不等式的证明方法习题精选精讲
- 格式:doc
- 大小:967.00 KB
- 文档页数:14
不等式的证明(北京习题集)(教师版)一.解答题(共7 小题)1.(2018•北京)设n 为正整数,集合A { | (t ,t ,t ) ,t {0 ,1},k 1,2,,n},对于集合A 中1 2 n k的任意元素 (x ,x ,,) 和(y ,,y ,记x y) 1 2 n 1 2nM (1,) [(x y | x y |) (x y | x y |) (x y | x y |)]1 1 1 12 2 2 2 n n n n2(Ⅰ)当n 时,若 (1,1, 0) , (0,1,1) ,求M (,) 和M (,) 的值;3(Ⅱ)当 4 时,设是的子集,且满足:对于中的任意元素,,当,相同时,是奇数;当n B A B M (,)M (,) B,不同时,是偶数.求集合中元素个数的最大值;(Ⅲ)给定不小于 2 的n ,设B 是A 的子集,且满足:对于B 中的任意两个不同的元素,,M (,) 0 ,写出一个集合B ,使其元素个数最多,并说明理由.2 2 22.(2016 春•北京校级月考)已知,,求证 a b …(a b) (用分析法证明)a b R23 .(2014 •朝阳区二模)已知,x 是函数 f (x ) x 2 mx t 的两个零点,其中常数m ,t Z ,设x1 2nT x x n Nn r r *( )n 1 2r0.(1)用m ,t 表示T ,T ;1 2(2)求证:T mT tT ;5 4 3(3)求证:对任意的n N ,.* T Zn4.(2014•北京校级模拟)(1)求证:7 6 5 2 ;x x 2(2)已知函数f (x ) e ,用反证法证明方程f (x ) 0 没有负数根.x 1b b5.(2019 秋•大兴区期中)①已知0 ,求证:.a b 1a 1 a②已知1,当取什么值时,x 的值最小?最小值是多少?x x 9x 16.(2019 秋•西城区校级期中)已知a ,b 0 ,证明:a3 b3…a2b ab2 .a a a11 12 1na a a7.(2019•东城区二模)若n 行n 列的数表 ( )(n 2) 满足:,,,2,,,21 22 2 … a {0 1}(i j 1 n)nM M Mija a an1 n2 nn第1页(共8页)n nn 0 m n) ( )a m(i 1,2,,,,| a a | 0 (i, j 1, 2,,n,i j) ,记这样的一个数表为A m .对于ik ik jk nk 1 k 1nk 1A m T(n,m) a a ,1 i j n , i, j N*( ) ,记集合…….|T(n,m) | 表示集合T(n,m)中元素的个数. n ij ij ik jk1 1 0(Ⅰ)已知,写出ij i j i j N 的值;A (2) (0 1 1) (1…… 3 , , * )31 0 1(Ⅱ)是否存在数表A (2)满足|T(4, 2) |1?若存在,求出(2),若不存在,说明理由;A4 4n(Ⅲ)对于数表A (m)(0 m n,m N ) ,求证:|T(n,m) |….*n2第2页(共8页)不等式的证明(北京习题集)(教师版)参考答案与试题解析一.解答题(共7 小题)1.(2018•北京)设n 为正整数,集合{ | ( ,t ,t ) ,{0 ,,,2,,,对于集合中A t t 1}k 1 n} A1 2 n k的任意元素,,,和,,,记(x x x ) (y y y )1 2 n 1 2 nM (1,) [(x y | x y |) (x y | x y |) (x y | x y |)]1 1 1 12 2 2 2 n n n n2(Ⅰ)当n 时,若 (1,1, 0) , (0,1,1) ,求M (,) 和M (,) 的值;3(Ⅱ)当 4 时,设是的子集,且满足:对于中的任意元素,,当,相同时,是奇数;当n B A B M (,)M (,) B,不同时,是偶数.求集合中元素个数的最大值;(Ⅲ)给定不小于 2 的n ,设B 是A 的子集,且满足:对于B 中的任意两个不同的元素,,M (,) 0 ,写出一个集合,使其元素个数最多,并说明理由.B【分析】(Ⅰ)直接根据定义计算.(Ⅱ)注意到 1 的个数的奇偶性,根据定义反证证明.(Ⅲ)根据抽屉原理即可得证.【解答】解:,.(I ) M (,) 11 0 2 M (,) 0 1 0 1x y | x y |(II) 考虑数对 (x ,y ) 只有四种情况: (0,0) 、 (0,1) 、 (1, 0) 、 (1,1) ,相应的分别为 0、0、0、1,k k k kk k2所以B 中的每个元素应有奇数个 1,所以B 中的元素只可能为(上下对应的两个元素称之为互补元素):(1 ,0,0,0 ) 、 (0 ,1,0, 0) 、 (0 ,0,1, 0) 、 (0 ,0,0,1) ,(0 ,1,1,1) 、 (1 ,0,1,1) 、 (1 ,1,0,1) 、 (1 ,1,1, 0) ,对于任意两个只有 1 个 1 的元素,都满足是偶数,M (,)所以四元集合B {(1 ,0,0, 0) 、 (0 ,1,0, 0) 、 (0 ,0,1, 0) 、 (0 ,0,0,1)}满足题意,假设B 中元素个数大于等于 4,就至少有一对互补元素,除了这对互补元素之外还有至少 1 个含有 3 个 1 的元素,则互补元素中含有 1 个 1 的元素与之满足M (,) 1不合题意,故B 中元素个数的最大值为 4.第3页(共8页)(Ⅲ)B {(0,0,0,0), (1 ,0, 0, 0) , (0 ,1,0,0), (0 ,0,10),(0 ,0,0,,1)},此时中有个元素,下证其为最大.B n 1对于任意两个不同的元素,,满足,则,中相同位置上的数字不能同时为 1,M (,) 0假设存在有多于个元素,由于,0,0,,与任意元素都有,B n 1 (0 0) M (,) 0所以除 (0 ,0,0,, 0) 外至少有n 1 个元素含有 1,根据元素的互异性,至少存在一对,满足,此时不满足题意,x y l M (,) (1)i i故B 中最多有n 1 个元素.【点评】本题主要考查集合的含义与表示、集合的运算以及集合之间的关系.综合性较强,难度较大.2 2 22.(2016 春•北京校级月考)已知a ,b R,求证 a b …(a b) (用分析法证明)22 2 2【分析】分析法证明不等式,寻找使 a b …(a b) 成立的充分条件,直到使不等式成立的条件显然具备为2止.2 2 2【解答】证明:要证 a b …(a b) ,22 2 1 2只要证( ) ,a b … a b2即证明,2(a b )…a 2ab b2 2 2 2也就是证明,(a b) 02此式显然成立,故要证的不等式成立.【点评】本题考查不等式的证明,着重考查分析法的应用,考查推理能力,体现了转化的数学思想,属于中档题.3 .(2014 •朝阳区二模)已知,x 是函数 f (x ) x 2 mx t 的两个零点,其中常数m ,t Z ,设x1 2.nT x x (nN )n r r *Tx x (n N )n 1 2r0(1)用m ,t 表示T ,T ;1 2(2)求证:T mT tT ;5 4 3(3)求证:对任意的,.n N* T Znn【分析】( 1 )依题意,知,,利用( ) ,易知T x x m ,x x m x x t T x n r x r n N*1 2 1 2 n 1 2 1 1 2r0;2T x 2r x r x 2 x x x 2 (x x )2 x x m2 t2 1 2 1 1 2 2 1 2 1 2r0第4页(共8页)k(2)由,可得;x x T x T x mT tTk r r 51 2 5 1 4 2 4 3r0(3)利用数学归纳法证明即可.【解答】解:(1)x x m ,x x t .1 2 1 2n因为( ) ,所以,T x x n N T x x mn r r *n 1 2 1 1 2r0分2T x x x x x x x x x x m t2 r r 2 2 2 2( ) 32 1 2 1 1 2 2 1 2 1 2r0k 5 4(2)由x x ,得T x x x x x x x Tx .k r r 5 r r 4 r r 5 51 2 5 1 2 1 1 2 2 1 4 2r0 r0 r0即.T x T x55 1 4 2所以.x T x x T x 52 4 1 23 2所以 5 1 4 ( 2 4 1 2 3 )( 1 2 ) 4 1 2 3 4 3 8分T x T x T x x T x x T x x T mT tT(3)①当n 1,2 时,由(1)知T 是整数,结论成立.k②假设当 1 ,时结论成立,即T ,T k 都是整数.n k n k(k… 2)k 1k k 1 k由,得T x x x x x x ,T x k r x rk 1r r k r r k 1 k 1 2 k 1 1 2 1 1 2 2r0 r0 r0即,T x T xk 1 k 1 1 k 2所以,,T x T x k x T x x T xk 1k 1 k 1 2 2 k 1 2 k 1 2所以T 1 x1T (x2T x1x2T 1) (x1 x2 )T x1x2T 1 .k k k k k k即.T mT tTk 1 k k 1由T ,T k 都是整数,且m ,t Z 知,T 也是整数,即n k 1时,结论也成立.k 1 k 1由①②可知,对于一切,分n N* T Z13n【点评】本题考查综合法证明不等式,突出考查数学归纳法的应用,考查抽象思维、逻辑思维的综合应用,考查推理证明的能力,属于难题.4.(2014•北京校级模拟)(1)求证:7 6 5 2 ;x x 2(2)已知函数f (x) e ,用反证法证明方程f (x) 0 没有负数根.x 1【分析】(1)采用分析法来证,要证7 6 5 2 ,只需两边平方,整理后得到一恒成立的不等式即可.(2)对于否定性命题的证明,可用反证法,先假设方程f (x) 0 有负数根,经过层层推理,最后推出一个矛盾的结论.第5页(共8页)【解答】证明:(1)要证7 6 5 2只需证( 7 6) ( 5 2)2 2只需证即证13 2 42 9 4 5 2 2 5 42 只需证24 8 5 42只需证即证4 5 9 80 81上式显然成立,命题得证.x x (2)设存在x 0 0(x 0 1) ,使,则e 0f x( ) 0xx 12由于得 0 1,解得x 2 ,0 e x 1 0x 1 20 21与已知矛盾,因此方程没有负数根.x 0 0 f (x ) 0【点评】(1)本题主要考查不等式的证明,证明用到了分析法,分析法是从要证明的结论出发,一步步向前推,得到一个恒成立的不等式,或明显成立的结论即可.(2)本题考查了函数的零点问题与方程的根的问题.方程的根,就是指使方程成立的未知数的值.对于结论是否定形式的命题,往往反证法证明.a b b 1 b5.(2019 秋•大兴区期中)①已知0 ,求证:.a 1 a②已知,当取什么值时,x 的值最小?最小值是多少?x 1x x 91【分析】①作差法证明即可;②利用基本不等式判断即可.b 1 b ab a ab b a b【解答】解:①证明:a b 0 ,0 ,a 1 a (a 1)a a(a 1)b 1 b故;a 1 a②当时,,,x 1 x 1 x 1 x x 1 0 9 1 9 1 2 ( 1)( 9 ) 1 51 y x x (x)当且仅当,即时,取等号,x 1 3 x 2故当 2 时,x 值最小,最小为 5.x 9x 1【点评】考查了作差法和基本不等式法的应用,基础题.6.(2019 秋•西城区校级期中)已知a ,b 0 ,证明:a3 b3…a2b ab2 .【分析】作差,因式分解,即可得到结论.【解答】证明:(a3 b3 ) (a2b ab2 ) a2 (a b) b2 (b a)第6页(共8页)(a b)(a b ) (a b) (a b)2 2 2Q a 0 b 0,,(a b)2 0a b 0 ,,(a b)2 (a b) 0,则有.a3 b3…a2b b2a【点评】本题考查不等式的证明,重点考查作差法的运用,考查学生分析解决问题的能力,属于基础题.a a a11 12 1na a a7.(2019•东城区二模)若行列的数表…满足:a {0 , 1}(i ,j 1,2,,n) ,n n ( )(n 2)21 22 2nM M Mija a an1 n2 nnn nn 0 m n) ( )a m(i 1,2,,,,| a a | 0 (i, j 1, 2,,n,i j) ,记这样的一个数表为Am .对于ik ik jk nk 1 k 1nk 1A (m) ,记集合T n m a a …i j…n i j N* .|T(n,m) | 表示集合T(n,m) 中元素的个数.( , ) ,1 , ,n ij ij ik jk1 1 0(Ⅰ)已知,写出ij i j i j N 的值;A (1…… 3 , , * )(2) (0 1 1)31 0 1(Ⅱ)是否存在数表A (2)满足|T(4, 2) |1?若存在,求出A (2),若不存在,说明理由;4 4n(Ⅲ)对于数表( )(0 , ) ,求证:.A m m n m N* |T(n,m) |…n2【分析】(Ⅰ)根据题意计算、和的值;12 13 23(Ⅱ)不存在数表A (2),使得|T(4, 2) |1,说明理由即可;4(Ⅲ)在数表A (m) 中,将换成,得出,根据题意计算,得出,,,从1 A (n m) |T(n m) ||T(n nm) | n ij ij n ijn而得出.|T |…(n,m)2【解答】解:(Ⅰ)根据题意,计算12 13 23 1;(3 分)(Ⅱ)不存在数表A (2),使得|T(4, 2) |1.理由如下:41 1 0 0a a a a假设存在A (2),使得|T(4, 2) |1.不妨设A (2) ( 21 22 23 24 ) ,的可能值为 0,1.4 4 ija a a a31 32 33 34a a a a41 42 43 44当ij i j 时,经验证这样的A (2)不存在.0 (1……4)4第7页(共8页)a a 121 22当1(1 4) 时,有,这说明此方程组至少有两个方程的解相同,ij …i j… a a 131 32a a 141 421 1 0 0a a 10 1 a a23 24不妨设,所以有 a a1,A (2) ( 23 24 )4 33 340 1 a a33 34a a 143 441 0 a a43 44这也说明此方程组至少有两个方程的解相同,1 1 0 0 1 1 0 00 1 0 1 0 1 0 1这样的A (2)只能为 ( ) 或 ( ) ,40 1 0 1 0 1 1 01 0 1 0 1 0 0 1这两种情况都与矛盾,|T(4, 2) | 1即不存在数表A (2),使得|T(4, 2) |1.(8 分)4(Ⅲ)在数表A m 中,将换成1 ,这将形成,( ) A (nm) n ij ij n由于,ij a i a j a i a j a in a jn1 12 2可得 (1 a )(1 a ) (1 a )(1 a ) (1 a )(1 a ) n m m ,i1 j1 i2 j2 in jn ij从而,,.|T(n m) ||T(n n m) |nn……当m…时,由于| a a | 0(0 i j n,i, j N* ) ,it jt2t 1n所以任两行相同位置的 1 的个数…1.2nn又由于… 0 ,而从 1 到1的整数个数…,ij2 2n从而| ( , ) | ;T n m …2n从而当 0 m n 时,都有|T |….(13 分)(n,m)2【点评】本题考查了不等式的性质与应用问题,也考查了矩阵乘法的性质应用问题,是难题.第8页(共8页)。
不等式证明方法专项+典型例题不等式的证明是数学证题中的难点,其原因是证明无固定的程序可循,方法多样,技巧性强。
1、比较法(作差法)在比较两个实数a 和b 的大小时,可借助b a -的符号来判断。
步骤一般为:作差——变形——判断(正号、负号、零)。
变形时常用的方法有:配方、通分、因式分解、和差化积、应用已知定理、公式等。
例1、已知:0>a ,0>b ,求证:ab b a ≥+。
2、分析法(逆推法)从要证明的结论出发,一步一步地推导,最后达到命题的已知条件(可明显成立的不等式、已知不等式等),其每一步的推导过程都必须可逆。
例2、求证:15175+>+。
3、综合法证题时,从已知条件入手,经过逐步的逻辑推导,运用已知的定义、定理、公式等,最终达到要证结论,这是一种常用的方法。
例3、已知:a ,b 同号,求证:2≥+b a 。
4、作商法(作比法)在证题时,一般在a ,b 均为正数时,借助1>b a 或1<ba 来判断其大小,步骤一般为:作商——变形——判断(大于1或小于1)。
例4、设0>>b a ,求证:a b b a b a b a >。
a b b a b a b a >。
5、反证法先假设要证明的结论不对,由此经过合理的逻辑推导得出矛盾,从而否定假设,导出结论的正确性,达到证题的目的。
例5、已知0>>b a ,n 是大于1的整数,求证:n n b a >。
6、迭合法(降元法)把所要证明的结论先分解为几个较简单部分,分别证明其各部分成立,再利用同向不等式相加或相乘的性质,使原不等式获证。
例6、已知:122221=+++n a a a ,122221=+++n b b b ,求证:12211≤+++n n b a b a b a 。
证明:因为122221=+++n a a a ,122221=+++n b b b ,所以原不等式获证。
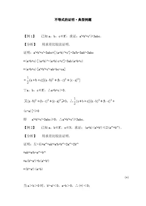
不等式的证明·典型例题【例1】已知a,b,c∈R+,求证:a3+b3+c3≥3abc.【分析】用求差比较法证明.证明:a3+b3+c3-3abc=[(a+b)3+c3]-3a2b-3ab2-3abc=(a+b+c)[(a+b)2-(a+b)c+c2]-3ab(a+b+c)=(a+b+c)[a2+b2+c2-ab-bc-ca]∵a,b,c∈R+,∴a+b+c>0.(c-a)]2≥0即 a3+b3+c3-3abc≥0,∴a3+b3+c3≥3abc.【例2】已知a,b∈R+,n∈N,求证:(a+b)(a n+b n)≤2(a n+1+b n+1).【分析】用求差比较法证明.证明:左-右=a n+1+ab n+a n b+b n+1-2a n+1-2b n+1=ab n+a n b-a n+1-b n+1=a(b n-a n)+b(a n-b n)=(b n-a n)(a-b)(*) 当a>b>0时,b n-a n<0,a-b>0,∴(*)<0;当b>a>0时,b n-a n>0,a-b<0,∴(*)<0;当a=b>0时,b n-a n=0,a-b=0,∴(*)=0.综上所述,有(a+b)(a n+b n)-2(a n+1+b n+1)≤0.即 (a+b)(a n+b n)≤2(a n+1+b n+1).【说明】在求差比较的三个步骤中,“变形”是关键,常用的变形手段有配方、因式分解等,常将“差式”变形为一个常数,或几个因式积的形式.【例3】已知a,b∈R+,求证a a b b≥a b b a.【分析】采用求商比较法证明.证明:∵a,b∈R+,∴a b b a>0综上所述,当a>0,b>0,必有a a b b≥a b b a.【说明】商值比较法的理论依据是:【例4】已知a、b、c是不全等的正数,求证:a(b2+c2)+b(c2+a2)+c(a2+b2)>6abc.【分析】采用综合法证明,利用性质a2+b2≥2ab.证明:∵b2+c2≥2bc,a>0,∴a(b2+c2)≥2abc.①同理b(c2+a2)≥2abc②c(a2+b2)≥2abc③∵a,b,c不全相等,∴①,②,③中至少有一个式子不能取“=”号∴①+②+③,得a(b2+c2)+b(c2+a2)+c(a2+b2)>6abc.【例5】已知a,b,c∈R+,求证:(1)(ab+a+b+1)(ab+ac+bc+c2)≥16abc;【分析】用综合法证明,注意构造定理所需条件.证明:(1)ab+a+b+1=(a+1)(b+1),ab+ac+bc+c2=(a+c)(b+c).∴(a+1)(b+1)(a+c)(b+c)≥16abc因此,当a,b,c∈R+,有(ab+a+b+1)(ab+ac+bc+c2)≥16abc.【说明】用均值定理证明不等式时,一要注意定理适用的条件,二要为运用定理对式子作适当变形,把式子分成若干分,对每部分运用均值定理后,再把它们相加或相乘.【分析】采用分析法证明.(*)∵a<c,b<c,∴a+b<2c,∴(*)式成立.∴原不等式成立.用充分条件代替前面的不等式.【例7】若a、b、c是不全相等的正数,求证:证明二:(综合法)∵a,b,c∈R+,abc成立.上式两边同取常用对数,得【说明】分析法和综合法是对立统一的两个方面.在证法一中,前面是分析法,后面是综合法,两种方法结合使用,使问题较易解决.分析法的证明过程恰恰是综合法的分析、思考过程,综合法的证明方法是分析思考过程的逆推.【例8】已知a>2,求证log a(a-1)·log a(a+1)<1.【分析】两个对数的积不好处理,而两个同底对数的和却易于处理.因为我们可以先把真数相乘再取对数,从而将两个对数合二为一,平均值不等式恰好有和积转化功能可供利用.证明:∵a>2,∴log a(a-1)>0,log a(a+1)>0.又log a(a-1)≠log a(a+1)∴log a(a-1)·log a(a+1)<1.【说明】上式证明如果从log a(a-1)·log a(a+1)入手,得log a(a-1)二为一了.另外,在上述证明过程中,用较大的log a a2代替较小的log a(a2-1),并用适当的不等号连结,从而得出证明.这种方法通常叫做“放缩法”.同样,也可以用较小的数代替较大的数,并用适当的不等号连结.【例9】已知:a,b,c都是小于1的正数;【分析】采用反证法证明.其证明思路是否定结论从而导出与已知或定理的矛盾.从而证明假设不成立,而原命题成立.对题中“至少∵a,b,c都是小于1的正数,故与上式矛盾,假设不成立,原命题正确.【说明】反证法是利用互为逆否命题具有等价性的思想进行推证的.反证法必须罗列各种与原命题相异的结论,缺少任何一种可能,则反证都是不完全的,遇到“至少”、“至多”、“唯一”等字句的命题常用反证法.|a|≤1.【说明】换元法是将较为复杂的不等式利用等价转换的思想转换成易证明的不等式.常用的换元法有(1),若|x|≤1,可设x=sinα,α∈R;(2)若x2+y2=1,可设x=sinα,y=cosα;(3)若x2+y2≤1,可设x=【例11】已知a1、a2、…a n,b1、b2、…b n为任意实数,求证明:构造一个二次函数它一定非负,因它可化为(a1x-b1)2+(a2x-b2)2+…+(a n x-b n)2.∴Δ≤0,(当a1,a2,…a n都为0时,所构造式子非二次函数,但此时原不等式显然成立.)【说明】上例是用判别式法证明的“柯西不等式”,它可写为:变量分别取|a+b|,|a|、|b|时就得到要证的三个式子.因此,可考虑从函数∴f(x2)>f(x1),f(x)在[0,+∞)上是增函数.取x1=|a+b|,x2=|a|+|b|,显然0≤x1≤x2.∴f(|a+b|)≤f(|a|+|b|).【说明】这里是利用构造函数,通过函数的单调性,结合放缩法来证明不等式的.应注意的是,所给函数的单调整性应予以论证.【例13】已知a,b,m,n∈R,且a2+b2=1,m2+n2=1,求证:|am+bn|≤1.证法一:(比较法)证法二:(分析法)∵a,b,m,n∈R,∴上式成立,因此原不等式成立.证法三:(综合法)∵a,b,m,n∈R,∴(|a|-|m|)2≥0,(|b|-|n|)2≥0.即a2+m2≥2|am|,b2+n2≥2|bn|∴a2+m2+b2+n2≥2(|am|+|bn|)∵a2+b2=1,m2+n2=1,∴|am|+|bn|≤1∴|am+bn|≤|am|+|bn|≤1.证法四:(换元法)由已知,可设a=sinα,b=cosα,m=sinβ,n=cosβ.于是|am+bn|=|sinαsinβ+cosαcosβ|=|cos(α-β)|≤1.【说明】一个不等式的证明方法往往不只一种,要注意依据题目特点选择恰当的方法.【例14】已知f(x)=x2-x+c,且|x-a|<1,(a,b,c∈R)求证:|f(x)-f(a)|<2(|a|+1).【分析】绝对值不等式的证明充分利用绝对值不等式性质:证明:|f(x)-f(a)|=|x2-x+c-a2+a-c|=|(x+a)(x-a)-(x-a)|=|x-a||x+a-1|<|x+a-1|=|(x-a)+2a-1|<|x-a|+|2a|+|(-1)|<1+2|a|+1=2(|a|+1).∴|f(x)-f(a)|<2(|a|+1).【例15】当h与|a|,|b|,1中最大的一个相等,求证:当|x|>h时,由已知,有|x|>h≥|a|,|x|>h≥|b|,|x|>h≥1 ∴|x|2≥b.。
不等式的证明方法经典例题第一篇:不等式的证明方法经典例题不等式的证明方法不等式的证明是高中数学的一个难点,证明方法多种多样,近几年高考出现较为形式较为活跃,证明中经常需与函数、数列的知识综合应用,灵活的掌握运用各种方法是学好这部分知识的一个前提,下面我们将证明中常见的几种方法作一列举。
a2+b2a+b注意a+b≥2ab的变式应用。
常用(其中a,b∈R+)来解决有≥2222关根式不等式的问题。
一、比较法比较法是证明不等式最基本的方法,有做差比较和作商比较两种基本途径。
1、已知a,b,c均为正数,求证:111111++≥++ 2a2b2ca+bb+cc+a二、综合法综合法是依据题设条件与基本不等式的性质等,运用不等式的变换,从已知条件推出所要证明的结论。
2、a、b、c∈(0,+∞),a+b+c=1,求证:4a2+b2+c2≥44133、设a、b、c是互不相等的正数,求证:a+b+c>abc(a+b+c)4、知a,b,c∈R,求证:a2+b+2b2+c+2c2+a≥2(a+b+c)211(1+)(1+)≥9xy5、x、y∈(0,+∞)且x+y=1,证:。
6、已知a,b∈R,a+b=1求证: 1++⎛⎝1⎫⎛1⎫1⎪1+⎪≥.a⎭⎝b⎭9三、分析法分析法的思路是“执果索因”:从求证的不等式出发,探索使结论成立的充分条件,直至已成立的不等式。
7、已知a、b、c为正数,求证:2(a+ba+b+c3-ab)≤3(-abc)238、a、b、c∈(0,+∞)且a+b+c=1,求证a+b+c≤3。
四、换元法换元法实质上就是变量代换法,即对所证不等式的题设和结论中的字母作适当的变换,以达到化难为易的目的。
9、b<1,求证:ab+(1-a2)(1-b2)≤1。
22x+y=1,求证:-2≤x+y≤210、114+≥.a-bb-ca-c1222212、已知1≤x+y≤2,求证:≤x-xy+y≤3.211、已知a>b>c,求证:13、已知x-2xy+y≤2,求证:| x+y |≤10.14、解不等式5-x-221x+1>2215、-1≤1-x-x≤2.五、增量代换法在对称式(任意互换两个字母,代数式不变)和给定字母顺序(如a>b>c)的不等式,常用增量进行代换,代换的目的是减少变量的个数,使要证的结论更清晰,思路更直观,这样可以使问题化难为易,化繁为简.16、已知a,b∈R,且a+b = 1,求证:(a+2)+(b+2)≥六、利用“1”的代换型2225.2111已知a,b,c∈R+,且a+b+c=1,求证:++≥9.abc17、七、反证法反证法的思路是“假设→矛盾→肯定”,采用反证法时,应从与结论相反的假设出发,推出矛盾的过程中,每一步推理必须是正确的。
证明不等式的基本方法一、选择题1.设t =a +2b ,s =a +b 2+1,则s 与t 的大小关系是( )A .s ≥tB .s >tC .s ≤tD .s <t2.设0<x <1,则a =2x ,b =1+x ,c =11-x 中最大的一个是( ) A .a B .b C .c D .无法判断3.设a 、b ∈(0,+∞),且ab -a -b =1,则有( )A .a +b ≥2(2+1)B .a +b ≤2+1C .a +b <2+1D .a +b >2(2+1)4.已知a 、b 、c 是正实数,且a +b +c =1,则1a +1b +1c 的最小值为( )A .5B .7C .9D .115.(2012·湖北高考)设a ,b ,c ,x ,y ,z 均为正数,且a 2+b 2+c 2=10,x 2+y 2+z 2=40,ax +by +cz =20,则a +b +c x +y +z 等于( ) A.14 B.13C.12D.34 二、填空题6.设a >b >0,m =a -b ,n =a -b ,则m 与n 的大小关系是________.7.以下三个命题:①若|a -b |<1,则|a |<|b |+1;②若a 、b ∈R ,则|a +b |-2|a |≤|a -b |;③若|x |<2,|y |>3,则|x y |<23,其中正确命题的序号是________.8.若x +y +z =1,且x ,y ,z ∈R ,则x 2+y 2+z 2与13的大小关系为________.三、解答题9.设a >0,b >0,a +b =1,求证:1a +1b +1ab ≥8.10.(2013·深圳调研)已知a ,b 为正实数.(1)求证:a 2b +b 2a ≥a +b ;(2)利用(1)的结论求函数y =(1-x )2x +x 21-x(0<x <1)的最小值.11.(1)设x ≥1,y ≥1,证明x +y +1xy ≤1x +1y +xy .(2)1≤a ≤b ≤c ,证明log a b +log b c +log c a ≤log b a +log c b +log a c .解析及答案一、选择题1.【解析】 ∵s -t =b 2-2b +1=(b -1)2≥0,∴s ≥t .【答案】 A2.【解析】 ∵0<x <1,∴1+x >2x =4x >2x , ∴只需比较1+x 与11-x的大小, ∵1+x -11-x =1-x 2-11-x =-x 21-x<0, ∴1+x <11-x. 因此c =11-x 最大. 【答案】 C3.【解析】 ∵ab -a -b =1,∴1+a +b =ab ≤(a +b 2)2.令a +b =t (t >0),则1+t ≤t 24(t >0).解得t ≥2(2+1),则a +b ≥2(2+1).【答案】 A4.【解析】 把a +b +c =1代入1a +1b +1c 得a +b +c a +a +b +c b +a +b +c c=3+(b a +a b )+(c a +a c )+(c b +b c )≥3+2+2+2=9.【答案】 C5.【解析】 由题意可得x 2+y 2+z 2=2ax +2by +2cz , 又a 2+b 2+c 2=10相加可得(x -a )2+(y -b )2+(z -c )2=10,所以不妨令⎩⎨⎧x -a =a ,y -b =b ,z -c =c (或⎩⎨⎧x -a =b ,y -b =c ,z -c =a), 则x +y +z =2(a +b +c ),∴a +b +c x +y +z =12. 【答案】 C二、填空题6.【解析】 ∵a >b >0,∴m =a -b >0,n =a -b >0.∵m 2-n 2=(a +b -2ab )-(a -b )=2b -2ab =2b (b -a )<0,∴m 2<n 2,从而m <n .【答案】 m <n7.【解析】 ①|a |-|b |≤|a -b |<1,所以|a |<|b |+1; ②|a +b |-|a -b |≤|(a +b )+(a -b )|=|2a |, 所以|a +b |-2|a |≤|a -b |;③|x |<2,|y |>3,所以1|y |<13,因此|x ||y |<23.∴①②③均正确.【答案】 ①②③8.【解析】 ∵(x +y +z )2=1,∴x 2+y 2+z 2+2(xy +yz +zx )=1,又2(xy +yz +zx )≤2(x 2+y 2+z 2),∴3(x 2+y 2+z 2)≥1,则x 2+y 2+z 2≥13.【答案】 x 2+y 2+z 2≥13三、解答题9.【证明】 ∵a >0,b >0,a +b =1, ∴2ab ≤a +b =1.因此ab≤12,1ab≥4.则1a+1b+1ab=(a+b)(1a+1b)+1ab≥2ab·2 1ab+4=8.故1a+1b+1ab≥8成立.10.【解】(1)证明∵a2b+b2a-(a+b)=a3+b3-a2b-ab2ab=a2(a-b)-b2(a-b)ab=(a-b)2(a+b)ab.又∵a>0,b>0,∴(a-b)2(a+b)ab≥0,当且仅当a=b时等号成立.∴a2b+b2a≥a+b.(2)∵0<x<1,∴1-x>0,由(1)的结论,函数y=(1-x)2x+x21-x≥(1-x)+x=1.当且仅当1-x=x即x=12时等号成立.∴函数y=(1-x)2x+x21-x(0<x<1)的最小值为1.11.【证明】(1)由于x≥1,y≥1,则x+y+1xy≤1x+1y+xy⇔xy(x+y)+1≤y+x+(xy)2,将上式中右式减左式得[y+x+(xy)2]-[xy(x+y)+1]=[(xy)2-1]-[xy(x+y)-(x+y)]=(xy-1)(xy-x-y+1)=(xy-1)(x-1)(y-1),由x≥1,y≥1易知(xy-1)(x-1)(y-1)≥0,即原不等式成立.(2)设log a b=x,log b c=y,由对数换底公式得log c a=1xy,log b a=1x,log c b=1y,log a c=xy,则所证不等式可化为x+y+1xy≤1x+1y+xy,由1≤a≤b≤c知x=log a b≥1,y=log b c≥1,由(1)知所证不等式成立.。
多种方法证明高中不等式例1证明不等式n n2131211<++++(n ∈N *)证法一:(1)当n 等于1时,不等式左端等于1,右端等于2,所以不等式成立; (2)假设n =k (k ≥1)时,不等式成立,即1+k13121+++ <2k ,,1211)1(11)1(21121131211+=++++<+++=++<+++++k k k k k k k k k k 则∴当n =k +1时,不等式成立.综合(1)、(2)得:当n ∈N *时,都有1+n13121+++ <2n .另从k 到k +1时的证明还有下列证法:,1111212212:.12112,01),1(21)1(2,0)1()1()1(2)1(21)1(22+=+++>++=-++<++∴>++<++∴>+-=+++-=+--+k k k kk k k k k k k k k k k k k k k k k k k 又如.12112+<++∴k k k证法二:对任意k ∈N *,都有:.2)1(2)23(2)12(22131211),1(21221n n n n k k k k k k k =--++-+-+<++++--=-+<+=因此证法三:设f (n )=),131211(2nn ++++-那么对任意k ∈N*都有:1)1(])1(2)1[(11]1)1(2)1(2[1111)1(2)()1(2>+-+=++-+⋅+=-+-++=+--+=-+k k k k k k k k k k k k k k k k f k f∴f (k +1)>f (k )因此,对任意n ∈N * 都有f (n )>f (n -1)>…>f (1)=1>0, ∴.2131211n n <++++例2求使y x +≤a y x +(x >0,y >0)恒成立的a 的最小值. 解法一:由于a 的值为正数,将已知不等式两边平方,得: x +y +2xy ≤a 2(x +y ),即2xy ≤(a 2-1)(x +y ),①∴x ,y >0,∴x +y ≥2xy ,②当且仅当x =y 时,②中有等号成立. 比较①、②得a 的最小值满足a 2-1=1, ∴a 2=2,a =2 (因a >0),∴a 的最小值是2. 解法二:设yx xyy x xy y x y x y x yx yx u ++=+++=++=++=212)(2. ∵x >0,y >0,∴x +y ≥2xy (当x =y 时“=”成立), ∴y x xy +2≤1,yx xy+2的最大值是1. 从而可知,u 的最大值为211=+, 又由已知,得a ≥u ,∴a 的最小值为2. 解法三:∵y >0, ∴原不等式可化为yx+1≤a 1+yx, 设y x =tan θ,θ∈(0,2π). ∴tan θ+1≤a 1tan 2+θ;即tan θ+1≤a se c θ ∴a ≥sin θ+cos θ=2sin(θ+4π),③又∵sin(θ+4π)的最大值为1(此时θ=4π). 由③式可知a 的最小值为2.例3 已知a >0,b >0,且a +b =1.求证:(a +a 1)(b +b 1)≥425证法一:(分析综合法)欲证原式,即证4(ab )2+4(a 2+b 2)-25ab +4≥0,即证4(ab )2-33(ab )+8≥0,即证ab ≤41或ab ≥8.∵a >0,b >0,a +b =1,∴ab ≥8不可能成立 ∵1=a +b ≥2ab ,∴ab ≤41,从而得证. 证法二:(均值代换法) 设a =21+t 1,b =21+t 2.∵a +b =1,a >0,b >0,∴t 1+t 2=0,|t 1|<21,|t 2|<21.4254116254123162541)45(41)141)(141()21)(21()141)(141(211)21(211)21(11)1)(1(2242222222222222222112122221122212122=≥-++=--+=-++++++=++++++++=+++⨯+++=+⨯+=++∴t t t t t t t t t t t t t t t t t t t t t b b a a b b a a 显然当且仅当t =0,即a =b =21时,等号成立.证法三:(比较法)∵a +b =1,a >0,b >0,∴a +b ≥2ab ,∴ab ≤41425)1)(1(04)8)(41(4833442511425)1)(1(2222≥++∴≥--=++=-+⋅+=-++b b a a ab ab ab ab ab b a b b a a b b a a 证法四:(综合法)∵a +b =1, a >0,b >0,∴a +b ≥2ab ,∴ab ≤41.4251)1(41 16251)1(169)1(434111222≥+-⇒⎪⎪⎭⎪⎪⎬⎫⎪⎪⎩⎪⎪⎨⎧≥≥+-⇒≥-⇒=-≥-∴ab ab ab ab ab ab 425)1)(1(≥++b b a a 即 证法五:(三角代换法)∵a >0,b >0,a +b =1,故令a =sin 2α,b =cos 2α,α∈(0,2π) .425)1)(1(4252sin 4)2sin 4(412sin 125162sin 24.3142sin 4,12sin 2sin 416)sin 4(2sin 42cos sin 2cos sin )cos 1)(cos sin 1(sin )1)(1(2222222222222442222≥++≥-⇒⎪⎭⎪⎬⎫≥≥+-=-≥-∴≤+-=+-+=++=++b b a a b b a a 即得ααααααααααααααααα例4.已知a ,b ,c 为正实数,a +b +c =1. 求证:(1)a 2+b 2+c 2≥31(2)232323+++++c b a ≤6证明:(1)证法一:a 2+b 2+c 2-31=31(3a 2+3b 2+3c 2-1)=31[3a 2+3b 2+3c 2-(a +b +c )2]=31[3a 2+3b 2+3c 2-a 2-b 2-c 2-2ab -2ac -2bc ]=31[(a -b )2+(b -c )2+(c -a )2]≥0 ∴a 2+b 2+c 2≥31证法二:∵(a +b +c )2=a 2+b 2+c 2+2ab +2ac +2bc ≤a 2+b 2+c 2+a 2+b 2+a 2+c 2+b 2+c 2 ∴3(a 2+b 2+c 2)≥(a +b +c )2=1 ∴a 2+b 2+c 2≥31证法三:∵33222c b a c b a ++≥++∴a 2+b 2+c 2≥3cb a ++ ∴a 2+b 2+c 2≥31证法四:设a =31+α,b =31+β,c =31+γ. ∵a +b +c =1,∴α+β+γ=0∴a 2+b 2+c 2=(31+α)2+(31+β)2+(31+γ)2=31+32 (α+β+γ)+α2+β2+γ2=31+α2+β2+γ2≥31 ∴a 2+b 2+c 2≥31629)(323232323323,23323,21231)23(23:)2(=+++<+++++∴+<++<+++<⨯+=+c b a c b a c c b b a a a 同理证法一 ∴原不等式成立. 证法二:3)23()23()23(3232323+++++≤+++++c b a c b a336)(3=+++=c b a∴232323+++++c b a ≤33<6 ∴原不等式成立.例5.已知x ,y ,z ∈R ,且x +y +z =1,x 2+y 2+z 2=21,证明:x ,y ,z ∈[0,32]证法一:由x +y +z =1,x 2+y 2+z 2=21,得x 2+y 2+(1-x -y )2=21,整理成关于y 的一元二次方程得:2y 2-2(1-x )y +2x 2-2x +21=0,∵y ∈R ,故Δ≥0∴4(1-x )2-4×2(2x 2-2x +21)≥0,得0≤x ≤32,∴x ∈[0,32] 同理可得y ,z ∈[0,32]证法二:设x =31+x ′,y =31+y ′,z =31+z ′,则x ′+y ′+z ′=0, 于是21=(31+x ′)2+(31+y ′)2+(31+z ′)2 =31+x ′2+y ′2+z ′2+32 (x ′+y ′+z ′)=31+x ′2+y ′2+z ′2≥31+x ′2+2)(2z y '+'=31+23x ′2故x ′2≤91,x ′∈[-31,31],x ∈[0,32],同理y ,z ∈[0,32]证法三:设x 、y 、z 三数中若有负数,不妨设x <0,则x 2>0,21=x 2+y 2+z 2≥x 2+21232)1(2)(2222+-=+-=+x x x x z y >21,矛盾.x 、y 、z 三数中若有最大者大于32,不妨设x >32,则21=x 2+y 2+z 2≥x 2+2)(2z y +=x 2+2)1(2x -=23x 2-x +21=23x (x -32)+21>21;矛盾. 故x 、y 、z ∈[0,32]例6 .证明下列不等式:(1)若x ,y ,z ∈R ,a ,b ,c ∈R +,则cb a y b ac x a c b +++++22z 2≥2(xy +yz +zx ) (2)若x ,y ,z ∈R +,且x +y +z =xyz , 则zyx y x z x z y +++++≥2(z y x 111++))()()()()()(222)(4)(2))(()(2)]()()([)(2)(:)2()(20)()()()2()2()2()(22:)1.(62222222222223333332222222222222222222222222222222222≥-+-+-+-+-+-⇔++≥+++++⇔+++++≥+++++++⇔++≥+++++⋅⇔++≥+++++++≥+++++∴≥-+-+-=-++-++-+=++-+++++y x z x z y z y x y x xy x z zx z y yz xyz z xy yz x xy y x zx x z yz z y xyz z xy yz x x z z y y x xy y x zx x z yz z y z y x zx yz xy y x xy x z zx z y yz xyz zx yz xy z yx y x z x z y z y x zx yz xy z c b a y b a c x a c b x a c z c a z c b y b c y b a x a b zx x a cz c a yz z c b y b c xy y b a x a b zx yz xy z cb a y b ac x c b 所证不等式等介于证明证明∵上式显然成立,∴原不等式得证.例7.已知i ,m 、n 是正整数,且1<i ≤m <n . (1)证明:n i A i m <m i A i n ; (2)证明:(1+m )n >(1+n )m7.证明:(1)对于1<i ≤m ,且A i m =m ·…·(m -i +1),n i n n n n n nm i m m m m m m i i m i i m 11A ,11A +-⋅⋅-⋅=+-⋅⋅-⋅= 同理, 由于m <n ,对于整数k =1,2,…,i -1,有mkm n k n ->-, 所以i m i i n i i i mi i n n m mn A A ,A A >>即(2)由二项式定理有:(1+m )n =1+C 1n m +C 2n m 2+…+C nn m n ,(1+n )m =1+C 1m n +C 2m n 2+…+C m m n m ,由(1)知m iA in>n iA i m (1<i ≤m ),而C i m=!A C ,!A i i i ni n i m =∴m i C i n >n i C i m (1<m <n )∴m 0C 0n =n 0C 0n =1,m C 1n =n C 1m =m ·n ,m 2C 2n >n 2C 2m ,…, m m C m n >n m C m m ,m m +1C 1+m n >0,…,m n C n n >0, ∴1+C 1n m +C 2n m 2+…+C n n m n >1+C 1m n +C 2m n 2+…+C m m n m ,即(1+m )n >(1+n )m 成立.例8.若a >0,b >0,a 3+b 3=2,求证:a +b ≤2,ab ≤1. 证法一:因a >0,b >0,a 3+b 3=2,所以 (a +b )3-23=a 3+b 3+3a 2b +3ab 2-8=3a 2b +3ab 2-6=3[ab (a +b )-2]=3[ab (a +b )-(a 3+b 3)]=-3(a +b )(a -b )2≤0. 即(a +b )3≤23,又a +b >0,所以a +b ≤2,因为2ab ≤a +b ≤2, 所以ab ≤1.证法二:设a 、b 为方程x 2-mx +n =0的两根,则⎩⎨⎧=+=ab n ba m ,因为a >0,b >0,所以m >0,n >0,且Δ=m 2-4n ≥0 ① 因为2=a 3+b 3=(a +b )(a 2-ab +b 2)=(a +b )[(a +b )2-3ab ]=m (m 2-3n )所以n =mm 3232-② 将②代入①得m 2-4(mm 3232-)≥0, 即mm 383+-≥0,所以-m 3+8≥0,即m ≤2,所以a +b ≤2,由2≥m 得4≥m 2,又m 2≥4n ,所以4≥4n , 即n ≤1,所以ab ≤1.证法三:因a >0,b >0,a 3+b 3=2,所以2=a 3+b 3=(a +b )(a 2+b 2-ab )≥(a +b )(2ab -ab )=ab (a +b )于是有6≥3ab (a +b ),从而8≥3ab (a +b )+2=3a 2b +3ab 2+a 3+b 3=(a +b )3,所以a +b ≤2,(下略)证法四:因为333)2(2b a b a +-+8))((38]2444)[(22222b a b a ab b a ab b a b a -+=----++=≥0, 所以对任意非负实数a 、b ,有233b a +≥3)2(b a +因为a >0,b >0,a 3+b 3=2,所以1=233b a +≥3)2(b a +,∴2b a +≤1,即a +b ≤2,(以下略)证法五:假设a +b >2,则a 3+b 3=(a +b )(a 2-ab +b 2)=(a +b )[(a +b )2-3ab ]>(a +b )ab >2ab ,所以ab <1, 又a 3+b 3=(a +b )[a 2-ab +b 2]=(a +b )[(a +b )2-3ab ]>2(22-3ab )因为a 3+b 3=2,所以2>2(4-3ab ),因此ab >1,前后矛盾,故a +b ≤2(以下略)。
14不等式的证明不等式在数学中占有重要地位,由于其证明的困难性和方法的多样性,而成为竞赛和高考的热门题型. 证明不等式就是对不等式的左右两边或条件与结论进行代数变形和化归,而变形的依据是不等式的性质,不等式的性分类罗列如下:不等式的性质:.0,0<-⇔<>-⇔≥b a b a b a b a 这是不等式的定义,也是比较法的依据. 对一个不等式进行变形的性质: (1)a b b a <⇔>(对称性) (2)c b c a b a +>+⇔>(加法保序性) (3).0,;0,bc ac c b a bc ac c b a <⇒<>>⇒>>(4)*).(,0N n b a b a b a nn nn ∈>>⇒>>对两个以上不等式进行运算的性质.(1)c a c b b a >⇒>>,(传递性).这是放缩法的依据. (2).,d b c a d c b a +>+⇒>> (3).,d b c a d c b a ->-⇒<> (4).,,0,0bc ad dbc a cd b a >>⇒>>>> 含绝对值不等式的性质:(1).)0(||22a x a a x a a x ≤≤-⇔≤⇔>≤ (2).)0(||22a x a x a x a a x -≤≥⇔≥⇔>≥或 (3)||||||||||||b a b a b a +≤±≤-(三角不等式).(4).||||||||2121n n a a a a a a +++≤+++证明不等式的常用方法有:比较法、放缩法、变量代换法、反证法、数学归纳法、构造函数方法等.当然在证题过程中,常可“由因导果”或“执果索因”.前者我们称之为综合法;后者称为分析法.综合法和分析法是解决一切数学问题的常用策略,分析问题时,我们往往用分析法,而整理结果时多用综合法,这两者并非证明不等式的特有方法,只是在不等式证明中使用得更为突出而已.此外,具体地证明一个不等式时,可能交替使用多种方法.例题讲解1.,0,,>c b a 求证:.6)()()(abc a c ca c b bc b a ab ≥+++++2.0,,>c b a ,求证:.)(3c b a cb a abc c b a ++≥3.:.222,,,333222222abc ca b bc a b a c a c b c b a c b a R c b a ++≤+++++≤++∈+求证4.设*21,,,N a a a n ∈ ,且各不相同,求证:.32131211223221n a a a a n n ++++≤++++ .5.利用基本不等式证明.222ca bc ab c b a ++≥++6.已知,0,,1≥=+b a b a 求证:.8144≥+b a7.利用排序不等式证明n n A G ≤8.证明:对于任意正整数R ,有.)111()11(1+++<+n n n n9.n 为正整数,证明:.)1(131211]1)1[(111----<++++<-+n nn n n nn n课后练习1.选择题(1)方程x2-y2=105的正整数解有( ).(A)一组(B)二组(C)三组(D)四组(2)在0,1,2,…,50这51个整数中,能同时被2,3,4整除的有(). (A)3个(B)4个(C)5个(D)6个2.填空题(1)的个位数分别为_________及_________.(2)满足不等式104≤A≤105的整数A的个数是x×104+1,则x的值________.(3)已知整数y被7除余数为5,那么y3被7除时余数为________.(4)求出任何一组满足方程x2-51y2=1的自然数解x和y_________.3.求三个正整数x、y、z满足.4.在数列4,8,17,77,97,106,125,238中相邻若干个数之和是3的倍数,而不是9的倍数的数组共有多少组?5.求的整数解.6.求证可被37整除.7.求满足条件的整数x,y的所有可能的值.8.已知直角三角形的两直角边长分别为l 厘米、m 厘米,斜边长为n 厘米,且l ,m ,n 均为正整数,l 为质数.证明:2(l+m+n )是完全平方数.9.如果p 、q 、、都是整数,并且p >1,q >1,试求p+q 的值.课后练习答案1.D.C.2.(1)9及1. (2)9. (3)4.(4)原方程可变形为x 2=(7y+1)2+2y(y-7),令y=7可得x=50.3.不妨设x≤y≤z,则,故x≤3.又有故x≥2.若x=2,则,故y≤6.又有,故y≥4.若y=4,则z=20.若y=5,则z=10.若y=6,则z 无整数解.若x=3,类似可以确定3≤y≤4,y=3或4,z 都不能是整数. 4.可仿例2解.5. 分析:左边三项直接用基本不等式显然不行,考察到不等式的对称性,可用轮换..的方法. 略解:ca a c bc c b ab b a 2,2,2223222≥+≥+≥+同理;三式相加再除以2即得证. 评述:(1)利用基本不等式时,除了本题的轮换外,一般还须掌握添项、连用等技巧.如n n x x x x x x x x x +++≥+++ 2112322221,可在不等式两边同时加上.132x x x x n ++++再如证)0,,(256)())(1)(1(32233>≥++++c b a c b a c b c a b a 时,可连续使用基本不等式.(2)基本不等式有各种变式 如2)2(222b a b a +≤+等.但其本质特征不等式两边的次数及系数是相等的.如上式左右两边次数均为2,系数和为1.6.8888≡8(mod37),∴88882222≡82(mod37).7777≡7(mod37),77773333≡73(mod37),88882222+77773333≡(82+73)(mod37),而82+73=407,37|407,∴37|N.7.简解:原方程变形为3x2-(3y+7)x+3y2-7y=0由关于x的二次方程有解的条件△≥0及y为整数可得0≤y≤5,即y=0,1,2,3,4,5.逐一代入原方程可知,原方程仅有两组解(4,5)、(5,4).8.∵l2+m2=n2,∴l2=(n+m)(n-m).∵l为质数,且n+m>n-m>0,∴n+m=l2,n-m=1.于是l2=n+m=(m+1)+m=2m+1,2m=l2-1,2(l+m+1)=2l+2+2m=l2+2l+1=(l+1)2.即2(l+m+1)是完全平方数.9.易知p≠q,不妨设p>q.令=n,则m>n由此可得不定方程(4-mn)p=m+2,解此方程可得p、q之值.例题答案:1. 证明:abc a c ca c b bc b a ab 6)()()(-+++++)()()()2()2()2(222222222≥-+-+-=-++-++-+=b a c a c b c b a ab b a c ac c a b bc c b a.6)()()(abc a c ca c b bc b a ab ≥+++++∴评述:(1)本题所证不等式为对称式(任意互换两个字母,不等式不变),在因式分解或配方时,往往采用轮换技巧.再如证明ca bc ab c b a ++≥++222时,可将22b a +)(ca bc ab ++-配方为])()()[(21222a c c b b a -+-+-,亦可利用,222ab b a ≥+ca a c bc c b 2,22222≥+≥+,3式相加证明.(2)本题亦可连用两次基本不等式获证.2.分析:显然不等式两边为正,且是指数式,故尝试用商较法.不等式关于c b a ,,对称,不妨+∈---≥≥R c a c b b a c b a ,,,则,且cb b a ,, ca都大于等于1..1)()()()(3333333333232323≥⋅⋅=⋅⋅⋅⋅⋅==---------------++c a c b b a b c a c c b a b c a b a b a c c a b c b a c b a cb a ca cb b a ccbbaacbaabc c b a评述:(1)证明对称不等式时,不妨假定n 个字母的大小顺序,可方便解题. (2)本题可作如下推广:若≥=>na naai a a a n i a 2121),,,2,1(0则.)(2121na a a n na a a +++(3)本题还可用其他方法得证。
高考数学二轮复习考点知识讲解与练习第72讲不等式的证明考点知识:通过一些简单问题了解证明不等式的基本方法:比较法、综合法、分析法.知识梳理1.基本不等式定理1:如果a,b∈R,那么a2+b2≥2ab,当且仅当a=b时,等号成立.定理2:如果a,b>0,那么a+b2≥ab,当且仅当a=b时,等号成立,即两个正数的算数平均不小于(即大于或等于)它们的几何平均.定理3:如果a,b,c∈(0,+∞),那么a+b+c3≥3abc,当且仅当a=b=c时,等号成立.2.不等式的证明(1)比较法①作差法(a,b∈R):a-b>0⇔a>b;a-b<0⇔a<b;a-b=0⇔a=b.②作商法(a>0,b>0):ab>1⇔a>b;ab<1⇔a<b;ab=1⇔a=b.(2)综合法与分析法①综合法:从已知条件出发,利用定义、公理、定理、性质等,经过一系列的推理论证而得出命题成立.综合法又叫顺推证法或由因导果法.②分析法:从待证不等式出发,逐步寻求使它成立的充分条件,直到将待证不等式归结为一个已成立的不等式(已知条件、定理等).这种证法称为分析法,即“执果索因”的证明方法.1.作差比较法的实质是把两个数或式子的大小判断问题转化为一个数(或式子)与0的大小关系.2.用分析法证明数学问题时,要注意书写格式的规范性,常常用“要证(欲证)…”“即要证…”“就要证…”等.3.几个重要不等式(1)ba+ab≥2(a,b同号);(2)a2+b2+c2≥ab+bc+ca.诊断自测1.判断下列结论正误(在括号内打“√”或“×”)(1)比较法最终要判断式子的符号得出结论.( )(2)综合法是从原因推导到结果的思维方法,它是从已知条件出发,经过逐步推理,最后达到待证的结论.( )(3)分析法又叫逆推证法或执果索因法,是从待证结论出发,一步一步地寻求结论成立的必要条件,最后达到题设的已知条件或已被证明的事实.( )(4)使用反证法时,“反设”不能作为推理的条件应用.( )答案(1)×(2)√(3)×(4)×解析(1)作商比较法是商与1的大小比较.(3)分析法是从结论出发,寻找结论成立的充分条件.(4)应用反证法时,“反设”可以作为推理的条件应用.2.若a>b>1,x=a+1a,y=b+1b,则x与y的大小关系是( )A.x>y B.x<y C.x≥y D.x≤y 答案 A解析x-y=a+1a-⎝⎛⎭⎪⎫b+1b=a-b+b-aab=(a-b)(ab-1)ab.由a>b>1得ab>1,a-b>0,所以(a-b)(ab-1)ab>0,即x-y>0,所以x>y.3.已知a≥b>0,M=2a3-b3,N=2ab2-a2b,则M,N的大小关系为________.答案M≥N解析M-N=2a3-b3-(2ab2-a2b)=2a(a2-b2)+b(a2-b2)=(a2-b2)(2a+b)=(a-b)(a+b)(2a+b).因为a≥b>0,所以a-b≥0,a+b>0,2a+b>0,从而(a-b)(a+b)(2a+b)≥0,故2a3-b3≥2ab2-a2b,即M≥N.4.已知a+b+c>0,ab+bc+ac>0,abc>0,用反证法求证a>0,b>0,c>0时的假设为( ) A.a<0,b<0,c<0 B.a≤0,b>0,c>0C.a,b,c不全是正数 D.abc<0答案 C5.(2021·聊城模拟)下列四个不等式:①log x10+lg x≥2(x>1);②|a-b|<|a|+|b|;③⎪⎪⎪⎪⎪⎪b a +a b ≥2(ab ≠0);④|x -1|+|x -2|≥1,其中恒成立的个数是( ) A .1 B .2 C .3 D .4 答案 C解析 log x 10+lg x =1lg x+lg x ≥2(x >1),①正确;ab ≤0时,|a -b |=|a |+|b |,②不正确; 因为ab ≠0,b a 与a b同号,所以⎪⎪⎪⎪⎪⎪b a +a b =⎪⎪⎪⎪⎪⎪b a +⎪⎪⎪⎪⎪⎪a b ≥2,③正确;由|x -1|+|x -2|的几何意义知, |x -1|+|x -2|≥1恒成立,④也正确, 综上①③④正确.6.(2021·西安调研)已知a >0,b >0且ln(a +b )=0,则1a +1b的最小值是________.答案 4解析 由ln(a +b )=0,得a +b =1.又a >0,b >0,∴1a +1b =a +b a +a +b b =2+b a +ab≥2+2b a ·a b =4.当且仅当a =b =12时,等号成立.故1a +1b的最小值为4.考点一 比较法证明不等式【例1】 设不等式-2<|x -1|-|x +2|<0的解集为M ,a ,b ∈M . (1)证明:⎪⎪⎪⎪⎪⎪13a +16b <14;(2)比较|1-4ab |与2|a -b |的大小,并说明理由. (1)证明 设f (x )=|x -1|-|x +2|=⎩⎨⎧3,x ≤-2,-2x -1,-2<x <1,-3,x ≥1.由-2<-2x -1<0,解得-12<x <12.因此集合M =⎝ ⎛⎭⎪⎫-12,12,则|a |<12,|b |<12.所以⎪⎪⎪⎪⎪⎪13a +16b ≤13|a |+16|b |<13×12+16×12=14.(2)解 由(1)得a 2<14,b 2<14.因为|1-4ab |2-4|a -b |2=(1-8ab +16a 2b 2)-4(a 2-2ab +b 2)=16a 2b 2-4a 2-4b 2+1=(4a 2-1)(4b 2-1)>0,所以|1-4ab |2>4|a -b |2,故|1-4ab |>2|a -b |. 感悟升华 比较法证明不等式的方法与步骤 (1)作差比较法:作差、变形、判号、下结论. (2)作商比较法:作商、变形、 判断、下结论.提醒 ①当被证的不等式两端是多项式、分式或对数式时,一般使用作差比较法. ②当被证的不等式两边含有幂式或指数式或乘积式时,一般使用作商比较法. 【训练1】 设t =a +2b ,s =a +b 2+1,则s 与t 的大小关系是________. 答案s ≥t解析 s -t =a +b 2+1-(a +2b )=b 2-2b +1=(b -1)2≥0,∴s ≥t . 考点二 综合法证明不等式【例2】(2022·全国Ⅲ卷)设a ,b ,c ∈R ,a +b +c =0,abc =1. (1)证明:ab +bc +ca <0;(2)用max{a ,b ,c }表示a ,b ,c 中的最大值,证明:max{a ,b ,c }≥34. 证明 (1)由题设可知,a ,b ,c 均不为零, 所以ab +bc +ca =12[(a +b +c )2-(a 2+b 2+c 2)]=-12(a 2+b 2+c 2)<0. (2)不妨设max{a ,b ,c }=a .因为abc =1,a =-(b +c ),所以a >0,b <0,c <0.由bc ≤(b +c )24,可得abc ≤a 34,当且仅当b =c =-a2时取等号,故a ≥34,所以max{a ,b ,c }≥34.感悟升华 1.综合法证明不等式,要着力分析已知与求证之间,不等式的左右两端之间的差异与联系.合理进行转换,恰当选择已知不等式,这是证明的关键.2.在用综合法证明不等式时,不等式的性质和基本不等式是最常用的.在运用这些性质时,要注意性质成立的前提条件.【训练2】 已知a ,b ,c 为正数,且满足abc =1.证明: (1)1a +1b +1c≤a 2+b 2+c 2;(2)(a +b )3+(b +c )3+(c +a )3≥24.证明 (1)因为a 2+b 2≥2ab ,b 2+c 2≥2bc ,c 2+a 2≥2ac , 又abc =1,故有a2+b2+c2≥ab+bc+ca=ab+bc+caabc=1a+1b+1c.当且仅当a=b=c=1时,等号成立.所以1a+1b+1c≤a2+b2+c2.(2)因为a,b,c为正数且abc=1,故有(a+b)3+(b+c)3+(c+a)3≥33(a+b)3(b+c)3(c+a)3=3(a+b)(b+c)(c+a)≥3×(2ab)×(2bc)×(2ca)=24.当且仅当a=b=c=1时,等号成立,所以(a+b)3+(b+c)3+(c+a)3≥24.考点三分析法证明不等式【例3】(2021·哈尔滨一模)设a,b,c>0,且ab+bc+ca=1. 求证:(1)a+b+c≥3;(2)abc+bac+cab≥3(a+b+c).证明(1)要证a+b+c≥3,由于a,b,c>0,因此只需证明(a+b+c)2≥3,即证a2+b2+c2+2(ab+bc+ca)≥3,又ab+bc+ca=1,故需证明a2+b2+c2+2(ab+bc+ca)≥3(ab+bc+ca),即证a2+b2+c2≥ab+bc+ca.又易知ab+bc+ca≤a2+b22+b2+c22+c2+a22=a2+b2+c2(当且仅当a=b=c时等号成立),∴原不等式成立.(2)abc+bac+cab=a+b+cabc.由于(1)中已证a+b+c≥3,因此要证原不等式成立,只需证明1abc≥a+b+c,即证a bc+b ac+c ab≤1,即证a bc+b ac+c ab≤ab+bc+ca.又a bc=ab·ac≤ab+ac2,b ac≤ab+bc2,c ab≤bc+ca2,∴a bc+b ac+c ab≤ab+bc+ca(a=b=c=33时等号成立).∴原不等式成立.感悟升华 1.当要证的不等式较难发现条件和结论之间的关系时,可用分析法来寻找证明途径,使用分析法证明的关键是推理的每一步必须可逆.2.分析法证明的思路是“执果索因”,其框图表示为:Q⇐P1→P1⇐P2→P2⇐P3→…→得到一个明显成立的条件【训练3】已知a>b>c,且a+b+c=0,求证:b2-ac<3a. 证明要证b2-ac<3a,只需证b2-ac<3a2.因为a+b+c=0,只需证b2+a(a+b)<3a2,只需证2a2-ab-b2>0,只需证(a-b)(2a+b)>0,只需证(a-b)(a-c)>0.因为a>b>c,所以a-b>0,a-c>0,所以(a-b)(a-c)>0显然成立,故原不等式成立.1.(2021·江西协作体联考)(1)已知x,y是实数,求证:x2+y2≥2x+2y-2;(2)用分析法证明:6+7>22+ 5.证明(1)(x2+y2)-(2x+2y-2)=(x2-2x+1)+(y2-2y+1)=(x-1)2+(y-1)2,而(x -1)2≥0,(y-1)2≥0,∴(x2+y2)-(2x+2y-2)≥0,∴x2+y2≥2x+2y-2.(2)要证6+7>22+5,只需证(6+7)2>(22+5)2成立,即证13+242>13+240成立,即证42>40成立,即证42>40成立,因为42>40显然成立,所以原不等式成立.2.(2022·兰州诊断)函数f(x)=x2-2x+1+24-4x+x2.(1)求f(x)的值域;(2)若关于x的不等式f(x)-m<0有解,求证:3m+2m-1>7.解f(x)=x2-2x+1+24-4x+x2=|x-1|+2|x-2|.(1)当x ≥2时,f (x )=3x -5≥1; 当1<x <2时,f (x )=3-x,1<f (x )<2; 当x ≤1时,f (x )=5-3x ≥2. 综上可得,函数的值域为[1,+∞). (2)证明 若关于x 的不等式f (x )-m <0有解, 则f (x )<m 有解,故只需m >f (x )min ,即m >1, ∴3m +2m -1=3(m -1)+2m -1+3≥26+3>7,原式得证. 3.(2021·沈阳五校协作体联考)已知a ,b ,c ,d 均为正实数. (1)求证:(a 2+b 2)(c 2+d 2)≥(ac +bd )2; (2)若a +b =1,求证:a 21+a+b 21+b ≥13. 证明 (1)(a 2+b 2)(c 2+d 2)=a 2c 2+a 2d 2+b 2c 2+b 2d 2≥a 2c 2+2abcd +b 2d 2=(ac +bd )2. 当且仅当ad =bc 时取等号.(2)3⎝ ⎛⎭⎪⎫a 21+a +b 21+b =⎝ ⎛⎭⎪⎫a 21+a +b 21+b (1+a +1+b )=a 2+1+b 1+a ·a 2+1+a 1+b ·b 2+b 2≥a 2+2ab+b 2=(a +b )2=1,当且仅当a =b =12时取等号,所以a 21+a+b 21+b ≥13. 4.(2021·西安质检)已知a >0,b >0,c >0,且a +b +c =1. (1)求证:a 2+b 2+c 2≥13;(2)求证:a 2b +b 2c +c 2a≥1.证明(1)∵a2+b2≥2ab(当且仅当a=b时,取“=”),b2+c2≥2bc(当且仅当b=c时,取“=”),c2+a2≥2ca(当且仅当a=c时,取“=”),∴a2+b2+c2≥ab+bc+ca,∵(a+b+c)2=1,∴a2+b2+c2+2ab+2bc+2ca=1,∴3(a2+b2+c2)≥1,即a2+b2+c2≥1 3 .(2)∵a2b+b≥2a(当且仅当a=b时,取“=”),b2c+c≥2b(当且仅当b=c时,取“=”),c2a+a≥2c(当且仅当a=c时,取“=”),∴a2b+b2c+c2a+(a+b+c)≥2(a+b+c),即a2b+b2c+c2a≥a+b+c,∵a+b+c=1,∴a2b+b2c+c2a≥1.5.(2021·开封一模)已知a,b,c为一个三角形的三边长.证明:(1)ba+cb+ac≥3;(2)(a+b+c)2a+b+c>2.证明(1)因为a,b,c为一个三角形的三边长,所以ba+cb+ac≥33ba·cb·ac=3⎝⎛⎭⎪⎫当且仅当ba=cb=ac时,取等号,所以不等式得证.(2)由于a ,b ,c 为一个三角形的三边长,则有 (b +c )2=b +c +2bc >a ,即b +c >a , 所以ab +ac =a (b +c )>a , 同理,ab +bc >b ,ac +bc >c ,三式相加得2ac +2bc +2ab >a +b +c ,左右两边同加a +b +c 得(a +b +c )2>2(a +b +c ), 所以(a +b +c )2a +b +c>2,不等式得证. 6.(2022·贵阳诊断)∀a ∈R ,|a +1|+|a -1|的最小值为M .(1)若三个正数x ,y ,z 满足x +y +z =M ,证明:x 2y +y 2z +z 2x≥2; (2)若三个正数x ,y ,z 满足x +y +z =M ,且(x -2)2+(y -1)2+(z +m )2≥13恒成立,求实数m 的取值范围.(1)证明 由∀a ∈R ,|a +1|+|a -1|≥|a +1-a +1|=2,当且仅当-1≤a ≤1时取等号,得x +y +z =2,即M =2. 又x ,y ,z >0,所以x 2y +y ≥2x 2y ·y =2x , 同理可得y 2z +z ≥2y ,z 2x +x ≥2z , 三式相加可得,x 2y +y 2z +z 2x≥x +y +z =2, 当且仅当x =y =z =23时,取等号, 所以x 2y +y 2z +z 2x≥2.(2)解(x-2)2+(y-1)2+(z+m)2≥13恒成立,等价于13≤[(x-2)2+(y-1)2+(z+m)2]min,由(12+12+12)[(x-2)2+(y-1)2+(z+m)2]≥(x-2+y-1+z+m)2=(m-1)2,当且仅当x-2=y-1=z+m时取等号,可得13≤13(m-1)2,即|m-1|≥1,解得m≥2或m≤0,即m的取值范围是(-∞,0]∪[2,+∞).。
【知识要点】证明数列不等式常用的有数学归纳法、放缩法和分析法.一、数学归纳法一般地,证明一个与自然数n 有关的命题()P n ,有如下步骤:(1)证明当n 取第一个值0n 时命题成立.0n 对于一般数列取值为0或1,但也有特殊情况; (2)假设当n k =(0k n ³,k 为自然数)时命题成立,证明当1n k =+时命题也成立. 综合(1)(2),对一切自然数n (n 0n ³),命题()P n 都成立. 二、放缩法证明不等式时,有时根据需要把需证明的不等式的值适当放大或缩小,使其化繁为简,化难为易,达到证明的目的,这种方法称为放缩法. 放缩的技巧:a n n >>< ②将分子或分母放大或缩小,如:2211111111,(1)1(1)1k k k k k k k k k k <=->=---++(1)2n n ++< 三、分析法证明不等式时,从待证命题出发,分析使其成立的充分条件,利用已知的一些基本原理,逐步探索,最后将命题成立的条件归结为一个已经证明过的定理、简单事实或题设的条件,这种证明的方法称为分析法,它是执果索因的方法.用分析法证明时,要注意格式,一般格式是“要证明,只需证明……”. 一般用分析法寻找思路,用综合法写出证明过程. 【方法点评】【例1】用数学归纳法证明:),2(241321312111*N n n n n n n ∈≥>+⋯++++++【点评】利用数学归纳法证明不等式时,关键在于第二步,证明这一步时,一定要利用前面的假设和已知条件.【反馈检测1】已知2012(1)(1)(1)(1)n n n x a a x a x a x +=+-+-++-,(其中n N *∈) (1)求0a 及12n n s a a a =+++;(2)试比较n s 与2(2)22n n n -⋅+的大小,并说明理由.【例2】已知函数 (1)当45a =时,求函数()f x 在(0,)+∞上的极值; (2)证明:当0x >时,2ln(1)x x +<; (3)证明:444111(1)(1)(1)23e n+++< (,2,n N n e *∈≥为自然对数的底数).(2)令)1ln()(2x x x g +-=则01)1(121)(222'≥+-=+-=x x x x x g ()∞+∴,在0)(x g 上为增函数.0)0()(=>∴g x g x x <+∴)1ln(2(3)由(2)知x x <+)1ln(2令41n x =得,nn n n n n 111)1(11)11ln(24--=-<<+)11ln()311ln()211ln(444n ++++++∴ 11111141313121211<-=--++-+-+-<n n n∴e n <+++)11()311)(211(444【点评】(1)本题就是利用放缩法证明不等式,是高考的难点和重点.(2)利用放缩法证明不等式,有时需要放缩通项,有时是需要放缩求和的结果,本题两种放缩都用上了.(3)放缩要得当,所以放的度很重要,有时需要把每一项都放缩,有时需要把前面两项不放缩,后面的都放缩,有时需要把后面的项不放缩,所以要灵活调整,以达到证明的目的. 学科*网【反馈检测2】已知数列{}n a 满足2112222(21)22n n n a a a n ++++=-⋅+.(1)求1a 及通项公式n a ;(22114a ++<【反馈检测3】将正整数按如图的规律排列,把第一行数1,2,5,10,17, 记为数列{}()+∈N n a n ,第一列数1,4,9,16,25, 记为数列{}()+∈N n b n(1)写出数列{}n a ,{}n b 的通项公式;(2)若数列{}n a ,{}n b 的前n 项和分别为n n T S ,,用数学归纳法证明:()()+∈+=+N n n n S T n n 4233; (3)当3≥n 时,证明:47111145321<++++<n b b b b .【反馈检测4】已知函数)(ln 1)(R a x x ax f ∈++=(1)当2=a 时,比较)(x f 与1的大小;(2)当29=a 时,如果函数k x f x g -=)()(仅有一个零点,求实数k 的取值范围; (3)求证:对于一切正整数n ,都有121715131)1ln(+++++>+n n【反馈检测5】已知函数21()ln (1)2f x a x x a x =+-+(1)a ≥. (1)讨论()f x 的单调性与极值点;(2)若21()1(1)2g x x x x =-->,证明:当1a =时,()g x 的图象恒在()f x 的图象上方; (3)证明:2222ln 2ln 3ln 21234(1)n n n n n --+++<+*(,2)n N n ∈≥.对数的底数).(1)求实数a 、b 的值; (2)若k Z ∈,且()1f x k x <-对任意1x >恒成立,求k 的最大值; (3)当1(,)m n m n Z >>∈时,证明:()()nmm n nmmn >.(2)当1>x 时,设1ln 1)()(-+=-=x xx x x x f x g , 则2/)1(ln 2)(---=x xx x g 设x x x h ln 2)(--=,则011)(/>-=xx h ,)(x h 在) , 1(∞+上是增函数 因为03ln 1)3(<-=h ,04ln 2)4(>-=h , 所以)4 , 3(0∈∃x ,使0)(0=x h) , 1(0x x ∈时,0)(<x h ,0)(/<x g ,即)(x g 在) , 1(0x 上为减函数;同理)(x g 在0( , )x +∞上为增函数从而)(x g 的最小值为0000001ln )(x x x x x x g =-+=所以)4 , 3(0∈<x k ,k 的最大值为3【点评】本题的第3问,由于结论比较复杂,一下子看不出证明的方向,所以要采用分析法来证明. 【反馈检测6】已知函数()()1ln f x a x a R x=-∈. (1)当1a =-时,试确定函数()f x 在其定义域内的单调性; (2)求函数()f x 在(]0,e 上的最小值;(3)试证明:()111 2.718,n e e n N n +*⎛⎫+>=∈ ⎪⎝⎭.高中数学常见题型解法归纳及反馈检测第41讲:数列不等式的证明方法参考答案【反馈检测1答案】(1)02n a =,32n n n s =-;(2)当1n =或4n ≥时,23(1)22n n n n >-⋅+,当2,3n =时,23(1)22n n n n <-⋅+. 【反馈检测1详细解析】(1)取1x =,则02n a =;取2x =,则013n n a a a +++=,1232n n n n s a a a ∴=++=-.∵4k ≥时,(3)20k k ->,22442444420k k --≥⋅-⋅-> ∴2(3)24420k k k k -+--> ∴1123k 22(1)k k k ++>⋅++. 即1n k =+时结论也成立,∴当4n ≥时,23(1)22n n n n >-⋅+成立.综上得,当1n =或4n ≥时,23(1)22n n n n >-⋅+; 当2,3n =时,23(1)22n n n n <-⋅+.【反馈检测2答案】(1)13a =,21n a n =+;(2)见解析.【反馈检测3答案】(1)222n a n n =-+,2n b n =;(2)证明见解析;(3)证明见解析. 学科*网 【反馈检测3详细解析】(1)由121n n a a n +-=-,得:21132322n a a n n n =++++-=-+,2n b n =.① 当1n =时,111T S ==,∴()1136T S +=,又3246n n +=,∴1n =时等式成立; ② 假设n k =时等式成立,即()3324k k T S k k +=+, 则1n k =+时,()()()()()()223111133324311212k k k k k k T S T S b a k k k k k ++++⎡⎤+=+++=+++++-++⎣⎦()()232466161k k k k =++++-+()()()2216161k k k k k =-++++ ()()22461k k k =+++()()22141k k ⎡⎤=+++⎣⎦()()32141k k =+++,∴1n k =+时等式也成立.根据①②,()()33+24n n T S n n n N +=+∈都成立.【反馈检测4答案】(1)3ln 2k >-或3ln 22k <+;(2)见解析. 【反馈检测4解析】(1)当2=a 时,x x x f ln 12)(++=,其定义域为),0(+∞ 因为0)1(11)1(2)(222>++=++-='x x x x x x f ,所以)(x f 在),0(+∞上是增函数 故当1>x 时,1)1()(=>f x f ;当1=x 时,1)1()(==f x f ; 当1<x 时,1)1()(=<f x f (2)当29=a 时,x x x f ln )1(29)(++=,其定义域为),0(+∞ 22)1(2)2)(12(1)1(29)(+--=++-='x x x x x x x f ,令0)(='x f 得211=x ,22=x 因为当210<<x 或2>x 时,0)(>'x f ;当221<<x 时,0)(<'x f 所以函数)(x f 在)21,0(上递增,在)2,21(上递减,在),2(+∞上递增且)(x f 的极大值为2ln 3)21(-=f ,极小值为2ln 23)2(+=f又当+→0x 时,-∞→)(x f ;当+∞→x 时,+∞→)(x f因为函数k x f x g -=)()(仅有一个零点,所以函数)(x f y =的图象与直线k y =仅有一个交点.所以2ln 3->k 或2ln 23+<k(3)方法二:用数学归纳法证明:①当1=n 时,不等式左边2ln =,右边31= 因为18ln 2ln 3>=,所以312ln >,即1=n 时,不等式成立 ②假设当)(*∈=N k k n 时,不等式成立,即121715131)1ln(+++++>+k k那么,当1+=k n 时,]12)1ln[()2ln()1ln(++⋅+=+=+k k k k n 12ln )1ln(++++=k k k 12ln )121715131(++++++++>k k k 由(1)的结论知,当1>x 时,112ln >++x x ,即11ln +->x x x 所以3211121121212ln +=+++-++>+-k k k k k k k 即1)1(21121715131)2ln(++++++++>+k k k 即当1+=k n 时,不等式也成立综合①②知,对于一切正整数n ,都有121715131)1ln(+++++>+n n 【反馈检测5答案】(1)()f x 在(0,1)和(,)a +∞上单调递增,在(1,)a 上单调递减.1x =为极大值点,x a =为极小值点;(2)见解析;(3)见解析.(2)当1a =时,令()()()1ln F x g x f x x x =-=--,'11()1x F x x x-=-=,当1x >时,'()0F x >,01x <<时,'()0F x <, ∴()F x 在(0,1)上递减,在(1,)+∞上递增,∴()(1)0F x F ≥=,∴1x >时,()0F x >恒成立. 即1x >时,()()g x f x >恒成立,∴当1x >时,()g x 的图象恒在()f x 的图象上方.(3)由(2)知()(1)0F x F ≥=,即ln 1x x ≤-,∵0x >,∴ln 11x x x≤-, 令2*()x n n N =∈,则222ln 11n n n ≤-,∴22ln 11(1)2n n n ≤- ∴222222ln 2ln 3ln 1111(111)23223n n n+++≤-+-++- 22211111()2223n n -=-+++ 11111()222334(1)n n n -<-+++⨯⨯+ 11111111()2223341n n n -=--+-++-+2111121()22214(1)n n n n n ---=--=++∴不等式成立. 【反馈检测6答案】(1)()f x 的单调递减区间为()0,1,单调递增区间为()1,+∞;(2)()()min 11,1ln ,ae a e e f x a a a a e -⎧≥-⎪⎪=⎨⎪-+-<-⎪⎩;(3)见解析. 学科*网 【反馈检测6详细解析】(1)函数()f x 的定义域为()0,+∞,当1a =-时,()1ln f x x x =+,则 ()22111x f x x x x-'=-+=, 解不等式()0f x '<,得01x <<;解不等式()0f x '>,得1x >,故函数()f x 的单调递减区间为()0,1,单调递增区间为()1,+∞;当10e a <-<,即当1a e<-时,当10x a <<-,()0f x '<,当1x e a -<<时,()0f x '>, 此时函数()f x 在1x a =-处取得极小值,亦即最小值, 即()()min 11ln ln f x f a a a a a a a ⎛⎫⎛⎫=-=---=-+- ⎪ ⎪⎝⎭⎝⎭, 综上所述,()()min 11,1ln ,ae a e e f x a a a a e -⎧≥-⎪⎪=⎨⎪-+-<-⎪⎩;由(1)知,当1a =-时,函数()1ln f x x x =+在区间()1,+∞上单调递增, 即函数()f x 在区间(]1,2上单调递增,故()()11f x f >=, 故有1ln 1x x +>,因此不等式1ln 10x x+->在(]1,2上恒成立,故原不等式得证, 即对任意n N *∈,111n e n +⎛⎫+> ⎪⎝⎭.。
不等式性质的应用不等式的性质是解不等式、证明不等式的基础和依据。
教材中列举了不等式的性质,由这些性质是可以继续推导出其它有关性质。
教材中所列举的性质是最基本、最重要的,对此,不仅要掌握性质的内容,还要掌握性质的证明方法,理解掌握性质成立的条件,把握性质之间的关联。
只有理解好,才能牢固记忆及正确运用。
1.不等式性质成立的条件运用不等式的基本性质解答不等式问题,要注意不等式成立的条件,否则将会出现一些错误。
对表达不等式性质的各不等式,要注意“箭头”是单向的还是双向的,也就是说每条性质是否具有可逆性。
例1:若0<<b a ,则下列不等关系中不能成立的是( )A .b a 11> B .ab a 11>- C .||||b a > D .22b a > 解:∵0<<b a ,∴0>->-b a 。
由b a -<-11,ba 11>,∴(A )成立。
由0<<b a ,||||b a >,∴(C )成立。
由0>->-b a ,22)()(b a ->-,22b a >,∴(D )成立。
)(11b a a --<-,ba a ->11,∴(B )不成立。
故应选B 。
例2:判断下列命题是否正确,并说明理由。
(1)若0<<b a ,则0<<b a ;(2)若0<<b a ,则0<<b a ; (3)0<<b a ,0<<b a ,则0<<b a ;(4)若0<<b a ,则0<<b a 。
分析:解决这类问题,主要是根据不等式的性质判定,其实质就是看是否满足性质所需要的条件。
解:(1)错误。
当0=c 时不成立。
(2)正确。
∵02≠c 且02>c ,在22cb c a >两边同乘以2c ,不等式方向不变。
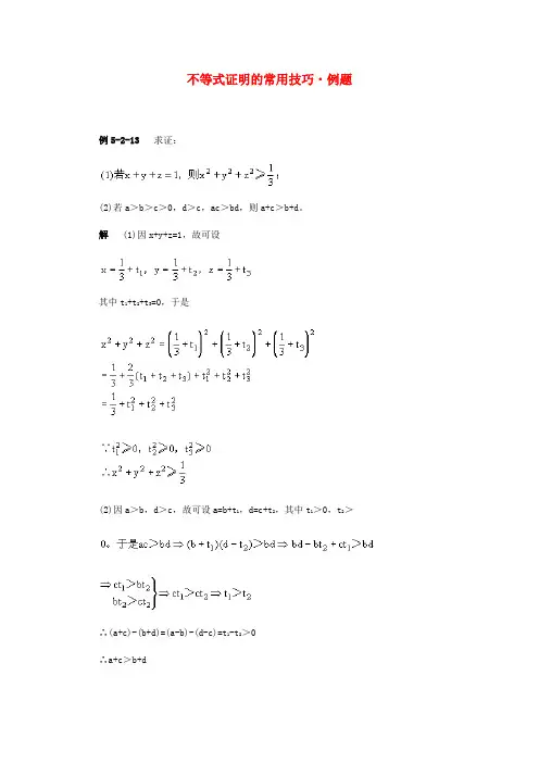
不等式证明的常用技巧·例题例5-2-13求证:(2)若a>b>c>0,d>c,ac>bd,则a+c>b+d。
解 (1)因x+y+z=1,故可设其中t1+t2+t3=0,于是(2)因a>b,d>c,故可设a=b+t1,d=c+t2,其中t1>0,t2>∴(a+c)-(b+d)=(a-b)-(d-c)=t1-t2>0∴a+c>b+d注①用n个数的平均数与适当参数来表示这n个数的代换通常称为均值代换,如(1)中施行的代换。
这种代换的特点是利用对称性可使运数组,不能保证由上述代换而得到。
如x=y=0,z=1就不存在对应的t值。
②当a>b时,令a=b+t(t>0),其中t是a用b表示时引进的增量。
这种代换通常称为增量代换。
它的特点是把条件中的不等关系转化为相等系,使得变形过程简化。
例5-2-14求证:解 (1)由a>0,b>0,a+2b=1,可设则有(2)因a>b>0,且(a-b)+b=a,故可设这时,原不等式等价于故只须证明这个不等式显然成立。
事实上,因为0<cosθ<1,0<sinθ<1又故原不等式得证。
注代数问题三角化,往往可充分利用三角函数的特有性质,使较为复杂的问题得以简化,从而获得简捷解法。
例5-2-15求证:(1)|a|<1,|b|<1,|c|<1,则abc+2>a+b+c;(2)a i,b i∈R(i=1,2,3),且a i≠0,则(a1b1+a2b2+a3b3)2≤(a12+a22+a32+)(b12+b22+b32)当且仅当b i=λa i时取等号。
解 (1)原不等式等价于(bc-1)a+(2-b-c)>0构造一次函数f(x)=(bc-1)x+(2-b-c) (-1<x<1)则 f(-1)=(1-bc)+(1-b)+(1-c)>0f(1)=bc-1+2-b-c=(1-b)(1-c)>0于是,根据一次函数的单调性,f(x)在区间[-1,1]上恒大于0。
而a∈(-1,1),故f(a)>0,即(bc-1)a-b-c+2>0。
第二节证明不等式的基本方法A组基础题组1.如果x>0,比较(√x-1)2与(√x+1)2的大小.解析(√x-1)2-(√x+1)2=(√x-1+√x+1)[√x-1-(√x+1)]=-4√x.因为√x>0,所以-4√x<0,所以(√x-1)2<(√x+1)2.2.(2018江西赣州一模)设a、b为正实数,且1a +1b=2√2.(1)求a2+b2的最小值;(2)若(a-b)2≥4(ab)3,求ab的值.解析(1)由2√2=1a +1b≥2√1ab得ab≥12,当且仅当a=b=√22时取等号.故a2+b2≥2ab≥1,当且仅当a=b=√22时取等号.所以a2+b2的最小值是1.(2)由(a-b)2≥4(ab)3得(1a -1b)2≥4ab,即(1a +1b)2-4ab≥4ab,从而ab+1ab≤2.又ab+1ab ≥2,所以ab+1ab=2,又a,b为正实数,所以ab=1.3.(2018长春质量检测)设不等式||x+1|-|x-1||<2的解集为A.(1)求集合A;(2)若a,b,c∈A,求证:|1-abcab-c|>1.证明(1)由已知,令f(x)=|x+1|-|x-1|={2,x≥1,2x,-1<x<1, -2,x≤-1,由|f(x)|<2得-1<x<1,即A={x|-1<x<1}.(2)要证|1-abcab-c|>1,只需证1+a 2b 2c 2>a 2b 2+c 2,只需证1-a 2b 2>c 2(1-a 2b 2),只需证(1-a 2b 2)(1-c 2)>0,由a,b,c ∈A,得-1<ab<1,c 2<1,所以(1-a 2b 2)(1-c 2)>0恒成立. 综上,|1-abcab -c |>1.4.设n 是正整数,求证:12≤1n+1+1n+2+…+12n <1.证明 由2n ≥n+k>n(k=1,2,…,n),得12n ≤1n+k <1n .当k=1时,12n ≤1n+1<1n ;当k=2时,12n ≤1n+2<1n ;……当k=n 时,12n ≤1n+n <1n ,所以12=n 2n ≤1n+1+1n+2+…+12n <n n =1. B 组 提升题组1.设函数f(x)=|x-2|+2x-3,记f(x)≤-1的解集为M.(1)求M;(2)当x ∈M 时,证明:x[f(x)]2-x 2f(x)≤0.解析 (1)由已知,得f(x)={x -1,x ≤2,3x -5,x >2.当x ≤2时,由f(x)=x-1≤-1,解得x ≤0,此时x ≤0;当x>2时,由f(x)=3x-5≤-1,解得x ≤43,显然不成立.故f(x)≤-1的解集为M={x|x ≤0}.(2)证明:当x ∈M 时, f(x)=x-1,于是x[f(x)]2-x 2f(x)=x(x-1)2-x 2(x-1)=-x 2+x=-(x -12)2+14. 令g(x)=-(x -12)2+14,则函数g(x)在(-∞,0]上是增函数,∴g(x)≤g(0)=0.故x[f(x)]2-x 2f(x)≤0.2.已知实数a,b,c 满足a>0,b>0,c>0,且abc=1.(1)证明:(1+a)(1+b)(1+c)≥8;(2)证明:√a +√b +√c ≤1a +1b +1c .证明 (1)1+a ≥2√a ,1+b ≥2√b ,1+c ≥2√c ,相乘得(1+a)(1+b)(1+c)≥8√abc =8.(2)1a +1b +1c =ab+bc+ac,ab+bc ≥2√ab 2c =2√b ,ab+ac ≥2√a 2bc =2√a ,bc+ac ≥2√abc 2=2√c ,相加得√a +√+√c ≤1a +1b +1c .3.已知函数f(x)=m-|x+4|(m>0),且f(x-2)≥0的解集为[-3,-1].(1)求m 的值;(2)若a,b,c 都是正实数,且1a +12b +13c =m,求证:a+2b+3c ≥9.解析 (1)解法一:依题意知f(x-2)=m-|x+2|≥0,即|x+2|≤m ⇔-m-2≤x ≤-2+m.由题意知不等式的解集为[-3,-1],所以{-m -2=-3,-2+m =-1,解得m=1. 解法二:因为不等式f(x-2)≥0的解集为[-3,-1],所以-3,-1为方程f(x-2)=0的两根,即-3,-1为方程m-|x+2|=0的两根, 所以{m -|-3+2|=0,m -|-1+2|=0,解得m=1. (2)由(1)可知1a +12b +13c =1(a,b,c>0),所以a+2b+3c=(a+2b+3c)(1a +12b +13c )=3+(a 2b +2b a )+(a 3c +3c a )+(2b 3c +3c 2b )≥9,当且仅当a=2b=3c,即a=3,b=32,c=1时取等号.4.(2018重庆质量调研(一))已知函数f(x)=|x+1|,g(x)=|x|.(1)若不等式f(x)+g(x-2)≤m 2-2m 有解,求实数m 的取值范围;(2)若|x|>1,|y|<1,求证:f(y)<g(x)·f (y x ).解析 (1)由题意得f(x)+g(x-2)=|x+1|+|x-2|≥|(x+1)-(x-2)|=3, ∵f(x)+g(x-2)≤m 2-2m 有解,∴m 2-2m ≥3,解得m ≥3或m ≤-1, ∴实数m 的取值范围是(-∞,-1]∪[3,+∞).(2)证明:要证f(y)<g(x)·f (y x ),即证|y+1|<|x|·|y x +1|,只需证|y+1||x |<|y x +1|. (y+1)2x 2-(y+x 2)2x 4=x 2(y+1)2-(y+x 2)2x 4=x 2y 2+2x 2y+x 2-(y 2+2x 2y+x 4)x 4=x 2y 2+x 2-y 2-x 4x 4= (1-x 2)(x 2-y 2)x 4,又|x|>1,|y|<1, ∴(y+1)2x 2-(y+x 2)2x 4=(1-x 2)(x 2-y 2)x 4<0, ∴(y+1)2x 2<(y+x 2)2x 4,∴|y+1||x |<|y x 2+1|,∴f(y)<g(x)·f (yx 2).。
高中数学-不等式的证明精选练习(详解)1.设a ,b ,c ∈R +,且a +b +c =1.(1)求证:2ab +bc +ca +c 22≤12; (2)求证:a 2+c 2b +b 2+a 2c +c 2+b 2a ≥2.证明:(1)因为1=(a +b +c )2=a 2+b 2+c 2+2ab +2bc +2ca ≥4ab +2bc +2ca +c 2,所以2ab +bc +ca +c 22=12(4ab +2bc +2ca +c 2)≤12. (2)因为a 2+c 2b ≥2ac b ,b 2+a 2c ≥2ab c ,c 2+b 2a ≥2bc a, 所以a 2+c 2b +b 2+a 2c +c 2+b 2a≥⎝⎛⎭⎫ac b +ab c +⎝⎛⎭⎫ab c +bc a +⎝⎛⎭⎫ac b +bc a =a ⎝⎛⎭⎫c b +b c +b ⎝⎛⎭⎫a c +c a +c ⎝⎛⎭⎫a b +b a ≥2a +2b +2c =2.2.若a >0,b >0,且1a +1b =ab .(1)求a 3+b 3的最小值;(2)是否存在a ,b ,使得2a +3b =6?并说明理由.解:(1)由ab =1a +1b ≥2ab, 得ab ≥2,且当a =b =2时等号成立.故a 3+b 3≥2a 3b 3≥42,且当a =b =2时等号成立.所以a 3+b 3的最小值为4 2.(2)由(1)知,2a +3b ≥26ab ≥4 3.由于43>6,从而不存在a ,b ,使得2a +3b =6.3.设a ,b ,c ,d 均为正数,且a +b =c +d ,求证:(1)若ab >cd ,则a +b >c +d ; (2)a +b >c +d 是|a -b |<|c -d |的充要条件. 证明:(1)因为(a +b )2=a +b +2ab , (c +d )2=c +d +2cd ,由题设a +b =c +d ,ab >cd ,得(a +b )2>(c +d )2. 因此a +b >c +d .(2)①必要性:若|a -b |<|c -d |,则(a -b )2<(c -d )2,即(a +b )2-4ab <(c +d )2-4cd .因为a +b =c +d ,所以ab >cd .由(1),得a +b >c +d . ②充分性:若a +b >c +d ,则(a +b )2>(c +d )2,即a +b +2ab >c +d +2cd .因为a +b =c +d ,所以ab >cd .于是(a -b )2=(a +b )2-4ab <(c +d )2-4cd =(c -d )2.因此|a -b |<|c -d |. 综上,a +b >c +d 是|a -b |<|c -d |的充要条件.4.已知定义在R 上的函数f (x )=|x +1|+|x -2|的最小值为a .(1)求a 的值;(2)若p ,q ,r 是正实数,且满足p +q +r =a ,求证:p 2+q 2+r 2≥3.解:(1)因为|x +1|+|x -2|≥|(x +1)-(x -2)|=3,当且仅当-1≤x ≤2时,等号成立,所以f (x )的最小值等于3,即a =3.(2)证明:由(1)知p +q +r =3,又因为p ,q ,r 是正实数,所以(p 2+q 2+r 2)(12+12+12)≥(p ×1+q ×1+r ×1)2=(p +q +r )2=9,即p 2+q 2+r 2≥3.5.已知函数f (x )=|x -1|.(1)解不等式f (2x )+f (x +4)≥8;(2)若|a |<1,|b |<1,a ≠0,求证:f (ab )|a |>f ⎝⎛⎭⎫b a . 解:(1)f (2x )+f (x +4)=|2x -1|+|x +3|=⎩⎪⎨⎪⎧ -3x -2,x <-3,-x +4,-3≤x <12,3x +2,x ≥12,当x <-3时,由-3x -2≥8,解得x ≤-103; 当-3≤x <12时,-x +4≥8无解; 当x ≥12时,由3x +2≥8,解得x ≥2. 所以不等式f (2x )+f (x +4)≥8的解集为⎩⎨⎧⎭⎬⎫x ⎪⎪x ≤-103或x ≥2. (2)证明:f (ab )|a |>f ⎝⎛⎭⎫b a 等价于f (ab )>|a |f ⎝⎛⎭⎫b a , 即|ab -1|>|a -b |.因为|a |<1,|b |<1,所以|ab -1|2-|a -b |2=(a 2b 2-2ab +1)-(a 2-2ab +b 2)=(a 2-1)(b 2-1)>0,所以|ab -1|>|a -b |.故所证不等式成立.6.(·武昌调研)设函数f (x )=|x -2|+2x -3,记f (x )≤-1的解集为M .(1)求M ;(2)当x ∈M 时,证明:x [f (x )]2-x 2f (x )≤0.解:(1)由已知,得f (x )=⎩⎪⎨⎪⎧x -1,x ≤2,3x -5,x >2. 当x ≤2时,由f (x )=x -1≤-1,解得x ≤0,此时x ≤0;当x >2时,由f (x )=3x -5≤-1,解得x ≤43,显然不成立. 故f (x )≤-1的解集为M ={x |x ≤0}.(2)证明:当x ∈M 时,f (x )=x -1,于是x [f (x )]2-x 2f (x )=x (x -1)2-x 2(x -1)=-x 2+x=-⎝⎛⎭⎫x -122+14. 令g (x )=-⎝⎛⎭⎫x -122+14, 则函数g (x )在(-∞,0]上是增函数,∴g (x )≤g (0)=0.故x [f (x )]2-x 2f (x )≤0.7.已知a ,b 都是正实数,且a +b =2,求证:a 2a +1+b 2b +1≥1. 证明:∵a >0,b >0,a +b =2,∴a 2a +1+b 2b +1-1=a 2(b +1)+b 2(a +1)-(a +1)(b +1)(a +1)(b +1)=a 2b +a 2+b 2a +b 2-ab -a -b -1(a +1)(b +1)=a 2+b 2+ab (a +b )-ab -(a +b )-1(a +1)(b +1)=a 2+b 2+2ab -ab -3(a +1)(b +1)=(a +b )2-3-ab (a +1)(b +1)=1-ab (a +1)(b +1). ∵a +b =2≥2ab ,∴ab ≤1.∴1-ab (a +1)(b +1)≥0. ∴a 2a +1+b 2b +1≥1. 8.设函数f (x )=x -|x +2|-|x -3|-m ,若∀x ∈R ,1m-4≥f (x )恒成立. (1)求实数m 的取值范围;(2)求证:log (m +1)(m +2)>log (m +2)(m +3).解:(1)∵∀x ∈R ,1m -4≥f (x )恒成立,∴m +1m ≥x -|x +2|-|x -3|+4恒成立.令g (x )=x -|x +2|-|x -3|+4=⎩⎪⎨⎪⎧ 3x +3,x <-2,x -1,-2≤x ≤3,-x +5,x >3.∴函数g (x )在(-∞,3]上是增函数,在(3,+∞)上是减函数, ∴g (x )max =g (3)=2,∴m +1m ≥g (x )max =2,即m +1m -2≥0⇒m 2-2m +1m =(m -1)2m≥0, ∴m >0,综上,实数m 的取值范围是(0,+∞).(2)证明:由m >0,知m +3>m +2>m +1>1,即lg(m +3)>lg(m +2)>lg(m +1)>lg 1=0.∴要证log (m +1)(m +2)>log (m +2)(m +3).只需证lg (m +2)lg (m +1)>lg (m +3)lg (m +2), 即证lg(m +1)·lg(m +3)<lg 2(m +2),又lg(m +1)·lg(m +3)< ⎣⎡⎦⎤lg (m +1)+lg (m +3)2 2 =[lg (m +1)(m +3)]24<[lg (m 2+4m +4)]24=lg 2(m +2), ∴log (m +1)(m +2)>log (m +2)(m +3)成立.。
2。
2.2 分析法课堂导学三点剖析一,利用分析法证明不等式【例1】 (1)设a>b 〉0,求证:333b a b a ->-。
(2)已知0〈α〈π,证明2sin2α≤cot 2α,并指出等号成立的条件。
证明:(1)要证333b a b a ->-,∵a>b〉0,有3b a ->0, ∴需证(3b a -)3>(33b a -)3,展开得a —b 〉a —323b a +b ab -323, 即证明)(3333b a ab -〉0, 也就是证33b a ->0,在题设条件下这一不等式显然成立,∴原不等式成立.(2)要证2sin2α≤cot 2α,由0<α<π知sinα〉0,只需证2sinα·sin2α≤1+cosα,即证明4sin 2αcosα-(1+cosα)≤0,也就是证(1+cosα)[4(1—cosα)cosα-1]≤0,而1+cosα>0,于是只要证-4cos 2α+4cosα—1≤0,即—(2cosα—1)2≤0,就是(2cosα-1)2≥0,这是显然的。
∴2sin2α≤cot 2α,等号在2cosα=1,α=3π时取得。
各个击破类题演练1若a ,b,c 三数均大于1,且ab=10,求证:log a c+log b c≥4lgc.证明:由于a>1,b 〉1,要证log a c+log b c≥4lgc,需证b ca clg lg lg lg +≥4lgc,而lgc>0, 因此只要证b a lg 1lg 1+≥4,即证b a b a lg lg lg lg +≥4。
∵ab=10,有lga+lgb=1,于是只需证lga·lgb≤41, 而lga·lgb≤(2lg lg b a +)2=41。
∴不等式log a c+log b c≥4lgc 成立.变式提升1已知a>0,b 1—a 1>1,求证:ba ->+111。
【知识要点】不等式的证明常用的有六种方法(不等式证明六法:比综分放数反) 一、比较法包括比差和比商两种方法.比差的一般步骤是:作差→变形(配方、因式分解、通分等)→与零比→下结论;比商的一般步骤是:作商→变形(配方、因式分解、通分等)→与1比→下结论.如果两个数都是正数,一般用比商,其它一般用比差. 二、综合法证明不等式时,从命题的已知条件出发,利用公理、定理、法则等,逐步推导出要证明的命题的方法称为综合法,它是由因导果的方法.三、分析法证明不等式时,从待证命题出发,分析使其成立的充分条件,利用已知的一些基本原理,逐步探索,最后将命题成立的条件归结为一个已经证明过的定理、简单事实或题设的条件,这种证明的方法称为分析法,它是执果索因的方法.用分析法证明时,要注意格式,一般格式是“要证明,只需证明……”. 一般用分析法寻找思路,用综合法写出证明过程. 四、放缩法证明不等式时,有时根据需要把需证明的不等式的值适当放大或缩小,使其化繁为简,化难为易,达到证明的目的,这种方法称为放缩法.放缩的常见技巧:①添加或舍去一些项,如:221,(1),1a a n n n n n +>+>-< ②将分子或分母放大或缩小,如:22111111,(1)1(1)k k k k k k k k <=->--+ 111k k =-+ ③利用基本不等式等,如:(1)(1)2n n n n +++<五、数学归纳法用数学归纳法证明不等式,要注意两步一结论. 在证明第二步时,一般多用到比较法、放缩法和分析法. 六、反证法证明不等式时,首先假设要证明的命题的反面成立,把它作为条件和其他条件结合在一起,利用已知定义、定理、公理等基本原理逐步推证出一个与命题的条件或已证明的定理或公认的简单事实相矛盾的结论,以此说明原假设的结论不成立,从而肯定原命题的结论成立的方法称为反证法.如果命题中含有“至少”或“唯一”或其它否定词时,一般用反证法. 【方法讲评】方法一比较法 使用情景一般是两个实数 解题方法包括比差和比商两种方法.比差的一般步骤是:作差→变形(配方、因式分解、通分等)→与零比→下结论;比商的一般步骤是:作商→变形(配方、因式分解、通分等)→与1比→下结论.如果两个数都是正数,一般用比商,其它一般用比差.【例1】已知0,0a b m >>>,则b m ba m a+>+.【方法点评】比差的一般步骤是:作差→变形(配方、因式分解、通分等)→与零比→下结论. 【例2】设,a b R +∈,求证:2()a b a ba b ab +≥ 【证明】作商:2222)()(b a a b b a b a b a ba baab b a ---+==当a b =时,1)(2=-b a ba当0a b >>时,1)(,02,12>>->-ba bab a ba当0b a >>时, 1)(,02,102><-<<-b a bab a b a∴2)(b a ba ab b a +≥【点评】比商的一般步骤是:作商→变形(配方、因式分解、通分等)→与1比→下结论. 【反馈检测1】已知a 、b 、c 是实数,试比较222c b a ++与ca bc ab ++的大小.方法二 综合法使用情景 一般题设较简单,题目较简单.解题方法证明不等式时,从命题的已知条件出发,利用公理、定理、法则等,逐步推导出要证明的命题的方法称为综合法,它是由因导果的方法.【例3】 设,,a b c 为正实数,求证:33311123a b c +++abc ≥.【点评】该题主要是利用三元均值不等式和二元均值不等式解答.【反馈检测2】已知,,a b c 是不全相等的正数,求证:abc b a c a c b c b a 6)()()(222222>+++++方法三 分析法使用情景 一般从题设入手比较难.解题方法证明不等式时,从待证命题出发,分析使其成立的充分条件,利用已知的一些基本原理,逐步探索,最后将命题成立的条件归结为一个已经证明过的定理、简单事实或题设的条件,这种证明的方法称为分析法,它是执果索因的方法.【例4】求证: ,,a b c R +∈,求证:)3(3)2(23abc c b a ab b a -++≤-+【点评】用分析法证明时,要注意格式,一般格式是“要证明,只需证明……”.一般用分析法寻找思路,用综合法写出证明过程.【反馈检测3】设,a b 为实数,求证:222()2a b a b +≥+方法四 放缩法使用情景 一般不方便用其它方法,用放缩法比较简单.解题方法证明不等式时,有时根据需要把需证明的不等式的值适当放大或缩小,使其化繁为简,化难为易,达到证明的目的.【例5】设1223......(1)n S n n =⨯+⨯++⨯+,求证:(1)(2)22n n n n n S ++<<()n N +∈ 【证明】()11122n n n n n n ++<+<=+()112342n n n S n +>+++++=()11123422n nS n ⎛⎫<++++++++ ⎪⎝⎭()()12222n n n n n ++=+= 【点评】由于这是一个数列的问题,所以先要对数列的通项进行放缩. 【例6】设数列{}n a 的前n 项和为n S ,已知11a =,2121233n n S a n n n +=---,*n N ∈. (1)求数列{}n a 的通项公式; (2)证明:对一切正整数n ,有1211174n a a a +++<(2)证明:当117114n a ==<时,; 当121115721444n a a =+=+=<时,;【点评】本题的放缩是一个难点,放缩一定要适当,有时需要数列的第一项不放缩其他项放缩,有时需要数列的前两项不放缩其他项放缩,有时需要数列的前三项不放缩其他项放缩,……,才能放缩出要证明的结果.这需要大家平时的训练和积累.【反馈检测4(1)讨论()f x 的单调性与极值点; (2,证明:当1a =时,()g x 的图象恒在()f x 的图象上方; (32ln n n ++<【证明】(1)当n 等于1时,不等式左端等于1,右端等于2,所以不等式成立; (2)假设n k =(1k ≥)时,不等式成立,即∴当1n k =+时,不等式成立. 综合(1)、(2)得:当n N *∈时,都有【点评】用数学归纳法证明不等式,要注意两步一结论.在证明第二步时,一般多用到比较法、放缩法和分析法.是证明的关键.【反馈检测5】数列{n x }(1)证明:对 2n ≥(2)证明:对 2n ≥总有1n n x x +≥.方法六 反证法使用情景一般从正面着手比较困难.解题方法证明不等式时,首先假设要证明的命题的反面成立,把它作为条件和其他条件结合在一起,利用已知定义、定理、公理等基本原理逐步推证出一个与命题的条件或已证明的定理或公认的简单事实相矛盾的结论,以此说明原假设的结论不成立,从而肯定原命题的结论成立的方法称为反证法.【例7】 已知01a <<,01b <<,01c <<,求证:(1)a b -,(1)b c -,(1)c a -中至少有一个小于等于14.【点评】如果命题中含有“至少”或“唯一”或其它否定词时,一般用反证法. 【反馈检测6】已知110,02,,b aa b a b a b++>>+>且求证:中至少有一个小于2.高中数学常见题型解法归纳及反馈检测第33讲:不等式的证明方法参考答案【反馈检测1答案】见解析【反馈检测1详细解析】)222222(21222222ca bc ab c b a ca bc ab c b a ---++=---++ 2221[()()()]02a b b c c a =-+-+-≥,当且仅当c b a ==时,等号成立,∴≥++222c b a ca bc ab ++. 【反馈检测2答案】见解析【反馈检测3答案】见解析【反馈检测3详细解析】当0a b +≤时,∵220a b +≥,∴222()2a b a b +≥+成立. 当0a b +>时,用分析法证明如下: 要证222()2a b a b +≥+,只需证22222()()2a b a b ⎡⎤+≥+⎢⎥⎣⎦, 即证22221(2)2a b a b ab +≥++,即证:222a b ab +≥, ∵222a b ab +≥对一切实数恒成立,∴222()2a b a b +≥+成立. 综上所述,对任意实数,a b 不等式都成立.【反馈检测4答案】(1)()f x 在(0,1)和(,)a +∞上单调递增,在(1,)a 上单调递减.1x =为极大值点,x a =为极小值点;(2)见解析;(3)见解析.(2)当1a =时,令()()()1ln F x g x f x x x =-=--,'11()1x F x x x-=-=,当1x >时,'()0F x >,01x <<时,'()0F x <, ∴()F x 在(0,1)上递减,在(1,)+∞上递增,∴()(1)0F x F ≥=,∴1x >时,()0F x >恒成立. 即1x >时,()()g x f x >恒成立,∴当1x >时,()g x 的图象恒在()f x 的图象上方. (3)由(2)知()(1)0F x F ≥=,即ln 1x x ≤-,∵0x >,∴ln 11x x x≤-, 令2*()x n n N =∈,则222ln 11n n n ≤-,∴22ln 11(1)2n n n≤-∴222222ln 2ln 3ln 1111(111)23223n n n+++≤-+-++-22211111()2223n n-=-+++11111()222334(1)n n n -<-+++⨯⨯+11111111()2223341n n n -=--+-++-+2111121()22214(1)n n n n n ---=--=++∴不等式成立. 【反馈检测5答案】见解析【反馈检测6答案】见解析 【反馈检测6详细解析】假设11,b a a b ++ 都不小于2,则112,2b aa b++≥≥ 因为0,0a b >>,所以12,12b a a b +≥+≥, 所以112()a b a b +++≥+ 即2+≤a b ,这与已知2a b +>相矛盾,故假设不成立. 所以11,b aa b++中至少有一个小于2.。
经典例题透析类型一:比较法证明不等式1、用作差比较法证明下列不等式:(1);(2)(a,b均为正数,且a≠b)思路点拨:(1)中不等号两边是关于a,b,c的多项式,作差后因式分解的前途不大光明,但注意到如a2, b2, ab这样的结构,考虑配方来说明符号;(2)中作差后重新分组进行因式分解。
证明:(1)当且仅当a=b=c时等号成立,(当且仅当a=b=c取等号).(2)∵a>0, b>0, a≠b,∴a+b>0, (a-b)2>0,∴,∴.总结升华:作差,变形(分解因式、配方等),判断差的符号,这是作差比较法证明不等式的常用方法。
举一反三:【变式1】证明下列不等式:(1)a2+b2+2≥2(a+b)(2)a2+b2+c2+3≥2(a+b+c)(3)a2+b2≥ab+a+b-1【答案】(1)(a2+b2+2)-2(a+b)=(a2-2a+1)+(b2-2b+1)=(a-1)2+(b-1)2≥0∴a2+b2+2≥2(a+b)(2)证法同(1)(3)2(a2+b2)-2(ab+a+b-1)=(a2-2ab+b2)+(a2-2a+1)+(b2-2b+1)=( a-b)2+(a-1)2+(b-1)2≥0 ∴2(a2+b2)≥2(ab+a+b-1),即a2+b2≥ab+a+b-1【变式2】已知a,b∈,x,y∈,且a+b=1,求证:ax2+by2≥(ax+by)2【答案】ax2+by2-(ax+by)2=ax2+by2-a2x2-b2y2-2abxy=a(1-a)x2+b(1-b)y2-2abxy=abx2+aby2-2abxy=ab(x-y)2≥0∴ax2+by2≥(ax+by)22、用作商比较法证明下列不等式:(1)(a,b均为正实数,且a≠b)(2)(a,b,c∈,且a,b,c互不相等)证明:(1)∵a3+b3>0, a2b+ab2>0.∴,∵a, b为不等正数,∴,∴∴(2)证明:不妨设a>b>c,则∴所以,总结升华:当不等号两边均是正数乘积或指数式时,常用这种方法,目的是约分化简. 作商比较法的基本步骤:判定式子的符号并作商变形判定商式大于1或等于1或小于1结论。
典型例题一例1 假如10<<x ,证明)1(log )1(log x x a a +>-〔0>a 且1≠a 〕.分析1 用作差法来证明.需分为1>a 和10<<a 两种情况,去掉绝对值符号,然后比拟法证明.解法1 〔1〕当1>a 时,因为 11,110>+<-<x x , 所以 )1(log )1(log x x a a +--)1(log )1(log x x a a +---=0)1(log 2>--=x a .〔2〕当10<<a 时, 因为 11,110>+<-<x x 所以 )1(log )1(log x x a a +--)1(log )1(log x x a a ++-=0)1(log 2>-=x a .综合〔1〕〔2〕知)1(log )1(log x x a a +>-.分析2 直接作差,然后用对数的性质来去绝对值符号. 解法2 作差比拟法.因为 )1(log )1(log x x a a +--a x a x lg )1lg(lg )1lg(+--=[])1lg()1lg(lg 1x x a+--=[])1lg()1lg(lg 1x x a+---=0)1lg(lg 12>--=x a, 所以)1(log )1(log x x a a +>-.说明:解法一用分类相当于增设了条件,便于在变形中脱去绝对值符号;解法二用对数性质〔换底公式〕也能达到同样的目的,且不必分而治之,其解法自然简捷、明快.典型例题二例2 设0>>b a ,求证:.abba b a b a >分析:发现作差后变形、判断符号较为困难.考虑到两边都是正数,可以作商,判断比值与1的大小关系,从而证明不等式.证明:b a a b ba ab b a b a b aba b a ---=⋅=)( ∵0>>b a ,∴.0,1>->b a ba∴1)(>-b a b a . ∴a b ba ba b a .1> 又∵0>abb a , ∴.abba b a b a >.说明:此题考查不等式的证明方法——比拟法(作商比拟法).作商比拟法证明不等式的步骤是:判断符号、作商、变形、判断与1的大小.典型例题三例3 对于任意实数a 、b ,求证444()22a b a b ++≥〔当且仅当a b =时取等号〕 分析 这个题假如使用比拟法来证明,将会很麻烦,因为,所要证明的不等式中有4()2a b +,展开后很复杂。
不等式性质的应用不等式的性质是解不等式、证明不等式的基础和依据。
教材中列举了不等式的性质,由这些性质是可以继续推导出其它有关性质。
教材中所列举的性质是最基本、最重要的,对此,不仅要掌握性质的内容,还要掌握性质的证明方法,理解掌握性质成立的条件,把握性质之间的关联。
只有理解好,才能牢固记忆及正确运用。
1.不等式性质成立的条件运用不等式的基本性质解答不等式问题,要注意不等式成立的条件,否则将会出现一些错误。
对表达不等式性质的各不等式,要注意“箭头”是单向的还是双向的,也就是说每条性质是否具有可逆性。
例1:若0<<b a ,则下列不等关系中不能成立的是( )A .b a 11> B .ab a 11>- C .||||b a > D .22b a > 解:∵0<<b a ,∴0>->-b a 。
由b a -<-11,ba 11>,∴(A )成立。
由0<<b a ,||||b a >,∴(C )成立。
由0>->-b a ,22)()(b a ->-,22b a >,∴(D )成立。
∵0<<b a ,0<-b a ,0<-<b a a ,0>->-a b a ,)(11b a a --<-,ba a ->11,∴(B )不成立。
故应选B 。
例2:判断下列命题是否正确,并说明理由。
(1)若0<<b a ,则0<<b a ;(2)若0<<b a ,则0<<b a ; (3)0<<b a ,0<<b a ,则0<<b a ;(4)若0<<b a ,则0<<b a 。
分析:解决这类问题,主要是根据不等式的性质判定,其实质就是看是否满足性质所需要的条件。
解:(1)错误。
当0=c 时不成立。
(2)正确。
∵02≠c 且02>c ,在22cb c a >两边同乘以2c ,不等式方向不变。
∴b a >。
(3)错误。
ba b a 11<⇔>,成立条件是0>ab 。
(4)错误。
b a >,bd ac d c >⇔>,当a ,b ,c ,d 均为正数时成立。
2.不等式性质在不等式等价问题中的应用 例3:下列不等式中不等价的是( ) (1)2232>-+x x 与0432>-+x x(2)138112++>++x x x 与82>x (3)357354-+>-+x x x 与74>x (4)023>-+xx 与0)2)(3(>-+x x A .(2) B .(3) C .(4) D .(2)(3) 解:(1)04322322>-+⇒>-+x x x x 。
(2)482>⇒>x x ,44,1138112>⇒>-≠⇒++>++x x x x x x 。
(3)47357354>⇒-+>-+x x x x 且3≠x ,4774>⇒>x x 。
(4)不等式的解均为}23|{<<-x x∴应选B 。
3.利用不等式性质证明不等式利用不等式的性质及其推论可以证明一些不等式。
解决此类问题一定要在理解的基础上,记准、记熟不等式的八条性质并注意在解题中灵活准确地加以应用。
例4:若0>>b a ,0<<d c ,0<e ,求证:db ec a e ->-。
分析:本题考查学生对不等式性质的掌握及灵活应用。
注意性质的使用条件。
解:∵0<<d c ,0>->-d c ,又0>>b a ∴0>->-d b c a ,故db c a -<-11。
而0<e ,∴db ec a e ->- 4.利用不等式性质求范围利用几个不等式的范围来确定某个不等式的范围是一类常见的综合问题,对于这类问题要注意:“同向(异向)不等式的两边可以相加(相减)”,这种转化不是等价变形,在一个解题过程中多次使用这种转化时,就有可能扩大真实的取值范围,解题时务必小心谨慎,先建立待求范围的整体与已知范围的整体的等量关系,最后通过“一次性不等关系的运算,求得待求的范围”,是避免犯错误的一条途径。
例5:若二次函数)(x f 图像关于y 轴对称,且2)1(1≤≤f ,4)2(3≤≤f ,求)3(f 的范围。
解:设c ax x f +=2)((0≠a )。
⎩⎨⎧+=+=c a f c a f 4)2()1(⎪⎪⎩⎪⎪⎨⎧-=-=⇒3)2()1(43)1()2(f f c f f a 3)1(5)2(83)2()1(4)1(3)2(39)3(f f f f f f c a f -=-+-=+= ∵2)1(1≤≤f ,4)2(3≤≤f ,∴10)1(55≤≤f ,32)2(824≤≤f ,27)1(5)2(814≤-≤f f ,∴93)1(5)2(8314≤-≤f f , 即9)3(314≤≤f 。
5.利用不等式性质,探求不等式成立的条件不等式的性质是不等式的基础,包括五个性质定理及三个推论,不等式的性质是解不等式和证明不等式的主要依据,只有正确地理解每条性质的条件和结论,注意条件的变化才能正确地加以运用,利用不等式的性质,寻求命题成立的条件是不等式性质的灵活运用。
例6:已知三个不等式:①0>ab ;②bda c >;③ad bc >。
以其中两个作条件,余下一个作结论,则可组成_____________个正确命题。
解:对命题②作等价变形:0>-⇔>abad bc b d a c 于是,由0>ab ,ad bc >,可得②成立,即①③⇒②;若0>ab ,0>-ab adbc ,则ad bc >,故①②⇒③; 若ad bc >,0>-abadbc ,则0>ab ,故②③⇒①。
∴可组成3个正确命题。
例7:已知b a >,bb a a 11->-同时成立,则ab 应满足的条件是__________。
解:∵ab ab b a b b a a )1)(()1()1(+-=---,由b a >知0)1(>+abab ,从而0)1(>+ab ab ,∴0>ab 或1-<ab 。
不等式的证明不等式的证明是高中数学的一个难点,证明方法多种多样,近几年高考出现较为形式较为活跃,证明中经常需与函数、数列的知识综合应用,灵活的掌握运用各种方法是学好这部分知识的一个前提,下面我们将证明中常见的几种方法作一列举。
注意ab b a 222≥+的变式应用。
常用2222b a b a +≥+ (其中+∈R b a ,)来解决有关根式不等式的问题。
1、比较法比较法是证明不等式最基本的方法,有做差比较和作商比较两种基本途径。
1 已知a,b,c 均为正数,求证:ac c b b a c b a +++++≥++111212121 证明:∵a,b 均为正数, ∴0)(4)(44)()(14141)(2≥+=+-+++=+-+-b a ab b a ab ab b a a b a b b a b a b a 同理0)(414141)(2≥+=+-+-c b bc c b c b c b ,0)(414141)(2≥+=+-+-c a ac a c a c a c 三式相加,可得0111212121≥+-+-+-++ac c b b a c b a ∴ac c b b a c b a +++++≥++111212121 2、综合法综合法是依据题设条件与基本不等式的性质等,运用不等式的变换,从已知条件推出所要证明的结论。
2 a 、b 、),0(∞+∈c ,1=++c b a ,求证:31222≥++c b a证:2222)(1)(3c b a c b a ++=≥++⇔∴2222)()(3c b a c b a ++-++0)()()(222222222222≥-+-+-=---++=a c c b b a cabc ab c b a3 设a 、b 、c 是互不相等的正数,求证:)(444c b a abc c b a ++>++证:∵ 22442b a b a >+ 22442c b c b >+ 22442a c a c >+∴ 222222444a c c b b a c b a ++>++∵ c ab c b b a c b b a 22222222222=⋅>+同理:a bc a c c b 222222>+ b ca b a a c 222222>+∴)(222222c b a abc a c c b b a ++>++4 知a,b,c R ∈,求证:)(2222222c b a a cc bb a++≥+++++证明:∵)(22222222)(22b a b a b a ba ab ab +≥++≥+∴≥+即2)(222b a b a+≥+,两边开平方得)(222222b a b a b a+≥+≥+ 同理可得)(2222c b c b+≥+)(2222a c a c+≥+三式相加,得 )(2222222c b a a cc bb a++≥+++++5),0(∞+∈y x 、且1=+y x ,证:9)11)(11(≥++y x 。
证:)1)(1()11)(11(y y x x y x y x ++++=++)(25)2)(2(y xx y y x x y ++=++=9225=⋅+≥ 6已知.911111,,≥⎪⎭⎫⎝⎛+⎪⎭⎫ ⎝⎛+=+∈+b a b a R b a 求证: 策略:由于的背后隐含说明1,,4121,,2=+∈≤⇒⎪⎩⎪⎨⎧⎪⎭⎫⎝⎛+≤=+∈++b a R b a ab b a ab b a R b a .41 ≤ab 着一个不等式 证明:411,,≤∴=+∈+ab b a R b a 。
.91111.981211111111111 ≥⎪⎭⎫ ⎝⎛+⎪⎭⎫ ⎝⎛+∴=+≥+=+++=+++=⎪⎭⎫⎝⎛+⎪⎭⎫ ⎝⎛+b a ab ab ab b a ab b a b a 而3、分析法分析法的思路是“执果索因”:从求证的不等式出发,探索使结论成立的充分条件,直至已成立的不等式。
7已知a 、b 、c 为正数,求证:)3(3)2(23abc c b a ab b a -++≤-+证:要证:)3(3)2(23abc c b a ab b a -++≤-+只需证:332abc c ab -≤-即:332abc ab c ≥+∵3333abc ab ab c ab ab c =≥++成立∴ 原不等式成立证:3≤++c b a 3)(2≤++⇔c b a 即:2222≤++ac bc ab∵b a ab +≤2 c b bc +≤2 c a ac +≤2即2)()()(222=+++++≤++c a c b b a ac bc ab ∴原命题成立 4、换元法换元法实质上就是变量代换法,即对所证不等式的题设和结论中的字母作适当的变换,以达到化难为易的目的。