高频电子线路公式总汇
- 格式:doc
- 大小:147.50 KB
- 文档页数:3
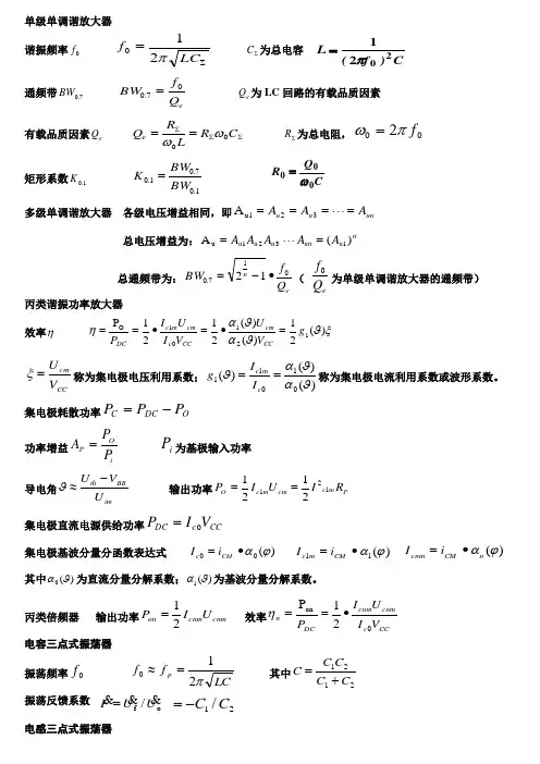
单级单调谐放大器 谐振频率0f∑=LC f π210 ∑C 为总电容 C)f (L 2021π=通频带7.0BW eQ f BW 07.0= e Q 为LC 回路的有载品质因素 有载品质因素e Q ∑∑∑==C R LR Q e 00ωω ∑R 为总电阻,002f πω=矩形系数1.0K1.07.01.0BW BW K = 多级单调谐放大器 各级电压增益相同,即un u u A A A =⋅⋅⋅===32u1A总电压增益为:nu un u u u A A A A A )(A 1321u =⋅⋅⋅= 总通频带为:enQ f BW 017.012∙-=( e Q f 0为单级单调谐放大器的通频带)丙类谐振功率放大器 效率η ξϑϑαϑαη)(21)()(2121P 12101O g V U V I U I P CC cm CC c cm m c DC =∙=∙==CC cm V U =ξ称为集电极电压利用系数;)()()(01011ϑαϑαϑ==c m c I I g 称为集电极电流利用系数或波形系数。
集电极耗散功率O DC CP P P -=功率增益iOP P P A =i P 为基极输入功率导电角im BB th U V U -≈ϑ 输出功率P m c cm m c O R I U I P 1212121==集电极直流电源供给功率CC c D C V I P 0=集电极基波分量分函数表达式 )(00ϕα∙=CM c i I)(11ϕα∙=CM m c i I )(ϕαn CM cnm i I ∙=其中)(0ϑα为直流分量分解系数;)(1ϑα为基波分量分解系数。
丙类倍频器 输出功率c n mc n m on U I P 21= 效率CCc cnm cnm DC n V I U I P 0on 21P ∙==η 电容三点式振荡器振荡频率0f LCf f p π210=≈ 其中2121C C C C C +=振荡反馈系数电感三点式振荡器o f/U U F=21/C C -=CQ R 000ω=振荡频率CM L L f f p )2(21210++=≈π振荡反馈系数 克拉泼(Clapp)振荡器 振荡频率3021LC f π≈西勒(Seiler)振荡器 振荡频率)C (21430+≈C L f π石英晶体振荡器 串联谐振频率并联谐振频率RC 串并联选频网络反馈系数)RC1-RC j(31F ωω+=幅频特性 200)-j(31F ωωωω+=(RC10=ω) 相频特性3-a r c t a n0F ωωωωϕ-=调幅波的基本性质 低频调制信号Ft U t U t u m m π2cos cos )(ΩΩΩ=Ω=高频载波信号 t f U t U t u c cm c cm c πω2cos cos )(==调幅信号 调幅系数 m i nm a x m i nm a x U U U U m a +-=双边带t t U m t t u k u c cm a c a D SB ωωcos cos cos )(Ω==Ω单边带 不失真条件 aaL L m F m C m a x 221R π-≤调频波与调相波的比较调制信号t U t u m Ω=ΩΩc o s )( 载波信号 t U t u c cm c ωcos )(=o f/U U F=)/()(12M L M L ++-=q q s21C L f π=q0q 0q p 21C C C C L f +=π0q s 1C C f +=)(AM t u t t U k U c m a Cm cos )cos (ωΩ+=Ωtt m U c a cm cos )cos 1(ωΩ+=t U m t U m u )cos(21)cos(21c cm a c cm a DSB Ω++Ω-=ωωtU m u )cos(21)(c cm a SSB Ω+=ω上边带调频信号 调相信号瞬时角频率 )()(t u k t f c Ω+=ωω dtt du k t p c )()(Ω+=ωωt m c Ω∆+=cos ωω t m c Ω∆-=sin ωω瞬时相位⎰Ω+=t c dt t u t t 0)()(ωϕ )()(t u k t t p c Ω+=ωϕt m t f c Ω-=sin ω t m t p c Ω+=cos ω最大角频偏m f m U k Ω=∆ω Ω=∆Ωm p m U k ωΩ=f m m f ∆=π2 Ω=p m调制指数(或最大相移m ϕ∆)m p p U k m Ω=Ω∆=mf m ωΩ=Ωmf U kFf m ∆=数学表达式 ])(cos[)(0FM ⎰Ω+=tfc cm dt t uk t U t u ω )](cos[)(PM t u k t U t u P c cm Ω+=ω]sin cos[t m t U f c cm Ω+=ω ]cos cos[t m t U P c cm Ω+=ω最大频偏=πω2m∆ ; m ω∆为最大角频偏f m 的单位是rad ; f k 的单位是VHz调角波频偏的宽度 F m BW )1(2+= )(2F f BW m +∆=1、考虑信号源内阻和负载后,LC 选频回路的品质因数Q 变( 小 ),通频带变( 大 )。
高频电子线路重点内容第一章1.1通信与通信系统1. 信息技术两大重要组成部分——信息传输和信息处理信息传输的要求主要是提高可靠性和有效性。
信息处理的目的就是为了更有效、更可靠地传递信息。
2. 高频的概念所谓“高频”,广义上讲就是适于无线电传播的无线电频率,通常又称为“射频”。
一、基本概念1. 通信:将信息从发送者传到接收者的过程2. 通信系统:实现传送过程的系统3. 通信系统基本组成框图信息源是指需要传送的原始信息,如语言、音乐、图像、文字等,一般是非电物理量。
原始信息经换能器转换成电信号(称为基带信号)后,送入发送设备,将其变成适合于信道传输的信号,然后送入信道。
信道是信号传输的通道,也就是传输媒介。
有线信道,如:架空明线,电缆,波导,光纤等。
无线信道,如:海水,地球表面,自由空间等。
不同信道有不同的传输特性,同一信道对不同频率信号的传输特性也是不同的。
接收设备把有用信号从众多信号和噪声中选取出来,经换能器恢复出原始信息。
4.通信系统的分类按传输的信息的物理特征,可以分为电话、电报、传真通信系统,广播电视通信系统,数据通信系统等;按信道传输的信号传送类型,可以分为模拟和数字通信系统;而按传输媒介(信道)的物理特征,可以分为有线通信系统和无线通信系统。
二、无线电发送与接收设备1. 无线通信系统的发射设备(1)振荡器:产生f osc 的高频振荡信号,几十 kHz 以上。
(2)高频放大器:一或多级小信号谐振放大器,放大振荡信号,使频率倍增至f c,并提供足够大的载波功率。
(3)调制信号放大器:多级放大器组成,前几级为小信号放大器,用于放大微音器的电信号;后几级为功放,提供功率足够的调制信号。
(4)振幅调制器:实现调幅功能,将输入的载波信号和调制信号变换为所需的调幅波信号,并加到天线上。
2. 无线通信系统的接收设备(1)高频放大器:由一级或多级小信号谐振放大器组成,放大天线上感生的有用信号;并利用放大器中的谐振系统抑制天线上感生的其它频率的干扰信号。
高频电子线路重点公式总结3:公式重点电子线路单边带调制公式高频电子线路谈文心高频电子线路试题库篇一:高频电子线路重点知识总结学习高频电路的知识点总结12级3班王语赫120310631、什么是非线性电子线路。
利用电子器件的非线性来完成振荡,频率变换等功能。
完成这些功能的电路统称为非线性电子线路。
2、简述非线性器件的基本特点。
非线性器件有多种含义不同的参数,而且这些参数都是随激励量的大小而变化的,以非线性电阻器件为例,常用的有直流电导、交流电导、平均电导三种参数。
分析非线性器件的响应特性时,必须注明它的控制变量,控制变量不同,描写非线性器件特性的函数也不同。
例如,晶体二极管,当控制变量为电压时,流过晶体二极管的电流对电压的关系是指数律的;而当控制变量为电流时,在晶体二极管两端产生的电压对电流的关系则是对数律的。
分析非线性器件对输入信号的响应时,不能采用线性器件中行之有效的叠加原理。
3、简述功率放大器的性能要求。
功率放大器的性能要求是安全、高效率和不失真(确切地说,失真在允许范围内)地输出所需信号功率(小到零点几瓦,大到几十千瓦)。
4、简述乙类推挽电路中的交叉失真现象以及如何防止交叉失真。
在乙类推挽电路中,考虑到晶体管发射结导通电压的影响,在零偏置的情况下,输出合成电压波型将在衔接处出现严重失真,这种失真叫交叉失真。
为了克服这种失真,必须在输入端为两管加合适的正偏电压,使它们工作在甲乙类状态。
常见的偏置电路有二极管偏置、倍增偏置。
5、简述谐振功率放大器的准静态分析法。
准静态分析法的二个假设:假设一:谐振回路具有理想的滤波特性,其上只能产生基波电压(在倍频器中,只能产生特定次数的谐波电压),而其它分量的电压均可忽略。
vBE=VBB+ VbmcosωtvCE=VCC- Vcmcosωt 假设二:功率管的特性用输入和输出静态特性曲线表示,其高频效应可忽略。
谐振功率放大器的动态线在上述两个假设下,分析谐振功率放大器性能时,可先设定VBB、Vbm、VCC、Vcm四个电量的数值,并将ωt按等间隔给定不同的数值,则vBE和vCE便是确定的数值,而后,根据不同间隔上的vBE和vCE值在以vBE为参变量的输出特性曲线上找到对应的动态点和由此确定的iC值。
第一章:载波:高频率的电流发射天线:载有载波电流,使电磁能以电磁波形式向空间发射的导体调制分为:连续波调制(调幅、调频、调相),脉冲调制(数字调制、二次调制)脉冲调制:1用信号调制脉冲。
2用已调脉冲对载波进行调制检波:与调制的过程相反调制过程:本地高频震荡→缓冲器→倍频器→中间放大→功率放大器→受调放大器话筒→低频电压放大级→低频功率放大级→调制器↑超外差收音机工作原理:通过混频器将不同的高频信号转化为固定的中频信号,使得收音机的工作选择性和灵敏度提高超外差工作过程:高频小信号放大器→自激式变频器→中频放大→检波→低频放大→输出有线通信媒介:双线对电缆、同轴电缆、光纤。
无线通信媒介:自由空间地波:分为地面波和天波,地面波,电磁波沿地面传播。
空间波,要求天线与接受天线离地面较高,接受点的电磁波由直射波与地面反射波合成天波:是经过电离层反射的电磁波第二章(选频网络)选频网路:1是由电感和电容元件组成的震荡回路(但震荡回路、耦合震荡回路)。
2各种滤波器组成的Q值:Q值越高,谐振曲线越尖锐,对外加电压的选频作用越显著,回路的选择性就越好。
串联谐振(电压谐振)回路适用于低内阻电源,内阻越低,则电路的选择性越好。
并联谐振(电流谐振)回路适用于大内阻的电源串联与并联谐振回路的对偶性:串联谐振回路谐振时回路电阻最小,而并联谐振回路谐振时回路电阻最大纯耦合:只有纯电阻或者是纯电抗复合耦合:有两种或两种以上种类的元件构成第三章(高频小信号放大器)高频放大器与低频放大器的主要区别是:1工作频率范围不同;2频带宽度不同高频放大器是由选频网路组成的谐振或非谐振放大器高频小信号放大器的主要质量指标:1增益(电压、功率)2通频带3选择性(矩形系数、抑制比)4工作稳定性(工作状态、晶体管参数、电路元件参数)5噪声系数等效电路参数:yi/yr/yf/yo晶体管的高频参数:1截至频率:β降为原来的β01/√22特征频率:│β│下降为13最高震荡频率:功率的增益为1时的频率谐振放大器稳定性的破坏原因:存在反馈导纳由反馈导纳产生的自激震荡可以通过1中和法:通过引入外部反馈网络来抵消晶体管内部y fe的反馈作用;2失配法:晶体管输出端负载阻抗不与本级晶体管的输出阻抗匹配第四章(非线性电路、时变参量电路和变频器)无线电元件:1线性元件2非线性元件3时变参量元件非线性电路的分析方法:1幂级数分析法(通过泰勒级数展开,【输入小信号】)2折线分析法(输入大信号)3开关函数分析法(控制信号为大信号,输入信号为小信号)非线性元件的特性:1特性曲线不是直线2变频作用3不满足叠加定理变频器(混频器):就是把高频信号经过频率变换,变为一个固定的频率变频器的主要质量指标:1变频增益:变频器中频输出电压振幅与高频输入信号电压振幅之比2失真和干扰:频率失真和非线性失真;组合频率、交叉频率与互相调制、阻塞和倒易混频等干扰3选择性:接受有用信号(中频),排除干扰信号的能力取决于中频输出回路的选择性是否良好4噪声系数使用较多的混频器是:输入信号从基极输入,本振电压从发射极输入。
电路公式大全电路公式大全如下:1.电阻定律:R=ρL/S电阻定律表明,导体的电阻与它的长度成正比,与它的截面积成反比,还与导体材料的电阻率有关。
2.欧姆定律:I=U/R欧姆定律表明,在一个闭合电路中,电流与电压成正比,与电阻成反比。
3.功率公式:P=I²R功率公式表明,电路的功率等于电流的平方乘以电阻。
4.基尔霍夫定律:∑I=0基尔霍夫定律表明,在任何一个闭合电路中,流入节点的电流总和等于流出节点的电流总和。
5.叠加定理:I总=I1+I2++In叠加定理表明,在多个电源共同作用的线性电路中,任何一个支路的电流等于各个电源单独作用在该支路所产生的电流的代数和。
6.戴维南定理:U总=R总I总戴维南定理表明,任何一个线性有源二端网络可以用一个等效电压源来代替,该电压源的电压等于网络的开路电压,内阻等于网络中所有独立源置零后的等效电阻。
7.诺顿定理:I总=G总U总诺顿定理表明,任何一个线性有源二端网络可以用一个等效电流源来代替,该电流源的电流等于网络的短路电流,内阻等于网络中所有独立源置零后的等效电阻。
8.最大功率传输定理:Pmax=U²/R最大功率传输定理表明,当一个线性电阻负载与一个电源相连时,如果外接电阻等于内阻,则负载可以获得最大功率。
9.交流电路的有效值:I=Iₘ/√2交流电路的有效值表明,对于正弦交流电路中的电流和电压,只有它们的最大值的一半才是有效的。
10.交流电路的功率因数:cosφ=R/X+j(ωL-1/ωC)交流电路的功率因数表明,在正弦交流电路中,有功功率与视在功率之比等于功率因数。
功率因数越接近于1,电路的功率利用率就越高。
11.交流电路的欧姆定律:Z=R+j(ωL-1/ωC)交流电路的欧姆定律表明,在正弦交流电路中,阻抗等于电阻加上电感与电容的复数阻抗之和。
12.基尔霍夫定律的推广:∑E=0基尔霍夫定律的推广表明,在任何一个闭合电路中,流入节点的电动势总和等于流出节点的电动势总和。
欢迎阅读127.02ωωω-=∆高频电子线路重点第二章选频网络一.基本概念所谓选频(滤波),就是选出需要的频率分量和滤除不需要的频率分量。
电抗(X)=容抗()+感抗(wL)阻抗=电阻(R)+j 电抗 阻抗的模把阻抗看成虚数求模 二.串联谐振电路 1.谐振时,(电抗),电容、电感消失了,相角等于0,谐振频率:,此时|Z|最小=R ,电流最大 2.当w<w 0时,电流超前电压,相角小于0,X<0阻抗是容性;当w>w 0时,电压超前电流,相角大于0,X>0阻抗是感性; 3.回路的品质因素数(除R ),增大回路电阻,品质因数下降,谐振时,电感和电容两端的电位差大小等于外加电压的Q 倍,相位相反4.回路电流与谐振时回路电流之比(幅频),品质因数越高,谐振时的电流越大,比值越大,曲线越尖,选频作用越明显,选择性越好5.失谐△w=w (再加电压的频率)-w (回路谐振频率),当w 和w 很相近时,,ξ=X/R=Q ×2△w/w 是广义失谐,回路电流与谐振时回路电流之比6.当外加电压不变,w=w =w 时,其值为1/√2,w-w 为通频带,w ,w 为边界频率/半功率点,广义失谐为±1 7.,品质因数越高,选择性越好,通频带越窄 8.通频带绝对值通频带相对值 9.相位特性Q 越大,相位曲线在w 0处越陡峭 10.能量关系电抗元件电感和电容不消耗外加电动势的能量,消耗能量的只有损耗电阻。
回路总瞬时储能 回路一个周期的损耗 ,表示回路或线圈中的损耗。
就能量关系而言,所谓“谐振”,是指:回路中储存的能量是不变的,只是在电感与电容之间相互转换;外加电动势只提供回路电阻所消耗的能量,以维持回路的等幅振荡,而且谐振回路中电流最大。
11.电源内阻与负载电阻的影响Q L 三.并联谐振回路 1.一般无特殊说明都考虑wL>>R ,Z )1(CL ωω-0100=-=C L X ωωLC10=ωCR R L Q 001ωω==)(j 0)()(j 11ωψωωωωωe N Q =-+=Q 0702ωω=∆⋅2111)(2=+=ξξN Q f f 0702=∆⋅Q f f 1207.0=∆ξωωωωψ arctan arctan 00-=⎪⎪⎭⎫⎝⎛-⋅-=Q ⎪⎭⎫ ⎝⎛-+≈C L R CL ωω1j ⎪⎭⎫⎝⎛-+=L C L CR ωω1j 1C ω1- +–CV sL RI sCLR22222221cos 21sin 21sm sm sm V CQ t V CQ t V CQ w w w C L 22=+=+=ωω2sm 02sm 21π2121π2CQV R V w R ⋅=⋅⋅=ωQCQV V CQ w w w R C L ⋅=⋅=+π2121π2212sm 2sm2每周期耗能回路储能π2 =Q 所以R RR R Q LS 01++=反之w=√[1/LC-(R/L)2]=1/√RC ·√1-Q 22.Y(导纳)=电导(G)=电纳(B)=.与串联不同3.谐振时,回路谐振电阻R==QwL=Q/wC 4.品质因数(乘R p ) 5.当w<w 时,B>0导纳是感性;当w>w 时,B<0导纳是容性(看电纳) 电感和电容支路的电流等于外加电流的Q 倍,相位相反 并联电阻减小品质因数下降通频带加宽,选择性变坏 6.信号源内阻和负载电阻的影响由此看出,考虑信号源内阻及负载电阻后,品质因数下降,并联谐振回路的选择性变坏,通频带加宽。
高频电子线路复习第2章 高频小信号放大器高频小信号放大器与低频小信号放大器的主要区别:(1)晶体管在高频工作时,其电流放大系数与频率有关,晶体管的两个结电容将不能被忽略。
(2)高频小信号放大器的集电极负载为调谐回路,因此高频小信号放大器的主要性能在很大程度上取决于谐振回路。
1.LC 谐振回路的选频作用并联谐振回路的等效导纳:Y=G 0+j(ωC- ),谐振频率:ω0= ,并联回路的品质因数: 其中R=Q L ω0L2.串并联阻抗的等效变换:R 2≈Q 2r 1 ;X 2≈X 13.谐振回路的接入方式:变压器耦合连接,自耦变压器耦合连接,双电容分压耦合连接4.等效变换的接入系数与变换关系(上述三种耦合连接方式接入系数p 的计算公式)5.晶体管高频等效电路:晶体管y 参数等效电路6.高频谐振放大器的分析,等效电路,谐振电压放大倍数,通频带和矩形系数。
第3章 高频功率放大器高频功率放大器是一种能量转换器件,它将电源供给的直流能量转换为高频交流输出。
高频功率放大器与高频小信号放大器的主要区别:高频小信号放大器晶体管工作在线性区域;而高频功率放大器,为了提高效率,晶体管工作延伸到非线性区域,一般工作在丙类状态。
高频功率放大器的分析方法通常采用折线分析法。
1.谐振功率放大器的用途和特点(与小信号调谐放大器进行比较)2.折线近似分析法----晶体管特性的折线化3.丙类高频功率放大器的工作原理:静态时晶体管工作在截止状态;在正弦输入信号时,输出集电极电流为余弦电流脉冲;输出为并联谐振电路,故其输出电压仍为正弦波。
4. 丙类高频功率放大器的一些重要公式:(1)导通角:(2) 集电极余弦脉冲电流的高度(幅值):(3)集电极余弦脉冲电流波形的表达式:(4)余弦电流脉冲的傅里叶级数表达式:i c =I c0+I c1m cos ωt+I c2m cos2ωt+···+I cnm cosn ωt其中:I c0=I cM α0(θc );I c1m =I cM α1(θc )5. 丙类高频功率放大器的功率和效率:P ==V CC I C0 ;P 0=(1/2)U cm I c1m ;η=P o /P = 。
单级单调谐放大器 谐振频率0f∑=LC f π210 ∑C 为总电容 C)f (L 2021π=通频带7.0BW eQ f BW 07.0= e Q 为LC 回路的有载品质因素 有载品质因素e Q ∑∑∑==C R LR Q e 00ωω ∑R 为总电阻,002f πω=矩形系数1.0K1.07.01.0BW BW K = 多级单调谐放大器 各级电压增益相同,即un u u A A A =⋅⋅⋅===32u1A总电压增益为:nu un u u u A A A A A )(A 1321u =⋅⋅⋅=总通频带为:e nQ f BW 017.012•-=( eQ f 0为单级单调谐放大器的通频带)丙类谐振功率放大器 效率η ξϑϑαϑαη)(21)()(2121P 12101O g V U V I U I P CC cm CC c cm m c DC =•=•==CC cm V U =ξ称为集电极电压利用系数;)()()(01011ϑαϑαϑ==c m c I I g 称为集电极电流利用系数或波形系数。
集电极耗散功率O DC CP P P -=功率增益iOP P P A =i P 为基极输入功率导电角im BB th U V U -≈ϑ 输出功率P m c cm m c O R I U I P 1212121==集电极直流电源供给功率CC c DCV I P 0=集电极基波分量分函数表达式 )(00ϕα•=CM c i I )(11ϕα•=CM m c i I )(ϕαn CM cnm i I •=其中)(0ϑα为直流分量分解系数;)(1ϑα为基波分量分解系数。
丙类倍频器 输出功率cnm cnm on U I P 21= 效率CCc cnm cnm DC n V I U I P 0on 21P •==η正弦波振荡器平衡的条件 ①相位平衡条件:φA+φF =2n π(n =0,1,2,3,···) ②振幅平衡条件:AF =1 正弦波振荡器起振的条件 ①相位平衡条件:φA+φF =2n π(n =0,1,2,3,···) ②振幅平衡条件:AF >1 振荡频率的准确度和稳定度绝对准确度f∆0f f f -=∆相对准确度 000f f f f f-=∆(0f f ∆称为相对频率准确度或相对频率偏差) CQ R 000ω=振荡频率的稳定度=电容三点式振荡器振荡频率0f LCf f p π210=≈ 其中2121C C C C C +=振荡反馈系数电感三点式振荡器 振荡频率CM L L f f p )2(21210++=≈π振荡反馈系数 克拉泼(Clapp)振荡器 振荡频率3021LC f π≈西勒(Seiler)振荡器 振荡频率)C (21430+≈C L f π石英晶体振荡器 串联谐振频率并联谐振频率RC 串并联选频网络反馈系数)RC1-RC j(31F ωω+=&幅频特性 200)-j(31F ωωωω+=(RC10=ω) 相频特性3-arctan0F ωωωωϕ-=调幅波的基本性质 低频调制信号Ft U t U t u m m π2cos cos )(ΩΩΩ=Ω=高频载波信号 t f U t U t u c cm c cm c πω2cos cos )(==调幅信号 调幅系数 minmax minmax U U U U m a +-=双边带 t t U m t t u k u c cm a c a DSB ωωcos cos cos )(Ω==Ω时间间隔/0maxf f ∆of /U U F &&&=21/C C -=of/U U F &&&=)/()(12M L M L ++-=q q s21C L f π=q0q 0q p21C C C C L f +=π0q s 1C C f +=)(AM t u t t U k U c m a Cm cos )cos (ωΩ+=Ωtt m U c a cm cos )cos 1(ωΩ+=t U m t U m u )cos(21)cos(21c cm a c cm a DSBΩ++Ω-=ωω单边带不失真条件 aaL L m F m C max 221R π-≤调频波与调相波的比较调制信号t U t u m Ω=ΩΩcos )( 载波信号 tU t u c cm c ωcos )(=调频信号 调相信号 瞬时角频率 )()(t u k t f c Ω+=ωω dtt du k t p c )()(Ω+=ωω t m c Ω∆+=cos ωω t m c Ω∆-=sin ωω瞬时相位⎰Ω+=t c dt t u t t 0)()(ωϕ )()(t u k t t p c Ω+=ωϕt m t f c Ω-=sin ω t m t p c Ω+=cos ω最大角频偏m f m U k Ω=∆ω Ω=∆Ωm p m U k ωΩ=f m m f ∆=π2 Ω=p m调制指数(或最大相移m ϕ∆)m p p U k m Ω=Ω∆=mf m ωΩ=Ωmf U kFf m ∆=数学表达式 ])(cos[)(0FM ⎰Ω+=tfc cm dt t uk t U t u ω )](cos[)(PM t u k t U t u P c cm Ω+=ω]sin cos[t m t U f c cm Ω+=ω ]cos cos[t m t U P c cm Ω+=ω最大频偏=πω2m∆ ; m ω∆为最大角频偏f m 的单位是rad ; f k 的单位是VHz调角波频偏的宽度F m BW )1(2+= )(2F f BW m +∆=1、考虑信号源内阻和负载后,LC 选频回路的品质因数Q 变( 小 ),通频带变( 大 )。
t i me an dAl l th i ng e i rb(η=1,即临界耦合时的通频带为:矩形系数:1002247.01.01.0=∆∆=f f K ran dAl l 路,可以振荡。
时,当,因此由于21203332211C L C L C L C L ωωωω<<<<<(3分)4. 高频已调波信号和本机振荡信号经过混频后,信号中包含哪些成分?如何取出需要的a llthings解:(1) 电阻R L1、R L2是检波器得直流负载电阻,采用这种连接方式目的是减小检波器交、直流负载电阻值得差别,避免产生负峰切割失真。
(2) R、C构成低通滤波器,其输出的U AGC电压送到收音机前级控制调谐放大器的增益,实现自动增益控制。
(3) 若检波二极管VD开路,则收音机收不到任何电台。
8.通信系统由哪些部分组成?各组成部分的作用是什么?答:通信系统由输入、输出变换器,发送、接收设备以及信道组成。
输入变换器将要传递的声音或图像消息变换为电信号(基带信号);发送设备将基带信号经过调制等处理,并使其具有足够的发射功率,再送入信道实现信号的有效传输;信道是信号传输的通道;接收设备用来恢复原始基带信号;输出变换器将经过处理的基带信号重新恢复为原始的声音或图像。
9.当谐振功率放大器的输入激励信号为余弦波时,为什么集电极电流为余弦脉冲波形?但放大器为什么又能输出不失真的余弦波电压?答:因为谐振功率放大器工作在丙类状态(导通时间小于半个周期),所以集电极电流为周期性余弦脉冲波形;但其负载为调谐回路谐振在基波频率,可选出ic的基波,故在负载两端得到的电压仍与信号同频的完整正弦波。
10.在谐振功率放大电路中,若U bm、U cm及U CC不变,而当U BB改变时,I c1有明显的变化,问放大器此时工作在何种状态?为什么?答:由右图谐振功率放大器的基极调制特性知:U bm、U cm及U CC不变,而当U BB改变时,只有工作在欠压工作状态,I c1有明显的变化。
公 式
一、LC 谐振回路: C
)f (L 2
021π=
二、小信号调节放大器
三、高频调节放大器
C
R L R C L R Q 0000
00ωω===C
R Q L 0ω∑=L Q f B 0=12N N n ==
=
2
n R R L 'L
L
R Q L 0ω∑
=
L
'
L s
'
S R )N N (
R R )N N (
R 2
2
12
2
1=='
L
'
S
'
L 's R R R R ||R ||R R 11110
0+
+
=
=∑α
βαβγλαβf f f )
.~.(;
f f f T T <<===906000∑
=
C )f (L 2
021π2
20211
⎪⎪⎭
⎫ ⎝⎛∆+=
f
f Q αL
LQ f R 02π=∑121C C C n +=
∑
=
g y n n K fe
V 210ie
oe g n g n G g 2
2210++=∑2
11ξα+=0
Q f B 0=
L
Q f B 0
=
00Q Q Q L -=η插入损耗L )f (C 2
021
π=
∑ie
oe C n C n C C 2
221++=∑C
Q R 00
0ω=
四、高频功率放大器
五、放大器级联
六、功率及效率
cm
o m c m
c cm o U P I I U P 22
1
11=
=c
cm
c m c c E U I I 0121=
ηo cm
c
P U R 22
=
L
Q U
P o
m
T ω22
=max c c C C S I )(E I E P θα00==cr
max c c ces c cm g I
E U E U -=-=max
c cm o I )(U P θα12
1=
2
2P U R cm cp =
o
s c P P P -=∑
=
R U P m o 2
21max
c cm o I U p 12
1α=
s
o c P P =
ηbm
b
j
U E U
COS +=
θ()20logK
dB K =⋅
⋅⋅⋅⋅⋅=321K K K K 总1
B B n
-=2单
0Q Q Q PO P P P P
L T O L T -=-==ηmax c c I I 00α=max
c c I I 11α=ces C min ce U E u -=ces min ce U u >欠压状态ces min ce U u =临界状态ces
min ce U u <过压状态0
2
2P )
U E (R ces c cp -=
1.理解变压器耦合甲类单管与乙类推挽功放的原理与特点;掌握OTL(或OCL)电路及集成功放的工作原理,工程估算以及电路实际调试方法;掌握常用传输线变压器工作原理和宽频带高频功率合成电路与特点。
2.掌握丙类谐振功放工作原理及工作状态,理解馈电电路类型及特点,理解匹配网络设计方法,了解高效功放的工作原理。
了解倍频器的电路与特点。
3.掌握正弦波振荡器工作原理,掌握对各类型振荡器判断是否可能振荡的条件,掌握利用起振条件确定电路参数的方法,了解振荡器设计的基本原则,理解影响频率稳定的因素及提高频率稳定度的措施。
了解负阻振荡和开关电容振荡器。
4.掌握各种电压模相乘器的基本电路、特点、工作原理,灵活掌握用各种相乘器电路实现调幅、混频和同步检波的方法。
5.对电流模电路要掌握TL回路原理、电流模放大器工作原理,理解电流模相乘器基本特点、工作原理及其应用。
6.掌握混频、振幅调制、包络检波的基本特性、基本电路及基本工作原理,理解同步检波类型、原理,能熟练掌握用各相乘器实现混频、调幅、检波功能。
7.掌握角度调制基本特性、变容管直接调频、调相和间接调频电路的特点及工作原理,了解扩大频偏方法,理解斜率鉴频,了解互感耦合相位鉴频,比例鉴频电路特点和工作原理,了解用相量法确定鉴频特性曲线的方法。
掌握正交鉴频器、鉴相器的框图、电路及工作原理。
8.了解自动频率和自动增益控制工作原理,掌握自动相位控制框图、工作原理、基本方程及其基本分析方法与锁相基本概念,理解锁相环在频率变换和频率合成中的应用。