界面化学-练习题集
- 格式:ppt
- 大小:271.00 KB
- 文档页数:16
二、填空题1. 憎液溶胶在热力学上是__________________________________________体系。
2. 用NH4VO3和浓HCl 作用,可制得稳定的V2O5溶胶,其胶团结构是。
3. 研究大分子化合物溶液的方法与研究溶胶的方法有许多相似之处,这是因为________________。
4. 可以根据超显微镜视野中光点亮度的强弱来估计胶粒的___________________;观察一个小体积范围内粒子数的变化情况来了解溶胶的__________________;根据闪光现象可以大致判断胶粒的_________。
5. 明矾净水的主要原理是溶胶的__________________作用。
6. 墨汁是一种胶体分散体系,在制作时,往往要加入一定量的阿拉伯胶作稳定剂,这主要是因为。
7. 乳状液可分O/W型和W/O型。
一般说来, 若乳化剂是憎水性的, 形成的是_______型乳状液;若乳化剂是亲水性的, 形成的是_________型乳状液。
8. 1909年,第一个人工合成的大分子化合物是______________________________。
9. 按照聚合反应机理来分,聚合物可分为____________聚合物和____________聚合物两类。
10. 根据凝胶中所含液体数量的多少,凝胶可分为_______________与______________两种。
三、问答题1. 新制备的溶胶为什么要进行净化?在溶胶净化的方法中,何谓渗析法?2. 分别说明憎液溶胶和大分子化合物溶液对外加电解质的敏感程度和所发生的作用。
四、计算题1. 某溶胶中粒子的平均直径为4.2 nm, 设其粘度和纯水相同, 为1×10-3 kg·m-1·s-1, 试计算:(1) 298 K时, 胶体的扩散系数D(2) 在1 s时间里, 由于布朗运动粒子沿x方向的平均位移(x)2. 由电泳实验测得Sb2S3溶胶在电压为210 V,两极间距离为38.5 cm 时, 通电36 min12 s,引起溶胶界面向正极移动3.2 cm, 已知介质介电常数为8.89×10-9 F·m-1, = 0.001 Pa·s,计算此溶胶的电动电位。
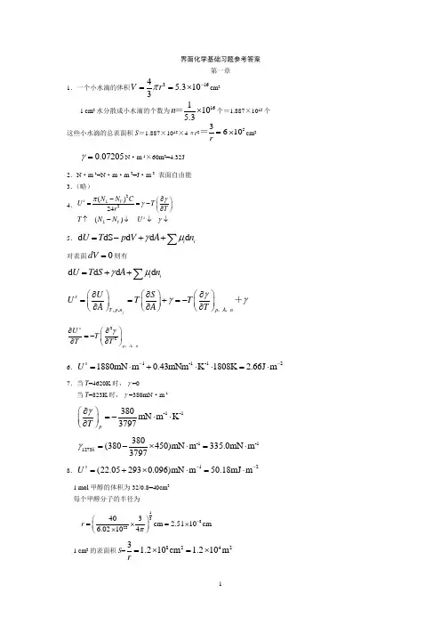
界面化学基础习题参考答案第一章1.一个小水滴的体积31645.3103Vr π-==⨯cm 3 1 cm 3水分散成小水滴的个数为161105.3n ⨯=个=1.887×1015个这些小水滴的总表面积S =1.887×1015×4πr 253610r=⨯=cm 2 0.07205γ=N ·m -1×60m 2=4.32J2.N ·m -1=N ·m ·m -2=J ·m -2 表面自由能 3.(略) 4.22()24 () sL V s L V N N CU T r T T N N U πγγγ-∂⎛⎫==- ⎪∂⎝⎭↑-↓↓↓5.d dS d d d i i UT p V A n γμ=-++∑ 对表面0dV=则有d d d d i i U T S A n γμ=++∑,j s T p n p A nU S U T T A A T γγγ∂∂∂⎛⎫⎛⎫⎛⎫==+=- ⎪ ⎪ ⎪∂∂∂⎝⎭⎝⎭⎝⎭,,,+22sp A nU T T T γ⎛⎫∂∂=- ⎪∂∂⎝⎭,, 6.1-1-121880mN m 0.43mNm K 1808K 2.66J m sU--=⋅+⋅⋅=⋅7.当T =4620K 时,γ=0当T =823K 时,γ=380mN ·m -1-1-1380mN m K 3797pT γ∂⎛⎫=-⋅⋅ ⎪∂⎝⎭-1-11273380(380450)mN m 335.0mN m 3797k γ=-⨯⋅=⋅ 8.12(22.052930.096)mN m 50.18mJ m sU--=+⨯⋅=⋅1 mol 甲醇的体积为32/0.8=40cm 3 每个甲醇分子的半径为13823403cm 2.5110cm 6.02104r π-⎛⎫=⨯=⨯ ⎪⨯⎝⎭ 1 cm 3的表面积S =824231.210cm 1.210m r=⨯=⨯总表面积S ’=4.8×105m 2ΔG =4.8×105×22.05×10-3·J ·m -2 =1.06×104J ·m -29.不能。
《界面与胶体化学》本科课程习题第一讲习题1.若将一个立方体分成1000个小立方体,问:(a)小立方体的面积比原来立方体小几倍?(b)细分的小立方体的总面积比原来大多少倍?2.当金溶胶粒子都是半径为0.02μm的球,密度为19.3时,问:(a)0.1克金能生成多少个胶体粒子?(b)试求胶体粒子的表面积;(c)是0.1克的颗粒子表面积的多少倍?3.已知20°C时甲醇的表面张力为22.6 dyn?cm-1,(dσ/dT)为-0.096 dyn?cm-1?K-1,试计算表面熵、总表面能和表面自由能。
4.水的表面张力与温度关系为σ/mN?m-1 = 75.64-0.14×t/°C,计算水在298.16K时的G S、S S与H S。
5.某细粉固体的比表面为200m2?g-1,在表面上已覆盖一薄层水,现浸入同温度(25°C) 的水中,可有热量释出,试计算10g固体粉末所释出的热量;问能否通过热量的测定来测定固体粉末的表面积?第二讲习题6.100°C的纯水中仅有一直径为10-3 mm,在沸腾前过热的温度可达几度?7.25°C时某NaCl细粉的比表面为43.5m2?g-1,测得它在乙醇中的过饱和度为6.71%,已知ρ=2.17×103 kg?m-3。
(a).设粒子为均匀圆球,求NaCl粒子的半径;(b).求NaCl-乙醇的界面张力(注意:NaCl可离解为Na+离子与Cl-离子)。
8.试计算水在半径为1微米的毛细管中的蒸汽压(假设接触角为零)。
请将所得结果与25°C 的正常值比较,并以百分变化表示之。
9.设某一水溶液的表面张力值随浓度的变化关系可以公式σ = 72-500c代表(若c<0.05M)。
计算公式Γ2(1) = Kc中的常数K,即溶质表面过剩随浓度而变的比例常数,温度是25°C。
10.25°C时乙醇水溶液的表面张力与溶液浓度c(单位为mol?L-1)的关系为σ = 72-0.5c+0.2c2(mN?m-1)。
一、选择题1. 在相同的温度及压力下,把一定体积的水分散成许多小水滴经这一变化过程,以下性质保持不变的是(d )(a )总表面能 (b )比表面 (c )液面下的附加压力 (d )表面张力2. 直径为1×10-2m 的球形肥皂泡所受的附加压力为(已知表面张力为0.025N•m -1)(d ) (a )5 Pa (b )10 Pa (c )15 Pa (d )20 Pa思路:因为肥皂泡有内、外两个表面,内面的附加压力是负值,外面的附加压力是正值,故 4's p R γ=,答案选d 。
3. 已知水溶解某物质以后,其表面张力γ与溶质的活度a 呈如下关系:()0ln 1A Ba γγ=-+式中γ0为纯水的表面张力,A ,B 为常数,则溶液表面过剩Γ2为(c )(a )()21Aa RT Ba Γ=-+ (b )()21ABa RT Ba Γ=-+ (c )()21ABa RT Ba Γ=+ (d )()21Ba RT Ba Γ=-+ 思路:()211a d a B ABa A RT da RT Ba RT Ba γ⎛⎫Γ=-=--= ⎪++⎝⎭,答案选c 。
4. 298K 时,苯蒸汽在石墨上的吸附符合Langmuir 吸附等温式,在苯蒸汽压力为40Pa 时,覆盖率θ=0.05,当θ=0.5时,苯蒸汽的平衡压力为(b )(a )400 Pa (b )760 Pa (c )1000 Pa (d )200 Pa思路:Langmuir 公式1ap apθ=+ 将已知条件的压强和覆盖率代入公式,计算得到a 的值,然后根据新的覆盖度和a ,计算出平衡压力。
答案为b 。
(要求能够自己推导Langmuir 公式)5. 在298K 时,已知A 液的表面张力是B 液的一半,其密度是B 液的两倍。
如果A ,B 液分别用相同的毛细管产生大小相同的气泡时,A 液的最大气泡压力差等于B 液的(a ) (a )0.5倍 (b )1倍 (c )2倍 (d )4倍 思路:2's p R γ=,代入该公式计算比值,答案选a 。
界面化学第一章界面化学第一章界面化学期末考试卷一、单项选择题1、关于表面张力和表面能有以下几种说法,试判断哪一个正确?(B)A、它们是体系的两个热力学变量B、它们描述体系的同一性质C、他们是指向体系内部的向量D、他们是完全相同的一个量2、纯水的表面张力是指恒温恒压组成时水与哪类相接触时的界面张力:(B)A、饱和水蒸气B、饱和了水蒸气的空气C、空气D、含有水蒸气的空气3、弯曲液面下的附加压力与表面张力的联系与区别在于(C)A、产生的原因与方向相同,而大小不同B作用点相同,而方向和大小不同C、产生的原因相同,而方向不同D作用点相同,而产生的原因不同4、在一个密闭的容器中,有大小不同的两个水珠,长期放置以后,会发生(A)A、大水珠变大,小水珠变小B、大水珠变大,小水珠变大C、大水珠变小,小水珠变大D、大水珠、小水珠均变小5、固体微粒在粘滞性液体中流动时,对其阻力无直接影响的是(C)A、介质粘度B、粒子大小C、粒子质量D、温度二、是非判断1、液体在毛细管内上升或下降决定于该液体的表面张力的大小。
( 错)2、由于溶质在溶液的表面产生吸附,所以溶质在溶液表面的浓度大于他在溶液内部的浓度。
(错)3、表面活性物质是指那些加入到溶液中,可以降低溶液表面张力的物质。
(错)4、作布朗运动的粒子的平均位移与其质量无关。
(对)5、在等温等压下且组成不变时以可逆方式增加表面积做的功,量值等于表面能。
(对)三、填空题1、丁达尔效应的本质溶胶对光的散射2、表面活性剂的结构特征两亲性3、润湿与不润湿的区分在于润湿角度小于九十度或大于九十度4、从吸附的角度考虑催化剂的活性取决于化学吸附强度,一个良好的催化剂应是中等强度的化学吸附5、植物的叶子一般都是憎水性的,所以配制农药时常常要加润湿剂,药对植物表面的润湿程度,使药物能在叶子表面上铺展。
四、简答与说明1、为什么溶液的表面张力会降低?答:因为溶液中有多种分子,而各种分子之间的力场强弱不同,若是力场较弱的分子富集于表面,表面张力必然降低。
1 / 3界面化学测试题3一、选择题 (4'×5=20')1.胶束的出现标志着表面活性剂的(A )A.降低表面张力的作用下降;B.溶解已达到饱和;C.分子间作用超过它与溶剂的作用;D.分子远未排满溶液表面。
2.在稀的砷酸溶液中通入H 2S 制备硫化砷(As 2S 3)溶胶,H 2S 适当过量。
则胶团结构为(B )A.[(As 2S 3)m ·nH +,(n-x)HS -]x +·xHS -B.[(As 2S 3)m ·n HS -,(n-x) H +]x -·xH +C.[(As 2S 3)m ·nH +,(n-x)HS -]x -·xHS -D.[(As 2S 3)m ·n HS -,(n-x)H +]x +·xHS +3.使用表面活性剂时应特别注意的问题是(D )A.两性型和非离子型表面活性剂不可混用B.阴离子型表面活性剂不能在酸性介质中使用C.非离子型表面活性剂不能在碱性介质中使用D.阴离子型和阳离子型表面活性剂不可混用4.脂肪酸分子在溶液表面层达到一定量并做定向紧密排列,这时的溶液(D )A.定是饱和溶液B.定是不饱和溶液C.固-液界面的张力难以测定D.浓度不能判断5.少量表面活性剂在水溶液中,下列说法正确的是(BD )A.能增大溶液表面张力B.能显著降低溶液表面张力7C.不能改变溶液表面张力D.表现为正吸附E.表现为负吸附二、是非判断题 (4'×5=20')1.表面活性剂的HLB 值越大,其亲水性越强。
( )2.溶胶是均相系统,在热力学上是稳定的。
(×)2 / 33.胶束溶液是高度分散的均相的热力学稳定系统。
(√)4.非离子型表面活性剂随C 链增加cmc 降低。
(×)5.囊泡分散在液体中形成的是类似胶团的均匀的热力学稳定体系(×)三、填空题 (5'+5’+10’=20')1.液晶理论上有18种相,但通常常见的水-表面活性剂体系实际只有三种,分别是层状相,六方相,立方相,其中立方相没有双折光现象。
界面化学测试题5一、选择题 (4'×5=20')1.设反应()()()32CaCO s CaO s CO g =+已达平衡,在其他条件不变的情况下将CaCO 3进一步粉碎,则平衡(B )A.向左移动B.向右移动C.不移动D.不能确定2.下面对于物理吸附的描述,不正确的有(D )A.吸附力基于范德华力,吸附一般没有选择性B.吸附层可以是单分子层或多分子层C.吸附速度较快,吸附热较小D.吸附较稳定,不易解吸3.兰缪尔吸附等温式所基于的假设是(C )A.理想的气体行为B.平整的固体表面C.吸附热为一常数,不随吸附过程变化D.吸附与脱附的活化能均为零4.当在两玻璃板间放一滴水后,比不放水前这两块玻璃(BE )A.容易分开B.分开困难C.与不放水差不多D.推动(滑动)较难E.推动(滑动)较易5.测得氧在纯净的金属 W 表面上化学吸附热为 596.64 kJ·mol-1, 而气态氧原子的吸附热为 543.92 kJ·mol-1, 氧的解离能为 491.53 kJ·mol -1, 则氧在 W 表面上吸附性质为(D )A.分子吸附, 范德华力B.分子吸附, 生成氢键C.原子吸附, 生成共价键D.原子吸附, 生成吸附配位键二、是非判断题(4'×5=20')1.单分子层吸附只能是化学吸附,多分子层吸附只能是物理吸附。
(×)2.产生物理吸附的力是范德华力,作用较弱,因而吸附速度慢,不易达到平衡。
(×)3.根据Fowkes理论,正十二醇和三⼄乙胺的界面作用力通常只要考虑色散力。
(×)4.液体浸湿固体的条件是粘附Wi≤0。
(×)5.兰缪尔定温吸附理论只适用于单分子层吸附。
( )三、填空题(5'×4=20')1.θ为接触角,当COSθ= 1 时,也即–ΔG表=2γ液-气时,液体对固体完全润湿。
界面化学各题型试题汇总一、选择题1.液体表面最基本的特性是( )A.倾向于收缩 B.倾向于铺展 C.形成单分子吸附层2.若将液体与毛细管壁间的接触角近似看作0°,则液体在毛细管中的液面可以看作( )A.凹型B.凸型C.球面3.下列方程均为计算液a/液b 界面张力γab 的经验公式,其中Fowkes 公式为( )A.γab =γa -γbB.γab =γa + γb -2(γa γb )1/2C . γab =γa + γb -2(γa d γb d )1/24.吊片法测定液体表面张力时,要求尽可能采用表面粗糙的吊片材料,其目的是( )A.改善液体对吊片的润湿使θ接近于0°B. 改善液体对吊片的润湿使θ接近于90°C.改善液体对吊片的润湿使θ接近于180°5.溶液中溶剂记为1、溶质记为2,则吸附量Γ2(1)的含义为( )A.单位面积表面相与含有相等总分子数的溶液相比较,溶质的过剩量B.单位面积表面相与含有等量溶质的溶液相比较,溶剂的过剩量C.单位面积表面相与含有等量溶剂的溶液相比较,溶质的过剩量8.下列说法中不正确的是( )A.任何液面都存在表面张力B.平面液体没有附加压力C.弯曲液面的表面张力方向合力指向曲率中心D.弯曲液面的附加压力指向曲率中心9.运用过滤手段进行溶胶净化的目的是( )A.除掉反应过程中过量的副产物B.除掉过量的电解质C.除掉溶胶体系中的粗离子10.溶液中胶体离子表面的热力学电位是指下列哪个电学参数( )A.φ0B. φsC. ξ11.造成接触角滞后的主要原因是( )A.测量方法B.实验者过失C.表面不均匀和表面不平整12.固体自稀溶液中吸附等温线可分为4类18种,对于具有L 型吸附等温线的吸附过程的特征,下列说法正确的是( )A.溶液有强烈的吸附竞争,且溶质分子以单一端基近似垂直吸附于固体表面B.溶质与固体表面具有高亲和力,有类似与化学吸附特征的强烈吸附行为ngmuir 型,溶质比溶剂易于吸附,吸附时溶质分子多以其长轴或平面平行于固体表面13.对于胶体体系下列说法正确的是( )A.电解质引发胶体体系聚沉的主要原因是使扩散层变厚B.低浓度的聚合物可以使胶体体系发生聚沉,而高浓度的聚合物却可以使胶体体系稳定C.胶体体系属于热力学多相体系,由于界面自由能显著,所以无论采取何种措施都不可能获得相对稳定的胶体溶液二、填空题1. 液-固润湿过程有________,_________,_________.2. 固体自溶液中吸附时,极性吸附剂易于从非极性溶液中吸附_______物质,而非极性吸附剂易于从极性溶液中吸附________物质。
胶体与界面化学题集一、选择题1. 下列关于胶体的定义,正确的是?A. 胶体是由分散相和分散介质组成的混合物B. 胶体的分散相粒子直径小于1纳米C. 胶体的分散相粒子直径大于1000纳米D. 胶体的分散相和分散介质都是固体答案:A2. 下列哪种现象不是胶体的特征?A. 丁达尔效应B. 聚沉现象C. 沉降现象D. 布朗运动答案:C3. 下列关于胶体分类的说法,错误的是?A. 按分散相和分散介质的状态,胶体可分为气溶胶、液溶胶和固溶胶B. 按分散相粒子大小,胶体可分为大分子胶体和微粒胶体C. 按电荷性质,胶体可分为正胶体和负胶体D. 按分散相形状,胶体可分为球形胶体、纤维状胶体和层状胶体答案:B4. 下列哪种物质不属于胶体?A. 牛奶B. 肥皂水C. 食盐溶液D. 血液答案:C5. 下列关于胶体稳定性的说法,正确的是?A. 胶体的稳定性与分散相粒子大小无关B. 胶体的稳定性与分散介质的粘度有关C. 胶体的稳定性与分散相粒子的电荷密度无关D. 胶体的稳定性与温度无关答案:B6. 下列哪种现象是胶体聚沉的结果?A. 沉降B. 布朗运动C. 丁达尔效应D. 胶体的颜色变化答案:A7. 下列关于胶体电泳的说法,错误的是?A. 胶体电泳是指在电场作用下,胶体粒子发生迁移的现象B. 胶体电泳速度与胶体粒子的电荷密度成正比C. 胶体电泳速度与电场强度成正比D. 胶体电泳速度与分散介质粘度成正比答案:D8. 下列哪种方法不能用于制备胶体?A. 溶胶-凝胶法B. 水解法C. 熔融法D. 机械研磨法答案:C9. 下列关于胶体粒子的说法,正确的是?A. 胶体粒子的直径大于1微米B. 胶体粒子的直径小于1纳米C. 胶体粒子的直径在1纳米到1000纳米之间D. 胶体粒子的直径在1微米到100微米之间答案:C10. 下列哪种现象是胶体吸附的结果?A. 胶体的颜色变化B. 胶体的聚沉C. 胶体的丁达尔效应D. 胶体的电泳答案:A11. 下列关于胶体保护作用的说法,错误的是?A. 胶体保护作用是指胶体粒子阻止分散相粒子聚集的现象B. 胶体保护作用与胶体粒子的电荷密度有关C. 胶体保护作用与分散介质的粘度无关D. 胶体保护作用与温度无关答案:D12. 下列哪种物质是典型的正胶体?A. 蛋白质B. 硅胶C. 炭黑D. 聚苯乙烯答案:A13. 下列哪种物质是典型的负胶体?A. 硫酸钡B. 氢氧化铁C. 聚丙烯酸D. 碘化银答案:C14. 在胶体化学中,下列哪种效应是由于胶体粒子对光的吸收造成的?A. 丁达尔效应B. 布朗运动C. 电泳D. 聚沉答案:A15. 下列关于胶体稳定性的理论,哪个是描述胶体粒子之间斥力和引力平衡的?A. DLVO理论B. 胶体吸附理论C. 胶体保护理论D. 胶体聚集理论答案:A16. 在胶体系统中,下列哪种现象与电解质的加入无关?A. 电泳B. 电渗C. 聚沉D. 丁达尔效应答案:D17. 下列哪种方法通常用于胶体粒子的电荷测定?A. 光散射B. 电子显微镜C. 粘度测量D. 微电泳答案:D18. 在胶体化学中,下列哪种现象是由于胶体粒子在电场中的迁移造成的?A. 电泳B. 电渗C. 丁达尔效应D. 聚沉答案:A19. 下列哪种物质通常用作胶体系统的凝聚剂?A. 聚乙烯醇B. 硫酸C. 氢氧化钠D. 硝酸答案:B20. 在胶体化学中,下列哪种过程涉及到胶体粒子的电荷中和?A. 胶体的形成B. 胶体的稳定C. 胶体的聚沉D. 胶体的溶解答案:C21. 在胶体化学中,下列哪种技术可以用来测定胶体粒子的表面电荷?A. 光散射技术B. 透射电子显微镜(TEM)C. 扩散双电层理论D. 微电泳技术答案:D22. 下列哪种现象是胶体粒子在电场作用下发生的?A. 丁达尔效应B. 布朗运动D. 聚沉答案:C23. 在胶体系统中,下列哪种作用力对胶体稳定性影响最大?A. 粘附力B. 水合力C. 静电力D. 热运动答案:C24. 下列哪种物质在水中形成的胶体是带正电荷的?A. 氢氧化铁胶体B. 硅胶胶体C. 聚苯乙烯磺酸钠胶体D. 碘化银胶体答案:A25. 在胶体化学中,下列哪种方法可以用来控制胶体粒子的生长?A. 改变分散介质的pH值B. 增加分散介质的温度C. 加入大量的电解质D. 使用高速离心机答案:A26. 下列哪种现象不是由于胶体粒子的存在而产生的?A. Tyndall效应B. Brownian运动C. 沉降D. 电泳答案:C27. 在胶体化学中,下列哪种效应是由于胶体粒子对光的散射造成的?A. 电泳B. 电渗C. Tyndall效应D. 聚沉答案:C28. 下列哪种物质通常用作胶体粒子的分散剂?A. 硫酸B. 氢氧化钠C. 聚乙烯醇D. 硝酸答案:C29. 在胶体化学中,下列哪种过程涉及到胶体粒子的电荷调节?A. 胶体的形成B. 胶体的稳定C. 胶体的聚沉D. 胶体的溶解30. 下列哪种方法不是用于制备胶体的一种技术?A. 溶胶-凝胶法B. 水解法C. 机械研磨法D. 精馏答案:D31. 在胶体化学中,下列哪种现象是由于胶体粒子在流体中的随机运动造成的?A. Tyndall效应B. Brownian运动C. 电泳D. 聚沉答案:B32. 下列哪种物质在水中形成的胶体是带负电荷的?A. 氢氧化铁胶体B. 硅胶胶体C. 聚苯乙烯磺酸钠胶体D. 碘化银胶体答案:C33. 在胶体化学中,下列哪种效应是由于胶体粒子对光的吸收造成的?A. Tyndall效应B. Brownian运动C. 电泳D. 聚沉答案:A34. 下列哪种物质通常用作胶体粒子的稳定剂?A. 硫酸B. 氢氧化钠C. 聚乙烯醇D. 硝酸答案:C35. 在胶体化学中,下列哪种过程涉及到胶体粒子的电荷中和?A. 胶体的形成B. 胶体的稳定C. 胶体的聚沉D. 胶体的溶解答案:C36. 下列哪种方法通常用于胶体粒子的尺寸测量?A. 光散射技术B. 透射电子显微镜(TEM)C. 扩散双电层理论D. 微电泳技术答案:B37. 在胶体动力学中,下列哪种现象与胶体粒子的热运动无关?A. 布朗运动B. 扩散C. 电泳D. 聚沉答案:D38. 下列哪种因素会影响胶体粒子的布朗运动速度?A. 粒子的形状B. 粒子的密度C. 分散介质的温度D. 粒子的电荷答案:C39. 在胶体系统中,下列哪种现象是由于胶体粒子之间的排斥力引起的?A. 聚沉B. 电泳C. 丁达尔效应D. Brownian运动答案:D40. 下列哪种技术可以用来观察胶体粒子的动态行为?A. 光学显微镜B. 透射电子显微镜(TEM)C. 扫描电子显微镜(SEM)D. 动态光散射技术答案:D41. 在胶体化学中,下列哪种现象是由于胶体粒子在电场中的迁移速度不同造成的?A. 电泳B. 电渗C. 丁达尔效应D. 聚沉答案:A42. 下列哪种因素会影响胶体粒子的电泳速度?A. 粒子的形状B. 粒子的密度C. 电场强度D. 分散介质的粘度答案:C43. 在胶体系统中,下列哪种现象是由于胶体粒子在重力作用下的沉降造成的?A. 沉降B. 电泳C. 丁达尔效应D. 聚沉答案:A44. 下列哪种方法可以用来测定胶体粒子的表面电荷密度?A. 光散射技术B. 透射电子显微镜(TEM)C. 扩散双电层理论D. 微电泳技术答案:D45. 在胶体化学中,下列哪种现象是由于胶体粒子对光的散射造成的?A. 电泳B. 电渗C. Tyndall效应D. 聚沉答案:C46. 下列哪种因素会影响胶体粒子的扩散系数?A. 粒子的形状B. 粒子的密度C. 分散介质的温度D. 粒子的电荷答案:C47. 在胶体动力学中,下列哪种现象与胶体粒子的热运动有关?A. 布朗运动B. 扩散C. 电泳D. 聚沉答案:A48. 下列哪种技术可以用来测定胶体粒子的沉降速度?A. 光散射技术B. 透射电子显微镜(TEM)C. 扩散双电层理论D. 沉降管法答案:D49. 在胶体化学中,下列哪种现象是由于胶体粒子之间的吸引作用引起的?A. 聚沉B. 电泳C. 丁达尔效应D. Brownian运动答案:A50. 下列哪种因素会影响胶体粒子的电泳迁移率?A. 粒子的形状B. 粒子的密度C. 电场强度D. 分散介质的粘度答案:C51. 在胶体化学中,下列哪种现象是由于胶体粒子对光的散射造成的?A. 丁达尔效应B. 荧光C. 散射D. 吸收答案:A52. 下列哪种方法可以用来研究胶体粒子的光学性质?A. 透射电子显微镜(TEM)B. 扫描电子显微镜(SEM)C. 光散射技术D. 光谱分析答案:C53. 胶体粒子的光学性质与下列哪个因素无关?A. 粒子的形状B. 粒子的尺寸C. 粒子的浓度D. 粒子的折射率答案:D54. 下列哪种现象是由于胶体粒子对光的吸收造成的?A. 丁达尔效应B. 荧光C. 散射D. 吸收答案:D55. 在胶体光学中,下列哪种技术可以用来测定胶体粒子的散射强度?A. 折射率测量B. 旋光仪C. 动态光散射(DLS)D. 光谱分析答案:C56. 下列哪种现象是由于胶体粒子对光的散射造成的?A. 丁达尔效应B. 荧光C. 散射D. 吸收答案:A57. 胶体粒子的散射强度与下列哪个因素成正比?A. 粒子的形状B. 粒子的尺寸C. 粒子的浓度D. 粒子的折射率答案:B58. 在胶体光学中,下列哪种技术可以用来研究胶体粒子的光学活性?A. 透射电子显微镜(TEM)B. 扫描电子显微镜(SEM)C. 光散射技术D. 光谱分析答案:D59. 下列哪种现象是由于胶体粒子对光的吸收造成的?A. 丁达尔效应B. 荧光C. 散射D. 吸收答案:D60. 在胶体光学中,下列哪种技术可以用来测定胶体粒子的光吸收能力?A. 折射率测量B. 旋光仪C. 动态光散射(DLS)D. 光谱分析答案:D61. 下列哪种现象是由于胶体粒子对光的散射造成的?A. 丁达尔效应B. 荧光C. 散射D. 吸收答案:A62. 胶体粒子的散射强度与下列哪个因素成反比?A. 粒子的形状B. 粒子的尺寸C. 粒子的浓度D. 粒子的折射率答案:C63. 在胶体光学中,下列哪种技术可以用来研究胶体粒子的光学性质?A. 透射电子显微镜(TEM)B. 扫描电子显微镜(SEM)C. 光散射技术D. 光谱分析答案:C64. 下列哪种现象不是由胶体粒子的光学性质引起的?A. 丁达尔效应B. 荧光C. 散射D. 吸收答案:B65. 下列哪种方法可以用来测定胶体粒子的光学活性?A. 折射率测量B. 旋光仪C. 动态光散射(DLS)D. 光谱分析答案:B66. 胶体粒子的光学活性与下列哪个因素无关?A. 粒子的形状B. 粒子的尺寸C. 粒子的浓度D. 粒子的电荷答案:D67. 下列哪种现象是由于胶体粒子对光的吸收造成的?A. 丁达尔效应B. 荧光C. 散射D. 吸收答案:D68. 在胶体光学中,下列哪种技术可以用来测定胶体粒子的光吸收能力?A. 透射电子显微镜(TEM)B. 光谱分析C. 光散射技术D. 折射率计答案:B69. 下列哪种现象是由于胶体粒子对光的散射造成的?A. 丁达尔效应B. 荧光C. 散射D. 吸收答案:A70. 胶体粒子的散射强度与下列哪个因素成正比?A. 粒子的形状B. 粒子的尺寸C. 粒子的浓度D. 粒子的折射率答案:B71. 在胶体光学中,下列哪种技术可以用来研究胶体粒子的光学活性?A. 透射电子显微镜(TEM)B. 光谱分析C. 光散射技术D. 折射率计答案:B72. 下列哪种现象是由于胶体粒子对光的吸收造成的?A. 丁达尔效应B. 荧光C. 散射D. 吸收答案:D73. 在胶体光学中,下列哪种技术可以用来测定胶体粒子的光学活性?A. 透射电子显微镜(TEM)B. 光谱分析C. 光散射技术D. 折射率计答案:B74. 下列哪种现象是由于胶体粒子对光的吸收造成的?A. 丁达尔效应B. 荧光C. 散射D. 吸收答案:D75. 在胶体光学中,下列哪种技术可以用来研究胶体粒子的光学性质?A. 透射电子显微镜(TEM)B. 光谱分析C. 光散射技术D. 折射率计答案:C76. 下列哪种现象是由于胶体粒子对光的散射造成的?A. 丁达尔效应B. 荧光C. 散射D. 吸收答案:A77. 胶体粒子的散射强度与下列哪个因素成反比?A. 粒子的形状B. 粒子的尺寸C. 粒子的浓度D. 粒子的折射率答案:C78. 在胶体光学中,下列哪种技术可以用来研究胶体粒子的光学性质?A. 透射电子显微镜(TEM)B. 光谱分析C. 光散射技术D. 折射率计答案:C79. 下列哪种现象不是由胶体粒子的光学性质引起的?A. 丁达尔效应B. 荧光C. 散射D. 吸收答案:B80. 下列哪种方法可以用来测定胶体粒子的光学活性?A. 透射电子显微镜(TEM)B. 光谱分析C. 光散射技术D. 折射率计答案:B81. 胶体粒子的光学活性与下列哪个因素无关?A. 粒子的形状B. 粒子的尺寸C. 粒子的浓度D. 粒子的电荷答案:D82. 下列哪种现象是由于胶体粒子对光的吸收造成的?A. 丁达尔效应B. 荧光C. 散射D. 吸收答案:D83. 在胶体光学中,下列哪种技术可以用来测定胶体粒子的光吸收能力?A. 透射电子显微镜(TEM)B. 光谱分析C. 光散射技术D.84.在胶体光学中,下列哪种技术可以用来测定胶体粒子的光吸收能力?A.透射电子显微镜(TEM)B.光谱分析C.光散射技术D.折射率计答案:B85.下列哪种现象是由于胶体粒子对光的散射造成的?A.丁达尔效应B.荧光C.散射D.吸收答案:A86.胶体粒子的散射强度与下列哪个因素成正比?A.粒子的形状B.粒子的尺寸C.粒子的浓度D.粒子的折射率答案:B87.在胶体光学中,下列哪种技术可以用来研究胶体粒子的光学活性?A.透射电子显微镜(TEM)B.光谱分析C.光散射技术D.折射率计答案:B88.下列哪种现象是由于胶体粒子对光的吸收造成的?A.丁达尔效应B.荧光C.散射D.吸收答案:D二、简答题1.如何制备Fe(OH)₃胶体,并说明其原理?答案:向煮沸的蒸馏水中逐滴加入5~6滴FeCl₃饱和溶液,继续加热煮沸至溶液呈红褐色,即得到Fe(OH)₃胶体。
界面与胶体化学练习(化学2006级2008-12-15)一、选择题( 共35题)1. 测得氧在纯净的金属W 表面上化学吸附热为596.64 kJ·mol-1, 而气态氧原子的吸附热为543.92 kJ·mol-1, 氧的解离能为491.53 kJ·mol-1, 则氧在W 表面上吸附性质为:( )(A) 分子吸附, 范德华力(B) 分子吸附, 生成氢键(C) 原子吸附, 生成共价键(D) 原子吸附, 生成吸附配位键2. 两液体A和B表面张力γA=γB,密度ρA=2ρB,一毛细管插入A中液面上升2.0 cm,插入B中液面上升多少?(假定两液体皆完全润湿管壁)()(A) 1.0 cm (B) 2.0 cm(C) 4.0 cm (D) 5.0 cm3. 已知1000 K 时,界面张力如下:γ( Al2O3(s)-g ) = 1 N·m-1,γ( Ag(l)-g )= 0.92 N·m-1, γ( Ag(l)-Al2O3(s) )= 1.77 N·m-1。
则1000 K 时,液态银滴在Al2O3(s) 表面上的接触角θ是:( )(A) 33.2°(B) 46.5°(C) 101.2°(D) 146.8°4. 对于亲水性表面,其各界面张力之间关系是:( )(A) γs-l > γs-g(B) γs-l < γs-g(C) γs-l = γs-g(D) 不能确定5. 在298 K下,将液体水分散成小液滴,其热力学能:()(A)增加(B) 降低(C) 不变(D) 无法判定在绝热条件下,将液体分散成小颗粒液滴,液体的温度将:()(A)上升(B) 下降(C) 不变(D) 无法判定6. 一玻璃罩内封住半径大小不同的水滴,罩内充满水蒸气,过一会儿会观察到:()(A) 大水滴变小,小水滴变大(B)大水滴变大,小水滴变小而消失(C)无变化(D) 大小水滴皆蒸发消失7. 下面说法不正确的是:( )(A) 生成的新鲜液面都有表面张力(B) 平面液面没有附加压力(C) 弯曲液面的表面张力的方向指向曲率中心(D) 弯曲液面的附加压力指向曲率中心8. 设θ为表面覆盖度, 根据Langmuir 理论, 其吸附速率为:( )(A) aθ(B) aθ p(C) a(1-θ)p(D) a(1-θ)9. 表面活性剂具有增溶作用,对增溶作用说法不正确的是:( )(A) 增溶作用可以使被溶物的化学势大大降低(B) 增溶作用是一个可逆的平衡过程(C) 增溶作用也就是溶解作用(D) 增溶作用与乳化作用不同10. 微小晶体与普通晶体相比较,哪一种性质不正确?( )(A) 微小晶体的饱和蒸气压大(B) 微小晶体的溶解度大(C) 微小晶体的熔点较低(D) 微小晶体的溶解度较小11. 用BET 流动法测定硅胶小球的比表面时,要求吸附质和吸附剂之间最好:( )(A) 只有化学吸附(B) 只有物理吸附(C) 既有物理吸附,又有化学吸附(D) 没有任何吸附12. 下列说法中不正确的是:( )(A) 生成的新鲜液面都有表面张力(B) 平面液体没有附加压力(C) 弯曲液面的表面张力的方向指向曲率中心(D) 弯曲液面的附加压力指向曲率中心13. 一个U 型管的两臂直径不同,一端为1×10-3 m,另一端为3×10-3 m,水的表面张力为0.072 N·m-1。
1、半径为r的球形肥皂泡内的附加压力是。
2、液滴的半径越小,饱和蒸气压越,液体中的气泡半径越小,气泡内液体的饱和蒸压越。
3、憎液固体,其表面不能被液体所润湿,其相应的接触角θ 90°。
5、加入表面活性剂,使液体的表面张力,表面活性剂在溶液表面的浓度一定它在体相的浓度。
6、润湿液体在毛细管中上升的高度与毛细管内径成关系,与液体的表面张力成关系。
7、温度升高时,纯液体的表面张力。
8、在讨论固体对气体等温吸附的兰格谬尔理论中,最重要的基本假设为:吸附是层的。
9、表面活性物质在结构上的特点是同时具有基和基。
1、在进行蒸馏实验时要在蒸馏瓶中加些碎磁片或沸石以防止暴沸,其道理何在?2、水在玻璃管中呈凹形液面,但水银则呈凸形液面,为什么?3、何为过饱和蒸气,何为过热液体?解释它们存在的原因。
4、为什么在室温室压下,固体表面吸附过程是自发过程?5、亲水性固体表面,经过表面活性剂(如防水剂)处理后,为什么可以改变其表面性质,使其具有憎水性?1 试导出液体C在液体A和B的界面上展开的条件。
解:液体C在液体A和B的界面上展开即增加液体C-A间和液体C-B间的界面,同时减少液体A和B的界面的过程。
此过程的,因此液体C在液体A和B的界面上能铺展开的条件是:。
2 293K时水在石蜡面上的接触角为105°,试求黏附功W a和铺展系数S 。
已知水的表面张力为72.8×10-3N〃m-1。
解:粘附功:= 72.810-3(1+cos105)N m-1=54.0N m-1铺展系数:=72.810-3(cos(105)-1)N m-1=-91.6N m-1因此水不能在石蜡表面铺展,但可以沾湿石蜡。
3、已知27℃和100℃时水的饱和蒸气压分别为3.529kPa、101.325kPa;密度分别为0.997 103kg〃m-3及0.958 103kg〃m-3;表面张力分别为7.18 10-2N〃m-1及5.8910-2N〃m-1;水在100℃、101.325kPa下的摩尔气化热△vap H m为40.656kJ〃mol-1。