2014年河北省理科二本投档线00
- 格式:xls
- 大小:54.50 KB
- 文档页数:11
河北2014高考分数线河北省2014年高考分数线如下:一本分数线:文科类:理科类:一本分数线:文科类:理科类:北京大学:664分 666分清华大学:662分 678分浙江大学:656分 647分复旦大学:658分 652分上海交通大学:653分 642分南京大学:638分 636分中山大学:643分 637分武汉大学:644分 639分吉林大学:634分 630分中国人民大学:646分 639分山东大学:641分 632分华中科技大学:632分 635分中国农业大学:628分 626分复旦大学:619分 609分二本分数线:文科类:理科类:北京师范大学:624分 621分厦门大学:620分 600分东北师范大学:608分 595分四川大学:603分 598分华南师范大学:598分 593分西安交通大学:596分 591分河南大学:592分 588分西北大学:590分 588分吉林农业大学:588分 586分暨南大学:588分 586分华东师范大学:587分 585分南京师范大学:586分 582分江南大学:584分 581分南京农业大学:583分 581分三本分数线:文科类:理科类:南京财经大学:581分 579分长沙理工大学:579分 577分长江大学:577分 576分湖南工业大学:576分 573分河北大学:573分 571分南京理工大学:571分 568分河北工程大学:568分 566分湖南大学:566分 563分河北师范大学:563分 562分扬州大学:560分 559分河北农业大学:558分 556分沈阳农业大学:557分 556分青岛理工大学:556分 554分华侨大学:555分 552分以上为2014年河北省高考分数线参考,具体分数线以省教育厅的公布为准。
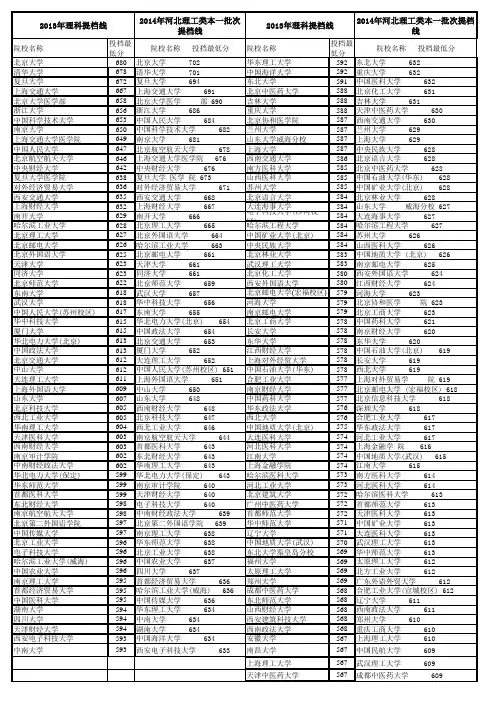
河北高考二本一志愿投档线2014年河北高考二本一志愿投档线从河北省高招录取现场获悉,河北省本科二批一志愿投档线公布,904所院校中有86所投档线超出本一录取控制分数线,418所文史类院校中有270所院校的投档线超出本二控制线20分,486所理工类院校中有355所院校投档线超出本二控制线20分。
本二一志愿发档院校最高超本二线92分数据显示,本科二批河北省共有991所院校计划招生63433人,本二预科班29所院校招生406人。
院校满额率及计划完成率较去年均有所提升,其中,文史有418所院校计划招生16289人,一志愿发档后,20所院校缺额69人,院校满额率为95.22%,比去年增浮2.03个百分点,计划完成率为99.58%,比去年增浮0.54个百分点。
理工有486所院校计划招生43508人,有18所院校缺额121人,院校满额率为96.30%,比去年增浮3.48个百分点,计划完成率为99.72%,比去年增浮0.61个百分点。
本二一志愿发档后,上海立信会计学院以574分占据文史类院校分数最高席位,超本二线61分,其次是浙江工商大学[微博]和上海师范大学,分别高出本二线59分和58分;理工类院校中分数最高前三名为安徽医科大学595分、上海立信会计学院591分、上海海关学院591分。
河北省教育考试院负责人表示,这主要缘于受考生生存周边环境影响和就业压力影响,考生选择院校和专业,更理智,不盲从。
河北省教育考试院提醒考生,填报本二征集志愿时,切记同时填报本三志愿。
由于今年的本三计划较去年高0.3倍,文科减少了6000人,理科减少了11000人,考生填报时不能完全看高分,在填报时要使用本二录取完后重新划分的.一分一档线。
部分院校试点综合评价招生择优录取据河北省教育考试院负责人介绍,综合评价招生录取模式在河北省得到实现。
今年,中国科技大学、南方科技大学、上海纽约大学[微博]等多所试点院校在河北省招生时在提前批进行录取,并开始尝试打破把高考[微博]成绩视为唯一依据的录取方法。
2014年各省高考分数线2014年各省高考分数线是广大考生、家长和教育工作者关注的焦点之一。
高考分数线的确定直接影响着考生的升学选择和命运。
每年的高考分数线都有一定的波动,所以了解2014年各省高考分数线对于考生及其家长来说是非常重要的。
下面将介绍2014年各省高考分数线的情况。
首先,我们来了解一下什么是高考分数线。
高考分数线是指参加高考的考生所需达到的最低分数,用来划定考生的录取与否。
通常,高考分数线根据每个省份的实际情况而有所不同,包括文、理科的不同分数线。
2014年各省高考分数线的确定主要依据了以下几个因素:各省份的招生计划、考生的整体水平以及考试难度等。
下面逐个介绍各省的高考分数线情况:北京市的2014年高考分数线如下:文科本科线为560分,理科本科线为530分。
其中,北大附中本科线是609分,北京四中本科线是586分。
天津市的2014年高考分数线如下:文科本科线为563分,理科本科线为540分。
河北省的2014年高考分数线如下:文科本科线为542分,理科本科线为518分。
山西省的2014年高考分数线如下:文科本科线为532分,理科本科线为523分。
内蒙古自治区的2014年高考分数线如下:文科本科线为520分,理科本科线为506分。
辽宁省的2014年高考分数线如下:文科本科线为545分,理科本科线为530分。
吉林省的2014年高考分数线如下:文科本科线为532分,理科本科线为515分。
黑龙江省的2014年高考分数线如下:文科本科线为542分,理科本科线为531分。
上述仅为部分省份的高考分数线,具体情况请参考各省份教育考试院的官方公告。
值得注意的是,高考分数线仅作为参考标准,实际录取分数会根据各高校、专业的不同而有所不同。
2014年各省高考分数线的变化主要受到各省份教育政策的影响。
这些政策包括对高校招生计划的调整、对各类考生的照顾政策以及对学科考试难度的调整等。
因此,考生和家长在选择志愿和备考时,除了关注分数线外,还要了解各项政策对录取的影响。
2014年河北高考录取分数线
2014年高考随着温度的升高离我们越来越近了,河北的考生最关心的莫过于2014年河北分数线了,高考频道将在考后第一时间发布2014年河北高考分数线,请随时关注本网站动向。
虽然2014年河北高考分数线还未公布,大家可以参考河北历年高考分数线,河北近三年分数线都是一增一降的趋势,去年河北分数线线跌了,所以今年的河北高考分数线很有可能涨回来。
高考网温馨提示:
本省加外省院校搭配填报
根据以往经验,广东考生历来不喜欢出省。
对这些考生的志愿填报,广东省教育考试院院长杨开乔建议,考生在选择志愿时,不要片面强调院校所在的地理位置。
“今年根据我省考生有所增加的实际情况,外省在我省招生的院校新增100所,包括外省的211工程、985学校和一些办学水平比较高的学校,都适当增加了我省的招生计划,今年报考外省学校录取的机会要比往年有所提高。
”
杨开乔提醒考生积极报考外省以及边远地区以及一些广东临省的一些院校。
“如985高校吉林大学今年新增40个招生计划,东北大学也增38个。
临省湖南的中南大学,今年增加69个招生计划,招生计划达到了320个,是外省招生计划最高的。
”杨开乔表示,考生在志愿的选择和搭配上,注意本省院校和外省院校相结合的填报方式,以此扩大志愿的分布面,提高录取机会。