函数的奇偶性例题解析
- 格式:doc
- 大小:48.50 KB
- 文档页数:2
绝密★启用前1.判断下列函数的奇偶性:(1)f(x)=x 3-1x ; (2)f(x)=|2|2x +-; (3)f(x)=(x -(4)f(x). 【答案】(1)奇函数(2)奇函数(3)既不是奇函数也不是偶函数(4)既是奇函数也是偶函数解析:(1)定义域是(-∞,0)∪(0,+∞),关于原点对称,由f(-x)=-f(x),所以f(x)是奇函数.(2)去掉绝对值符号,根据定义判断.由210|2|20x x ⎧≥⎨≠⎩-,+-,得1104x x x ≤≤⎧⎨≠≠⎩-,且-.故f(x)的定义域为[-1,0)∪(0,1],关于原点对称,且有x +2>0.从而有f(x)=22x x=+-, 这时有f(-x)=21(x x --)-=-f(x),故f(x)为奇函数. (3)因为f(x)定义域为[-1,1),所以f(x)既不是奇函数也不是偶函数.(4)因为f(x)定义域为{,所以f(x)=0,则f(x)既是奇函数也是偶函数2.下列函数是奇函数的是( )A .()||f x x =-B .()22x x f x -=+C .()lg(1)lg(1)f x x x =+--D .3()1f x x =-【答案】C 解析:对于B ,()22()x x f x f x --=+=,函数()f x 为偶函数,所以B 错;对于C ,由1010x x +>⎧⎨->⎩,故11x -<<,关于原点对称,又()lg(1)lg(1)()f x x x f x -=--+=-对于D ,33()()11()()f x x x f x f x -=--=--≠≠-,函数()f x 既不是奇函数,也不是偶函数,3.已知函数)(x f y =是奇函数,当0>x 时,,lg )(x x f =则( )C.2lgD.-2lg 【答案】D.解析:4.已知函数(1)f x +是奇函数,(1)f x -是偶函数,且(0)2,(4)则f f ==( )A .-2B .0C .2D .3【答案】A 解析:因为函数(1)f x +是奇函数,所以)(x f 的对称中心为(1,0),因为(1)f x -是偶函数,所以)(x f 的对称轴为x=-1。
高中数学例题:判断函数的奇偶性例1. 判断下列函数的奇偶性:(1)()(f x x =+; (2)f(x)=x 2-4|x|+3 ;(3)f(x)=|x+3|-|x-3|; (4)()|2|-2f x x =+; (5)22-(0)()(0)x x x f x x x x ⎧+≥⎪=⎨+<⎪⎩; (6)1()[()-()]()2f x g x g x x R =-∈ 【思路点拨】利用函数奇偶性的定义进行判断.【答案】(1)非奇非偶函数;(2)偶函数;(3)奇函数;(4)奇函数;(5)奇函数;(6)奇函数.【解析】(1)∵f(x)的定义域为(]-1,1,不关于原点对称,因此f(x)为非奇非偶函数;(2)对任意x ∈R ,都有-x ∈R ,且f(-x)=x 2-4|x|+3=f(x),则f(x)=x 2-4|x|+3为偶函数 ;(3)∵x ∈R ,f(-x)=|-x+3|-|-x-3|=|x-3|-|x+3|=-f(x),∴f(x)为奇函数;(4)[)(]2-1x 11-x 0 x -1,00,1x 0x -4x+22≤≤⎧≥⎧∴∴∈⋃⎨⎨≠≠≠±⎩⎩且()(2)-2f x x x∴==+(-)-()f x f x ∴===,∴f(x)为奇函数; (5)∵x ∈R ,f(x)=-x|x|+x ∴f(-x)=-(-x)|-x|+(-x)=x|x|-x=-f(x),∴f(x)为奇函数;(6)11(-){(-)-[-(-)]}[(-)-()]-()22f xg x g x g x g x f x ===,∴f(x)为奇函数. 【总结升华】判定函数奇偶性容易失误是由于没有考虑到函数的定义域.函数的定义域关于原点对称是函数具有奇偶性的前提条件,因此研究函数的奇偶性必须“坚持定义域优先”的原则,即优先研究函数的定义域,否则就会做无用功.如在本例(5)中若不研究定义域,在去掉|2|x +的绝对值符号时就十分麻烦.举一反三:【变式1】判断下列函数的奇偶性: (1)23()3x f x x =+; (2)()|1||1|f x x x =++-; (3)222()1x x f x x +=+; (4)22x 2x 1(x 0)f (x)0(x 0)x 2x 1(x 0)⎧+-<⎪==⎨⎪-++>⎩. 【答案】(1)奇函数;(2)偶函数;(3)非奇非偶函数;(4)奇函数.【解析】(1)()f x 的定义域是R , 又223()3()()()33x x f x f x x x --==-=--++,()f x ∴是奇函数. (2)()f x 的定义域是R ,又()|1||1||1||1|()f x x x x x f x -=-++--=-++=,()f x ∴是偶函数.(3)22()()()11f x x x x x -=-+-+=-+()()()()f x f x f x f x ∴-≠--≠且,∴()f x 为非奇非偶函数.(4)任取x>0则-x<0,∴f(-x)=(-x)2+2(-x)-1=x2-2x-1=-(-x2+2x+1)=-f(x)任取x<0,则-x>0 f(-x)=-(-x)2+2(-x)+1=-x2-2x+1=-(x2+2x-1)=-f(x)x=0时,f(0)=-f(0) ∴x∈R时,f(-x)=-f(x) ∴f(x)为奇函数.【变式2】已知f(x),g(x)均为奇函数,且定义域相同,求证:f(x)+g(x)为奇函数,f(x)·g(x)为偶函数.证明:设F(x)=f(x)+g(x),G(x)=f(x)·g(x)则F(-x)=f(-x)+g(-x)=-f(x)-g(x)=-[f(x)+g(x)]=-F(x)G(-x)=f(-x)·g(-x)=-f(x)·[-g(x)]=f(x)·g(x)=G(x)∴f(x)+g(x)为奇函数,f(x)·g(x)为偶函数.【变式3】设函数()f x和g(x)分别是R上的偶函数和奇函数,则下列结论恒成立的是().A.()f x-|g(x)|是奇函数f x+|g(x)|是偶函数 B.()C.|()f x|- g(x)是奇函数f x| +g(x)是偶函数 D.|()【答案】A例2.已知函数(),∈,若对于任意实数,a b都有f x x Rf x的奇偶性.+=+,判断()()()(f a b f a f b【答案】奇函数【解析】因为对于任何实数,a b ,都有()()()f a b f a f b +=+,可以令,a b 为某些特殊值,得出()()f x f x -=-.设0,a =则()(0)()f b f f b =+,∴(0)0f =.又设,a x b x =-=,则(0)()()f f x f x =-+,()()f x f x ∴-=-,()f x ∴是奇函数.【总结升华】判断抽象函数的单调性,可用特殊值赋值法来求解.在这里,由于需要判断()f x -与()f x 之间的关系,因此需要先求出(0)f 的值才行.举一反三:【变式1】 已知函数(),f x x R ∈,若对于任意实数12,x x ,都有121212()()2()()f x x f x x f x f x ++-=⋅,判断函数()f x 的奇偶性. 【答案】偶函数【解析】令120,,x x x ==得()()2(0)()f x f x f f x +-=,令210,,x x x ==得()()2(0)()f x f x f f x +=由上两式得:()()()()f x f x f x f x +-=+,即()()f x f x -= ∴()f x 是偶函数.。
函数的奇偶性题型及解析1.给定四个函数;;y=x 3+1;其中是奇函数的有几个分析:利用奇函数的定义,对每个函数进行验证,可得结论. 解:∵,∴是奇函数;∵定义域不关于原点对称,∴不是奇函数;∵(﹣x )3+1≠﹣(x 3+1),∴不是奇函数;函数的定义域为{x|x ≠0},=,∴是奇函数综上,奇函数的个数为2个 2.若一个函数图象的对称轴是y 轴,则该函数称为偶函数.那么在下列四个函数:①y=2|x|;②y=6/x ;③y=x 2;④y=(x ﹣1)2+2中,其中是偶函数的有几个分析:对于y=2|x|分类讨论:当x >0,则y=2x ;当x <0,则y=﹣2x ,根据正比例函数的性质可判断y=2|x|的对称轴是y 轴;根据反比例函数得到y=6/x 关于直线y=x 和y=﹣x 对称;根据二次函数的性质得到y=x 2的对称轴为y 轴,y=(x ﹣1)2+2的对称轴为直线x=1,然后根据新定义进行判断.解:y=2|x|,当x >0,则y=2x ;当x <0,则y=﹣2x ,所以y=2|x|的对称轴是y 轴,该函数为偶函数;y=6/x 关于直线y=x 和y=﹣x 对称,所以y=不是偶函数;y=x 2的对称轴为y 轴,所以y=x 2为偶函数;y=(x ﹣1)2+2的对称轴为直线x=1,所以y=(x ﹣1)2+2不是偶函数,偶函数的个数为2个3.函数y=|x+3|﹣|3﹣x|是奇函数还是偶函数分析:根据函数奇偶性的定义进行判断即可.解:∵f (﹣x )=|﹣x+3|﹣|3+x|=﹣(|x+3|﹣|3﹣x|)=﹣f (x ),∴函数f (x )是奇函数,4.如果函数y=x 2﹣2ax+6是偶函数,求a 的值分析:运用偶函数的定义得出f (﹣x )=f (x ),即x 2+2ax+6=x 2﹣2ax+6恒成立,得出2a=﹣2a ,即可解:∵函数y=x 2﹣2ax+6是偶函数,∴f (﹣x )=f (x ),即x 2+2ax+6=x 2﹣2ax+6恒成立,2a=﹣2a ,解得a=05.①已知函数f (x )=ax 2+2x 是奇函数,求实数分析:由奇函数定义入手寻找特殊值是解决此问题的最简解法解:由奇函数定义有f (﹣x )=﹣f (x ),则f (﹣1)=a ﹣2=﹣f (1)=﹣(a+2),解得a=0 ②如果函数f (x )=+a 是奇函数,求a 的值 分析:函数的定义域为R ,利用奇函数f (0)=0,得到a解:因为函数的定义域为R ,并且函数是奇函数,所以f (0)=0,即1220++a=0,解得a=-1; ③已知f (x )=121-x +a 是奇函数,求a 的值及函数值域 分析:本题考察函数奇偶性的性质,由题意可得f (﹣1)+f (1)=0,可得a 值,再由定义域和反比例函数以及不等式的性质可得函数的值域 解:由2x ﹣1=≠0可得x ≠0,可得函数的定义域为{x|x ≠0},∵f (x )=121-x +a 是奇函数,∴f (﹣1)+f (1)=0,∴1211--+a+1211-+a=0,解得a=,∴f (x )=121-x +,∵x ≠0,∴2x >0且2x ≠1,∴2x ﹣1>﹣1且2x ﹣1≠0,∴121-x >0或121-x <﹣1,∴121-x +>或121-x +<﹣,∴函数的值域为(-∞,-)∪(,+∞)④函数y=f (x )是定义在[2a+1,a+5]上的偶函数,求a 的值分析:由偶函数的定义域关于原点对称得,2a+1+a+5=0,再求出a 的值解:∵偶函数的定义域关于原点对称,∴2a+1+a+5=0,解得a=﹣2,6.①已知函数y=f (x )是奇函数,当x <0时,f (x )=x 2+ax (a ∈R ),f (2)=6,求a分析:先根据函数的奇偶性求出f (﹣2)的值,然后将x=﹣2代入小于0的解析式,建立等量关系,解之即可. 解:∵函数y=f (x )是奇函数,∴f (﹣x )=﹣f (x ),而f (2)=6,则f (﹣2)=﹣f (2)=﹣6,将x=﹣2代入小于0的解析式得f (﹣2)=4﹣2a=﹣6,解得a=5②已知函数y=f (x )是定义在R 上的偶函数,当x ≥0时,f (x )=x 2﹣2x ,求f (﹣2)的值.分析:首先,根据函数y=f (x )是定义在R 上的偶函数,得到f (﹣2)=f (2)=22﹣2×2=0,从而得到结果.解:∵函数y=f (x )是定义在R 上的偶函数,∴f (-2)=f (2)=22﹣2×2=0,∴f (-2)=0,∴f (-2)的值07.①已知函数f (x )是定义域为R 的奇函数,且当x >0时,f (x )=3x 2﹣5x+2,求f (x )在R 上的表达式.分析:设x <0,则﹣x >0.利用当x >0时,f (x )=3x 2﹣5x+2,可得f (﹣x )=3x 2+5x+2.再利用奇函数的性质即可得出解:设x <0,则-x >0.∵当x >0时,f (x )=3x 2﹣5x+2,∴f (﹣x )=3x 2+5x+2.∵函数f (x )是定义域为R 的奇函数,∴f (x )=﹣f (﹣x )=﹣3x 2﹣5x ﹣2,又f (0)=0.∴f (x )=⎪⎩⎪⎨⎧---=+-025300025322 x x x x x x x ②已知函数y=f (x )是偶函数,当x ≥0时,f (x )=x ﹣1,求f (x ﹣1)<0的解集分析:由函数y=f (x )为偶函数可得f (﹣x )=f (x ),由x ≥0时,f (x )=x ﹣1可得x <0,f (x )=﹣x ﹣1即f (x )=,而f (x ﹣1)<0时,有﹣1<x ﹣1<1,解不等式可得解:由函数y=f (x )为偶函数可得f (﹣x )=f (x ),∵x ≥0时,f (x )=x ﹣1,设x <0,则﹣x >0,f (﹣x )=﹣x ﹣1=f (x ),f (x )=,当f (x ﹣1)<0时,有﹣1<x ﹣1<1,∴0<x <28.(1)定义在[﹣1,1]上的奇函数y=f (x )是增函数,若f (a ﹣1)+f (4a ﹣5)>0,求a 的取值范围(2)定义在[﹣2,2]上的偶函数f (x )在区间[0,2]上单调递减,若f (1﹣m )<f (m ),求m 的取值范围 分析:(1)利用函数的奇偶性可把不等式f (a ﹣1)+f (4a ﹣5)>0化为f (a ﹣1)>f (5﹣4a ),根据单调性可去掉符号“f”,考虑到定义域即可求出a 的范围;(2)利用偶函数的性质,可得f (|1﹣m|)<f (|m|),根据定义在[﹣2,2]上的偶函数f (x )在区间[0,2]上单调递减,可得不等式组,即可得出结论.解:(1)∵函数y=f (x )是奇函数,f (a ﹣1)+f (4a ﹣5)>0,∴f (a ﹣1)>f (5﹣4a ),∵定义在[﹣1,1]上的函数y=f (x )是增函数,∴,∴;(2)∵偶函数f (x ),f (1﹣m )<f (m ),∴f (|1﹣m|)<f (|m|),∵定义在[﹣2,2]上的偶函数f (x )在区间[0,2]上单调递减,∴,∴9.(1)已知定义在[﹣2,2]上的奇函数,f (x )在区间[0,2]上单调递减,若f (m )+f (m ﹣1)>0,求实数m 的取值范围;(2)已知定义在[﹣2,2]上的偶函数,f (x )在区间[0,2]上单调递减,若f (1﹣m )<f (m ),求实数m 的取值范围.分析:(1)根据定义域得出m 的范围为﹣1≤m ≤2,由奇函数的性质,结合单调性可知m <1﹣m ,得出m 的范围;(2)根据定义域得出m 的范围为﹣1≤m ≤2,由偶函数的性质可知距离y 轴越进,函数值越大,得出|1﹣m|>|m|,进而求出m 的范围.解:(1)定义在[﹣2,2]上的奇函数,∴﹣1≤m ≤2,∵f (m )+f (m ﹣1)>0,∴f (m )>﹣f (m ﹣1)=f (1﹣m ),∴m <1﹣m ,∴m <,∴﹣1≤m <(2)已知定义在[﹣2,2]上的偶函数,f (x )在区间[0,2]上单调递减,∴﹣1≤m ≤2,∵f (1﹣m )<f (m ), ∴|1﹣m|>|m|,∴m <,∴﹣1≤m <10.函数y=﹣x2+2ax+1在﹣1≤x≤2上的最大值是4,求a的值分析:二次函数y=﹣x2+2ax+1 的对称轴方程为x=a,分对称轴在闭区间的左侧、中间、右侧三种情况,分别求得函数的最大值.解:二次函数y=﹣x2+2ax+1 的对称轴方程为x=a,当a<﹣1时,函数y=﹣x2+2ax+1在区间[﹣1,2]上单调递减,故函数的最大值为f(﹣1)=﹣1﹣2a+1=4,解得a=﹣2;当﹣1≤a≤2时,函数的最大值为f(a)=a2+1=4,解得a=;当a≥2时,函数y=﹣x2+2ax+1在区间[﹣1,2]上单调递增,故函数的最大值为f(2)=﹣4+4a+1=4,解得a=,舍去.综合知:a的值为﹣2或.11.已知函数f(x)的定义域是一切实数,对定义域内的任意x1,x2,都有f(x1+x2)=f(x1)+f(x2),且当x >0时f(x)>0.(1)试判断f(x)的奇偶性;(2)试判断f(x)的单调性,并证明.分析:(1)利用赋值法先求出f(0)=0,然后根据函数奇偶性的定义进行判断即可得到f(x)的奇偶性;(2)结合函数单调性的定义即可判断f(x)的单调性.解:(1)令x1=0,x2=0,则f(0)=f(0)+f(0),解得f(0)=0,令x1=x,x2=﹣x,则f(x﹣x)=f(x)+f(﹣x)=f(0)=0,即f(﹣x)=﹣f(x),则函数为奇函数.(2)函数在定义域上为增函数.证明:当x1<x2时,则x2﹣x1>0,此时f(x2﹣x1)>0则f(x2)﹣f(x1)=f (x2)+f(﹣x1)=f(x2﹣x1)>0,可得f(x2)>f(x1)由此,得到y=f(x)是R上的增函数12.已知函数f(x)的定义域是x≠0的一切实数,对定义域内的任意x1、x2,都有f(x1?x2)=f(x1)+f(x2),且当x>1时f(x)>0,f(2)=1,(1)求证:f(x)是偶函数;(2)证明f(x)在(0,+∞)上是增函数;分析:(1)先令x1=x2=1,得到f(1)=0,再令x1=x2=﹣1,得f(﹣1)=0.然后用主条件证明f(﹣x)=f(﹣1?x)=f(﹣1)+f(x)=f(x)得证.(2)先任取两个变量,界定大小,再作差变形看符号.解:(1)证明:令x1=x2=1,得f(1)=2f(1),∴f(1)=0.令x1=x2=﹣1,得f(﹣1)=0.∴f(﹣x)=f(﹣1?x)=f(﹣1)+f(x)=f(x),∴f(x)是偶函数(2)证明:设x2>x1>0,则f(x2)﹣f(x1)=f(x1?)﹣f(x1)=f(x1)+f()﹣f(x1)=f().∵x2>x1>0,∴>1.∴f()>0,即f(x2)﹣f(x1)>0.∴f(x2)>f(x1).∴f(x)在(0,+∞)上是增函数13.已知定义域为x∈R|x≠0的函数f(x)满足;①对于f(x)定义域内的任意实数x,都有f(﹣x)+f(x)=0;②当x>0时,f(x)=x2﹣2.(Ⅰ)求f(x)定义域上的解析式;(Ⅱ)解不等式:f(x)<x.分析:(I)根据条件①变形,得到f(x)在定义域内是奇函数,设x小于0,得到﹣x大于0,代入②中f(x)的解析式中化简后即可得到x小于0时f(x)的解析式,综上,得到f(x)在x大于0和小于0上的分段函数解析式;(II)当x大于0时和小于0时,把(I)得到的相应的解析式代入不等式中,分别求出相应的解集,然后求出两解集的并集即为原不等式的解集解:(I)∵对于f(x)定义域内的任意实数x,都有f(﹣x)+f(x)=0,∴f(﹣x)=﹣f(x),故f(x)在其定义域为{x∈R|x≠0}内是奇函数,∵当x>0时,f(x)=x2﹣2,设x<0,所以﹣x>0,∴f(﹣x)=﹣f(x)=x2﹣2,即f(x)=2﹣x2,则;(II)∵当x>0时,x2﹣2<x,化简得(x﹣2)(x+1)<0,解得:﹣1<x<2,所以不等式的解集为0<x<2;当x<0时,2﹣x2<x,化简得:(x﹣1)(x+2)>0,解得:x>1或x<﹣2,所以不等式的解集为x<﹣2,综上,不等式f(x)<x的解集为{x|0<x<2或x<﹣2}14. 已知定义域为R的函数f(x)满足:①f(x+y)=f(x)?f(y)对任何实数x、y都成立;②存在实数x1、x2使,f(x1)≠f(x2),求证:(1)f(0)=1;(2)f(x)>0.分析:(1)令x=y=0,求出f(0),注意条件②的运用,舍去一个;(2)将x,y均换成,得到f(x)=f2()即f(x)≥0,注意运用条件②,舍去f(x)=0,即可得证.证明:(1)令x=y=0则f(0)=f2(0),∴f(0)=0或f(0)=1,若f(0)=0则令y=0,即有f(x)=f(x)?f (0)=0对x∈R均成立,与②矛盾,故f(0)≠0,若f(0)=1,则f(x)=f(x)成立,∴f(0)=1;(2)将x,y均换成,则f(x)=f2()即f(x)≥0,若f(x)=0这与②矛盾,∴f(x)>0成立。
高三数学函数的奇偶性试题答案及解析1.已知函数为奇函数,且当时,则()A.B.C.D.【答案】A【解析】由已知有,故选A.【考点】函数的奇偶性.2.已知定义在上的函数是奇函数且满足,,数列满足,且,(其中为的前项和),则( ).A.B.C.D.【答案】C【解析】由定义在上的函数是奇函数且满足知,= = =,所以= = = =,所以的周期为3,由得,,当n≥2时,=,所以=,所以=-3,=-7,=-15,=-31,=-63,所以 ====3,故选C.【考点】函数的奇偶性、周期性,数列的递推公式,转化与化归思想3.下列函数在定义域内为奇函数的是()A.B.C.D.【答案】A【解析】根据奇函数的定义:A选项:,所以函数为奇函数;B选项:,所以函数为偶函数;C选项:,所以函数为偶函数;D选项:,所以函数为偶函数;可知A正确。
【考点】函数的奇偶性.4.设函数的定义域为,且是奇函数,是偶函数,则下列结论中正确的是A.是偶函数B.是奇函数C.是奇函数D.是奇函数【答案】C【解析】由函数的定义域为,且是奇函数,是偶函数,可得:和均为偶函数,根据一奇一偶函数相乘为奇函数和两偶函数相乘为偶函数的规律可知选C.【考点】函数的奇偶性5.(本题满分14分)本题有2个小题,第一小题满分6分,第二小题满分1分.设常数,函数(1)若=4,求函数的反函数;(2)根据的不同取值,讨论函数的奇偶性,并说明理由.【答案】(1),;(2)时为奇函数,当时为偶函数,当且时为非奇非偶函数.【解析】(1)求反函数,就是把函数式作为关于的方程,解出,得,再把此式中的互换,即得反函数的解析式,还要注意的是一般要求出原函数的值域,即为反函数的定义域;(2)讨论函数的奇偶性,我们可以根据奇偶性的定义求解,在,这两种情况下,由奇偶性的定义可知函数具有奇偶性,在时,函数的定义域是,不关于原点对称,因此函数既不是奇函数也不是偶函数.试题解析:(1)由,解得,从而,∴,∵且∴①当时,,∴对任意的都有,∴为偶函数②当时,,,∴对任意的且都有,∴为奇函数③当且时,定义域为,∴定义域不关于原定对称,∴为非奇非偶函数【考点】反函数,函数奇偶性.6.已知f(x)=asinx+bx+c(a,b,c∈R),若f(0)=-2,f()=1,则f(-)=________.【答案】-5【解析】由题设f(0)=c=-2,f()=a+b-2=1所以f(-)=-a-b-2=-5.7.若f(x)是偶函数,且当x∈[0,+∞)时,f(x)=x-1,则f(x-1)<0的解集是()A.(-1,0)B.(-∞,0)∪(1,2)C.(1,2)D.(0,2)【答案】D【解析】根据函数的性质作出函数f(x)的图象如图.把函数f(x)向右平移1个单位,得到函数f(x-1),如图,则不等式f(x-1)<0的解集为(0,2),选D.8.已知函数f(x)=为奇函数,则a+b=________.【解析】当x>0时,-x<0,由题意得f(-x)=-f(x),所以x2-x=-ax2-bx,从而a=-1,b=1,a+b=0.9.下面四个命题:①已知函数f(x)=sin x,在区间[0,π]上任取一点x0,则使得f(x)>的概率为;②函数y=sin 2x的图象向左平移个单位得到函数y=sin的图象;③命题“∀x∈R,x2-x+1≥”的否定是“∃x0∈R,x2-x+1<”;④若函数f(x)是定义在R上的奇函数,则f(x+4)=f(x),则f(2 012)=0.其中所有正确命题的序号是________.【答案】①③④【解析】②错误,应该向左平移;①使得f(x)>的概率为p==;④f(2 012)=f(0)=0.10.函数的图象大致是()A.B.C.D.【答案】A【解析】易知函数是偶函数,当x=0时,. 所以选A.11.已知定义在R上的奇函数和偶函数满足 (,且),若,则()A.2B.C.D.【答案】B【解析】由条件,,即,由此解得,,所以选B.12.函数的图像大致为( ).【答案】A【解析】由条件,得函数的定义域为,排除C、D;又==,所以函数为奇函数,排除B,故选A.【考点】函数图象.13.设直线l与曲线f(x)=x3+2x+1有三个不同的交点A、B、C,且︱AB︱=︱BC︱=,则直线l的方程为()A.y=5x+1B.y=4x+1C.y=3x+1D.y=x+1【答案】C【解析】由曲线关于(0,1)中心对称,则B(0,1),设直线l的方程为y=kx+1,代入y=x3+2x+1,可得x3=(k-2)x,∴x=0或x=±,∴不妨设A(,k·+1)(k >2),∵|AB|=|BC|=∴(-0)2+(k·+1-1)2=10∴k3-2k2+k-12=0,∴(k-3)(k2+k+4)=0,解得k=3,∴直线l的方程为y=3x+1,故选C.【考点】1.函数的周期性;2.函数奇偶性的性质.14.将函数的图象向左平移个单位长度后得到函数,则函数()A.是奇函数B.是偶函数C.既是奇函数又是偶函数D.既不是奇函数,也不是偶函数【答案】B【解析】,由题意知,因此函数为偶函数,故选B.【考点】1.三角函数图像变换;2.辅助角公式;3.三角函数的奇偶性15.设函数的定义域为,如果存在正实数,对于任意,都有,且恒成立,则称函数为上的“型增函数”,已知函数是定义在上的奇函数,且当时,,若为上的“2014型增函数”,则实数的取值范围是()A.B.C.D.【答案】C【解析】是定义在上的奇函数,设,则.,..①当时,由,可得,化为,由绝对值的几何意义可得,解得②当时,由f(2014+x)>f(x),分为以下两类研究:当时,可得,化为,由绝对值的几何意义可得,解得.当,,化为,故时成立.当时,,③当时,由可得,当时成立,当时,.综上可知:的取值范围是,故选C.【考点】1.奇函数的性质;2.绝对值的意义;3.分类讨论思想.16.设偶函数满足,则( )A.B.C.D.【答案】B【解析】的解集为,因为是偶函数,关于轴对称,所以的解集为或,那么的解集为或,故解集为或,故选B.【考点】1.函数的奇偶性;2.解不等式.17.已知函数f(x)是定义在R上的奇函数,当x>0时,f(x)=x3+x+1,则当x<0时,f(x)=________.【答案】x3+x-1【解析】若x<0,则-x>0,f(-x)=-x3-x+1,由于f(x)是奇函数,所以f(-x)=-f(x),所以f(x)=x3+x-1.18.设函数f(x)=x(e x+ae-x)(x∈R)是偶函数,则实数a的值为______________.【答案】-1【解析】由题意可得g(x)=e x+ae-x为奇函数,由g(0)=0,得a=-1.19.已知函数y=f(x)是R上的偶函数,对∀x∈R都有f(x+4)=f(x)+f(2)成立.当x1,x2∈[0,2],且x1≠x2时,都有<0,给出下列命题:①f(2)=0;②直线x=-4是函数y=f(x)图象的一条对称轴;③函数y=f(x)在[-4,4]上有四个零点;④f(2 014)=0.其中所有正确命题的序号为________.【答案】①②④【解析】令x=-2,得f(-2+4)=f(-2)+f(2),解得f(-2)=0,因为函数f(x)为偶函数,所以f(2)=0,①正确;因为f(-4+x)=f(-4+x+4)=f(x),f(-4-x)=f(-4-x+4)=f(-x)=f(x),所以f(-4+x)=f(-4-x),即x=-4是函数f(x)的一条对称轴,②正确;当x1,x2∈[0,2],且x 1≠x2时,都有<0,说明函数f(x)在[0,2]上是单调递减函数,又f(2)=0,因此函数f(x)在[0,2]上只有一个零点,由偶函数知函数f(x)在[-2,0]上也只有一个零点,由f(x+4)=f(x),知函数的周期为4,所以函数f(x)在(2,6]与[-6,-2)上也单调且有f(6)=f(-6)=0,因此,函数在[-4,4]上只有2个零点,③错;对于④,因为函数的周期为4,即有f(2)=f(6)=f(10)=…=f(2 014)=0,④正确.20.已知函数f(x)是定义域为R上的奇函数,且周期为2.若当x∈[0,1)时,f(x)=2x-1,则f(的值是 ().A.-B.-5C.-D.-6【答案】C【解析】∵f(x)是在R上的奇函数,且周期为2.∴f=-f(log26)=-f(log26-2)=-f(log2),又x∈[0,1)时,f(x)=2x-1,从而f=+1=-+1=-21.设函数f(x)=x(e x+a e-x)(x∈R)是偶函数,则实数a=________.【答案】-1【解析】g(x)=e x+a e-x为奇函数,由g(0)=0得a=-1.22.设为实常数,是定义在上的奇函数,且当时,.若对一切成立,则的取值范围是 .【答案】【解析】因为是定义在上的奇函数,所以当时,;当时,,因此且对一切成立所以且,即.【考点】函数奇偶性,不等式恒成立23.函数的图象大致为( )【答案】A【解析】观察函数可知,該函数是偶函数,其图像关于轴对称,据此可排除B,D.又在轴附近,函数值接近1,所以C不符合.选A.【考点】函数的奇偶性,函数的图像.24.设偶函数满足,则不等式的解集为()A.或B.或C.或D.或【答案】B【解析】画出的图象,再关于轴对称,得到偶函数左侧的图象,再将所得图象向右平移2个单位,得到的图象,由图观察得的解集为或.【考点】1偶函数的图象和性质;2、图象的变换;3、不等式解法.25..定义在上的偶函数,当x≥0时,,则满足的x取值范围是()A.(-1,2)B.(-2,1)C.[-1,2]D.(-2,1]【答案】A【解析】设,则,因为当时,,所以,又因为函数定义在上的偶函数,所以.所以当时,,如图所示:因为,所以,解得:.故选A.【考点】函数的奇偶性,抽象函数及其应用.26.已知函数为奇函数,且当时,则当时,的解析式( )A.B.C.D.【答案】B【解析】因为求当时,的解析式时的解析式,设在任意的则,.又因为函数为奇函数.所以.故选B.本小题考查的分段函数的奇偶性问题.【考点】1.分段函数的解析式.2.函数的奇偶性.27.设函数,其中为已知实数,,则下列各命题中错误的是()A.若,则对任意实数恒成立;B.若,则函数为奇函数;C.若,则函数为偶函数;D.当时,若,则【答案】D【解析】由函数,可化简得:,则,,则在中,若,则,即正确;在中,若,则函数,有是奇函数,即正确; 在中,若,则函数,有是偶函数,即正确;在中,由知不同时为,则函数的最小正周期为,若,则,即错误.【考点】1.三角化简;2.函数的奇偶性;3.函数的同周期性28.若为偶函数,且是的一个零点,则-一定是下列哪个函数的零点()A.B.C.D.【答案】D【解析】因为函数为偶函数.所以f(-x)=f(x).是的一个零点所以.又因为.所以.即.所以是函数的零点.即是函数的零点.因为.所以是函数的零点.故选D.【考点】1.函数的奇偶性.2.函数的零点问题.3.函数的对称性.29. R上的奇函数满足,当时,,则()A.B.C.D.【答案】A【解析】据题意得,这是一个周期为3的周期函数,且为奇函数.所以.选A.【考点】函数的性质.30.是定义在R上的以3为周期的偶函数,且,则方程在区间(0,6)内解的个数的最小值是 .【答案】【解析】因为函数是周期为的偶函数,所以由可知,,,所以有,,所以在区间内,方程至少有,,,四个解.【考点】1.函数的周期性;2.偶函数31.若函数,则函数()A.是偶函数,在是增函数B.是偶函数,在是减函数C.是奇函数,在是增函数D.是奇函数,在是减函数【答案】A【解析】由定义易得,函数为奇函数.求导得:.(这里之所以在分子提出来,目的是便于将分子求导)再令,则.当时,,所以在时单调递减,,从而.所以在上是减函数,由偶函数的对称性知,在上是增函数.巧解:由定义易得,函数为奇函数.结合选项来看,函数在上必单调,故取特殊值来判断其单调性. ,,所以在上是减函数,由偶函数的对称性知,在上是增函数.选A【考点】函数的性质.32.已定义在上的偶函数满足时,成立,若,,,则的大小关系是()A.B.C.D.【答案】C【解析】构造函数,由函数是R上的偶函数,函数是R上的奇函数可得是R上的奇函数,又当时,所以函数在时的单调性为单调递减函数;所以在时的单调性为单调递减函数,因为,,,故,即:,故选C.【考点】函数奇偶性的性质,简单复合函数的导数,函数的单调性与导数的关系.33.设函数是定义在R上的偶函数,当时,,若,则实数的值为【答案】【解析】当时,由有,得,又由函数是定义在R上的偶函数,根据对称性知,当时,由,应有,所以实数的值为.【考点】函数的奇偶性.34.若为奇函数且在)上递增,又,则的解集是()A.B.C.D.【答案】D【解析】为奇函数且在上递增,则在上递减.又,所以等价于.根据题设作出的大致图象如图所示:由图可知,的解集是:.所以选D.【考点】1、抽象函数;2、函数的单调性和奇偶性;3、解不等式.35.已知可以表示为一个奇函数与一个偶函数之和,若不等式对于恒成立,则实数的取值范围是____________.【答案】【解析】依题意,g(x)+h(x)= .....(1),∵g(x)是奇函数,∴g(-x)=-g(x);∵h(x)是偶函数,∴h(-x)=h(x);∴g(-x)+h(-x)="h(x)-g(x)=" (2)解(1)和(2)组成的方程组得h(x)=,g(x)=∴ag(x)+h(2x)=a +,∴a· +≥0在x∈[1,2]恒成立令t=,∴=,当x∈[1,2]时,t∈[2,4],∴原不等式化为a(t-)+(t2+)≥0在t∈[2,4]上恒成立,由不等式a(t-)+(t2+)≥0,可得a(t-)≥-(t2+),∵当t∈[2,4]时,t-t>0恒成立,∴a≥ == ,即a≥在t∈[2,4]上恒成立,令u=t-,求导得=1+>0恒成立,∴u=t-在t∈[2,4]上单调递增∴u∈[ ],令f(u)=u+,u∈[],求导得(u)=1->0在u∈[]上恒成立,∴f(u)在u∈[]上单调递增即当u=,f(u)取最小值f()= ,当u=时,可解得t=2(另一根不在t∈[2,4]内故舍去)∴当t=2时,取最小值为,即取最大值为-,∴a≥-,当t=2,x=1时取等号,∴a的最小值为-.【考点】1.函数的奇偶性;2.不等式的性质;3.导数的性质.36.已知是奇函数,且.若,则_______ .【答案】【解析】令为奇函数, ,,从而,.【考点】函数的奇偶性.37.设函数是定义在上的偶函数,当时,.若,则实数的值为 .【答案】.【解析】当时,,解得;当时,,由于函数是偶函数,,解得,综上所述,.【考点】函数的奇偶性38.已知偶函数满足,且在区间上单调递增.不等式的解集为()A.B.C.D.【答案】B【解析】因为偶函数在区间上是增函数且,所以可化为,则有,解得的取值范围是,选B.【考点】函数的性质。
高三数学函数的奇偶性试题答案及解析1.已知函数f(x)是(-∞,+∞)上的偶函数,若对于x≥0,都有f(x+2)=f(x),且当x∈[0,2)时,(x+1),则f(-2012)+f(2013)=________________.f(x)=log2【答案】1【解析】试题分析:∵函数f(x)是(-∞,+∞)上的偶函数,∴f(-x)=f(x),又∵对于x≥0都有f(x+2)=f(x),∴T=2∴f(-2012)+f(2013)=f(2012)+f(2013)=f(1006×2)+f(1006×2+1)=f(0)+f(1)=log21+log22=1.故答案为:1.【考点】函数的周期性2.已知,分别是定义在上的偶函数和奇函数,且,则.【答案】.【解析】∵,∴,又∵,分别是定义在上的偶函数和奇函数,∴,,∴,∴.【考点】函数的奇偶性.3.已知定义在上的函数是奇函数且满足,,数列满足,且,(其中为的前项和),则( ).A.B.C.D.【答案】C【解析】由定义在上的函数是奇函数且满足知,= = =,所以= = = =,所以的周期为3,由得,,当n≥2时,=,所以=,所以=-3,=-7,=-15,=-31,=-63,所以 ====3,故选C.【考点】函数的奇偶性、周期性,数列的递推公式,转化与化归思想4.设函数的定义域为,且是奇函数,是偶函数,则下列结论中正确的是()A.是偶函数B.是奇函数C.是奇函数D.是奇函数【答案】C【解析】设,则,因为是奇函数,是偶函数,故,即是奇函数,选C.【考点】函数的奇偶性.5.已知为偶函数,当时,,则不等式的解集为()A.B.C.D.【答案】A【解析】先画出当时,函数的图象,又为偶函数,故将轴右侧的函数图象关于轴对称,得轴左侧的图象,如下图所示,直线与函数的四个交点横坐标从左到右依次为,由图象可知,或,解得,选A.【考点】1、分段函数;2、函数的图象和性质;3、不等式的解集.6.若是偶函数,则____________.【答案】【解析】因为函数为偶函数,所以,故填.【考点】奇偶性对数运算7. [2013·重庆高考]已知函数f(x)=ax3+bsinx+4(a,b∈R),f(lg(log10))=5,则f(lg(lg2))=2()A.-5B.-1C.3D.4【答案】C【解析】∵f(x)=ax3+bsinx+4,①∴f(-x)=a(-x)3+bsin(-x)+4,即f(-x)=-ax3-bsinx+4,②①+②得f(x)+f(-x)=8,③又∵lg(log10)=lg()=lg(lg2)-1=-lg(lg2),2∴f(lg(log10))=f(-lg(lg2))=5,2又由③式知f(-lg(lg2))+f(lg(lg2))=8,∴5+f(lg(lg2))=8,∴f(lg(lg2))=3.故选C.8.已知函数y=f(x)是定义在R上且以3为周期的奇函数,当x∈时,f(x)=ln(x2-x+1),则函数f(x)在区间[0,6]上的零点个数为()A.3B.5C.7D.9【答案】C【解析】当x∈时,-x∈,f(x)=-f(-x)=-ln(x2+x+1);则f(x)在区间上有3个零点(在区间上有2个零点).根据函数周期性,可得f(x)在上也有3个零点,在上有2个零点.故函数f(x)在区间[0,6]上一共有7个零点.9.设函数f(x)和g(x)分别是R上的偶函数和奇函数,则下列结论恒成立的是()A.f(x)+|g(x)|是偶函数B.f(x)-|g(x)|是奇函数C.|f(x)|+g(x)是偶函数D.|f(x)|-g(x)是奇函数【答案】A【解析】由题意知f(x)与|g(x)|均为偶函数.A项,偶+偶=偶;B项,偶-偶=偶,错;C项与D项分别为偶+奇=偶,偶-奇=奇,均不恒成立.10.设f(x)为定义在R上的奇函数,当x≥0时,f(x)=2x+2x+b(b为常数),则f(﹣1)=()A.﹣3B.﹣1C.1D.3【答案】A【解析】因为f(x)为定义在R上的奇函数,所以f(0)=20+2×0+b=0,解得b=﹣1,所以当x≥0时,f(x)=2x+2x﹣1,又因为f(x)为定义在R上的奇函数,所以f(﹣1)=﹣f(1)=﹣(21+2×1﹣1)=﹣3,故选A.11.已知定义在R上的奇函数和偶函数满足 (,且),若,则()A.2B.C.D.【答案】B【解析】由条件,,即,由此解得,,所以选B.12.已知是奇函数,且,若,则= .【答案】【解析】因为为奇函数,所以.∵,∴,∴.13.设是上的奇函数,且,下面关于的判定:其中正确命题的序号为_______.①;②是以4为周期的函数;③的图象关于对称;④的图象关于对称.【答案】①②③【解析】∵,∴,即的周期为4,②正确.∴(∵为奇函数),即①正确.又∵,∴的图象关于对称,∴③正确,又∵,当时,显然的图象不关于对称,∴④错误.14.已知函数是定义在上的偶函数,且对任意,都有,当时,,设函数在区间上的反函数为,则的值为()A.B.C.D.【答案】D【解析】由得,所以函数周期为,所以时,,所以=,又函数为偶函数,所以时,则=.令==19,解得=,从而=,故选D.【考点】1、反函数;2、函数奇偶性的性质;3、函数的周期性.15.设偶函数满足,则( )A.B.C.D.【答案】B【解析】的解集为,因为是偶函数,关于轴对称,所以的解集为或,那么的解集为或,故解集为或,故选B.【考点】1.函数的奇偶性;2.解不等式.16.已知f(x)是定义在R上的奇函数.当x>0时,f(x)=x2-4x,则不等式f(x)>x的解集用区间表示为________.【答案】(-5,0)∪(5,+∞)【解析】作出f(x)=x2-4x(x>0)的图象,如图所示.由于f(x)是定义在R上的奇函数,利用奇函数图象关于原点对称,作出x<0的图象.不等式f(x)>x表示函数y=f(x)的图象在y=x的上方,观察图象易得,原不等式的解集为(-5,0)∪(5,+∞)17.若函数f(x)=(a+)cosx是奇函数,则常数a的值等于()A.-1B.1C.-D.【答案】D【解析】设g(x)=a+,t(x)=cosx,∵t(x)=cosx为偶函数,而f(x)=(a+)cosx为奇函数,∴g(x)=a+为奇函数,又∵g(-x)=a+=a+,∴a+=-(a+)对定义域内的一切实数都成立,解得:a=.18.设a为实数,函数f(x)=x3+ax2+(a-2)x的导数是f′(x),且f′(x)是偶函数,则曲线y=f(x)在原点处的切线方程为()A.y=-2x B.y=3xC.y=-3x D.y=4x【答案】A【解析】由已知得f′(x)=3x2+2ax+a-2为偶函数,∴a=0,∴f(x)=x3-2x,f′(x)=3x2-2.又f′(0)=-2,f(0)=0,∴y=f(x)在原点处的切线方程为y=-2x.19.已知f(x)是定义域为R的偶函数,当x≥0时,f(x)=x2-4x,那么,不等式f(x+2)<5的解集是________.【答案】{x|-7<x<3}【解析】当x≥0时,f(x)=x2-4x<5的解集为[0,5),又f(x)为偶函数,所以f(x)<5的解集为(-5,5).由于f(x)向左平移两个单位即得f(x+2),故f(x+2)<5的解集为{x|-7<x<3}.20.已知是定义域为R的奇函数,当x≤0时,,则不等式的解集是()A.(5,5)B.(1,1)C.(5,+)D.(l,+)【答案】C【解析】因为是定义在R上的奇函数,所以对于任意实数x,都有且.又当时,则当时,,有,所以:,则,解不等式,即或或得,选C.【考点】函数的奇偶性,分段函数,一元二次不等式的解法.21.设函数()(Ⅰ)若函数是定义在R上的偶函数,求a的值;(Ⅱ)若不等式对任意,恒成立,求实数m的取值范围.【答案】(Ⅰ);(Ⅱ).【解析】(Ⅰ)函数是定义在R上的偶函数,则恒成立,代入解析式得:,.即对任意都成立,由此得,.(Ⅱ)不等式对任意,恒成立,则小于等于的最大值,而.所以对任意恒成立,令,这是关于的一次函数,故只需取两个端点的值时不等式成立即可,即,解之即可得实数m的取值范围.试题解析:(Ⅰ)由函数是定义在R上的偶函数,则恒成立,即,所以,所以恒成立,则,故. 4分(Ⅱ).所以对任意恒成立,令,由解得,故实数m的取值范围是. 12分【考点】1、函数的奇偶性;2、不等式恒成立问题.22.函数f(x)是偶函数,则下列各点中必在y=f(x)图象上的是( )A.B.C.D.【答案】A【解析】由于函数上必过点.又因为函数是偶函数所以函数经过点 .又因为.所以函数一定经过和.故选A.本小题关键是考查函数的的奇偶性问题.【考点】1.函数的奇偶性.2.函数的对称性问题.23.已知函数是上的奇函数,且的图象关于直线对称,当时,,则 .【答案】-1【解析】∵的图象关于直线对称,∴,又是上的奇函数,∴,∴,即4为的周期,∴.由时,,得,由,得,∴,故答案为.【考点】函数的奇偶性、周期性24.已知函数.(1)当时,判断的奇偶性,并说明理由;(2)当时,若,求的值;(3)若,且对任何不等式恒成立,求实数的取值范围.【答案】(1)既不是奇函数,也不是偶函数;(2)所以或;(3)当时,的取值范围是,当时,的取值范围是;当时,的取值范围是.【解析】(1)时,为确定的函数,要证明它具有奇偶性,必须按照定义证明,若要说明它没有奇偶性,可举一特例,说明某一对值与不相等(不是偶函数)也不相反(不是奇函数).(2)当时,为,这是含有绝对值符号的方程,要解这个方程一般是分类讨论绝对值符号里的式子的正负,以根据绝对值定义去掉绝对值符号,变成通常的方程来解.(3)不等式恒成立时要求参数的取值范围,一般要把问题进行转化,例如分离参数法,或者转化为函数的最值问题.即为,可以先把绝对值式子解出来,这时注意首先把分出来,然后讨论时,不等式化为,于是有,即,这个不等式恒成立,说明,这时我们的问题就转化为求函数的最大值,求函数的最小值.试题解析:(1)当时,既不是奇函数也不是偶函数(2分)所以既不是奇函数,也不是偶函数(4分)(2)当时,,由得(1分)即(3分)解得(5分)所以或(6分)(3)当时,取任意实数,不等式恒成立,故只需考虑,此时原不等式变为(1分)即故又函数在上单调递增,所以;(2分)对于函数①当时,在上单调递减,,又,所以,此时的取值范围是(3分)②当,在上,,当时,,此时要使存在,必须有,此时的取值范围是(4分)综上,当时,的取值范围是当时,的取值范围是;当时,的取值范围是(6分)【考点】(1)函数的奇偶性;(2)含绝对值的方程;(2)含参数的不等式恒成立问题.25.如图,直角坐标平面内的正六边形ABCDEF,中心在原点,边长为a,AB平行于x轴,直线(k为常数)与正六边形交于M、N两点,记的面积为S,则关于函数的奇偶性的判断正确的是()A.一定是奇函数B.—定是偶函数C.既不是奇函数,也不是偶函数D.奇偶性与k有关【答案】B【解析】:∵当直线与边重合时,,当直线与重合时,,∴,∵正六边形即是中心对称图形又是轴对称图形,∴函数为偶函数.【考点】1.函数的奇偶性;2.数形结合思想.26.设函数是偶函数,则实数的值为___________.【答案】-1.【解析】因是偶函数,则,所以.【考点】函数的奇偶性.27.设是周期为2的奇函数,当时,=,则=.【答案】【解析】由是周期为2的奇函数可知,.【考点】函数的周期性与奇偶性.28.已定义在上的偶函数满足时,成立,若,,,则的大小关系是()A.B.C.D.【答案】C【解析】构造函数,由函数是R上的偶函数,函数是R上的奇函数可得是R上的奇函数,又当时,所以函数在时的单调性为单调递减函数;所以在时的单调性为单调递减函数,因为,,,故,即:,故选C.【考点】函数奇偶性的性质,简单复合函数的导数,函数的单调性与导数的关系.29.已知m为常数,函数为奇函数.(1)求m的值;(2)若,试判断的单调性(不需证明);(3)若,存在,使,求实数k的最大值.【答案】(1);(2)在R上单调递增;(3).【解析】(1)由奇函数的定义得:,将解析式代入化简便可得m的值;(2),结合指数函数与反比例函数的单调性,便可判定的单调性;(3)对不等式:,不宜代入解析式来化简,而应将进行如下变形:,然后利用单调性去掉,从而转化为:.进而变为:.由题设知:.这样只需求出的最大值即可.将配方得:.所以在时,取得最大值,最大值为10.∴,从而.试题解析:(1)由,得,∴,即,∴. 4分(2),在R上单调递增. 7分(3)由,得, 9分即.而在时,最大值为10.∴,从而 12分【考点】1、函数的奇偶性和单调性;2、二次函数的最值;3、不等关系.30.已知函数是上的偶函数,若对于,都有,且当时,,则=____________.【答案】1【解析】由题意可知函数的周期,于是,又函数是上的偶函数,所以,则.【考点】周期函数、奇偶性.31.若函数满足,且时,,则函数的图象与函数的图象的交点的个数为()A.3B.4C.6D.8【答案】C【解析】由题意知,函数是个周期为2的周期函数,且是个偶函数,在一个周期上,图象是两条斜率分别为1和-1的线段,且,同理可得到在其他周期上的图象.函数也是个偶函数,先看在[0,+∞)上的交点个数,则它们总的交点个数是在[0,+∞)上的交点个数的2倍,在(0,+∞)上,,图象过(1,0),和(4,1),是单调增函数,与交与3个不同点,∴函数的图象与函数的图象的交点的个数为6个,故选.【考点】函数的奇偶性、周期性,对数函数的图象和性质.32.若函数f(x) (x∈R)是奇函数,函数g(x) (x∈R)是偶函数,则 ( )A.函数f(x)g(x)是偶函数B.函数f(x)g(x)是奇函数C.函数f(x)+g(x)是偶函数D.函数f(x)+g(x)是奇函数【答案】B【解析】令,由于函数为奇函数,,由于函数为偶函数,则,,故函数为奇函数,故选;对于函数,取,,则,此时函数为非奇非偶函数,故、选项均错误.【考点】函数的奇偶性33.已知是定义域为实数集的偶函数,,,若,则.如果,,那么的取值范围为( )A.B.C.D.【答案】B【解析】∵,,,则,∴定义在实数集上的偶函数在上是减函数.∵, ∴, 即.∴或解得或.∴.故选B.【考点】函数的奇偶性、单调性.34.函数()【答案】A【解析】由于函数为偶函数又过(0,0)所以直接选A.【考点】对图像的考查其实是对性质的考查,注意函数的特征即可,属于简单题.35.已知函数是上的偶函数,若对于,都有,且当时,,则的值为A.B.C.1D.2【答案】C【解析】根据题意,由于函数是上的偶函数,若对于,都有,可知函数的周期为2,且当时,,那么则有,故可知答案为C。
高考数学复习----《函数的奇偶性的综合应用》典型例题讲解【典型例题】例1、(2023·全国·高三专题练习)已知定义在R 上的函数()f x 在(],3−∞上单调递增,且()3f x +为偶函数,则不等式()()12f x f x +>的解集为( )A .51,3⎛⎫ ⎪⎝⎭B .()5,1,3⎛⎫−∞⋃+∞ ⎪⎝⎭C .(),1−∞D .()1,+∞【答案】B【解析】∵()3f x +为偶函数, ∴()()33f x f x −+=+,即函数()f x 关于3x =对称,又函数()f x 在(],3−∞上单调递增,∴函数()f x 在[)3,+∞上单调递减,由()()12f x f x +>,可得1323x x +−<−,整理得,23850x x −+>,解得1x <或53x >. 故选:B .例2、(2023·全国·高三专题练习)设()f x 是定义在R 上的奇函数,且当0x ≥时,()2f x x =,不等式()()24f x f x ≥的解集为( )A .(][),04,−∞+∞UB .[]0,4C .(][),02,−∞⋃+∞D .[]0,2【答案】C 【解析】根据题意,当0x ≥时,()2f x x =,所以()f x 在[0,)+∞上为增函数,因为()f x 是定义在R 上的奇函数,所以()f x 在R 上为增函数,因为20x ≥,所以24()f x x =,24124x f x ⎛⎫= ⎪⎝⎭, 所以221()42x f x f ⎛⎫= ⎪⎝⎭, 所以不等式()()24f x f x ≥可化为2()2x f f x ⎛⎫≥ ⎪⎝⎭, 所以22x x ≥,解得0x ≤或2x ≥, 所以不等式()()24f x f x ≥的解集为(][),02,−∞⋃+∞,故选:C例3、(2023·全国·高三专题练习)已知偶函数()f x 的定义域为R ,且当0x ≥时,()11x f x x −=+,则使不等式()2122f a a −<成立的实数a 的取值范围是( ) A .()1,3−B .()3,3−C .()1,1−D .(),3−∞【答案】A 【解析】当0x ≥时,()()12121111x x f x x x x +−−===−+++,所以()f x 在[)0,∞+上单调递增, 且()132f =,不等式()2122f a a −<即为()()223f a a f −<. 又因为()f x 是偶函数,所以不等式()()223f a a f −<等价于()()223f a a f −<, 则223a a −<,所以,222323a a a a ⎧−<⎨−>−⎩,解得13a −<<. 综上可知,实数a 的取值范围为()1,3−,故选:A .例4、(2023·全国·高三专题练习)定义在R 上的奇函数()f x 在(,0]−∞上单调递增,且(2)2f −=−,则不等式1(lg )lg 4f x f x ⎛⎫−> ⎪⎝⎭的解集为( ) A .10,100⎛⎫ ⎪⎝⎭B .1,100⎛⎫+∞ ⎪⎝⎭C .(0,100)D .(100,)+∞【答案】D【解析】因为函数()f x 为奇函数,所以()()f x f x −=−,又(2)2f −=−,(2)2f =, 所以不等式1(lg )lg 4f x f x ⎛⎫−> ⎪⎝⎭,可化为()2(lg )422f x f >=, 即()(lg )2f x f >,又因为()f x 在(,0]−∞上单调递增,所以()f x 在R 上单调递增,所以lg 2x >,解得100x >.故选:D .例5、(2023春·广西·高三期末)()f x 是定义在R 上的函数,1122f x ⎛⎫++ ⎪⎝⎭为奇函数,则()()20232022f f +−=( )A .-1B .12−C .12D .1【答案】A 【解析】()f x 是定义在R 上的函数,1122f x ⎛⎫++ ⎪⎝⎭为奇函数,则 1111111222222f x f x f x f x ⎡⎤⎛⎫⎛⎫⎛⎫⎛⎫−++=−++⇒−+++=− ⎪ ⎪ ⎪ ⎪⎢⎥⎝⎭⎝⎭⎝⎭⎝⎭⎣⎦. ∴()()40451404512023202212222f f f f ⎛⎫⎛⎫+−=++−+=− ⎪ ⎪⎝⎭⎝⎭. 故选:A 例6、(2023春·甘肃兰州·高三兰化一中校考阶段练习)若函数f (x )=e e sin x x x x −−+−,则满足()()22ln 102x f a x f ⎛⎫−++≥ ⎪⎝⎭恒成立的实数a 的取值范围为( )A .12ln 2,2⎡⎫−+∞⎪⎢⎣⎭B .1(ln 2,)4−+∞C .[7,)4+∞D .[3,)2+∞ 【答案】A 【解析】因为()e e sin ()x x f x x x f x −−−=−+=−,所以()f x 是R 上的奇函数,由()e +e cos 1x x f x x −'=+−cos 11cos 0x x ≥−=+≥ ,所以()f x 是R 上的增函数, 所以2(2ln(1))02x f a x f ⎛⎫−++≥ ⎪⎝⎭等价于: 22(2ln(1))22x x f a x f f ⎛⎫⎛⎫−+≥−=− ⎪ ⎪⎝⎭⎝⎭即22ln(1)2x a x −+≥−, 所以22ln(1)2x a x ≥−++, 令2()2ln(1)2x g x x =−++, 则问题转化为:max ()a g x ≥,因为()()g x g x −=且定义域为R ,所以()g x =22ln(1)2x x −++是R 上的偶函数, 所以只需求()g x 在()0,∞+上的最大值即可.当[)0,x ∈+∞时,2()2ln(1)2x g x x =−++, ()()22122()111x x x x g x x x x x +−−−+'=−+==−+++, 则当()0,1x ∈时,()0g x '>;当()1,x ∈+∞时,()0g x '<; 所以()g x 在()0,1上单调递增,在()1,+∞上单调递减,可得:max 1()(1)2ln 22g x g ==−, 即12ln 22a ≥−, 故选:A . 本课结束。
函数奇偶性的判定问题1. 判断下列函数的奇偶性:(1)f (x )=|x +1|-|x -1|;(2)f (x )=(x -1)·xx -+11; (3)f (x )=2|2|12-+-x x ; (4)f (x )=⎩⎨⎧>+<-).0()1(),0()1(x x x x x x (5)xx x f 2)21()(2+= 2.判断下列函数的奇偶性2211(0)2()11(0)2x x g x x x ⎧+>⎪⎪=⎨⎪--<⎪⎩3.判断函数f (x )=⎩⎪⎨⎪⎧ x 3-3x 2+1x >0x 3+3x 2-1x <0的奇偶性.4.下列函数中,既是偶函数又在区间(0,+∞)上单调递增的函数是( )答案:BA. B.C. D.1.已知函数f (x )=ax 2+bx +c (a ≠0)是偶函数,那么g (x )=ax 3+bx 2+cx ( )AA .奇函数B .偶函数C .既奇又偶函数D .非奇非偶函数5.已知函数)127()2()1()(22+-+-+-=m m x m x m x f 为偶函数,则m 的值是( ) A. 1 B. 2 C. 3 D. 47.若y =(m +1)x 2+8mx +3是偶函数,则m =_________.0【例15】若3)3()2()(2+-+-=x k x k x f 是偶函数,讨论函数)(x f 的单调区间。
2.已知函数是偶函数,那么是( )答案:A A.奇函数 B.偶函数C.既奇且偶函数D.非奇非偶函数已知函数121)(+-=x a x f )(R x ∈,若)(x f 为奇函数,则=a ___;9.若f (x )=1222+-+⋅x x a a 为奇函数,求实数a 的值.2.已知函数f (x )=ax 2+bx +3a +b 是偶函数,且其定义域为[a -1,2a ],则( ) AA .31=a ,b =0 B .a =-1,b =0 C .a =1,b =0 D .a =3,b =01.设函数的定义域为,且是奇函数,则实数a 的值是( )答案:CA. B.1 C.D.36.已知函数是偶函数,且,则的值为( )答案:DA.-1B.1C.-5D.54.已知f (x )=x 5+ax 3+bx -8,且f (-2)=10,那么f (2)等于( )AA .-26B .-18C .-10D .102.已知函数)(x f y =为R 上的奇函数,若1)2()3(=-f f ,则=---)3()2(f f ____;5.函数1111)(22+++-++=x x x x x f 是( )BA .偶函数B .奇函数C .非奇非偶函数D .既是奇函数又是偶函数8.函数2122)(x x x f ---=奇偶性为_____奇函数___(填奇函数或偶函数))(x f 是定义在R 上的奇函数,则)0(f =___;若有3)2(=-f ,则=)2(f ___;若7)5(=f ;则=-)5(f ___;已知8)(35-++=bx ax x x f 且10)2(=-f ,那么=)2(f 。
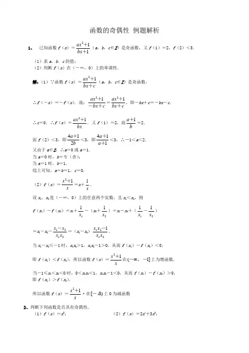
函数的奇偶性 例题解析1、 已知函数f (x )=112++bx ax (a ,b ,c ∈Z )是奇函数,又f (1)=2,f (2)<3. (1)求a ,b ,c 的值;(2)判断f (x )在(-∞,0)上的单调性.解:(1)∵函数f (x )=cbx ax ++12(a ,b ,c ∈Z )是奇函数, ∴f (-x )=-f (x ).故:c bx ax +-+12=cbx ax ++12,即-bx +c =-bx -c . ∴c =0.∴f (x )=bxax 12+.又f (1)=2,故b a 1+=2. 而f (2)<3,即b a 214+<3,即114++a a <3,∴-1<a <2. 又由于a ∈Z ,∴a =0或a =1.当a =0时,b =专(舍);当a =1时,b =1.综上可知,a =b =1,c =0.(2)f (x )=xx 12+=x +x 1. 设x 1、x 2是(-∞,0)上的任意两个实数,且x 1<x 2,则f (x 1)-f (x 2)=x 1+11x -(x 2+21x )=x 1-x 2+(11x -21x ) =x 1-x 2-2121x x x x -=(x 1-x 2)21211x x x x -. 当x 1-x 2≤-1时,x 1x 2>1,x 1x 2-1>0,从而f (x 1)-f (x 2)<0,即f (x 1)<f (x 2).所以函数f (x )=xx 12+在]1(,-- 上为增函数. 当-1≤x 1<x 2<0时,0<x 1x 2<1,x 1x 2-1<0,从而f (x 1)-f (x 2)>0,即f (x 1)>f (x 2).所以函数f (x )=xx 12+·在)0[-,上0为减函数 2、判断下列函数是否具有奇偶性.(1)f (x )=x 3; (2)f (x )=2x 4+3x 2;(3)f (x )=x 3+31x ;(4)f (x )=x +1. 通过这四个小题的解答,仔细观察分析,不难发现如下结论:在公共定义域内, (1)两个偶函数之和为偶函数;两个偶函数之积为偶函数;(2)两个奇函数之和为奇函数;两个奇函数之积为偶函数;(3)一个奇函数与一个偶函数之积为奇函数.事实上,以上三个结论是正确的,下面以结论(3)为例证明.证明:设函数f (x )为奇函数,它的定义域为A ,函数g (x )为偶函数,它的定义域为B ,两个函数的公共定义域为C ,记F (x )=f (x )g (x ).设x ∈C ,f (-x )=f (-x )g (-x )=-f (x )g (x )=-f (x ).所以函数F (x )为奇函数,利用上述结论,我们可以解决一些问题,看下面的例子:f (x )=(1+122-x )f (x )(x ≠0)是偶函数,且f (x )不恒等于零,则f (x )( )A .是奇函数B .是偶函数C .可能是奇函数,也可能是偶函数D .不是奇函数,也不是偶函数 分析:∵g (x )=1+122-x =1212-+x x ,g (-x )=1212-+--x x =-1212-+x x , ∴f (x )是奇函数.又f (x )不恒等于零,f (x )为偶函数,由上面结论(2)知应选A .。
高一数学函数的奇偶性试题答案及解析1.若函数是偶函数,则的递减区间是【答案】【解析】偶函数的图像关于轴对称,故,则,则的递减区间是。
【考点】(1)偶函数图像的性质;(2)二次函数单调区间的求法。
2.设函数和分别是上的偶函数和奇函数,则下列结论恒成立的是A.是偶函数B.是奇函数C.是偶函数D.是奇函数【答案】A【解析】由设函数f(x)和g(x)分别是R上的偶函数和奇函数,我们易得到|f(x)|、|g(x)|也为偶函数,进而根据奇+奇=奇,偶+偶=偶,逐一对四个结论进行判断,即可得到答案.∵函数f(x)和g(x)分别是R上的偶函数和奇函数,则|g(x)|也为偶函数,则f(x)+|g(x)|是偶函数,故A满足条件;f(x)-|g(x)|是偶函数,故B不满足条件;|f(x)|也为偶函数,则|f(x)|+g(x)与|f(x)|-g(x)的奇偶性均不能确定故选A【考点】函数奇偶性的判断3.设函数为奇函数,,,则=()A.0B.C.D.-【答案】C.【解析】由题意知,,又因为函数为奇函数,所以,且,再令中得,,即,所以,故选C.【考点】函数的奇偶性;抽象函数.4.已知为偶函数,当时,,则满足的实数的个数为().A.2B.4C.6D.8【答案】D【解析】令,则,解得;又因为为偶函数,所以当时,,则或;当时,,方程无解;,方程有两解;,方程有一解;,方程有一解;即当时,有四解,由偶函数的性质,得当时,也有四解;综上,有8解.【考点】函数的性质、方程的解.5.偶函数满足,且在时,,若直线与函数的图像有且仅有三个交点,则的取值范围是()A.B.C.D.【答案】B【解析】因为,所以函数的图像关于直线对称,又是偶函数,所以,即有,所以是周期为2的函数,由,得,即,画出函数和直线的示意图因为直线与函数的图像有且仅有三个交点,所以根据示意图易知:由直线与半圆相切,可计算得到,由直线与半圆相切可计算得到,所以,选B.【考点】1.函数的对称性、奇偶性、周期性;2.函数图像;3.直线与圆的位置关系;4.点到直线的距离公式.6.若函数在其定义域上为奇函数,则实数 .【答案】【解析】小题可采用带特殊值法求得,检验此时在处有定义.【考点】奇函数定义及特殊值法.7.已知函数是偶函数(1)求k的值;(2)若函数的图象与直线没有交点,求b的取值范围;(3)设,若函数与的图象有且只有一个公共点,求实数的取值范围【答案】(1);(2);(3)【解析】(1)因为函数是偶函数,所以根据偶函数的定义,得到一个关于x,k的等式.由于对于任意的x都成立,相当于恒过定点的问题,所以求得k的值.(2)因为函数的图象与直线没有交点,所以对应的方程没有解,利用分离变量的思维可得到一个等式,该方程无解.所以等价两个函数与没有交点,所以求出函数的最值.即可得到b的取值范围.(3)因为,若函数与的图象有且只有一个公共点,所以等价于方程有且只有一个实数根.通过换元将原方程化为含参的二次方程的形式,即等价于该二次方程仅有一个大于零的实根,通过讨论即可得到结论.试题解析:(1)因为为偶函数,所以,即对于任意恒成立.于是恒成立,而不恒为零,所以. 4分(2)由题意知方程即方程无解.令,则函数的图象与直线无交点.因为,由,则,所以的取值范围是 . 8分(3)由题意知方程有且只有一个实数根.令,则关于的方程 (记为(*))有且只有一个正根.若,则,不合题意, 舍去;若,则方程(*)的两根异号或有两相等正根.由或;但,不合题意,舍去;而;若方程(*)的两根异号综上所述,实数的取值范围是. 12分【考点】1.函数的奇偶性.2.函数的与方程的思想的转化.3.换元法的应用.4.含参数的方程的根的讨论.8.设函数是定义在上的偶函数,当时,.若,则实数的值为 .【答案】【解析】若,则由,得,,解得成立.若,则由,得,即,,得,即,所以.【考点】函数的奇偶性.9.定义在上的函数,对任意都有,当时,,则________.【答案】【解析】由可知函数是周期函数且周期为;所以,而当时,,故.【考点】1.函数的周期性;2.抽象函数;3.函数的解析式.10.已知是定义在上的奇函数,当时,,那么的值是( ) A.B.C.D.【答案】A【解析】因为是定义在上的奇函数,所以.【考点】奇函数的定义.11.已知函数的定义域为,且为偶函数,则实数的值可以是( ) A.B.C.D.【答案】A【解析】因为函数的定义域为,所以在函数中,,则函数的定义域为,又因为为偶函数,所以,故选A.【考点】本题主要考查了抽象函数的定义域,以及偶函数的性质.12.已知定义在R上的单调递增函数满足,且。
函数的奇偶性知识点及例题解析一、知识要点:1、函数奇偶性的概念一般地,对于函数)(x f ,如果对于函数定义域内任意一个x ,都有)()(x f x f =-,那么函数)(x f 就叫做偶函数。
一般地,对于函数)(x f ,如果对于函数定义域内任意一个x ,都有)()(x f x f -=-,那么函数)(x f 就叫做奇函数。
理解:(1)奇偶性是针对整个定义域而言的,单调性是针对定义域内的某个区间而言的。
这两个概念的区别之一就是,奇偶性是一个“整体”性质,单调性是一个“局部”性质;(2)定义域关于原点对称是函数具有奇偶性的必要条件。
2、按奇偶性分类,函数可分为四类:奇函数非偶函数、偶函数非奇函数、非奇非偶函数、亦奇亦偶函数.3、奇偶函数的图象:奇函数⇔图象关于原点成中心对称的函数,偶函数⇔图象关于y 轴对称的函数。
4、函数奇偶性的性质:①具有奇偶性的函数,其定义域关于原点对称(也就是说,函数为奇函数或偶函数的必要条件是其定义域关于原点对称)。
②常用的结论:若f(x)是奇函数,且x 在0处有定义,则f(0)=0。
③奇函数在关于原点对称的区间上若有单调性,则其单调性完全相同,最值相反。
奇函数f(x)在区间[a,b](0≤a<b)上单调递增(减),则f(x)在区间[-b,-a]上也是单调递增(减); 偶函数在关于原点对称的区间上若有单调性,则其单调性恰恰相反,最值相同。
偶函数f(x)在区间[a,b](0≤a<b )上单调递增(减),则f(x)在区间[-b,-a]上单调递减(增) ④任意定义在R 上的函数f(x)都可以唯一地表示成一个奇函数与一个偶函数的和。
⑤若函数g(x),f(x),f[g(x)]的定义域都是关于原点对称的,则u=g(x),y=f(u)都是奇函数时,y=f[g(x)]是奇函数;u=g(x),y=f(u)都是偶函数,或者一奇一偶时,y= f[g(x)]是偶函数。
复合函数的奇偶性特点是:“内偶则偶,内奇同外”.5、判断函数奇偶性的方法:⑴、定义法:对于函数()f x 的定义域内任意一个x ,都有()()x f x f =-〔或()()1=-x f x f 或()()0=--x f x f 〕⇔函数f (x )是偶函数;对于函数()f x 的定义域内任意一个x ,都有()()x f x f -=-〔或()()1-=-x f x f 或()()0=+-x f x f ⇔函数f (x )是奇函数;判断函数奇偶性的步骤:①、判断定义域是否关于原点对称;②、比较)(x f -与)(x f 的关系。
专题17 函数奇偶性的应用题组4 函数奇偶性的应用1.已知一个奇函数的定义域为{-1,2,a,b},则a+b等于()A.-1B.1C.0D.2【答案】A【解析】因为一个奇函数的定义域为{-1,2,a,b},根据奇函数的定义域关于原点对称,所以a与b有一个等于1,一个等于-2,所以a+b=1+(-2)=-1.故选A.2.已知函数f(x)的定义域为(3-2a,a+1),且f(x+1)为偶函数,则实数a的值可以是()A.2B.C.4D.6【答案】A【解析】因为函数f(x)的定义域为(3-2a,a+1),所以在函数f(x+1)中,3-2a<x+1<a+1,则函数f(x+1)的定义域为(2-2a,a),又因为f(x+1)为偶函数,所以2-2a=-a,a=2,故选A.3.已知函数f(x)=(m-1)x2+2mx+3为偶函数,则f(x)在区间(2,5)上是()A.增函数B.减函数C.有增有减D.增减性不确定【答案】B【解析】∵f(x)为偶函数,∴m=0,∴f(x)=-x2+3,开口向下,对称轴为y轴,∴f(x)在(2,5)上是减函数.4.已知函数f(x)=ax2+bx+3a+b是定义域为[a-1,2a]的偶函数,a+b的值是()A.0B.C.1D.-1【答案】B【解析】∵函数f(x)=ax2+bx+3a+b是定义域为[a-1,2a]的偶函数,∴a-1=-2a,b=0,解得a=,b=0,∴a+b=,故选B.5.已知f(x)=ax2+bx+1是定义在[3a-2,2a+]上的偶函数,则5a+3b等于()A.B.C.0D.-【答案】A【解析】∵f(x)为偶函数,∴f(-x)=f(x),即ax2+bx+1=ax2-bx+1,∴b=0.又f(x)的定义域为[3a-2,2a+],∴3a-2+2a+=0,∴a=.故5a+3b=.6.若函数f(x)=为奇函数,则a等于()A.1B.2C.D.-【答案】A【解析】由题意得f(-x)=-f(x),则==-,则-4x2+(2-2a)x+a=-4x2-(2-2a)x+a,所以2-2a=-(2-2a),所以a=1.7.若函数f(x)=ax2+(a-2b)x+a-1是定义在(-a,0)∪(0,2a-2)上的偶函数,则f等于()A.1B.3C.D.【答案】B【解析】因为偶函数的定义域关于原点对称,则-a+2a-2=0,解得a=2.又偶函数不含奇次项,所以a -2b=0,即b=1,所以f(x)=2x2+1.于是f=f(1)=3.8.函数f(x)=x|x+a|+b满足f(-x)=-f(x)的条件是()A.ab=0B.a+b=0C.a=bD.a2+b2=0【答案】D【解析】由已知,得-x|-x+a|+b=-x|x+a|-b,∴a=b=0,即a2+b2=0.9.已知f(x)是奇函数,g(x)是偶函数,且f(-1)+g(1)=2,f(1)+g(-1)=4,则g(1)等于()A.4B.3C.2D.1【答案】B【解析】∵f(x)是奇函数,∴f(-1)=-f(1).又g(x)是偶函数,∴g(-1)=g(1).∵f(-1)+g(1)=2,∴g(1)-f(1)=2.①又f(1)+g(-1)=4,∴f(1)+g(1)=4.②由①②,得g(1)=3.10.已知f(x),g(x)分别是定义在R上的偶函数和奇函数,且f(x)-g(x)=x3+x2+1,则f(1)+g (1)等于()A.-3B.-1C.1D.3【答案】C【解析】分别令x=1和x=-1可得f(1)-g(1)=3和f(-1)-g(-1)=1,因为函数f(x),g(x)分别是定义在R上的偶函数和奇函数,所以f(-1)=f(1),g(-1)=-g(1),即f(-1)-g(-1)=1⇒f(1)+g(1)=1,则⇒⇒f(1)+g(1)=1,故选C.11.已知函数f(x)是定义在实数集R上的不恒为零的偶函数,且对任意实数x都有xf(x+1)=(1+x)f (x),则f的值是()A.0B.C.1D.【答案】A【解析】因为xf(x+1)=(1+x)f(x),令x=,则f()=5×,令x=,则f=3×f,令x=-,则f=-f,又已知函数f(x)是定义在实数集R上的不恒为零的偶函数,所以f-f=0,所以f=f=f=0,又令x=-1,f(0)=0,所以f=f(0)=0.12.已知f(x)=x5-ax3+bx+2,且f(5)=17,则f(-5)的值为()A.-13B.13C.-19D.19【答案】A【解析】设g(x)=x5-ax3+bx,则g(x)为奇函数.f(x)=g(x)+2,f(5)=g(5)+2=17.∴g(5)=15,故g(-5)=-15.∴f(-5)=g(-5)+2=-15+2=-13.13.设f(x)是奇函数,当x∈[0,+∞)时,f(x)≤m(m<0),则f(x)的值域是()A.[m,-m]B.(-∞,m]C.[-m,+∞)D.(-∞,m]∪[-m,+∞)【答案】D【解析】当x≥0时,f(x)≤m;当x≤0时,-x≥0,所以f(-x)≤m,因为f(x)是奇函数,所以f(-x)=-f(x)≤m,即f(x)≥-m.14.若偶函数f(x)在区间[3,6]上是增函数且f(6)=9,则它在区间[-6,-3]上()A.最小值是9B.最小值是-9C.最大值是-9D.最大值是9【答案】D【解析】因为f(x)是偶函数且在区间[3,6]上是增函数,所以f(x)在区间[-6,-3]上是减函数.因此,f(x)在区间[-6,-3]上最大值为f(-6)=f(6)=9.15.若φ(x),g(x)都是奇函数,f(x)=aφ(x)+bg(x)+3在(0,+∞)上有最大值10,则f(x)在(-∞,0)上有()A.最小值-4B.最大值-4C.最小值-1D.最大值-3【答案】A【解析】由已知对任意x∈(0,+∞),f(x)=aφ(x)+bg(x)+3≤10.对任意x∈(-∞,0),则-x∈(0,+∞).又∵φ(x),g(x)都是奇函数,∴f(-x)=aφ(-x)+bg(-x)+3≤10,即-aφ(x)-bg(x)+3≤10,∴aφ(x)+bg(x)≥-7,∴f(x)=aφ(x)+bg(x)+3≥-7+3=-4.16.奇函数f(x)在(0,+∞)上的解析式是f(x)=x(1-x),则在(-∞,0)上f(x)的函数解析式是()A.f(x)=-x(1-x)B.f(x)=x(1+x)C.f(x)=-x(1+x)D.f(x)=x(x-1)【答案】B【解析】设x<0,则-x>0,因为函数f(x)在(0,+∞)上的解析式是f(x)=x(1-x),所以f(-x)=-x(1+x),又函数f(x)是奇函数,即f(-x)=-f(x),则当x<0时,f(x)=-f(-x)=x(1+x).故选B.17.若f(x)=(m-1)x2+6mx+2是偶函数,则f(0),f(1),f(-2)从小到大的排列是________.【答案】f(-2)<f(1)<f(0)【解析】∵f(x)是偶函数,∴f(-x)=f(x)恒成立,即(m-1)x2-6mx+2=(m-1)x2+6mx+2恒成立,∴m=0,即f(x)=-x2+2.∵f(x)的图象开口向下,对称轴为y轴,在[0,+∞)上单调递减,∴f(2)<f(1)<f(0),即f(-2)<f(1)<f(0).18.设函数f(x)=为奇函数,则实数a=________.【答案】-1【解析】∵f(x)是奇函数,∴f(-x)=-f(x),即=-,∴2a=-2,解得a=-1.19.已知y=f(x)+x2是奇函数且f(1)=1,若g(x)=f(x)+2,则g(-1)=________.【答案】-1【解析】∵y=f(x)+x2是奇函数,∴f(-x)+(-x)2=-[f(x)+x2],∴f(x)+f(-x)+2x2=0,∴f(1)+f(-1)+2=0.∵f(1)=1,∴f(-1)=-3.∵g(x)=f(x)+2,∴g(-1)=f(-1)+2=-3+2=-1.20.设f(x)是定义在R上的奇函数,f(1)=2,且f(x+1)=f(x+6),则f(10)+f(4)=________. 【答案】-2【解析】因为f(x+1)=f(x+6),所以f(x)=f(x+5).因为f(x)是R上的奇函数,所以f(0)=0,则f(10)=f(5)=f(0)=0,f(4)=f(-1)=-f(1)=-2.所以f(10)+f(4)=-2.21.已知f(x)在R上是奇函数,且满足f(x+4)=f(x),当x∈(0,2)时,f(x)=2x2,则f(7)=________. 【答案】-2【解析】f(7)=f(3+4)=f(3)=f(-1+4)=f(-1),∵f(x)为奇函数,∴f(-1)=-f(1),∵1∈(0,2),∴f(1)=2×12=2,∴f(7)=-f(1)=-2.22.已知函数f(x)=ax3+bx+4(a,b均不为零),且f(5)=10,则f(-5)=________.【答案】-2【解析】令g(x)=ax3+bx(a,b均不为零),易知g(x)为奇函数,从而g(5)=-g(-5).因为f(x)=g(x)+4,所以g(5)=f(5)-4=6,所以f(-5)=g(-5)+4=-g(5)+4=-2.23.已知函数f(x)=ax3-bx+1,a,b∈R,若f(-1)=-2,则f(1)=__________.【答案】4【解析】∵f(x)=ax3-bx+1,∴f(-x)=a(-x)3-b(-x)+1=-ax3+bx+1,得f(x)+f(-x)=(ax3-bx+1)+(-ax3+bx+1)=2,令x=1,得f(1)+f(-1)=2,∵f(-1)=-2,∴f(1)=2-f(-1)=2+2=4.24.已知函数f(x)是定义在R上的奇函数.当x<0时,f(x)=x2-4,则x>0时,f(x)的解析式为________,不等式f(x)<0的解集为___________.【答案】f(x)=-x2+4(-2,0)∪(2,+∞)【解析】当x>0时,-x<0,所以f(-x)=(-x)2-4=x2-4,因为函数f(x)是定义在R上的奇函数,所以f(-x)=x2-4=-f(x),所以f(x)=-x2+4,即x>0时,f(x)=-x2+4.当x<0时,f(x)<0,即x2-4<0,解得-2<x<2,又因为x<0,所以-2<x<0;当x>0时,f(x)<0,即4-x2<0,解得x<-2或x>2,又因为x>0,所以x>2.综上可得f(x)<x的解集是(-2,0)∪(2,+∞).25.定义在R上的奇函数f(x)满足f(x+2)=-f(x),当0≤x≤1时,f(x)=x,(1)试画出f(x),x∈[-3,5]的图象;(2)求f(37.5);(3)常数a∈(0,1),y=a与f(x),x∈[-3,5]的图象相交,求所有交点横坐标之和.【答案】(1)∵f(x)为奇函数,∴f(x+2)=f(-x),∴f(x)关于直线x=1对称.由f(x)在[0,1]上的图象反复关于(0,0),x=1对称,可得f(x),x∈[-3,5]的图象如图.(2)由图可知f(x+4)=f(x),∴f(37.5)=f(4×9+1.5)=f(1.5)=f(0.5)=.(3)由图可知,当a∈(0,1)时,y=a与f(x),x∈[-3,5]有4个交点,设为x1,x2,x3,x4(x1<x2<x3<x4). 由图可知=-1,=3.∴x1+x2+x3+x4=-2+6=4.26.已知函数f(x)=,g(x)=f().(1)在图中的坐标系中补全函数f(x)在其定义域内的图象,并说明你的作图依据;(2)求证:f(x)+g(x)=1(x≠0).【答案】(1)∵f(x)=,∴f(x)的定义域为R.又对任意x∈R,都有f(-x)===f(x),∴f(x)为偶函数,故f(x)的图象关于y轴对称,其图象如图.(2)∵g(x)=f()==(x≠0),∴f(x)+g(x)=+==1,即f(x)+g(x)=1(x≠0).27.已知函数f(x)=mx2+nx+3m+n是偶函数,且其定义域为[m-1,2m].(1)求m,n的值;(2)求函数f(x)在其定义域上的最大值.【答案】(1)∵函数f(x)=mx2+nx+3m+n是偶函数,∴函数的定义域关于原点对称,又∵函数f(x)的定义域为[m-1,2m].∴m-1+2m=0,解得m=,又由f(-x)=mx2-nx+3m+n=f(x)=mx2+nx+3m+n,可得n=0.(2)由(1)得函数的解析式为f(x)=x2+1,定义域为[-,].其图象是开口向上,且以y轴为对称轴的抛物线,当x=±时,f(x)取最大值.28.已知函数f(x)=ax++c(a,b,c是常数)是奇函数,且满足f(1)=,f(2)=. (1)求a,b,c的值;(2)试判断函数f(x)在区间上的单调性并证明.【答案】(1)∵f(x)为奇函数,∴f(-x)=-f(x),∴-ax-+c=-ax--c,∴c=0,∴f(x)=ax+.又∵f(1)=,f(2)=,∴∴a=2,b=.综上,a=2,b=,c=0.(2)由(1)可知f(x)=2x+.函数f(x)在区间上为减函数.证明如下:任取0<x1<x2<,则f(x1)-f(x2)=2x1+-2x2-=(x1-x2)=(x1-x2)∵0<x1<x2<,∴x1-x2<0,2x1x2>0,4x1x2-1<0.∴f(x1)-f(x2)>0,f(x1)>f(x2).∴f(x)在上为减函数.29.已知函数f(x)=x2+2ax+2,x∈[-5,5].(1)当a=-1时,求函数f(x)的最大值和最小值;(2)求实数a的取值范围,使y=f(x)在区间[-5,5]上是单调函数.【答案】(1)当a=-1时,f(x)=x2-2x+2=(x-1)2+1.∵x∈[-5,5],故当x=1时,f(x)的最小值为1,当x=-5时,f(x)的最大值为37.(2)函数f(x)=(x+a)2+2-a2的图象的对称轴为x=-a.∵f(x)在[-5,5]上是单调的,∴-a≤-5或-a≥5.即实数a的取值范围是a≤-5或a≥5.30.已知y=f(x)是定义在R上的奇函数,且当x>0时,f(x)=2x-x2,求y=f(x)的解析式. 【答案】设x<0,则-x>0,因为f(x)是奇函数,所以当x<0时,f(x)=-f(-x)=-[2(-x)-(-x)2]=2x+x2.因为y=f(x)是R上的奇函数,所以f(0)=0.所以f(x)=。
高一数学函数的奇偶性试题答案及解析1.设函数和分别是上的偶函数和奇函数,则下列结论恒成立的是A.是偶函数B.是奇函数C.是偶函数D.是奇函数【答案】A【解析】由设函数f(x)和g(x)分别是R上的偶函数和奇函数,我们易得到|f(x)|、|g(x)|也为偶函数,进而根据奇+奇=奇,偶+偶=偶,逐一对四个结论进行判断,即可得到答案.∵函数f(x)和g(x)分别是R上的偶函数和奇函数,则|g(x)|也为偶函数,则f(x)+|g(x)|是偶函数,故A满足条件;f(x)-|g(x)|是偶函数,故B不满足条件;|f(x)|也为偶函数,则|f(x)|+g(x)与|f(x)|-g(x)的奇偶性均不能确定故选A【考点】函数奇偶性的判断2.若定义在上的奇函数和偶函数满足,则()A.B.C.D.【答案】A【解析】为奇函数和为偶函数,由可得,即,,可解得.故选A.【考点】函数的奇偶性.3.已知f(x)是定义在(-3,3)上的奇函数,当0<x<3时,如图所示,那么不等式f(x)cosx<0的解集是( ).A.B.C.D.【解析】图1图2如图1为f(x)在(-3,3)的图象,图2为y=cosx图象,要求得的解集,只需转化为在寻找满足如下两个关系的区间即可:,结合图象易知当时,,当时,,当时,,故选B.【考点】奇函数的性质,余弦函数的图象,数形结合思想.4.已知函数为偶函数,且若函数,则= .【答案】2014【解析】由函数为偶函数,且得从而,故应填入2014.【考点】函数的奇偶性.5.若函数在其定义域上为奇函数,则实数 .【答案】【解析】小题可采用带特殊值法求得,检验此时在处有定义.【考点】奇函数定义及特殊值法.6.函数的图像大致是()【答案】A【解析】因为的定义域为且,所以为上的偶函数,该函数的图像关于轴对称,只能是图像A、C选项之一,而,故选A.【考点】1.函数的图像;2.函数的奇偶性.7.已知,,则_ ____.【答案】5【解析】函数,,又为奇函数,所以.【考点】函数奇偶性.8.已知是奇函数,且,则.【解析】令,因为此函数是奇函数,所以。
归纳函数奇偶性题型及解法我们知道,如果对于函数()x f 的定义域内的任意一个x ,都有()()x f x f =-,则称函数()x f y =是偶函数;如果对于函数()x f 的定义域内的任意一个x ,都有()()x f x f -=-,则称函数()x f y =是奇函数.下面来谈谈典型问题:题型一:一般函数奇偶性的判断与证明例1:判断函数()2212---=x x x f 的奇偶性. 分析:应该首先判断函数的定义域是否关于原点对称,在定义域关于原点对称的情况下,利用奇偶函数的定义判断.解:函数的定义域为⎪⎩⎪⎨⎧≠--≥-022012x x ,得到为01<≤-x 或10≤<x ,定义域关于原点对称,∵()2212---=x x x f =x x --21,此时有()()()x f x x x f -=--=-21,则函数()x f 为奇函数.点评:在判断一个函数的奇偶性之前,要先求定义域,看其是否关于原点对称,其次,能将解析式化简的则需要化简好再作判断.题型二:抽象函数奇偶性的判断例2:已知函数()x f ,R x ∈,若对于任意实数a 、b ,都有()()()b f a f b a f +=+,求证:()x f 为奇函数.分析:因为对于任意的实数a 、b ,都有()()()b f a f b a f +=+,则可以令a 、b 为某些特殊值,得出()x f -()x f -=.解:设0=a ,则()()()b f f b f +=0,则()00=f .又设x a -=,x b =,则()()()x f x f f +-=0,∴()x f -()x f -=.∴()x f 是奇函数.点评:涉及抽象函数的奇偶性证明,通常用赋值法,结合条件中恒成立的式子,通过赋值,令解析式满足的式子中出现x 和x -,依据函数奇偶性的定义进行证明.题型三:分段函数奇偶性的判断例3:判断函数()()()⎩⎨⎧<-≥+=0)1(0)1(x x x x x x x f 的奇偶性. 分析:对于本题中,要注意分段来考虑函数的奇偶性,特别需要注意的是在奇偶性的定义中,涉及到()x f -与()x f 的关系时,都是以对方的存在为前提.解:当0>x 时,有0<-x ,所以())()1(x f x x x f -=+-=-;当0<x 时,有0>-x ,所以())()1(x f x x x f -=--=-;当0=x 时,()0=x f 显然有()()x f x f -==-0,综合上面所述,对任意的R x ∈,都有()()x f x f -=-成立,所以()x f 是奇函数.点评:本题中除了要分段进行考虑之外,还需要注意的是不要漏掉了对0=x 的判断. 题型四:利用函数的奇偶性求函数解析式例4:已知()x f 是奇函数,且当0>x 时,()2-=x x x f ,求0<x 时()x f 的表达式. 分析:求0<x 的解析式,将自变量转化为其相反数的范围,即得0>-x ,由0>x 的解析式及()x f 是奇函数的性质求出()x f .解:设0<x ,且满足表达式()2-=x x x f ,∴()2---=-x x x f =2+-x x ,又()x f 是奇函数,则()()x f x f -=-, ∴()2+-=-x x x f ,∴()2+=x x x f ,则当0<x 时()2+=x x x f .点评:(1)在哪个区间求解析式,就设在哪个区间里;(2)转化为已知的解析式进行代入;(3)利用()x f 的奇偶性把()x f -写成()x f -或()x f ,从而求出()x f .题型五:函数单调性和奇偶性综合性问题例5:设函数()x f 在R 上是偶函数,在区间()0,∞-上递增,且()<++122a a f ()3222+-a a f ,求a 的取值范围.分析:要求a 的取值范围,就要列关于a 的不等式组,因而利用函数的单调性,奇偶性化“抽象的不等式”为具体的代数不等式则是关键.解:由于()x f 在R 上是偶函数,()x f 在R 上是偶函数,则()x f 在()+∞,0上递减, ∵874121222+⎪⎭⎫ ⎝⎛+=++a a a 0>,025********>+⎪⎭⎫ ⎝⎛-=+-a a a , 且()<++122a a f ()3222+-a a f ,∴3221222+->++a a a a ,即023>-a ,解之得32>a . 点评:给出函数的奇偶性及y 轴一侧的单调性,结合函数奇偶性的性质,可得到其关于y 轴对称区间上的单调性,由此可以脱掉函数符号“f ”,则问题可以迎刃而解. 对于奇偶性问题,理解了定义的特征,掌握了判断的方法,则不论题型如何变化,则始终能轻松解决.。
高二数学函数的奇偶性试题答案及解析1.已知是定义在上的奇函数,且时的图像如图所示,则()A.B.C.D.【答案】B【解析】由于是奇函数,,由图知,【考点】奇函数的应用和认识图的能力.2.已知是定义在R上的奇函数,当时(m为常数),则的值为(). A.B.6C.4D.【答案】D.【解析】因为是定义在R上的奇函数,当时(m为常数),所以,即,即;.【考点】函数的奇偶性、对数恒等式.3.若是定义在R上的奇函数,且满足,给出下列4个结论:(1);(2)是以4为周期的函数;(3);(4)的图像关于直线对称;其中所有正确结论的序号是 .【答案】①②③【解析】①因为是定义在R上的奇函数,所以,则;②,,即周期为4;③因为是定义在R上的奇函数,所以,又,;④因为是定义在R上的奇函数,所以的图像关于直线对称;故选①②③.【考点】函数的奇偶性、周期性.4.设函数f(x)是定义在R上的周期为2的偶函数,当x∈[0,1]时,f(x)=x+1,则=【答案】.【解析】由已知得:.【考点】函数的奇偶性与周期性.5.已知为偶函数,曲线过点,.(1)若曲线有斜率为0的切线,求实数的取值范围;(2)若当时函数取得极值,确定的单调区间.【答案】(1);(2)和为的单调递增区间,为的单调递增区间.【解析】(1)先根据为偶函数,得到,恒有,进而计算出(也可根据二次函数的图像与性质得到对称轴,该对称轴为轴,进而得出),然后将点代入求出,进而写出的表达式,此时,根据条件有斜率为0的切线即有实数解,根据二次方程有解的条件可得,求解出的取值范围即可;(2)先根据时函数取得极值,得到,进而求出,然后确定导函数,由导数可求出函数的单调增区间,由可求出函数的单调减区间.(1)为偶函数,故对,总有,易得又曲线过点,得,得, 3分曲线有斜率为0的切线,故有实数解此时有,解得 5分(2)因时函数取得极值,故有,解得又,令,得.当时,在上为增函数当时,,在上为减函数当时,,在上为增函数从而和为的单调递增区间,为的单调递增区间 10分.【考点】1.函数的奇偶性;2.导数的几何意义;3.函数的极值与导数;4.函数的单调性与导数.6.设是奇函数,则使f(x)<0的x的取值范围是().A.(-1,0)B.(0, 1)C.(-∞,0)D.(-∞,0)∪(1,+∞)【答案】A【解析】由为奇函数,则,可得,即,又,即,可变为,解得.【考点】函数的奇偶性,对数函数性质,分式不等式.7.已知函数,则不等式的解集为;【答案】【解析】由奇函数性质可知:或或,解得或或,不等式的解集为【考点】利用函数性质解不等式8.函数f(x)=x|x+a|+b是奇函数的充要条件是()A.ab="0"B.a+b=0C.a=b D.a2+b2=0【答案】D【解析】是奇函数有f(0)=0,得b=0,f(-1)=-f(1),得a=0,∴答案是D.【考点】函数的奇偶性.9.已知。
函数的奇偶性题型及解析1.给定四个函数;;y=x 3+1;其中是奇函数的有几个 分析:利用奇函数的定义,对每个函数进行验证,可得结论. 解:∵,∴是奇函数;∵定义域不关于原点对称,∴不是奇函数;∵(﹣x )3+1≠﹣(x 3+1),∴不是奇函数;函数的定义域为{x|x ≠0},=,∴是奇函数综上,奇函数的个数为2个 2.若一个函数图象的对称轴是y 轴,则该函数称为偶函数.那么在下列四个函数:①y=2|x|;②y=6/x ;③y=x 2;④y=(x ﹣1)2+2中,其中是偶函数的有几个分析:对于y=2|x|分类讨论:当x >0,则y=2x ;当x <0,则y=﹣2x ,根据正比例函数的性质可判断y=2|x|的对称轴是y 轴;根据反比例函数得到y=6/x 关于直线y=x 和y=﹣x 对称;根据二次函数的性质得到y=x 2的对称轴为y 轴,y=(x ﹣1)2+2的对称轴为直线x=1,然后根据新定义进行判断.解:y=2|x|,当x >0,则y=2x ;当x <0,则y=﹣2x ,所以y=2|x|的对称轴是y 轴,该函数为偶函数;y=6/x 关于直线y=x 和y=﹣x 对称,所以y=不是偶函数;y=x 2的对称轴为y 轴,所以y=x 2为偶函数;y=(x ﹣1)2+2的对称轴为直线x=1,所以y=(x ﹣1)2+2不是偶函数,偶函数的个数为2个3.函数y=|x+3|﹣|3﹣x|是奇函数还是偶函数分析:根据函数奇偶性的定义进行判断即可.解:∵f (﹣x )=|﹣x+3|﹣|3+x|=﹣(|x+3|﹣|3﹣x|)=﹣f (x ),∴函数f (x )是奇函数,[4.如果函数y=x 2﹣2ax+6是偶函数,求a 的值分析:运用偶函数的定义得出f (﹣x )=f (x ),即x 2+2ax+6=x 2﹣2ax+6恒成立,得出2a=﹣2a ,即可解:∵函数y=x 2﹣2ax+6是偶函数,∴f (﹣x )=f (x ),即x 2+2ax+6=x 2﹣2ax+6恒成立,2a=﹣2a ,解得a=05.①已知函数f (x )=ax 2+2x 是奇函数,求实数分析:由奇函数定义入手寻找特殊值是解决此问题的最简解法解:由奇函数定义有f (﹣x )=﹣f (x ),则f (﹣1)=a ﹣2=﹣f (1)=﹣(a+2),解得a=0②如果函数f (x )=+a 是奇函数,求a 的值分析:函数的定义域为R ,利用奇函数f (0)=0,得到a解:因为函数的定义域为R ,并且函数是奇函数,所以f (0)=0,即1220++a=0,解得a=-1; ③已知f (x )=121-x +a 是奇函数,求a 的值及函数值域 、分析:本题考察函数奇偶性的性质,由题意可得f (﹣1)+f (1)=0,可得a 值,再由定义域和反比例函数以及不等式的性质可得函数的值域解:由2x ﹣1=≠0可得x ≠0,可得函数的定义域为{x|x ≠0},∵f (x )=121-x +a 是奇函数,∴f (﹣1)+f (1)=0,∴1211--+a+1211-+a=0,解得a=,∴f (x )=121-x +,∵x ≠0,∴2x >0且2x ≠1,∴2x ﹣1>﹣1且2x ﹣1≠0,∴121-x >0或121-x <﹣1,∴121-x +>或121-x +<﹣,∴函数的值域为(-∞,-)∪(,+∞)④函数y=f (x )是定义在[2a+1,a+5]上的偶函数,求a 的值分析:由偶函数的定义域关于原点对称得,2a+1+a+5=0,再求出a 的值解:∵偶函数的定义域关于原点对称,∴2a+1+a+5=0,解得a=﹣2,6.①已知函数y=f (x )是奇函数,当x <0时,f (x )=x 2+ax (a ∈R ),f (2)=6,求a分析:先根据函数的奇偶性求出f (﹣2)的值,然后将x=﹣2代入小于0的解析式,建立等量关系,解之即可. 解:∵函数y=f (x )是奇函数,∴f (﹣x )=﹣f (x ),而f (2)=6,则f (﹣2)=﹣f (2)=﹣6,将x=﹣2代入小于0的解析式得f (﹣2)=4﹣2a=﹣6,解得a=5…②已知函数y=f (x )是定义在R 上的偶函数,当x ≥0时,f (x )=x 2﹣2x ,求f (﹣2)的值.分析:首先,根据函数y=f (x )是定义在R 上的偶函数,得到f (﹣2)=f (2)=22﹣2×2=0,从而得到结果. 解:∵函数y=f (x )是定义在R 上的偶函数,∴f (-2)=f (2)=22﹣2×2=0,∴f (-2)=0,∴f (-2)的值07.①已知函数f (x )是定义域为R 的奇函数,且当x >0时,f (x )=3x 2﹣5x+2,求f (x )在R 上的表达式. 分析:设x <0,则﹣x >0.利用当x >0时,f (x )=3x 2﹣5x+2,可得f (﹣x )=3x 2+5x+2.再利用奇函数的性质即可得出解:设x <0,则-x >0.∵当x >0时,f (x )=3x 2﹣5x+2,∴f (﹣x )=3x 2+5x+2.∵函数f (x )是定义域为R 的奇函数,∴f (x )=﹣f (﹣x )=﹣3x 2﹣5x ﹣2,又f (0)=0.∴f (x )=⎪⎩⎪⎨⎧---=+-025300025322 x x x x x x x ②已知函数y=f (x )是偶函数,当x ≥0时,f (x )=x ﹣1,求f (x ﹣1)<0的解集分析:由函数y=f (x )为偶函数可得f (﹣x )=f (x ),由x ≥0时,f (x )=x ﹣1可得x <0,f (x )=﹣x ﹣1即f (x )=,而f (x ﹣1)<0时,有﹣1<x ﹣1<1,解不等式可得解:由函数y=f (x )为偶函数可得f (﹣x )=f (x ),∵x ≥0时,f (x )=x ﹣1,设x <0,则﹣x >0,f (﹣x )=﹣x ﹣1=f (x ),f (x )=,当f (x ﹣1)<0时,有﹣1<x ﹣1<1,∴0<x <28.(1)定义在[﹣1,1]上的奇函数y=f (x )是增函数,若f (a ﹣1)+f (4a ﹣5)>0,求a 的取值范围 "(2)定义在[﹣2,2]上的偶函数f (x )在区间[0,2]上单调递减,若f (1﹣m )<f (m ),求m 的取值范围 分析:(1)利用函数的奇偶性可把不等式f (a ﹣1)+f (4a ﹣5)>0化为f (a ﹣1)>f (5﹣4a ),根据单调性可去掉符号“f”,考虑到定义域即可求出a 的范围;(2)利用偶函数的性质,可得f (|1﹣m|)<f (|m|),根据定义在[﹣2,2]上的偶函数f (x )在区间[0,2]上单调递减,可得不等式组,即可得出结论.解:(1)∵函数y=f (x )是奇函数,f (a ﹣1)+f (4a ﹣5)>0,∴f (a ﹣1)>f (5﹣4a ),∵定义在[﹣1,1]上的函数y=f (x )是增函数,∴,∴;(2)∵偶函数f (x ),f (1﹣m )<f (m ),∴f (|1﹣m|)<f (|m|),∵定义在[﹣2,2]上的偶函数f (x )在区间[0,2]上单调递减,∴,∴9.(1)已知定义在[﹣2,2]上的奇函数,f (x )在区间[0,2]上单调递减,若f (m )+f (m ﹣1)>0,求实数m 的取值范围;(2)已知定义在[﹣2,2]上的偶函数,f (x )在区间[0,2]上单调递减,若f (1﹣m )<f (m ),求实数m 的取值范围.分析:(1)根据定义域得出m 的范围为﹣1≤m ≤2,由奇函数的性质,结合单调性可知m <1﹣m ,得出m 的范围;(2)根据定义域得出m 的范围为﹣1≤m ≤2,由偶函数的性质可知距离y 轴越进,函数值越大,得出|1﹣m|>|m|,进而求出m 的范围.解:(1)定义在[﹣2,2]上的奇函数,∴﹣1≤m ≤2,∵f (m )+f (m ﹣1)>0,∴f (m )>﹣f (m ﹣1)=f (1﹣m ),∴m <1﹣m ,∴m <,∴﹣1≤m <(2)已知定义在[﹣2,2]上的偶函数,f(x)在区间[0,2]上单调递减,∴﹣1≤m≤2,∵f(1﹣m)<f(m),∴|1﹣m|>|m|,∴m<,∴﹣1≤m<[10.函数y=﹣x2+2ax+1在﹣1≤x≤2上的最大值是4,求a的值分析:二次函数y=﹣x2+2ax+1 的对称轴方程为x=a,分对称轴在闭区间的左侧、中间、右侧三种情况,分别求得函数的最大值.解:二次函数y=﹣x2+2ax+1 的对称轴方程为x=a,当a<﹣1时,函数y=﹣x2+2ax+1在区间[﹣1,2]上单调递减,故函数的最大值为f(﹣1)=﹣1﹣2a+1=4,解得a=﹣2;当﹣1≤a≤2时,函数的最大值为f(a)=a2+1=4,解得a=;当a≥2时,函数y=﹣x2+2ax+1在区间[﹣1,2]上单调递增,故函数的最大值为f(2)=﹣4+4a+1=4,解得a=,舍去.综合知:a的值为﹣2或.11.已知函数f(x)的定义域是一切实数,对定义域内的任意x1,x2,都有f(x1+x2)=f(x1)+f(x2),且当x>0时f(x)>0.(1)试判断f(x)的奇偶性;(2)试判断f(x)的单调性,并证明.分析:(1)利用赋值法先求出f(0)=0,然后根据函数奇偶性的定义进行判断即可得到f(x)的奇偶性;(2)结合函数单调性的定义即可判断f(x)的单调性.解:(1)令x1=0,x2=0,则f(0)=f(0)+f(0),解得f(0)=0,令x1=x,x2=﹣x,则f(x﹣x)=f(x)+f(﹣x)=f(0)=0,即f(﹣x)=﹣f(x),则函数为奇函数.(2)函数在定义域上为增函数.证明:当x1<x2时,则x2﹣x1>0,此时f(x2﹣x1)>0则f(x2)﹣f(x1)=f (x2)+f(﹣x1)=f(x2﹣x1)>0,可得f(x2)>f(x1)由此,得到y=f(x)是R上的增函数12.已知函数f(x)的定义域是x≠0的一切实数,对定义域内的任意x1、x2,都有f(x1•x2)=f(x1)+f(x2),且当x>1时f(x)>0,f(2)=1,(1)求证:f(x)是偶函数;(2)证明f(x)在(0,+∞)上是增函数;分析:(1)先令x1=x2=1,得到f(1)=0,再令x1=x2=﹣1,得f(﹣1)=0.然后用主条件证明f(﹣x)=f(﹣1•x)=f(﹣1)+f(x)=f(x)得证.(2)先任取两个变量,界定大小,再作差变形看符号.(解:(1)证明:令x1=x2=1,得f(1)=2f(1),∴f(1)=0.令x1=x2=﹣1,得f(﹣1)=0.∴f(﹣x)=f(﹣1•x)=f(﹣1)+f(x)=f(x),∴f(x)是偶函数(2)证明:设x2>x1>0,则f(x2)﹣f(x1)=f(x1•)﹣f(x1)=f(x1)+f()﹣f(x1)=f().∵x2>x1>0,∴>1.∴f()>0,即f(x2)﹣f(x1)>0.∴f(x2)>f(x1).∴f(x)在(0,+∞)上是增函数13.已知定义域为x∈R|x≠0的函数f(x)满足;①对于f(x)定义域内的任意实数x,都有f(﹣x)+f(x)=0;②当x>0时,f(x)=x2﹣2.(Ⅰ)求f(x)定义域上的解析式;(Ⅱ)解不等式:f(x)<x.分析:(I)根据条件①变形,得到f(x)在定义域内是奇函数,设x小于0,得到﹣x大于0,代入②中f(x)的解析式中化简后即可得到x小于0时f(x)的解析式,综上,得到f(x)在x大于0和小于0上的分段函数解析式;(II)当x大于0时和小于0时,把(I)得到的相应的解析式代入不等式中,分别求出相应的解集,然后求出两解集的并集即为原不等式的解集解:(I)∵对于f(x)定义域内的任意实数x,都有f(﹣x)+f(x)=0,∴f(﹣x)=﹣f(x),故f(x)在其定义域为{x∈R|x≠0}内是奇函数,∵当x>0时,f(x)=x2﹣2,设x<0,所以﹣x>0,∴f(﹣x)=﹣f(x)=x2﹣2,即f(x)=2﹣x2,则;(II)∵当x>0时,x2﹣2<x,化简得(x﹣2)(x+1)<0,解得:﹣1<x<2,所以不等式的解集为0<x<2;当x<0时,2﹣x2<x,化简得:(x﹣1)(x+2)>0,解得:x>1或x<﹣2,所以不等式的解集为x<﹣2,综上,不等式f(x)<x的解集为{x|0<x<2或x<﹣2}14. 已知定义域为R的函数f(x)满足:①f(x+y)=f(x)•f(y)对任何实数x、y都成立;②存在实数x1、x2使,f(x1)≠f(x2),求证:(1)f(0)=1;(2)f(x)>0.分析:(1)令x=y=0,求出f(0),注意条件②的运用,舍去一个;(2)将x,y均换成,得到f(x)=f2()即f(x)≥0,注意运用条件②,舍去f(x)=0,即可得证.证明:(1)令x=y=0则f(0)=f2(0),∴f(0)=0或f(0)=1,若f(0)=0则令y=0,即有f(x)=f(x)•f(0)=0对x∈R均成立,与②矛盾,故f(0)≠0,若f(0)=1,则f(x)=f(x)成立,∴f(0)=1;(2)将x,y均换成,则f(x)=f2()即f(x)≥0,若f(x)=0这与②矛盾,∴f(x)>0成立。
函数的奇偶性例题解析
[例1]判断下列函数的奇偶性.
(1)f (x )=|x |(x 2+1);
(2)f (x )=x
x 1+; (3)f (x )=x x -+
-22; (4)f (x )=1122-++-x x 。
选题意图:本题主要考查函数的奇偶性的概念,利用定义判断或证明函数的奇偶性的方法.
解:(1)此函数的定义域为R.
∵f (-x )=|-x |[(-x )2+1]=|x |(x 2+1)=f (x ),
∴f (-x )=f (x ),即f (x )是偶函数.
(2)此函数的定义域为x >0,由于定义域关于原点不对称,故f (x )既不是奇函数也不是偶函数.
(3)此函数的定义域为{2},由于定义域关于原点不对称,故f (x )既不是奇函数也不是偶函数.
(4)此函数的定义域为{1,-1},且f (x )=0,可知图象既关于原点对称、又关于y 轴对称,故此函数既是奇函数又是偶函数.
点评:用定义判断函数的奇偶性的步骤是:定义域(关于原点对称)→验证f (-x )=±f (x )→下结论,还可以利用图象法或定义的等价命题f (-x )±f (x )=0或
)
()(x f x f -=1±(f (x )≠0)来判断.
[例2]设f (x )是R 上的奇函数,且当x ∈[0,+∞)时,f (x )=x (1+3x ),那么当x ∈(-∞,0)时,求f (x )解析式.
选题意图:本题考查函数的奇偶性,利用奇偶性质求某区间未知解析式的方法. 解:∵f (x )是奇函数,
∴当x <0时,-x >0.
由已知f (-x )=-x (1+3x -),
-f (x )=-x (1-3x ),
∴f (x )=x (1-3x ) (x <0),
∴f (x )=⎪⎩⎪⎨⎧-∞∈-+∞∈+).
0,()1(),0[)1(33x x x x x x 点评:解决本题的关键是利用奇函数的关系式f (-x )=-f (x )成立,但要注意求给定哪个区间上的解析式就设这个区间上的变量x ,然后把x 转化为-x 为另一已知区间上的解析式中的变量,通过互化,求得所求区间上的解析式.
[例3]已知函数f (x )为奇函数,且在(-2,2)上单调递增,且有f (2+a )+f (1-2a )>0,求a 的取值范围.
选题意图:本题考查利用函数的奇偶性,单调性求解参数的范围,是函数奇偶性及单调性的逆用,培养学生的逆向思维.
解:因为函数f (x )为奇函数,则f (-x )=-f (x ).
由f (2+a )+f (1-2a )>0得
f (2+a )>-f (1-2a )即f (2+a )>f (2a -1).
又因为f (x )在(-2,2)上单调递增,得:
⎪⎩
⎪⎨⎧-+--+-1222122222a a a a 解得-21<a <0, 因此,a 的取值范围为a ∈(-2
1,0). 点评:判断出2+a ,2a -1∈(-2,2),对本题的解决起到很关键的作用,否则只考虑2+a >2a-1是不够的.一般来f (x )为奇函数,由-f (1-2a )=f (2a -1),则得到f (2+a )>f (2a -1)得到更直接关系,应考虑到前提条件-2<2+a<2,-2<2a-1<2,2+a >2a-1取三个不等式的交集,为所求a 的取值范围.。