不等式恒成立问题及能成立问题
- 格式:docx
- 大小:341.00 KB
- 文档页数:8
第21讲:不等式恒成立问题与能成立问题【学习目标】1.在解决不等式恒成立、能成立的问题时,常常使用不等式解集法、分离参数法、主参换位法和数形结合法解决,方法灵活,能提升学生的逻辑推理、数学运算等素养.【基础知识】不等式的恒成立与有解问题,可按如下规则转化:一般地,已知函数()[],,y f x x a b =∈,()[],,y g x x c d =∈(1)若[]1,x a b ∀∈,[]2,x c d ∀∈,总有()()12f x g x <成立,故()()2max min f x g x <; (2)若[]1,x a b ∀∈,[]2,x c d ∃∈,有()()12f x g x <成立,故()()2max max f x g x <; (3)若[]1,x a b ∃∈,[]2,x c d ∃∈,有()()12f x g x <成立,故()()2min min f x g x <;【考点剖析】考点一:二次函数型恒成立问题 例1.若不等式23208kx kx +-<对一切实数x 都成立,则k 的取值范围为( )A .()3,0-B .[)3,0-C .[]3,0-D .(]3,0-【答案】D 【详解】当0k =时,原不等式可化为308-<,对x ∈R 恒成立; 当0k ≠时,原不等式恒成立,需220342()08k k k <⎧⎪⎨∆=-⨯⨯-<⎪⎩, 解得,0()3k ∈-, 综上(3,0]k ∈-. 故选:D变式训练1:若不等式()()222240a x a x -+--<对任意实数x 均成立,则实数a 的取值范围是( )A .()2,2-B .[]22-,C .()2,+∞D .(]2,2-【答案】D 【详解】当20a -=时,即2a =,此时40-<恒成立,满足条件;当20a -≠时,因为()()222240a x a x -+--<对任意实数x 都成立,所以()()220421620a a a -<⎧⎪⎨∆=-+-<⎪⎩,解得()2,2a ∈-, 综上可知,(]2,2a ∈-, 故选:D.变式训练2:不等式210ax ax ++>对于任意的x ∈R 恒成立,则实数a 的取值范围是( )A .()0,4B .[]0,4C .[)0,4D .(](),04,-∞+∞【答案】C 【详解】因为不等式210ax ax ++>对于任意的x ∈R 恒成立, 所以函数()210f x ax ax =++>对于任意的x ∈R 恒成立,当0a =时,函数()10f x =>,满足题意;当0a ≠时,结合二次函数性质易知,2040a a a >⎧⎨-<⎩,解得04a <<,综上所述,实数a 的取值范围是[)0,4, 故选:C.变式训练3:设2()(1)2f x x a x a =--+-.若不等式()2f x ≥-对一切实数x 恒成立,求实数a 的取值范围;【答案】(1)33a -≤≤+ 【详解】由题意,不等式()2f x ≥-对于一切实数x 恒成立,等价于2(1)0x a x a --+≥对于一切实数x 恒成立.所以20(1)40a a ∆≤⇔--≤⇔33a -≤≤+.考点二:二次函数型能成立问题例2.若关于x 的不等式2420x x a --->在区间(1,4)内有解,则实数a 的取值范围是( )A .(,2)-∞-B .(],2-∞-C .(6,)-+∞D .(,6)-∞-【答案】A 【详解】不等式等价于存在()1,4x ∈,使242a x x <--成立, 即()2max42a x x <--设()224226y x x x =--=-- 当()1,4x ∈时,[)6,2y ∈-- 所以2a <- . 故选:A变式训练1:若关于x 的不等式220x ax +->在区间[]1,5上有解,则实数a 的取值范围为( )A .23,5⎛⎫-+∞ ⎪⎝⎭ B .23,15⎡⎤-⎢⎥⎣⎦C .()1,+∞D .23,5⎛⎫-∞- ⎪⎝⎭【答案】A 【详解】解:关于x 的不等式220x ax +->在区间[1,5]上有解,22ax x ∴>-在[1x ∈,5]上有解,即2a x x>-在[1x ∈,5]上成立; 设函数2()f x x x=-,[1x ∈,5],()f x ∴在[1x ∈,5]上是单调减函数,又()1211f =-=,()2235555f =-=-所以()f x 的值域为23[5-,1], 要2a x x >-在[1x ∈,5]上有解,则235a >-, 即实数a 的取值范围为23,5⎛⎫-+∞ ⎪⎝⎭. 故选:A .变式训练2:若不等式220x x m --<在1,22x ⎡∈⎤⎢⎥⎣⎦上有解,则实数m 的取值范围是( )A .[)1,-+∞B .()1,-+∞C .34⎛⎫-+∞ ⎪⎝⎭D .()0,∞+【答案】B 【详解】因为不等式220x x m --<在1,22x ⎡∈⎤⎢⎥⎣⎦上有解,所以不等式22m x x >-在1,22x ⎡∈⎤⎢⎥⎣⎦上有解,令()22211t x x x =-=--,则min 1t =-, 所以1m >-,所以实数m 的取值范围是()1,-+∞ 故选:B变式训练3:已知关于x 的不等式210x mx -+>在[2,4]上有解,则实数 m 的取值范围是( )A .(,)-∞+∞B .(,2)-∞C .5,2⎛⎫-∞ ⎪⎝⎭D .17,4⎛⎫-∞ ⎪⎝⎭【答案】D不等式210x mx -+>在[2,4]上有解,∴1m x x<+在[2,4]上有解, 1y x x =+在[2,4]单调递增,max 117444y ∴=+=, 174m ∴<. 故选:D.考点三:基本不等式型恒成立问题例3.若正数x 、y 满足22x y xy +=,若不等式2x y m +≥的恒成立,则m 的最大值等于( )A .4B .92C .D .8【答案】A 【详解】已知正数x 、y 满足22x y xy +=,可得211122x y xy x y+==+,所以,()1122222422x y x y x y x y y x ⎛⎫+=++=++≥+=⎪⎝⎭, 当且仅当2x y =时,等号成立,所以,2x y +的最小值为4,4m ∴≤. 因此,实数m 的最大值为4. 故选:A.变式训练1:已知两个正实数,x y 满足211x y+=,并且222x y m m +≥-恒成立,则实数m 的取值范围( ) A .(2,4)-B . []2,4-C . (,2)(4,)-∞-⋃+∞D . ][(,24,) -∞-⋃+∞【详解】因为222x y m m +≥-恒成立,则2min 2(2)m m x y -≤+,2142(2)()444228y x x y x y x y x y +=++=++≥+=+⨯=,当且仅当4211y xx y x y⎧=⎪⎪⎨⎪+=⎪⎩即42x y =⎧⎨=⎩时等号成立,所以2x y +的最小值为8,所以228m m -≤,即(4)(2)0m m -+≤,解得:24m -≤≤. 故选:B变式训练2:已知0x >,0y >,211x y+=,若222x y m m +>-恒成立,则实数m 的取值范围是( )A .4m ≥或2m ≤-B .2m ≥或4m ≤-C .24m -<<D .42m -<<【答案】C 【详解】若222x y m m +>-恒成立,则()2min 22m m x y -<+,因为()42221442284y x x y x y x y x y +⎛⎫+=+=++⎪⎝⎭≥+=+⨯=, 当且仅当4=y xx y,即4,2x y ==时取等号. 所以()min 82x y +=所以228m m -<,即2280m m --<, 解得:24m -<<. 故选:C变式训练3:已知正实数,x y 满足441x y +=. (1)求xy 的最大值;(2)若不等式2415a a x y+≥+恒成立,求实数a a 的取值范围.【答案】(1)164;(2)[]9,4-. 【详解】(1)441x y +=,所以14x y =+≥164xy ≤, 当且仅当18x y ==取等号,∴xy 的最大值为164.(2)()414116444202036y x x y x y x y x y ⎛⎫+=++=++≥+= ⎪⎝⎭, 当且仅当16x =,112y =取等号,∴2536a a +≤,解得94a -≤≤. 即a 的取值范围是[]9,4-.考点四:变换主元例4.已知当[0,2]a ∈时,不等式23(1)102ax a x a +++-<恒成立,则x 的取值范围为___________. 【答案】(2,1)-- 【详解】由题意,因为当[0,2]a ∈时,不等式23(1)102ax a x a +++-<恒成立, 可转化为关于a 的函数23()12f a x x a x ⎫⎛=+-++ ⎪⎝⎭,则()0f a <对任意[0,2]a ∈恒成立,则满足2(0)10,(2)2320,f x f x x =+<⎧⎨=+-<⎩ 解得21x -<<-,即x 的取值范围为(2,1)--. 故答案为:(2,1)--.变式训练1:已知[]1,1a ∈-时,不等式()24420x a x a +-+->恒成立,则x 的取值范围为( )A .(-∞,2)∪(3,+∞)B .(-∞,1)∪(2,+∞)C .(-∞,1)∪(3,+∞)D .(1,3)【答案】C 【详解】由题意,因为[]1,1a ∈-时,不等式()24420x a x a +-+->恒成立,可转化为关于a 的函数()()2244f a x a x x =-+-+,则()0f a >对应任意[]1,1a ∈-恒成立,则满足()()2215601320f x x f x x ⎧-=-+>⎪⎨=-+>⎪⎩,解得:1x <或3x >, 即x 的取值范围为()(),13,-∞+∞.故选:C变式训练2:若不等式21634x ax x a -≥--对任意[]2,4a ∈-成立,则x 的取值范围为( ) A .(][),83,-∞-⋃+∞ B .()[),01,-∞+∞C .[]8,6-D .(]0,3【答案】A 【详解】由题得不等式2(4)3160x a x x ---+≤对任意[]2,4a ∈-成立,所以22(4)(2)3160(4)43160x x x x x x ⎧----+≤⎨---+≤⎩,即2252400x x x x ⎧--+≤⎨-+≤⎩, 解之得3x ≥或8x ≤-. 故选:A变式训练3:已知当[0,2]a ∈时,不等式23(1)102ax a x a +++-<恒成立,则x 的取值范围为___________. 【答案】(2,1)-- 【详解】由题意,因为当[0,2]a ∈时,不等式23(1)102ax a x a +++-<恒成立, 可转化为关于a 的函数23()12f a x x a x ⎫⎛=+-++ ⎪⎝⎭, 则()0f a <对任意[0,2]a ∈恒成立,则满足2(0)10,(2)2320,f x f x x =+<⎧⎨=+-<⎩ 解得21x -<<-,即x 的取值范围为(2,1)--. 故答案为:(2,1)--.【过关检测】1、关于x 的不等式21mx mx m ++<对任意x ∈R 恒成立,则实数m 的取值范围是( )A .(),0-∞B .(],0-∞C .()4,0,3⎛⎫-∞+∞ ⎪⎝⎭ D .(]4,0,3⎛⎫-∞+∞ ⎪⎝⎭【答案】B 【详解】解:①当0m =时,则01<成立,故符合题意,②0m ≠时,因为21mx mx m ++<对任意x ∈R 恒成立,所以0m <,不等式变为:210mx mx m ++-<,()2410m m m ∆=--<,所以:0m <, 综上:0m ≤. 故选:B.2、已知不等式240x ax ++的解集为,R 则a 的取值范围是( ) A .[]4,4-B .()4,4-C .][(),44,∞∞--+D .()(),44,-∞-+∞【答案】A 【详解】因为不等式240x ax ++的解集为,R 所以2Δ4140a =-⨯⨯, 解得44a -,所以a 的取值范围是[]4,4-, 故选:A.3、不等式(4)(21)x x a x ->+对一切实数x 都成立,则实数a 的范围是( )A .[)4,1--B .[]4,1--C .(4,1)--D .(]4,1--【答案】C 【详解】不等式(4)(21)x x a x ->+可变形为2(42)0x a x a -+->由不等式2(42)0x a x a -+->对一切实数x 都成立,2(42)4()0a a ∴∆=+-⋅-<,即2540a a ++<,解得41a -<<-所以实数a 的范围是(4,1)--故选:C4、已知函数()()()22224f x a x a x =-+--,若()0f x <对一切x ∈R 恒成立,则实数a 的取值范围为( )A .(]2-∞,B .()2-∞-,C .[]22-,D .(]22-,【答案】D【详解】由题知不等式()()222240a x a x -+--<,对一切x ∈R 恒成立所以当2a =时, ()40f x =-<,满足;当2a ≠时,由二次函数性知220224(2)16(2)0a a a a -<⎧⇒-<<⎨∆=-+-<⎩,所以实数a 的取值范围为:22a -<≤,故选:D5、已知关于x 的不等式22(4)(2)10a x a x -+--≥的解集为空集,则实数a 的取值范围是()A .62,5⎡⎤-⎢⎥⎣⎦B .62,5⎡⎫-⎪⎢⎣⎭C .6,25⎛⎤- ⎥⎝⎦ D .(,2][2,)-∞-+∞【答案】C【详解】因为不等式22(4)(2)10a x a x -+--≥的解集为空集,所以不等式22(4)(2)10a x a x -+--<在R 上恒成立,当240a -≠时:240a -<且22(2)4(4)0a a ∆=-+-< 解得:265a -<<;当240a -=时即2a =±,当2a =时,不等式22(4)(2)10a x a x -+--<在R 上恒成立;当2a =-时,不等式22(4)(2)10a x a x -+--<在R 上不恒成立;综上:实数a 的取值范围6,25⎛⎤- ⎥⎝⎦.故选:C.6、若关于x 的不等式2210ax ax ++>对一切的实数x 恒成立,那么实数a 的取值范围是() A .(1,)+∞ B .(,0)(1,)-∞+∞ C .(0,1) D .[0,1)【答案】D【详解】原不等式等价于2(2)10a x x ++>对一切的实数x 恒成立,①当0a =时,原不等式等价于10>对一切的实数x 恒成立,②当0a ≠时,20440a a a >⎧⎨=-<⎩,解得01a <<.综上所述,实数a 的取值范围是[0,1).故选:D .7、已知函数2()441,(1,1),()0f x ax x x f x ∀=+-∈-<恒成立,则实数a 的取值范围是()A .34a ≤- B .1a <-C .314a -<≤ D .1a ≤-【答案】B【详解】2()4410f x ax x =+-<,即2441ax x <-+当0x =时,不等式恒成立,a R ∈;当0x ≠时,20x >,则2min 414a x x ⎛⎫<-+ ⎪⎝⎭ 令()()1,11,t x=∈-∞-⋃+∞,则()[)224244,y t t t =-+=--∈-+∞ 即44a <-,解得1a <-故选:B8、若对满足8a b ab +=的任意正数a b ,及任意x ∈R ,不等式22218a b x x m +≥-++-恒成立,则实数m 的取值范围是( )A .[)6,-+∞B .(],6-∞-C .(],1-∞D .[)1,+∞ 【答案】A【详解】∵正数a b ,满足8a b ab +=, ∴811b a +=,()812822171725b a a b a b b a a b ⎛⎫+=++=++≥+= ⎪⎝⎭, 当且仅当28b a a b =,即2b a =,510a b ==,时,等号成立, ∴225218x x m ≥-++-,即2270x x m -++≥对任意实数x 恒成立,∴()4470m ∆=-+≤,解得6m ≥-.故选:A .9、(多选)对于正数a ,b ,且4a b +=,若34abm b a ≤++恒成立,则m 可以为( )A .3B .52C .2D .1【答案】BCD【详解】因为对于正数a ,b ,满足4a b +=,所以34abm b a ≤++恒成立化为,34324b a b a a b m ab ab a b+++++≤==+恒成立 ,又因为()24124124644b a a b a b a b a b ⎛⎫⎛⎫+=++=++ ⎪ ⎪⎝⎭⎝⎭,13642⎛≥+=+ ⎝48a b ⎧=⎪⎨=-⎪⎩时 等号成立, 所以322m ,选项BCD 都符合题意,故选:BCD.10、(多选)已知00x y >>,,且22x y +=,若21+-mxy x y m ≤对任意的00x y >>,恒成立,则实数m 的可能取值为( )A .12B .98C .107D .2【答案】ACD【详解】0,0x y >>,212211mxy m x y x y m m xy y x+∴≤+⇔≤=+--, 即min121m m y x ⎛⎫≤+ ⎪-⎝⎭, ()12112122192552222x y x y y x y x y x ⎛⎛⎫⎛⎫+=++=++≥+= ⎪ ⎪ ⎝⎭⎝⎭⎝, 当且仅当22x y y x =,即23x y ==时,等号成立, 即912m m ≤-,()997001221m m m m --≤⇔≤-- 解得:97m ≥或1m <,选项中满足条件的有ACD. 故选:ACD11、已知x 、y 为两个正实数,且11m x y x y≤++恒成立,则实数m 的取值范围是________. 【答案】(],4-∞【详解】因为x 、y 为两个正实数,由11m x y x y ≤++可得()11m x y x y ⎛⎫≤++ ⎪⎝⎭, 因为()11224x y x y x y y x ⎛⎫++=++≥+= ⎪⎝⎭,当且仅当x y =时,等号成立. 所以,4m ≤,因此,实数m 的取值范围是(],4-∞.故答案为:(],4-∞.12、已知0,0a b >>,若不等式313m a b a b ≤++恒成立,则m 的最大值为__________. 【答案】16【详解】由题意,不等式313m a b a b≤++恒成立,且0,0a b >>,即为31(3)()≤++m a b a b 恒成立,即min 31(3)()⎡⎤≤++⎢⎥⎣⎦m a b a b 成立,由3133(3)()101016++=++≥+=a b a b a b b a ,当且仅当33=a b b a,即a b =,取得等号,即有16m ≤,则m 的最大值为16. 故答案为:1613、若正实数,x y 满足22x y xy +=,且不等式()210x y a xy +-+≥恒成立,则实数a 的取值范围是_____. 【答案】9,2⎛⎤-∞ ⎥⎝⎦ 【详解】解:因为正实数x ,y 满足22x y xy +=,所以2xy ≥2xy ≥;又因不等式(2)10x y a xy +-+恒成立,所以(2)10xy a xy -+恒成立,即12a xy xy +恒成立, 则1(2)min a xy xy+, 因为1922xy xy +, 当且仅当2xy =时取等号,此时12xy xy +取得最小值92 , 故92a . 故答案为:9,2⎛⎤-∞ ⎥⎝⎦.14、0a >,0b >,且21a b +=,不等式1102m b a b +-≥+恒成立,则m 的范围为_______.【答案】32m ≤【详解】解:因为21a b +=,所以1111()22a b b b a b b a b ⎛⎫+=+++ ⎪++⎝⎭1122a b b b a b +=++++ 322a b b b a b+=+++333222≥+=+=当且仅当2a b b b a b +=+,即1)a b =时,取等号, 因为不等式1102m b a b+-≥+恒成立, 所以m 小于等于112b a b++最小值,所以32m ≤,故答案为:32m ≤15、若不等式22x mx ->对满足1m ≤的一切实数m 都成立,则x 的取值范围是___________【答案】2x <-或2x >【详解】解:因为22x mx ->,所以220mx x -+<令()22f m mx x =-+,即()0f m <在1m ≤恒成立,即11m -≤≤时()0f m <恒成立,所以()()1010f f ⎧<⎪⎨-<⎪⎩,即222020x x x x ⎧-+<⎨--+<⎩,解220x x -+<得2x >或1x <-;解220x x --+<得1x >或2x <-,所以原不等式组的解集为()(),22,x ∈-∞-⋃+∞故答案为:()(),22,-∞-+∞16、对于11a -≤≤,不等式()2210x a x a +-+->恒成立的x 的取值范围是_____________ 【答案】()(),02,-∞+∞【详解】 ()()2221121x a x a x a x x +-+-=-+-+,令()()2121f a x a x x =-+-+,11a -≤≤, 当1x =时,()1210f a =-+=,则()0f a >不成立;当1x >时,()()22min 1121320f a f x x x x x =-=-+-+=-+>,解得:1x <或2x >; 当1x <时,()()22min 11210f a f x x x x x ==-+-+=->,解得:0x <或1x >; 综上所述:()(),02,x ∈-∞+∞. 故答案为:()(),02,-∞+∞.17、已知2()3f x x ax =-+.(1)当2a =时,解不等式()6f x >;(2)当()0,x ∈+∞时,2()1f x x ≥-恒成立,求a 的取值范围. 【答案】(1){1x x <-或3x;(2)4a ≤.【详解】 (1)当2a =时,()6f x >,即 2236x x -+>,2230x x ∴-->,即()()130x x +->,解得1x <-或3x >, ∴原不等式的解集为{|1x x <-或3}x >.(2)当()0,x ∈+∞时2()1f x x ≥-恒成立, 2231x ax x ∴-+≥-,即2a 2x x≤+,设2()24g x x x =+≥=,当且仅当1x =时等号成立, 4a ∴≤.18、已知二次函数()223f x x ax =-+. (1)若()f x 在(],1-∞上单调递减,求实数a 的最小值;(2)存在[]4,2x ∈--,使得()f x a ≥有解,求实数a 的取值范围.【答案】(1)1;(2)197a ≥-【详解】(1)()223f x x ax =-+的对称轴为x a =,开口向上, 若()f x 在(],1-∞上单调递减,则1a ≥,故a 的最小值为1;(2)()f x a ≥,即2230x ax a -+-≥在[]4,2x ∈--有解,令()223g x x ax a =-+-,对称轴为x a =,开口向上, 当3a ≤-时,()()max 2370g x g a =-=+≥,解得73a ≥-,此时无解;当3a >-时,()()max 47190g x g a =-=+≥,解得197a ≥-, 综上,197a ≥-.19、设函数2()(2)3f x ax b x =+-+. (1)若不等式()0f x >的解集为()1,1-,求实数,a b 的值;(2)若()10f =,且存在x ∈R ,使()4f x >成立,求实数a 的取值范围.【答案】(1)32a b =-⎧⎨=⎩;(2)()(),91,-∞--+∞.【详解】 解:(1)由题意可知:方程()2230ax b x +-+=的两根是1-,1 所以21103(1)11b a a-⎧-=-+=⎪⎪⎨⎪=-⨯=-⎪⎩ 解得32a b =-⎧⎨=⎩(2)由()10f =得1b a =--存在x ∈R ,()4f x >成立,即使()2210ax b x +-->成立, 又因为1b a =--,代入上式可得()2310ax a x -+->成立. 当0a ≥时,显然存在x ∈R 使得上式成立;当0a <时,需使方程()2310ax a x -+-=有两个不相等的实根 所以()2340a a ∆=++>即21090a a ++>解得9a <-或10a -<<综上可知a 的取值范围是()(),91,-∞--+∞.。
恒成立问题的类型和能成立问题及方法处理函数与不等式的恒成立、能成立、恰成立问题是高中数学中的一个重点、难点问题。
这类问题在各类考试以及高考中都屡见不鲜。
感觉题型变化无常,没有一个固定的思想方法去处理,一直困扰着学生,感到不知如何下手。
在此为了更好的准确地把握快速解决这类问题,本文通过举例说明这类问题的一些常规处理。
一、函数法(一)构造一次函数 利用一次函数的图象或单调性来解决 对于一次函数],[),0()(n m x k b kx x f ∈≠+=有:⎩⎨⎧<<⇔<⎩⎨⎧>>⇔⎩⎨⎧><⎩⎨⎧>>⇔>0)(0)(0)(;0)(0)(0)(00)(00)(n f m f x f n f m f n f k m f k x f 恒成立或恒成立例1 若不等式m mx x ->-212对满足22≤≤-m 的所有m 都成立,求x 的范 围。
解析:将不等式化为:0)12()1(2<---x x m ,构造一次型函数:)12()1()(2---=x m x m g原命题等价于对满足22≤≤-m 的m ,使0)(<m g 恒成立。
由函数图象是一条线段,知应⎪⎩⎪⎨⎧<---<----⇔⎩⎨⎧<<-0)12()1(20)12()1(20)2(0)2(22x x x x g g 解得231271+<<+-x ,所以x 的范围是)231,271(++-∈x 。
小结:解题的关键是将看来是解关于x 的不等式问题转化为以m 为变量,x 为参数的一次函数恒成立问题,再利用一次函数的图象或单调性解题。
练习:(1)若不等式01<-ax 对[]2,1∈x 恒成立,求实数a 的取值范围。
(2)对于40≤≤p 的一切实数,不等式342-+>+p x px x 恒成立,求x 的取值范围。
(答案:或)(二)构造二次函数 利用二次函数的图像与性质及二次方程根的分布来解决。
1不等式恒成立、能成立、恰成立问题分析及应用庆阳二中 曹久贤恒成立,也就是一个代数式在某一个给定的范围内总是成立的,例如:x²≥0,在实数范围即x∈R 内恒成立能成立,也就是一个代数式在某一个给定的范围内存在值使这个代数式成立,使代数式成立的值有可能是一个,两个或是无穷多个,即个数是不定的,而在这个给定的范围内可以存在使这个代数式不成立的值,也可以不存在这样的值,例如:x+1>0在x>-2上能成立.恰成立,也就是一个代数式在某一个给定的范围内恰好是成立的,或是说这个代数式只有在这个范围内成立,在这个范围外的值都不能使这个代数式成立,而这个代数式里面的值均能使这个代数式成立.例如:(x-1)²=0,在x=1时恰成立.可以说恰成立是恒成立的一种特例,在给定的范围内恰成立肯定是恒成立的,但是恒成立的条件中还有可能符合代数式的在给定的范围之外,即恒成立不一定包含了满足这个代数式的所有的值,但是恰成立包含了满足这个代数的值,并且给定的范围也全都满足这个代数式. 例如:x+1>0在x>-5上是能成立的,在x>-1上是恰成立也是恒成立的.而在-1<x<9上是恒成立但不是恰成立.常见关键词列表如下:多参数恒成立问题举例:例1: 已知f (x )是定义在[-1,1]上的奇函数,且f (1)=1,若0)()(0],1,1[,>++≠+-∈nm n f m f n m n m 时,若12)(2+-≤at t x f 对于所有的]1,1[],1,1[-∈-∈a x 恒成立,求实数t 的取值范围.二、不等式能成立问题的处理方法:图像法、最值法若在区间D 上存在实数x 使不等式()A x f >成立,则等价于在区间D 上()max f x A>; 若在区间D 上存在实数x 使不等式()B x f <成立,则等价于在区间D 上的()min f x B <.例2、已知不等式ax x <-+-34在实数集R 上的解集不是空集,求实数a 的取值范围______例3、若关于x 的不等式32-≤--a ax x 的解集不是空集,则实数a 的取值范围是________.2例4、已知函数()21ln 22f x x ax x=--(0≠a )存在单调递减区间,求a 的取值范围________.三、不等式恰好成立问题的处理方法:韦达定理法、代入法、最值法例5、不等式2ax bx 10++>的解集为1|13x x ⎧⎫-<<⎨⎬⎩⎭则a b ⋅=___________ 例6、已知(),22x ax x x f ++=当[)()x f x ,,1+∞∈的值域是[)+∞,0,试求实数a 的值.例7、已知两函数f(x)=8x 2+16x-k ,g(x)=2x 3+5x 2+4x ,其中k 为实数。
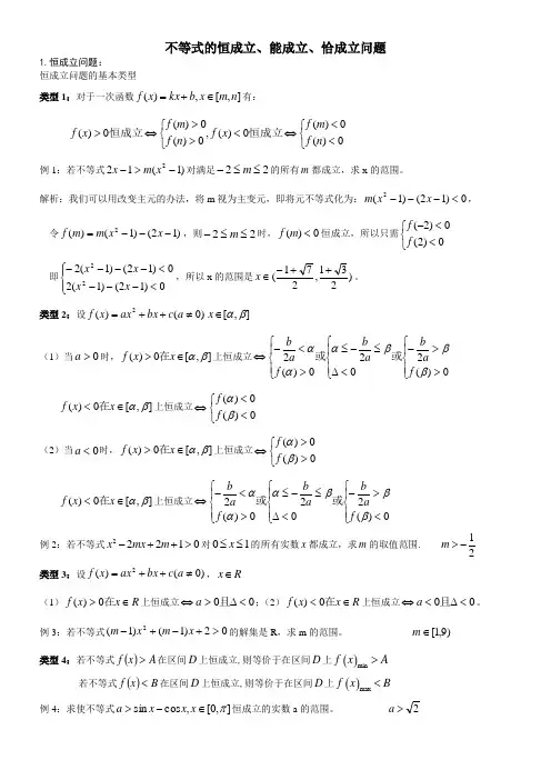
不等式的恒成立、能成立、恰成立问题1.恒成立问题:恒成立问题的基本类型类型1:对于一次函数],[,)(n m x b kx x f ∈+=有:⎩⎨⎧<<⇔<⎩⎨⎧>>⇔>0)(0)(0)(,0)(0)(0)(n f m f x f n f m f x f 恒成立恒成立 例1:若不等式)1(122->-x m x 对满足22≤≤-m 的所有m 都成立,求x 的范围。
解析:我们可以用改变主元的办法,将m 视为主变元,即将元不等式化为:0)12()1(2<---x x m , 令)12()1()(2---=x x m m f ,则22≤≤-m 时,0)(<m f 恒成立,所以只需⎩⎨⎧<<-0)2(0)2(f f 即⎪⎩⎪⎨⎧<---<----0)12()1(20)12()1(222x x x x ,所以x 的范围是)231,271(++-∈x 。
类型2:设)0()(2≠++=a c bx ax x f ],[βα∈x(1)当0>a 时,],[0)(βα∈>x x f 在上恒成立⎪⎩⎪⎨⎧>>-⎪⎩⎪⎨⎧<∆≤-≤⎪⎩⎪⎨⎧><-⇔0)(2020)(2βββαααf a b a b f a b 或或 ],[0)(βα∈<x x f 在上恒成立⎩⎨⎧<<⇔0)(0)(βαf f (2)当0<a 时,],[0)(βα∈>x x f 在上恒成立⎩⎨⎧>>⇔0)(0)(βαf f ],[0)(βα∈<x x f 在上恒成立⎪⎩⎪⎨⎧<>-⎪⎩⎪⎨⎧<∆≤-≤⎪⎩⎪⎨⎧><-⇔0)(2020)(2βββαααf a b a b f a b 或或 例2:若不等式22210x mx m -++>对01x ≤≤的所有实数x 都成立,求m 的取值范围. 12m >- 类型3:设)0()(2≠++=a c bx ax x f ,R x ∈(1)R x x f ∈>在0)(上恒成立00<∆>⇔且a ;(2)R x x f ∈<在0)(上恒成立00<∆<⇔且a 。
不等式恒成立、能成立、恰成立问题分析及应用一、不等式恒成立问题的处置方式一、转换求函数的最值:(1)若不等式()A x f >在区间D 上恒成立,则等价于在区间D 上()min f x A >,⇔()f x 的下界大于A(2)若不等式()B x f <在区间D 上恒成立,则等价于在区间D 上()max f x B <,()f x 的上界小于A例一、设f(x)=x 2-2ax+2,当x ∈[-1,+∞]时,都有f(x)≥a 恒成立,求a 的取值范围。
例二、已知(),22x a x x x f ++=对任意[)()0,,1≥+∞∈x f x 恒成立,试求实数a 的取值范围;例3、R 上的函数()x f 既是奇函数,又是减函数,且当⎪⎭⎫ ⎝⎛∈2,0πθ时,有()()022sin 2cos 2>--++m f m f θθ恒成立,求实数m 的取值范围.二、主参换位法例五、若不等式a 10x -<对[]1,2x ∈恒成立,求实数a 的取值范围例六、若对于任意1a ≤,不等式2(4)420x a x a +-+->恒成立,求实数x 的取值范围3、分离参数法(1) 将参数与变量分离,即化为()()g f x λ≥(或()()g f x λ≤)恒成立的形式; (2) 求()f x 在x D ∈上的最大(或最小)值;(3) 解不等式()max ()g f x λ≥(或()()min g f x λ≤) ,得λ的取值范围。
适用题型:(1) 参数与变量能分离;(2) 函数的最值易求出。
例八、当(1,2)x ∈时,不等式240x mx ++<恒成立,则m 的取值范围是 .4、数形结合例10 、若对任意x R ∈,不等式||x ax ≥恒成立,则实数a 的取值范围是________例1一、当x ∈(1,2)时,不等式2(1)x -<log a x 恒成立,求a 的取值范围。
不等式恒成立、能成立、恰成立问题分析及应用问题引入:例1 :已知不等式0122>+-ax x 对]2,1[∈x 恒成立,其中0>a .求实数a 的取值范围. 分析:思路1、通过化归最值,直接求函数12)(2+-=ax x x f 的最小值解决,即0)(min >x f 。
思路 2、通过分离变量,转化到)1(21212x x x x a +=+<解决,即min 2)21(xx a +<。
思路3、通过数形结合,化归到ax x 212>+作图解决,即12+=x y 图像在ax y 2=的上方.小结:不等式恒成立问题的处理方法 1、转换求函数的最值:⑴若不等式()A f x <在区间D 上恒成立,则等价于在区间D 上()()min A f x f x <⇔的下界大于A⑵若不等式()B f x >在区间D 上恒成立,则等价于在区间D 上()()max B f x f x >⇔的上界小于B 。
2、分离参数法(1) 将参数与变量分离,即化为()()g f x λ≥(或()()g f x λ≤)恒成立的形式; (2) 求()f x 在x D ∈上的最大(或最小)值; (3) 解不等式()()maxg f x λ≥ (或()()ming f x λ≤) ,得λ的取值范围。
3.转换成函数图象问题⑴若不等式()()f x g x >在区间D 上恒成立,则等价于在区间D 上函数()y f x =和图象在函数()y g x =图象上方;⑵若不等式()()f x g x <在区间D 上恒成立,则等价于在区间D 上函数()y f x =和图象在函数()y g x =图象下方;【变式练习:】 对]2,1[∈x ,0122>+-ax x →0123>+-ax x 012ln >+-→ax x 均恒成立,该如何处理?例2:已知函数12)(2+-=ax x x f ,xax g =)(,其中0>a ,0≠x . 1)对任意]2,1[∈x ,都有)()(x g x f >恒成立,求实数a 的取值范围;2)对任意]4,2[],2,1[21∈∈x x ,都有)()(21x g x f >恒成立,求实数a 的取值范围;【分析:】1)思路、等价转化为函数0)()(>-x g x f 恒成立,在通过分离变量,创设新函数求最值解决.2)思路、对在不同区间内的两个函数)(x f 和)(x g 分别求最值,即只需满足)()(max min x g x f >即可.简解:(1)由12012232++<⇒>-+-x x x a x a ax x 成立,只需满足12)(23++=x xx x ϕ的最小值大于a 即可.对12)(23++=x x x x ϕ求导,0)12(12)(2224>+++='x x x x ϕ,故)(x ϕ在]2,1[∈x 是增函数,32)1()(min ==ϕϕx ,所以a 的取值范围是320<<a .例3 设函数b x x a x h ++=)(,对任意]2,21[∈a ,都有10)(≤x h 在]1,41[∈x 恒成立,求实数b 的取值范围.分析:思路、解决双参数问题一般是先解决一个参数,再处理另一个参数.以本题为例,实质还是通过函数求最值解决.方法1:化归最值,10)(10)(max ≤⇔≤x h x h ;方法2:变量分离,)(10x x ab +-≤或x b x a )10(2-+-≤; 方法3:变更主元,0101)(≤-++⋅=b x a x a ϕ,]2,21[∈a简解:方法1:对b x xab x x g x h ++=++=)()(求导,22))((1)(x a x a x x a x h +-=-=',由此可知,)(x h 在]1,41[上的最大值为)41(h 与)1(h 中的较大者.⎪⎩⎪⎨⎧-≤-≤⇒⎪⎩⎪⎨⎧≤++≤++⇒⎪⎩⎪⎨⎧≤≤∴a b a b b a b a h h 944391011041410)1(10)41(,对于任意]2,21[∈a ,得b 的取值范围是47≤b . 练习题1、设()222f x x ax =-+,当x ∈[-1,+∞]时,都有()f x a ≥恒成立,求a 的取值范围。
专题:不等式的“恒成立”、“能成立”、“恰成立”问题不等式恒成立问题若不等式A x f >)(在区间D 上恒成立,则等价于在区间D 上A x f >min )]([ 若不等式B x f <)(在区间D 上恒成立,则等价于在区间D 上B x f <max )]([当)(x f 的最值取不到时,留意表达要精确,如1)(<x f ,则)(x f m >恒成立⇔1≥m 不等式中能成立...问题(有解) 若在区间D 上存在实数X 使不等式A x f >)(成立,则等价于在区间D 上A x f >max )]([ 若在区间D 上存在实数X 使不等式B x f <)(成立,则等价于在区间D 上B x f <min )]([ 不等式中恰成立问题若不等式A x f >)(在区间D 上恰成立,则等价于不等式A x f >)(的解集为D 若不等式B x f <)(在区间D 上恰成立,则等价于不等式B x f <)(的解集为D 利用一次函数的性质对于一次函数]),[)(0()(n m x a b ax x f ∈≠+=有:①0)(>x f 恒成立⎩⎨⎧>>⇔0)(0)(n f m f ②0)(<x f 恒成立⎩⎨⎧<<⇔0)(0)(n f m f 结论:若一个不等式中有两个变量,假如已知最高次数是一次变量的范围求另一变量范围的问题构造一次函数例:已知1log 6log )1()(323++⋅--=x a x a x x f ,当]1,0[∈x 时,)(x f 恒为正数,求a 的取值范围。
[3331<<a ]变式:当]4,2[∈x 时,若不等式042)2(2<-+-a a x 恒成立,求实数a 的范围()1,2-∈a变式:已知定义在R 上的奇函数()f x 在()0,+∞上是增函数且(1)(2)f ax f x +≤+对随意1,12x ⎡⎤∈⎢⎥⎣⎦都成立,则实数a 的取值范围 (]2,∞- 利用二次函数的判别式对于二次函数),0()(2R x a c bx ax x f ∈≠++=有①0)(>x f 恒成立⎩⎨⎧<-=∆>⇔0402ac b a②0)(<x f 恒成立⎩⎨⎧<-=∆<⇔0402ac b a 结论:若一个不等式中有两个变量,假如已知高次变量的范围求另一变量范围的问题构造高次函数或分别参数。
(1)恒成立问题若不等式f(x)>A 在区间D 上恒成立,则等价于在区间D 上f(x)min >A ; 若不等式f(x)<B 在区间D 上恒成立,则等价于在区间D 上f(x)max <B ; (2)能成立问题若在区间D 上存在实数x 使不等式f(x)>A 成立,则等价于在区间D 上f(x)max >A ; 若在区间D 上存在实数x 使不等式f(x)<B 成立,则等价于在区间D 上f(x)min <B ; (3)恰成立问题若不等式f(x)>A 在区间D 上恰成立,则等价于不等式f(x)>A 的解集为D ; 若不等式f(x)<B 在区间D 上恰成立,则等价于不等式f(x)<B 的解集为D. 二.典型问题例 区分下列问题的类型,并思考如何进行有效转化 组一1.若关于x 的不等式34x x a -+-<的解集不是空集,则实数a 的取值范围是 。
2.若存在实数x 使|x -a|+|x -1|≤3成立,则实数a 的取值范围是________3.若不等式|kx -4|≤2的解集为{x|1≤x ≤3},则实数k =______4.若关于x 的不等式|x -m|≤|2x +1|解集为R ,则实数m 的取值为________5.在R 上定义运算⊗:x ⊗y =x(1-y).若不等式(x -a)⊗(x -b)>0的解集是(2,3),则a +b 的值是A .1B .2C .4D .86.函数f(x)=⎩⎪⎨⎪⎧x 2+4x ,x ≥0,4x -x 2, x <0,则不等式f(2-x 2)>f(x)的解集是________ 7.已知函数()(ln )f x x x ax =-有两个极值点,则实数a 的取值范围是( )A .(,0)-∞B .1(0,)2 C .(0,1) D .(0,)+∞8.设l 为曲线C :ln xy x=在点(1,0)处的切线. (I)求l 的方程; (II)证明:除切点(1,0)之外,曲线C 在直线l 的下方 组二1.已知函数x x x f ln )(=,(1)求)(x f 的最小值; (2)若对所有1≥x 都有1)(-≥ax x f ,求实数a 的取值范围.2.已知函数32()()f x ax bx b a x =++-(a ,b 是不同时为零的常数),其导函数为()f x ',当13a =时, 若不等式()0f x '<对任意x [3,1]∈--恒成立,求b 的取值范围;3.已知函数3()sin (),2f x ax x a R =-∈且在,0,2π⎡⎤⎢⎥⎣⎦上的最大值为32π-, (1)求函数f(x)的解析式; (2)判断函数f(x)在(0,π)内的零点个数,并加以证明。
不等式恒建立、能建立、恰建立问题一、不等式恒建立问题的办理方法1、变换求函数的最值:( 1)若不等式 f x A 在区间D上恒建立,则等价于在区间 D 上 f xmin A , f ( x) 的下界大于 A( 2)若不等式 f x B 在区间D上恒建立,则等价于在区间 D 上 f xmax B , f ( x) 的上界小于 A例 1、设 f(x)=x 2-2ax+2, 当 x [-1,+ ] 时,都有 f(x) a 恒建立,求 a 的取值范围。
例 2、已知f x x 2 2x a, 对随意 x 1, , f x 0 恒建立,试务实数 a 的取值范围; x例 3 、 R 上的函数 f x 既是奇函数,又是减函数,且当0,时,有2f cos2 2m sinf 2m 2 0 恒建立,务实数m的取值范围.例 4、已知函数f (x) 4 ln 4 ( 0) 在处获得极值3 c,此中 a 、b为常数.()试ax x bx c x x 1 1确立 a 、b的值;( 2)议论函数 f ( x) 的单一区间;( 3)若对随意x 0 ,不等式 f ( x) 2c 2恒建立,求 c 的取值范围。
2、主参换位法例 5、若不等式ax 1 0对 x 1,2 恒建立,务实数 a 的取值范围例 6、若对于随意 a 1 ,不等式x2(a 4) x 4 2a 0 恒建立,务实数x 的取值范围例 7、已知函数a 3 3 2,此中 a 为实数.若不等式2f ( x) x x (a 1)x 1 f ( x) x x a 1对随意3 2 >a(0, ) 都建立,务实数 x 的取值范围.3、分别参数法( 1)将参数与变量分别,即化为g f x (或 g f x )恒建立的形式;( 2)求f x在x D 上的最大(或最小)值;( 3)解不等式g f ( x) max(或 g f x min),得的取值范围。
合用题型:( 1)参数与变量能分别;(2)函数的最值易求出。
不等式恒成立与能成立一、单变量不等式恒成立问题一般利用参变分离法求解函数不等式恒(能)成立,可根据以下原则进行求解:1、∀∈x D ,()()min ≤⇔≤m f x m f x 2、∀∈x D ,()()max ≥⇔≥m f x m f x 3、∃∈x D ,()()max ≤⇔≤m f x m f x 4、∃∈x D ,()()min≥⇔≥m f x m f x 二、双变量不等式与等式一般地,已知函数()[],,y f x x a b =∈,()[],,y g x x c d =∈1、不等关系(1)若[]1,x a b ∀∈,[]2,x c d ∀∈,总有()()12f x g x <成立,故()()max min f x g x <;(2)若[]1,x a b ∀∈,[]2,x c d ∃∈,有()()12f x g x <成立,故()()max max f x g x <;(3)若[]1,x a b ∃∈,[]2,x c d ∀∈,有()()12f x g x <成立,故()()min min f x g x <;(4)若[]1,x a b ∃∈,[]2,x c d ∃∈,有()()12f x g x <成立,故()()min max f x g x <.2、相等关系记()[],,y f x x a b =∈的值域为A ,()[],,y g x x c d =∈的值域为B,(1)若[]1,x a b ∀∈,[]2,x c d ∃∈,有()()12=f x g x 成立,则有A B ⊆;(2)若[]1,x a b ∃∈,[]2,x c d ∀∈,有()()12=f x g x 成立,则有A B ⊇;(3)若[]1,x a b ∃∈,[]2,x c d ∃∈,有()()12=f x g x 成立,故A B ⋂≠∅;题型一单变量不等式恒成立问题【例1】已知函数()42+=x xbf x 为奇函数.(1)求实数b 的值;(2)若对任意的[]0,1x ∈,有()23202--+<f xkx k 恒成立,求实数k 的取值范围.【答案】(1)1=-b ;(2)3,2⎛⎫+∞ ⎪⎝⎭【解析】(1)∵函数()42+=x x bf x 的定义域为R ,且为奇函数,∴()010=+=f b ,解得1=-b ,经验证:()411222-==-x xx x f x 为奇函数,符合题意,故1=-b ;(2)∵()122=-xxf x ,∴()f x 在R 上单调递增,且()131222-=-=-f .∵()23202--+<f x kx k ,则()()23212--<-=-f x kx k f ,又函数()f x 在R上单调递增,则221x kx k --<-在[]0,1x ∈上恒成立,∴()32141k x x >++-+在[]0,1x ∈上恒成立,设()()32141g x x x =++-+,令1t x =+,则[1,2]t ∈,函数32y t t=+在上递减,在2]上递增,当1t =时,5y =,当2t =时,112y =,故()max 113422g x =-=,则32k >,∴实数k 的取值范围为3,2⎛⎫+∞ ⎪⎝⎭.【变式1-1】已知定义在R 上的函数()22x xf x k -=-⋅是奇函数.(1)求实数k 的值;(2)若对任意的R x ∈,不等式()()240f x tx f x ++->恒成立,求实数t 的取值范围.【答案】(1)1k =;(2)()3,5-【解析】(1) 函数()22x x f x k -=-⋅是定义域R 上的奇函数,∴(0)0f =,即()000220f k =-⋅=,解得1k =.此时()22x x f x -=-,则()()()2222x x x xf x f x ---=-=--=-,符合题意;(2)因为()22x xf x -=-,且2x y =在定义域R 上单调递增,2x y -=在定义域R 上单调递减,所以()22x x f x -=-在定义域R 上单调递增,则不等式()()240f x tx f x ++->恒成立,即()()24f x tx f x +>-恒成立,即24x tx x +>-恒成立,即()2140x t x +-+>恒成立,所以()21440t ∆=--⨯<,解得35t -<<,即()3,5t ∈-.【变式1-2】已知()21212xxm m ⎛⎫- ⎪⎝⎭≤-对任意(],1x ∈-∞-恒成立,则实数m 的取值范围为_________.【答案】[]2,3-【解析】依题意,()21212xxm m ⎛⎫- ⎪⎝⎭≤-对任意(],1x ∈-∞-恒成立,可等价为221122x x m m ⎛⎫- ⎪⎝+⎭≤对任意(],1x ∈-∞-恒成立,即2in2m 1122x x m m ≤+⎡⎤⎛⎫-⎢⎥ ⎪⎝⎭⎢⎥⎣⎦,令[)12,2x t =∈+∞,()[)2211,2,24f t t t t t ⎛⎫∴=+=+-∈+∞ ⎪⎝⎭,()()2min 1122624f t f ⎛⎫∴==+-= ⎪⎝⎭,26m m ∴-≤,解得23m -≤≤,∴实数m 的取值范围为[]2,3-.【变式1-3】已知()()2log 124x xf x a =-⋅+,其中a 为常数(1)当()()102f f -=时,求a 的值;(2)当[1x ∈+∞,)时,关于x 的不等式()1f x x ≥-恒成立,试求a 的取值范围;【答案】(1)32a =;(2)2a ≤【解析】(1)()()102f f -=得()()222log 124log 11log 4a a -+-+=-⇒()()22log 52log 42a a -=-⇒352842a a a -=-⇒=;(2)()122log 1241log 2x x x a x --⋅+≥-=1111242222x x x x xa a -⇒-⋅+≥⇒≤+-,令2x t =,[)1[2x t ∈+∞∴∈+∞ ,,),设()112h t t t =+-,则()min a h t ≤, ()h t 在[2+∞,)上为增函数⇒2t =时,()112h t t t =+-有最小值为2,2a ∴≤.【变式1-4】已知函数()()4log 65x xf x m =+⋅.(1)当1m =-时,求()f x 的定义域;(2)若()2f x ≤对任意的[]0,1x ∈恒成立,求m 的取值范围.【答案】(1)()0,∞+;(2)(]1,2-【解析】(1)当1m =-时()()4log 65x xf x =-,令650x x ->,即65x x>,即615x⎛⎫> ⎪⎝⎭,解得0x >,所以()f x 的定义域为()0,∞+.(2)由()2f x ≤对任意的[]0,1x ∈恒成立,所以06516x x m <+⋅≤对任意的[]0,1x ∈恒成立,即6166555xxx m ⎛⎫⎛⎫-<≤- ⎪ ⎪⎝⎭⎝⎭对任意的[]0,1x ∈恒成立,因为165x y =是单调递减函数,65xy ⎛⎫=- ⎪⎝⎭是单调递减函数,所以()16655xx g x ⎛⎫=- ⎪⎝⎭在[]0,1上单调递减,所以()()min 12g x g ==,所以()65xh x ⎛⎫=- ⎪⎝⎭在[]0,1上单调递减,所以()()max 01h x h ==-,所以12m -< ,即m 的取值范围为(]1,2-.题型二单变量不等式能成立问题【例2】定义在[]3,3-上的奇函数()f x ,已知当[]3,0x ∈-时()143x xaf x =+(a R ∈).(1)求()f x 在(]0,3上的解析式;(2)若存在[]2,1x ∈--时,使不等式()1123xx m f x -≤-成立,求实数m 的取值范围.【答案】(1)()34x xf x =-;(2)5m ≥【解析】(1)根据题意,()f x 是定义在[]3,3-上的奇函数,则()010f a =+=,得1a =-.经检验满足题意:故1a =-;当[]3,0x ∈-时,()1114343x x x x a f x =+=-,当(]0,3x ∈时,[]3,0x -∈-,()114343---=-=-x x x xf x .又()f x 是奇函数,则()()34x x f x f x =--=-.综上,当(]0,3x ∈时,()34x xf x =-.(2)根据题意,若存在[]2,1x ∈--,使得()1123x x m f x -≤-成立,即11114323x x x x m --≤-在[]2,1x ∈--有解,即12243x x x m ≥+在[]2,1x ∈--有解.又由20x >,则12223xx m ⎛⎫≥+⋅ ⎪⎝⎭在[]2,1x ∈--有解.设()12223xx g x ⎛⎫=+⋅ ⎪⎝⎭,分析可得()g x 在[]2,1x ∈--上单调递减,又由[]2,1x ∈--时,()()11min 1212523g g x --⎛⎫=-=+⋅= ⎪⎝⎭,故5m ≥.即实数m 的取值范围是[)5,+∞.【变式2-1】已知函数()13f x -的定义域为1,14A ⎡⎤=⎢⎥⎣⎦.(1)求()f x 的定义域B ;(2)对于(1)中的集合B ,若x B ∃∈,使得21a x x >-+成立,求实数a 的取值范围.【答案】(1)12,4B ⎡⎤=-⎢⎥⎣⎦;(2)13,16⎛⎫+∞ ⎪⎝⎭【解析】(1)∵()13f x -的定义域为1,14A ⎡⎤=⎢⎥⎣⎦,∴114x ≤≤.∴12134x -≤-≤,则12,4B ⎡⎤=-⎢⎥⎣⎦.(2)令()21g x x x =-+,x B ∃∈,使得21a x x >-+成立,即a 大于()g x 在12,4⎡⎤-⎢⎥⎣⎦上的最小值.∵()21324g x x ⎛⎫=-+ ⎪⎝⎭,∴()g x 在12,4⎡⎤-⎢⎣⎦上的最小值为113416g ⎛⎫= ⎪⎝⎭,∴实数a 的取值范围是13,16⎛⎫+∞ ⎪⎝⎭.【变式2-2】已知函数()1422x x f x a +=-⋅+,其中[]0,3.x ∈(1)若()f x 的最小值为1,求a 的值;(2)若存在[]0,3x ∈,使()33f x ≥成立,求a 的取值范围.【答案】(1)5a =;(2)1a ≥【解析】(1)因为[]0,3x ∈,()()()22242224x x x f x a a =-⋅+=-+-,当22x =时,即当1x =时,函数()f x 取得最小值,即()()min 141f x f a ==-=,解得5a =.(2)令[]21,8xt =∈,则()24f x t t a =-+,由()33f x ≥可得2433a t t ≥-++,令()2433g t t t =-++,函数()g t 在[)1,2上单调递增,在(]2,8上单调递减,因为()136g =,()81g =,所以,()()min 81g t g ==,1a ∴≥.【变式2-3】已知函数()e e x xf x -=+.(1)当[0,)x ∈+∞时,试判断并证明其单调性.(2)若存在[ln 2,ln 3]x ∈-,使得(2)()30f x mf x -+≥成立,求实数m 的取值范围.【答案】(1)单调递增,证明见解析;;(2)109,30⎛⎤-∞⎥⎝⎦.【解析】(1)()e e x xf x -=+在[0,)+∞上单调递增,证明如下:12,[0,)x x ∀∈+∞,且12x x <,则()()()()()112221212211211221e e e e ee eeee e e e 1ex x x x x x x x x x x xx x x x f x f x +--+⎛⎫--=+-+=-+=- ⎝-⎪⎭,由120x x ≤<得:21e e 0x x->,12e 1x x +>,所以()()21f x f x >,即()f x 在[0,)+∞上的单调递增(2)由题设,[ln 2,ln 3]x ∃∈-使()()()()222(2)()3e e e e 3e e e e 10x x x x x x x x f x mf x m m -----+=+-++=+-++≥,又()()e e e e ()x x x x f x f x -----=++==,即()f x 是偶函数,结合(1)知:()f x 在[ln 2,0]-单调递减,在[0,ln 3]上单调递增,又510(ln 2)(ln 3)23f f -=<=,所以(0)()(ln 3)f f x f ≤≤,即102()3f x ≤≤,令e e x x t -=+,则102,3t ⎡⎤∃∈⎢⎥⎣⎦使210t mt -+≥,可得211t m t t t+≤=+,令1()g t t t =+在102,3t ⎡⎤∈⎢⎥⎣⎦单调递增,故max 10109()330g t g ⎛⎫==⎪⎝⎭;所以max ()m g t ≤,即109,30m ⎛⎤∈-∞ ⎥⎝⎦.【变式2-4】已知1≤x ≤27,函数33()log (3)log 227=⋅++xf x a x b (a >0)的最大值为4,最小值为0.(1)求a 、b 的值;(2)若不等式()(3)0t g t f kt =-≥在1,32t ⎡⎤∈⎢⎥⎣⎦上有解,求实数k 的取值范围.【答案】(1)1,2a b ==;(2)43⎛⎤-∞ ⎥⎝⎦,【解析】(1)()()()()3333log 3log 2log 1log 3227x f x a x b a x x b =⋅++=+-++()23log 142a x a b =+--+,由1≤x ≤27得[]3log 0,3t x =∈,()[]23log 10,4x -∈,又a >0,因此33()log (3)log 227=⋅++xf x a x b 的最大值为24+=b ,最小值为420a b -++=,解得1,2a b ==.(2)()()23log 1f x x =-,()()()2310tg t f kt t kt =-=--≥又1,32t ⎡⎤∈⎢⎥⎣⎦,()2112t k t t t-≤=+-,而1()2h t t t =+-在1,12⎡⎤⎢⎥⎣⎦上单调递减,在(]1,3上单调递增.由不等式()()30tg t f kt =-≥在1,32t ⎡⎤∈⎢⎥⎣⎦上有解,得:max 12k t t ⎛⎫≤+- ⎪⎝⎭43=.因此,k 的取值范围是43⎛⎤∞ ⎥⎝⎦-,.题型三任意-任意型不等式成立问题【例3】已知()()()21ln 12xf x xg x m ⎛⎫=+=- ⎪⎝⎭,,若对任意[]10,3x ∈,[]21,2x ∈,使得()()12f x g x ≥,则实数m的取值范围是()A .14⎡⎫+∞⎪⎢⎣⎭B .14⎛⎥-∞⎤ ⎝⎦,C .12⎡⎫+∞⎪⎢⎣⎭,D .12⎛⎤-∞- ⎥⎝⎦,【答案】C【解析】易知()2(ln 1)f x x =+在[0,3]上单调递增,()()min 00f x f ==,()1()2xg x m =-在[1,2]上单调递减,()()max 112g x g m ==-,对任意[]10,3x ∈,[]21,2x ∈,使得()()12f x g x ≥,则()()min max f x g x ≥102m -≤,即12m ≥.故选:C.【变式3-1】已知定义在区间[0,2]上的两个函数()f x 和()g x ,其中2()24(1)f x x ax a =-+≥,2()1x g x x =+.(1)求函数()y f x =的最小值()m a ;(2)若对任意12,[0,2]x x ∈,21()()f x g x >恒成立,求a 的取值范围.【答案】(1)24,12()84,2a a m a a a ⎧-≤<=⎨-≥⎩;(2)13a ≤<【解析】(1)由()()222244f x x ax x a a =-+=-+-,则二次函数的对称轴为x a =,则当12a ≤<时,()f x 在[)0,a 上单调递减,在(],2a 上单调递增,所以()()()2min 4m a f x f a a ===-;当2a ≥时,()f x 在[0,2]上单调递减,()()()min 284m a f x f a ===-,所以()24,1284,2a a m a a a ⎧-≤<=⎨-≥⎩;(2)()()1121g x x x =++-+,当[0,2]x ∈时,[]11,3x +∈,又()g x 在区间[0,2]上单调递增,所以()40,3g x ⎡⎤∈⎢⎥⎣⎦.若对任意12,[0,2]x x ∈,()()21f x g x >恒成立则()()21minmax f x g x >,故212443a a ≤<⎧⎪⎨->⎪⎩或24843a a ≥⎧⎪⎨->⎪⎩解得:13a ≤<.【变式3-2】已知函数()2x f x =,31()log 1xg x x-=+.(1)求()21log 20202f g ⎛⎫+- ⎪⎝⎭的值;(2)试求出函数()g x 的定义域,并判断该函数的单调性与奇偶性;(判断函数的单调性不必给出证明.)(3)若函数()(2)3()F x f x f x =-,且对[]10,1x ∀∈,211,22x ⎡⎤∀∈-⎢⎥⎣⎦,都有()()12F x g x m >+成立,求实数m 的取值范围.【答案】(1)2021;(2)定义域为()1,1-,函数()g x 在()1,1-上为减函数;奇函数;(3)13,4⎛⎫-∞- ⎪⎝⎭.【解析】(1)()2log 2020231log 20202log 320212f g ⎛⎫+-=+= ⎪⎝⎭;(2)由101x x ->+有11x -<<,∴函数()g x 的定义域为()1,1-.∵3312()log log 111x g x x x -⎛⎫==-+ ⎪++⎝⎭,∴函数()g x 在()1,1-上为减函数;31()log ()1xg x g x x+-==--,且定义域关于原点对称,∴函数()g x 为奇函数;(3)∵对[]10,1x ∀∈,211,22x ⎡⎤∀∈-⎢⎥⎣⎦,都有()()12F x g x m >+恒成立,∴min max ()()F x g x m >+,由(2)知()g x 在11,22⎡⎤-⎢⎥⎣⎦上为减函数,∴max 1()12g x g ⎛⎫=-= ⎪⎝⎭,∵2()(2)3()232x x F x f x f x =-=-⋅,令2x t =,则23y t t =-,当[]0,1x ∈时,12t ≤≤,∴当32t =即223log log 312x ==-时,min 9()4F x =-,∴914m ->+,即134m <-,∴m 的取值范围为13,4⎛⎫-∞- ⎪⎝⎭.【变式3-3】已知函数()()2,f x x bx c b c =++∈R ,且()0f x ≤的解集为[]1,2-.(1)求函数()f x 的解析式;(2)设()()312f x xg x +-=,若对于任意的1x 、[]22,1x ∈-都有()()12g x g x M -≤,求M 的最小值.【答案】(1)()22f x x x =--;(2)M 的最小值为1516.【解析】(1)因为()0f x ≤的解集为[]1,2-,所以20x bx c ++=的根为1-、2,由韦达定理可得1212b c -+=-⎧⎨-⨯=⎩,即1b =-,2c =-,所以()22f x x x =--.(2)由(1)可得()()2312322f x x xx g x +-+-==,当[]2,1x ∈-时,()[]2223144,0x x x +-=+-∈-,故当[]2,1x ∈-时,()22112,116xx g x +-⎡⎤∈⎢⎣=⎥⎦,因为对于任意的1x 、[]22,1x ∈-都有()()12g x g x M -≤,即求()()12max g x g x M -≤,转化为()()max min g x g x M -≤,而()max 1g x =,()min 116g x =,所以,()()max min 11511616M g x g x ≥-=-=.所以M 的最小值为1516.题型四任意-存在型不等式成立问题【例4】已知函数()9f x x x=+和函数()g x x a =--,若对任意的[]124x ∈,,总存在[]201x ∈,,使得()()21g x f x <成立,则实数a 的取值范围是__________.【答案】7a >-【解析】对任意的[]124x ∈,,总存在[]201x ∈,,使得()()21g x f x <,即()()min min g x f x <,因对勾函数()9f x x x=+在[]23,上递减,在[]34,上递增,故当[]124x ∈,时,()()min 36f x f ==,函数()g x x a =--在[]01,上递减,所以()()min 11g x g a ==--,由()()min min g x f x <得16a --<,即7a >-.【变式4-1】已知()f x 是定义在[]22-,上的奇函数,当(]0,2x ∈时,()21x f x =-,函数()22.g x x x m =-+如果对于任意的[]12,2x ∈-,总存在[]22,2x ∈-,使得()()21g x f x ≥,则实数m 的取值范围是__________.【答案】[)5,-+∞【解析】若对于[]12,2x ∀∈-,[]22,2x ∃∈-,使得()()21g x f x ≥,则等价为()()max max g f x x ≥()f x 是定义在[]22-,上的奇函数,()00f ∴=,当(]0,2x ∈时,()(]210,3xf x =-∈,则当[]2,2x ∈-时,()[]3,3f x ∈-,()222(1)1g x x x m x m =-+=-+- ,[]2,2x ∈-,()max ()28g x g m ∴=-=+,则满足83m +≥,解得5m ≥-.【变式4-2】已知函数)()log 1xa f x a bx =+-(a >0且1,R ab ≠∈)是偶函数,函数()x g x a =(a >0且1a ≠).(1)求实数b 的值;(2)当a =2时,若1(1,)∀∈+x ∞,2R ∃∈x ,使得()()()112220g x mg x f x +->恒成立,求实数m 的取值范围.【答案】(1)12b =;(2)32m ≥-.【解析】(1)由题设,()()f x f x -=,即()()log 1log 1x x a a a bx a bx -++=+-,所以log (1)(1)log (1)x x a a a b x a bx ++-=+-,则1b b -=-,可得12b =.(2)由(1)及a =2知:2()log (21)2xx f x =+-,()2x g x =,所以12122log ()2144x x x x m +⋅->+在1(1,)∀∈+x ∞,2R ∃∈x 上恒成立,令42x x y m +⋅=且(1,)x ∈+∞,2log (41)x t x =+-且R x ∈,只需min y t >恒成立,而21log (2)2xxt =+,由20xm =>在R x ∈上递增,1n m m =+在(0,1)m ∈上递减,(1,)m ∈+∞上递增,2log t n =在定义域上递增,所以t 在(,0)-∞上递减,(0,)+∞上递增,故min 0|1x t t ===,综上,4210x x m +⋅->在(1,)x ∈+∞上恒成立,令2(2,)x k =∈+∞,则210k mk ->+在(2,)+∞上恒成立,而240m ∆=+>,故2{2230mm -≤+≥,可得32m ≥-.【变式4-3】已知函数2(1)()()x x a f x x ++=为偶函数.(1)求实数a 的值;(2)判断()f x 的单调性,并用定义法证明你的判断:(3)设()52g x kx k =+-,若对任意的1x ∈,总存在2[0,1]x ∈,使得()()12f x g x ≤成立,求实数k 的取值范围.【答案】(1)1-;(2)()f x 在(0,)+∞上单调递增,在(,0)-∞上单调递减,证明见解析;(3)9(,2-∞【解析】(1)()f x 为偶函数,定义域为(,0)(0,)-∞+∞ ,故()()f x f x -=对定义域内x 恒成立,22(1)()(1)()x x a x x a x x ++-+-+=,即2(1)0a x +=对定义域内x 恒成立,故1a =-;(2)22211()1x f x x x-==-,在(0,)+∞上单调递增,在(,0)-∞上单调递减,证明:设120x x <<,21212122221212()()11()()0x x x x f x f x x x x x -+-=-=>,故()f x 在(0,)+∞上单调递增,同理可证()f x 在(,0)-∞上单调递减;(3)由题意得()()12max max f x g x ≤,而()1max 12f x f ==,①0k ≥时,()2max (1)5g x g k ==-,152k -≥,解得902k ≤≤,②0k <时,()2max (0)52g x g k ==-,1522k -≥,故0k <时恒满足题意,综上,k 的取值范围是9(,]2-∞.题型五存在-存在型不等式成立问题【例5】已知函数()212=+f x x x ,()()ln 1=+-g x x a ,若存在1x ,[]20,2∈x ,使得()()12>f x g x ,则实数a 的取值范围是.【答案】a >-4【解析】问题可转化为f (x )max >g (x )min ,易得f (x )max =4,g (x )min =-a ,由f (x )ma x >g (x )min 得:4>-a ,故a >-4即为所求.【变式5-1】已知函数()11f x x =+,()1g x x =-,若1x ∃,[]2,1x a a ∈+,使得()()12f x g x >成立,求正实..数.a 的取值范围.【答案】【解析】存在1x ,2[x a ∈,1]a +,使得()()12f x g x >成立,等价为在[a ,1]a +上,()()max min f x g x >.由()1g x x =-在[a ,1]a +递增,可得()g x 的最小值为()1g a a =-,又0a >,所以()f x 在[a ,1]a +递减,可得()f x 的最大值为1()1f a a =+,由111a a >-+,解得a <<0a <;综上可得,a的范围是.【变式5-2】已知()2f x x x=+,()g x x a =-+,对于[]11,3x ∃∈,[]21,3x ∃∈,()()12f x g x ≥成立.【答案】20,3⎛⎤-∞ ⎥⎝⎦【解析】因为对于[]11,3x ∃∈,[]21,3x ∃∈,()()12f x g x ≥成立故当1x ,[]213x ∈,时,()()12max min f x g x ,因为()2f x x x=+在⎡⎣递减,⎤⎦递增,且()13f =,()2113333f =+=,故()()max 1133f x f ==,而()g x x a =-+在[]13,递减,故()()min 33g x g a ==-所以1133a - ,解得203a ,即a 的取值范围是20,3⎛⎤-∞ ⎥⎝⎦.【变式5-3】已知函数()222x x f x m m -=+⨯+是R 上的偶函数,()2g x a x m =--.(1)求m 的值;(2)若存在1x ,2[1x ∈,4],使得12()()f x g x 成立,求a 的取值范围.【答案】(1)1;(2)92a .【解析】(1)因为()222x x f x m m -=+⨯+是R 上的偶函数,所以()()f x f x -=,即222222x x x x m m m m --+⨯+=+⨯+,即(1)(22)0x x m ---=,解得1m =,故()222x xf x -=++;(2)由(1)可得2,2()2{2,2x a x g x a x x a x -++=--=+-< ,因为2,2(){2,2x a x g x x a x -++=+-< ,所以()g x 在[1,2]上是增函数,在[2,4]上是减函数,所以()max g x g =(2)a =,设2x t =,[1x ∈,4],可得[2t ∈,16],则12y t t=++在[2,16]递增,可得2t =时,f (2)取得最小值92,存在1x ,2[1x ∈,4],使得12()()f x g x 成立,可得()()min max f x g x ,即为92a .题型六任意-存在型等式成立问题【例6】已知函数1()423x x f x +=--,2()42(1)g x x mx m m =--≥,若对于任意1[0,1]x ∈,总存在2[0,1]x ∈,使得()()12f x g x =成立,则实数m 的取值范围为()A .3,22⎡⎫⎪⎢⎣⎭B .3,2⎡⎫+∞⎪⎢⎣⎭C .[1,2)D .31,2⎡⎤⎢⎥⎣⎦【答案】D【解析】定义1()423x x f x +=--,[0,1]x ∈,值域为A ;令2x t =,[1,2]t ∈,则1()423x x f x +=--可化为()222314y t t t =--=--在[1,2]t ∈上单增,所以()2max 2143y =--=-,()2min 1144y =--=-,即集合[]4,3A =--.定义2()42(1)g x x mx m m =--≥,[0,1]x ∈,值域为B ;因为对称轴22x m =≥,所以2()42g x x mx m =--在[0,1]x ∈上单调递减,所以max max ()(0)2,()(1)16g x g m g x g m ==-==-,即集合[]16,2B m m =--因为对于任意1[0,1]x ∈,总存在2[0,1]x ∈,使得()()12f x g x =成立,所以A B ⊆.只需162164231m m m m m -<-⎧⎪-≤-⎪⎨-≥-⎪⎪≥⎩解得:1456321m m m m ⎧>⎪⎪⎪≥⎪⎨⎪≤⎪⎪⎪≥⎩,即312m ≤≤。
高一数学不等式恒成立、能成立、恰成立问题一、不等式恒成立问题的处理方法1、转换求函数的最值:(参变分离)(1)若不等式()A x f >在区间D 上恒成立,则等价于在区间D 上()min f x A >,⇔()f x 的下界大于A(2)若不等式()B x f <在区间D 上恒成立,则等价于在区间D 上()max f x B <,()f x 的上界小于A1..当(1,2)x ∈时,不等式240x mx ++<恒成立,则m 的取值范围是.2.设2)(2+-=ax x x f ,当[]+∞∈,0x 时,都有a x f ≥)(恒成立,求a 的取值范围。
3..已知(],1x ∈-∞时,不等式()21240xxa a++-⋅>恒成立,求a 的取值范围。
4.设函数f (x )=mx 2-mx -1(m ≠0),若对于x ∈[1,3],f (x )<-m +5恒成立,求m 的取值范围.5.若不等式x 2+ax -2>0在区间[1,5]上有解,则a 的取值范围是()-235,+ B.-235,1C .(1,+∞)∞,-2356、已知(),22xax x x f ++=对任意[)()0,,1≥+∞∈x f x 恒成立,试求实数a 的取值范围?2、主参换位法1、若不等式a 10x -<对[]1,2x ∈恒成立,求实数a 的取值范围?2.对任意]1,1[-∈a ,不等式024)4(2>-+-+a x a x 恒成立,求x 的取值范围。
3.若不等式()2211x m x ->-对满足2m ≤的所有m 都成立,求x 的取值范围。
3、数形结合1、当)2,1(∈x 时,不等式2(1)x -<log a x 恒成立,求a 的取值范围。
2.若不等式2(1)(1)3(1)0m x m x m +--+-<对任意实数x 恒成立,求实数m 取值范围?3.已知函数|54|)(2--=x x x f ,若在区间]5,1[-上,k kx y 3+=的图象位于函数f (x )的上方,求k 的取值范围.4.已知函数|54|)(2--=x x x f ,若在区间]5,1[-上,2)3(+=x k y 的图象位于函数f (x )的上方,求k 的取值范围5..当21,0(∈x 时,不等式x x a log 2<恒成立,求a 的取值范围.6.对于任意实数x ,不等式a x x <--+21恒成立,求实数a 的取值范围.7.若对任意x R ∈,不等式||x ax ≥恒成立,则实数a 的取值范围是()(A)1a <-(B)||1a ≤(C)||1a <(D )1a ≥用数形结合解有解问题2、若函数a x a x f x --=)((0>a 且1≠a )有两个零点,则实数a 的取值范围是4.已知定义在R 上的奇函数)(x f ,满足(4)()f x f x -=-,且在区间[0,2]上是增函数,若方程)0()(>=m m x f 在区间[]8,8-上有四个不同的根1234,,,x x x x ,则1234_________.x x x x +++=5.函数⎪⎪⎩⎪⎪⎨⎧>+-≤<=10,621100|,lg |)(x x x x x f ,若c b a ,,互不相等,且)()()(c f b f a f ==,则abc 的取值范围是_______6.函数2)(--=x e x f x 有______个零点7.方程xx 3|)4(log |2=+的实根个数为__________个.8.若m x f x -=--12)(有零点,则实数m 的取值范围是_______9.函数f (x )=2x |log 0.5x |-1的零点个数为()A .1B .2C .3D .410.已知函数f (x )-|x |,x ≤2,-2)2,x >2,函数g (x )=3-f (2-x ),则函数y =f (x )-g (x )的零点个数为()A .2B .3C .4D .511.若定义在R 上的偶函数f (x )满足f (x +2)=f (x ),且当x ∈[0,1]时,f (x )=x ,则函数y =f (x )-log 3|x |的零点个数是________.12.若定义在R 上的函数f (x )满足f (x +2)=f (x ),且x ∈[-1,1]时,f (x )=1-x 2,函数g (x )x ,x >0,,x =0,-1x,x <0,则方程f (x )-g (x )=0在区间[-5,5]上的解的个数为()A .5B .7C .8D .1013.已知方程|x 2-a |-x +2=0(a >0)有两个不等的实数根,则实数a 的取值范围是()A .(0,4)B .(4,+∞)C .(0,2)D .(2,+∞)14.已知x ∈R ,符号[x ]表示不超过x 的最大整数,若函数f (x )=[x ]x-a (x ≠0)有且仅有3个零点,则a 的取值范围是()A ,45∪43,B .34,45∪43,32C ,23∪54,D .12,23∪54,3215.f (x )是R 上的偶函数,f (x +2)=f (x ),当0≤x ≤1时,f (x )=x 2,则函数y =f (x )-|log 5x |的零点个数为()A .4B .5C .8D .1016.已知函数y =f (x )(x ∈R )满足f (-x +2)=f (-x ),当x ∈[-1,1]时,f (x )=|x |,则y =f (x )与y =log 7x 的交点的个数为________.17.已知函数f (x )2+5x +4|,x ≤0,x -2|,x >0.若函数y =f (x )-a |x |恰有4个零点,则实数a 的取值范围为________.三角函数例1.函数()sin(2)3f x x π=-.(1)求函数()f x 的周期;(2)求函数()f x 的值域,最值及相应的x 值;(3)求函数()f x 的单调区间;(4)求函数()f x 在3[,)2ππ-上的增区间;(5)当[0,]2x π∈时,求函数()f x 的取值范围;(6)求函数()f x 的图象的对称中心、对称轴;(7)描述由正弦曲线得到函数()f x 的图象的过程;(8)若将()f x 的图象向左或右平移ϕ个单位得到正弦曲线,当||ϕ最小时,求tan ϕ;(9)作出函数()f x 在7[0,6π上的图象。
(不)等式的恒成立,能成立,恰成立等问题一.知识点:1.恒成立问题不等式(),f x A x D >∈恒成立⇔()min ,f x A x D >∈不等式(),f x B x D <∈恒成立⇔()max ,f x B x D <∈.2. 能成立问题(),x D f x A ∃∈>使⇔()max ,f x A x D >∈.(即()A x f >在区间D 上能成立) (),x D f x B ∃∈<使⇔,()min ,f x B x D <∈.(即()B x f <在区间D 上能成立) (),x D f x m ∃∈=使⇔m N ∈,N 为函数(),y f x x D =∈的值域.(即()f x m =在区间D 上能成立)3. 恰成立问题若不等式()A x f >在区间D 上恰成立⇔不等式()A x f >的解集为D . 若不等式()B x f <在区间D 上恰成立⇔不等式()B x f <的解集为D ,二.题型(一).不等式恒成立问题的处理方法1.转换求函数的最值:例1.(2000年,上海卷)已知()[)220,1,x x a f x x x++=≥∈+∞恒成立,试求实数a 的取值范围;【分析及解】本题是一个恒成立问题。
解法一:分类讨论求函数()f x 的最小值。
当0a >时用对勾函数,当0a <时利用函数的单调性。
解法二:()022≥++=xa x x x f 对任意[)+∞∈,1x 恒成立 等价于()022≥++=a x x x ϕ对任意[)+∞∈,1x 恒成立,又等价于1≥x 时,()x ϕ的最小值0≥成立.由于()()112-++=a x x ϕ在[)+∞,1上为增函数, 则()()31min +==a x ϕϕ,所以 3,03-≥≥+a a . 2.主参换位法例2.若对于任意1a ≤,不等式()24420x a x a +-+->恒成立,求实数x 的取值范围解析:()(),13,x ∈-∞+∞ 3.分离参数法(1) 将参数与变量分离,即化为()()g t f x ≥(或()()g t f x ≤)恒成立的形式;(2) 求()f x 在x D ∈上的最大(或最小)值;(3) 解不等式()()max g t f x ≥ (或()()min g t f x ≤) ,得t 的取值范围.适用题型:(1) 参数与变量能分离;(2) 函数的最值易求出.例3.当()1,2x ∈时,不等式240x mx ++<恒成立,求m 的取值范围 .解析: 当(1,2)x ∈时,由240x mx ++<得24x m x +<-.令244()x f x x x x +==+,则易知()f x 在(1,2)上是减函数,所以[1,2]x ∈时()(1)5max f x f ==,则2min 4()5x x +->-∴5m ≤-.4.数形结合例4 .若对任意x R ∈,不等式x ax ≥恒成立,求实数a 的取值范围. 解析:对∀x R ∈,不等式||x ax ≥恒成立则由一次函数性质及图像知11a -≤≤,即11a -≤≤.例5.当()1,2x ∈时,不等式()21log a x x -<恒成立,求a 的取值范围. 解:1<a ≤2.二.(不)等式能成立问题的处理方法1.转换求函数的最值:例1 若关于x 的不等式23x ax a --≤-的解集不是空集,求实数a 的取值范围.解析:是不等式能成立的问题. 设()a ax x x f --=2.则关于x 的不等式32-≤--a ax x 的解集不是空集()3-≤⇔x f 在()+∞∞-,上能成立()3min -≤⇔x f ,即(),3442min -≤+-=a a x f 解得6a ≤-或2a ≥2.分离参数法求值域例 若关于x 的二次方程()2110x m x +-+=在区间[]0,2上有解,求实数m 的取值范围.解析:解法一:利用根的分布来做.解法二:分离参数法axy x由题意知0x ≠,所以原题等价于()(]2110,0,2x m x x +-+=∈有解,即(]11,0,2m x x x-=+∈有解, 而()(]1,0,2x x x xϕ=+∈的值域是[)2,+∞,所以[)12,m -∈+∞ 解得1m ≤-.三.不等式恰成立问题的处理方法()0f x >在区间[],a b 上恰成立,1. ()21f x ax bx =++恰在区间11,3⎛⎫- ⎪⎝⎭上为正,求,a b解:3,2a b =-=- .2.已知函数()()()lg ,10x x f x a b a b =->>>,是否存在实数,a b ,使得()f x 恰在()1,+∞上取正值,且()3lg 4?f =若存在,求出,a b 的值,若不存在,说明理由.解:假设存在这样的实数,a b .∵()f x 恰在()1,+∞上取正值∴()0f x >的解集是()1,+∞又因为()()lg x x f x a b =-在()0,+∞上单调递增,所以()10f =. 由()()103lg 4f f =⎧⎪⎨=⎪⎩可得331410a b a b a b -=⎧⎪-=⎨⎪>>>⎩,解得12a b ⎧=⎪⎪⎨⎪=⎪⎩ ?※3. (2000年,上海卷) 已知(),22xa x x x f ++=当[)()x f x ,,1+∞∈的值域是[)+∞,0,试求实数a 的值.【分析及解】是一个恰成立问题,?这相当于()022≥++=xa x x x f 的解集是[)+∞∈,1x . 当0≥a 时,由于1≥x 时,()3222≥++=++=xa x x a x x x f ,与其值域是[)+∞,0矛盾, 当0<a 时, ()222++=++=xa x x a x x x f 是[)+∞,1上的增函数. 所以,()x f 的最小值为()1f ,令()01=f ,即.3,021-==++a a解析:当0<a 时函数单调才会是恰成立问题. 练一练:1.已知f (x )=m (x -2m )·(x +m +3),g (x )=2x -2.若∀x ∈R ,f (x )<0与g (x )<0二者至少一个成立,则m 的取值范围是__(-4,0)________.解析:易知1x <时()0g x <,故只需1x ≥时()0f x <即可. 显然0m ≥不满足条件;当0m <时,对称轴302m x -=<,故只需(1)0f <,解得40m -<<. 2.(2005年春,北京理) 若关于x 的不等式02>--a ax x 的解集为),(+∞-∞,则实数a 的取值范围是 ;若关于x 的不等式32-≤--a ax x 的解集不是空集,则实数a 的取值范围是 .【分析及解】第一个填空是不等式恒成立的问题. 设()a ax x x f --=2.则关于x 的不等式02>--a ax x 的解集为),(+∞-∞ ()0>⇔x f 在()+∞∞-,上恒成立()0min >⇔x f ,即(),0442min >+-=a a x f 解得04<<-a 第二个填空是不等式能成立的问题. 设()a ax x x f --=2.则 关于x 的不等式32-≤--a ax x 的解集不是空集 ()3-≤⇔x f 在()+∞∞-,上能成立()3min -≤⇔x f ,即(),3442min -≤+-=a a x f 解得6-≤x 或2≥x .。
第四节恒成立与能成立问题与“对x ∀,命题()P x 成立”有关的问题叫做恒成立问题;与“x ∃,命题()P x 成立”有关的问题叫做能成立问题,又称存在性问题.为了掌握这两种问题,先要熟悉它们的不同说法.与“恒成立 ”有关的说法:“的图象总在的图象的上方” “无论取何值时都成立”,“对x ∀,成立”,“的解集为”,“的解集为空集”,等等.与“能成立 ”有关的说法: “存在使成立”,“有解”,“的解集不为空集”,“有意义”,等等.说明:不等式有()()f x g x >、()()f x g x ≥、()()f x g x <、()()f x g x ≤四种情形,下面主要以()()f x g x >情形分析.一、不等式中的恒成立问题与能成立问题分析“恒成立问题”与“能成立问题”,首先以下面三个思维模型为依据.1.思维模型一:的几何意义为的图象在的图象的上方.特别地,()0f x >的几何意义为的图象在x 轴的上方.比如2210ax ax -+>恒成立,则221y ax ax =-+的图象在0y =(x 轴)的上方.2.思维模型二:若()()g a f x >恒成立,则min max ()()g a f x >,这是在()f x 的最大值存在时的结论,如果()f x 没有最大值只有最大极限值M (即()f x M <),则min ()g a M ≥.这里设()g a 为仅含变量a 的代数式,()f x 为仅含变量x 的代数式,下同.用比喻的方法掌握这个结论效果较好:某人身高比我们班的学生都高,那么他比我们班最高的学生高.或者,某班学生的身高比我们班学生都高,那么该班最矮的学生比我们班最高的学生高.在这里,有一个说法与此说法容易混淆,要通过比较把它们区别开来(设()f x 、()g a 有最值):这个结论在数列中也常用,即数列{}n a 与{}n a 中,若m n b a ≥恒成立,则m b 的最小值n a ≥的最大值;若m n a a ≥恒成立,则n a 的最大值为m a .3.思维模型三:若()()g a f x >能成立,则max min ()()g a f x >,这是在()f x 的最小值()()f x g x >()f x ()g x x ()()f x g x >()()f x g x >()()f x g x >R ()()f x g x ≤()()f x g x >x ()()f x g x >()()f x g x >()()f x g x >()()f x g x >()()f x g x >()f x ()g x ()f x存在时的结论,如果()f x 没有最小值只有最小极限值M (即()f x M >),一样有max ()g a M >.比喻:某班存在学生的身高比我们班学生高,那么该班最高的学生比我们班最矮的学生高.注意:比较复杂的恒成立与能成立问题的题目一般以下面四种形式出现(这是()f x 、()g a 有最值时的情形,没有最值时需酌情加等号).常见问题如下:(一)无限制条件下的恒成立问题1.一次不等式恒成立一次不等式()0f x kx b =+>恒成立,则00k b =⎧⎨>⎩. 2.二次不等式恒成立.其他恒成立的思维方法依此类推.3.思维模型二的特殊情况恒成立max ()a f x >;恒成立min ()a f x <.这是在()f x 的最值存在时的结论,如果没有最值则加等号,即()()(,)a f x a N f x M N >⎫⇒≥⎬∈⎭恒成立;()()(,)a f x a M f x M N <⎫⇒≤⎬∈⎭恒成立. (二)有条件限制下的恒成立问题形如“()0f x >在区间上[,]m n 恒成立”称为有条件限制下的恒成立.其中,条件“()0f x >”可变为“”;“在上”可变为“在、、、、、、上”等.1.一次不等式在某区间上的恒成立(注意等号)00a >⎧⎨∆<⎩()a f x >⇒()a f x <⇒0,0,0≥<≤[,]m n (,)n -∞(,]n -∞(,)m +∞[,)m +∞(,)m n [,)m n (,]m n在(,]m n 上恒成立()0()0f m f n ≥⎧⇒⎨>⎩;在(,]m n 上恒成立. 其他条件下的依此类推,一般来说,不等式有等号,区间无论有不有等号,结论中的不等式都有等号;不等式没有等号,区间有等号,结论中对应的不等式则没有等号,区间没有等号,结论中对应的不等式则有等号.2.二次不等式在某区间上恒成立若二次不等式()在上恒成立,则或或. 3.形如“在区间上恒成立”型在区间上恒成立,且()f x 在区间上的最大值M ,则a M >;如果()f x 在区间上没有最大值只有最大极限值M ,则a M ≥.在区间上恒成立,且()f x 在区间上的最小值M ,则a M <;如果()f x 在区间上没有最小值只有最小极限值M ,则a M ≤.4.形如“对任意12,x x D ∈有12()()a f x f x >-恒成立”型函数()f x 定义在区间D 上且在区间D 上有最大值和最小值,若对任意12,x x D ∈有12()()a f x f x >-恒成立,则max min ()()a f x f x >-;若对任意12,x x D ∈有12()()a f x f x <-恒成立,则0a <.(三)能成立问题1.形如“型”的能成立能成立min ()a f x >;如果()f x 没有最小值只有最小极限值M ,则a M >.能成立max ()a f x <;如果()f x 没有最大值只有最大极限值M ,则()0f x ax b =+>()0f x ax b =+≥⇒()0()0f m f n ≥⎧⎨≥⎩2()0f x ax bx c =++>0a ≠[,]m n 02()0a b m a f m >⎧⎪⎪-≤⎨⎪>⎪⎩02()0(0)2a b m n a b f a ⎧⎪>⎪⎪<-<⎨⎪⎪->∆<⎪⎩或02()a b af n >⎧⎪⎪-≥⎨⎪>⎪⎩()a f x >()a f x >D D D ()a f x <D D D ()a f x >()a f x >⇒()a f x <⇒a M <.2. 形如“对任意x ,存在a 使不等式成立”型对任意x ,存在a 使()()g a f x >成立 m m ()()ax ax g a f x >;如果()f x 没有最大值只有最大极限值M ,则max ()g a M ≥.对任意x ,存在a 使()()g a f x <成立 min min ()()g a f x <;如果()f x 没有最小值只有最小极限值M ,则min ()g a M ≤.3. 形如“存在12,x x D ∈使12()()a f x f x >-成立”型函数()f x 定义在区间D 上且在区间D 上有最大值和最小值,若存在12,x x D ∈使12()()a f x f x >-成立,则0a >;若存在12,x x D ∈使12()()a f x f x <-成立,则max min ()()a f x f x <-.二、等式中的恒成立与能成立问题1. 等式中的恒成立问题等式中的恒成立问题即恒等式问题,可参见第四章“多项式的恒等”所述;比如,对任意x 若21a x =-恒成立,则a =∅;又如,对任意x 若2sin 1a k x =-恒成立,则10a k =-⎧⎨=⎩. 2. 等式中的能成立问题设A 、B 分别是()g a 与()f x 的值域,则(1)若()a f x =能成立,则a B ∈.(2)对任意x ,存在a ,使()()g a f x =成立 B A ⊆.(3)存在x ,存在a ,使()()g a f x =成立 A B ≠∅I .(4)函数()f x 定义在连续区间D 上,且在区间D 上有最大值和最小值,若存在12,x x D ∈使12()()a f x f x =-成立,则m min [0,()()]ax a f x f x ∈-.⇒⇒⇒⇒。
例谈不等式恒成立问题和能成立问题的解题策略——谈2008年江苏高考数学试卷第14题摘要:所有问题均可分成三类:恒成立问题、能成立问题和不成立问题。
《例谈不等式恒成立问题和能成立问题》介绍了解决不等式恒成立问题和不等式能成立问题常用的直接法、分离参数法、分类讨论法、数形结合法等,采用了等价转化的处理策略。
关键词:分离参数、分类讨论、数形结合、等价转化,换元,求最值。
2008年江苏高考数学试卷第14题是一道很好的恒成立问题:设函数3()31()f x ax x x R =-+∈若对于任意[]1,1x ∈-都有()0f x ≥成立,则实数a 的值为 。
解析如下:析:将()0f x ≥中的,a x 分离,然后求函数的最值。
解:函数3()31()f x ax x x R =-+∈若对于任意[]1,1x ∈-都有()0f x ≥成立,函数3()31()f x ax x x R =-+∈对于任意[)(]1,0,0,10x x x ∈-∈=及其有()0f x ≥都成立。
若[)1,0x ∈-,33213()310f x ax x a x x =-+≥⇔≤-+,设1t x =则1t ≤- 3232133(1)t t t x x∴-+=-+≤-,令323(1)y t t t =-+≤-,则'2360y t t =-+< 323(1)y t t t ∴=-+≤-单调递减,32min 1(1)3(1)4t y y =-==--+-=,4a ∴≤(1)若(]0,1x ∈,33213()310f x ax x a x x =-+≥⇔≥-+,设1t x =,则1t ≥ 3232133(1)t t t x x∴-+=-+≥,令323(1)y t t t =-+≥,则'2363(2)y t t t t =-+=--,当12t ≤≤时'0y ≥,323(1)y t t t =-+≥单调递增;当2t >时'0y <,323(1)y t t t =-+≥单调递减,32max 22324t y y ===-+⨯=,4a ∴≥(2)若0x =则a R ∈,()0f x ≥成立(3)由题意知(1)(2)(3)应同时成立4a ∴=解题中采取了不等式恒成立问题的处理策略:1、若f(x)≥a 对x ∈D 恒成立,只须f(x)min (x ∈D)≥a 即可。
2、若f(x)≤a 对x ∈D 恒成立,只须f(x)max (x ∈D)≤a 即可。
该题在考查学生基础知识的同时,注意考查了考生的分类讨论的思想、换元的思想等,是一道突出理性思维、考查学生潜能及数学素养的题目。
2000年上海高考数学试卷也考了一道不等式恒成立的题目,解析如下已知函数f(x)=xa x x ++22,x ∈),1[+∞. (1)当a=21时,求函数f(x)的最小值;(2) 若对任意的x ∈),1[+∞,0)(>x f 恒成立,试求a 的取值范围。
析:由于x ∈),1[+∞,0)(>x f 220x x a ⇔++>化繁为简。
解:(1)当21=a 时,221)(++=xx x f ,)(x f 在区间[),1+∞上为增函数, )(x f ∴在区间[),1+∞上的最小值为27)1(=f (2)在区间[),1+∞上,02)(2>++=xa x x x f 恒成立022>++⇔a x x 恒成立,设),1[,22+∞∈++=x a x x y ,1)1(222-++=++=a x a x x y 递增,∴当1=x 时,a y +=3min ,于是当且仅当03min >+=a y 时,函数0)(>x f 恒成立,故3->a本题着重考查了函数思想和等价转化的思想。
通过对前面的两个高考题的分析我们可以得出结论:解不等式恒成立问题,首先要构建函数模型,然后求这个函数的最值,最后采取不等式恒成立问题的处理策略进行求解。
等价转化是思想,构建函数模型是手段,求函数的最值是关键。
下面就不等式恒成立问题谈几种解决方法,以期对读者有所启迪。
一、直接法例1.已知0,0x y >>,且211x y+=,若222x y m m +>+恒成立,则实数m 的取值范围是 .析:本题可利用不等式求最值解: 2142(2)()4()8y x x y x y x y x y+=+⋅+=++≥,而222x y m m +>+对0,0x y >>恒成立,则228m m +<,解得42m -<<例2.若不等式142x x a +--≥0在[1,2]上恒成立,则实数a 的取值范围为 。
析:本题可转化为求二次函数的最值解:令[]142,1,2x x y a x +=--∈,则()[]2211,1,24x y a x =---∈≤≤x 而22 所以2min (21)1y a a =---=-,因不等式142x x a +--≥0在[1,2]上恒成立 所以min 0y a =-≥,即0a ≤例3.已知函数2π()2sin 24f x x x ⎛⎫=+ ⎪⎝⎭,ππ,42x ⎡⎤∈⎢⎥⎣⎦. (1)求()f x 的最大值和最小值;(2)若不等式()2f x m -<在ππ,42x ⎡⎤∈⎢⎥⎣⎦上恒成立,求实数m 的取值范围. 析:()2()2()2f x m f x m f x -<⇔-<<+,max ()2m f x >-∴且min ()2m f x <+解:(1)π()1cos 221sin 222f x x x x x ⎡⎤⎛⎫=-+=+ ⎪⎢⎥⎝⎭⎣⎦∵π12sin 23x ⎛⎫=+- ⎪⎝⎭. 又ππ,42x ⎡⎤∈⎢⎥⎣⎦∵,ππ2π2633x -∴≤≤,即π212sin 233x ⎛⎫+- ⎪⎝⎭≤≤,max min ()3,()2f x f x ==∴. (2)()2()2()2f x m f x m f x -<⇔-<<+∵,ππ,42x ⎡⎤∈⎢⎥⎣⎦,max ()2m f x >-∴且min ()2m f x <+, 14m <<∴,即m 的取值范围是(1,4).二、分离参数法例4.关于x 的不等式kx x x x ≥-++3922在]5,1[上恒成立,则实数a 的范围为 .析:含参问题的考察始终是高考的热点,要善于对问题先观察思考后动手,避免不必要的麻烦。
解析一: 两边同除以x ,则39-++≤x x x k ,69≥+xx ,03≥-x , 当且仅当3=x ,两等式同时成立,所以3=x 时,右边取最小值6,6≤∴k . 解析二:(提示)可分3x 1≤≤和5x 3≤<讨论.求分段函数的最小值.答案:6k ≤.例5.若a,bm 的最小值是析:≤⇔m ≥+最后采取不等式恒成立问题的处理策略求m 的最小值解:因a,b ⇔m ≥2222()(),(0,0)a b a b a b +≥+>>≤=⇔min m ≥m ∴≥,则m 三、等价转化法例6.已知函数22()ln (0),f x x a x x x=++> 若()f x 在[1,)+∞上单调递增,求a 的取值范围;析:本题的实质由()'0f x ≥在[1,)+∞上恒成立,求a 的取值范围。
解: 由()22ln f x x a x x =++,得()'222a f x x x x=-+ 若函数为[1,)+∞上单调增函数,则()'0f x ≥在[1,)+∞上恒成立 即不等式2220a x x x -+≥在[1,)+∞上恒成立. 也即222a x x ≥-在[1,)+∞上恒成立 令22()2x x x ϕ=-,上述问题等价于max ()a x ϕ≥,而22()2x x xϕ=-为在[1,)+∞上的减函数,则max ()(1)0x ϕϕ==,于是0a ≥为所求例7.已知函数()e x f x kx x =-∈R ,若0k >,且对于任意x ∈R ,()0f x >恒成立,试确定实数k 的取值范围; 析:本题可利用()f x 是偶函数.将问题等价转化为:已知()0f x >对任意0x ≥成立,确定实数k 的取值范围.解:由()()f x f x -=可知()f x 是偶函数.于是()0f x >对任意x ∈R 成立等价于()0f x >对任意0x ≥成立.由()e 0x f x k '=-=得ln x k =.①当(01]k ∈,时,()e 10(0)x f x k k x '=->->≥.此时()f x 在[0)+∞,上单调递增.故()(0)10f x f =>≥,符合题意.②当(1)k ∈+∞,时,ln 0k >. 当x 变化时()()f x f x ',的变化情况如下表:由此可得,在[0)+∞,上,()(ln )ln f x f k k k k =-≥.依题意,ln 0k k k ->,又11e k k >∴<<,.综合①,②得,实数k 的取值范围是0e k <<.例8.已知P :2x 2-9x +a < 0,q :22430680x x x x ⎧-+<⎪⎨-+<⎪⎩ 且⌝p 是⌝q 的充分条件,求实数a 的取值范围.析:B ⊆A x B x A ⇔∀∈⇒∈,即A 中的不等式对于B 中的x 恒成立解:由q :22430680x x x x ⎧-+<⎪⎨-+<⎪⎩ 得q:2<x<3 设A={x ︱p }={x ︱2x 2-9x+a<0},B={x ︱q }={x ︱2<x<3}⌝p ⇒⌝q, ∴ q ⇒p ∴B ⊆A 即2<x<3满足不等式 2x 2-9x+a<0 ∴2<x<3满足不等式 a<9x-2x 2∵当2<x<3时,9x-2x 2=-2(x 2-29x+1681-1681) =-2(x-49)2+881∴9<9x-2x 2≤881 ∴a≤9 评:以上三例均是将它们转化为不等式恒成立问题。
等价转化就是把未知解的问题转化到在已有知识范围内可解的问题的一种重要的思想方法。
通过不断的转化,把不熟悉、不规范、复杂的问题转化为熟悉、规范甚至模式法、简单的问题。
历年高考,等价转化思想无处不见,我们要不断培养和训练自觉的转化意识,这将有利于强化解决数学问题的应变能力,提高思维能力和解决数学问题的技能、技巧。
四、数形结合法根据恒成立不等式的特点,通过挖掘几何图形含意,利用函数图象的高低位置关系找出参数的变化范围.例9.不等式ax ≤)4(x x -在x ∈[0,3]内恒成立,求a 的变化范围.解:画出两个函数y =ax 与y =)4(x x -的图象.(如图)将x =3代入ax =)4(x x -,得a =33 ∴a ∈⎥⎦⎤ ⎝⎛∞-33, 例10.若211()22x k x -<-+对一切01x ≤≤都成立,则k 的取值范围是________ 析:构造两个函数211,()22y x y k x =-=-+,半圆21y x =-应全在直线1()22y k x =-+的下方,,其中直线1L 过点(0,1)斜率为2,直线2L 与21(01)y x x =-≤≤相切斜率为31324--,画图易得:231324≤≤--k评:数形结合的思想,其实质是将抽象的数学语言与直观的图像结合起来,关键是代数问题与图形之间的相互转化,它可以使代数问题几何化,几何问题代数化,充分利用这种转化,寻找解题思路,可使问题化难为易、化繁为简,从而得到解决.华罗庚先生说得好:“数形本是相依倚,焉能分作两边飞;数缺形时少直觉,形缺数时难入微;数形结合百般好,隔裂分家万事休;几何代数统一体,永远联系莫分离”。