关于公布2015年全日制学生转专业人员名单的通知【模板】
- 格式:docx
- 大小:40.60 KB
- 文档页数:11
南京大学关于全日制本科生转专业的若干规定南字发[2003]89号一、总则第一条为充分体现“以人为本、以学生为中心”的教学管理理念,不断完善学生自我构建知识结构的管理机制,充分发挥学生的个性、特长,尊重学生的志向和爱好,进一步调动学生的学习积极性、主动性,特制定本规定。
第二条学校对转专业的年级和学生人数实行宏观控制,原则上允许一、二年级的学生转专业,一年级转专业学生人数控制在全年级总人数的10%以内;二年级控制在5%以内。
第三条学生提出转专业申请,只限于第二学期至第四学期。
每年5月10日至5月15日为受理时间,5月25日至30日为接收院系甄别考试时间,6月5日至8日进行学校评审,6月10日之前公布转专业学生名单。
二、转专业资格第四条凡提出申请转专业的学生,应具备下列条件:1、思想品质优良;2、学习成绩良好以上;3、对所转专业有一定的特长和志向。
第五条有下列情况者,不得申请转专业:1、新生入学未满一学期者;2、本科三年级(含三年级)以上者;3、在校期间受到警告(含警告)以上处分者;4、有一门(含一门)以上必修课不及格者;5、在校期间已有一次转专业记录者;6、专科升入本科者。
第六条因公伤事故或患某种疾病、生理缺陷需转专业者,必须由本校医院检查,证明其不能在原专业继续学习,由学校根据实际情况,安排申请者转入有关专业。
第七条有特殊情况的、经学校确认必须转专业的学生,由学校甄别情况妥善安排。
三、转专业程序第八条各院系根据所在专业毕业生就业情况(如果所在专业毕业生就业率偏低,不得接受外院系转专业学生)和本院系师资、实验条件等状况,提出能接收外专业转入学生人数并报教务处。
第九条教务处根据教学条件,确定并统一公布各专业接收转专业人数。
第十条凡需申请转专业的学生在规定时间内,向所在院系提出书面申请,并填写《南京大学学生转专业申请表》,报主管教学院长或系主任审批,经所在院系同意后,报校教务处。
第十一条教务处汇总各院系申请转专业学生名单并进行资格预审,教务处预审同意转专业的学生,参加转入院系组织的考试、考核。
武汉轻工大学教务处教务通知〔2016〕48号关于做好2015级本科生2016-2017学年第1学期部分课程选课的通知各学院:根据学校完全学分制推进部署安排,2016-2017学年第1学期,针对实施完全学分制的2015级本科生,学校安排《马克思主义基本原理》、《大学体育3》、《C语言程序设计》、《VFP程序设计》、《大学物理I2》、《大学物理II2》、《大学英语3》等7门课程,由学生按照个人意愿在规定上课时间内选择任课教师,为做好选课工作,现就有关事项通知如下:一、选课前的准备参与选课的学生须阅读《选课手册》(见教务处运行科网站),熟悉学校教务管理系统选课操作步骤;了解《马克思主义基本原理》、《大学体育3》、《C语言程序设计》、《VFP程序设计》、《大学物理I2》、《大学物理II2》、《大学英语3》等7门课程授课教师的基本情况(见教务处运行科网站),为选课做好准备。
二、选课课程与选课对象1、《马克思主义基本原理》课程选课对象除酿酒工程(德语班)、酿酒工程(英语班)、广告学(中美合作项目)、工程管理(中美合作项目)、电气学院教改实验班、会计学(ACCA)班以外的所有2015级本科学生。
2、《大学体育3》课程选课对象除中外合作项目以外的所有2015级本科学生。
3、《C语言程序设计》课程选课对象土木工程与建筑学院(中美合作项目工程管理专业除外)、化学与环境工程学院、食品科学与工程学院(中英合作项目食品科学与工程专业及食品工程1501班除外)等3学院的2015级本科学生。
4、《VFP程序设计》课程选课对象经济与管理学院(ACCA班除外)、艺术与传媒学院(中美合作项目广告学专业除外)、外国语学院等3学院的2015级本科学生。
5、《大学物理I2》课程选课对象电气信息类、电子信息科学与技术专业、土建类、给水排水科学与工程专业、计算机类、信息与计算科学专业、机械类等7个专业(类)的2015级本科学生。
6、《大学物理II2》课程选课对象食品类、化工类、动物科学专业、动物药学专业、水产养殖学专业等5个专业(类)的2015级本科学生。
关于征集2015级新生转专业志愿的通知各学院、分校:根据教育部、山东省教育厅的相关规定以及《临沂大学全日制学生转专业管理暂行办法》(临大教字[2015]33号)文件要求,为保证学校教学资源的优化利用和学生个性化成长的需求,现将有关征集2015级新生转专业志愿的通知如下:一、申请条件1.申请转专业的学生上学期的所有必修课程必须全部合格,并且所有必修课程的平均学分绩点排名在同年级同层次同专业学生前40%;2.无《临沂大学全日制学生转专业管理暂行办法》(临大教字[2015]33号)第九条所列情况;3.确有专业特长,转专业更能发挥其特长,有相关作品、获奖证书等证明,并能满足转入学院提出的基础课程与专业课程考核成绩的要求;4.入学后因患某种疾病或生理缺陷,不宜在原专业学习,但尚能在本校其他专业学习,并须出具学校指定的县级(含县级)以上医疗机构的病情证明材料。
二、转入人数每个专业允许转入学生人数不超过该专业同年级同层次在校生人数的10%。
三、专业调整过程中注意事项1.要求转专业的学生,必须先到原录取学院办理入学报到手续,由学生本人提出申请,填写《2015级新生转专业申请表》,相关学院进行入学资格及转专业资格审查并签署意见,教务处审核报学校审批后办理学生转专业手续,同时报省教育厅、教育部备案。
2.学生转专业除补缴学费差额外,学校不收取任何额外费用。
转专业申请经学校批准后,需补缴学费差额的学生,到财务处办理缴款手续。
3.新生提出转专业申请的截止时间为2016年3月28日上午12:00,经原录取学院初审汇总后于3月28日下午统一报送教务处。
4.所有的转专业申请必须经教务处审核、学校研究同意后,教务处统一办理手续,并书面通知转出及转入学院及相关部门。
学生持转专业通知单和本人档案材料到新专业报到,擅自转专业责任自负。
5.转专业手续办理后,学生不得再改选其他专业,不允许二次调整专业。
6.对转专业的学生,原录取学院、转入学院均必须按照我校《关于做好2015级新生入学资格审查工作的通知》和我校有关规定进行严格审查。
山东省教育厅关于规范中等职业学校招生加强学籍管理的通知文章属性•【制定机关】山东省教育厅•【公布日期】2015.08.14•【字号】鲁教职字〔2015〕21号•【施行日期】2015.08.14•【效力等级】地方规范性文件•【时效性】现行有效•【主题分类】职业教育与成人教育,中等教育,招生考试正文山东省教育厅关于规范中等职业学校招生加强学籍管理的通知鲁教职字〔2015〕21号各市教育局:根据《教育部办公厅关于做好2015年高中阶段学校招生工作的通知》(教职成厅〔2015〕1号)、《关于进一步加强中等职业学校学生学籍管理工作的通知》(教职成司函〔2013〕68号)、《教育部关于印发〈中等职业学校学生学籍管理办法〉的通知》(教职成〔2010〕7号)等文件精神,现就进一步规范中等职业学校招生、加强学籍管理工作通知如下:一、规范办学行为1.各市要进一步规范中等职业学校招生和办学行为,建立中等职业学历教育招生审核备案制度,严格实行资格审查,学校招生简章必须经市教育局主管科(处)室和招生部门审核后方可向社会发布。
对不具备基本办学条件和招生办学严重违纪的学校,要坚决停止招生。
2.各市要充分利用全国中等职业学校学生管理信息系统等信息技术手段,加强招生工作规范。
对中职学校举办普通高中班招收的学生,不得注册中职学籍。
招生工作结束后,要对学校招生情况进行核查。
3.加强对联合办学和校外教学点的设置管理。
开展联合办学的学校双方都必须具有中等职业学历教育资格,经学校双方市级教育行政部门审核同意后,由主办方学校所在市级教育行政部门报我厅核准。
中等职业学校不得跨市设置教学点,在同一市域内确需设置教学点(班)的,要按照属地原则,由市级教育行政部门审核同意后报我厅备案。
联合办学招收的学生,在就读学校注册学籍,在联办学校备案。
各中等职业学校在申请注册学生学籍时,对于不在校本部学习的学生,要如实注明学生的学习地点。
市县教育行政部门要对各中职学校分校、校外教学点(班)学生学习和学籍管理加强监管,对达不到基本办学条件和教学质量要求的分校、教学点(班)坚决予以清理。
天津大学文件天大校教〔2009〕14号签发人:余建星
关于公布2008级学生获准转专业名单的通知
各学院及各有关单位:
根据天津大学《关于做好2008级本科生转专业工作的通知》和《关于2008级学生转入软件学院学习的通知》的文件要求,经学生申请,学生所在学院同意,由教务处统一组织了转专业考核。
按照考核分数择优录取的原则,依据学生志愿,有45名学生获得转专业资格。
同时根据文件规定,2008级工科高层次实验班有66名学生获得转专业资格。
经学校研究,主管校长批准,同意崔巍等111名同学转入相关专业学习,现予以公布。
上述获得转专业资格的学生应严格按转专业文件的要求,随原专业参加本学期的期末考试(工科高层次班学生仍随高班考试),未参加原专业期末考试或期末考试出现不及格课程者将取消其转专业资格。
附件:1.天津大学2008级获准转专业学生名单
2.天津大学2008级学生转专业考试成绩
天津大学
二○○九年六月八日(联系人:白竹;联系电话:27405864)
主题词:教育转专业△名单通知
(共印3份)天津大学校长办公室 2009年6月8日印发
附件1
天津大学2008级获准转专业学生名单
3
4
5
6
附件2
天津大学2008级学生转专业考试成绩
8。
关于做好2015-2016学年全日制普通本科生转专业工作的通知各学院:根据《广西师范大学全日制普通本科学生转专业暂行规定》(师政教学〔2009〕77号,以下简称《暂行规定》),经研究,决定从本周起开始接受全日制普通本科生(不含中外校际交流项目学生和专升本学生,下同)的转专业申请,现将有关事项通知如下:一、申请条件全日制普通本科生转专业申请条件按照《暂行规定》中的“原则要求”和“条件要求”执行。
二、工作安排(一)学生提出申请阶段(3月23日- 4月1日)符合条件的学生认真填写《广西师范大学全日制普通本科学生转专业申请/审批表》(一式两份)(表格可至教务处下载区下载)后,连同《暂行规定》中规定的相关证明材料一起,提交所在学院教务办公室(教学秘书)。
(二)转出学院审核阶段(4月11日- 4月18日)转出学院根据《暂行规定》的有关规定,对学生的申请材料进行认真审核,按照“不超过转出专业和年级人数的8%”的规定,确定同意转出的学生名单,并在本学院范围内公示3个工作日,经院长签字后,填好《广西师范大学全日制普通本科学生转专业名单汇总表》(表格可至教务处下载区下载)并报送教务处学籍管理科。
(三)转入学院考核阶段(4月25日- 5月10日)学籍管理科将符合转专业申请条件的学生名单及材料转到学生拟转入学院,学院根据《暂行规定》的有关规定,对申请转专业的学生进行认真考核,按照“不超过转入专业和年级人数的8%”的规定,确定同意转入的学生名单和编入年级,并在本学院范围内公示3个工作日,经院长签字后,填好《广西师范大学全日制普通本科学生转专业名单汇总表》(表格可至教务处下载区下载),连同考核证明材料一并报送教务处学籍管理科。
(四)学校复核和公布阶段(5月15日- 5月27日)教务处对所有学生的申请材料进行复核,报分管副校长签署意见,在校园网上公布转专业学生名单,并通知学生本人及相关学院。
(五)学生办理手续阶段(6月8日- 6月17日)获准转专业的学生完成相关学籍异动手续工作。
关于12级转专业(普通生)考试安排的通知
各位12级申请普通生转专业的学生,考试安排如下:
时间:9月7日(周六)
英语:上午9:00~11:00(含听力)
数学:下午1:00~3:00
考试地点:松江校区一教,1121、1125
考生须知:具备考试资格的学生
1、请带好校园一卡通和学生证
2、英语考试请带好2B铅笔和收音机
咨询电话:67792065
附件:普通生转专业考试数学类别及考场安排
教务处
2013.9.5 附件:
普通生转专业考试数学类别及考场安排
注:申请大飞机班的学生,数学按原专业数学要求考试。
其他同学按转入的第一志愿专业的数学要求考试。
物理与电子电气工程学院2015级院内本科生转专业实施方案为贯彻以学生为本的办学理念,体现因材施教原则,充分发挥学生的个性优势,调动学生学习的积极性和主动性,提高人才培养质量,使学生有更多的专业选择机会和更大的个人发展空间。
根据《淮阴师范学院全日制本科生校内转专业工作暂行办法》的相关规定以及学校教务处《关于开展2014级学生校内转专业工作的通知》精神,现结合学院的实际情况,制定实施方案。
一、领导小组成员名单组长:陈贵宾、俞阿龙副组长:于海春成员:孙红兵、刘仁明、华正和、戴金桥、陈勇、李清波秘书:黄风燕二、咨询人员与地点咨询人员:于海春、黄风燕咨询地点:院教务办公室(理工北楼101)三、转专业条件修完一年级课程的在籍全日制一年级本科生,符合下列条件,均可申请:(一)遵守《高等学校学生行为准则》和学校规章制度,无违规违纪记录;(二)所修通识通修课程全部合格;(三)进校后无转学、转专业经历;(四)非中外合作班学生;(五)非正在休学、服兵役的学生;(六)非对口单招专业学生;(七)身体健康,符合拟转入专业体检要求。
四、转专业人数的确定原则(一)转出专业学生所在班级人数少于30人,原则上不予转出。
当班级申请转出人数使班级人数少于30人时,对拟转出学生的学业成绩(核算方法见附件3)进行排序,排名靠前者优先。
(二)转入专业班级人数以58人为限,确定转入专业学生计划数。
当申请转入人数大于计划数时,对拟转入学生的学业成绩(全部成绩绩点)进行排序,排名靠前者优先。
(三)特殊情况由院转专业工作领导小组研究。
五、转专业办法(一)具备转专业条件的学生,由本人填写《淮阴师范学院学生转专业考核审批表》(见附件1),于4月21日前送物电教务办公室,教务办公室对申请人资格审核后,将符合报名资格的学生名单公布。
申请跨院转专业的学生不得申请院内转专业。
(二)4月27日前教务处将公布准试人员名单,请符合院内转专业资格的学生必须在5月9日到学院教务办领取准考证,未领取准考证者不得参加考试,视为自动放弃。
上海杉达学院文件杉达内(教)〔2017〕20号XX学院关于印发《XX学院本科生转专业管理规定》的通知各处(室、馆、所)、各学院:为鼓励学生个性和特长发展,充分调动学生的学习积极性和主动性,根据《普通高等学校学生管理规定》(教育部令第41号)和《XX 学院学生管理规定》,结合学校实际,学校修订了《XX学院本科生转专业管理规定》。
现下发给你们,望认真抓好相关工作的落实。
特此通知。
附件:XX学院本科生转专业管理规定XX学院2017年8月30日附件XX学院本科生转专业管理规定(2017年8月30日)为鼓励学生个性和特长发展,充分调动学生的学习积极性和主动性,学生转专业规定如下:一、适用对象转专业的适用对象为XX学院全日制普通本科在校学生。
学生在校期间,可有一次从入学专业转入另一个专业学习的机会。
二、时间安排本科在校学生可在一年级第一学期第13周提出申请转专业要求,经审批通过后于新学期初转入新专业就读。
三、基本条件1.优秀生转专业基本条件(1)全日制本科大一学生,且完成第一学期教学计划所列的所有课程;(2)无不及格课程,无补考、重新学习记录;已修课程平均绩点≥3.0,且排名位于同年级同专业前30%(含)以内;(3)身体条件符合转入专业招生要求;(4)入学以来无违纪处分记录;(5)通过学院组织的面试(或笔试)。
2.特殊情况转专业基本条件如学生确有专长,对所申请转入专业具有浓厚的兴趣、志向和基础,转专业后更能发挥其专长或因其他特殊情况确需转专业的,由学生所在学院及拟接收学院提出调整专业的意见,经学校教务处审核,报学校分管领导批准,可以根据个人实际情况同级或降级调整专业。
学校因根据社会人才需求情况发生的变化,需要适当调整专业时,允许在读学生转到其它相关专业就读。
休学创业或退役后复学的学生,因自身情况需要转专业的,经相关院(系)考核和选拔,学校审核符合相关条件者,将优先予以考虑。
四、不予转专业1.本人高考类别与申请转入的专业高考类别不同;2.三、四年级在读学生;3.专升本的学生;4.在校学习期间已经转过1次专业;5.以特殊形式录取或不符合转入专业的录取要求的;6.国家有相关规定或录取前与学校有明确约定的。
关于印发《湖南科技大学普通全日制本科生转专业管理办法》的通知校属各单位:现将《湖南科技大学普通全日制本科生转专业管理办法》印发给你们,请遵照执行。
湖南科技大学 年月日湖南科技大学文件 科大政发〔〕号湖南科技大学普通全日制本科生转专业管理办法第一章总则第一条为调动和发挥本科学生的学习积极性,激发学生的学习兴趣,营造有利于人才培养的学习环境,使学生有更大的发展空间,根据《湖南科技大学普通全日制本科学生学籍管理规定》及学校教学资源的实际情况,特制定本管理办法。
第二条学校在充分考虑各专业现有教学资源、教学条件和师资队伍的前提下,本着公开、公平、公正的原则,统一规划,择优办理。
第二章组织机构第三条学校成立转专业工作领导小组,成员由分管校领导、教务处等相关职能部门领导组成,领导小组办公室设在教务处;相关学院成立转专业工作领导小组,根据学校要求,结合本院实际,做好申请转专业学生的资格审查、选拔、拟定转专业学生名单等相关工作。
第三章指标比例第四条学校对转专业学生人数和比例实行指标控制,转出学生总人数控制在本专业同年级招生报到总人数的以内;转入学生总人数控制在本专业同年级招生报到总人数的以内。
留(降)级转专业者占用转入年级该专业的转入指标。
第四章申请条件第五条学生入学后,如有下列情形之一者,可申请校内转专业:(一)学生入学后因健康原因,经学校指定的二级甲等以上医院诊断,不能在原专业学习,但尚能在本校其他专业学习的。
(二)学生对其他专业有兴趣和专长,经考核证实转专业之后有利于发挥其特长的。
(三)学生确有某种特殊困难或非本人原因,不转专业无法继续学习的。
(四)学校根据毕业生就业制度的改革和社会对人才需求情况的发展变化做适当专业调整的。
第六条有下列情形之一者,不受理学生的转专业申请:(一)以特殊招生形式录取的学生,国家有相关规定或者录取前与学校有明确约定的。
(二)就读于三年级以上(含三年级)的。
(三)在校期间已有一次转专业记录的。
韶学院〔2016〕16号
关于公布2015年全日制学生
转专业人员名单的通知
学校各部门、直属单位、二级学院:
根据《XX学院全日制学生转专业实施办法(试行)》(韶学院〔2014〕182号),学校按规定程序开展了2015年全日制学生转专业工作,经校长办公会议研究决定,公示5个工作日无异议后,同意黄润豪等129名全日制学生转专业,具体名单见《2015年全日制学生转专业人员名单》(附件)。
现将学生转专业后的教学管理等相关工作通知如下:
一、报到时间
获准转专业的学生须于2016年3月4日前到新专业所在二级学院报到,办理就读等相关手续。
在未正式办理转专业手续之前,获准转专业的学生如出现违纪行为,则取消其转专业的资格。
二、学分转换等具体教学安排
学生转专业后,执行转入专业的人才培养方案。
毕业资格和学士学位授予资格均按照转入专业的要求进行审核。
学生转专业后,已获得的学分符合转入专业人才培养方案规定的,经转入专业所在二级学院确认并于2016年3月31日前报教务处审核后,予以认定;转入新专业后,如有未修读的课程,必须通过课程考核方可获得相应的学分。
三、缴费
获准转专业的学生,其学费收费标准按转入专业的收费标准缴交。
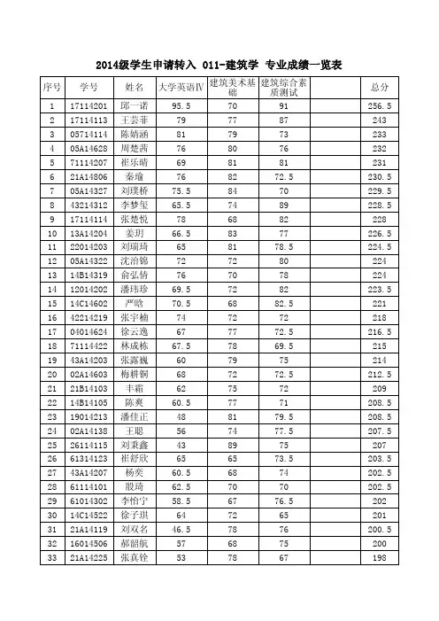
附件:2015年全日制学生转专业人员名单
XX学院
2016年2月29日
附件:
2015年全日制学生转专业人员名单
公开方式:主动公开
XX学院院长办公室2016年2月29日印发
(电子发文,书面印11份)
- 11 -。