .37或者13D .37或者1375.在平面直角坐标系中,已知平行四边形ABCD 的点A (0,﹣2)、点B (3m ,4m +1)(m ≠﹣1),点C (6,2),则对角线BD 的最小值是( ) A .32B .213C .5D .66.若直角三角形的三边长分别为-a b 、a 、+a b ,且a 、b 都是正整数,则三角形其中一边的长可能为() A .22B .32C .62D .827.如图,△ABC 中,AB=10,BC=12,AC=213,则△ABC 的面积是( ).A.36 B.1013C.60 D.12138.如图,是我国古代著名的“赵爽弦图”的示意图,此图是由四个全等的直角三角形拼接而成,其中AE=10,BE=24,则EF的长是()A.14 B.13 C.143D.1429.以下列各组数为边长,能组成直角三角形的是()A.1,2,3 B.2,3,4 C.3,4,6 D.1,3,2 10.如图,点A和点B在数轴上对应的数分别是4和2,分别以点A和点B为圆心,线段AB的长度为半径画弧,在数轴的上方交于点C.再以原点O为圆心,OC为半径画弧,与数轴的正半轴交于点M,则点M对应的数为()36A.3.5 B.23C.13D.二、填空题∠+∠=__________°(点A,B,C是11.如图所示的网格是正方形网格,则ABC ACB网格线交点).12.如图,在平面直角坐标系中,等腰直角三角形OA1A2的直角边OA1在y轴的正半轴上,且OA1=A1A2=1,以OA2为直角边作第二个等腰直角三角形OA2A3,以OA3为直角边作第三个等腰直角三角形OA3A4,…,依此规律,得到等腰直角三角形OA2018A2019,则点A2019的坐标为________.13.将一副三角板按如图所示摆放成四边形ABCD ,发现只要知道其中一边的长就可以求出其它各边的长,若已知AD =32,则AB 的长为__________.14.在Rt ABC 中,90,30,2C A BC ∠=∠==,以ABC 的边AC 为一边的等腰三角形,它的第三个顶点在ABC 的斜边AB 上,则这个等腰三角形的腰长为_________. 15.如图,在锐角ABC ∆中,2AB =,60BAC ∠=,BAC ∠的平分线交BC 于点D ,M ,N 分别是AD 和AB 上的动点,则BM MN +的最小值是______.16.如图,在矩形ABCD 中,AD >AB ,将矩形ABCD 折叠,使点C 与点A 重合,折痕为MN ,连接CN .若△CDN 的面积与△CMN 的面积比为1:3,则22MN BM的值为______________.17.如图,在△ABC 中,AB =AC =10,BC =12,BD 是高,则点BD 的长为_____.18.在ABC 中,12AB AC ==,30A ∠=︒,点E 是AB 中点,点D 在AC 上,32DE =ADE 沿着DE 翻折,点A 的对应点是点F ,直线EF 与AC 交于点G ,那么DGF △的面积=__________.19.如图,在Rt ABC ∆中,90ACB ∠=,2AC BC ==,D 为BC 边上一动点,作如图所示的AED ∆使得AE AD =,且45EAD ∠=,连接EC ,则EC 的最小值为__________.20.如图的实线部分是由Rt ABC ∆经过两次折叠得到的.首先将Rt ABC ∆沿高CH 折叠,使点B 落在斜边上的点B '处,再沿CM 折叠,使点A 落在CB '的延长线上的点A '处.若图中90ACB ∠=︒,15cm BC =,20cm AC =,则MB '的长为______.三、解答题21.如图,△ABC 和EDC ∆都是等边三角形,7,3,2AD BD CD ===求:(1)AE长;(2)∠BDC 的度数:(3)AC 的长.22.(1)计算:1312248233⎛÷ ⎝ (2)已知a 、b 、c 满足2|2332(30)0a b c -+-=.判断以a 、b 、c 为边能否构成三角形?若能构成三角形,说明此三角形是什么形状?并求出三角形的面积;若不能,请说明理由.23.如图,在矩形ABCD 中,AB=8,BC=10,E 为CD 边上一点,将△ADE 沿AE 折叠,使点D 落在BC 边上的点F 处. (1)求BF 的长; (2)求CE 的长.24.已知a ,b ,c 满足88a a -+-=|c ﹣17|+b 2﹣30b +225,(1)求a ,b ,c 的值;(2)试问以a ,b ,c 为边能否构成三角形?若能构成三角形,求出三角形的周长和面积;若不能构成三角形,请说明理由.25.如图,△ABC 中,∠ACB =90°,AB =5cm ,BC =3cm ,若点P 从点A 出发,以每秒2cm 的速度沿折线A ﹣C ﹣B ﹣A 运动,设运动时间为t 秒(t >0). (1)若点P 在AC 上,且满足PA =PB 时,求出此时t 的值; (2)若点P 恰好在∠BAC 的角平分线上,求t 的值;(3)在运动过程中,直接写出当t 为何值时,△BCP 为等腰三角形.26.已知ABC ∆中,如果过项点B 的一条直线把这个三角形分割成两个三角形,其中一个为等腰三角形,另一个为直角三角形,则称这条直线为ABC ∆的关于点B 的二分割线.例如:如图1,Rt ABC ∆中,90A ︒∠=,20C ︒∠=,若过顶点B 的一条直线BD 交AC 于点D ,若20DBC ︒∠=,显然直线BD 是ABC ∆的关于点B 的二分割线.(1)在图2的ABC ∆中,20C ︒∠=,110ABC ︒∠=.请在图2中画出ABC ∆关于点B 的二分割线,且DBC ∠角度是 ;(2)已知20C ︒∠=,在图3中画出不同于图1,图2的ABC ∆,所画ABC ∆同时满足:①C ∠为最小角;②存在关于点B 的二分割线.BAC ∠的度数是 ;(3)已知C α∠=,ABC ∆同时满足:①C ∠为最小角;②存在关于点B 的二分割线.请求出BAC ∠的度数(用α表示).27.我们规定,三角形任意两边的“广益值”等于第三边上的中线和这边一半的平方差.如图1,在ABC ∆中,AO 是BC 边上的中线,AB 与AC 的“广益值”就等于22AO BO -的值,可记为22AB AC OA BO ∇=-(1)在ABC ∆中,若90ACB ∠=︒,81AB AC ∇=,求AC 的值.(2)如图2,在ABC ∆中,12AB AC ==,120BAC ∠=︒,求AB AC ∇,BA BC ∇的值.(3)如图3,在ABC ∆中,AO 是BC 边上的中线,24ABC S ∆=,8AC =,64AB AC ∇=-,求BC 和AB 的长.28.如图,在△ABC 中,∠C =90°,把△ABC 沿直线DE 折叠,使△ADE 与△BDE 重合.(1)若∠A =35°,则∠CBD 的度数为________; (2)若AC =8,BC =6,求AD 的长;(3)当AB =m(m>0),△ABC 的面积为m +1时,求△BCD 的周长.(用含m 的代数式表示) 29.如图,△ABC 中,90BAC ∠=︒,AB=AC ,P 是线段BC 上一点,且045BAP ︒<∠<︒.作点B 关于直线AP 的对称点D, 连结BD ,CD ,AD . (1)补全图形.(2)设∠BAP 的大小为α.求∠ADC 的大小(用含α的代数式表示).(3)延长CD 与AP 交于点E,直接用等式表示线段BD 与DE 之间的数量关系.30.如图,在平面直角坐标系中,点O 是坐标原点,ABC ∆,ADE ∆,AFO ∆均为等边三角形,A 在y 轴正半轴上,点0()6,B -,点(6,0)C ,点D 在ABC ∆内部,点E 在ABC ∆的外部,32=AD ,30DOE ∠=︒,OF 与AB 交于点G ,连接DF ,DG ,DO ,OE .(1)求点A 的坐标;(2)判断DF 与OE 的数量关系,并说明理由; (3)直接写出ADG ∆的周长.【参考答案】***试卷处理标记,请不要删除一、选择题 1.B 解析:B 【分析】本题考查三角形的中线定义,根据条件先确定ABC 为直角三角形,再根据勾股定理求得228AC BC = ,最后根据12ABC AC BC ∆=⋅求解即可. 【详解】解:如图,在ABC 中,AB 边上的中线, ∵CD=3,AB= 6, ∴CD=3,AB= 6, ∴CD= AD= DB ,12∠∠∴=,34∠=∠ , ∵1234180∠+∠+∠+∠=︒,∴1390∠+∠=︒, ∴ABC 是直角三角形,∴22236AC BC AB +==, 又∵8AC BC +=,∴22264AC AC BC BC +⋅+=,∴22264()643628AC BC AC BC ⋅=-+=-=, 又∵12ABC AC BC ∆=⋅, ∴128722ABC S ∆=⨯=, 故选B.【点睛】本题考查三角形中位线的应用,熟练运用三角形的中线定义以及综合分析、解答问题的能力,关键要懂得:在一个三角形中,如果获知一条边上的中线等于这一边的一半,那么就可考虑它是一个直角三角形,通过等腰三角形的性质和内角和定理来证明一个三是直角三角形.2.D解析:D 【详解】解:(1)当点P 在x 轴正半轴上, ①以OA 为腰时,∵A 的坐标是(2,2), ∴∠AOP=45°,OA=22,∴P 的坐标是(4,0)或(22,0); ②以OA 为底边时,∵点A的坐标是(2,2),∴当点P的坐标为:(2,0)时,OP=AP;(2)当点P在x轴负半轴上,③以OA为腰时,∵A的坐标是(2,2),∴OA= 22,∴OA=AP=22∴P的坐标是(-22,0).故选D.3.D解析:D【解析】【分析】先利用勾股定理计算BC的长度,然后阴影部分的面积=以AB为直径的半圆面积+以BC为直径的半圆面积+-以AC为直径的半圆面积.【详解】解:在中∵,,∴,∴BC=3,∴阴影部分的面积=以AB为直径的半圆面积+以BC为直径的半圆面积+-以AC为直径的半圆面积=6.故选D.【点睛】本题考查扇形面积的计算和勾股定理.在本题中解题关键是用重叠法去表示阴影部分的面积. 4.C解析:C【分析】如图1或图2所示,分类讨论,利用勾股定理可得结论.【详解】当如图1所示时,AB=2,BC=3,∴AC=2223=13+;当如图2所示时,AB=1,BC=6,∴AC=221+6=37;故选C.【点睛】本题主要考查图形的拼接,数形结合,分类讨论是解答此题的关键.5.D解析:D【分析】先根据B(3m,4m+1),可知B在直线y=43x+1上,所以当BD⊥直线y=43x+1时,BD最小,找一等量关系列关于m的方程,作辅助线:过B作BH⊥x轴于H,则BH=4m+1,利用三角形相似得BH2=EH•FH,列等式求m的值,得BD的长即可.【详解】解:如图,∵点B(3m,4m+1),∴令341m xm y=⎧⎨+=⎩,∴y=43x+1,∴B 在直线y=43x+1上, ∴当BD ⊥直线y=43x+1时,BD 最小, 过B 作BH ⊥x 轴于H ,则BH=4m+1, ∵BE 在直线y=43x+1上,且点E 在x 轴上, ∴E(−34,0),G(0,1) ∵F 是AC 的中点∵A(0,−2),点C(6,2),∴F(3,0)在Rt △BEF 中,∵BH 2=EH ⋅FH ,∴(4m+1)2=(3m+34)(3−3m) 解得:m 1=−14(舍),m 2=15, ∴B(35,95),∴=6, 则对角线BD 的最小值是6;故选:D .【点睛】本题考查了平行四边形的性质,利用待定系数法求一次函数的解析式,三角形相似的判定,圆形与坐标特点,勾股定理等知识点.本题利用点B 的坐标确定其所在的直线的解析式是关键. 6.B解析:B【解析】由题可知(a-b )2+a 2=(a+b )2,解得a=4b ,所以直角三角形三边分别为3b ,4b ,5b ,当b=8时,4b=32,故选B .7.A解析:A【分析】作AD BC ⊥于点D ,设BD x =,得222AB BD AD -=,222AC CD AD -=,结合题意,经解方程计算得BD ,再通过勾股定理计算得AD ,即可完成求解.如图,作AD BC ⊥于点D设BD x =,则12CD BC x x =-=-∴222AB BD AD -=,222AC CD AD -=∴2222AB BD AC CD -=-∵AB=10,AC=213∴(()22221021312x x -=-- ∴8x = ∴22221086AD AB BD =-=-=∴△ABC 的面积111263622BC AD =⨯=⨯⨯= 故选:A .【点睛】本题考察了直角三角形、勾股定理、一元一次方程的知识,解题的关键是熟练掌握勾股定理的性质,从而完成求解.8.D解析:D【分析】24和10为两条直角边长时,求出小正方形的边长14,即可利用勾股定理得出EF 的长.【详解】解:∵AE=10,BE=24,即24和10为两条直角边长时,小正方形的边长=24-10=14,∴221414142+=故选D .【点睛】本题考查了勾股定理、正方形的性质;熟练掌握勾股定理是解决问题的关键.9.D解析:D【分析】根据勾股定理的逆定理,只要两边的平方和等于第三边的平方即可构成直角三角形.解:A 、12+22=5≠32,故不符合题意;B 、22+32=13≠42,故不符合题意;C 、32+42=25≠62,故不符合题意;D 、12+()23=4=22,符合题意. 故选D.【点睛】本题主要考查了勾股定理的逆定理,已知三条线段的长,判断是否能构成直角三角形的三边,简便的方法是:判断两个较小的数的平方和是否等于最大数的平方即可.10.B解析:B【分析】如图,作CD ⊥AB 于点D ,由题意可得△ABC 是等边三角形,从而可得BD 、OD 的长,然后根据勾股定理即可求出CD 与OC 的长,进而可得OM 的长,于是可得答案.【详解】解:∵点A 和点B 在数轴上对应的数分别是4和2,∴OB=2,OA=4,如图,作CD ⊥AB 于点D ,则由题意得:CA=CB=AB=2,∴△ABC 是等边三角形,∴BD=AD=112AB =, ∴OD=OB+BD=3,223CD BC BD =-=,∴()22223323OC OD CD =+=+=,∴OM=OC=23,∴点M 对应的数为23.故选:B .【点睛】本题考查了实数与数轴、等边三角形的判定与性质以及勾股定理等知识,属于常见题型,正确理解题意、熟练掌握上述知识是解题的关键.二、填空题11.45如下图,延长BA至网络中的点D处,连接CD. ABC ACB DAC∠+∠=∠,只需证△ADC是等腰直角三角形即可【详解】如下图,延长BA至网络中的点D处,连接CD设正方形网络每一小格的长度为1则根据网络,555BC=5,∴5其中BD、DC、BC边长满足勾股定理逆定理∴∠CDA=90°∵AD=DC∴△ADC是等腰直角三角形∴∠DAC=45°故答案为:45°【点睛】本题是在网格中考察勾股定理的逆定理,解题关键是延长BA,构造处△ABC的外角∠CAD 12.(21009,0).【分析】根据等腰直角三角形的性质得到OA1=1,OA2=12,OA3=22,OA4=32,…OA2019=20182,再利用1A、2A、3A…,每8个一循环,再回到y轴的正半轴的特点可得到点A2019在x轴的正半轴上,即可确定点A2019的坐标.【详解】∵等腰直角三角形OA1A2的直角边OA1在y轴的正半轴上,且OA1=A1A2=1,以OA2为直角边作第二个等腰直角三角形OA2A3,以OA3为直角边作第三个等腰直角三角形OA3A4,…,∴OA1=1,OA22,OA3=2)2,…,OA2019=2)2018,∵A1、A2、A3、…,每8个一循环,再回到y轴的正半轴,∴2019÷8=252…3,∴点A2019在x轴正半轴上.∵OA2019=2)2018,∴点A 2019的坐标为(2018,0)即(21009,0).故答案为:(21009,0).【点睛】本题考查了规律型:点的坐标,等腰直角三角形的性质:等腰直角三角形的两底角都等于45°;斜边等于直角边的2倍.也考查了直角坐标系中各象限内点的坐标特征.13.【分析】利用勾股定理求出AC=6,在Rt △ABC 中,∠BAC=30°,得到12BC AB =,再利用勾股定理得到222AC BC AB +=,即可求出AB .【详解】在Rt △ACD 中,CD=AD=∴6=,在Rt △ABC 中,∠BAC=30°, ∴12BC AB =, ∵222AC BC AB +=, ∴22216()2AB AB +=,解得AB=故答案为:【点睛】此题考查勾股定理,直角三角形30度角所对的直角边等于斜边的一半,正确理解勾股定理的三边的数量关系是解题的关键.14.2【分析】先求出AC 的长,再分两种情况:当AC 为腰时及AC 为底时,分别求出腰长即可.【详解】在Rt ABC 中,90,30,2C A BC ∠=∠==,∴AB=2BC=4,∴AC ===当AC 为腰时,则该三角形的腰长为当AC 为底时,作AC 的垂直平分线交AB 于点D ,交AC 于点E ,如图,此时△ACD 是等腰三角形,则设DE=x ,则AD=2x ,∵222AE DE AD+=,∴222(3)(2)x x+=∴x=1(负值舍去),∴腰长AD=2x=2,故答案为:23或2【点睛】此题考查勾股定理的运用,结合线段的垂直平分线的性质,等腰三角形的性质,解题时注意:“AC为一边的等腰三角形”没有明确AC是等腰三角形的腰或底,故应分为两种情况解题,这是此题的易错之处.15.3.【分析】作点B关于AD的对称点B′,过点B′作B′N⊥AB于N交AD于M,根据轴对称确定最短路线问题,B′N的长度即为BM+MN的最小值,根据∠BAC=60°判断出△ABB′是等边三角形,再根据等边三角形的性质求解即可.【详解】如图,作点B关于AD的对称点B′,由垂线段最短,过点B′作B′N⊥AB于N交AD于M,B′N最短,由轴对称性质,BM=B′M,∴BM+MN=B′M+MN=B′N,由轴对称的性质,AD垂直平分BB′,∴AB=AB′,∵∠BAC=60°,∴△ABB′是等边三角形,∵AB=2,∴33即BM+MN3.故答案为3.【点睛】本题考查了轴对称确定最短路线问题,等边三角形的判定与性质,确定出点M 、N 的位置是解题的关键,作出图形更形象直观.16.12【解析】如图,过点N 作NG ⊥BC 于点G ,连接CN ,根据轴对称的性质有:MA=MC ,NA=NC ,∠AMN=∠CMN.因为四边形ABCD 是矩形,所以AD ∥BC ,所以∠ANM=∠CMN.所以∠AMN=∠ANM,所以AM=AN. 所以AM=AN=CM=CN.因为△CDN 的面积与△CMN 的面积比为1:3,所以DN:CM=1:3.设DN=x ,则CG=x ,AM=AN=CM=CN=3x ,由勾股定理可得()22322x x x -=, 所以MN 2=()()2222312x x x x +-=,BM 2=()()22232x x x -=.所以222212MN x BM x ==12. 枚本题应填12.点睛:矩形中的折叠问题,其本质是轴对称问题,根据轴对称的性质,找到对应的线段和角,也就找到了相等的线段和角,矩形中的折叠一般会伴随着等腰三角形(也就是基本图形“平行线+角平分线→等腰三角形”),所以常常会结合等腰三角形,勾股定理来列方程求解. 17.485【解析】试题分析:根据等腰三角形的性质和勾股定理可知BC 边上的高为8,然后根据三角形的面积法可得111012822BD ⨯⨯=⨯⨯,解得BD=485. 18.39或639【分析】通过计算E 到AC 的距离即EH 的长度为3,所以根据DE 的长度有两种情况:①当点D 在H 点上方时,②当点D 在H 点下方时,两种情况都是过点E 作EH AC ⊥交AC 于点E ,过点G 作GQ AB ⊥交AB 于点Q ,利用含30°的直角三角形的性质和勾股定理求出AH,DH 的长度,进而可求AD 的长度,然后利用角度之间的关系证明AG GE =,再利用等腰三角形的性质求出GQ 的长度,最后利用2DGF AED AEG SS S =-即可求解.【详解】①当点D 在H 点上方时,过点E 作EH AC ⊥交AC 于点E ,过点G 作GQ AB ⊥交AB 于点Q ,12AB = ,点E 是AB 中点,162AE AB ∴== . ∵EH AC ⊥,90AHE ∴∠=︒ .30,6A AE ∠=︒=,132EH AE ∴== , 22226333AH AE EH ∴=-=-=. 32DE =,2222(32)33DH DE EH ∴=-=-= ,DH EH ∴=,333AD AH DH =-=,45EDH ∴∠=︒,15AED EDH A ∴∠=∠-∠=︒ .由折叠的性质可知,15DEF AED ∠=∠=︒,230AEG AED ∴∠=∠=︒ ,AEG A ∴∠=∠,AG GE ∴= .又GQ AE ⊥ , 132AQ AE ∴== . 30A ∠=︒ , 12GQ AG ∴=. 222GQ AQ AG += , 即2223(2)GQ GQ +=, 3GQ ∴= .2DGF AED AEG S S S =- ,112(333)36363922DGF S ∴=⨯⨯-⨯-⨯⨯=-; ②当点D 在H 点下方时,过点E 作EH AC ⊥交AC 于点E ,过点G 作GQ AB ⊥交AB 于点Q ,12AB = ,点E 是AB 中点,162AE AB ∴== . ∵EH AC ⊥,90AHE ∴∠=︒.30,6A AE ∠=︒= ,132EH AE ∴== ,AH ∴===. 3DE =,3DH ∴=== ,DH EH ∴=,3AD AH DH =+=,45DEH ∴∠=︒ ,90105AED A DEH ∴∠=︒-∠+∠=︒ .由折叠的性质可知,105DEF AED ∠=∠=︒,218030AEG AED ∴∠=∠-︒=︒ ,AEG A ∴∠=∠,AG GE ∴= . 又GQ AE ⊥ ,132AQ AE ∴== . 30A ∠=︒,12GQ AG ∴= . 222GQ AQ AG += , 即2223(2)GQ GQ +=,GQ ∴= .2DGF AED AEG S S S =- ,1123)36922DGF S ∴=⨯⨯⨯-⨯=,综上所述,DGF △的面积为9或9.故答案为:9或9.【点睛】本题主要考查折叠的性质,等腰三角形的判定及性质,等腰直角三角形的性质,勾股定理,含30°的直角三角形的性质,能够作出图形并分情况讨论是解题的关键.19.2-【分析】根据已知条件,添加辅助线可得△EAC ≌△DAM (SAS ),进而得出当MD ⊥BC 时,CE 的值最小,转化成求DM 的最小值,通过已知值计算即可.【详解】解:如图所示,在AB 上取AM=AC=2,∵90ACB ∠=,2AC BC ==,∴∠CAB=45°,又∵45EAD ∠=,∴∠EAC+∠CAD=∠DAB+∠CAD=45°,∴∠EAC =∠DAB ,∴在△EAC 与△DAB 中AE=AD ,∠EAF =∠DAB ,AC =AM ,∴△EAC ≌△DAM (SAS )∴CE=MD ,∴当MD ⊥BC 时,CE 的值最小,∵AC=BC=2, 由勾股定理可得2222AB AC BC =+=,∴222=-BM ,∵∠B=45°,∴△BDM 为等腰直角三角形,∴DM=BD ,由勾股定理可得222+BD DM =BM∴DM=BD=22-∴CE=DM=22-故答案为:22-【点睛】本题考查了动点问题及全等三角形的构造,解题的关键是作出辅助线,得出全等三角形,找到CE 最小时的状态,化动为静.20.3【分析】根据题意利用折叠后图形全等,并利用等量替换和等腰三角形的性质进行综合分析求解.【详解】解:由题意可知','ACM A CM BCH B CH ≅≅,∵15cm BC =,20cm AC =,∴'15,'20,BC B C cm AC A C cm ====''20155A B cm =-=,∵90ACB ∠=︒,∴'A M AB ⊥(等量替换),CH AB ⊥(三线合一),∴25,AB cm =利用勾股定理假设MB '的长为m ,'257AM AM m ==-,则有222(257)5m m +-=, 解得3m =,所以MB '的长为3.【点睛】本题考查几何的翻折问题,熟练掌握并综合利用等量替换和等腰三角形的性质以及勾股定理分析是解题的关键. 三、解答题21.(12)150°;(3【分析】(1)根据等边三角形的性质可利用SAS 证明△BCD ≌△ACE ,再根据全等三角形的性质即得结果;(2)在△ADE 中,根据勾股定理的逆定理可得∠AED =90°,进而可求出∠AEC 的度数,再根据全等三角形的性质即得答案;(3)过C 作CP ⊥DE 于点P ,设AC 与DE 交于G ,如图,根据等边三角形的性质和勾股定理可得PE 与CP 的长,进而可得AE =CP ,然后即可根据AAS 证明△AEG ≌△CPG ,于是可得AG =CG ,PG =EG ,根据勾股定理可求出AG 的长,进一步即可求出结果.【详解】解:(1)∵△ABC 和△EDC 都是等边三角形,∴BC =AC ,CD =CE =DE =2,∠ACB =∠DCE =60°,∴∠BCD =∠ACE ,在△BCD 与△ACE 中,∵BC =AC ,∠BCD =∠ACE ,CD =CE ,∴△BCD ≌△ACE ,∴AE =BD(2)在△ADE 中,∵2AD AE DE ===,∴DE 2+AE 2=2222+==AD 2, ∴∠AED =90°,∵∠DEC =60°,∴∠AEC =150°,∵△BCD ≌△ACE ,∴∠BDC =∠AEC =150°;(3)过C 作CP ⊥DE 于点P ,设AC 与DE 交于G ,如图,∵△CDE 是等边三角形,∴PE =12DE =1,CP 22213-=,∴AE =CP ,在△AEG 与△CPG 中,∵∠AEG =∠CPG =90°,∠AGE =∠CGP ,AE =CP ,∴△AEG ≌△CPG ,∴AG =CG ,PG =EG =12, ∴AG ()222211332AE EG ⎛⎫+=+= ⎪⎝⎭, ∴AC =2AG 13【点睛】本题考查了等边三角形的性质、全等三角形的判定和性质、勾股定理及其逆定理等知识,熟练掌握上述知识、灵活应用全等三角形的判定与性质是解题的关键.22.(1)423;(2)以a 、b 、c 为边能构成三角形,此三角形的形状是直角三角形,6【分析】(1)根据二次根式的加减法法则、除法法则和二次根式的性质求出即可;(2)先根据绝对值,偶次方、算术平方根的非负性求出a 、b 、c 的值,再根据勾股定理的逆定理得出三角形是直角三角形,再求出面积即可.【详解】 解:(1)1312248233⎛÷ ⎝=2(63343)233÷=28(3)(23)3÷ =423;(2)以a 、b 、c 为边能构成三角形,此三角形的形状是直角三角形,理由是:∵a 、b 、c 满足2|a (c 0-=,∴a ﹣=0,﹣b =0,c 0,∴a =,b =,c∵,,∴以a 、b 、c 为边能组成三角形,∵a =,b =,c∴a 2+b 2=c 2,∴以a 、b 、c 为边能构成直角三角形,直角边是a 和b ,则此三角形的面积是12⨯. 【点睛】此题考查了计算能力,掌握二次根式的加减法法则、除法法则和二次根式的性质,绝对值,偶次方、算术平方根的非负性,勾股定理的逆定理是解题的关键.23.(1)BF 长为6;(2)CE 长为3,详细过程见解析.【分析】(1)由矩形的性质及翻折可知,∠B=90°,AF=AD=10,且AB=8,在Rt △ABF 中,可由勾股定理求出BF 的长;(2)设CE=x ,根据翻折可知,EF=DE=8-x ,由(1)可知BF=6,则CF=4,在Rt △CEF 中,可由勾股定理求出CE 的长.【详解】解:(1)∵四边形ABCD 为矩形,∴∠B=90°,且AD=BC=10, 又∵AFE 是由ADE 沿AE 翻折得到的,∴AF=AD=10,又∵AB=8,在Rt △ABF 中,由勾股定理得:,故BF 的长为6.(2)设CE=x ,∵四边形ABCD 为矩形,∴CD=AB=8,∠C=90°,DE=CD-CE=8-x ,又∵△AFE 是由△ADE 沿AE 翻折得到的,∴FE=DE=8-x ,由(1)知:BF=6,故CF=BC-BF=10-6=4,在Rt △CEF 中,由勾股定理得:222CF +CE =EF ,∴2224+x =(8-x),解得:x=3,故CE 的长为3.【点睛】本题考查了折叠的性质:折叠是一种对称变换,折叠前后图形的形状和大小不变,位置变化,对应边和对应角相等,利用勾股定理求解是本题的关键.24.(1)a =8,b =15,c =17;(2)能,60【分析】(1)根据算术平方根,绝对值,平方的非负性即可求出a 、b 、c 的值;(2)根据勾股定理的逆定理即可求出此三角形是直角三角形,由此得到面积和周长【详解】解:(1)∵a ,b ,c |c ﹣17|+b 2﹣30b +225,21||7(15)c b +-﹣,∴a ﹣8=0,b ﹣15=0,c ﹣17=0,∴a =8,b =15,c =17;(2)能.∵由(1)知a =8,b =15,c =17,∴82+152=172.∴a 2+c 2=b 2,∴此三角形是直角三角形,∴三角形的周长=8+15+17=40; 三角形的面积=12×8×15=60. 【点睛】此题考查算术平方根,绝对值,平方的非负性,勾股定理的逆定理判断三角形的形状. 25.(1) 2516;(2)83t =或6;(3)当153,5,210t =或194时,△BCP 为等腰三角形. 【分析】(1)设存在点P ,使得PA PB =,此时2PA PB t ==,42PC t =-,根据勾股定理列方程即可得到结论;(2)当点P 在CAB ∠的平分线上时,如图1,过点P 作PE AB ⊥于点E ,此时72BP t =-,24PE PC t ==-,541BE =-=,根据勾股定理列方程即可得到结论; (3)在Rt ABC 中,根据勾股定理得到4AC cm =,根据题意得:2AP t =,当P 在AC上时,BCP 为等腰三角形,得到PC BC =,即423t -=,求得12t =,当P 在AB 上时,BCP 为等腰三角形,若CP PB =,点P 在BC 的垂直平分线上,如图2,过P 作PE BC ⊥于E ,求得194t =,若PB BC =,即2343t --=,解得5t =,PC BC =③,如图3,过C 作CF AB ⊥于F ,由射影定理得;2BC BF AB =⋅,列方程2234352t --=⨯,即可得到结论. 【详解】 解:在Rt ABC 中,5AB cm =,3BC cm =,4AC cm ∴=,(1)设存在点P ,使得PA PB =,此时2PA PB t ==,42PC t =-, 在Rt PCB 中,222PC CB PB +=,即:222(42)3(2)t t -+=,解得:2516t =, ∴当2516t =时,PA PB =; (2)当点P 在BAC ∠的平分线上时,如图1,过点P 作PE AB ⊥于点E ,此时72BP t =-,24PE PC t ==-,541BE =-=,在Rt BEP 中,222PE BE BP +=,即:222(24)1(72)t t -+=-,解得:83t =, 当6t =时,点P 与A 重合,也符合条件,∴当83t =或6时,P 在ABC ∆的角平分线上; (3)根据题意得:2AP t =,当P 在AC 上时,BCP 为等腰三角形,PC BC ∴=,即423t -=,12t ∴=, 当P 在AB 上时,BCP 为等腰三角形,CP PB =①,点P 在BC 的垂直平分线上,如图2,过P 作PE BC ⊥于E ,1322BE BC ∴==, 12PB AB ∴=,即52342t --=,解得:194t =, PB BC =②,即2343t --=,解得:5t =,PC BC =③,如图3,过C 作CF AB ⊥于F ,12BF BP ∴=, 90ACB ∠=︒,由射影定理得;2BC BF AB =⋅,即2234352t --=⨯, 解得:5310t =, ∴当15319,5,2104t =或时,BCP 为等腰三角形. 【点睛】本题考查了等腰三角形的判定,三角形的面积,难度适中.利用分类讨论的思想是解(3)题的关键.26.(1)作图见解析,20DBC ∠=︒;(2)作图见解析,35BAC ∠=︒;(3)∠A =45°或90°或90°-2α或1452α︒-,或α=45°时45°<∠BAC <90°.【分析】(1)根据二分割线的定义,只要把∠ABC 分成90°角和20°角即可;(2)可以画出∠A=35°的三角形;(3)设BD 为△ABC 的二分割线,分以下两种情况.第一种情况:△BDC 是等腰三角形,△ABD 是直角三角形;第二种情况:△BDC 是直角三角形,△ABD 是等腰三角形分别利用直角三角形的性质、等腰三角形的性质和三角形的内角和定理解答即可.【详解】解:(1)ABC ∆关于点B 的二分割线BD 如图4所示,20DBC ∠=︒;故答案为:20°;(2)如图所示:∠BAC=35°;(3)设BD 为△ABC 的二分割线,分以下两种情况.第一种情况:△BDC 是等腰三角形,△ABD 是直角三角形,易知∠C 和∠DBC 必为底角, ∴∠DBC =∠C =α.当∠A =90°时,△ABC 存在二分分割线;当∠ABD =90°时,△ABC 存在二分分割线,此时∠A =90°-2α;当∠ADB =90°时,△ABC 存在二分割线,此时α=45°且45°<∠A <90°;第二种情况:△BDC 是直角三角形,△ABD 是等腰三角形,当∠DBC =90°时,若BD =AD ,则△ABC 存在二分割线,此时1809014522A αα︒-︒-∠==︒-; 当∠BDC =90°时,若BD =AD ,则△ABC 存在二分割线,此时∠A =45°, 综上,∠A =45°或90°或90°-2α或1452α︒-,或α=45°时,45°<∠BAC <90°.【点睛】本题考查的是二分割线的理解与作图,属于新定义题型,主要考查了等腰三角形的性质、直角三角形的性质和三角形的内角和定理等知识,正确理解二分割线的定义、熟练掌握等腰三角形和直角三角形的性质是解答的关键.27.(1)AC=9;(2)AB ∇AC =-72,BA ∇BC =73【分析】(1)在Rt AOC ∆中,根据勾股定理和新定义可得AO 2-OC 2=81=AC 2;(2)①先利用含30°的直角三角形的性质求出AO =2,OB =23,再用新定义即可得出结论; ②先构造直角三角形求出BE ,AE ,再用勾股定理求出BD ,最后用新定义即可得出结论;(3)作BD ⊥CD,构造直角三角形BCD,根据三角形面积关系求出BD,根据新定义和勾股定理逆定理得出三角形AOD 是直角三角形,根据中线性质得出OA 的长度,根据勾股定理求出OC,从而得出BC,再根据勾股定理求出CD,再求出AD,再运用勾股定理求出AB.【详解】(1)已知如图:AO 为BC 上的中线,在Rt AOC ∆中,AO 2-OC 2=AC 2因为81AB AC ∇=所以AO 2-OC 2=81所以AC 2=81所以AC=9.(2)①如图2,取BC 的中点D ,连接AO ,∵AB =AC ,∴AO ⊥BC ,在△ABC 中,AB =AC ,∠BAC =120°,∴∠ABC =30°,在Rt △AOB 中,AB =12,∠ABC =30°,∴AO =6,OB 2222126AB AO -=-3∴AB ∇AC =AO 2﹣BO 2=36﹣108=﹣72, ②取AC 的中点D ,连接BD ,∴AD =CD =12AC =6,过点B 作BE ⊥AC 交CA 的延长线于E ,在Rt △ABE 中,∠BAE =180°﹣∠BAC =60°,∴∠ABE =30°, ∵AB =12,∴AE =6,BE 222212663AB AE -=-=, ∴DE =AD +AE =12,在Rt △BED 中,根据勾股定理得,BD ()2222631267BE DE +=+=∴BA ∇BC =BD 2﹣CD 2=216;(3)作BD ⊥CD,因为24ABC S ∆=,8AC =,所以BD=26ABC S AC ∆÷=,因为64AB AC ∇=-,AO 是BC 边上的中线,所以AO 2-OC 2=-64,所以OC 2-AO 2=64,由因为AC 2=82=64,所以OC 2-AO 2= AC 2所以∠OAC=90°所以OA=24228322ABC S AC ∆⨯÷=⨯÷= 所以OC=22228373AC OA +=+=所以BC=2OC=273,在Rt △BCD 中,CD=()2222276163BC BD -=-=所以AD=CD-AC=16-8=8所以AB=22228610AD BD +=+=【点睛】考核知识点:勾股定理逆定理,含30°直角三角形性质.借助辅助线构造直角三角形,运用勾股定理等直角三角形性质解决问题是关键.28.(1)∠CBD=20°;(2)AD=164;(3) △BCD 的周长为m+2 【分析】(1)根据折叠可得∠1=∠A=35°,根据三角形内角和定理可以计算出∠ABC=55°,进而得到∠CBD=20°;(2)根据折叠可得AD=DB,设CD=x,则AD=BD=8-x,再在Rt△CDB中利用勾股定理可得x2+62=(8-x)2,再解方程可得x的值,进而得到AD的长;(3)根据三角形ACB的面积可得11 2AC CB m=+,进而得到AC•BC=2m+2,再在Rt△CAB中,CA2+CB2=BA2,再把左边配成完全平方可得CA+CB的长,进而得到△BCD的周长.【详解】(1)∵把△ABC沿直线DE折叠,使△ADE与△BDE重合,∴∠1=∠A=35°,∵∠C=90°,∴∠ABC=180°-90°-35°=55°,∴∠2=55°-35°=20°,即∠CBD=20°;(2)∵把△ABC沿直线DE折叠,使△ADE与△BDE重合,∴AD=DB,设CD=x,则AD=BD=8-x,在Rt△CDB中,CD2+CB2=BD2,x2+62=(8-x)2,解得:x= 74,AD=8-74=164;(3)∵△ABC 的面积为m+1,∴12AC•BC=m+1,∴AC•BC=2m+2,∵在Rt△CAB中,CA2+CB2=BA2,∴CA2+CB2+2AC•BC=BA2+2AC•BC,∴(CA+BC)2=m2+4m+4=(m+2)2,∴CA+CB=m+2,∵AD=DB,∴CD+DB+BC=m+2.即△BCD 的周长为m+2.【点睛】此题主要考查了图形的翻折变换,以及勾股定理,完全平方公式,关键是掌握勾股定理,以及折叠后哪些是对应角和对应线段.29.(1)见解析;(2)∠ADC=45α︒+;(3)2BD DE =【分析】(1)根据题意画出图形即可;(2)根据对称的性质,等腰三角形的性质及角与角之间的和差关系进行计算即可; (3)画出图形,结合(2)的结论证明△BED 为等腰直角三角形,从而得出结论.【详解】解:(1)如图所示;(2)∵点B 与点D 关于直线AP 对称,∠BAP=α,∴∠PAD=α,AB=AD ,∵90BAC ∠=︒,∴902DAC α∠=︒-,又∵AB=AC ,∴AD=AC ,∴∠ADC=1[180(902)]2α⨯︒-︒-=45α︒+; (3)如图,连接BE ,由(2)知:∠ADC=45α︒+,∵∠ADC=∠AED+∠EAD ,且∠EAD=α,∴∠AED=45°,∵点B 与点D 关于直线AP 对称,即AP 垂直平分BD ,∴∠AED=∠AEB=45°,BE=DE ,∴∠BED=90°,∴△BED 是等腰直角三角形,∴22222BD BE DE DE =+=,∴BD =. 【点睛】本题考查了轴对称的性质,等腰三角形的性质,勾股定理等知识,明确角与角之间的关系,学会添加常用辅助线构造直角三角形是解题的关键.30.(1)(0,;(2)DF OE =;(3)9+【分析】(1)由等边三角形的性质得出6OB =,12AB AC BC ===,由勾股定理得出OA ==A 的坐标;(2)由等边三角形的性质得出AD AE =,AF AO =,60FAO DAE ∠=∠=︒,证出FAD OAE ∠=∠,由SAS 证明FAD OAE ∆≅∆,即可得出DF OE =;(3)证出90AGO ∠=︒,求出9AG =,由全等三角形的性质得出AOE AFD ∠=∠,证出6090FDO AFD AOD ∠=∠+︒+∠=︒,由等边三角形的性质得12DG OF ==即可得出答案.【详解】解:(1)ABC ∆是等边三角形,点0()6,B -,点(6,0)C ,6OB ∴=,12AB AC BC ===,OA === ∴点A 的坐标为(0,;(2)DF OE =;理由如下:ADE ∆,AFO ∆均为等边三角形,AD AE ∴=,AF AO =,60FAO DAE ∠=∠=︒,FAD OAE ∴∠=∠,在FAD ∆和OAE ∆中,AF AO FAD OAE AD AE =⎧⎪∠=∠⎨⎪=⎩,()FAD OAE SAS ∴∆≅∆,DF OE ∴=;(3)60AOF ∠=︒,30FOB ∴∠=︒,。
一、选择题1.△ABC 的三边分别为,,a b c ,下列条件能推出△ABC 是直角三角形的有( ) ①222a c b -=;②2()()0a b a b c -++=;③ ∠A =∠B -∠C; ④∠A ∶∠B ∶∠C =1∶2∶3 ;⑤111,,345a b c ===;⑥10,a = 24,b = 26c = A .2个 B .3个C .4个D .5个2.如图,将一个等腰直角三角形按图示方式依次翻折,若DE a =,则下列说法正确的是( )①DC '平分BDE ∠;②BC 长为()22a +;③BCD 是等腰三角形;④CED 的周长等于BC 的长.A .①②③B .②④C .②③④D .③④3.如图钢架中,∠A =15°,现焊上与AP 1等长的钢条P 1P 2,P 2P 3…来加固钢架,若最后一根钢条与射线AB 的焊接点P 到A 点的距离为4+23,则所有钢条的总长为( )A .16B .15C .12D .104.已知三角形的三边长分别为a ,b ,c ,且a+b=10,ab=18,c=8,则该三角形的形状是( ) A .等腰三角形B .直角三角形C .钝角三角形D .等腰直角三角形5.棱长分别为86cm cm ,的两个正方体如图放置,点A ,B ,E 在同一直线上,顶点G 在棱BC 上,点P 是棱11E F 的中点.一只蚂蚁要沿着正方体的表面从点A 爬到点P ,它爬行的最短距离是( )A .(3510)cm +B .513cmC .277cmD .(2583)cm +6.在平面直角坐标系内的机器人接受指令“[α,A]”(α≥0,0°<A <180°)后的行动结果为:在原地顺时针旋转A 后,再向正前方沿直线行走α.若机器人的位置在原点,正前方为y 轴的负半轴,则它完成一次指令[4,30°]后位置的坐标为( ) A .(-2,23) B .(-2,-23) C .(-2,-2) D .(-2,2) 7.下列结论中,矩形具有而菱形不一定具有的性质是( )A .内角和为360°B .对角线互相平分C .对角线相等D .对角线互相垂直8.如图,在△ABC 中,AB=8,BC=10,AC=6,则BC 边上的高AD 为( )A .8B .9C .245D .109.已知直角三角形的两条边长分别是3和5,那么这个三角形的第三条边的长( ) A .4B .16C .34D .4或3410.以下列各组数为边长,能构成直角三角形的是( ) A .236、、 B .3、4、5 C .3、4、7D .2、3、4二、填空题11.我国汉代数学家赵爽为了证明勾股定理,创制了一副“弦图”,后人称其为“赵爽弦图”(如图1).图2由弦图变化得到,它是由八个全等的直角三角形拼接而成.记图中正方形ABCD ,正方形EFGH ,正方形MNKT 的面积分别为S1,S2,S3,若S 1+S 2+S 3=10,则S2的值是_________.12.如图,AB =12,AB ⊥BC 于点B , AB ⊥AD 于点A ,AD =5,BC =10,E 是CD 的中点,则AE 的长是____ ___.13.如图,Rt △ABC 中,∠ACB =90o ,AC =12,BC =5,D 是AB 边上的动点,E 是AC 边上的动点,则BE +ED 的最小值为 .14.如图,在△中,,∠90°,是边的中点,是边上一动点,则的最小值是__________.15.如图,在Rt ABC 中,90ACB ∠=︒,4AC =,2BC =,以AB 为边向外作等腰直角三角形ABD ,则CD 的长可以是__________.16.如图,△ABC 是一个边长为1的等边三角形,BB 1是△ABC 的高,B 1B 2是△ABB 1的高,B 2B 3是△AB 1B 2的高,……B n-1B n 是△AB n-2B n-1的高,则B 4B 5的长是________,猜想B n-1B n 的长是________.17.已知Rt △ABC 中,AC =4,BC =3,∠ACB =90°,以AC 为一边在Rt △ABC 外部作等腰直角三角形ACD ,则线段BD 的长为_____.18.如图,直线l 上有三个正方形a ,b ,c ,若a ,c 的边长分别为5和12,则b 的面积为_________________.19.如图,在Rt ABC ∆中,90ACB ∠=,2AC BC ==,D 为BC 边上一动点,作如图所示的AED ∆使得AE AD =,且45EAD ∠=,连接EC ,则EC 的最小值为__________.20.如图所示,圆柱体底面圆的半径是2π,高为1,若一只小虫从A 点出发沿着圆柱体的外侧面爬行到C 点,则小虫爬行的最短路程是______三、解答题21.如图,已知ABC ∆中,90B ∠=︒,8AB cm =,6BC cm =,P 、Q 是ABC ∆边上的两个动点,其中点P 从点A 开始沿A B →方向运动,且速度为每秒1cm ,点Q 从点B 开始沿B C →方向运动,且速度为每秒2cm ,它们同时出发,设出发的时间为t 秒.(1)当2t =秒时,求PQ 的长;(2)求出发时间为几秒时,PQB ∆是等腰三角形?(3)若Q 沿B C A →→方向运动,则当点Q 在边CA 上运动时,求能使BCQ ∆成为等腰三角形的运动时间.22.如图,△ACB 和△ECD 都是等腰直角三角形,∠ACB =∠ECD =90°,点D 在边AB 上,点E 在边AC 的左侧,连接AE .(1)求证:AE =BD ;(2)试探究线段AD 、BD 与CD 之间的数量关系;(3)过点C 作CF ⊥DE 交AB 于点F ,若BD :AF =1:22,CD =36+,求线段AB 的长.23.我们规定,三角形任意两边的“广益值”等于第三边上的中线和这边一半的平方差.如图1,在ABC ∆中,AO 是BC 边上的中线,AB 与AC 的“广益值”就等于22AO BO -的值,可记为22AB AC OA BO ∇=-(1)在ABC ∆中,若90ACB ∠=︒,81AB AC ∇=,求AC 的值.(2)如图2,在ABC ∆中,12AB AC ==,120BAC ∠=︒,求AB AC ∇,BA BC ∇的值.(3)如图3,在ABC ∆中,AO 是BC 边上的中线,24ABC S ∆=,8AC =,64AB AC ∇=-,求BC 和AB 的长.24.已知:如图,在ABC ∆中,90ACB ∠=,以点B 为圆心,BC 的长为半径画弧,交线段AB 于点D ,以点A 为圆心,AD 长为半径画弧,交线段AC 与点E . (1)根据题意用尺规作图补全图形(保留作图痕迹);(2)设,BC m AC n ==①线段AD 的长度是方程2220x mx n +-=的一个根吗?并说明理由. ②若线段2AD EC =,求mn的值.25.如图,△ABC 中,90BAC ∠=︒,AB=AC ,P 是线段BC 上一点,且045BAP ︒<∠<︒.作点B 关于直线AP 的对称点D, 连结BD ,CD ,AD . (1)补全图形.(2)设∠BAP 的大小为α.求∠ADC 的大小(用含α的代数式表示).(3)延长CD 与AP 交于点E,直接用等式表示线段BD 与DE 之间的数量关系.26.定义:在△ABC 中,若BC =a ,AC =b ,AB =c ,若a ,b ,c 满足ac +a 2=b 2,则称这个三角形为“类勾股三角形”,请根据以上定义解决下列问题:(1)命题“直角三角形都是类勾股三角形”是 命题(填“真”或“假”);(2)如图1,若等腰三角形ABC 是“类勾股三角形”,其中AB =BC ,AC >AB ,请求∠A 的度数;(3)如图2,在△ABC 中,∠B =2∠A ,且∠C >∠A .①当∠A =32°时,你能把这个三角形分成两个等腰三角形吗?若能,请在图2中画出分割线,并标注被分割后的两个等腰三角形的顶角的度数;若不能,请说明理由; ②请证明△ABC 为“类勾股三角形”.27.如图1, △ABC 和△CDE 均为等腰三角形,AC=BC, CD=CE, AC>CD, ∠ACB=∠DCE=a ,且点A 、D 、E 在同一直线上,连结BE.(1)求证: AD=BE.(2)如图2,若a=90°,CM⊥AE于E.若CM=7, BE=10, 试求AB的长.(3)如图3,若a=120°, CM⊥AE于E, BN⊥AE于N, BN=a, CM=b,直接写出AE的值(用a, b 的代数式表示).28.如图1,在平面直角坐标系中,直线AB经过点C(a,a),且交x轴于点A(m,0),交y轴于点B(0,n),且m,n满足6m +(n﹣12)2=0.(1)求直线AB的解析式及C点坐标;(2)过点C作CD⊥AB交x轴于点D,请在图1中画出图形,并求D点的坐标;(3)如图2,点E(0,﹣2),点P为射线AB上一点,且∠CEP=45°,求点P的坐标.29.(1)如图1,在Rt△ABC和Rt△ADE中,AB=AC,AD=AE,且点D在BC边上滑动(点D不与点B,C重合),连接EC,①则线段BC,DC,EC之间满足的等量关系式为;②求证:BD2+CD2=2AD2;(2)如图2,在四边形ABCD中,∠ABC=∠ACB=∠ADC=45°.若BD=9,CD=3,求AD 的长.30.阅读下列材料,并解答其后的问题:我国古代南宋数学家秦九韶在其所著书《数学九章》中,利用“三斜求积术”十分巧妙的解决了已知三角形三边求其面积的问题,这与西方著名的“海伦公式”是完全等价的.我们也称这个公式为“海伦•秦九韶公式”,该公式是:设△ABC中,∠A、∠B、∠C所对的边分别为a 、b 、c ,△ABC 的面积为S =()()()()a b c a b c a c b b c a +++-+-+-.(1)(举例应用)已知△ABC 中,∠A 、∠B 、∠C 所对的边分别为a 、b 、c ,且a =4,b =5,c =7,则△ABC 的面积为 ;(2)(实际应用)有一块四边形的草地如图所示,现测得AB =(26+42)m ,BC =5m ,CD =7m ,AD =46m ,∠A =60°,求该块草地的面积.【参考答案】***试卷处理标记,请不要删除一、选择题 1.D 解析:D 【分析】根据勾股定理的逆定理,三角形的内角和定理,分别对每个选项进行判断,即可得到答案. 【详解】解:∵222a c b -=,得222a b c =+,符合勾股定理逆定理,则①正确; ∵2()()0a b a b c -++=,得到222a c b +=,符合勾股定理逆定理,则②正确; ∵∠A =∠B -∠C ,得∠B=∠A+∠C , ∵∠A+∠B+∠C=180°, ∴∠B=90°,故③正确;∵∠A ∶∠B ∶∠C =1∶2∶3,∠A+∠B+∠C=180°, ∴318090123C ∠=︒⨯=︒++,故④正确;∵222111()()()453+≠,则⑤不能构成直角三角形,故⑤错误; ∵222102426+=,则⑥能构成直角三角形,故⑥正确; ∴能构成直角三角形的有5个; 故选择:D. 【点睛】本题考查了勾股定理的逆定理,以及三角形的内角和定理,解题的关键是熟练掌握用勾股定理的逆定理和三角形内角和定理进行判断三角形是直角三角形.2.B解析:B 【分析】根据折叠前后得到对应线段相等,对应角相等判断①③④式正误即可,根据等腰直角三角形性质求BC 和DE 的关系. 【详解】解:根据折叠的性质知,△C ED CED '≅∆,且都是等腰直角三角形, ∴90BDE ∠<︒,45C DE ∠'=︒, ∴12C DE BDE ∠'≠∠∴DC '不能平分BDE ∠①错误;45DC E DCE ∴∠'=∠=︒,C E CE DE AD a '====,CD DC ='=,AC a ∴=,2)BC a ==,∴②正确;2ABC DBC ∠=∠, 22.5DBC ∴∠=︒,45DCB ∠=︒, 112.5BDC ∴∠=︒,BCD ∴∆不是等腰三角形, 故③错误;CED ∴∆的周长(2CE DE CD a a a BC =++=+==,故④正确. 故选:B . 【点睛】本题利用了:①折叠的性质:折叠是一种对称变换,它属于轴对称,根据轴对称的性质,折叠前后图形的形状和大小不变,位置变化,对应边和对应角相等;②等腰直角三角形,三角形外角与内角的关系,等角对等边等知识点.3.D解析:D 【分析】根据已知利用等腰三角形的性质及三角形外角的性质,找出图中存在的规律,求出钢条的根数,然后根据最后一根钢条与射线AB 的焊接点P 到A 点的距离即AP 5为AP 1=a ,作P 2D ⊥AB 于点D ,再用含a 的式子表示出P 1P 3,P 3P 5,从而可求出a 的值,即得出每根钢条的长度,从而可以求得所有钢条的总长. 【详解】解:如图,∵AP 1与各钢条的长度相等,∴∠A=∠P 1P 2A=15°, ∴∠P 2P 1P 3=30°,∴∠P 1P 3P 2=30°,∴∠P 3P 2P 4=45°,∴∠P 3P 4P 2=45°,∴∠P 4P 3P 5=60°,∴∠P 3P 5P 4=60°, ∴∠P 5P 4P 6=75°,∴∠P 4P 6P 5=75°,∴∠P 6P 5B=90°, 此时就不能再往上焊接了,综上所述总共可焊上5根钢条. 设AP 1=a ,作P 2D ⊥AB 于点D , ∵∠P 2P 1D =30°,∴P 2D=12P 1P 2,∴P 1D =32a , ∵P 1P 2=P 2P 3,∴P 1P 3=2P 1D =3a ,∵∠P 4P 3P 5=60°,P 3P 4=P 4P 5,∴△P 4P 3P 5是等边三角形,∴P 3P 5=a , ∵最后一根钢条与射线AB 的焊接点P 到A 点的距离为4+23, ∴AP 5=a +3a +a =4+23, 解得,a =2,∴所有钢条的总长为2×5=10, 故选:D .【点睛】本题考查了三角形的内角和、等腰三角形的性质、三角形外角的性质、等边三角形的判定与性质以及勾股定理等知识,发现并利用规律找出钢条的根数是解答本题的关键.4.B解析:B 【解析】 【分析】根据完全平方公式利用a+b=10,ab=18求出22a b +,即可得到三角形的形状. 【详解】∵a+b=10,ab=18,∴22a b +=(a+b )2-2ab=100-36=64, ∵,c=8, ∴2c =64, ∴22a b +=2c ,∴该三角形是直角三角形, 故选:B. 【点睛】此题考查勾股定理的逆定理,完全平方公式,能够利用完全平方公式由已知条件求出22a b +是解题的关键.5.C解析:C 【分析】当E 1F 1在直线EE 1上时,,得到AE=14,PE=9,由勾股定理求得AP 的长;当E 1F 1在直线B 2E 1上时,两直角边分别为17和6,再利用勾股定理求AP 的长,两者进行比较即可确定答案 【详解】① 当展开方法如图1时,AE=8+6=14cm ,PE=6+3=9cm , 由勾股定理得2222149277AP AE PE cm =+=+=② 当展开方法如图2时,AP 1=8+6+3=17cm ,PP 1=6cm , 由勾股定理得222211176325AP AP PP cm =+=+= ∵277<325∴蚂蚁爬行的最短距离是277cm,【点睛】此题考察正方体的展开图及最短路径,注意将正方体沿着不同棱线剪开时得到不同的平面图形,路径结果是不同的6.B解析:B 【解析】根据题意,如图,∠AOB=30°,OA=4,则AB=2,OB=23,所以A(-2,-23),故选B.7.C解析:C 【分析】矩形与菱形相比,菱形的四条边相等、对角线互相垂直;矩形四个角是直角,对角线相等,由此结合选项即可得出答案.【详解】A、菱形、矩形的内角和都为360°,故本选项错误;B、对角互相平分,菱形、矩形都具有,故本选项错误;C、对角线相等菱形不具有,而矩形具有,故本选项正确D、对角线互相垂直,菱形具有而矩形不具有,故本选项错误,故选C.【点睛】本题考查了菱形的性质及矩形的性质,熟练掌握矩形的性质与菱形的性质是解题的关键. 8.C解析:C【分析】本题根据所给的条件得知,△ABC是直角三角形,再根据三角形的面积相等即可求出BC边上的高.【详解】∵AB=8,BC=10,AC=6,∴62+82=102,∴△ABC是直角三角形,∠BAC=90°,则由面积公式可知,S△ABC=12AB⋅AC=12BC⋅AD,∴AD=245.故选C.【点睛】本题考查了勾股定理的逆定理,需要先证得三角形为直角三角形,再利用三角形的面积公式求得AD的值.9.D解析:D【解析】试题解析:当3和5当5.故选D.10.C解析:C【分析】利用勾股定理的逆定理依次计算各项后即可解答.【详解】选项A,222+≠,不能构成直角三角形;选项B,222+≠,不能构成直角三角形;选项C,222+=,能构成直角三角形;选项D ,222(2)(3)(4)+≠,不能构成直角三角形. 故选C . 【点睛】本题考查勾股定理的逆定理的应用.判断三角形是否为直角三角形,已知三角形三边的长,只要利用勾股定理的逆定理加以判断即可.二、填空题11.103. 【解析】试题解析:将四边形MTKN 的面积设为x ,将其余八个全等的三角形面积一个设为y , ∵正方形ABCD ,正方形EFGH ,正方形MNKT 的面积分别为S 1,S 2,S 3,S 1+S 2+S 3=10, ∴得出S 1=8y+x ,S 2=4y+x ,S 3=x , ∴S 1+S 2+S 3=3x+12y=10,故3x+12y=10, x+4y=103, 所以S 2=x+4y=103. 考点:勾股定理的证明. 12.5 【详解】解:如图,延长AE 交BC 于点F ,∵点E 是CD 的中点, ∴DE=CE ,, ∵AB ⊥BC ,AB ⊥AD, ∴AD ∥BC,∴∠ADE=∠BCE 且DE=CE ,∠AED=∠CEF, ∴△AED ≌△FEC (ASA ), ∴AD=FC=5,AE=EF, ∴BF=BC-FC=5, ∴在Rt △ABF 中,2213AF AB BF =+=,6.52AFAE ==故答案为:6.5.13.【解析】试题分析:作点B 关于AC 的对称点B′,过B′点作B′D ⊥AB 于D ,交AC 于E ,连接AB′、BE ,则BE+ED=B′E+ED=B′D 的值最小.∵点B 关于AC 的对称点是B′,BC=5,∴B′C=5,BB′=10.∵Rt △ABC 中,∠ACB=90°,AC=12,BC=5,∴AB=22AC BC +=13,∵S △ABB′=12•AB•B′D=12•BB′•AC ,∴B′D=B 10121201313B AC AB '⋅⨯==,∴BE+ED= B′D=12013.考点:轴对称-最短路线问题. 14.【解析】如图,过点作⊥于点,延长到点,使,连接,交于点,连接,此时的值最小.连接,由对称性可知∠45°,,∴ ∠90°.根据勾股定理可得.15.21021332【分析】在ABC 中计算AB ,情况一:作AE CE ⊥于E ,计算AE ,DE ,CE ,可得CD ;情况二:作BE CE ⊥于E ,计算BE ,CE ,DE ,可得CD ;情况三:作DE CE ''⊥,计算,,DF DE CE '',可得CD .【详解】∵90ACB ︒∠=,4,2AC BC ==, ∴5AB =情况一:当25AD AB ==时,作AE CE ⊥于E ∴1122BC AC AB AE ⋅=⋅,即455AE =,1455DE = ∴22855CE AC AE =-=∴22213CD CE DE =+=情况二:当25BD AB ==时,作BE CE ⊥于E , ∴1122BC AC AB BE ⋅=⋅,即45BE =,145DE = ∴22255CE BC BE =-=∴22210CD CE DE =+=情况三:当AD BD =时,作DE CE ''⊥,作BE CE ⊥于E ∴1122BC AC AB BE ⋅=⋅, ∴45BE =355CE ∴=∵ABD △为等腰直角三角形∴152BF DF AB === ∴95DE DF E F DF BE ''=+=+=25355CE EE CE BF CE ''=-=-=-=∴2232CD CE E D ''=+=故答案为:1021332【点睛】本题考查了等腰直角三角形的探索,勾股定理的计算等,熟知以上知识是解题的关键. 1633【分析】根据等边三角形性质得出AB 1=CB 1=12,∠AB 1B =∠BB 1C =90°,由勾股定理求出BB 1=3ABC 3113ABB BCB S S==B 1B 2=34,由勾股定理求出BB 2,根据11221ABB BB B AB B S SS=+代入求出B 2B 333=,B 3B 433=B 4B 533=,推出B n ﹣1B n 3. 【详解】解:∵△ABC 是等边三角形, ∴BA =AC , ∵BB 1是△ABC 的高, ∴AB 1=CB 1=12,∠AB 1B =∠BB 1C =90°, 由勾股定理得:BB 122131()2-=;∴△ABC 的面积是12×1=;∴1112ABB BCB S S==⨯,12=×1×B 1B 2,B 1B 2,由勾股定理得:BB 234=, ∵11221ABB BB B AB B S SS=+,2313112422B B =⨯⨯⨯,B 2B 3=8,B 3B 4,B 4B 5, …,B n ﹣1B n =2n.【点睛】本题考查了等边三角形的性质,勾股定理,三角形的面积等知识点的应用,关键是能根据计算结果得出规律.17.7【分析】分三种情形讨论:(1)如图1中,以点C 所在顶点为直角时;(2)如图2中,以点D 所在顶点为直角时;(3)如图3中,以点A 所在顶点为直角时. 【详解】(1)如图1中,以点C 所在顶点为直角时. ∵AC =CD =4,BC =3,∴BD =CD +BC =7;(2)如图2中,以点D 所在顶点为直角时,作DE ⊥BC 与E ,连接BD .在Rt △BDE 中DE =2,BE =5,∴BD(3)如图3中,以点A 所在顶点为直角时,作DE ⊥BC 于E ,在Rt △BDE 中,DE =4.BE =7,∴BD 2265DE BE =+=.故答案为:7或29或65.【点睛】本题考查了勾股定理、等腰直角三角形等知识,解题的关键是学会用分类讨论的思想思考问题. 18.169 【解析】解:由于a 、b 、c 都是正方形,所以AC =CD ,∠ACD =90°; ∵∠ACB +∠DCE =∠ACB +∠BAC =90°,即∠BAC =∠DCE ,∠ABC =∠CED =90°,AC =CD ,∴△ACB ≌△DCE ,∴AB =CE ,BC =DE ; 在Rt △ABC 中,由勾股定理得:AC 2=AB 2+BC 2=AB 2+DE 2,即S b =S a +S c =22512+=169. 故答案为:169.点睛:此题主要考查对全等三角形和勾股定理的综合运用,结合图形求解,对图形的理解能力要比较强.19.22-【分析】根据已知条件,添加辅助线可得△EAC ≌△DAM (SAS ),进而得出当MD ⊥BC 时,CE 的值最小,转化成求DM 的最小值,通过已知值计算即可. 【详解】解:如图所示,在AB 上取AM=AC=2, ∵90ACB ∠=,2AC BC ==,∴∠CAB=45°, 又∵45EAD ∠=,∴∠EAC+∠CAD=∠DAB+∠CAD=45°, ∴∠EAC =∠DAB , ∴在△EAC 与△DAB 中AE=AD ,∠EAF =∠DAB ,AC =AM , ∴△EAC ≌△DAM (SAS ) ∴CE=MD ,∴当MD ⊥BC 时,CE 的值最小, ∵AC=BC=2, 由勾股定理可得2222AB AC BC =+=,∴222=-BM , ∵∠B=45°,∴△BDM 为等腰直角三角形, ∴DM=BD ,由勾股定理可得222+BD DM =BM ∴DM=BD=22- ∴CE=DM=22- 故答案为:22-【点睛】本题考查了动点问题及全等三角形的构造,解题的关键是作出辅助线,得出全等三角形,找到CE 最小时的状态,化动为静.20.5【分析】先将图形展开,再根据两点之间线段最短可知. 【详解】圆柱的侧面展开图是一个矩形,此矩形的长等于圆柱底面周长,C 是边的中点,矩形的宽即高等于圆柱的母线长.∵AB=π•2π=2,CB=1. ∴AC=22AB +BC = 222=5+1,故答案为:5. 【点睛】圆柱的侧面展开图是一个矩形,此矩形的长等于圆柱底面周长,矩形的宽即高等于圆柱的母线长.本题就是把圆柱的侧面展开成矩形,“化曲面为平面”,用勾股定理解决.三、解答题21.(1)213;(2)83;(3)5.5秒或6秒或6.6秒 【分析】(1)根据点P 、Q 的运动速度求出AP ,再求出BP 和BQ ,用勾股定理求得PQ 即可; (2)由题意得出BQ BP =,即28t t =-,解方程即可;(3)当点Q 在边CA 上运动时,能使BCQ ∆成为等腰三角形的运动时间有三种情况: ①当CQ BQ =时(图1),则C CBQ ∠=∠,可证明A ABQ ∠=∠,则BQ AQ =,则CQ AQ =,从而求得t ;②当CQ BC =时(图2),则12BC CQ +=,易求得t ;③当BC BQ =时(图3),过B 点作BE AC ⊥于点E ,则求出BE ,CE ,即可得出t . 【详解】(1)解:(1)224BQ cm =⨯=,8216BP AB AP cm =-=-⨯=, 90B ∠=︒,222246213()PQ BQ BP cm =+=+=;(2)解:根据题意得:BQ BP =, 即28t t =-, 解得:83t =; 即出发时间为83秒时,PQB ∆是等腰三角形;(3)解:分三种情况: ①当CQ BQ =时,如图1所示:则C CBQ ∠=∠,90ABC ∠=︒,90CBQ ABQ ∴∠+∠=︒,90A C ∠+∠=︒,A ABQ ∴∠=∠BQ AQ ∴=,5CQ AQ ∴==,11BC CQ ∴+=,112 5.5t ∴=÷=秒.②当CQ BC =时,如图2所示:则12BC CQ +=1226t ∴=÷=秒.③当BC BQ =时,如图3所示:过B 点作BE AC ⊥于点E , 则68 4.8()10AB BC BE cm AC ⨯=== 22 3.6CE BC BE cm ∴=-=,27.2CQ CE cm ∴==,13.2BC CQ cm ∴+=,13.22 6.6t ∴=÷=秒.由上可知,当t 为5.5秒或6秒或6.6秒时,BCQ ∆为等腰三角形.【点睛】本题考查了勾股定理、三角形的面积以及等腰三角形的判定和性质;本题有一定难度,注意分类讨论思想的应用.22.(1)见解析;(2)BD 2+AD 2=2CD 2;(3)AB =2+4.【分析】(1)根据等腰直角三角形的性质证明△ACE ≌△BCD 即可得到结论;(2)利用全等三角形的性质及勾股定理即可证得结论;(3)连接EF ,设BD =x ,利用(1)、(2)求出EF=3x ,再利用勾股定理求出x ,即可得到答案.【详解】(1)证明:∵△ACB 和△ECD 都是等腰直角三角形∴AC =BC ,EC =DC ,∠ACB =∠ECD =90°∴∠ACB ﹣∠ACD =∠ECD ﹣∠ACD∴∠ACE =∠BCD ,∴△ACE ≌△BCD (SAS ),∴AE =BD .(2)解:由(1)得△ACE ≌△BCD ,∴∠CAE =∠CBD ,又∵△ABC 是等腰直角三角形,∴∠CAB =∠CBA =∠CAE =45°,∴∠EAD =90°,在Rt △ADE 中,AE 2+AD 2=ED 2,且AE =BD ,∴BD 2+AD 2=ED 2,∵ED =2CD ,∴BD 2+AD 2=2CD 2,(3)解:连接EF ,设BD =x ,∵BD :AF =1:2AF =2x ,∵△ECD 都是等腰直角三角形,CF ⊥DE ,∴DF =EF ,由 (1)、(2)可得,在Rt △FAE 中,EF 22AF AE +22(22)x x +3x , ∵AE 2+AD 2=2CD 2,∴222(223)2(36)x x x ++=,解得x =1,∴AB =2+4.【点睛】此题考查三角形全等的判定及性质,等腰直角三角形的性质,勾股定理.23.(1)AC=9;(2)AB ∇AC =-72,BA ∇BC =216;(3)BC=2OC=273,AB=10.【分析】(1)在Rt AOC ∆中,根据勾股定理和新定义可得AO 2-OC 2=81=AC 2;(2)①先利用含30°的直角三角形的性质求出AO =2,OB =23,再用新定义即可得出结论; ②先构造直角三角形求出BE ,AE ,再用勾股定理求出BD ,最后用新定义即可得出结论;(3)作BD ⊥CD,构造直角三角形BCD,根据三角形面积关系求出BD,根据新定义和勾股定理逆定理得出三角形AOD 是直角三角形,根据中线性质得出OA 的长度,根据勾股定理求出OC,从而得出BC,再根据勾股定理求出CD,再求出AD,再运用勾股定理求出AB.【详解】(1)已知如图:AO 为BC 上的中线,在Rt AOC ∆中, AO 2-OC 2=AC 2因为81AB AC ∇=所以AO 2-OC 2=81所以AC 2=81所以AC=9.(2)①如图2,取BC 的中点D ,连接AO ,∵AB =AC ,∴AO ⊥BC ,在△ABC 中,AB =AC ,∠BAC =120°,∴∠ABC =30°,在Rt △AOB 中,AB =12,∠ABC =30°,∴AO =6,OB 2222126AB AO -=-3∴AB ∇AC =AO 2﹣BO 2=36﹣108=﹣72, ②取AC 的中点D ,连接BD ,∴AD =CD =12AC =6,过点B 作BE ⊥AC 交CA 的延长线于E ,在Rt △ABE 中,∠BAE =180°﹣∠BAC =60°,∴∠ABE =30°, ∵AB =12,∴AE =6,BE 222212663AB AE -=-=, ∴DE =AD +AE =12,在Rt △BED 中,根据勾股定理得,BD ()2222631267BE DE +=+= ∴BA ∇BC =BD 2﹣CD 2=216;(3)作BD ⊥CD,因为24ABC S ∆=,8AC =,所以BD=26ABC S AC ∆÷=,因为64AB AC ∇=-,AO 是BC 边上的中线,所以AO 2-OC 2=-64,所以OC 2-AO 2=64,由因为AC 2=82=64,所以OC 2-AO 2= AC 2所以∠OAC=90°所以OA=24228322ABC S AC ∆⨯÷=⨯÷= 所以OC=22228373AC OA +=+= 所以BC=2OC=273,在Rt △BCD 中,CD=()2222276163BC BD -=-=所以AD=CD-AC=16-8=8所以AB=22228610AD BD +=+=【点睛】考核知识点:勾股定理逆定理,含30°直角三角形性质.借助辅助线构造直角三角形,运用勾股定理等直角三角形性质解决问题是关键.24.(1)详见解析;(2)①线段AD 的长度是方程2220x mx n +-=的一个根,理由详见解析;②512m n =【分析】(1)根据题意,利用尺规作图画出图形即可;(2)①根据勾股定理求出AD ,然后把AD 的值代入方程,即可得到答案;②先得到出边长的关系,然后根据勾股定理,列出方程,解方程后得到答案.【详解】(1)解:作图,如图所示:(2)解:①线段AD 的长度是方程2220x mx n +-=的一个根.理由如下:依题意得, BD BC m ==,在Rt ABC 中,90ACB ∠=︒222BC AC AB ∴=+22AB m n =+22AD AB BD m n m ∴=-=+222AD m AD n ∴+-)()2222222m n m m m n m n =+++- 222222222222m n m m n m m m n m n =+-+++-0=;∴线段AD 的长度是方程22 20x mx n +-=的一个根②依题意得:,,AD AE BD BC AB AD BD ==== 2AD EC =2233AD AE AC n ∴=== 在RT ABC 中,90ACB ∠=222BC AC AB ∴+=22223m n n m ⎛⎫+=+ ⎪⎝⎭ 22224493m n n mn m +=++ 25493n mn = 512m n ∴= 【点睛】本题考查的是基本作图,勾股定理、一元二次方程的解法,掌握一元二次方程的求根公式、勾股定理是解题的关键.25.(1)见解析;(2)∠ADC=45α︒+;(3)2BD DE =【分析】(1)根据题意画出图形即可;(2)根据对称的性质,等腰三角形的性质及角与角之间的和差关系进行计算即可; (3)画出图形,结合(2)的结论证明△BED 为等腰直角三角形,从而得出结论.【详解】解:(1)如图所示;(2)∵点B 与点D 关于直线AP 对称,∠BAP=α,∴∠PAD=α,AB=AD ,∵90BAC ∠=︒,∴902DAC α∠=︒-,又∵AB=AC ,∴AD=AC ,∴∠ADC=1[180(902)]2α⨯︒-︒-=45α︒+; (3)如图,连接BE ,由(2)知:∠ADC=45α︒+,∵∠ADC=∠AED+∠EAD ,且∠EAD=α,∴∠AED=45°,∵点B与点D关于直线AP对称,即AP垂直平分BD,∴∠AED=∠AEB=45°,BE=DE,∴∠BED=90°,∴△BED是等腰直角三角形,∴22222BD BE DE DE=+=,∴2BD DE=.【点睛】本题考查了轴对称的性质,等腰三角形的性质,勾股定理等知识,明确角与角之间的关系,学会添加常用辅助线构造直角三角形是解题的关键.26.(1)假;(2)∠A=45°;(3)①不能,理由见解析,②见解析【分析】(1)先由直角三角形是类勾股三角形得出ab+a2=c2,再由勾股定理得a2+b2=c2,即可判断出此直角三角形是等腰直角三角形;(2)由类勾股三角形的定义判断出此三角形是等腰直角三角形,即可得出结论;(3)①分三种情况,利用等腰三角形的性质即可得出结论;②先求出CD=CB=a,AD=CD=a,DB=AB-AD=c-a,DG=BG=12(c-a),AG=12(a+c),两个直角三角形中利用勾股定理建立方程即可得出结论.【详解】解:(1)如图1,假设Rt△ABC是类勾股三角形,∴ab+a2=c2,在Rt△ABC中,∠C=90°,根据勾股定理得,a2+b2=c2,∴ab+b2=a2+b2,∴ab=a2,∴a=b,∴△ABC是等腰直角三角形,∴等腰直角三角形是类勾股三角形,即:原命题是假命题,故答案为:假;(2)∵AB=BC,AC>AB,∴a=c,b>c,∵△ABC是类勾股三角形,∴ac+a2=b2,∴c2+a2=b2,∴△ABC是等腰直角三角形,∴∠A=45°,(3)①在△ABC中,∠ABC=2∠BAC,∠BAC=32°,∴∠ABC=64°,根据三角形的内角和定理得,∠ACB=180°﹣∠BAC﹣∠ABC=84°,∵把这个三角形分成两个等腰三角形,∴(Ⅰ)、当∠BCD=∠BDC时,∵∠ABC=64°,∴∠BCD=∠BDC=58°,∴∠ACD=∠ACB﹣∠BCD=84°﹣58°=26°,∠ADC=∠ABC+∠BCD=122°∴△ACD不是等腰三角形,此种情况不成立;(Ⅱ)、当∠BCD=∠ABC=64°时,∴∠BDC=52°,∴∠ACD=20°,∠ADC=128°,∴△ACD是等腰三角形,此种情况不成立;(Ⅲ)、当∠BDC=∠ABC=64°时,∴∠BCD=52°,∴∠ACD=∠ACB﹣BCD=32°=∠BAC,∴△ACD是等腰三角形,即:分割线和顶角标注如图2所示,Ⅱ、分∠ABC,同(Ⅰ)的方法,判断此种情况不成立;Ⅲ、分∠BAC,同(Ⅱ)的方法,判断此种情况不成立;②如图3,在AB边上取点D,连接CD,使∠ACD=∠A图3作CG⊥AB于G,∴∠CDB=∠ACD+∠A=2∠A,∵∠B=2∠A,∴∠CDB=∠B,∴CD=CB=a,∵∠ACD=∠A,∴AD=CD=a,∴DB=AB﹣AD=c﹣a,∵CG⊥AB,∴DG=BG=12(c﹣a),∴AG=AD+DG=a+12(c﹣a)=12(a+c),在Rt△ACG中,CG2=AC2﹣AG2=b2﹣[12(c+a)]2,在Rt△BCG中,CG2=BC2﹣BG2=a2﹣[12(c﹣a)]2,∴b2﹣[12(a+c)]2=a2﹣[12(c﹣a)]2,∴b2=ac+a2,∴△ABC是“类勾股三角形”.【点睛】此题是三角形综合题,主要考查了等腰三角形的性质,勾股定理,新定义“类勾股三角形”,分类讨论的数学思想,解本题的关键是理解新定义.27.(1)见解析;(2)26;(3)3a+【分析】(1)由∠ACB=∠DCE可得出∠ACD=∠BCE,再利用SAS判定△ACD≌△BCE,即可得到AD=BE;(2)由等腰直角三角形的性质可得CM=12DE,同(1)可证△ACD≌△BCE,得到AD=BE,然后可求AE的长,再判断∠AEB=90°,即可用勾股定理求出AB的长;(3)由等腰三角形的性质易得∠CAB=∠CBA=∠CDE=∠CED=30°,根据30度所对的直角边是斜边的一半可求出,然后利用三角形外角性质推出∠BEN=60°,在Rt△BEN 中即可求出BE,由于BE=AD,所以利用AE=AD+DE即可得出答案.【详解】证明:(1)∵∠ACB=∠DCE∴∠ACB-∠BCD=∠DCE-∠BCD,即∠ACD=∠BCE在△ACD和△BCE中,AC=BC ACD=BCE CD=CE ⎧⎪∠∠⎨⎪⎩∴△ACD ≌△BCE (SAS )∴AD=BE(2)∵∠DCE=90°,CD=CE ,∴△DCE 为等腰直角三角形,∵CM ⊥DE ,∴CM 平分DE ,即M 为DE 的中点 ∴CM=12DE , ∴DE=2CM=14,∵∠ACB=∠DCE∴∠ACB-∠BCD=∠DCE-∠BCD ,即∠ACD=∠BCE 在△ACD 和△BCE 中,AC=BC ACD=BCE CD=CE ⎧⎪∠∠⎨⎪⎩∴△ACD ≌△BCE (SAS )∴AD=BE=10,∠CAD=∠CBE∴AE=AD+DE=24如图,设AE ,BC 交于点H ,在△ACH 和△BEH 中,∠CAH+∠ACH=∠EBH+∠BEH ,而∠CAH=∠EBH , ∴∠BEH=∠ACH=90°,∴△ABE 为直角三角形由勾股定理得2222AB=AE BE =2410=26++ (3)由(1)(2)可得△ACD ≌△BCE , ∴∠DAC=∠EBC ,∵△ACB ,△DCE 都是等腰三角形,∠ACB=∠DCE=120° ∴∠CAB=∠CBA=∠CDE=∠CED=30°, ∵CM ⊥DE ,∴∠CMD=90°,DM=EM ,∴CD=CE=2CM,CM∴∵∠BEN=∠BAE+∠ABE=∠BAE+∠EBC+∠CBA=∠BAE+∠DAC+∠CBA=30°+30°=60°,∴∠NBE=30°,∴BE=2EN,EN∵BN=a∴BE=2EN=3a=AD∴+【点睛】本题考查全等三角形的旋转模型,掌握此模型的特点得到全等三角形是关键,其中还需要用到等腰三角形三线合一与30度所对的直角边的性质,熟练掌握这些基本知识点是关键. 28.(1)y=-2x+12,点C坐标(4,4);(2)画图形见解析,点D坐标(-4,0);(3)点P的坐标(143-,643)【分析】(1)由已知的等式可求得m、n的值,于是可得直线AB的函数解析式,把点C的坐标代入可求得a的值,由此即得答案;(2)画出图象,由CD⊥AB知1AB CDk k=-可设出直线CD的解析式,再把点C代入可得CD的解析式,进一步可求D点坐标;(3)如图2,取点F(-2,8),易证明CE⊥CF且CE=CF,于是得∠PEC=45°,进一步求出直线EF的解析式,再与直线AB联立求两直线的交点坐标,即为点P.【详解】解:(1n﹣12)2=0,∴m=6,n=12,∴A(6,0),B(0,12),设直线AB解析式为y=kx+b,则有1260bk b=⎧⎨+=⎩,解得212kb=-⎧⎨=⎩,∴直线AB解析式为y=-2x+12,∵直线AB过点C(a,a),∴a=-2a+12,∴a=4,∴点C坐标(4,4).(2)过点C作CD⊥AB交x轴于点D,如图1所示,设直线CD解析式为y=12x+b′,把点C(4,4)代入得到b′=2,∴直线CD解析式为y=12x+2,∴点D坐标(-4,0).(3)如图2中,取点F(-2,8),作直线EF交直线AB于P,图2∵直线EC解析式为y=32x-2,直线CF解析式为y=-23x+203,∵32×(-23)=-1,∴直线CE⊥CF,∵EC=13CF=13∴EC=CF,∴△FCE是等腰直角三角形,∴∠FEC=45°,∵直线FE解析式为y=-5x-2,由21252y xy x=-+⎧⎨=--⎩解得143643xy⎧=-⎪⎪⎨⎪=⎪⎩,∴点P的坐标为(1464,33 -).【点睛】本题是一次函数的综合题,综合考查了坐标系中两直线的垂直问题、两条直线的交点问题和求特殊角度下的直线解析式,并综合了勾股定理和等腰直角三角形的判定和性质,解题的关键是熟知坐标系中两直线垂直满足121k k=-,一次函数的交点与对应方程组的解的关系.其中,第(3)小题是本题的难点,寻找到点F(-2,8)是解题的突破口. 29.(1)①BC=DC+EC,理由见解析;②证明见解析;(2)6.【解析】【分析】(1)证明△BAD≌△CAE,根据全等三角形的性质解答;(2)根据全等三角形的性质得到BD=CE,∠ACE=∠B,得到∠DCE=90°,根据勾股定理计算即可;(3)作AE⊥AD,使AE=AD,连接CE,DE,证明△BAD≌△CAE,得到BD=CE=9,根据勾股定理计算即可.【详解】(1)①解:BC=DC+EC,理由如下:∵∠BAC=∠DAE=90°,∴∠BAC﹣∠DAC=∠DAE﹣∠DAC,即∠BAD=∠CAE,在△BAD和△CAE中,,∴△BAD≌△CAE(SAS),∴BD=EC,∴BC=DC+BD=DC+EC,;故答案为:BC=DC+EC;②证明:∵Rt△ABC中,AB=AC,∴∠B=∠ACB=45°,由(1)得,△BAD≌△CAE,∴BD=CE,∠ACE=∠B=45°,∴∠DCE=∠ACB+∠ACE=90°,∴CE2+CD2=ED2,在Rt△ADE中,AD2+AE2=ED2,又AD=AE,∴BD2+CD2=2AD2;(2)解:作AE⊥AD,使AE=AD,连接CE,DE,如图2所示:∵∠BAC+∠CAD=∠DAE+∠CAD,即∠BAD=∠CAE,在△BAD与△CAE中,,∴△BAD≌△CAE(SAS),∴BD=CE=9,∵∠ADC=45°,∠EDA=45°,∴∠EDC=90°,∴DE===6,∵∠DAE=90°,∴AD=AE=DE=6.【点睛】本題是四边形综合题目,考查的是全等三角形的判定和性质、等直角三角形的性质、勾股定理、直角三角形的判定等知识:本题综合性强,熟练掌握等腰直角三角形的性质,证明三角形全等是解题的关键.30.(1)6(2)(310)m2【分析】(1)由已知△ABC的三边a=4,b=5,c=7,可知这是一个一般的三角形,故选用海伦-奏九韶公式求解即可;(2)过点D作DE⊥AB,垂足为E,连接BD.将所求四边形的面积转化为三个三角形的面积的和进行计算.【详解】(1)解:△ABC的面积为S ()()()() a b c a b c a c b b c a +++-+-+-(457)(457)(475)(574)+++-+-+-=6故答案是:6;。
一、选择题1.5﹣x ,则x 的取值范围是( )A .为任意实数B .0≤x≤5C .x≥5D .x≤52.下列各式计算正确的是( )A =B .2=C =D =3.下列计算正确的是( )A B CD 4.下列各式是二次根式的是( )A B C D5. )A .-3B .3或-3C .9D .36.下列运算中,正确的是( )A =3B .=-1C D .37.=a 、x 、y 是两两不同的实数,则22223x xy y x xy y+--+的值是( ) A .3B .13C .2D .538.使式子214x -x 的取值范围是( ) A .x≥﹣2B .x >﹣2C .x >﹣2,且x ≠2D .x≥﹣2,且x ≠29.30x -=成立的x 的值为( ) A .-2 B .3 C .-2或3 D .以上都不对10.下列运算错误的是( )A BC .D 1=二、填空题11.设42-的整数部分为 a,小数部分为 b.则1a b - = __________________________. 12.已知412x =-,则()21142221x x x x -⎛⎫+⋅= ⎪-+-⎝⎭_________ 13.能力拓展:1:2121A -=+;2:3232A -=+;3:4343A -=+;4:54A -=________.…n A :________.()1请观察1A ,2A ,3A 的规律,按照规律完成填空.()2比较大小1A 和2A ∵32+________21+ ∴32+________21+ ∴32-________21-()3同理,我们可以比较出以下代数式的大小:43-________32-;76-________54-;1n n +-________1n n --14.设a ﹣b=2+3,b ﹣c=2﹣3,则a 2+b 2+c 2﹣ab ﹣ac ﹣bc=_____.15.实数a ,b 在数轴上的位置如图所示,则化简()22b a b +-﹣|a +b |的结果是_____.16.已知a 73+a 3+5a 2﹣4a ﹣6的值为_____. 17.已知|a ﹣20072008a -=a ,则a ﹣20072的值是_____.18.对于任意实数a ,b ,定义一种运算“◇”如下:a ◇b =a(a -b)+b(a +b),如:3◇2=3×(3-2)+2×(3+2)=1332=_____.19.25523y x x =--,则2xy 的值为__________.20.2a ·8a (a ≥0)的结果是_________.三、解答题21.计算:27812)6【答案】3243【分析】先将括号内的二次根式进行化简并合并,再进行二次根式的乘法运算即可.【详解】解:===【点睛】此题主要考查了二次根式的混合运算,熟练掌握运算法则是解答此题的关键.22.先化简,再求值:2443(1)11m mmm m-+÷----,其中2m=.【答案】22mm-+1.【解析】分析:先根据分式的混合运算顺序和运算法则化简原式,再将m的值代入计算可得.详解:原式=221 mm--()÷(31m-﹣211mm--)=221 mm--()÷2 41m m--=221 mm--()•122mm m--+-()()=﹣22 mm-+=22mm -+当m﹣2时,原式===﹣1+=1.点睛:本题主要考查分式的化简求值,解题的关键是掌握分式的混合运算顺序和运算法则.23.计算(1))(12112-⨯--⎝⎭(2)已知:11,22x y ==,求22x xy y ++的值. 【答案】(1)28-;(2)17.【分析】(1)先利用完全平方公式和平方差公式计算二次根式的乘法、负指数幂运算,再计算二次根式的加减法即可得;(2)先求出x y +和xy 的值,再利用完全平方公式进行化简求值即可得.【详解】(1)原式()((221312⎡⎤=⨯+--⎢⎥⎣⎦, (()1475452=⨯+---230=+28=-;(2)(1119,22x y ==, 1122x y ∴+=+=, ()11119112224xy =⨯=⨯-=, 则()222x xy y x y xy ++=+-, 22=-, 192=-,17=.【点睛】本题考查了二次根式的混合运算、完全平方公式和平方差公式等知识点,熟练掌握二次根式的运算法则是解题关键.24.已知x²+2xy+y²的值.【答案】16【解析】分析:(1)根据已知条件先计算出x+y=4,再利用完全平方公式得到x²+2xy+y²=(x+y )²,然后利用整体代入的方法计算.本题解析:∵x² +2xy+y² =(x+y)²,∴当∴x²+2xy+y²=(x+y)²=(2−=16.25.计算:(1 (2)()()2221-【答案】2)1443【分析】(1)先化成最简二次根式,然后再进行加减运算即可;(2)套用平方差公式和完全平方式进行运算即可.【详解】解:(1)原式=23223323,(2)原式(34)(12431)1124311443,故答案为:1443.【点睛】 本题考查二次根式的四则运算,熟练掌握二次根式的四则运算是解决本题的关键.26.已知长方形的长a =b =. (1)求长方形的周长; (2)求与长方形等面积的正方形的周长,并比较其与长方形周长的大小关系.【答案】(1)2)长方形的周长大.【解析】试题分析:(1)代入周长计算公式解决问题;(2)求得长方形的面积,开方得出正方形的边长,进一步求得周长比较即可. 试题解析:(1)()11222223a b ⎛+=⨯=⨯⨯⨯=⨯= ⎝∴长方形的周长为 .(2)11 4.23=⨯⨯=正方形的面积也为4. 2.=周长为:428.⨯=8.>∴长方形的周长大于正方形的周长.27.计算下列各题:(1(2)2-.【答案】(1)2)2--【分析】(1)根据二次根式的运算顺序和运算法则计算即可;(2)利用平方差、完全平方公式进行计算.【详解】解:(1)原式==;(2)原式22(5=--+525=---2=--【点睛】本题考查二次根式的加减乘除混合运算,熟练掌握运算法则和乘法公式是关键.28.计算:(1)13⎛+-⨯ ⎝⎭(2))()2221+.【答案】(1)6-;(2)12-【分析】(1)原式化简后,利用二次根式乘法法则计算即可求出值;(2)原式利用平方差公式,以及完全平方公式计算即可求出值.【详解】解:(1)原式=1(233⨯⨯-⨯=-⨯=3⎫⨯⎪⎪⎭=6-;(2)原式=3﹣4+12﹣=12﹣.【点睛】此题考查了二次根式的混合运算,以及平方差公式、完全平方公式,熟练掌握运算法则及公式是解本题的关键.【参考答案】***试卷处理标记,请不要删除一、选择题1.D解析:D【分析】根据二次根式的性质得出5-x≥0,求出即可.【详解】==-=-,|5|5x x∴5-x≥0,解得:x≤5,故选D.【点睛】本题考查了二次根式的性质的应用,注意:当a≥0,当a≤0.2.C解析:C【分析】计算出各个选项中的正确结果,即可得到哪个选项是正确【详解】A错误;∵2+B错误;=,故选项C正确;=,故选项D错误.2故选C.【点睛】本题考查二次根式的混合运算,解题的关键是明确二次根式的混合运算的计算方法.3.A解析:A【解析】分析:根据二次根式的加、减、乘、除的法则计算逐一验证即可.详解:, 此选项正确;≠此选项错误;, 此选项错误;,此选项错误.故选A.点睛:本题考查了二次根式的混合运算,掌握二次根式的运算法则是解题的关键. 4.A解析:A【分析】根据二次根式定义和有意义的条件:被开方数是非负数,即可判断.【详解】解:A、符合二次根式有意义条件,符合题意;B、-1<0B选项不符合题意;C、是三次根式,所以C选项不符合题意;D、π-4<0D选项不符合题意.故选:A.【点睛】a≥0.5.D解析:D【分析】根据二次根式的性质进行计算即可.【详解】|3|3=.故选:D.【点睛】(0)0(0)(0)a aa aa a><⎧⎪===⎨⎪-⎩.6.D解析:D【分析】根据二次根式的加减乘除法则逐项判断即可得.【详解】A314=+=,此项错误B、23==-,此项错误C2428===⨯=,此项错误D、3=,此项正确故选:D.【点睛】本题考查了二次根式的加减乘除运算,熟记二次根式的运算法则是解题关键.7.B解析:B【分析】根据根号下的数要是非负数,得到a(x-a)≥0,a(y-a)≥0,x-a≥0,a-y≥0,推出a≥0,a≤0,得到a=0,代入即可求出y=-x,把y=-x代入原式即可求出答案.【详解】由于根号下的数要是非负数,∴a(x-a)≥0,a(y-a)≥0,x-a≥0,a-y≥0,a(x-a)≥0和x-a≥0可以得到a≥0,a(y-a)≥0和a-y≥0可以得到a≤0,所以a只能等于0,代入等式得,所以有x=-y,即:y=-x,由于x,y,a是两两不同的实数,∴x>0,y<0.将x=-y代入原式得:原式=()()()()2222313x x x xx x x x+---=--+-.故选B.【点睛】本题主要考查对二次根式的化简,算术平方根的非负性,分式的加减、乘除等知识点的理解和掌握,根据算术平方根的非负性求出a、x、y的值和代入求分式的值是解此题的关键.8.C解析:C【分析】根据分式和二次根式有意义的条件(分式的分母不为零,二次根式的被开方数为非负数)即可得到结果.【详解】解:由题意得:2x-40≠,2x∴≠±,又∵20x+≥,∴x≥-2.∴x的取值范围是:x>-2且2x≠.故选C.【点睛】本题考查了分式和二次根式有意义的条件,解不等式,是基础题. 9.B解析:B【分析】根据二次根式有意义的条件以及二次根式的乘法进行分析即可得答案.【详解】x30-=,=0=,∴x=-2或x=3,又∵2030 xx+≥⎧⎨-≥⎩,∴x=3,故选B.【点睛】本题考查了二次根式的乘法以及二次根式有意义的条件,熟练掌握相关知识是解题的关键. 10.D解析:D【分析】根据二次根式的乘法法则对A进行判断;根据分母有理化对B进行判断;根据二次根式的加减法对C进行判断;根据二次根式的性质对D进行判断.【详解】AB2计算正确,不符合题意;C、计算正确,不符合题意;D11=≠符合题意;故选:D.【点睛】本题考查了二次根式的混合运算,正确掌握相关运算法则是解题关键.二、填空题11.【分析】根据实数的估算求出a,b ,再代入即可求解.【详解】∵1<<2,∴-2<-<-1,∴2<<3∴整数部分a=2,小数部分为-2=2-,∴==故填:.【点睛】此题主要考查无理解析:12-【分析】根据实数的估算求出a,b ,再代入1a b -即可求解. 【详解】∵1<2,∴-2<<-1,∴2<43∴整数部分a=2,小数部分为4,∴1ab -=2222=-=12-故填:1. 【点睛】此题主要考查无理数的估算,分母有理化等,解题的关键熟知实数的性质.12.【分析】利用完全平方公式化简,得到;化简分式,最后将代入化简后的分式,计算即可.【详解】将代入得:故答案为:【点睛】本题考查二次根式的化简以及分式的化简求值,难度较大,难点在解析:1-【分析】利用完全平方公式化简x =1x =;化简分式,最后将1x =代入化简后的分式,计算即可.【详解】1x =====()211422(2)(2)2221(2)(2)2(1)x x x x x x x x x x x -++-+-⎛⎫+⋅= ⎪-+--+-⎝⎭ 1x x =-将1x =1=-故答案为:1-【点睛】本题考查二次根式的化简以及分式的化简求值,难度较大,难点在于化简x =熟练掌握相关知识点是解题关键. 13.(1)、;(2);(3)【解析】【分析】(1)观察A1,A2,A3的规律可知将等式的右边乘以分母的有理化分式,即可得到左边的代数式;(2)先根据不等式的性质等式的两边同时加上或減去一个数,等解析:(1)=;(2),,><<;(3) ,,<<< 【解析】【分析】(1)观察A 1,A 2,A 3的规律可知将等式的右边乘以分母的有理化分式,即可得到左边的代数式;(2)先根据不等式的性质等式的两边同时加上或減去一个数,等式仍成立,求得>1)的结论解答;(3)利用(2)的结论进行填空.【详解】解:(1)观察A 1,A 2,A 3的规律可知,将等式右边的分式分母有理化,即得等式左边的代数式,所以=,(2>1>>,<<(3)由(1)、(2<,故答案为:=;(2),,><<;(3),,<<< 【点睛】 主要考查二次根式的有理化.根据二次根式的乘除法法则进行二次根式有理化.二次根式有理化主要利用了平方差公式,所以一般二次根式的有理化因式是符合平方差公式的特点的式子.即一项符号和绝对值相同,另一项符号相反绝对值相同.14.15【解析】根据题意,由a ﹣b=2+,b ﹣c=2﹣,两式相加得,得到a ﹣c=4,然后根据配方法,把式子各项变为:a2+b2+c2﹣ab ﹣bc ﹣ac=====15.故答案为:15. 解析:15【解析】根据题意,由a ﹣b ﹣c=2,两式相加得,得到a ﹣c=4,然后根据配方法,把式子各项变为:a 2+b 2+c 2﹣ab ﹣bc ﹣ac=2222222222a b c ab ac bc ++﹣﹣﹣=2222222222a ab b b bc c a ac c +++++﹣﹣﹣=222()()()2a b b c a c -+-+-=222(2(242++=15. 故答案为:15.【分析】先判断a,b的取值范围,并分别判断a-b,a+b的符号,再根据二次根式的性质和绝对值的性质化简,计算即可求解.【详解】解:由数轴可知:b>0,a﹣b<0,a+b<0,∴原式=|解析:3b【分析】先判断a,b的取值范围,并分别判断a-b,a+b的符号,再根据二次根式的性质和绝对值的性质化简,计算即可求解.【详解】解:由数轴可知:b>0,a﹣b<0,a+b<0,∴原式=|b|+|a﹣b|﹣|a+b|=b﹣(a﹣b)+(a+b)=b﹣a+b+a+b=3b,故答案为:3b【点睛】=和绝对值的性质是解题的关a键.16.-4【分析】先将a进行化简,然后再进一步分组分解代数式,最后代入求得答案即可. 【详解】解:当a=-=-=-3时,原式=a3+6a2+9a-(a2+6a+9)-7a+3=a(a+3)2-(解析:-4【分析】先将a进行化简,然后再进一步分组分解代数式,最后代入求得答案即可.【详解】-3时,解:当a原式=a3+6a2+9a-(a2+6a+9)-7a+3=a(a+3)2-(a+3)2-7a+3=7a-7-7a+3故答案为:-4.【点睛】本题综合运用了二次根式的化简,提公因式及完全平方公式法分解因式,熟练掌握分母有理化的方法及因式分解的方法是解题的关键.17.2008【解析】分析:本题首先能够根据二次根式的被开方数为非负数的条件,得到a 的取值范围;再根据a 的取值范围,化简去掉绝对值;最后进行整理变形. 详解:∵|a ﹣2007|+=a ,∴a≥2008,解析:2008【解析】分析:本题首先能够根据二次根式的被开方数为非负数的条件,得到a 的取值范围;再根据a 的取值范围,化简去掉绝对值;最后进行整理变形.详解:∵|a ﹣2007=a ,∴a ≥2008,∴a ﹣2007=a ,=2007,两边同平方,得:a ﹣2008=20072,∴a ﹣20072=2008.故答案为:2008.点睛:解决此题的关键是能够得到a 的取值范围,从而化简绝对值并变形.18.5【解析】◇==5.故本题应填5.点睛:理解新定义运算的运算规则,其实就是一个对应关系,a 对应,b 对应,即将a=,b=,代入到代数式a(a -b)+b(a +b)中,再根据二次根式的混合运算法则解析:5【解析】32==5. 故本题应填5.点睛:理解新定义运算的运算规则,其实就是一个对应关系,a ,b ,即将,代入到代数式a(a -b)+b(a +b)中,再根据二次根式的混合运算法则进行计算,注意最终的结果一定要化为最简二次根式.19.【解析】试题分析:根据二次根式的意义和等式的特点,可知2x-5=0,解得x=,y=-3,代入可得=-2××3=-15.解析:15-试题分析:根据二次根式的意义和等式的特点,可知2x-5=0,解得x=52,y=-3,代入可得2xy=-2×52×3=-15.20.4a【解析】【分析】根据二次根式乘法法则进行计算即可得.【详解】===4a,故答案为4a.【点睛】本题考查了二次根式的乘法,熟练掌握二次根式乘法法则是解题的关键.解析:4a【解析】【分析】根据二次根式乘法法则进行计算即可得.)0a≥===4a,故答案为4a.【点睛】本题考查了二次根式的乘法,熟练掌握二次根式乘法法则是解题的关键.三、解答题21.无22.无23.无24.无25.无27.无28.无。
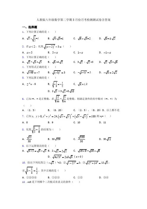
人教版八年级第二学期3月份 月考检测数学试卷含答案一、选择题1.下列根式是最简二次根式的是( )A.4 B .21x + C .12 D .40.5 2.若实数m 、n 满足等式402n m -+=-,且m 、n 恰好是等腰ABC 的两条边的边长,则ABC 的周长( )A .12B .10C .8D .63.下列根式中,与3是同类二次根式的是( )A .12B .23C .18D .294.下列计算正确的是( )A .2510⨯=B .623÷=C .12315+=D .241-=5.下列各式计算正确的是( )A .6232126()b a b a b a ---⋅= B .(3xy )2÷(xy )=3xyC .23a a a +=D .2x •3x 5=6x 6 6.下列式子一定是二次根式的是 ( ) A .2a B .-a C .3a D .a7.下列各式中,正确的是( )A .16=±4B .±16=4C .2668⨯= D .42783+⨯= - 48.如图,是按一定规律排成的三角形数阵,按图中数阵的排列规律,第9行从左至右第5个数是( ) 123256722310A .210B .41C .52D .51 9.已知a 为实数,则代数式227122a a -+的最小值为( )A .0B .3C .33D .9 10.实数a ,b 在数轴上的位置如图所示,则化简﹣+b 的结果是( )A .1B .b+1C .2aD .1﹣2a 11.已知0xy <,化简二次根式2y x x -的正确结果为( ) A .y B .y - C .y - D .y --12.设0a >,0b >,且()()35aa b b a b +=+,则23a b ab a b ab -+++的值是( )A .2B .14C .12D .3158 二、填空题13.化简并计算:()()()()()()()...112231920x x x x x x x x ++++=+++++++________.(结果中分母不含根式)14.实数a 、b 满足22a -4a 436-12a a 10-b 4-b-2+++=+,则22a b +的最大值为_________.15.已知a ,b 是正整数,若有序数对(a ,b )使得112()a b+的值也是整数,则称(a ,b )是112()a b +的一个“理想数对”,如(1,4)使得112()a b+=3,所以(1,4)是112()a b +的一个“理想数对”.请写出112()a b +其他所有的“理想数对”: __________.16.将1、2、3、6按右侧方式排列.若规定(m ,n )表示第m 排从左向右第n 个数,则(5,4)与(9,4)表示的两数之积是______.17.计算:2015·2016=________.18.对于任意实数a,b,定义一种运算“◇”如下:a◇b=a(a-b)+b(a+b),如:3◇2=3×(3-2)+2×(3+2)=13=_____.xy>.19.如果020.函数y中,自变量x的取值范围是____________.三、解答题21.先阅读下列解答过程,然后再解答:,a b,使a b m=,使得+=,ab n22m+====>a b)==,由于437,4312+=⨯=,m n7,12+=,=即:227===+。
八年级第二学期3月份月考检测数学试卷含答案一、选择题1.下列计算正确的是( )A =B =C 26D 4=2.已知x 1x 2,则x₁²+x₂²等于( ) A .8B .9C .10D .113.下列各式计算正确的是( )A .6232126()b a b a b a---⋅=B .(3xy )2÷(xy )=3xyC =D .2x •3x 5=6x 64.下列式子中,属于最简二次根式的是( )A BCD 5.下列各式中,正确的是( )A B .C2= D =- 46.已知226a b ab +=,且a>b>0,则a ba b+-的值为( )A B C .2D .±27.2= ) A .3B .4C .5D .68.下列各式计算正确的是( )A B .C .D9.下列计算正确的是( )A =B =C 6=-D 1=10.下列各式成立的是( )A 2B 5=-C xD 6=-11.是同类二次根式,那么a 的值是( ) A .﹣2B .﹣1C .1D .212.与根式- )A.B.x-C.D二、填空题13.当xx2﹣4x+2017=________.14.)30m-≤,若整数a满足m a+=a=__________.15.+的形式(,,a b c为正整数),则abc=______.16.,3,,,则第100个数是_______.17.已知x,y,则x2+xy+y2的值为______.18.有意义,则x的取值范围是____.19.1=-==++……=___________.20.(a≥0)的结果是_________.三、解答题21.阅读材料,回答问题:两个含有二次根式的代数式相乘,如果它们的积不含有二次根式,我们就说这两个代数式a=,)111=11互为有理化因式.(1)1的有理化因式是;(2)这样,化简一个分母含有二次根式的式子时,采用分子、分母同乘以分母的有理化因式的方法就可以了,例如:3==,24====进行分母有理化.(3)利用所需知识判断:若a=,2b=a b,的关系是.(4)直接写结果:)1=.【答案】(1)1;(2)7-;(3)互为相反数;(4)2019【分析】(1)根据互为有理化因式的定义利用平方差公式即可得出;(2)原式分子分母同时乘以分母的有理化因式(2,化简即可;(3)将a=(4)化简第一个括号内的式子,里面的每一项进行分母有理化,然后利用平方差公式计算即可.【详解】解:(1)∵()()1111=,∴1的有理化因式是1;(2227 -==-(3)∵2a===,2b=-,∴a和b互为相反数;(4))1 ++⨯=)11⨯=)11=20201-=2019,故原式的值为2019.【点睛】本题考查了互为有理化因式的定义及分母有理化的方法,并考查了利用分母有理化进行计算及探究相关式子的规律,本题属于中档题.22.先化简,再求值:24211326x xx x-+⎛⎫-÷⎪++⎝⎭,其中1x=..【分析】根据分式的运算法则进行化简,再代入求解.【详解】原式=221(1)12(3)232(3)3(1)1x x x x x x x x x ---+⎛⎫⎛⎫÷=⋅= ⎪ ⎪+++--⎝⎭⎝⎭.将1x == 【点睛】此题主要考查分式的运算,解题的关键是熟知分式的运算法则.23.先观察下列等式,再回答问题:=1+1=2;12=2 12;=3+13=313;… (1)根据上面三个等式提供的信息,请猜想第四个等式;(2)请按照上面各等式规律,试写出用 n (n 为正整数)表示的等式,并用所学知识证明.【答案】(1=144+=144;(2=211n n n n++=,证明见解析. 【分析】(1)根据“第一个等式内数字为1,第二个等式内数字为2,第三个等式内数字为3”,=414+=414;(2=n 211n n n++=”,再利用222112n n n n++=+()()开方即可证出结论成立.【详解】(1=1+1=2=212+=212;=313+=313;里面的数字分别为1、2、3,= 144+= 144.(2=1+1=2,=212+=212=313+=313=414+=414= 211n n n n++=.证明:等式左边==n 211n n n++==右边.=n 211n n n++=成立. 【点睛】本题考查了二次根式的性质与化简以及规律型中数的变化类,解题的关键是:(1)猜测出第四个等式中变化的数字为4;(2)找出变化规律=n 211n n n++=”.解决该题型题目时,根据数值的变化找出变化规律是关键.24.小明在解决问题:已知2a 2﹣8a+1的值,他是这样分析与解的:∵=2 ∴a ﹣2=∴(a ﹣2)2=3,a 2﹣4a+4=3 ∴a 2﹣4a=﹣1∴2a 2﹣8a+1=2(a 2﹣4a )+1=2×(﹣1)+1=﹣1 请你根据小明的分析过程,解决如下问题:(1(2)若,求4a 2﹣8a+1的值.【答案】(1)9;(2)5. 【解析】 试题分析:(1)此式必须在把分母有理化后才能实现化简,即各分式分子分母同乘以一个因式,使得1===.(2)先对a 1 ,若就接着代入求解,计算量偏大.模仿小明做法,可先计算2(1)a - 的值,就能较为简单地算出结果;也可对这个二次三项式进行配方,再代入求值.后两种方法都比直接代入计算量小很多.解:(1)原式=1)+++⋯(2)∵1a ===,解法一:∵22(1)11)2a -=-= , ∴2212a a -+= ,即221a a -=∴原式=24(2)14115a a -+=⨯+= 解法二∴ 原式=24(211)1a a -+-+24(1)3a =--211)3=--4235=⨯-=点睛:(1得22=-=-a b ,去掉根号,实现分母有理化.(2)当已知量为根式时,求这类二次三项式的值,直接代入求值,计算量偏大,若能巧妙利用完全平方公式或者配方法,计算要简便得多.25.先化简,再求值:(()69x x x x --+,其中1x =.【答案】化简得6x+6,代入得 【分析】根据整式的运算公式进行化简即可求解. 【详解】(()69x x x x +--+=22369x x x --++ =6x+6把1x =代入原式=61)【点睛】此题主要考查实数的运算,解题的关键熟知整式的运算法则.26.计算(2)2;(4)【答案】(1)2)9-;(3)1;(4)【分析】(1)根据二次根式的性质和绝对值的代数意义进行化简后合并即可;(2)根据完全平方公式进行计算即可;(3)根据二次根式的乘除法法则进行计算即可;(4)先进行乘法运算,再合并即可得到答案.【详解】解:==(2)2=22-=63-=9-=1;(4)===【点睛】此题主要考查了二次根式的混合运算,熟练掌握运算法则是解答此题的关键.27.先化简,再求值:2222212⎛⎫----÷⎪-+⎝⎭x y x yxx x xy y,其中x y==.【答案】原式x yx-=-,把x y==代入得,原式1=-.【详解】试题分析:先将括号里面进行通分,再将能分解因式的分解因式,约分化简即可. 试题解析:2222212⎛⎫----÷ ⎪-+⎝⎭x y x y x x x xy y ()()()222=x y x y x x xx x x y x y -⎛⎫---⋅ ⎪+-⎝⎭=y x x y x x y ---⋅+ x yx-=-把x y ==代入得:原式1==-+考点:分式的化简求值.28.计算下列各式:(1;(2【答案】(12;(2) 【分析】先根据二次根式的性质化简,再合并同类二次根式即可. 【详解】(1)原式2=- 2=; (2)原式==. 【点睛】本题考查了二次根式的加减,熟练掌握性质是解答本题的关键(0)(0)a a a a a ≥⎧==⎨-<⎩,)0,0a b=≥≥=(a≥0,b>0).29.已知a,b(1)求a2﹣b2的值;(2)求ba+ab的值.【答案】(1);(2)10【分析】(1)先计算出a+b、a-b的值,然后将所求的式子因式分解后利用整体代入思想代入数值进行计算即可;(2)先计算ab的值,然后将所求的式子通分,分子进行变形后利用整体代入思想代入相关数值进行计算即可.【详解】(1)∵ab,∴a+ba﹣b=,∴a2﹣b2=(a+b)(a﹣b)==;(2)∵ab,∴ab=)×)=3﹣2=1,则原式=22b aab+=()22a b abab+-=(2211-⨯=10.【点睛】本题考查了二次根式的化简求值,熟练掌握整体代入思想是解题的关键.30.计算:(1;(2+2)2+2).【答案】(1-2)【分析】(1)直接化简二次根式进而合并得出答案;(2)直接利用乘法公式计算得出答案.【详解】解:(1)原式=-(2)原式=3434++-=6+.【点睛】本题考查了二次根式的运算,在进行二次根式运算时,可以运用乘法公式,运算率简化运算.【参考答案】***试卷处理标记,请不要删除一、选择题 1.B 解析:B 【解析】解:A; B==; C=;D2===.故选项错误.故选B .2.C解析:C 【详解】12x x +==12321x x ==-=,所以()2221212122x x x x x x +=+-=(22112210-⨯=-=,故选:C . 【点睛】对于形如2212x x +的式子,改变其中两个字母的位置后,并不改变代数式的值,通常将具有这个特点的代数式称为轮换对称式,如1211+x x ,1221x x x x +,12x x -等,轮换对称式都可以用12x x +,12x x 来表示,所以求轮换对称式的值,一般是先将式子用12x x +,12x x 来表示,然后再整体代入计算.3.D解析:D 【分析】依据单项式乘以单项式、单项式除以单项式以及二次根式的加法法则对各项分别计算出结果,再进行判断即可得到结果. 【详解】A. 2321526()b a b a b a ---⋅=,故选项A 错误; B. (3xy )2÷(xy )=9xy ,故选项B 错误;C 错误;D. 2x •3x 5=6x 6,正确.故选:D .【点睛】此题考查了整式的混合运算,熟练掌握运算法则是解本题的关键.4.B解析:B【分析】根据最简二次根式的定义(①被开方数不含有能开得尽方的因式或因数,②被开方数不含有分母,满足以上两个条件的二次根式叫最简二次根式)逐个判断即可.【详解】解:A =2,不是最简二次根式,故本选项错误;BC =D =,不是最简二次根式,故本选项错误;故选:B .【点睛】本题考查了最简二次根式的定义的应用,能熟记最简二次根式的定义是解此题的关键,注意:最简二次根式满足以下两个条件:①被开方数不含有能开得尽方的因式或因数,②被开方数不含有分母.5.C解析:C【分析】根据算术平方根与平方根的定义、二次根式的加法与乘除法逐项判断即可.【详解】A 4=,此项错误B 、4=±,此项错误C2==,此项正确D == 故选:C .【点睛】本题考查了算术平方根与平方根的定义、二次根式的加法与乘除法,掌握二次根式的运算法则是解题关键.6.A解析:A【解析】【分析】已知a 2+b 2=6ab ,变形可得(a+b )2=8ab ,(a-b )2=4ab ,可以得出(a+b )和(a-b )的值,即可得出答案.【详解】∵a 2+b 2=6ab ,∴(a+b )2=8ab ,(a-b )2=4ab ,∵a >b >0,∴∴a b a b +-= 故选A.【点睛】本题考查了分式的化简求值问题,观察式子可以得出应该运用完全平方式来求解,要注意a 、b 的大小关系以及本身的正负关系.7.C解析:C【解析】2=,2222251510x x =-=--+=,5=.故选C.8.D解析:D【解析】不是同类二次根式,因此不能计算,故不正确.根据同类二次根式,可知,故不正确;根据二次根式的性质,可知,故不正确;3==,故正确.故选D.9.B解析:B【分析】根据二次根式加减运算和二次根式的性质逐项排除即可.与A选项错误;===B选项正确;=-=,所以C选项错误;321与D选项错误;故选答案为B.【点睛】本题考查了二次根式加减运算和二次根式的性质,掌握同类二次根式的定义和二次根式的性质是解答本题的关键.10.A解析:A【分析】直接利用二次根式的性质化简求出即可.【详解】解:,正确,故选项A符合题意;=,原选项计算错误,故选项B不符合题意;=,原选项计算错误,故选项C不符合题意;||xD. =,原选项计算错误,故选项D不符合题意.故选:A.【点睛】此题主要考查了二次根式的性质与化简,正确掌握二次根式的性质是解答此题的关键.11.D解析:D【分析】根据最简二次根式与同类二次根式的定义列方程组求解.【详解】由题意,得7-2a=3,解得a=2,故选D.【点睛】此题主要考查了同类二次根式的定义,即:二次根式化成最简二次根式后,被开方数相同的二次根式叫做同类二次根式.12.D【分析】先化简二次根式,再计算二次根式的乘法即可.【详解】由题意可得x 是负数,所以-x x-⋅=- 故选:D .【点睛】此题考查二次根式的化简,二次根式的乘法计算法则,正确化简二次根式是解题的关键,注意题目中x 的符号是负号,这是解题的难点. 二、填空题13.2016【解析】把所求的式子化成(x ﹣2)2+2013然后代入式子计算,即可得到:x2﹣4x+2017=(x ﹣2)2+2013 =()2+2013=3+2013=2016.故答案是:2016.解析:2016【解析】把所求的式子化成(x ﹣2)2+2013然后代入式子计算,即可得到:x 2﹣4x+2017=(x ﹣2)2+2013 =2+2013=3+2013=2016.故答案是:2016.点睛:此题主要考查了配方法的应用,解题关键是把式子配成完全平方,然后整体代入即可求解,考查了学生对整体思想的认识和应用,学生对整体思想不熟时出错的主要原因.14.【分析】先根据确定m 的取值范围,再根据,推出,最后利用来确定a 的取值范围.【详解】解:为整数为故答案为:5.【点睛】本题考查的知识点是二次根式以及估算无理数的大小,利用解析:5【分析】)30m -≤确定m 的取值范围,再根据m a +=32a ≤≤,最后利用78<<来确定a 的取值范围.【详解】 解:()230m m --≤23m ∴≤≤m a +=a m ∴=32a ∴≤≤7528<<46a ∴<<a 为整数a ∴为5故答案为:5.【点睛】本题考查的知识点是二次根式以及估算无理数的大小,利用“逼近法”得出围是解此题的关键.15.【解析】【分析】根据题意,可得到=,利用平方关系把根号去掉,根据、、的系数相等的关系得到关于a ,b ,c 的三元方程组,解方程组即可.【详解】∵=∴,即.解得.【点睛】本题考查了解析:【解析】【分析】a ,b ,c 的三元方程组,解方程组即可.【详解】∴(22118=,即2222118235a b c =+++++. 2222352118,2120,2540,2144,a b c ab ac bc ⎧++=⎪=⎪∴⎨=⎪⎪=⎩ 解得15,4,18.a b c =⎧⎪=⎨⎪=⎩154181080abc ∴=⨯⨯=.【点睛】本题考查了二次根式的加减,解本题的关键是将等式平方去根号,利用等量关系中等式左、.16.【分析】原来的一列数即为,,,,,,于是可得第n 个数是,进而可得答案.【详解】解:原来的一列数即为:,,,,,,∴第100个数是.故答案为:.【点睛】本题考查了数的规律探求,属于常考解析:【分析】,,于是可得第n进而可得答案.【详解】,∴第100=.故答案为:【点睛】 本题考查了数的规律探求,属于常考题型,熟练掌握二次根式的性质、找到规律是解题的关键.17.4【详解】根据完全平方公式可得:原式=-xy==5-1=4.解析:4【详解】根据完全平方公式可得:原式=2()x y +-xy=251515151)222=5-1=4. 18.x≥0.【分析】直接利用二次根式有意义的条件进而分析得出答案.【详解】∵有意义,∴x≥0,故答案为x≥0. 【点睛】此题主要考查了二次根式有意义的条件,正确把握定义是解题关键. 解析:x≥0.【分析】直接利用二次根式有意义的条件进而分析得出答案.【详解】有意义,∴x≥0, 故答案为x≥0.【点睛】此题主要考查了二次根式有意义的条件,正确把握定义是解题关键.19.2018【分析】先根据已知等式归纳类推出一般规律,再根据二次根式的加减法与乘法运算法则即可得.【详解】第1个等式为:,第2个等式为:,第3个等式为:,归纳类推得:第n 个等式为:(其中,解析:2018【分析】先根据已知等式归纳类推出一般规律,再根据二次根式的加减法与乘法运算法则即可得.【详解】第11=,第2=,第3=归纳类推得:第n 1=-n 为正整数),则2020++,2020=+,=, 20202=-,2018=,故答案为:2018.【点睛】本题考查了二次根式的加减法与乘法运算,依据已知等式,正确归纳出一般规律是解题关键.20.4a【解析】【分析】根据二次根式乘法法则进行计算即可得.【详解】===4a ,故答案为4a.【点睛】本题考查了二次根式的乘法,熟练掌握二次根式乘法法则是解题的关键.解析:4a【解析】【分析】根据二次根式乘法法则进行计算即可得.)0a≥===4a,故答案为4a.【点睛】本题考查了二次根式的乘法,熟练掌握二次根式乘法法则是解题的关键.三、解答题21.无22.无23.无24.无25.无26.无27.无28.无29.无30.无。
人教版八年级数学第二学期3月份月考检测测试卷含答案一、选择题1.下列计算正确的是( )A 1BCD ±2.若2a <3=( )A .5a -B .5a -C .1a -D .1a -- 3.下列计算正确的是( )A B C .=3D4.下列等式正确的是( )A 7=-B 3=C .5D .=5.下列运算正确的是( )A .32-=﹣6B 12-C =±2D .=6.已知m 、n m ,n )为( ) A .(2,5)B .(8,20)C .(2,5),(8,20)D .以上都不是7.已知44220,24,180x y x y >+=++=、.则xy=( )A .8B .9C .10D .118. )A .30 B .C .30D .9.以下运算错误的是( )A =B .2= CD 2=a >0)10.给出下列化简①(2=2=2=12=,其中正确的是( ) A .①②③④B .①②③C .①②D .③④11.x ≥3是下列哪个二次根式有意义的条件( )A .3x +B .13x - C .13x + D .3x -12.下列各组二次根式中,能合并的一组是( ) A .1a +和1a - B .3和13C .2a b 和2abD .3和18二、填空题13.已知412x =-,则()21142221x x x x -⎛⎫+⋅= ⎪-+-⎝⎭_________ 14.能力拓展:1:2121A -=+;2:3232A -=+;3:4343A -=+;4:54A -=________.…n A :________.()1请观察1A ,2A ,3A 的规律,按照规律完成填空.()2比较大小1A 和2A∵32+________21+∴32+________21+ ∴32-________21-()3同理,我们可以比较出以下代数式的大小:43-________32-;76-________54-;1n n +-________1n n --15.已知3x x+=,且01x <<,则2691x x x =+-______.16.222a a ++-1的最小值是______. 17.化简:-32=_________,1x=________. 18.将一组数2,2,6,22,10,…,251按图中的方法排列:若2的位置记为(2,3),7的位置记为(3,2),则这组数中最大数的位置记为______.19.计算: 20082009⋅-=_________.20.已知4a|2|a -=_____.三、解答题21.先化简,再求值:24211326x x x x -+⎛⎫-÷⎪++⎝⎭,其中1x =.. 【分析】根据分式的运算法则进行化简,再代入求解. 【详解】原式=221(1)12(3)232(3)3(1)1x x x x x x x x x ---+⎛⎫⎛⎫÷=⋅= ⎪ ⎪+++--⎝⎭⎝⎭.将1x == 【点睛】此题主要考查分式的运算,解题的关键是熟知分式的运算法则.22.计算:10099+【答案】910【解析】 【分析】先对代数式的每一部分分母有理化,然后再进行运算 【详解】10099++=21009926129900-++++=9912233499100-+-+-++-=1100- =1110-=910【点睛】本题看似计算繁杂,但只要找到分母有理化这个突破口,就会化难为易。
一、选择题1.若5,a =17=b ,则0.85的值用a 、b 可以表示为 ( ) A .10a b+ B .10-b aC .10ab D .b a2.若2a <,化简()223a --=( )A .5a -B .5a -C .1a -D .1a --3.计算32782-⨯的结果是( ) A .3B .3-C .23D .534.下列计算正确的是( ) A .2×3=6B .2+3=5C .8=42D .4﹣2=25.已知x 1=3+2,x 2=3-2,则x₁²+x₂²等于( ) A .8B .9C .10D .116.下列各式中,正确的是( ) A .42=±B .822-=C .()233-=- D .342=7.下列算式:(1)257+=;(2)5x 2x 3x -=;(3)8+502=4257+=;(4)33a 27a 63a +=,其中正确的是( ) A .(1)和(3) B .(2)和(4)C .(3)和(4)D .(1)和(4)8.下列计算不正确的是 ( )A .35525-=B .236⨯=C .7742=D .363693+=+==9.下列二次根式中,与3是同类二次根式的是( ) A .18B .13C 24D 0.310.使式子2124x x +-x 的取值范围是( ) A .x≥﹣2B .x >﹣2C .x >﹣2,且x ≠2D .x≥﹣2,且x ≠2二、填空题11.已知112a b +=,求535a ab b a ab b++=-+_____.12.已知2216422x x ---=,则22164x x -+-=________. 13.(1)已知实数a 、b 在数轴上的位置如图所示,化简()222144a a ab b +--+=_____________;(2)已知正整数p ,q 满足32016p q +=,则整数对()p q ,的个数是_______________;(3)△ABC 中,∠A=50°,高BE 、CF 所在的直线交于点O,∠BOC 的度数__________. 14.设12211112S =++,22211123S =++,32211134S =++,设12...n S S S S =+++,则S=________________ (用含有n 的代数式表示,其中n 为正整数).15.为了简洁、明确的表示一个正数的算术平方根,许多数学家进行了探索,期间经历了400余年,直至1637年法国数学家笛卡儿在他的《几何学》中开始使用“”表示算数平方根.我国使用根号是由李善兰(1811-1882年)译西方数学书时引用的,她在《代数备旨》中把图1所示题目翻译为: 22164?a x a x +=则图2所示题目(字母代表正数)翻译为_____________,计算结果为_______________.16.把1m m-_____________. 17.若a 、b 、c 均为实数,且a 、b 、c 均不为043252a cb=___________ 18.已知整数x ,y 满足20172019y x x =+--,则y =__________.19.28n n 为________.20.古希腊几何学家海伦和我国宋代数学家秦九韶都曾提出利用三角形的三边求面积的公式,称为海伦—秦九韶公式:如果一个三角形的三边长分别是a ,b ,c ,记2a b cp ++=,那么三角形的面积()()()S p p a p b p c =---ABC 中,A ∠,B ,C ∠所对的边分别记为a ,b ,c ,若4a =,5b =,7c =,则ABC 面积是_______.三、解答题21.先观察下列等式,再回答问题:=1+1=2;12=2 12;=3+13=313;… (1)根据上面三个等式提供的信息,请猜想第四个等式;(2)请按照上面各等式规律,试写出用 n (n 为正整数)表示的等式,并用所学知识证明.【答案】(1=144+=144;(2=211n n n n++=,证明见解析. 【分析】(1)根据“第一个等式内数字为1,第二个等式内数字为2,第三个等式内数字为3”,=414+=414;(2=n 211n n n++=”,再利用222112n n n n++=+()()开方即可证出结论成立.【详解】(1=1+1=2=212+=212;=313+=313;里面的数字分别为1、2、3,= 144+= 144.(2=1+1=2,=212+=212=313+=313=414+=414= 211n n n n++=.证明:等式左边==n 211n n n++==右边.=n 211n n n++=成立. 【点睛】本题考查了二次根式的性质与化简以及规律型中数的变化类,解题的关键是:(1)猜测出第四个等式中变化的数字为4;(2)找出变化规律=n 211n n n++=”.解决该题型题目时,根据数值的变化找出变化规律是关键.22.已知m ,n 满足m 4n=3+.【答案】12015【解析】 【分析】由43m n +=2﹣2)﹣3=0,将,代入计算即可.【详解】解:∵4m n +=3,)22﹣2)﹣3=0,)2﹣23=0,+13)=0,=﹣13,∴原式=3-23+2012=12015.【点睛】本题主要考查二次根式的混合运算,解题的关键是熟练掌握完全平方公式的运用及二次根式性质.23.解:设x222x =++2334x =+,x 2=10 ∴x =10.0.【分析】根据题意给出的解法即可求出答案即可. 【详解】设x两边平方得:x 2=2+2+即x 2=4+4+6, x 2=14∴x =.0,∴x . 【点睛】本题考查了二次根式的运算,解题的关键是正确理解题意给出的解法,本题属于中等题型.24.在学习了二次根式后,小明同学发现有的二次根式可以写成另一个二次根式的平方的形式.比如:2224312111-=-=-+=).善于动脑的小明继续探究:当a b m n 、、、为正整数时,若2a n +=+),则有22(2a m n =+,所以222a m n =+,2b mn =.请模仿小明的方法探索并解决下列问题:(1)当a b m n 、、、为正整数时,若2a n =+),请用含有mn 、的式子分别表示a b 、,得:a = ,b = ;(2)填空:13-( - 2;(3)若2a m +=(),且a m n 、、为正整数,求a 的值.【答案】(1)223a m n =+,2b mn =;(2)213--;(3)14a =或46. 【解析】 试题分析:(1)把等式)2a n +=+右边展开,参考范例中的方法即可求得本题答案;(2)由(1)中结论可得:2231324a m n b mn ⎧=+=⎨==⎩,结合a b m n 、、、都为正整数可得:m=2,n=1,这样就可得到:213(1-=-;(3)将()2a m +=+右边展开,整理可得:225a m n =+,62mn =结合a m n 、、为正整数,即可先求得m n 、的值,再求a 的值即可.试题解析:(1)∵2a n =+),∴223a m n +=++, ∴2232a m n b mn =+=,;(2)由(1)中结论可得:2231324a m nb mn ⎧=+=⎨==⎩ ,∵a b m n 、、、都为正整数,∴12m n =⎧⎨=⎩ 或21m n =⎧⎨=⎩ , ∵当m=1,n=2时,223713a m n =+=≠,而当m=2,n=1时,22313a m n =+=, ∴m=2,n=1,∴(2131--;(3)∵222()52a m m n +=+=++ ∴225a m n =+,62mn = , 又∵a m n 、、为正整数, ∴=1=3m n ,, 或者=3=1m n ,,∴当=1=3m n ,时,46a =;当=3=1m n ,,14a =, 即a 的值为:46或14.25.小明在解决问题:已知2a 2﹣8a+1的值,他是这样分析与解的:∵=2 ∴a﹣2=∴(a ﹣2)2=3,a 2﹣4a+4=3 ∴a 2﹣4a=﹣1∴2a 2﹣8a+1=2(a 2﹣4a )+1=2×(﹣1)+1=﹣1 请你根据小明的分析过程,解决如下问题:(1(2)若,求4a2﹣8a+1的值.【答案】(1)9;(2)5.【解析】试题分析:(1)此式必须在把分母有理化后才能实现化简,即各分式分子分母同乘以一个因式,使得1===.(2)先对a1,若就接着代入求解,计算量偏大.模仿小明做法,可先计算2(1)a-的值,就能较为简单地算出结果;也可对这个二次三项式进行配方,再代入求值.后两种方法都比直接代入计算量小很多.解:(1)原式=1)+++⋯(2)∵1a===,解法一:∵22(1)11)2a-=-=,∴2212a a-+=,即221a a-=∴原式=24(2)14115a a-+=⨯+=解法二∴原式=24(211)1a a-+-+24(1)3a=--211)3=--4235=⨯-=点睛:(1得22=-=-a b,去掉根号,实现分母有理化.(2)当已知量为根式时,求这类二次三项式的值,直接代入求值,计算量偏大,若能巧妙利用完全平方公式或者配方法,计算要简便得多.26.先化简,再求值:a,其中【答案】2a-1,【分析】先根据二次根式的性质进行化简,再代入求值即可.【详解】解:1a =-∴原式=1a a --=21a -当1a =-∴原式=(211-=1-【点睛】此题主要考查化简求值,正确理解二次根式的性质是解题关键.27.(1)计算:21)-(2)已知a ,b 是正数,4a b +=,8ab =【答案】(1)5-2 【分析】(1)根据完全平方公式、平方差公式可以解答本题;(2)先将所求式子化简,然后将a+b=4,ab=8代入化简后的式子即可解答本题. 【详解】解:(1)原式21)=-(31)(23)=---5=-;(2)原式=== a ,b 为正数, ∴原式=把4a b +=,8ab =代入,则原式== 【点睛】本题考查二次根式的化简求值,完全平方公式、平方差公式,解答本题的关键是明确二次根式化简求值的方法.28.2020(1)- 【答案】1 【分析】先计算乘方,再化简二次根式求解即可. 【详解】2020(1)-=1 =1. 【点睛】本题考查了二次根式的混合运算,先把二次根式化为最简二次根式,再合并即可.【参考答案】***试卷处理标记,请不要删除一、选择题 1.C 解析:C 【分析】化简即可. 【详解】=1010ab. 故选C . 【点睛】的形式. 2.D解析:D 【分析】||a =,然后再根据a 的范围去掉绝对值后即可求解. 【详解】|2|=-a ,且2a <,∴|2|2=-=-+a a ,原式|2|3231=--=-+-=--a a a , 故选:D . 【点睛】||a =这个公式是解决本题的关键.3.A解析:A 【分析】先计算二次根式乘法,再合并同类二次根式即可. 【详解】原式= 故选:A . 【点睛】本题考查二次根式的运算,熟练掌握运算法则是解题关键.4.A解析:A 【解析】分析:根据二次根式的加、减、乘、除的法则计算逐一验证即可.详解: , 此选项正确;≠此选项错误;, 此选项错误;,此选项错误.故选A.点睛:本题考查了二次根式的混合运算,掌握二次根式的运算法则是解题的关键.5.C解析:C 【详解】12x x +==12321x x ==-=,所以()2221212122x x x x x x +=+-=(22112210-⨯=-=,故选:C . 【点睛】对于形如2212x x +的式子,改变其中两个字母的位置后,并不改变代数式的值,通常将具有这个特点的代数式称为轮换对称式,如1211+x x ,1221x x x x +,12x x -等,轮换对称式都可以用12x x +,12x x 来表示,所以求轮换对称式的值,一般是先将式子用12x x +,12x x 来表示,然后再整体代入计算.6.B解析:B【分析】本题可利用二次根式的化简以及运算法则判断A 、B 、C 选项;利用立方根性质判断D 选项.【详解】A,故该选项错误;B==C3=,故该选项错误; D 11223334=(2)2==,故该选项错误;故选:B .【点睛】本题考查二次根式以及立方根,二次根式计算时通常需要化为最简二次根式,然后按照运算法则求解即可,解题关键是细心.7.B解析:B【分析】根据二次根式的性质和二次根式的加法运算,分别进行判断,即可得到答案.【详解】(1(2),正确;(3,错误;(4)==故选:B .【点睛】本题考查了二次根式的加法运算,二次根式的性质,解题的关键是熟练掌握运算法则进行解题.8.D解析:D【解析】根据二次根式的加减法,合并同类二次根式,可知=故正确;=根据二次根式的性质和化简,=,故正确;根据二次根式的加减,不是同类二次根式,故不正确.故选D.9.B解析:B【详解】A不是同类二次根式,故此选项错误;B=不是同类二次根式,故此选项错误;CD不是同类二次根式,故此选项错误;故选B.10.C解析:C【分析】根据分式和二次根式有意义的条件(分式的分母不为零,二次根式的被开方数为非负数)即可得到结果.【详解】≠,解:由题意得:2x-40x∴≠±,2x+≥,又∵20∴x≥-2.x≠.∴x的取值范围是:x>-2且2故选C.【点睛】本题考查了分式和二次根式有意义的条件,解不等式,是基础题.二、填空题11.13【解析】【分析】由得a+b=2ab,然后再变形,最后代入求解即可.【详解】解:∵∴a+b=2ab∴故答案为13.【点睛】本题考查了已知等式求代数式的值,解答的关键是通过变形找解析:13【解析】【分析】 由112a b +=得a+b=2ab ,然后再变形535a ab b a ab b++-+,最后代入求解即可. 【详解】 解:∵112a b+= ∴a+b=2ab ∴()5353510ab 3===132ab a b ab a ab b ab a ab b a b ab ab+++++-++-- 故答案为13. 【点睛】本题考查了已知等式求代数式的值,解答的关键是通过变形找到等式和代数式的联系. 12.3【解析】设,则 可化为:,∴,两边同时平方得:,即:,∴,解得:,∴.故答案为:.点睛:本题的解题要点是:设原式中的,从而使原式结构变得简单,这样应用二次根式的相关运算法则化简变形解析:【解析】设24x a -====两边同时平方得:128a a +=++4=,∴3216a =,解得:12a =,===故答案为: 点睛:本题的解题要点是:设原式中的24x a -=,从而使原式结构变得简单,这样应用二次根式的相关运算法则化简变形即可求得a 的值,使问题得到解决.13.(1)2a -2b +1;(2)3;(3)130°或50°. 【解析】(1)∵-1<a<0,b>1,∴=|a+1|-|a-2b|=1+a-2b+a=2a-2b+1.(2)∵,∴,p=20解析:(1)2a -2b +1;(2)3;(3)130°或50°.【解析】(1)∵-1<a<0,b>1,=|a+1|-|a-2b|=1+a-2b+a=2a-2b+1.(2)==∴p=14x 3(其中x 为正整数),同理可得:q=14y 2(其中y 为正整数),则x+3y=12(x 、y 为正整数)∴963,,123x x x y y y ===⎧⎧⎧⎨⎨⎨===⎩⎩⎩, ∴整数对有(p,q )=(14⨯81,141⨯),或(1436,144)⨯⨯ ,或(149,149⨯⨯)。
人教版八年级数学第二学期3月份 月考检测测试卷含答案一、选择题1.若 3x - 有意义,则 x 的取值范围是 ( )A .3x >B .3x ≥C .3x ≤D .x 是非负数2.下列计算正确的是( )A .336+=B .3323+=C .336⨯=D .3333+=3.已知实数a 在数轴上的位置如图所示,则化简2||(-1)a a +的结果为( )A .1B .﹣1C .1﹣2aD .2a ﹣14.下列运算正确的是( ) A .235+=B .1823=C .3223-=D .1222÷= 5.在实数范围内,若2x +有意义,则x 的取值范围是( )A .x≠2B .x >-2C .x <-2D .x≠-26.下列运算中,正确的是( ) A .325+=B .321-=C .326⨯=D .332÷=7.设等式()()a x a a y a x a a y -+-=---在实数范围内成立,其中a 、x 、y 是两两不同的实数,则22223x xy y x xy y +--+的值是( )A .3B .13C .2D .538.化简1156+的结果为( ) A .11 B .30330C .330D .30119.将1、、、按图2所示的方式排列,若规定(m ,n )表示第m 排从左到右第n 个数,则(4,2)与(21,2)表示的两数的积是( )A.1 B.2 C. D.610.下列各式计算正确的是()A.235+=B.2236=()C.824+=D.236⨯=11.下面有四个命题:①两条直线被第三条直线所截,同位角相等;②0.1的算术平方根是0.01;③计算3 (3+123)=5;④如果点P(3-2n,1)到两坐标轴的距离相等,那么n=1,其中假命题的有()A.1个B.2个C.3个D.4个12.下列二次根式中,最简二次根式是()A.23a B.13C. 2.5D.22a b-二、填空题13.对于任何实数a,可用[a]表示不超过a的最大整数,如[4]=4,[3]=1.现对72进行如下操作:72 [72]=8 [8]=2 [2]=1,类似地,只需进行3次操作后变为1的所有正整数中,最大的是________.14.已知13xx+=,且01x<<,则2691xx x=+-______.15.当x=2+3时,式子x2﹣4x+2017=________.16.若a、b、c均为实数,且a、b、c均不为0化简43252a cb=___________17.将1、2、3、6按右侧方式排列.若规定(m,n)表示第m排从左向右第n个数,则(5,4)与(9,4)表示的两数之积是______.18.将一组数2,2,6,22,10,…,251按图中的方法排列:若的位置记为(2,3),的位置记为(3,2),则这组数中最大数的位置记为______.19.观察分析下列数据:0,,-3,的规律得到第10个数据应是__________. 20.x 的取值范围是_____三、解答题21.若x ,y 为实数,且y12.求x y y x ++2-xy y x +-2的值.【分析】根据二次根式的性质,被开方数大于等于0可知:1﹣4x ≥0且4x ﹣1≥0,解得x =14,此时y =12.即可代入求解. 【详解】解:要使y 有意义,必须140410x x -≥⎧⎨-≤⎩,即1414x x ⎧≤⎪⎪⎨⎪≥⎪⎩∴ x =14.当x =14时,y =12. 又∵x y y x ++2-x yy x +-2=-| ∵x =14,y =12,∴ x y <y x.∴+当x =14,y =12时,原式=.【点睛】(a ≥0)叫二次根式.性质:二次根式中的被开方数必须是非负数,否则二次根式无意义.22.我国南宋时期有个著名的数学家秦九韶提出了一个利用三角形的三边求三角形的面积的公式,若三角形三边为a b c 、、,则此三角形的面积为:1S = 同样古希腊有个几何学家海伦也提出了一个三角形面积公式:2S =2a b cp ++=(1)在ABC 中,若4AB =,5BC =,6AC =,用其中一个公式求ABC 的面积.(2)请证明:12S S【答案】(1)4;(2) 证明见解析 【分析】(1)将4AB =,5BC =,6AC =代入1S = (2)对1S 和2S 分别平方,再进行整理化简得出2212S S =,即可得出12S S .【详解】解:(1)将4AB =,5BC =,6AC =代入1S =得:4S == (2)222222211[()]24a b a S c b +-=-=222222)1(22(4)a b c a b c ab ab +-+--+ =2222()2(21)4c a c a b b +⋅---⋅ =()(1()()16)c a b c a b a b c a b c +-++-++- 22()()()S p p a p b p c =---∵2a b cp ++=, ∴22()(2)(222)S a a b c a b c a b c a b c b c +++++++-+=-- =2222a b c b c a a c b a b c +++-+-+-⋅⋅⋅=1()()()()16a b c b c a a c b a b c +++-+-+- ∴2212S S =∵10S >,20S >, ∴12S S .【点睛】本题考查了二次根式的运算,解题的关键是理解题中给出的公式,灵活运用二次根式的运算性质进行运算.23.先观察下列等式,再回答下列问题:111111112=+-=+;111112216=+-=+1111133112=+-=+(1) (2)请你按照上面各等式反映的规律,用含n 的等式表示(n 为正整数).【答案】(1)1120(2)()111n n ++(n 为正整数) 【解析】试题分析:(1)从三个式子中可以发现,第一个加数都是1,第二个加数是个分数,设分母为n ,第三个分数的分母就是n+1,结果是一个带分数,整数部分是1,分数部分的分子也是1,分母是前项分数的分母的积.所以由此可计算给的式子;(2)根据(1)找的规律写出表示这个规律的式子.试题解析:(1)=1+14−141+=1120,1120(2)1 n −1 n 1+=1+()1n n 1+ (n 为正整数).a =,也考查了二次根式的运算.此题是一道阅读题目,通过阅读找出题目隐含的条件.总结:找规律的题目,都要通过仔细观察找出和数之间的关系,并用关系式表示出来.24.先化简,再求值:24224x x x x x x ⎛⎫÷- ⎪---⎝⎭,其中2x =.【答案】22x x +-,1 【分析】先把分式化简,然后将x 、y 的值代入化简后的式子求值即可. 【详解】 原式(2)(2)22(2)2x x x x x x x x +-+=⋅=---,当2x =时,原式1==.【点睛】本题考查了分式的化简求值这一知识点,把分式化到最简是解题的关键.25.观察下列各式.====…… 根据上述规律回答下列问题. (1)接着完成第⑤个等式: _____;(2)请用含(1)n n ≥的式子写出你发现的规律; (3)证明(2)中的结论.【答案】(1=2(n =+3)见解析 【分析】(1)当n=5=(2(n =+ (3)直接根据二次根式的化简即可证明. 【详解】解:(1=(2(n =+(3=(n ==+【点睛】此题主要考查探索数与式的规律,熟练发现规律是解题关键.26.一样的式子,其实我3====,1===;以上这种化简的步骤叫做分母有理化还可以用以下方法化简:221111===-=(12)化简:2n+++【答案】(1-2.【解析】试题分析:(12看出5-3,根据平方差公式分解因式,最后进进约分即可.(2)先每一个二次根式分母有理化,再分母不变,分子相加,最后合并即可.试题解析:(1)=====(2)原式2n+++=.考点:分母有理化.27.(1)已知a2+b2=6,ab=1,求a﹣b的值;(2)已知b=,求a2+b2的值.【答案】(1)±2;(2)2.【分析】(1)先根据完全平方公式进行变形,再代入求出即可;(2)先分母有理化,再根据完全平方公式和平方差公式即可求解. 【详解】(1)由a 2+b 2=6,ab=1,得a 2+b 2-2ab=4, (a-b )2=4, a-b=±2.(2)a ===b ===22221111()223122222a b a b ab ⎛⎫+=+-=+-⨯⨯=-= ⎪ ⎪⎝⎭【点睛】本题考查了分母有理化、完全平方公式的应用,能灵活运用公式进行变形是解此题的关键.28.先化简,再求值:2443(1)11m m m m m -+÷----,其中2m =.【答案】22mm-+ 1. 【解析】分析:先根据分式的混合运算顺序和运算法则化简原式,再将m 的值代入计算可得.详解:原式=221m m --()÷(31m -﹣211m m --) =221m m --()÷241m m --=221m m --()•122m m m --+-()() =﹣22m m -+=22m m-+当m ﹣2时,原式===﹣1+=1.点睛:本题主要考查分式的化简求值,解题的关键是掌握分式的混合运算顺序和运算法则.29.(1)计算)(2201113-⎛⎫--•- ⎪⎝⎭(2)已知,,a b c为实数且2c =2c ab-的值【答案】(1)13;(2)12-【分析】(1)利用完全平方公式、负整数指数幂、零指数幂分别计算再合并即可; (2)先依据二次根式有意义的条件,求得a 、b 、c 的值,然后再代入计算即可. 【详解】 (1))(2201113-⎛⎫--•- ⎪⎝⎭31=+⨯=4+9 =13;(2)根据二次根式有意义的条件可得:∵()2303010a a b ⎧-≥⎪⎪-≥⎨⎪-+≥⎪⎩, ∴3a =,1b =-, ∴2c =∴(()2223112c ab -=-⨯-=-【点睛】本题主要考查了二次根式的混合运算,二次根式有意义的条件以及二次根式的化简求值,熟练掌握二次根式有意义的条件是解题的关键.30.计算:(1)13⎛+-⨯ ⎝⎭(2))()2221+.【答案】(1)6-;(2)12-【分析】(1)原式化简后,利用二次根式乘法法则计算即可求出值; (2)原式利用平方差公式,以及完全平方公式计算即可求出值. 【详解】解:(1)原式=1(233⨯⨯-⨯=3-⨯=⨯⎭=6-;(2)原式=3﹣4+12﹣=12﹣. 【点睛】此题考查了二次根式的混合运算,以及平方差公式、完全平方公式,熟练掌握运算法则及公式是解本题的关键.【参考答案】***试卷处理标记,请不要删除一、选择题 1.B 解析:B 【分析】直接利用二次根式有意义的条件进而分析得出答案. 【详解】有意义的x 的取值范围是:x ≥3. 故选:B . 【点睛】本题考查二次根式有意义的条件,解题关键是正确掌握定义和二次根式有意义的条件.2.B解析:B 【分析】根据二次根式加法法则,二次根式的乘法法则计算后判断即可得到答案.【详解】=3= ,∴A 、C 、D 均错误,B 正确,故选:B.【点睛】此题考查二次根式的加法法则,二次根式的乘法法则,熟记计算法则是正确解题的关键.3.A解析:A【分析】先由点a 在数轴上的位置确定a 的取值范围及a-1的符号,再代入原式进行化简即可【详解】由数轴可知0<a <1,所以,||1a a a =+-=1,选A .【点睛】此题考查二次根式的性质与化简,实数与数轴,解题关键在于确定a 的大小4.D解析:D【分析】利用二次根式的加减法对A 、C 进行判断;利用二次根式的性质对B 进行判断;利用二次根式的除法法则对D 进行判断.【详解】解:A A 选项错误;B =B 选项错误;C 、=C 选项错误;D 2=,所以D 选项正确. 故选:D .【点睛】本题考查了二次根式的混合运算:先把二次根式化为最简二次根式,然后进行二次根式的乘除运算,再合并即可.在二次根式的混合运算中,如能结合题目特点,灵活运用二次根式的性质,选择恰当的解题途径,往往能事半功倍.5.B解析:B【分析】根据二次根式的被开方数是非负数,且分母不能为零,可得答案.【详解】有意义,得:x+>,20x>-.解得:2故选:B.【点睛】本题考查了二次根式有意义的条件,利用被开方数是非负数,分母不能为零得出不等式是解题关键.6.C解析:C【分析】根据二次根式的加、减、乘、除运算法则对各项进行计算即可得到结果.【详解】不是同类二次根式,不能合并,故此选项错误;不是同类二次根式,不能合并,故此选项错误;=D=,故此选项错误;故选:C.【点睛】此题主要考查了二次根式的混合运算,熟练掌握二次根式的运算法则是解答此题的关键.7.B解析:B【分析】根据根号下的数要是非负数,得到a(x-a)≥0,a(y-a)≥0,x-a≥0,a-y≥0,推出a≥0,a≤0,得到a=0,代入即可求出y=-x,把y=-x代入原式即可求出答案.【详解】由于根号下的数要是非负数,∴a(x-a)≥0,a(y-a)≥0,x-a≥0,a-y≥0,a(x-a)≥0和x-a≥0可以得到a≥0,a(y-a)≥0和a-y≥0可以得到a≤0,所以a只能等于0,代入等式得,所以有x=-y,即:y=-x,由于x,y,a是两两不同的实数,∴x>0,y<0.将x=-y代入原式得:原式=()()()()2222313x x x xx x x x+---=--+-.故选B.【点睛】本题主要考查对二次根式的化简,算术平方根的非负性,分式的加减、乘除等知识点的理解和掌握,根据算术平方根的非负性求出a、x、y的值和代入求分式的值是解此题的关键.8.C解析:C【解析】先把根号里因式通分,然后分母有理化,可得1156+=1130=33030,故选C.点睛:此题主要考查了二次根式的化简,解题关键是利用分数的通分求和,然后把其分母有理化即可求解,比较简单,但是易出错,是常考题.9.D解析:D【解析】(4,2)表示第4排从左向右第2个数是:,(21,2)表示第21排从左向右第2个数,可以看出奇数排最中间的一个数都是1,第21排是奇数排,最中间的也就是这排的第1个数是1,那么第2个就是:,•=6,故选D10.D解析:D【分析】根据二次根式的运算法则一一判断即可.【详解】A23B、错误,22312=();C8222232==D23236=⨯=故选:D.【点睛】本题考查二次根式的运算,解题的关键是熟练掌握二次根式的加减乘除运算法则,属于中考常考题型.11.D解析:D【分析】利用平行线的性质、算术平方根的定义、实数的运算及点的坐标的性质分别判断后即可确定正确的选项.【详解】解:①两条平行线直线被第三条直线所截,同位角相等,故错误;②0.01的算术平方根是0.1,故错误;③计算3 (3+23)=17322+=,故错误;④如果点P(3-2n,1)到两坐标轴的距离相等,则n=1或n=2,故错误,故选D.【点睛】本题考查了命题与定理的知识,解题的关键是熟悉平行线的性质、算术平方根的定义、实数的运算及点的坐标的性质,难度一般.12.A解析:A【解析】试题分析:最简二次根式是指不能继续化简的二次根式,A、原式=;B、是最简二次根式,不能化简;C、原式=;D、原式=.考点:最简二次根式二、填空题13.255【解析】解:∵[]=1,[]=3,[]=15,所以只需进行3次操作后变为1的所有正整数中,最大的是255.故答案为255.点睛:本题考查了估算无理数的大小的应用,主要考查学生的阅读能力和解析:255【解析】解:3]=1,15=3,255=15,所以只需进行3次操作后变为1的所有正整数中,最大的是255.故答案为255.点睛:本题考查了估算无理数的大小的应用,主要考查学生的阅读能力和逆推思维能力.14..【分析】利用题目给的求出,再把它们相乘得到,再对原式进行变形凑出的形式进行计算.【详解】∵,∴,∴,∴,∵,∴,∴,∴原式.故答案是:.【点睛】本题考查二次根式的运.【分析】,再把它们相乘得到1xx-,再对原式进行变形凑出1xx-的形式进行计算.【详解】3=,∴221239xx=++==,∴17xx+=,∴212725xx=-+=-=,∵01x<<,=,∴1xx=-=-∴原式====..【点睛】本题考查二次根式的运算和乘法公式的应用,解题的关键是熟练运用乘法公式对式子进行巧妙运算.15.2016【解析】把所求的式子化成(x﹣2)2+2013然后代入式子计算,即可得到:x2﹣4x+2017=(x﹣2)2+2013 =()2+2013=3+2013=2016.故答案是:2016.解析:2016【解析】把所求的式子化成(x﹣2)2+2013然后代入式子计算,即可得到:x2﹣4x+2017=(x﹣2)2+2013 =2+2013=3+2013=2016.故答案是:2016.点睛:此题主要考查了配方法的应用,解题关键是把式子配成完全平方,然后整体代入即可求解,考查了学生对整体思想的认识和应用,学生对整体思想不熟时出错的主要原因. 16.【解析】根据题意,由二次根式的性质,可知a的值与计算没影响,c≥0,b≠0,因此可分为:当b>0时,=;当b<0时,=.故答案为:.解析:22babb当时当时>⎨⎪-<⎪⎩【解析】根据题意,由二次根式的性质,可知a的值与计算没影响,c≥0,b≠0,因此可分为:当b>0=当b<0=故答案为:2222abbabb⎧>⎪⎪⎨⎪-<⎪⎩当时当时.17.【解析】试题解析:(5,4)表示第5排从左向右第4个数是:,(9,4)表示第9排从左向右第4个数,可以看出奇数排最中间的一个数都是1,第9排是奇数排,最中间的也就是这排的第5个数是1,那么第解析:【解析】试题解析:(5,4)表示第5排从左向右第4,(9,4)表示第9排从左向右第4个数,可以看出奇数排最中间的一个数都是1,第9排是奇数排,最中间的也就是这排的第5个数是1,那么第4,∴(5,4)与(9,4)故答案为18.(17,6)【解析】观察、分析这组数据可发现:第一个数是的积;第二个数是的积;第三个数是的积,的积.∵这组数据中最大的数:,∴是这组数据中的第102个数.∵每一行排列了6个数,而∴是第1解析:(17,6)【解析】的积,.∵这组数据中最大的数:∴102个数.∵每一行排列了6个数,而1026=17÷ ∴17行第6个数,∴这组数据中最大的一个数应记为(17,6).点睛:(1)这组数据组中的第n 2)该组数据是按从左到右,从小到大,每行6个数进行排列的;(3)6n ÷6n ÷的余数是所在的列数.19.6【分析】通过观察可知,根号外的符号以及根号下的被开方数依次是:,,…,可以得到第13个的答案.【详解】解:由题意知道:题目中的数据可以整理为:,,…,∴第13个答案为:.故答案为6.解析:6【分析】 通过观察可知,根号外的符号以及根号下的被开方数依次是:11(1)30,21(1)31,31(1)32…1(1)3(1)n n ,可以得到第13个的答案.【详解】 解:由题意知道:题目中的数据可以整理为:11(1)30,21(1)31,31(1)32…1(1)3(1)n n ,∴第13个答案为:131(1)3(131)6.故答案为6.【点睛】此题主要考查了二次根式的运算以及学生的分析、总结、归纳的能力,规律型的习题一般是从所给的数据和运算方法进行分析,从特殊值的规律上总结出一般性的规律. 20.x≥4【解析】试题分析:根据算术平方根的意义,可知其被开方数为非负数,因此可得x-4≥0,解得x≥4.故答案为x≥4.点睛:此题主要考查了平方根的意义,解题时要注意被开方数为非负数的条件,然解析:x≥4【解析】试题分析:根据算术平方根的意义,可知其被开方数为非负数,因此可得x-4≥0,解得x≥4.故答案为x≥4.点睛:此题主要考查了平方根的意义,解题时要注意被开方数为非负数的条件,然后列不等式求解即可,是一个中考常考的简单题.三、解答题21.无22.无23.无24.无25.无26.无27.无28.无29.无30.无。
八年级第二学期3月份月考数学试题含答案一、选择题1.下列各式计算正确的是( ) A .1222= B .362÷=C .2(3)3=D .222()-=-2.下列运算正确的是( ) A .235+=B .1823=C .3223-=D .1222÷= 3.下列运算正确的是 ( ) A .3223÷= B .235+= C .233363⨯=D .18126-=4.下列各式计算正确的是( )A .6232126()b a b a b a---⋅=B .(3xy )2÷(xy )=3xyC .23a a a +=D .2x •3x 5=6x 65.若31m -有意义,则m 能取的最小整数值是( )A .m = 0B .m = 1C .m = 2D .m = 36.下列式子中,为最简二次根式的是( ) A .12B .7C .4D .487.已知实数x ,y 满足(x -22008x -)(y -2-2008y )=2008,则3x 2-2y 2+3x -3y -2007的值为( ) A .-2008 B .2008C .-1D .18.若a 、b 、c 为有理数,且等式成立,则2a +999b +1001c 的值是( )A .1999B .2000C .2001D .不能确定 9.下列运算中错误的是( ) A 235=B 236=C 822÷=D .2 (3)3-=10.下面计算正确的是( ) A .3+3=33B 273=3C 2?3=5D ()222--11.下列运算正确的是( ) A 826=B 222=C 3515=D 2739=12.下列计算正确的是( ) A .234265=B 842C 2733=D .2(3)3-=-二、填空题13.(1)已知实数a 、b 在数轴上的位置如图所示,化简()222144a a ab b +--+=_____________;(2)已知正整数p ,q 32016p q =()p q ,的个数是_______________;(3)△ABC 中,∠A=50°,高BE 、CF 所在的直线交于点O,∠BOC 的度数__________. 14.已知3,3-1,则x 2+xy +y 2=_____. 15.当x 3x 2﹣4x +2017=________. 16.化简二次根式2a 1a+-_____. 17.已知a ,b 是正整数,若有序数对(a ,b )使得11)a b的值也是整数,则称(a ,b )是11)a b 的一个“理想数对”,如(1,4)使得112(a b =3,所以(1,4)是11)a b 的一个“理想数对”.请写出11)a b其他所有的“理想数对”: __________.18.若0xy >,则二次根式2yx -________. 19.已知4a2(3)|2|a a +--=_____.20.2a ·8a (a ≥0)的结果是_________.三、解答题21.1123124231372831-+-533121【分析】先根据二次根式的乘除法法则计算乘除法,同时分别化简各加数中的二次根式,最后计算加减法. 【详解】11231242313722831-+-=1)2(3+⨯=121. 【点睛】此题考查二次根式的混合运算,二次根式的化简,正确掌握二次根式的化简法则是解题的关键.22.计算:(1(2))((222+-+.【答案】(1) 【分析】(1)先化简二次根式,再合并同类二次根式即可; (2)根据平方差公式化简,再化简、合并同类二次根式即可. 【详解】(1==(2))((222+-+=2223--+ =5-4-3+2 =023.计算(1)2213113a a a a a a +--+-+-;(2)已知a 、b +b =0.求a 、b 的值 (3)已知abc =1,求111a b cab a bc b ac c ++++++++的值【答案】(1)22223a a a ----;(2)a =-3,b ;(3)1. 【分析】(1)先将式子进行变形得到()()113113a a a a a a +--+-+-,此时可以将其化简为1113a a a a ⎛⎫⎛⎫--+ ⎪ ⎪+-⎝⎭⎝⎭,然后根据异分母的加减法法则进行化简即可;(2)根据二次根式及绝对值的非负性得到2a +6=0,b =0,从而可求出a 、b ; (3)根据abc =1先将所求代数式转化:11b ab abbc b abc ab a ab a ==++++++,2111c abc ac c a bc abc ab ab a ==++++++,然后再进行分式的加减计算即可.【详解】解:(1)原式=()()113113a a a a a a +--+-+- =1113a a a a ⎛⎫⎛⎫--+ ⎪ ⎪+-⎝⎭⎝⎭=1113a a --+- =()()()()3113a a a a -++-+-=22223a a a ----;(20b =,∴2a +6=0,b =0,∴a =-3,b ; (3)∵abc =1, ∴11b ab ab bc b abc ab a ab a ==++++++,2111c abc ac c a bc abc ab ab a ==++++++,∴原式=1111a ab ab a ab a ab a ++++++++=11a ab ab a ++++=1.【点睛】本题考查了分式的化简求值和二次根式、绝对值的非负性,分式中一些特殊求值题并非一味的化简,代入,求值,熟练掌握转化、整体思想等解题技巧是解答这类题目的关键.24.阅读下列材料,然后回答问题:其进一步化简:535==33333⨯⨯;22(31)2(31)=313+1(3+1)(31)(3)1⨯-⨯-==---.以上这种化简过程叫做分母有理化.3+1还可以用以下方法化简:22(3)1(3+1)(31)=313+13+13+13+1--===-.(1)请用其中一种方法化简1511-;(2)化简:++++3+15+37+599+97.【答案】(1) 15+11;(2) 311-1.【分析】(1)运用了第二种方法求解,即将4转化为1511-;(2)先把每一个加数进行分母有理化,再找出规律,即后面的第二项可以和前面的第一项抵消,然后即可得出答案.【详解】(1)原式==;(2)原式=+++…=﹣1+﹣+﹣+…﹣=﹣1=3﹣1【点睛】本题主要考查了分母有理化,找准有理化的因式是解题的关键.25.计算(1)(4﹣3)+2(2)(3)甲、乙两台机床同时生产一种零件,在10天中,两台机床每天出次品的数量如表:甲010*******乙2311021101请计算两组数据的方差.【答案】(1)6﹣3;(2)-6(3)甲的方差1.65;乙的方差0.76【解析】试题分析:(1)先去括号,再合并;(2)先进行二次根式的乘法运算,然后去绝对值合并;(3)先分别计算出甲乙的平均数,然后根据方差公式分别进行甲乙的方差.试题解析:(1)原式=4﹣3+2=6﹣3;(2)原式=﹣3﹣2+﹣3=-6;(3)甲的平均数=(0+1+0+2+2+0+3+1+2+4)=1.5,乙的平均数=(2+3+1+1+0+2+1+1+0+1)=1.2,甲的方差=×[3×(0﹣1.5)2+2×(1﹣1.5)2+3×(2﹣1.5)2+(3﹣1.5)2+(4﹣1.5)2]=1.65;乙的方差=×[2×(0﹣1.2)2+5×(1﹣1.2)2+2×(2﹣1.2)2+(3﹣1.2)2]=0.76.考点:二次根式的混合运算;方差.26.【分析】先化为最简二次根式,再将被开方数相同的二次根式进行合并.【详解】.【点睛】本题考查了二次根式的加减运算,在进行此类运算时,先把二次根式化为最简二次根式的形式后再运算.27.计算:【答案】【分析】先将括号内的二次根式进行化简并合并,再进行二次根式的乘法运算即可.【详解】解:===【点睛】此题主要考查了二次根式的混合运算,熟练掌握运算法则是解答此题的关键.28.观察下列一组等式,然后解答后面的问题=,1)1=,1=,1=⋯⋯1(1)观察以上规律,请写出第n个等式:(n为正整数).(2(3【答案】(1)1=;(2)9;(3【分析】(1)根据规律直接写出,(2)先找出规律,分母有理化,再化简计算.(3)先对两个式子变形,分子有理化,变为分子为1,再比大小.【详解】解:(1)根据题意得:第n个等式为1=;故答案为1=;(2)原式111019==-=;-==,(3<∴>.【点睛】本题是一道利用规律进行求解的题目,解题的关键是掌握平方差公式.29.计算(1(2)(()21-【答案】(1);(2)24+ 【分析】(1)先将各二次根式化为最简二次根式,再进行合并即可得到答案;(2)原式运用平方差公式和完全平方公式把括号展开后,再合并同类二次根式即可得到答案. 【详解】解:(1=2+=(2-+=2(2)(()21-=22(181)---=452181--+=24+. 【点睛】此题主要考查了二次根式的混合运算,熟练掌握运算法则和运算顺序是解答此题的关键.30.(1|5-+;(2)已知实数a 、b 、c 满足|3|a +=,求2(b a +的值.【答案】(1)5;(2)4 【分析】(1)先利用二次根式的乘法法则和绝对值的意义计算,再进行回头运算即可; (2)先根据二次根式有意义的条件确定b 的值,再根据非负数的和的意义确定a ,c 的值,然后再计算代数式的值即可. 【详解】解:(15-+5) =+5=+5=(2)由题意可知:50 50 bb-≥⎧⎨-≥⎩,解得5b=由此可化简原式得,30a+=30a∴+=,20c-=3a∴=-,2c=22((534b a∴+=--=【点睛】可不是考查了二次根式的混合运算以及二次根式的化简求值,熟练掌握运算法则和运算顺序是解答此题的关键.【参考答案】***试卷处理标记,请不要删除一、选择题1.C解析:C【分析】根据各个选项中的式子,可以计算出正确的结果,从而可以解答本题.【详解】,故选项A错误;=2,故选项B错误;C. 23=,故选项C正确;2=,故选项D错误;故选C.【点睛】本题考查二次根式的混合运算,解答本题的关键是明确二次根式混合运算的计算方法.2.D解析:D【分析】利用二次根式的加减法对A 、C 进行判断;利用二次根式的性质对B 进行判断;利用二次根式的除法法则对D 进行判断. 【详解】解:A A 选项错误;B =B 选项错误;C 、=C 选项错误;D 2=,所以D 选项正确. 故选:D . 【点睛】本题考查了二次根式的混合运算:先把二次根式化为最简二次根式,然后进行二次根式的乘除运算,再合并即可.在二次根式的混合运算中,如能结合题目特点,灵活运用二次根式的性质,选择恰当的解题途径,往往能事半功倍.3.A解析:A 【分析】根据各个选项中的式子,可以计算出正确的结果,从而可以解答本题. 【详解】A 、3=,故选项A 正确;B B 错误;C 、18=,故选项C 错误;D =D 错误; 故选:A . 【点睛】本题考查了二次根式的混合运算,解答本题的关键是明确二次根式混合运算的计算方法.4.D解析:D 【分析】依据单项式乘以单项式、单项式除以单项式以及二次根式的加法法则对各项分别计算出结果,再进行判断即可得到结果. 【详解】A. 2321526()b a b a b a---⋅=,故选项A 错误;B. (3xy )2÷(xy )=9xy ,故选项B 错误;C 错误; D. 2x •3x 5=6x 6,正确.故选:D.【点睛】此题考查了整式的混合运算,熟练掌握运算法则是解本题的关键.5.B解析:B【分析】根据被开方数大于等于0列式计算即可得解.【详解】310m-≥,解得13 m≥,所以,m能取的最小整数值是1.故选:B.【点睛】本题考查了二次根式的意义和性质,性质:二次根式中的被开方数必须是非负数,否则二次根式无意义.6.B解析:B【分析】根据最简二次根式的定义即可求出答案.【详解】=,故A不是最简二次根式;是最简二次根式,故B正确;,故C不是最简二次根式;=D不是最简二次根式;故选:B.【点睛】本题考查最简二次根式,解题的关键是正确理解最简二次根式的定义,本题属于基础题型.7.D解析:D【解析】由(x y)=2008,可知将方程中的x,y对换位置,关系式不变,那么说明x=y是方程的一个解由此可以解得,或者则3x 2-2y 2+3x -3y -2007=1,故选D.8.B解析:B 【解析】因=,所以a =0,b =1,c =1,即可得2a +999b +1001c =999+1001=2000,故选B. 点睛:本题考查了二次根式的性质与化简,将复合二次根式根据完全平方公式化简并比较系数是解题的关键.9.A解析:A【分析】根据合并同类二次根式的法则对A 进行判断;根据二次根式的乘法法则对B 进行判断;根据二次根式的除法法则对C 进行判断;根据二次根式的性质对D 进行判断.【详解】 23 23236=⨯= 828242÷÷===,故此项正确,不符合要求; D. 2 (3)3-=,故此项正确,不符合要求;故选A .【点睛】本题考查了二次根式的计算:先把各二次根式化为最简二次根式,再进行二次根式的乘除运算,然后合并同类二次根式.10.B解析:B【分析】根据二次根式的混合运算方法,分别进行运算即可.【详解】解:A 3A 选项错误;B 2727393===3,故B 选项正确; C 23236=⨯=C 选项错误; D .22(2)22-==,故D 选项错误;故选B .【点睛】考查了二次根式的混合运算,熟练化简二次根式后,在加减的过程中,有同类二次根式的要合并;相乘的时候,被开方数简单的直接让被开方数相乘,再化简;较大的也可先化简,再相乘,灵活对待.11.C解析:C【分析】根据二次根式的减法法则对A进行判断;根据二次根式的加法法则对B进行判断;根据二次根式的乘法则对C进行判断;根据二次根式的除法法则对D进行判断.【详解】解:A=,所以A选项错误;B=B选项错误;C=C选项正确;D3=,所以D选项错误.故选:C.【点睛】本题考查了二次根式的混合运算:先把二次根式化为最简二次根式,然后进行二次根式的乘除运算,再合并即可.12.C解析:C【分析】根据合并二次根式的法则、二次根式的性质、二次根式的除法法则即可判定.【详解】A、A错误;B=B错误;C3=,故选项C正确;=,故选项D错误;D3故选:C.【点睛】本题考查了二次根式的混合运算,熟练掌握二次根式的运算法则是解题的关键.二、填空题13.(1)2a-2b+1;(2)3;(3)130°或50°.【解析】(1)∵-1<a<0,b>1,∴=|a+1|-|a-2b|=1+a-2b+a=2a-2b+1.(2)∵,∴,p=20解析:(1)2a -2b +1;(2)3;(3)130°或50°.【解析】(1)∵-1<a<0,b>1, ∴222(1)4a a ab b +--+=|a+1|-|a-2b|=1+a-2b+a=2a-2b+1.(2)∵32016p q +=, ∴20163p q =-,p=2016-62016+9q,∴p=14x 3(其中x 为正整数),同理可得:q=14y 2(其中y 为正整数),则x+3y=12(x 、y 为正整数)∴963,,123x x x y y y ===⎧⎧⎧⎨⎨⎨===⎩⎩⎩, ∴整数对有(p,q )=(14⨯81,141⨯),或(1436,144)⨯⨯ ,或(149,149⨯⨯)。
八年级第二学期3月份月考数学试题及答案一、选择题1.下列各式计算正确的是( )A .1222=B .362÷=C .2(3)3=D .222()-=-2.下列二次根式是最简二次根式的是( )A .12B .3C .0.01D .123.下列各式中,正确的是( )A .42=±B .822-=C .()233-=-D .342=4.下列式子中,是二次根式的是( )A .2B .32C .xD .x5.下列二次根式中,是最简二次根式的是( )A .12B .0.1C .12D .21a +6.下列各式是二次根式的是( )A .3B .1-C .35D .4π-7.下列式子中,为最简二次根式的是( )A .12B .7C .4D .488.已知,那么满足上述条件的整数的个数是( ). A .4 B .5 C .6 D .79.已知a 227122a a -+( )A .0B .3C .3D .9 10.下列运算正确的是( ) A x 2x 3x B .2﹣2=1C .55D .x ﹣x (a ﹣b x 11.3x -在实数范围内有意义,则x 的取值范围是( )A .x >0B .x >3C .x ≥3D .x ≤312.下列运算错误的是( )A 23=6B 222C .22+32=52D ()21-212=二、填空题13.使函数212y x x=+有意义的自变量x 的取值范围为_____________14.若a 、b 、c 均为实数,且a 、b 、c 均不为0=___________15.已知x ,y 为实数,y 求5x +6y 的值________.16.3y =,则2xy 的值为__________.17.若实数a =,则代数式244a a -+的值为___.18.mn =________.19.观察分析下列数据:0,,-3,的规律得到第10个数据应是__________.20.1=-==++……=___________. 三、解答题 21.我国南宋时期有个著名的数学家秦九韶提出了一个利用三角形的三边求三角形的面积的公式,若三角形三边为a b c 、、,则此三角形的面积为:1S = 同样古希腊有个几何学家海伦也提出了一个三角形面积公式:2S =2a b c p ++= (1)在ABC 中,若4AB =,5BC =,6AC =,用其中一个公式求ABC 的面积. (2)请证明:12S S【答案】(1)4;(2) 证明见解析 【分析】(1)将4AB =,5BC =,6AC =代入1S = (2)对1S 和2S 分别平方,再进行整理化简得出2212S S =,即可得出12S S .【详解】解:(1)将4AB =,5BC =,6AC =代入1S =得:4S == (2)222222211[()]24a b a S c b +-=- =222222)1(22(4)a b c a b c ab ab +-+--+ =2222()2(21)4c a c a b b +⋅---⋅ =()(1()()16)c a b c a b a b c a b c +-++-++- 22()()()S p p a p b p c =--- ∵2a b c p ++=, ∴22()(2)(222)S a a b c a b c a b c a b c b c +++++++-+=-- =2222a b c b c a a c b a b c +++-+-+-⋅⋅⋅ =1()()()()16a b c b c a a c b a b c +++-+-+- ∴2212S S =∵10S >,20S >,∴12S S .【点睛】本题考查了二次根式的运算,解题的关键是理解题中给出的公式,灵活运用二次根式的运算性质进行运算.22.在学习了二次根式后,小明同学发现有的二次根式可以写成另一个二次根式的平方的形式.比如:2224312111-=-=-+=).善于动脑的小明继续探究:当a b m n 、、、为正整数时,若2a n +=+),则有22(2a m n =+,所以222a m n =+,2b mn =.请模仿小明的方法探索并解决下列问题:(1)当a b m n 、、、为正整数时,若2a n =+),请用含有mn 、的式子分别表示a b 、,得:a = ,b = ;(2)填空:13-( - 2;(3)若2a m +=(),且a m n 、、为正整数,求a 的值.【答案】(1)223a m n =+,2b mn =;(2)213--;(3)14a =或46.【解析】试题分析:(1)把等式)2a n +=+右边展开,参考范例中的方法即可求得本题答案; (2)由(1)中结论可得:2231324a m nb mn ⎧=+=⎨==⎩,结合a b m n 、、、都为正整数可得:m=2,n=1,这样就可得到:213(1-=-;(3)将()2a m +=+右边展开,整理可得:225a m n =+,62mn =结合a m n 、、为正整数,即可先求得m n 、的值,再求a 的值即可.试题解析:(1)∵2a n =+),∴223a m n +=++,∴2232a m n b mn =+=,;(2)由(1)中结论可得:2231324a m nb mn ⎧=+=⎨==⎩ , ∵a b m n 、、、都为正整数,∴12m n =⎧⎨=⎩ 或21m n =⎧⎨=⎩ , ∵当m=1,n=2时,223713a m n =+=≠,而当m=2,n=1时,22313a m n =+=, ∴m=2,n=1,∴(2131--;(3)∵222()52a m m n +=+=++∴225a m n =+,62mn = ,又∵a m n 、、为正整数,∴=1=3m n ,, 或者=3=1m n ,,∴当=1=3m n ,时,46a =;当=3=1m n ,,14a =,即a 的值为:46或14.23.观察下列等式:1==;==== 回答下列问题:(1(2)计算:【答案】(1(2)9【分析】(1)根据已知的31=-n=22代入即可求解;(2)先利用上题的规律将每一个分数化为两个二次根式的差的形式,再计算即可.【详解】解:(1= (2+99+=1100++-=1=10-1=9.24.-10【分析】先根据二次根式的性质和平方差公式化简,然后再进行计算即可【详解】=(22⎡⎤--⎢⎥⎣⎦=()212--10+.10.【点睛】本题主要考查了二次根式的性质、平方差公式,灵活运用二次根式的性质化简是解答本题的关键.25.先化简,再求值:2222212⎛⎫----÷ ⎪-+⎝⎭x y x y x x x xy y,其中x y ==. 【答案】原式x y x-=-,把x y ==代入得,原式1=-. 【详解】试题分析:先将括号里面进行通分,再将能分解因式的分解因式,约分化简即可. 试题解析: 2222212⎛⎫----÷ ⎪-+⎝⎭x y x y x x x xy y ()()()222=x y x y x x x x x x y x y -⎛⎫---⋅ ⎪+-⎝⎭ =y x x y x x y---⋅+ x y x-=-把x y ==代入得:原式1==-+考点:分式的化简求值.26.(1)已知a 2+b 2=6,ab =1,求a ﹣b 的值;(2)已知b =,求a 2+b 2的值. 【答案】(1)±2;(2)2. 【分析】(1)先根据完全平方公式进行变形,再代入求出即可;(2)先分母有理化,再根据完全平方公式和平方差公式即可求解.【详解】(1)由a 2+b 2=6,ab=1,得a 2+b 2-2ab=4,(a-b )2=4,a-b=±2.(2)a ===b === 2222()22312a b a b ab +=+-=-=-=⎝⎭ 【点睛】本题考查了分母有理化、完全平方公式的应用,能灵活运用公式进行变形是解此题的关键.27.(1|5-+;(2)已知实数a 、b 、c 满足|3|a +=,求2(b a +的值.【答案】(1)5;(2)4【分析】(1)先利用二次根式的乘法法则和绝对值的意义计算,再进行回头运算即可;(2)先根据二次根式有意义的条件确定b 的值,再根据非负数的和的意义确定a ,c 的值,然后再计算代数式的值即可.【详解】解:(15-+5)=+5=+5=(2)由题意可知:5050b b -≥⎧⎨-≥⎩, 解得5b =由此可化简原式得,30a +=30a ∴+=,20c -=3a ∴=-,2c =22((534b a ∴+=--=【点睛】可不是考查了二次根式的混合运算以及二次根式的化简求值,熟练掌握运算法则和运算顺序是解答此题的关键.28.计算:(1 ;(2)))213【答案】(1)2)1-.【分析】(1)根据二次根式的混合运算法则可以算得答案.(2)结合整式的乘法公式和二次根式的运算法则计算.【详解】(1)原式==(2)原式=212---=1-.【点睛】本题考查二次根式的运算,熟练掌握二次根式的意义、性质和运算法则是解题关键.29.计算下列各题:(1(2)2-.【答案】(1)2)2--【分析】(1)根据二次根式的运算顺序和运算法则计算即可;(2)利用平方差、完全平方公式进行计算.【详解】解:(1)原式==;(2)原式22(5=--+525=---2=--【点睛】本题考查二次根式的加减乘除混合运算,熟练掌握运算法则和乘法公式是关键.30.先阅读下面的解题过程,然后再解答.a ,b ,使a b m +=,ab n =,即22m +==0)a b ==±>.这里7m =,12n =,由于437+=,4312⨯=,所以22+==,2===..【答案】见解析【分析】应先找到哪两个数的和为13,积为42.再判断是选择加法,还是减法.【详解】根据题意,可知13m =,42n =,由于7613+=,7642⨯=,所以2213+=,====【点睛】此题考查二次根式的性质与化简,解题关键在于求得13m =,42n =.【参考答案】***试卷处理标记,请不要删除一、选择题1.C解析:C【分析】根据各个选项中的式子,可以计算出正确的结果,从而可以解答本题.【详解】2,故选项A 错误;=2,故选项B错误;C. 23=,故选项C正确;2=,故选项D错误;故选C.【点睛】本题考查二次根式的混合运算,解答本题的关键是明确二次根式混合运算的计算方法.2.B解析:B【分析】直接利用最简二次根式的定义分析得出答案.【详解】解:ABC0.1,故此选项错误;D2故选:A.【点睛】此题主要考查了最简二次根式的定义,正确把握定义是解题关键.3.B解析:B【分析】本题可利用二次根式的化简以及运算法则判断A、B、C选项;利用立方根性质判断D选项.【详解】A,故该选项错误;B==C3=,故该选项错误;D11223334=(2)2==,故该选项错误;故选:B.【点睛】本题考查二次根式以及立方根,二次根式计算时通常需要化为最简二次根式,然后按照运算法则求解即可,解题关键是细心.4.A解析:A【分析】a≥0)的式子叫做二次根式,据此可得结论.【详解】解:A是二次根式,符合题意;B是三次根式,不合题意;C、当x<0D、x属于整式,不合题意;故选:A.【点睛】此题考查二次根式的定义,关键是根据二次根式的定义理解被开方数是非负数.5.D解析:D【分析】最简二次根式的被开方数中不含能开得尽方的因数或因式,其中小数要转化为分数,分数中分母不可以是二次根式,注意这几点即可得出答案.【详解】ABC,不是最简二次根式,故本选项不符合题意;2D故选:D.【点睛】本题考查最简二次根式,解题的关键是正确理解最简二次根式,最简二次根式必须满足两个条件:被开方数中不含能开得尽方的因数或因式;被开方数的因数是整数,因式是整式,本题属于基础题型.6.A解析:A【分析】根据二次根式定义和有意义的条件:被开方数是非负数,即可判断.【详解】解:A、符合二次根式有意义条件,符合题意;B、-1<0B选项不符合题意;C、是三次根式,所以C选项不符合题意;D 、π-4<0,所以4π-无意义,故D 选项不符合题意. 故选:A . 【点睛】 本题考查二次根式的定义及有意义的条件:a 是二次根式,必须有a ≥0.7.B解析:B【分析】根据最简二次根式的定义即可求出答案.【详解】 A.1222=,故A 不是最简二次根式; B.7是最简二次根式,故B 正确; C.4=2,故C 不是最简二次根式;D.4843=,故D 不是最简二次根式;故选:B .【点睛】本题考查最简二次根式,解题的关键是正确理解最简二次根式的定义,本题属于基础题型.8.C解析:C【解析】【分析】利用分母有理化进行计算即可.【详解】由原式得:所以,因为,,所以. 故选:C【点睛】此题考查解一元一次不等式的整数解,解题关键在于分母有理化. 9.B解析:B【解析】227122a a -+=22(69)9a a -++22(3)9a -+,可知当(a ﹣3)2=0,即a=3227122a a -+9故选B.10.D解析:D【解析】利用二次根式的加减法计算,可知:A、B、﹣C、D、﹣(a﹣b,此选项正确.故选:D.11.C解析:C【详解】解:根据题意得:x-3≥0解得:x≥3故选C.12.D解析:D【分析】根据二次根式的乘法法则对A进行判断;根据分母有理化对B进行判断;根据二次根式的加减法对C进行判断;根据二次根式的性质对D进行判断.【详解】AB计算正确,不符合题意;C、计算正确,不符合题意;D11=≠符合题意;故选:D.【点睛】本题考查了二次根式的混合运算,正确掌握相关运算法则是解题关键.二、填空题13.【分析】利用二次根式有意义的条件和分式中分母不为零,即可完成.【详解】根据题意,解得:①当时,解得:即:①当时,解得:即:故自变量x 的取值范围为【点睛】 解析:11,022x x -≤≤≠ 【分析】利用二次根式有意义的条件和分式中分母不为零,即可完成.【详解】根据题意,220x x +≠解得:0,2x x ≠≠-12||0x -≥①当0x >时,120x -≥ 解得:12x ≤ 即:102x <≤①当0x <时,120x +≥ 解得:21x ≥-即:102x -≤< 故自变量x 的取值范围为11,022x x -≤≤≠ 【点睛】本题考查二次根式以及分式有意义的条件,熟练掌握分类讨论和解不等式组是解题关键. 14.【解析】根据题意,由二次根式的性质,可知a 的值与计算没影响,c≥0,b≠0,因此可分为:当b >0时,=;当b <0时,=.故答案为:.解析:00b b 当时当时>⎨⎪<⎪⎩【解析】根据题意,由二次根式的性质,可知a 的值与计算没影响,c≥0,b≠0,因此可分为:当b >0= 当b <0=故答案为:00b b ⎧>⎪⎪⎨⎪<⎪⎩当时当时. 15.-16【解析】试题分析:根据分式的有意义和二次根式有意义的条件,可知x2-9=0,且x-3≠0,解得x=-3,然后可代入得y=-,因此可得5x+6y=5×(-3)+6×(-)=-15-1=-16解析:-16【解析】试题分析:根据分式的有意义和二次根式有意义的条件,可知x 2-9=0,且x-3≠0,解得x=-3,然后可代入得y=-16,因此可得5x+6y=5×(-3)+6×(-16)=-15-1=-16. 故答案为:-16.点睛:此题主要考查了分式的有意义和二次根式有意义,解题关键是利用二次根式的被开方数为非负数和分式的分母不为0,可列式求解. 16.【解析】试题分析:根据二次根式的意义和等式的特点,可知2x-5=0,解得x=,y=-3,代入可得=-2××3=-15.解析:15-【解析】试题分析:根据二次根式的意义和等式的特点,可知2x-5=0,解得x=52,y=-3,代入可得2xy =-2×52×3=-15. 17.3【解析】∵ =,∴=(a-2)2==3,故答案为3.解析:3【解析】∵a =∴244a a -+=(a-2)2=()222+=3, 故答案为3.18.21【分析】根据二次根式及同类二次根式的定义列出方程组即可求出答案.【详解】∵最简二次根式与是同类二次根式,∴ ,解得,,∴故答案为21.解析:21【分析】 根据二次根式及同类二次根式的定义列出方程组即可求出答案.【详解】∴1221343n m m-=⎧⎨-=-⎩ , 解得,73m n =⎧⎨=⎩, ∴7321.mn =⨯=故答案为21.19.6【分析】通过观察可知,根号外的符号以及根号下的被开方数依次是:,,…,可以得到第13个的答案.【详解】解:由题意知道:题目中的数据可以整理为:,,…,∴第13个答案为:.故答案为6.解析:6【分析】 通过观察可知,根号外的符号以及根号下的被开方数依次是:11(1)30,21(1)31,31(1)32…1(1)3(1)n n ,可以得到第13个的答案.【详解】 解:由题意知道:题目中的数据可以整理为:11(1)30,21(1)31,31(1)32…1(1)3(1)n n ,∴第13个答案为:131(1)3(131)6. 故答案为6.【点睛】此题主要考查了二次根式的运算以及学生的分析、总结、归纳的能力,规律型的习题一般是从所给的数据和运算方法进行分析,从特殊值的规律上总结出一般性的规律. 20.2018【分析】先根据已知等式归纳类推出一般规律,再根据二次根式的加减法与乘法运算法则即可得.【详解】第1个等式为:,第2个等式为:,第3个等式为:,归纳类推得:第n 个等式为:(其中,解析:2018【分析】先根据已知等式归纳类推出一般规律,再根据二次根式的加减法与乘法运算法则即可得. 【详解】第11=,第2=,第3=归纳类推得:第n 1=-n 为正整数),则2020++,2020=+,=, 20202=-,2018=,故答案为:2018.【点睛】本题考查了二次根式的加减法与乘法运算,依据已知等式,正确归纳出一般规律是解题关键.三、解答题21.无22.无23.无24.无25.无26.无27.无28.无29.无30.无。
人教版八年级数学第二学期3月份月考测试卷含答案一、选择题1.对于所有实数a ,b ,下列等式总能成立的是( )A .2a b =+ B 22a b =+C a b =+D a b =+2.下列计算正确的是( )A B C D3.下列运算正确的是 ( )A .3=B =C .=D =4.下列计算正确的是( )A =B 3=C =D .21=5.下列运算中,正确的是( )A =3B .=-1C D .36. )A B .C D .7.下列各式计算正确的是( )A B .C .D8.的下列说法中错误的是( )A 12的算术平方根B .34<<C 不能化简D 是无理数9.下面有四个命题:①两条直线被第三条直线所截,同位角相等;②0.1的算术平方根是0.01)=5;④如果点P (3-2n ,1)到两坐标轴的距离相等,那么n =1,其中假命题的有( ) A .1个 B .2个C .3个D .4个10.下列计算正确的是( )A =B =C .1=D .3+=11.x y x x y >=->+中,二次根式有( ) A .2个B .3个C .4个D .5个12.已知,5x y +=-,3xy =则的结果是( )A .B .-C .D .-二、填空题13.比较实数的大小:(1)______ ;(2)14_______1214.将(0)a a -<化简的结果是___________________.15.定义:对非负实数x “四舍五入”到个位的值记为()f x z ,即:当n 为非负整数时,如果1122n x n -<+≤,则()f x n =z .如:(0)(0.48)0f f ==z z ,(0.64)(1.49)1f f ==z z ,(4)(3.68)4f f ==z z ,试解决下列问题:①f =z __________;②f =z __________;+=__________.16.已知x =,a 是x 的整数部分,b 是x 的小数部分,则a-b=_______17.已知:可用含x =_____.18.n 的最小值为___19.若a 、b 都是有理数,且2222480a ab b a -+++=.20.已知2x =243x x --的值为_______.三、解答题21.若x ,y 为实数,且y 12.求x y y x ++2-xy y x +-2的值.【分析】根据二次根式的性质,被开方数大于等于0可知:1﹣4x ≥0且4x ﹣1≥0,解得x =14,此时y =12.即可代入求解. 【详解】解:要使y 有意义,必须140410x x -≥⎧⎨-≤⎩,即1414x x ⎧≤⎪⎪⎨⎪≥⎪⎩∴ x =14.当x =14时,y =12.又∵x y y x ++2-x yy x +-2=-| ∵x =14,y =12,∴ x y <y x.∴+当x =14,y =12时,原式=.【点睛】(a ≥0)叫二次根式.性质:二次根式中的被开方数必须是非负数,否则二次根式无意义.22.阅读材料,回答问题:两个含有二次根式的代数式相乘,如果它们的积不含有二次根式,我们就说这两个代数式a =,)111=11互为有理化因式.(1)1的有理化因式是 ;(2)这样,化简一个分母含有二次根式的式子时,采用分子、分母同乘以分母的有理化因式的方法就可以了,例如:3==,24====进行分母有理化.(3)利用所需知识判断:若a=,2b=ab,的关系是.(4)直接写结果:)1=.【答案】(1)1;(2)7-;(3)互为相反数;(4)2019【分析】(1)根据互为有理化因式的定义利用平方差公式即可得出;(2)原式分子分母同时乘以分母的有理化因式(2,化简即可;(3)将a=(4)化简第一个括号内的式子,里面的每一项进行分母有理化,然后利用平方差公式计算即可.【详解】解:(1)∵()()1111=,∴1的有理化因式是1;(2227-==-(3)∵2a===,2b=-,∴a和b互为相反数;(4))1++⨯=)11⨯=)11=20201-=2019,故原式的值为2019.【点睛】本题考查了互为有理化因式的定义及分母有理化的方法,并考查了利用分母有理化进行计算及探究相关式子的规律,本题属于中档题.23.小明在解决问题:已知2a2﹣8a+1的值,他是这样分析与解的:∵=2∴a﹣2=∴(a﹣2)2=3,a2﹣4a+4=3∴a2﹣4a=﹣1∴2a2﹣8a+1=2(a2﹣4a)+1=2×(﹣1)+1=﹣1请你根据小明的分析过程,解决如下问题:(1(2)若,求4a2﹣8a+1的值.【答案】(1)9;(2)5.【解析】试题分析:(1)此式必须在把分母有理化后才能实现化简,即各分式分子分母同乘以一个因式,使得1===.(2)先对a1,若就接着代入求解,计算量偏大.模仿小明做法,可先计算2(1)a-的值,就能较为简单地算出结果;也可对这个二次三项式进行配方,再代入求值.后两种方法都比直接代入计算量小很多.解:(1)原式=1)+++⋯(2)∵1a===,解法一:∵22(1)11)2a-=-=,∴2212a a-+=,即221a a-=∴原式=24(2)14115a a-+=⨯+=解法二∴原式=24(211)1a a-+-+24(1)3a=--211)3=--4235=⨯-=点睛:(1)把分母+a b 有理化的方法:分子分母同乘以分母的有理化因式a b -, 得22()()()()+-=-=-a b a b a b a b ,去掉根号,实现分母有理化.(2)当已知量为根式时,求这类二次三项式的值,直接代入求值,计算量偏大,若能巧妙利用完全平方公式或者配方法,计算要简便得多.24.先化简,再求值:a+212a a -+,其中a =1007. 如图是小亮和小芳的解答过程.(1) 的解法是错误的;(2)错误的原因在于未能正确地运用二次根式的性质: ; (3)先化简,再求值:269a a -+a =﹣2018. 【答案】(1)小亮(22a (a <0)(3)2013. 【解析】试题分析:(12a ,判断出小亮的计算是错误的; (22a 的应用错误;(3)先根据配方法把被开方数配成完全平方,然后根据正确的性质化简,再代入计算即可. 试题解析:(1)小亮 (22a (a <0) (3)原式=()23a -a+2(3-a )=6-a=6-(-2007)=2013.25.阅读下列材料,然后回答问题: 33+13533333⨯2(3(3313+1(3+1)(31)(3)1==-- . 以上这种化简过程叫做分母有理化.3+122(3)1(3+1)(31)313+13+13+13+1--===. (1)请用其中一种方法化简1511-;(2)化简:++++3+15+37+599+97.【答案】(1) 15+11;(2) 311-1.【分析】(1)运用了第二种方法求解,即将4转化为1511-;(2)先把每一个加数进行分母有理化,再找出规律,即后面的第二项可以和前面的第一项抵消,然后即可得出答案.【详解】(1)原式==;(2)原式=+++…=﹣1+﹣+﹣+…﹣=﹣1=3﹣1【点睛】本题主要考查了分母有理化,找准有理化的因式是解题的关键.26.1524-45-656【分析】先化为最简二次根式,再将被开方数相同的二次根式进行合并.【详解】151024-45-6552526-35-6525-3526-66.【点睛】本题考查了二次根式的加减运算,在进行此类运算时,先把二次根式化为最简二次根式的形式后再运算.27.计算下列各题(1)1 2126233⎛÷⎝(2)2-【答案】(1)1;(2). 【分析】(1)先把二次根式化为最简二次根式,然后把括号内合并后进行二次根式的除法运算即可; (2)利用完全平方公式和平方差公式展开,然后再进行合并即可. 【详解】(1)原式=1;(2)原式+2). 【点睛】本题考查了二次根式的混合运算,熟练掌握二次根式混合运算的运算顺序以及运算法则是解题的关键.28.先化简,再求值:221()a ba b a b b a-÷-+-,其中a =2b =- 【答案】1a b -+,12-. 【分析】先把分式进行化简,得到最简分式,然后把a 、b 的值代入计算,即可得到答案. 【详解】 解:原式1()()a b a b aa b a b b a b b--=⨯-⨯+-+()()a b a b a b b a b -=--++()b bb a =-+1a b=-+,当a =2b =原式12==-.【点睛】本题考查了二次根式的混合运算,分式的化简求值,分式的混合运算,解题的关键是熟练掌握运算法则进行解题.29.计算:(1 (2)()()2221-【答案】2)1443 【分析】(1)先化成最简二次根式,然后再进行加减运算即可; (2)套用平方差公式和完全平方式进行运算即可. 【详解】解:(1)原式=23223323,(2)原式(34)(12431)1124311443,故答案为:1443. 【点睛】本题考查二次根式的四则运算,熟练掌握二次根式的四则运算是解决本题的关键.30.计算下列各题:(1(2)2-.【答案】(1)2)2-- 【分析】(1)根据二次根式的运算顺序和运算法则计算即可; (2)利用平方差、完全平方公式进行计算. 【详解】解:(1)原式==;(2)原式22(5=--+525=---2=--【点睛】本题考查二次根式的加减乘除混合运算,熟练掌握运算法则和乘法公式是关键.【参考答案】***试卷处理标记,请不要删除一、选择题 1.B 解析:B 【详解】解:A 、错误,∵2=+a bB 、正确,因为a 2+b 2≥0a 2+b 2;CD =|a +b |,其结果a+b 的符号不能确定. 故选B .2.A解析:A 【解析】分析:根据二次根式的加、减、乘、除的法则计算逐一验证即可.详解: , 此选项正确;≠此选项错误;, 此选项错误;,此选项错误.故选A.点睛:本题考查了二次根式的混合运算,掌握二次根式的运算法则是解题的关键.3.A解析:A 【分析】根据各个选项中的式子,可以计算出正确的结果,从而可以解答本题. 【详解】A 、3=,故选项A 正确;B B 错误;C 、18=,故选项C 错误;D =D 错误; 故选:A . 【点睛】本题考查了二次根式的混合运算,解答本题的关键是明确二次根式混合运算的计算方法.4.A解析:A 【分析】分别进行二次根式的乘除法、加减法运算,然后选择正确答案.【详解】解:======,原式计算错误;D. 2220=-=,原式计算错误;故应选:A【点睛】本题考查了二次根式的乘除法和加减法,掌握运算法则是解答本题的关键.5.D解析:D【分析】根据二次根式的加减乘除法则逐项判断即可得.【详解】=+=,此项错误A314==-,此项错误B、23===⨯=,此项错误C2428=,此项正确D、3故选:D.【点睛】本题考查了二次根式的加减乘除运算,熟记二次根式的运算法则是解题关键.6.C解析:C【解析】,30故选C.点睛:此题主要考查了二次根式的化简,解题关键是利用分数的通分求和,然后把其分母有理化即可求解,比较简单,但是易出错,是常考题.7.D解析:D【解析】不是同类二次根式,因此不能计算,故不正确.根据同类二次根式,可知,故不正确;根据二次根式的性质,可知,故不正确;3==,故正确.故选D.8.C解析:C【分析】根据算术平方根的定义,无理数的定义及估值,二次根式的化简依次判断.【详解】A12的算术平方根,故该项正确;B、34<<,故该项正确;C=D=是无理数,故该项正确;故选:C.【点睛】此题考查算术平方根的定义,无理数的定义及估值,二次根式的化简,熟练掌握各知识点并运用解题是关键.9.D解析:D【分析】利用平行线的性质、算术平方根的定义、实数的运算及点的坐标的性质分别判断后即可确定正确的选项.【详解】解:①两条平行线直线被第三条直线所截,同位角相等,故错误;②0.01的算术平方根是0.1,故错误;)=17322+=,故错误;④如果点P(3-2n,1)到两坐标轴的距离相等,则n=1或n=2,故错误,故选D.【点睛】本题考查了命题与定理的知识,解题的关键是熟悉平行线的性质、算术平方根的定义、实数的运算及点的坐标的性质,难度一般.10.A解析:A【分析】A进行化简为B中,被开方数不同的两个二次根式之和不等于和的二次根式,据此可对B进行判断;C中,合并同类二次根式后即可作出判断;D中,无法进行合并运算,据此可对D进行判断.【详解】解:==A符合题意;B不符合题意;C.=C不符合题意;D.3与不能合并,故选项D不符合题意.故选:A.【点睛】此题主要考查了二次根式的加减运算,能够判断出二次根式是同类二次根式是解答此题的关键.11.B解析:B【解析】解:当y=﹣2时,y+1=﹣2+1=﹣1,∴y=-2)无意义;当x>0无意义;x>0共3个.故选B.12.B解析:B【分析】由x+y=-5,xy=3可得到x<0,y<0,再利用二次根式的性质化简得到原式==-,然后把xy=3代入计算即可.【详解】∵x+y=−5,xy=3,∴x<0,y<0,∴原式===-(x<0,y<0),当xy=3时,原式=-故选B.【点睛】此题考查二次根式的化简求值,解题关键在于先化简.二、填空题13.【分析】(1)根据两个负数比较大小、绝对值大的反而小比较即可;(2)先求出两数的差,再根据差的正负比较即可.【详解】(1)(2)∵∴∴故答案为:,.解析:<<【分析】(1)根据两个负数比较大小、绝对值大的反而小比较即可;(2)先求出两数的差,再根据差的正负比较即可.【详解】(1)<12=∵3=<<1 2故答案为:<,<.【点睛】本题考查了实数的大小比较,能熟记实数的大小比较法则的内容是解此题的关键.14..【分析】根据二次根式的性质化简即可.【详解】∵a<0.∴a-3<0,∴==.故答案为:.【点睛】本题考查了二次根式的性质与化简,正确判断根号内的符号是解题的关键.解析:【分析】根据二次根式的性质化简即可.【详解】∵a <0.∴a -3<0,∴(a -=-=故答案为:【点睛】本题考查了二次根式的性质与化简,正确判断根号内的符号是解题的关键.15.3【解析】1、;2、根据题意,先推导出等于什么,(1)∵,∴,(2)再比较与的大小关系,①当n=0时,;②当为正整数时,∵,∴,∴,综合(1)、(2)可得:,解析:320172018【解析】1、(1.732)2z z f f ==;2、根据题意,先推导出f 等于什么,(1)∵2221142n n n n n ⎛⎫+<++=+ ⎪⎝⎭,12n <+, (2)12n -的大小关系,①当n=012n >-; ②当n 为正整数时,∵2212n n n ⎛⎫+-- ⎪⎝⎭1204n =->, ∴2212n n n ⎛⎫+>- ⎪⎝⎭,12n >-,综合(1)、(2)可得:1122n n -<+,∴f n =z ,∴3f =z .3、∵f n =z ,∴(2017z f +111112233420172018=++++⨯⨯-⨯ 111111112233420172018=-+-+-++- 112018=-20172018=. 故答案为(1)2;(2)3;(3)20172018. 点睛:(1)解第②小题的关键是应用“完全平方公式”和“作差的方法”分别证明到当n 为非负整数时,1122n n -<+,从而得到f n =z ;(2)解题③的要点是:当n 为正整数时,111(1)1n n n n =-++. 16.【分析】先把x 分母有理化求出x= ,求出a 、b 的值,再代入求出结果即可.【详解】∵∴∴∴【点睛】本题考查了分母有理化和估算无理数的大小的应用,解此题的关键是求a 、b 的值.解析:6【分析】先把x 分母有理化求出2 ,求出a 、b 的值,再代入求出结果即可.【详解】2x === ∵23<<∴425<<∴4,242a b ==-=∴42)6a b -=-=【点睛】本题考查了分母有理化和估算无理数的大小的应用,解此题的关键是求a 、b 的值.17.【解析】∵=,∴=== -==﹣x3+x ,故答案为:﹣x3+x. 解析:211166x x -+ 【解析】∵x =-3==123=146+= -21116⎡⎤-⎢⎥⎣⎦=311166-+=﹣16x 3+116x , 故答案为:﹣16x 3+116x. 18.5【分析】因为是整数,且,则5n 是完全平方数,满足条件的最小正整数n 为5.【详解】∵,且是整数,∴是整数,即5n 是完全平方数;∴n 的最小正整数值为5.故答案为5.【点睛】主要考查了解析:5【分析】,则5n 是完全平方数,满足条件的最小正整数n 为5.【详解】∴是整数,即5n 是完全平方数;∴n 的最小正整数值为5.故答案为5.【点睛】主要考查了二次根式的定义,关键是根据乘除法法则和二次根式有意义的条件.二次根式有意义的条件是被开方数是非负数进行解答.19.【分析】先将原等式两边同时乘2,然后将左侧配方,然后利用平方的非负性即可求出a 和b 的值,然后代入即可.【详解】解:∵∴∴∴∵∴解得:a=-4,b=-2∴=故答案为:.【点睛解析:【分析】先将原等式两边同时乘2,然后将左侧配方,然后利用平方的非负性即可求出a 和b 的值,然后代入即可.【详解】解:∵2222480a ab b a -+++=∴222448160a ab b a -+++=∴()()222448160a ab b a a -+++=+∴()()22240a b a +-+=∵()()2220,40a b a +-≥≥∴20,40a b a +-==解得:a=-4,b=-2=故答案为:【点睛】此题考查的是配方法、非负性的应用和化简二次根式,掌握完全平方公式、平方的非负性和二次根式的乘法公式是解决此题的关键.20.-4【分析】把代入计算即可求解.【详解】解:当时,=-4故答案为:-4【点睛】本题考查了求代数式的值,二次根式混合运算,本题直接代入求值即可,能正确进行二次根式的混合运算是解题解析:-4【分析】把2x =243x x --计算即可求解.【详解】解:当2x =243x x --((22423=---4383=--+=-4故答案为:-4【点睛】本题考查了求代数式的值,二次根式混合运算,本题直接代入求值即可,能正确进行二次根式的混合运算是解题关键.三、解答题21.无22.无23.无24.无25.无26.无27.无28.无29.无30.无。
一、选择题1.如图,点A 的坐标是(2)2,,若点P 在x 轴上,且APO △是等腰三角形,则点P 的坐标不可能是( )A .(2,0)B .(4,0)C .(-22,0)D .(3,0) 2.已知:△ABC 中,BD 、CE 分别是AC 、AB 边上的高,BQ =AC ,点F 在CE 的延长线上,CF =AB ,下列结论错误的是( ).A .AF ⊥AQB .AF=AQC .AF=AD D .F BAQ ∠=∠3.“赵爽弦图”巧妙地利用面积关系证明了勾股定理,是我国古代数学的骄傲,如图所示的“赵爽弦图”是由三角形较长直角边长为a ,较短直角边长为b ,若(a +b )2=21,大正方形的面积为13,则小正方形的面积为( )A .3B .4C .5D .6 4.如图,在ABC 中,,904C AC ︒∠==cm ,3BC =cm ,点D 、E 分别在AC 、BC上,现将DCE 沿DE 翻折,使点C 落在点'C 处,连接AC ',则AC '长度的最小值 ( )A .不存在B .等于 1cmC .等于 2 cmD .等于 2.5 cm 5.如图,在四边形ABCD 中,∠ABC =∠ACB =∠ADC =45︒,若AD =4,CD =2,则BD 的长为( )A .6B .27C .5D .25 6.如图,在△ABC 中,∠ACB =90°,AB 的中垂线交AC 于D ,P 是BD 的中点,若BC =4,AC =8,则S △PBC 为( )A .3B .3.3C .4D .4.57.如图,在等腰Rt △ABC 中,∠C =90°,AC =7,∠BAC 的角平分线AD 交BC 于点D ,则点D 到AB 的距离是( )A .3B .4C .7(21)-D .7(21)+8.已知一个直角三角形的两边长分别为3和5,则第三边长是( )A .5B .4C .34D .4或349.已知直角三角形纸片ABC 的两直角边长分别为6,8,现将ABC 按如图所示的方式折叠,使点A 与点B 重合,则BE 的长是( )A .72B .74C .254D .15410.我国古代数学家刘徽将勾股形(古人称直角三角形为勾股形)分割成一个正方形和两对全等的三角形,如图所示,已知∠A =90°,BD =4,CF =6,设正方形ADOF 的边长为x ,则210x x +=( )A .12B .16C .20D .24二、填空题11.如图,在矩形 ABCD 中,AB =10,BC =5,若点 M 、N 分别是线段 AC 、AB 上的两个动点,则 BM+MN 的最小值为_____________________.12.等腰三角形的腰长为5,一腰上的高为3,则这个等腰三角形底边的长为________13.已知,如图:在平面直角坐标系中,O 为坐标原点,四边形OABC 是矩形,点A 、C 的坐标分别为A (10,0)、C (0,4),点D 是OA 的中点,点P 在BC 边上运动,当△ODP 是腰长为5的等腰三角形时,点P 的坐标为_____.14.在ABC ∆中,90BAC ∠=︒,以BC 为斜边作等腰直角BCD ∆,连接DA ,若22AB =,42AC =,则DA 的长为______.15.如图,已知△DBC 是等腰直角三角形,BE 与CD 交于点O ,∠BDC=∠BEC=90°,BF=CF ,若BC=8,OD=2,则OF=______.16.如图,在△ABC 中,∠C =90°,∠ABC =45°,D 是BC 边上的一点,BD =2,将△ACD 沿直线AD 翻折,点C 刚好落在AB 边上的点E 处.若P 是直线AD 上的动点,则△PEB 的周长的最小值是________.17.四边形ABCD 中AB =8,BC =6,∠B =90°,AD =CD =52,四边形ABCD 的面积是_______.18.如图,E 为等腰直角△ABC 的边AB 上的一点,要使AE =3,BE =1,P 为AC 上的动点,则PB +PE 的最小值为____________.19.如图所示,圆柱体底面圆的半径是2π,高为1,若一只小虫从A 点出发沿着圆柱体的外侧面爬行到C 点,则小虫爬行的最短路程是______20.已知,在△ABC 中,BC=3,∠A=22.5°,将△ABC 翻折使得点B 与点A 重合,折痕与边AC 交于点P ,如果AP=4,那么AC 的长为_______三、解答题21.在等边ABC 中,点D 是线段BC 的中点,120,EDF DE ∠=︒与线段AB 相交于点,E DF 与射线AC 相交于点F .()1如图1,若DF AC ⊥,垂足为,4,F AB =求BE 的长;()2如图2,将()1中的EDF ∠绕点D 顺时针旋转一定的角度,DF 仍与线段AC 相交于点F .求证:12BE CF AB +=.()3如图3,将()2中的EDF ∠继续绕点D 顺时针旋转一定的角度,使DF 与线段AC 的延长线交于点,F 作DN AC ⊥于点N ,若,DN FN =设,BE x CF y ==,写出y 关于x 的函数关系式.22.如图,在等腰直角三角形ABC 中,∠ACB =90°,AC=BC ,AD 平分∠BAC ,BD ⊥AD 于点D ,E 是AB 的中点,连接CE 交AD 于点F ,BD =3,求BF 的长.23.如图,在矩形ABCD 中,AB=8,BC=10,E 为CD 边上一点,将△ADE 沿AE 折叠,使点D 落在BC 边上的点F 处.(1)求BF 的长;(2)求CE 的长.24.定义:如图1,点M 、N 把线段AB 分割成AM 、MN 和BN ,若以AM 、MN 、BN 为边的三角形是一个直角三角形,则称点M 、N 是线段AB 的勾股分割点.(1)已知点M 、N 是线段AB 的勾股分割点,若2AM =,3MN =,求BN 的长; (2)如图2,在Rt ABC △中,AC BC =,点M 、N 在斜边AB 上,45MCN ∠=︒,求证:点M 、N 是线段AB 的勾股分割点(提示:把ACM 绕点C 逆时针旋转90︒);(3)在(2)的问题中,15ACM ∠=︒,1AM =,求BM 的长.25.已知ABC ∆中,AB AC =.(1)如图1,在ADE ∆中,AD AE =,连接BD 、CE ,若DAE BAC ∠=∠,求证:BD CE =(2)如图2,在ADE ∆中,AD AE =,连接BE 、CE ,若60DAE BAC ∠=∠=,CE AD ⊥于点F ,4AE =,5EC =,求BE 的长;(3)如图3,在BCD ∆中,45CBD CDB ∠=∠=,连接AD ,若45CAB ∠=,求AD AB 的值.26.如图,在ABC ∆中,90ACB ∠=︒,2BC AC =.(1)如图1,点D 在边BC 上,1CD =,5AD =,求ABD ∆的面积.(2)如图2,点F 在边AC 上,过点B 作BE BC ⊥,BE BC =,连结EF 交BC 于点M ,过点C 作CG EF ⊥,垂足为G ,连结BG .求证:2EG BG CG =+.27.如图,在四边形ABCD 中,=AB AD ,=BC DC ,=60A ∠︒,点E 为AD 边上一点,连接CE ,BD . CE 与BD 交于点F ,且CE ∥AB .(1)求证:CED ADB ∠=∠;(2)若=8AB ,=6CE . 求BC 的长 .28.如图,点A 是射线OE :y =x (x ≥0)上的一个动点,过点A 作x 轴的垂线,垂足为B ,过点B 作OA 的平行线交∠AOB 的平分线于点C .(1)若OA =52,求点B 的坐标; (2)如图2,过点C 作CG ⊥AB 于点G ,CH ⊥OE 于点H ,求证:CG =CH .(3)①若点A 的坐标为(2,2),射线OC 与AB 交于点D ,在射线BC 上是否存在一点P 使得△ACP 与△BDC 全等,若存在,请求出点P 的坐标;若不存在,请说明理由. ②在(3)①的条件下,在平面内另有三点P 1(2,2),P 2(2,22),P 3(2+2,2﹣2),请你判断也满足△ACP 与△BDC 全等的点是 .(写出你认为正确的点)29.如图1, △ABC 和△CDE 均为等腰三角形,AC=BC, CD=CE, AC>CD, ∠ACB=∠DCE=a ,且点A 、D 、E 在同一直线上,连结BE.(1)求证: AD=BE.(2)如图2,若a=90°,CM ⊥AE 于E.若CM=7, BE=10, 试求AB 的长.(3)如图3,若a=120°, CM ⊥AE 于E, BN ⊥AE 于N, BN=a, CM=b,直接写出AE 的值(用a, b 的代数式表示).30.如图1,点E 是正方形ABCD 边CD 上任意一点,以DE 为边作正方形DEFG ,连接BF ,点M 是线段BF 中点,射线EM 与BC 交于点H ,连接CM .(1)请直接写出CM 和EM 的数量关系和位置关系.(2)把图1中的正方形DEFG 绕点D 顺时针旋转45︒,此时点F 恰好落在线段CD 上,如图2,其他条件不变,(1)中的结论是否成立,请说明理由.(3)把图1中的正方形DEFG 绕点D 顺时针旋转90︒,此时点E 、G 恰好分别落在线段AD 、CD 上,连接CE ,如图3,其他条件不变,若2DG =,6AB =,直接写出CM 的长度.【参考答案】***试卷处理标记,请不要删除一、选择题1.D解析:D【详解】解:(1)当点P在x轴正半轴上,①以OA为腰时,∵A的坐标是(2,2),∴∠AOP=45°,OA=22,∴P的坐标是(4,0)或(22,0);②以OA为底边时,∵点A的坐标是(2,2),∴当点P的坐标为:(2,0)时,OP=AP;(2)当点P在x轴负半轴上,③以OA为腰时,∵A 的坐标是(2,2),∴OA= 22,∴OA=AP=22∴P 的坐标是(-22,0).故选D .2.C解析:C【分析】根据BD 、CE 分别是AC 、AB 边上的高,推导出EBH DCH ∠=∠;再结合题意,可证明FAC AQB △≌△,由此可得F BAQ ∠=∠,AF AQ =;再经90AEF ∠=得90F FAE ∠+∠=,从而证明AF ⊥AQ ;最后由勾股定理得222AQ AD QD =+,从而得到AF AD ≠,即可得到答案.【详解】如图,CE 和BD 相较于H∵BD 、CE 分别是AC 、AB 边上的高∴CE AB ⊥,BD AC ⊥∴90BEC BDC AEF ADQ ∠=∠=∠=∠=∴90EBH EHB DHC DCH ∠+∠=∠+∠=∵EHB DHC ∠=∠∴EBH DCH ∠=∠又∵BQ =AC 且CF =AB∴FAC AQB △≌△∴F BAQ ∠=∠,AF AQ =,故B 、D 结论正确;∵90AEF ∠=∴90F FAE ∠+∠=∴90BAQ FAE F FAE ∠+∠=∠+∠=∴AF ⊥AQ 故A 结论正确;∵90ADQ ∠=∴222AQ AD QD =+∵0QD ≠∴AQ AD ≠∴AF AD ≠故选:C .【点睛】本题考查了全等三角形、直角三角形、勾股定理、三角形的高等知识;解题的关键是熟练掌握全等三角形、直角三角形、勾股定理、三角形的高的性质,从而完成求解. 3.C解析:C【分析】观察图形可知,小正方形的面积=大正方形的面积-4个直角三角形的面积,利用已知2()a b + =21,大正方形的面积为13,可以得以直角三角形的面积,进而求出答案。
八年级第二学期3月份 月考检测数学试题含答案一、选择题1.下列计算正确的是( ) A .=1212⨯B .4-3=1C .63=2÷D .8=2±2.已知x 1=3+2,x 2=3-2,则x₁²+x₂²等于( ) A .8B .9C .10D .113.下列二次根式是最简二次根式的是( ) A .12B .3C .0.01D .124.在实数范围内,若2x +有意义,则x 的取值范围是( )A .x ≠2B .x >-2C .x <-2D .x≠-25.下列二次根式中,是最简二次根式的是( ) A .12 B .0.1C .12D .21a +6.已知,那么满足上述条件的整数的个数是( ).A .4B .5C .6D .77.若a 、b 、c 为有理数,且等式成立,则2a +999b +1001c 的值是( )A .1999B .2000C .2001D .不能确定 8.下列运算中错误的是( ) A 235=B 236=C 822÷=D .2 (3)3-=9.()23-A .﹣3B .3C .﹣9D .910.使式子2124x x +-x 的取值范围是( ) A .x≥﹣2B .x >﹣2C .x >﹣2,且x ≠2D .x≥﹣2,且x ≠211.下列运算一定正确的是( ) A 2a a =B ab a b =C .222()a b a b ⋅=⋅D ()0n mnaa m=≥ 12.下列属于最简二次根式的是( ) A 8B 5C 4D 13二、填空题13.设四边形ABCD 是边长为1的正方形,以对角线AC 为边作第二个正方形ACEF ,再以对角线AE 为边作第二个正方形AEGH ,如此下去…….⑴记正方形ABCD 的边长为11a =,按上述方法所作的正方形的边长依次为234,,,,n a a a a ,请求出234,,a a a 的值;⑵根据以上规律写出n a 的表达式.14.观察下列等式: 第1个等式:a 12112=+, 第2个等式:a 23223=+, 第3个等式:a 332+3, 第4个等式:a 45225=+, …按上述规律,回答以下问题: (1)请写出第n 个等式:a n =__________. (2)a 1+a 2+a 3+…+a n =_________15222a a ++的最小值是______. 16.已知:5+22可用含x 2=_____. 17.若0xy >,则二次根式2yx -________. 18.3x-x 的取值范围是______. 19.若实数23a =-,则代数式244a a -+的值为___. 20.化简(32)(322)+-的结果为_________.三、解答题21.小明在解决问题:已知a2a 2-8a +1的值,他是这样分析与解答的:因为a=2,所以a -2所以(a -2)2=3,即a 2-4a +4=3. 所以a 2-4a =-1.所以2a 2-8a +1=2(a 2-4a)+1=2×(-1)+1=-1. 请你根据小明的分析过程,解决如下问题: (1)计算:= - . (2)… (3)若a,求4a 2-8a +1的值.【答案】 ,1;(2) 9;(3) 5 【分析】(11==;(2)根据例题可得:对每个式子的分子和分母中同时乘以与分母中的式子相乘符合平方差公式的根式,去掉分母,然后合并同类项二次根式即可求解; (3)首先化简a ,然后把所求的式子化成()2413a --代入求解即可. 【详解】(1)计算:1=; (2)原式)1...11019=++++==-=;(3)1a ===,则原式()()224213413a a a =-+-=--,当1a =时,原式2435=⨯-=.【点睛】本题考查了二次根式的化简求值,正确读懂例题,对根式进行化简是关键.22.计算:(1(2))((222+-+.【答案】(1) 【分析】(1)先化简二次根式,再合并同类二次根式即可; (2)根据平方差公式化简,再化简、合并同类二次根式即可. 【详解】(1==(2))((222+-+=2223--+ =5-4-3+2 =023.先化简,再求值:24211326x x x x -+⎛⎫-÷⎪++⎝⎭,其中1x =.. 【分析】根据分式的运算法则进行化简,再代入求解. 【详解】原式=221(1)12(3)232(3)3(1)1x x x x x x x x x ---+⎛⎫⎛⎫÷=⋅= ⎪ ⎪+++--⎝⎭⎝⎭.将1x == 【点睛】此题主要考查分式的运算,解题的关键是熟知分式的运算法则.24.阅读下面的解答过程,然后作答:m 和n ,使m 2+n 2=a 且,则a 可变为m 2+n 2+2mn ,即变成(m +n )2例如:∵=)2+)2=)2∴请你仿照上例将下列各式化简(12【答案】(1)2-【分析】参照范例中的方法进行解答即可. 【详解】解:(1)∵22241(1+=+=,1=(2)∵2227-=-=,∴==25.计算 (1)(4﹣3)+2(2)(3)甲、乙两台机床同时生产一种零件,在10天中,两台机床每天出次品的数量如表:请计算两组数据的方差. 【答案】(1)6﹣3;(2)-6(3)甲的方差1.65;乙的方差0.76【解析】试题分析:(1)先去括号,再合并;(2)先进行二次根式的乘法运算,然后去绝对值合并;(3)先分别计算出甲乙的平均数,然后根据方差公式分别进行甲乙的方差. 试题解析:(1)原式=4﹣3+2=6﹣3; (2)原式=﹣3﹣2+﹣3 =-6;(3)甲的平均数=(0+1+0+2+2+0+3+1+2+4)=1.5,乙的平均数=(2+3+1+1+0+2+1+1+0+1)=1.2,甲的方差=×[3×(0﹣1.5)2+2×(1﹣1.5)2+3×(2﹣1.5)2+(3﹣1.5)2+(4﹣1.5)2]=1.65; 乙的方差=×[2×(0﹣1.2)2+5×(1﹣1.2)2+2×(2﹣1.2)2+(3﹣1.2)2]=0.76.考点: 二次根式的混合运算;方差.26.先化简再求值:(a ﹣22ab b a -)÷22a b a-,其中,b=1.【答案】原式=a ba b-=+【分析】括号内先通分进行分式的加减运算,然后再进行分式的乘除法运算,最后将数个代入进行计算即可. 【详解】原式=()()222a ab b aa ab a b -+⨯+-=()()()2·a b a aa b a b -+- =a ba b-+,当,b=1时,原式【点睛】本题考查了分式的化简求值,熟练掌握分式混合运算的运算顺序以及运算法则是解题的关键.27.先化简,再求值:2443(1)11m m m m m -+÷----,其中2m =.【答案】22mm-+ 1. 【解析】分析:先根据分式的混合运算顺序和运算法则化简原式,再将m 的值代入计算可得.详解:原式=221m m --()÷(31m -﹣211m m --) =221m m --()÷241m m --=221m m --()•122m m m --+-()() =﹣22m m -+=22m m-+当m ﹣2时,原式===﹣1+=1.点睛:本题主要考查分式的化简求值,解题的关键是掌握分式的混合运算顺序和运算法则.28.(1)计算:21)-(2)已知a ,b 是正数,4a b +=,8ab =【答案】(1)5-2 【分析】(1)根据完全平方公式、平方差公式可以解答本题;(2)先将所求式子化简,然后将a+b=4,ab=8代入化简后的式子即可解答本题. 【详解】解:(1)原式21)=-(31)(23)=---5=-;(2)原式=== a ,b 为正数, ∴原式=把4a b +=,8ab =代入,则==原式【点睛】本题考查二次根式的化简求值,完全平方公式、平方差公式,解答本题的关键是明确二次根式化简求值的方法.29.已知x²+2xy+y²的值.【答案】16【解析】分析:(1)根据已知条件先计算出x+y=4,再利用完全平方公式得到x²+2xy+y²=(x+y)²,然后利用整体代入的方法计算.本题解析:∵x² +2xy+y² =(x+y)²,∴当∴x²+2xy+y²=(x+y)²=(2−=16.30.计算下列各题:(1-.(2)2【答案】(1)2)2--【分析】(1)根据二次根式的运算顺序和运算法则计算即可;(2)利用平方差、完全平方公式进行计算.【详解】解:(1)原式==;=--+(2)原式22(5525=---=--2【点睛】本题考查二次根式的加减乘除混合运算,熟练掌握运算法则和乘法公式是关键.【参考答案】***试卷处理标记,请不要删除一、选择题1.A 解析:A 【解析】2÷故选A.2.C解析:C 【详解】12x x +==12321x x ==-=,所以()2221212122x x x x x x +=+-=(22112210-⨯=-=,故选:C . 【点睛】对于形如2212x x +的式子,改变其中两个字母的位置后,并不改变代数式的值,通常将具有这个特点的代数式称为轮换对称式,如1211+x x ,1221x x x x +,12x x -等,轮换对称式都可以用12x x +,12x x 来表示,所以求轮换对称式的值,一般是先将式子用12x x +,12x x 来表示,然后再整体代入计算.3.B解析:B 【分析】直接利用最简二次根式的定义分析得出答案. 【详解】解:ABC0.1,故此选项错误; D故选:A . 【点睛】此题主要考查了最简二次根式的定义,正确把握定义是解题关键.4.B解析:B 【分析】根据二次根式的被开方数是非负数,且分母不能为零,可得答案. 【详解】由2x+有意义,得:20x+>,解得:2x>-.故选:B.【点睛】本题考查了二次根式有意义的条件,利用被开方数是非负数,分母不能为零得出不等式是解题关键.5.D解析:D【分析】最简二次根式的被开方数中不含能开得尽方的因数或因式,其中小数要转化为分数,分数中分母不可以是二次根式,注意这几点即可得出答案.【详解】A、12=23,不是最简二次根式,故本选项不符合题意;B、100.1=不是最简二次根式,故本选项不符合题意;C、12=22,不是最简二次根式,故本选项不符合题意;D、21a+是最简二次根式,故本选项符合题意.故选:D.【点睛】本题考查最简二次根式,解题的关键是正确理解最简二次根式,最简二次根式必须满足两个条件:被开方数中不含能开得尽方的因数或因式;被开方数的因数是整数,因式是整式,本题属于基础题型.6.C解析:C【解析】【分析】利用分母有理化进行计算即可.【详解】由原式得:所以,因为,,所以.故选:C此题考查解一元一次不等式的整数解,解题关键在于分母有理化.7.B解析:B 【解析】因=,所以a =0,b =1,c =1,即可得2a +999b +1001c =999+1001=2000,故选B. 点睛:本题考查了二次根式的性质与化简,将复合二次根式根据完全平方公式化简并比较系数是解题的关键.8.A解析:A【分析】根据合并同类二次根式的法则对A 进行判断;根据二次根式的乘法法则对B 进行判断;根据二次根式的除法法则对C 进行判断;根据二次根式的性质对D 进行判断.【详解】 23 23236=⨯= 828242÷÷===,故此项正确,不符合要求; D. 2 (3)3-=,故此项正确,不符合要求;故选A .【点睛】本题考查了二次根式的计算:先把各二次根式化为最简二次根式,再进行二次根式的乘除运算,然后合并同类二次根式.9.B解析:B【分析】利用二次根式的性质进行化简即可.【详解】 ()23-﹣3|=3.故选B.10.C解析:C【分析】根据分式和二次根式有意义的条件(分式的分母不为零,二次根式的被开方数为非负数)即可得到结果.【详解】解:由题意得:2x -40≠,x+≥,又∵20∴x≥-2.x≠.∴x的取值范围是:x>-2且2故选C.【点睛】本题考查了分式和二次根式有意义的条件,解不等式,是基础题.11.C解析:C【分析】直接利用二次根式的性质与化简以及积的乘方运算法则分别计算即可得出答案.【详解】A|a|,故此选项错误;B.,则a,b均为非负数,故此选项错误;C.a2•b2=(a•b)2,正确;D m n a(a≥0),故此选项错误.故选C.【点睛】本题主要考查了二次根式的性质与化简以及积的乘方运算,正确掌握相关运算法则是解题的关键.12.B解析:B【分析】判断一个二次根式是否为最简二次根式主要方法是根据最简二次根式的定义进行,或直观地观察被开方数的每一个因数(或因式)的指数都小于根指数2,且被开方数中不含有分母,被开方数是多项式时要先因式分解后再观察.【详解】解:A,不符合题意;BC=2,不符合题意;D故选B.【点睛】本题考查了最简二次根式的定义.在判断最简二次根式的过程中要注意:(1)在二次根式的被开方数中,只要含有分数或小数,就不是最简二次根式;(2)在二次根式的被开方数中的每一个因式(或因数),如果幂的指数大于或等于2,也不是最简二次根式.二、填空题13.(1)a2=,a3=2,a4=2;(2)an =(n 为正整数).【解析】(1)∵四边形ABCD 是正方形,∴AB =BC =1,∠B =90°.∴在Rt △ABC 中,AC ===.同理:AE =2,EH =2,解析:(1)a 2,a 3=2,a 4=;(2)a n n 为正整数).【解析】(1)∵四边形ABCD 是正方形,∴AB =BC =1,∠B =90°.∴在Rt △ABC 中,ACAE =2,EH =,…,即a 2a 3=2,a 4=(2)an n 为正整数).14.【分析】(1)由题意,找出规律,即可得到答案;(2)由题意,通过拆项合并,然后进行计算,即可得到答案.【详解】解:∵第1个等式:a1=,第2个等式:a2=,第3个等式:=1-【分析】(1)由题意,找出规律,即可得到答案;(2)由题意,通过拆项合并,然后进行计算,即可得到答案.【详解】解:∵第1个等式:a 11=,第2个等式:a2=,第3个等式:a 3,第4个等式:a 42=, ……∴第n==(2)123(21)(32)(23)(1) na a a a n n+++=-+-+-+++-=121n+++=1-;1-.【点睛】本题考查了二次根式的加减混合运算,以及数字规律问题,解题的关键是掌握题目中的规律,从而进行解题15.0【解析】【分析】先将化简为就能确定其最小值为1,再和1作差,即可求解。
八年级第二学期3月份月考检测数学试题含答案一、选择题1.下列计算正确的是( )A 5B =2y Ca=D =2.下列计算,正确的是( )A .=B .=C .0=D .10=3.对于所有实数a ,b ,下列等式总能成立的是( )A .2a b =+ B 22a b =+C a b =+D a b =+4.下列计算正确的是( )A =BC D =5.下列计算正确的是( )A =B .12=C 3=D .14=6.a b =--则( ) A .0a b += B .0a b -=C .0ab =D .220a b +=7.A .﹣3B .3C .﹣9D .98.m 的值为( ) A .7B .11C .2D .19.下列运算一定正确的是( )A a =B =C .222()a b a b ⋅=⋅D ()0na m=≥ 10.下面计算正确的是( )A .BCD 2-11.古希腊几何学家海伦和我国宋代数学家秦九韶都曾提出利用三角形的三边求面积的公式,称为海伦﹣秦九韶公式:如果一个三角形的三边长分别是a ,b ,c ,记2a b cp ++=,那么三角形的面积为S =ABC ∆中,A ∠,B ,C ∠所对的边分别记为a ,b ,c ,若5a =,6b =,7c =,则ABC ∆的面积为( )A .66B .63C .18D .19212.若3x -在实数范围内有意义,则x 的取值范围是( ) A .x >0B .x >3C .x ≥3D .x ≤3二、填空题13.将2(3)(0)3a a a a-<-化简的结果是___________________.14.定义:对非负实数x “四舍五入”到个位的值记为()f x z ,即:当n 为非负整数时,如果1122n x n -<+≤,则()f x n =z .如:(0)(0.48)0f f ==z z ,(0.64)(1.49)1f f ==z z ,(4)(3.68)4f f ==z z ,试解决下列问题:①(3)f =z __________;②2(33)f +=z __________; ③222222(11)(22)(22)(33)(33)(44)f f f f f f ++++⋅++⋅++⋅+z z z z z z22(20172017)(20182018)f f +=+⋅+z z __________.15.计算()623÷+=________________ .16.对于任意实数a ,b ,定义一种运算“◇”如下:a ◇b =a(a -b)+b(a +b),如:3◇2=3×(3-2)+2×(3+2)=13,那么3◇2=_____.17.若a 、b 都是有理数,且2222480a ab b a -+++=,则ab =__________. 18.实数a 、b 在数轴上的位置如图所示,则化简()222a b a b -+-=_____.19.函数y 4x-中,自变量x 的取值范围是____________. 20.2m 1-1343m --mn =________.三、解答题21.若x ,y 为实数,且y 14x -41x -12.求x y y x ++2-xy y x +-2的值. 2【分析】根据二次根式的性质,被开方数大于等于0可知:1﹣4x ≥0且4x ﹣1≥0,解得x =14,此时y =12.即可代入求解. 【详解】解:要使y 有意义,必须140410x x -≥⎧⎨-≤⎩,即1414x x ⎧≤⎪⎪⎨⎪≥⎪⎩∴ x =14.当x =14时,y =12.又∵x y y x ++2-x yy x +-2=-| ∵x =14,y =12,∴ x y <y x.∴+当x =14,y =12时,原式=.【点睛】(a ≥0)叫二次根式.性质:二次根式中的被开方数必须是非负数,否则二次根式无意义.22.计算:(1(2))((222+-+. 【答案】(1) 【分析】(1)先化简二次根式,再合并同类二次根式即可; (2)根据平方差公式化简,再化简、合并同类二次根式即可. 【详解】(1==(2))((222+-+=2223--+ =5-4-3+2 =023.(112===;……写出④ ;⑤ ;(2)归纳与猜想.如果n 为正整数,用含n 的式子表示这个运算规律; (3)证明这个猜想.【答案】(12=55=6=;(2=3)证明见解析. 【解析】 【分析】(1)根据题目中的例子直接写出结果; (2)根据(1)中的特例,可以写出相应的猜想;(3)根据(2)中的猜想,对等号左边的式子进行化简,即可得到等号右边的式子,从而可以解答本题. 【详解】解:(1)由例子可得,④=25,6,(2)如果n 为正整数,用含n (3)证明:∵n 是正整数,n .n.故答案为5=25 n;(3)证明见解析. 【点睛】本题考查了二次根式的混合运算、数字的变化类,解答本题的关键是明确题意,找出所求问题需要的条件.24.已知x=2,求代数式(7+x2+(2)x【答案】2【解析】试题分析:先求出x2,然后代入代数式,根据乘法公式和二次根式的性质,进行计算即可.试题解析:x2=(2)2=7﹣则原式=(7﹣+(2=49﹣+25.计算:(1)+-(2(33【答案】(1)2) -10【分析】(1)原式二次根式的乘除法法则进行计算即可得到答案;(1)原式第一项运用二次根式的性质进行化简,第二项运用平方差公式进行化简即可.【详解】+解:(1)===+-(2(33=5+9-24=14-24=-10.【点睛】此题主要考查了二次根式的化简,熟练掌握二次根式的性质是解答此题的关键.⨯;(2)26.计算(11)1)【答案】(12+;(2).【解析】分析:先将二次根式化为最简,然后再进行二次根式的乘法运算.详解:(1)11+;=()31-2 ;(2)原式=(22⨯,==3⨯==点睛:此题考查了二次根式的混合运算,熟练化简二次根式后,在加减的过程中,有同类二次根式的要合并;相乘的时候,被开方数简单的直接让被开方数相乘,再化简;较大的也可先化简,再相乘,灵活对待.27.先化简再求值:(a ﹣22ab b a -)÷22a b a-,其中,b=1.【答案】原式=a ba b-=+【分析】括号内先通分进行分式的加减运算,然后再进行分式的乘除法运算,最后将数个代入进行计算即可. 【详解】原式=()()222a ab b aa ab a b -+⨯+-=()()()2·a b a aa b a b -+- =a b a b-+,当,b=1时,原式【点睛】本题考查了分式的化简求值,熟练掌握分式混合运算的运算顺序以及运算法则是解题的关键.28.计算:(1)()22131)()2---+(2【答案】(1)12;(2) 【分析】(1)按照负整数指数幂、0指数幂、乘方的运算法则计算即可; (2)根据二次根式的加减乘除运算法则计算即可. 【详解】(1)解:原式= 9-1+4=12(2) 【点睛】本题考查负整数指数幂、0指数幂、乘方以及二次根式的运算法则,熟练掌握二次根式的化简是关键.29.计算:(1)13⎛+-⨯ ⎝⎭(2))()2221+.【答案】(1)6-;(2)12-【分析】(1)原式化简后,利用二次根式乘法法则计算即可求出值; (2)原式利用平方差公式,以及完全平方公式计算即可求出值. 【详解】解:(1)原式=1(23⨯⨯=3-⨯=⨯⎭=6-;(2)原式=3﹣4+12﹣=12﹣. 【点睛】此题考查了二次根式的混合运算,以及平方差公式、完全平方公式,熟练掌握运算法则及公式是解本题的关键.30.先阅读下面的解题过程,然后再解答.a ,b ,使a b m +=,ab n =,即22m +==0)a b ==±>.这里7m =,12n =, 由于437+=,4312⨯=,所以22+==,2===.. 【答案】见解析 【分析】应先找到哪两个数的和为13,积为42.再判断是选择加法,还是减法. 【详解】根据题意,可知13m =,42n =, 由于7613+=,7642⨯=,所以2213+=,====【点睛】此题考查二次根式的性质与化简,解题关键在于求得13m =,42n =.【参考答案】***试卷处理标记,请不要删除一、选择题 1.C 解析:C 【分析】根据二次根式的性质对A 、B 进行判断;利用分母有理化对C 进行判断;利用二次根式的加减法对D 进行判断. 【详解】解:A 、原式=5,所以A 选项错误;B 、原式=,所以B 选项错误;C=,所以C 选项正确;D D 选项错误. 故选:C . 【点睛】本题主要考查了二次根式的性质以及合并同类项法则,正确化简各式是解题的关键.2.C解析:C 【分析】A 、B 、C 、根据合并同类二次根式的法则即可判定;D 、利用根式的运算法则计算即可判定. 【详解】解:A 、B 、D 不是同类二次根式,不能合并,故选项不符合题意;C =,故选项正确. 故选:C . 【点睛】此题主要考查二次根式的运算,应熟练掌握各种运算法则,且准确计算.3.B解析:B 【详解】解:A 、错误,∵2=+a bB 、正确,因为a 2+b 2≥0a 2+b 2;CD =|a +b |,其结果a+b 的符号不能确定. 故选B .4.D解析:D 【分析】直接利用二次根式的混合运算法则分别判断得出答案. 【详解】解:AB=,故此选项不合题意;2C,故此选项不合题意;D=故选:D.【点睛】本题考查二次根式的混合运算,正确掌握相关运算法则是解题关键.5.B解析:B【分析】根据各个选项中的式子,可以计算出正确的结果,从而可以解答本题.【详解】A不符合题意;∵12=,故选项B符合题意;C不符合题意;∵=D不符合题意;故选:B.【点睛】本题考查二次根式的混合运算,解答本题的关键是明确二次根式混合运算的计算方法.6.C解析:C【分析】直接利用二次根式的性质,将已知等式左边化简,可以得到a与b中至少有一个为0,进而分析得出答案即可.【详解】=--,解:∵a b∴a-b=-a-b,或b-a=-a-bab=.∴a= -a,或b=-b, ∴a=0,或b=0, ∴ab=0, ∴0故选:C.【点睛】本题考查了二次根式的性质与化简,正确掌握二次根式的性质是解题的关键.7.B解析:B【分析】利用二次根式的性质进行化简即可.【详解】﹣3|=3.故选B.8.C解析:C【分析】几个二次根式化为最简二次根式后,如果被开方数相同,则这几个二次根式即为同类二次根式.【详解】解=m=7时==,故A错误;当m=11时==B错误;当m=1时=故D错误;当m=2时=故C正确;故选择C.【点睛】本题考查了同类二次根式的定义.9.C解析:C【分析】直接利用二次根式的性质与化简以及积的乘方运算法则分别计算即可得出答案.【详解】A|a|,故此选项错误;B.,则a,b均为非负数,故此选项错误;C.a2•b2=(a•b)2,正确;D m n a(a≥0),故此选项错误.故选C.【点睛】本题主要考查了二次根式的性质与化简以及积的乘方运算,正确掌握相关运算法则是解题的关键.10.B解析:B【分析】根据二次根式的混合运算方法,分别进行运算即可.【详解】解:A A选项错误;B===3,故B选项正确;C==C选项错误;D.2(2)2-==,故D选项错误;故选B.【点睛】考查了二次根式的混合运算,熟练化简二次根式后,在加减的过程中,有同类二次根式的要合并;相乘的时候,被开方数简单的直接让被开方数相乘,再化简;较大的也可先化简,再相乘,灵活对待.11.A解析:A【分析】利用阅读材料,先计算出p的值,然后根据海伦公式计算ABC∆的面积;【详解】7a=,5b=,6c=.∴56792p++==,∴ABC∆的面积S==故选A.【点睛】考查了二次根式的应用,解题的关键是代入后正确的运算,难度不大.12.C解析:C【详解】解:根据题意得:x-3≥0解得:x≥3故选C.二、填空题13..【分析】根据二次根式的性质化简即可.【详解】∵a<0.∴a-3<0,∴==.故答案为:.【点睛】本题考查了二次根式的性质与化简,正确判断根号内的符号是解题的关键.解析:【分析】根据二次根式的性质化简即可.【详解】∵a <0.∴a -3<0,∴(a -=-=故答案为:【点睛】本题考查了二次根式的性质与化简,正确判断根号内的符号是解题的关键.14.3【解析】1、;2、根据题意,先推导出等于什么,(1)∵,∴,(2)再比较与的大小关系,①当n=0时,;②当为正整数时,∵,∴,∴,综合(1)、(2)可得:,解析:320172018【解析】1、(1.732)2z z f f ==;2、根据题意,先推导出f 等于什么,(1)∵2221142n n n n n ⎛⎫+<++=+ ⎪⎝⎭,12n <+, (2)12n -的大小关系,①当n=012n >-; ②当n 为正整数时,∵2212n n n ⎛⎫+-- ⎪⎝⎭1204n =->, ∴2212n n n ⎛⎫+>- ⎪⎝⎭,12n >-,综合(1)、(2)可得:1122n n-<+,∴f n=z,∴3f=z.3、∵f n=z,∴(2017zf+111112233420172018=++++⨯⨯-⨯111111112233420172018=-+-+-++-112018=-20172018=.故答案为(1)2;(2)3;(3)20172018.点睛:(1)解第②小题的关键是应用“完全平方公式”和“作差的方法”分别证明到当n为非负整数时,1122nn-<+,从而得到fn=z;(2)解题③的要点是:当n为正整数时,111(1)1n n n n=-++.15.【解析】=,故答案为.解析:【解析】÷=()()2232===--,故答案为16.5【解析】◇==5.故本题应填5.点睛:理解新定义运算的运算规则,其实就是一个对应关系,a 对应,b 对应,即将a=,b=,代入到代数式a(a -b)+b(a +b)中,再根据二次根式的混合运算法则解析:5【解析】32==5. 故本题应填5.点睛:理解新定义运算的运算规则,其实就是一个对应关系,a ,b ,即将,代入到代数式a(a -b)+b(a +b)中,再根据二次根式的混合运算法则进行计算,注意最终的结果一定要化为最简二次根式.17.【分析】先将原等式两边同时乘2,然后将左侧配方,然后利用平方的非负性即可求出a 和b 的值,然后代入即可.【详解】解:∵∴∴∴∵∴解得:a=-4,b=-2∴=故答案为:.【点睛解析:【分析】先将原等式两边同时乘2,然后将左侧配方,然后利用平方的非负性即可求出a 和b 的值,然后代入即可.【详解】解:∵2222480a ab b a -+++=∴222448160a ab b a -+++=∴()()222448160a ab ba a -+++=+ ∴()()22240ab a +-+=∵()()2220,40a b a +-≥≥∴20,40a b a +-==解得:a=-4,b=-2=故答案为:【点睛】此题考查的是配方法、非负性的应用和化简二次根式,掌握完全平方公式、平方的非负性和二次根式的乘法公式是解决此题的关键.18.﹣2a【分析】首先根据实数a、b在数轴上的位置确定a、b的正负,然后利用二次根式的性质化简,最后合并同类项即可求解.【详解】依题意得:a<0<b,|a|<|b|,∴=-a-b+b-a=-解析:﹣2a【分析】首先根据实数a、b在数轴上的位置确定a、b的正负,然后利用二次根式的性质化简,最后合并同类项即可求解.【详解】依题意得:a<0<b,|a|<|b|,.故答案为-2a.【点睛】此题主要考查了二次根式的性质与化简,其中正确利用数轴的已知条件化简是解题的关键,同时也注意处理符号问题.19.x≤4且x≠2【分析】根据被开方数是非负数、分母不能为零,可得答案.【详解】解:由y=,得4-x≥0且x-2≠0.解得x≤4且x≠2.【点睛】本题考查了函数自变量的取值范围,利用被开方解析:x≤4且x≠2【分析】根据被开方数是非负数、分母不能为零,可得答案.【详解】解:由,得4-x≥0且x-2≠0.解得x≤4且x≠2.【点睛】本题考查了函数自变量的取值范围,利用被开方数是非负数、分母不能为零得出4-x≥0且x-2≠0是解题关键.20.21【分析】根据二次根式及同类二次根式的定义列出方程组即可求出答案.【详解】∵最简二次根式与是同类二次根式,∴ ,解得,,∴故答案为21.解析:21【分析】根据二次根式及同类二次根式的定义列出方程组即可求出答案.【详解】∴1221343nm m-=⎧⎨-=-⎩,解得,73mn=⎧⎨=⎩,∴7321. mn=⨯=故答案为21.三、解答题21.无22.无23.无24.无25.无26.无27.无28.无29.无30.无。