与三角函数有关的数列求和问题
- 格式:doc
- 大小:174.00 KB
- 文档页数:2
三角函数练习题附答案一、填空题1.赵爽是我国古代数学家,大约在公元222年,他为《周髀算经》一书作序时,介绍了"勾股圆方图",亦称"赵爽弦图"(以弦为边长得到的正方形由4个全等的直角三角形再加上中间的一个小正方形组成).类比"赵爽弦图",可构造如图所示的图形,它是由3个全等的三角形与中间一个小等边三角形拼成的一个较大的等边三角形,设 ,AD AB AC λμ=+若4AD AF =,则λ-μ的值为___________2.已知三棱锥P ABC -中,23APB ∠=π,3PA PB ==,5AC =,4BC =,且平面PAB ⊥平面ABC ,则该三棱锥的外接球的表面积为_________.3.如图,某城市准备在由ABC 和以C 为直角顶点的等腰直角三角形ACD 区域内修建公园,其中BD 是一条观赏道路,已知1AB =,3BC =,则观赏道路BD 长度的最大值为______.4.已知)2,0F为椭圆2222:1(0)x y C a b a b+=>>的右焦点,过点F 的直线l 与椭圆C 交于,A B 两点,P 为AB 的中点,O 为坐标原点.若△OFP 是以OF 为底边的等腰三角形,且△OFP 外接圆的面积为23π,则椭圆C 的长轴长为___________. 5.已知函数()sin()(0,)R f x x ωϕωϕ=+>∈在区间75,126ππ⎛⎫⎪⎝⎭上单调,且满足73124f f ππ⎛⎫⎛⎫=- ⎪ ⎪⎝⎭⎝⎭.有下列结论: ①203f π⎛⎫=⎪⎝⎭; ②若5()6f x f x π⎛⎫-= ⎪⎝⎭,则函数()f x 的最小正周期为π; ③关于x 的方程()1f x =在区间[)0,2π上最多有4个不相等的实数解; ④若函数()f x 在区间213,36ππ⎡⎫⎪⎢⎣⎭上恰有5个零点,则ω的取值范围为8,33⎛⎤⎥⎝⎦. 其中所有正确结论的编号为________.6.已知函数23tan ,,,2332()2,33x x f x x ππππππ⎧⎛⎤⎛⎫∈-⋃ ⎪⎪⎥⎝⎦⎝⎭⎪=⎨⎛⎤⎪+∈ ⎥⎪⎝⎦⎩若()f x 在区间D 上的最大值存在,记该最大值为{}K D ,则满足等式{[0,)}3{[,2]}K a K a a =⋅的实数a 的取值集合是___________. 7.在平面直角坐标系中,对任意角α,设α的终边上异于原点的任意一点P 的坐标为(,)x y ,它与原点的距离是r .我们规定:比值,,r r xx y y分别叫做角α的正割、余割、余切,分别记作sec α,csc α,cot α,把sec ,csc ,cot y x y x y x ===分别叫做正割函数、余割函数、余切函数,则下列叙述正确的有___________(填上所有正确的序号) ①3cot14π=; ②sin csc 1αα⋅=;③sec y x =的定义域为{}|,Z x x k k π≠∈; ④22sec csc 4αα+;⑤2cot 1cot22cot ααα-=.8.若函数()41sin 2cos 33f x x x a x =-+在(),-∞+∞内单调递增,则实数a 的取值范围是___________.9.在ABC 中,设a ,b ,c 分别为角A ,B ,C 对应的边,记ABC 的面积为S ,且sin 2sin 4sin b B c C a A +=,则2Sa 的最大值为________. 10.已知函数()()sin 0,0,2f x A x A πωϕωϕ⎛⎫=+>>< ⎪⎝⎭的部分图象如图所示.将函数()y f x =的图象向右平移4π个单位,得到()y g x =的图象,则下列有关()f x 与()g x 的描述正确的有___________(填序号).①()2sin 23g x x π⎛⎫=- ⎪⎝⎭;②方程()()360,2f x g x x π⎫⎛⎫+∈ ⎪⎪⎝⎭⎭所有根的和为712π; ③函数()y f x =与函数()y g x =图象关于724x π=对称. 二、单选题11.已知函数()()2212sin 2,2212,x a x af x x a x a x a π⎧⎡⎤⎛⎫-+<⎪ ⎪⎢⎥=⎝⎭⎨⎣⎦⎪-+++≥⎩,若函数()f x 在[)0,∞+内恰有5个零点,则a 的取值范围是( ) A .75,42⎛⎫ ⎪⎝⎭B .7,24⎛⎫ ⎪⎝⎭C .75,2,342⎛⎫⎛⎫⋃ ⎪ ⎪⎝⎭⎝⎭D .75,22,42⎛⎫⎛⎫⋃ ⎪ ⎪⎝⎭⎝⎭12.在△ABC 中,24CA CB ==,F 为△ABC 的外心,则CF AB ⋅=( ) A .-6B .-8C .-9D .-1213.已知30.4tan(1),tan0.1,a b c πππ=+-==,则( ).A .b c a <<B .c a b <<C .a c b <<D .a b c <<14.已知向量a 与b 的夹角为120︒,且2a b ⋅=-,向量c 满足()()101c a b λλλ=+-<<,且a c b c ⋅=⋅,记向量c 在向量a 与b 方向上的投影分别为x 、y .现有两个结论:①若13λ=,则2a b =;②22x y xy ++的最大值为34.则正确的判断是( ) A .①成立,②成立 B .①成立,②不成立 C .①不成立,②成立D .①不成立,②不成立15.已知函数()()sin f x x ωφ=+π0,02ωφ⎛⎫><< ⎪⎝⎭在π5π,88⎛⎫ ⎪⎝⎭上单调,且π3π088f f ⎛⎫⎛⎫-== ⎪ ⎪⎝⎭⎝⎭,则π2f ⎛⎫⎪⎝⎭的值为( ) A .22B .1C .1-D .22-16.若对,x y R ∀∈,有()()()4f x y f x f y +=+-,函数2sin ()()cos 1xg x f x x =++在区间[2021,2021]-上存在最大值和最小值,则其最大值与最小值的和为( ) A .4B .8C .12D .1617.已知F 是椭圆2221(1)x y a a +=>的左焦点,A 是该椭圆的右顶点,过点F 的直线l (不与x 轴重合)与该椭圆相交于点M ,N .记MAN α∠=,设该椭圆的离心率为e ,下列结论正确的是( ) A .当01e <<时,2πα<B .当202e <<时,2πα>C .当1222e <<时,23πα>D .当212e <<时,34πα> 18.设锐角ABC 的内角,,A B C 所对的边分别为,,a b c ,若,33A a π==,则2b 2c bc ++的取值范围为( ) A .(1,9] B .(3,9] C .(5,9]D .(7,9]19.已知函数()2sin 1,022sin 1,02x x f x x x ππ⎧-≥⎪⎪=⎨⎪--<⎪⎩,()11x g x x -=+,则关于x 的方程()()f x g x =在区间[]8,6-上的所有实根之和为( ) A .10-B .8-C .6-D .4-20.如图是某市夏季某一天从6时到14时的温度变化曲线,若该曲线近似地满足函数()sin y A x B ωϕ=++,则该市这一天中午12时天气的温度大约是( )A .25C ︒B .26C ︒ C .27C ︒D .28C ︒三、解答题21.如图所示,在平面四边形ABCD 中,1,2,AB BC ACD ==∆为正三角形.(1)在ABC ∆中,角,,A B C 的对边分别为,,a b c ,若sin(2)3sin A C C +=,求角B 的大小; (2)求BCD ∆面积的最大值.22.已知函数()2sin 2cos 3f x x a x =+-.(1)当1a =时,求该函数的最大值;(2)是否存在实数a ,使得该函数在闭区间0,2π⎡⎤⎢⎥⎣⎦上的最大值为1?若存在,求出对应a的值;若不存在,试说明理由.23.已知函数()sin cos cos 63f x x x x a ππ⎛⎫⎛⎫=-+-++ ⎪ ⎪⎝⎭⎝⎭的最大值为1.(1)求常数a 的值;(2)求函数()f x 的单调递增区间; (3)求使()0f x <成立的实数x 的取值集合.24.已知向量a ,b 满足2sin ,6sin 4a x x π⎛⎫⎛⎫=-+ ⎪ ⎪⎝⎭⎝⎭,cos ,2cos 4b x x π⎛⎫⎛⎫=+ ⎪ ⎪⎝⎭⎝⎭,函数()()f x a b x R =⋅∈.(1)求()f x 的单调区间;(2)已知数列()2*11224n n a n f n N ππ⎛⎫=-∈ ⎪⎝⎭,求{}n a 的前2n 项和2n S . 25.将函数()4sin cos 6g x x x π⎛⎫=+ ⎪⎝⎭的图象向左平移02πϕϕ⎛⎫<≤ ⎪⎝⎭个单位长度后得到()f x 的图象.(1)若()f x 为偶函数,求ϕ;(2)若()f x 在7,6ππ⎛⎫ ⎪⎝⎭上是单调函数,求ϕ的取值范围. 26.为丰富市民的文化生活,市政府计划在一块半径为200m ,圆心角为0120的扇形地上建造市民广场,规划设计如图:内接梯形ABCD 区域为运动休闲区,其中A ,B 分别在半径OP ,OQ 上,C ,D 在圆弧PQ 上,CD //AB ;上,CD //AB ;OAB ∆区域为文化展区,AB 长为3域,且CD 长不得超过200m.(1)试确定A ,B 的位置,使OAB ∆的周长最大?(2)当OAB ∆的周长最长时,设2DOC θ∠=,试将运动休闲区ABCD 的面积S 表示为θ的函数,并求出S 的最大值.27.设函数2()cos sin 2f x x a x a =-+++(a ∈R ). (1)求函数()f x 在R 上的最小值;(2)若不等式()0f x <在[0,]2π上恒成立,求a 的取值范围;(3)若方程()0f x =在(0,)π上有四个不相等的实数根,求a 的取值范围.28.已知函数()f x a b =⋅,其中()3sin ,1a x =-,()1,cos b x =,x ∈R .(1)求函数()y f x =的单调递增区间; (2)求()f x 在区间0,2π⎡⎤⎢⎥⎣⎦上的最值.29.已知函数21()sin 24f x x x =+(1)求()f x 的最小正周期T 和[0,]π上的单调增区间:(2)若2()(1)0n f x m +-⋅>对任意的,34x ππ⎡⎤∈-⎢⎥⎣⎦和*n N ∈恒成立,求实数m 的取值范围.30.已知函数()f x 的图象是由函数()sin g x x =的图象经如下变换得到:先将()g x 图象上所有点的纵坐标伸长到原来的2倍(横坐标不变),再将所得到的图象向左平移3π个单位长度.(1)求函数(2)y f x =在[0,]π上的单调递增区间;(2)已知关于x 的方程2()4222f x g x m π⎛⎫-+=+ ⎪⎝⎭在[0,)π内有两个不同的解α,β.求26cos(22)m αβ--的值.【参考答案】一、填空题1.472.28π31 4.5.①②④.6.47,912ππ⎧⎫⎨⎬⎩⎭7.②④⑤8.[910.①③二、单选题 11.D 12.A 13.D 14.C 15.D 16.B 17.A 18.D 19.B 20.C 三、解答题21.(1)23B π=;(21. 【解析】 【分析】(1)由正弦和角公式,化简三角函数表达式,结合正弦定理即可求得角B 的大小;(2)在ABC ∆中,设,ABC ACB αβ∠=∠=,由余弦定理及正弦定理用,αβ表示出CD .再根据三角形面积公式表示出∆BCD S ,即可结合正弦函数的图像与性质求得最大值. 【详解】 (1)由题意可得:sin2cos cos2sin 3sin A C A C C +=∴()22sin cos cos 12sin sin 3sin A A C A C C +-=整理得sin (cos cos sin sin )sin A A C A C C -= ∴sin cos()sin A A C C += ∴sin cos sin A B C -=∴sin 1cos sin 2C c B A a =-=-=- 又(0,)B π∈ ∴23B π=(2)在ABC ∆中,设,ABC ACB αβ∠=∠=,由余弦定理得:22212212cos 54cos AC αα=+-⨯⨯=-, ∵ACD ∆为正三角形, ∴2254cos CD C A α=-=, 在ABC ∆中,由正弦定理得:1sin sin ACβα=, ∴sin sin AC βα=, ∴sin sin CD βα=,∵()222222(cos )1sin sin 54cos sin CD CD CD ββααα=-=-=--2(2cos )α=-,∵BAC β<∠,∴β为锐角,cos 2cos CD βα=-, 12sin sin 233BCD S CD CD ππββ∆⎛⎫⎛⎫=⨯⨯⨯+=+ ⎪ ⎪⎝⎭⎝⎭1cos sin 2CD ββ=+,1cos )sin sin 23πααα⎛⎫=-+=- ⎪⎝⎭, ∵(0,)απ∈∴当56πα=时,()max 1BCD S ∆=. 【点睛】本题考查了三角函数式的化简变形,正弦定理与余弦定理在解三角形中的应用,三角形面积的表示方法,正弦函数的图像与性质的综合应用,属于中档题. 22.(1)1-;(2)存在,且2a =. 【解析】 【分析】(1)将1a =代入函数()y f x =的解析式,得出()()2cos 11f x x =---,由1cos 1x -≤≤结合二次函数的基本性质可得出该函数的最大值;(2)换元[]cos 0,1t x =∈,将问题转化为二次函数()222t at g t -+-=在区间[]0,1上的最大值为1,然后分0a ≤、01a <<和1a ≥三种情况讨论,利用二次函数的基本性质求出函数()222t at g t -+-=在区间[]0,1上最大值,进而求得实数a 的值.【详解】(1)当1a =时,()()22sin 2cos 3cos 11f x x x x =+-=---,1cos 1x -≤≤,当cos 1x =时,该函数取得最大值,即()max 1f x =-;(2)()22sin 2cos 3cos 2cos 2x a x x a x f x =+-=-+-,当0,2x π⎡⎤∈⎢⎥⎣⎦时,设[]cos 0,1t x =∈,设()222t at g t -+-=,[]0,1t ∈,二次函数()y g t =的图象开口向下,对称轴为直线t a =.当0a ≤时,函数()y g t =在[]0,1上单调递减,所以0=t 时,()()max 021g t g ==-≠,0a ∴≤不符合题意;当1a ≥时,函数()y g t =在[]0,1上单调递增,所以1t =时,()()max 1231g t g a ==-=,2a ∴=满足1a ≥;当01a <<时,函数()y g t =在[]0,a 上单调递增,在(],1a 上单调递减,∴当t a =时,()()2max 21g t g a a ==-=,a ∴=01a <<.综上,存在2a =符合题意. 【点睛】本题考查二次型余弦函数的最值,将问题转化为二次函数的最值来求解是解题的关键,第二问要对二次函数图象的对称轴与区间的位置关系进行分类讨论,结合二次函数的单调性求解,考查分类讨论思想的应用,属于中等题.23.(1)1a =-(2)22,2,33k k k Z ππππ⎡⎤-++∈⎢⎥⎣⎦.(3)422|,3k x k k Z x πππ-+<<∈⎧⎫⎨⎬⎩⎭【解析】(1)化简()f x ,求最大值,即可求解;(2)应用整体思想,结合正弦函数的递增区间,即可得出结论; (3)运用正弦函数图像,即可求解. 【详解】 解:()sin cos cos sincoscos sinsin cos 6633f x x x x x x a ππππ=-++++11cos cos cos 22x x x x x a =-+++cos x x a =++12cos 2x x a ⎫=++⎪⎪⎝⎭2sin 6x a π⎛⎫=++ ⎪⎝⎭. (1)函数()f x 的最大值为21a +=,所以1a =-. (2)由22,262k x k k Z πππππ-+≤+≤+∈,解得222,33k x k k Z ππππ-+≤≤+∈, 所以()f x 的单调递增区间为22,2,33k k k Z ππππ⎡⎤-++∈⎢⎥⎣⎦.(3)由(1)知()2sin 16f x x π⎛⎫=+- ⎪⎝⎭.因为()0f x <,即2sin 106x π⎛⎫+-< ⎪⎝⎭.所以1sin 62x π⎛⎫+< ⎪⎝⎭,所以722,666k x k k Z πππππ-+<+<+∈. 所以422,3k x k k Z πππ-+<<∈, 所以使()0f x <成立的x 的取值集合为422|,3k x k k Z x πππ-+<<∈⎧⎫⎨⎬⎩⎭. 【点睛】本题考查三角函数恒等变换,化简解析式,考查三角函数的性质以及三角不等式,属于中档题.24.(1)单调增区间为7,1212k k ππππ⎡⎤--⎢⎥⎣⎦,k Z ∈,单调减区间为5,1212k k ππππ⎡⎤-+⎢⎥⎣⎦,k Z ∈;(2))22n n +【解析】 【分析】(1)由向量数量积的坐标运算可得()2sin 222sin 23f x a b x x x π⎛⎫=⋅=-=+ ⎪⎝⎭, 再利用三角函数单调区间的求法即可得解;(2)由题意可得()()22222221234212n S n n ⎤=-+-+⋅⋅⋅+--⎦,又()()2221241n n n --=-+,则)2442434n S n n =--⨯-⨯-⋅⋅⋅-+,再利用等差数列求和公式即可得解.【详解】解:(1)向量a ,b 满足2sin 4a x x π⎛⎫⎛⎫=-+ ⎪ ⎪⎝⎭⎝⎭,cos 4b x x π⎛⎫⎛⎫=+ ⎪ ⎪⎝⎭⎝⎭,函数()2sin 222sin 23f x a b x x x π⎛⎫=⋅=-=+⎪⎝⎭, 由2222232k x k πππππ-≤+≤+,可得71212k x k ππππ-≤≤-,k Z ∈, 解得()f x 的单调增区间为7,1212k k ππππ⎡⎤--⎢⎥⎣⎦,k Z ∈; 单调减区间为5,1212k k ππππ⎡⎤-+⎢⎥⎣⎦,k Z ∈.(2)因为22112sin 2244n n a n f n n ππππ⎛⎫⎛⎫=-=- ⎪ ⎪⎝⎭⎝⎭,所以()()22222221234212n S n n ⎤=-+-+⋅⋅⋅+--⎦, 又()()2221241n n n --=-+,)2442434n S n n --⨯-⨯-⋅⋅⋅-+,所以())2234122n n n S n n --+==+.【点睛】本题考查了三角函数单调区间的求法及数列中捆绑求和,属中档题. 25.(1)6π=ϕ;(2),62ππϕ⎡⎤∈⎢⎥⎣⎦【解析】 【分析】(1)根据三角恒等变换对()4sin cos 6g x x x π⎛⎫=+ ⎪⎝⎭化简变形为()2sin 216g x x π⎛⎫=+- ⎪⎝⎭,然后可得到图象左移之后的函数()2sin 2216f x x ϕπ⎛⎫=++- ⎪⎝⎭,利用三角函数偶函数的性质即可求出ϕ;(2)先求出2222,22662x πππϕπϕπϕ⎛⎫++∈++++ ⎪⎝⎭,再根据ϕ的范围求出26πϕ+和22πϕ+的范围,从而根据单调性列出关于ϕ的不等式,解之即可求得结果. 【详解】 (1)()()14sin sin 21cos 22g x x x x x x ⎫=-=--⎪⎪⎝⎭2sin 216x π⎛⎫=+- ⎪⎝⎭,∴()2sin 2216f x x ϕπ⎛⎫=++- ⎪⎝⎭.又()f x 为偶函数,则()262k k Z ππϕπ+=+∈,02πϕ<≤,∴6π=ϕ; (2)7,6x ππ⎛⎫∈ ⎪⎝⎭,∴2222,22662x πππϕπϕπϕ⎛⎫++∈++++ ⎪⎝⎭.02πϕ<≤,∴72,666πππϕ⎛⎫+∈ ⎪⎝⎭,32,222πππϕ⎛⎫+∈ ⎪⎝⎭()f x 在7,6ππ⎛⎫ ⎪⎝⎭是单调函数,∴26202ππϕπϕ⎧+≥⎪⎪⎨⎪<≤⎪⎩, ∴,62ππϕ⎡⎤∈⎢⎥⎣⎦.【点睛】本题考查三角恒等变换、三角函数的图象变换及性质,以及基本的运算能力和逻辑推理能能力,综合性较强,属于有一定难度的中档题.26.(1)OA 、OB 都为50m ;(2)625(83cos 8sin 64sin cos 3)S θθθθ=-+-;0,6πθ⎛⎤∈ ⎥⎝⎦;最大值为2625(8153)m +. 【解析】 【分析】对于(1),设OA m =,OB n =,m ,n (0,200)∈,在△OAB 中,利用余弦定理可得22222cos3AB OA OB OA OB π=+-⋅⋅,整理得222(503)m n mn =++,结合基本不等式即可得出结论;对于(2),当△AOB 的周长最大时,梯形ACBD 为等腰梯形,过O 作OF ⊥CD 交CD 于F ,交AB 于E ,则E 、F 分别为AB ,CD 的中点,利用已知可表示出相关线段;然后利用梯形的面积公式可知,625(83cos 8sin 64sin cos 3)S θθθθ=-+- ,0,6πθ⎛⎤∈ ⎥⎝⎦,令()83cos 8sin 64sin cos 3f θθθθθ=-+-,0,6πθ⎛⎤∈ ⎥⎝⎦,,结合导数,确定函数的单调性,即可求出S 的最大值. 【详解】解:(1)设OA m =,OB n =,m ,n (0,200)∈,在OAB ∆中,22222cos3AB OA OB OA OB π=+-⋅⋅, 即222(503)m n mn =++.所以22222()3(503)()()()44m n m n mn m n m n +=+-+-=+.所以m n 100+,当且仅当m n 50==时,m n +取得最大值, 此时OAB ∆周长取得最大值.答:当OA 、OB 都为50m 时,OAB ∆的周长最大. (2)当AOB ∆的周长最大时,梯形ABCD 为等腰梯形.如上图所示,过O 作OF CD ⊥交CD 于F ,交AB 于E ,则E 、F 分别为AB 、CD 的中点, 所以DOE θ∠=.由CD 200,得0,6πθ⎛⎤∈ ⎥⎝⎦.在ODF ∆中,DF 200sin θ=,OF 200cos θ=.又在AOE ∆中,OE OAcos253π==,故EF 200cos 25θ=-.所以1400sin )(200cos 25)2S θθ=-8sin )(8cos 1)θθ=-8sin 64sin cos θθθθ=-+,0,6πθ⎛⎤∈ ⎥⎝⎦.令()8sin 64sin cos f θθθθθ=-+0,6πθ⎛⎤∈ ⎥⎝⎦,()8cos 64cos 216sin 64cos 26f πθθθθθθ'⎛⎫=--+=-++ ⎪⎝⎭,0,6πθ⎛⎫∈ ⎪⎝⎭.又16sin 6y πθ⎛⎫=-+ ⎪⎝⎭及cos 2y θ=在0,6πθ⎛⎤∈ ⎥⎝⎦上均为单调递减函数,故()f θ'在0,6πθ⎛⎤∈ ⎥⎝⎦上为单调递减函数.因1()164062f π⎫'=-⨯>⎪⎪⎝⎭,故()0f θ'>在0,6πθ⎛⎤∈ ⎥⎝⎦上恒成立, 于是,()f θ在0,6πθ⎛⎤∈ ⎥⎝⎦上为单调递增函数.所以当6πθ=时,()f θ有最大值,此时S有最大值为625(8+. 答:当6πθ=时,梯形ABCD面积有最大值,且最大值为2625(8m +.【点睛】本题主要考查了余弦定理、基本不等式以及导数的应用,在(2)中得到()8sin 64sin cos f θθθθθ=-+()16sin 64cos 26f πθθθ'⎛⎫=-++ ⎪⎝⎭,结合函数在公共区间上,减函数+减函数等于减函数,从而确定()f θ'在0,6πθ⎛⎤∈ ⎥⎝⎦上为单调递减函数.属于难题.27.(1)2min2,2;()1,22;422,2.a af x a a a a >⎧⎪⎪=-++-≤≤⎨⎪+<-⎪⎩(2)(,1)a ∈-∞-(3)12a -<<-【解析】 【分析】(1)通过换元法将函数变形为二次函数,同时利用分类讨论的方法求解最大值; (2)恒成立需要保证max ()0f x <即可,对二次函数进行分析,根据取到最大值时的情况得到a 的范围;(3)通过条件将问题转化为二次函数在给定区间上有两个零点求a 的范围,这里将所有满足条件的不等式列出来,求解出a 的范围. 【详解】解:(1)令sin x t =,[1,1]t ∈-,则2()()1f x g t t at a ==+++,对称轴为2a t =-. ①12a -<-,即2a >,min ()(1)2f x g =-=. ②112a -≤-≤,即22a -≤≤,2min ()()124a a f x g a =-=-++.③12a->,即2a <-,min ()(1)22f x g a ==+. 综上可知,2min2,2;()1,22;422,2.a af x a a a a >⎧⎪⎪=-++-≤≤⎨⎪+<-⎪⎩ (2)由题意可知,max ()0f x <,2()()1f xg t t at a ==+++,[0,1]t ∈的图象是开口向上的抛物线,最大值一定在端点处取得,所以有(0)10,(1)220,g a g a =+<⎧⎨=+<⎩故(,1)a ∈-∞-. (3)令sin x t =,(0,)x π∈.由题意可知,当01t <<时,sin x t =有两个不等实数解,所以原题可转化为2()10g t t at a =+++=在(0,1)内有两个不等实数根.所以有201,24(1)0,12(0)10,(1)220,a a a a g a g a ⎧<-<⎪⎪⎪∆=-+>⇒-<<-⎨⎪=+>⎪=+>⎪⎩【点睛】(1)三角函数中,形如2()sin sin f x a x b x c =++或者2()cos cos f x a x b x c =++都可以采用换元法求解函数最值;(2)讨论二次函数的零点的分布,最好可以采用数形结合的方法解决问题,这样很大程度上减少了遗漏条件的可能. 28.(1)2[2,2],33k k k Z ππππ-++∈;(2)最小值为1-【解析】 【分析】(1)先利用平面向量数量积的坐标运算律以及辅助角公式得出()2sin 6f x x π⎛⎫=- ⎪⎝⎭,然后解不等式()22262k x k k Z πππππ-+≤-≤+∈可得出函数()y f x =的单调递减区间;(2)由0,2x π⎡⎤∈⎢⎥⎣⎦得出6x π-的取值范围,然后再利用正弦函数的性质得出函数()y f x =的最大值和最小值.【详解】 (1)()3sin ,1a x =-,()1,cos b x =,()1cos 2cos 2sin cos cos sin 266f x x x x x x x ππ⎫⎛⎫∴=-=-=-⎪ ⎪⎪⎝⎭⎝⎭2sin 6x π⎛⎫=- ⎪⎝⎭,解不等式()2222k x k k Z ππππ-+≤≤+∈,得()22233k x k k Z ππππ-+≤≤+∈, 因此,函数()y f x =的单调递增区间为2[2,2],33k k k Z ππππ-++∈; (2)02x π≤≤,663x πππ∴-≤-≤,所以,函数()y f x =在区间0,2π⎡⎤⎢⎥⎣⎦上单调递增,则()min 2sin 16f x π⎛⎫=-=- ⎪⎝⎭,()max 2sin 2sin 263f x πππ⎛⎫=-== ⎪⎝⎭因此,函数()y f x =在区间0,2π⎡⎤⎢⎥⎣⎦上的最小值为1-【点睛】本题考查三角函数的单调性与最值,考查平面数量积的坐标运算,解这类问题首先要利用三角三角恒等变换公式将三角函数解析式化简,并将角视为一个整体,利用正弦函数或余弦函数的基本性质求解,考查分析问题和解题问题的能力,属于中等题. 29.(1) T=π,单调增区间为50,12π⎡⎤⎢⎥⎣⎦,11,12ππ⎡⎤⎢⎥⎣⎦(2) ∅ 【解析】 【分析】(1)化简函数得到1()sin 223f x x π⎛⎫=- ⎪⎝⎭,再计算周期和单调区间.(2)分情况n 的不同奇偶性讨论,根据函数的最值得到答案. 【详解】解:(1)函数21()sin 24f x x x =11cos 2sin 242x x +=11sin 22sin 2423x x x π⎛⎫==- ⎪⎝⎭ 故()f x 的最小正周期22T ππ==. 由题意可知:222232k x k πππππ-+≤-≤+,k Z ∈解得:51212k x k ππππ-+≤≤+,k Z ∈因为[0,]x π∈,所以()g x 的单调增区间为50,12π⎡⎤⎢⎥⎣⎦,11,12ππ⎡⎤⎢⎥⎣⎦ (2)由(1)得1()sin 223f x x π⎛⎫=- ⎪⎝⎭∵,34x ππ⎡⎤∈-⎢⎥⎣⎦∴2,36x πππ⎡⎤-∈-⎢⎥⎣⎦,∴1sin 21,32x π⎛⎫⎡⎤-∈- ⎪⎢⎥⎝⎭⎣⎦,12()1,2f x ⎡⎤∈-⎢⎥⎣⎦若2()(1)0n f x m +-⋅>对任意的,34x ππ⎡⎤∈-⎢⎥⎣⎦和*n N ∈恒成立,则2()(1)n f x m +-⋅的最小值大于零. 当n 为偶数时,10m -+>,所以,1m 当n 为奇数时,10m -->,所以,1m <- 综上所述,m 的范围为∅. 【点睛】本题考查了三角函数化简,周期,单调性,恒成立问题,综合性强,意在考查学生的计算能力和综合应用能力.30.(1)(2 )y f x =在[0,]π上的单调递增区间0,12π⎡⎤⎢⎥⎣⎦,7,12ππ⎡⎤⎢⎥⎣⎦(2)6-【解析】 【分析】(1)先求出()2sin 3f x x π⎛⎫=+ ⎪⎝⎭,再利用三角函数的图像和性质求函数(2)y f x =在[0,]π上的单调递增区间;(2)先化简得2()422f x g x π⎛⎫-+ ⎪⎝⎭223x π⎛⎫=-+ ⎪⎝⎭,再利用三角函数的性质求出cos)αβ-(的值得解. 【详解】(1)将()sin g x x =图象上所有点的纵坐标伸长到原来的2倍,得到2sin y x =的图象, 再将2sin y x =的图象向左平移3π个单位长度后得到2sin 3y x π⎛⎫=+ ⎪⎝⎭的图象,故()2sin 3f x x π⎛⎫=+ ⎪⎝⎭.(2)2sin 23f x x π⎛⎫=+ ⎪⎝⎭,令222232k x k πππππ-++,k ∈Z51212k x k ππππ-+,k ∈Z ,又[0,]x π∈所以(2)y f x =在[0,]π上的单调递增区间0,12π⎡⎤⎢⎥⎣⎦,7,12ππ⎡⎤⎢⎥⎣⎦.(2)2()422f x g x π⎛⎫-+ ⎪⎝⎭24sin 4sin 232x x ππ⎛⎫⎛⎫=+-+ ⎪ ⎪⎝⎭⎝⎭222cos 24cos 23x x π⎛⎫=-+- ⎪⎝⎭23cos 22x x =-+223x π⎛⎫=-+ ⎪⎝⎭.因为2()4222f x g x m π⎛⎫-+=+ ⎪⎝⎭在[0,)π内有两个不同的解α,β,所以23x m π⎛⎫-= ⎪⎝⎭在[0,)π内有两个不同的解α,β,且52,333x πππ⎡⎫-∈-⎪⎢⎣⎭, 所以2233ππαβπ⎛⎫⎛⎫-+-= ⎪ ⎪⎝⎭⎝⎭或22333ππαβπ⎛⎫⎛⎫-+-= ⎪ ⎪⎝⎭⎝⎭.于是56παβ+=或116παβ+=. 当56παβ+=时,5cos()cos 6παβαα⎛⎫⎛⎫-=--⎪ ⎪⎝⎭⎝⎭5cos 2cos 2632πππαα⎛⎫⎛⎫=-=-- ⎪ ⎪⎝⎭⎝⎭ sin 23πα⎛⎫=-= ⎪⎝⎭当116παβ+=时, 11cos()cos 6παβαα⎛⎫⎛⎫-=-- ⎪ ⎪⎝⎭⎝⎭113cos 2cos 2632πππαα⎛⎫⎛⎫=-=-- ⎪⎪⎝⎭⎝⎭sin 23πα⎛⎫=--= ⎪⎝⎭,因此,26cos(22)m αβ--()2262cos ()1m αβ=---22621612m m ⎛⎫=⋅--=- ⎪⎝⎭. 【点睛】本题主要考查三角函数图像的变换和三角函数的单调区间的求法,考查三角函数图像的零点问题,考查三角恒等变换和求值,意在考查学生对这些知识的理解掌握水平和分析推理能力.。
第2"卷第1期2021年1月高等数学研究STUDIES IN COLLEGE MATHEMATICSVol.2",No.1Jan. , 2021doi:10. 3969/j. issn. 1008-1399. 2021. 01. 004一类含三角函数级数求和的极限问题赵月,沈荣鑫(泰州学院数理学院,江苏泰州225300)摘要设f和g是两个互素的正整数,a=上疋.本文讨论了极限lim1' [sinia]的取值,证明了 :(1)如果g为奇D" i= 1数,则该极限值为一2*(2)如果g为偶数,则该极限值为一2^2.2q2q关键词函数极限;取整函数;正弦函数;级数中图分类号〇172 文献标识码A文章编号1008 - 1399(2021)01 - 0011 - 0"Limit of Sums of a Class of Trigonometric SeriesZHAO Yue and SHEN Rongxin(Department of Mathematics and Physics,Taizhou University,Taizhou 225300,China)p1 ".q—1 Abstract Let p,q be two relatively prime numbers,and a=—*.The limit of lim —'[sinz'a] i s—^ i fq n i= 12q _2q i s o dd; or _^ i f q i s even.2qKeywords limit of function,integral function,sine function,series1引言众所周知,关于三角函数的级数求和及其极限是数学分析中的重要内容&b3].含有取整函数的极限亦是高等数学中有趣的教学和研究课题["b6].本 文将讨论一类三角函数与取整函数复合的函数级数,考虑到取整函数的不连续性,我们用离散的处理 方法来计算、估计这一类级数的部分和.本文中,符 号表示取整函数.设正实数a是圆周率*的有理数倍,我们利用正弦函数的周期性,在极限意义下实现了对级数部分和'[sina ]的估值,并分情况收稿日期:2020 - 03 - 28 修改日期2020- 06 - 12基金项目:国家自然科学基金(11501404),江苏省高等教育教改研究立项重点课题(2017;!S;IG490).作者筒介:赵月(1998 —),女,江苏扬州人,本科在读,泰州学院数学与应用数学(师范)•Email:4〇8846615@.沈荣鑫(1981 —),男,江苏泰州人,博士,教授,主要从事拓扑学研究•Email:srx20212021@163. com.得出 lim 1' [sim’a]的值.2 正文引理1设p和q是两个互素的正整数,a =如果p为偶数,q为奇数,则'[sina]= —q—1证明 显然[sinqa ]= [sinpTr ]二 0.如 q 二 1,则结论显然成立.下面设q $ 1,我们来证明几个断 言.断言 I :任一 i ) {1,2,…,q—1},sina * 0.设i) {1,2,…,q—1},如果sink = 0,则存在正整数々使ia =々*,即i -= 々*,从而p = q々.q由于p和q互素,所以q整除i,这与i) +,2,…,q —1}矛盾,说明断言I成立.断言-:任一 i) +,2,…,q—1},sina * 1.12高等数学研究2021年1月设f ) {1,2,…!一1},如果sinfa = 1,则存在非负整数々使得k 5 *C2々*,即f •= *C2 q22々*整理化简得2z> = (1 +"々%,这与9是奇数矛盾,故断言n成立.断言.:任一 f )+,2,…,f},sinza • sin(q 一f f a〈 0.设 f) {1,2,…,q 一 1,由断言 I 知 sink *0,sin(q —f)a *0,故 sina •sin(q —f)a *0.我们注意到a+$—f% = a 5由于夕是偶数,故i a和sin(q—f)a 互为相反数,从而 sinOz • sin(q—f)a〈 0,故断言.成立.由断目n知任一f)+,2,…,q—1},[sina]的取值只能为0或一 1.由断言.知指标集J ={f |f) {1,2,…,q —1},sin?a〈0}的元素个数为q 一 1,即f |f) {1,2,…,q —1},[sin?a]=—1}的元素个数为,一1,故q-1'[sina]='sina q —1定理1设 2 p q是两个互素的正整数,a 5 f*如果满数,q为雜则lim 1' [sinza ____ i n<^•q1 2q证明 对于正整数n (q,由带余除法知存在唯一的正整数K w)和非负整数r(W),使〃=K w)q+厂(n)且 0 "厂(n)〈 q.n t(n)q n于是'[sina ]5 ' [sina ]+'f-1 f-1又由于引理1可知道-*(n)q+1t(n)q'[sinza f-1*(n)—1k q C q''[sina]k-0f-k q C1*(n)—1q''[sin(kq +i)a]k-0@-1t(n)一1q''[sin(kf * C@a)]k-0@-1S s a]-—('q—1t n注意到|r(n) |〈 q,所以lim r()n%!n2从一 t(n)- = lim q丨一r(n)]5imn%!竹n%!丄[1 —lim#q n%!n进而tin)q'[sina ]lim ^------- - 1i m(q—1)(n)2q —12q •又因为|'[sina ] |"q,故t(n)q C1sinzai i m f-t(n)q+1n%! n0.综上,我们有1i m1' [sin?a ]- 1i m(-____-a <^ ____tin)q'[sinaz'[sina ]-t(n)q C1______)-一q—12q •引理2 设f p q是两个互素的正整数,a -如果f为奇数,q为奇数,则'[sina]- —q+1.q「1证明 显然[sinqi]二[sinft]二0, [sin2a]二[sin2f*] -0.如q -1,则结论显然成立.下设q>1,我们来证明几个断言.断目 I任一 f) {1,2,…,q—1,q +1,…,2q —1},sinza * 0.设f ){1,2,…,q —1},如果sinfa -0,则存在正整数k使得a - k*即f•- k*从而有f -qkq.由于f和q互素,所以q整除f,这与f){1,2,…,q—1}矛盾,故任一 f ){1,2,…,q—1},sinia *0.我们注意到 a+(2q —f)a 二 2qa 二 2f*,故sinfa和sin(2q —f)a互为相反数,从而任一 f ){q+1,…,2q—1},s i r n’a*0.故断言 I 成立.断言 n :任一 f ){12,…,2q},sinfa * 1.设f ){1,2,…,2q},如果sinfa - 1,则存在非负整数 k 使得a - *+2k*,即f• f*- 2k* +*,2 q2整理化简得2zf -(1 +4k)q,这与q是奇数矛盾,n.断言任一f ) U,2,…,q—1},sina • sin(2q —f)a〈 0 .设f){1,2,…,q — 1},由断目I中证明知,sinia和sin(2q —f)a互为相反数,且sinia *0,由此第24卷第1期赵 月,沈荣鑫:一类含三角函数级数求和的极限问题13可知sinfa - sin(2g —f)a # 0,所以断言瓜成立.由断言-知任一 z ) {1,2,…,一1,+1,…,2g —1},[sinia]的取值只为0或一1.由断目.知:指标集 + I{1,2,…g —1,+1,…,2g —1},sinza # 0}中的元素个数为g—1,即+ |Z ) {1,2,■",g—1,+1,…,2g—1},[sinia] =—1}中的元素2g个数为 g—1,所以'[sinza]=—g +1.i~1定理2设f p g是两个互素的正整数,a =I*.g如果I为奇数,g为奇数,则lim 1' [sin,]=一^一一12g证明对于正整数2g,由带余除法知存在唯一的正整数K")和非负整数r(")使"=2i(")g +厂(")且 0 "厂(")# 2g.n2t(n)g n于是'[sin,]=' [sin,]+'[sin,].又i= 1i= 1i= 2t(n~)g+1由于引理2可知道2t(n)g'[sin,*(n)—12k q-\-2g''[sin,k=0i= 2k gC1t(n)一1 2g''[sin(2kg +@)a]k=0 @= 1*(n)—1 2g=''[sin(2k加+@a)] k=0 @=1t(n)一1 2g=''[sinj'a]k=0 @=1=—(g —1)(n).注意到|r(n) |<2g,故lim ^^ = 0,从而n%! n)^[n—r(n)]lim 心=lim 2----------n%! n%!1[1—limn2g n%! n2g进而2t(n)g'[sin,lim -------n%! n又为lim—(g —1)(n)ng —12g •'[ i= 2j(n)g+1s i n i,]"2g,故lim 1-2《n)g+1综上,我们有lim — ' [sin,2n%! n i=1g —12g •引理3 设|P g是两个互素的正整数,,=如果夕为奇数,g为偶数,贝[sin,]=—g +2.g i=1证明 显然[sin,] = [sin^*] = 0,[sin2,]= [sin2|*] = 0.下面我们来证明几个断言.断目 I:任一 i) {1,2,…,g—1,g +1,…,2g—1},sin,* 0.设i )+,2,…,g —1},如果sin,= 0,则存在正整数k使得,=k*即i-上* = k*从而有| =gkg.由于|和g互素,所以g整除i,这与i) {1,2贝•.,g—1}矛盾,故任一i){1,2贝•.,g—1},sin,*0.我们注意到,+(2g —i),= 2g,= 2夕*,故sin,和sin(2g —i)互为相反数,从而任一 i ) {g+1贝",2g—1},sin,*0.故断言 I 成立.断言-存在唯一 i) +,2,…,2g},使sin,=1.2tin)g n'[sin,]'[sin,]lim(i=-------+i=*C n)^1-------)先证存在性.设i ) {1,2,…,2g},当z= 2时,sin i, = sin n sin晏*当!Sin i,2-=sin 2*•由于1是奇数,所以sin 1.注意到sin 和sin当,互为相反数,故有sin g,= 1或sin =,= 1成立.再证唯一性.假设存在两个不同的正整数rn,n ) {1,2,…,2g}使得 sin/,= sin,= 1,则存在正整数*使得|肌一n,= 2*,所以,=^---*~#.* |m—n\/2注意到有理数,只有唯一的既约分数表示1,故*Dm—n必须是g的倍数,然而由m,){1,2,…,2g}知1m—n <g,故矛盾.所以断言-成立.断言任一i) {1,2贝"g—1},sin,- sin(2g —i),<0 .i ){1 2 !… !D— 1}!I 中知 ! sin,和sin(2g —i)互为相反数,且sin,*0,由此 可知sin,- sin(2g —i)<0,所以断言.成立.由断言-知任一 z) {1,2,…,g—1,+1,…,14高等数学研究2021年1月2g — 1},[sima]的取值可以为0,1,一1.并且指标集 及 5 + I f ) +,2,…! 一 1,g + 1,…,2g — 1, [sinza] = 1}中的元素个数为1.断言豇告诉我们: 指标集尺二 + | f ) {1,2,…!一1,+ 1,…,2g — 1},sinza <0}的元素个数为 g —1,即+ | f ) {1,2, …g —1,+ 1,…,2g —1} [sinia ] =— 1}的元素个!q数为 g — 1,故'[sinfa ] =— q + 2.设_q 是两个~雜-整数,a = f *如果^为奇数,q 为偶数,则lim 1'____■v t'4sinzaq — !2q •证明对于正整数w (2q ,由带余除法知存在 唯一的正整数Kra)和非负整数r(?z )使= 2f(w)q +r(w)且 0 " r(w ) < 2q.于是2t (n ) q'[sin,] = ' [sin,] +f =1 f =1又由于引理3可知道Vf = 2j (r a )q +12 t (n ~)q '[sin,t (n )—1 2 k q C 2 q ''[sin,k =0f = kq C 1t (n ~)—1 2 q''[sin( 2 kq +>)a ]k = 0 @ = 1 t (n )—1 2 q=''[sin( 2 k p * C @a )]k =0 @=1t (r i )—1 2 q=''[sinja ] =— (q — 2k =0 @=1注意到 | r(r a ) | < 2q ,故lim ^^ = 0,从而limr a %! 7Z r a %! r a q[r a — r(r a )]lim 进而1[1 —lim#!qr a %! r a!q!t(ra )q [sinza]lim------- = lim —( — 2t r a =—q —1.r a %! ra r a %! ra 2q又为sinzaf = 2t (n ~) q +1r a I ' [sink ] | " 2q ,故lim ff = 2t (n )qC 1 r a %!综上,我们有!t $r a )q r ar a ' [ s i n a z ] ' [sinazlim 丄公[sina ] = lim(二#--------C ------q — 22q •以上三个定理是本文的主要结果,它们表明,对于a = P ^(p 、q 互素),当ra充分大时,级数部分和q'[sinza]的近似值只与ra和q 有关:当q 为奇数f =1时,该近似值为—气一1);当q 为偶数时,该近似!q 值为ra(q — 2)2q3 未解决的问题和猜想本文在,是有理数的情况下,讨论了极限*lim 1 [sinia ]的取值,但我们还不知道如果,r a %! r a f =1 *不是有理数!im [sina]是否存在?如果存在r a %! r a f = 1的话取值如何?特别地!i m 1' [sim]取值如何?r a %! r a f =1可以肯定的是当,不是有理数时,本文中所使 *用的计算技巧不再适用于求此极限.也许我们应该 换一个角度来看这个问题:由于此时[sirna ]的取值 只会出现0和一1两种情况,并且出现概率一样,那 么不妨考虑将其看作为一个平均的两点分布,由大 数定律知,样本的值会以概率收敛于总体均值,因此我们猜想当,不是有理数时!i m 1' [sinia]的值. r a %! r a 为一1.我们非常期待有兴趣的读者能给出证明.参考文献[]华东师范大学数学系.数学分析[M ]. 4版.北京:高等教育出版社,2010.[]裴礼文.数学分析中的典型问题与方法[M ].北京:高等教育出版社!993.[]文生兰,刘倩.从正交分解看傳里叶级数[].高等数学研究,2017,20(3):20 - 22.[]赵天玉.取整函数的性质和应用[].高等数学研究,2004,7(5):45 - 47.[]谭毓澄.取整函数及其生成的数列[].高等数学研究,2011,14(5):22 - 24.[]何桂添,田艳.取整函数的性质在极限概念教学中的应用[J ].高等数学研究,2015,18(5):34 - 36.[]王小胜,郭海英,李丽华.任意随机变量序列的一个强极限定理[].大学数学,2007,23(1): 130 - 132.[]钱国旗.关于关联随机变量序列的极限收敛定理[J ].应用概率统计!992,8(2): 173 - 180.。
高考数学解答题技巧1、三角变换与三角函数的性质问题解题方法:①不同角化同角;②降幂扩角;③化f(x)=Asin(ωx+φ)+h ;④结合性质求解。
答题步骤:①化简:三角函数式的化简,一般化成y=Asin(ωx+φ)+h的形式,即化为“一角、一次、一函数”的形式。
②整体代换:将ωx+φ看作一个整体,利用y=sin x,y=cos x的性质确定条件。
③求解:利用ωx+φ的范围求条件解得函数y=Asin(ωx+φ)+h的性质,写出结果。
2、解三角形问题解题方法:(1) ①化简变形;②用余弦定理转化为边的关系;③变形证明。
(2) ①用余弦定理表示角;②用基本不等式求范围;③确定角的取值范围。
答题步骤:①定条件:即确定三角形中的已知和所求,在图形中标注出来,然后确定转化的方向。
②定工具:即根据条件和所求,合理选择转化的工具,实施边角之间的互化。
③求结果。
3、数列的通项、求和问题解题方法:①先求某一项,或者找到数列的关系式;②求通项公式;③求数列和通式。
答题步骤:①找递推:根据已知条件确定数列相邻两项之间的关系,即找数列的递推公式。
②求通项:根据数列递推公式转化为等差或等比数列求通项公式,或利用累加法或累乘法求通项公式。
③定方法:根据数列表达式的结构特征确定求和方法(如公式法、裂项相消法、错位相减法、分组法等)。
④写步骤:规范写出求和步骤。
4、离散型随机变量的均值与方差解题思路:(1)①标记事件;②对事件分解;③计算概率。
(2)①确定ξ取值;②计算概率;③得分布列;④求数学期望。
答题步骤:①定元:根据已知条件确定离散型随机变量的取值。
②定性:明确每个随机变量取值所对应的事件。
③定型:确定事件的概率模型和计算公式。
④计算:计算随机变量取每一个值的概率。
⑤列表:列出分布列。
⑥求解:根据均值、方差公式求解其值。
5、圆锥曲线中的范围问题解题思路;①设方程;②解系数;③得结论。
答题步骤:①提关系:从题设条件中提取不等关系式。
高中三角函数专题练习题及答案一、填空题1.如图所示,一竖立在地面上的圆锥形物体的母线长为4,一只小虫从圆锥的底面圆上的点P 出发,绕圆锥爬行一周后回到点P 处,若该小虫爬行的最短路程为43,则这个圆锥的体积为___________.2.已知三棱锥P ABC -中,23APB ∠=π,3PA PB ==,5AC =,4BC =,且平面PAB ⊥平面ABC ,则该三棱锥的外接球的表面积为_________.3.已知正方体1111ABCD A B C D -,点E 是AB 中点,点F 为1CC 的中点,点P 为棱1DD 上一点,且满足//AP 平面1D EF ,则直线AP 与EF 所成角的余弦值为_______.4.已知在ABC 中,角A ,B ,C 所对的边分别为a ,b ,c ,且6a =,点O 为其外接圆的圆心.已知·15BO AC =,则当角C 取到最大值时ABC 的面积为______5.已知函数()()4sin 03πf x x ωω⎛⎫=+> ⎪⎝⎭,圆C 的方程为()22525x y -+=,若在圆C 内部恰好包含了函数()f x 的三个极值点,则ω的取值范围是______. 6.给出下列命题:①若函数()f x 的定义域为[]0,2,则函数(2)f x 的定义域为[]0,4; ②函数()tan f x x =在定义域内单调递增;③若定义在R 上的函数()f x 满足(1)()f x f x +=-,则()f x 是以2为周期的函数;④设常数a ∈R ,函数2log ,04()10,41x x f x x x ⎧<≤⎪=⎨>⎪-⎩若方程()f x a =有三个不相等的实数根1x ,2x ,3x ,且123x x x <<,则312(1)x x x +的值域为[64,)+∞.其中正确命题的序号为_____.7.已知函数()sin cos f x x x =+,()sin cos g x x x =:①函数()f x 的图象关于点(,0)4π对称;②函数|()|g x 的最小正周期是2π;③把函数f (2x )图象上所有点向右平移8π个单位长度得到的函数图象的对称轴与函数y=()g x 图象的对称轴完全相同;④函数1()()y f x g x =--在R 上的最大值为2.则以上结论正确的序号为_______________8.平面向量a ,b ,c 满足1a a b c =-==,()222b ac b c b a c +⋅+-=⋅+,1a b b a b b cb⋅+=+⋅,则()2b c-=______.9.设向量OA a =,OB b =,OC c =,2a b a b ==⋅=,点C 在AOB ∠内,且向量c 与向量a c -的夹角为3π,则||||c c b -的取值范围是____________. 10.已知函数()2log ,0,0x x f x x x >⎧=⎨-≤⎩,函数()g x 满足以下三点条件:①定义域为R ;②对任意x ∈R ,有()()2g x g x π+=;③当[]0,x π∈时,()sin .g x x =则函数()()y f x g x =-在区间[]4,4ππ-上零点的个数为__________个.二、单选题11.已知函数()()sin cos sin cos 0f x x x x x ωωωωω=++->,则下列结论错误的是( )①1ω=时,函数()f x 图象关于π4x =对称;②函数()f x 的最小值为-2;③若函数()f x 在π,04⎡⎤-⎢⎥⎣⎦上单调递增,则(]03ω∈,;④1x ,2x 为两个不相等的实数,若()()124f x f x +=且12x x -的最小值为π,则2ω=. A .②③B .②④C .①③④D .②③④12.《九章算术》卷五“商功”:今有刍甍,下广3丈,袤4丈;上袤2丈,无广;高1丈.其描述的是下图的一个五面体,底面ABCD 是矩形,4AB =,3BC =,2EF =,//EF 底面ABCD 且EF 到底面ABCD 的距离为1.若DE AE BF CF ===,则该刍甍中点F 到平面EBC 的距离为( )A .15B .35C .105D .25513.已知函数()2sin()0,02f x x πωϕωϕ⎛⎫=+><< ⎪⎝⎭,且有()02f =,若函数()()1g x f x =-的图象在()0,2π内有5个不同的零点,则ω的取值范围为( )A .5571,2424⎛⎤⎥⎝⎦B .5571,2424⎛⎫ ⎪⎝⎭C .4755,2424⎛⎫ ⎪⎝⎭D .4755,2424⎛⎤ ⎥⎝⎦14.在锐角ABC 中,角A ,B ,C 的对边分别为a ,b ,c ,S 为ABC 的面积,且()222S a b c =--,则222b c bc+的取值范围为( )A .4359,1515⎛⎫ ⎪⎝⎭B .4322,15⎡⎫⎪⎢⎣⎭C .5922,15⎡⎫⎪⎢⎣⎭D .)22,⎡+∞⎣15.如图,在正方体ABCD EFGH -中,P 在棱BC 上,BP x =,平行于BD 的直线l 在正方形EFGH 内,点E 到直线l 的距离记为d ,记二面角为A l P --为θ,已知初始状态下0x =,0d =,则( )A .当x 增大时,θ先增大后减小B .当x 增大时,θ先减小后增大C .当d 增大时,θ先增大后减小D .当d 增大时,θ先减小后增大16.已知ABC 的三边是连续的三个自然数,且最大角是最小角的2倍,则ABC 内切圆的半径r =( ) A .1B 7C .32D .217.设点()11,P x y 在椭圆22182x y +=上,点()22,Q x y 在直线280x y +-=上,则2121x x y y -+-的最小值是( )A .212+B .3C .312+D .218.在ABC 中,BAC ∠的平分线交BC 于点,2,6D BD DC BC ==,则ABC ∆的面积的最大值为( ) A .6B .62C .12D .12219.设函数()cos 2sin f x x x =+,下述四个结论: ①()f x 是偶函数; ②()f x 的最小正周期为π; ③()f x 的最小值为0; ④()f x 在[]0,2π上有3个零点 其中所有正确结论的编号是( ) A .①②B .①②③C .①③④D .②③④20.设函数()sin cos f x a x b x ωω=+()0ω>在区间,62ππ⎡⎤⎢⎥⎣⎦上单调,且2236f f f πππ⎛⎫⎛⎫⎛⎫==- ⎪ ⎪ ⎪⎝⎭⎝⎭⎝⎭,当12x π=时,()f x 取到最大值4,若将函数()f x 的图象上各点的横坐标伸长为原来的2倍得到函数()g x 的图象,则函数()3y g x x π=-+零点的个数为( ) A .4B .5C .6D .7三、解答题21.如图,甲、乙两个企业的用电负荷量y 关于投产持续时间t (单位:小时)的关系()y f t =均近似地满足函数()sin()(0,0,0)f t A t b A ωϕωϕπ=++>><<.(1)根据图象,求函数()f t 的解析式;(2)为使任意时刻两企业用电负荷量之和不超过9,现采用错峰用电的方式,让企业乙比企业甲推迟(0)m m >小时投产,求m 的最小值.22.如图,长方形ABCD 中,2,3AB BC ==,,E F G 分别在线段,,AB BC DA (含端点)上,E 为AB 中点,⊥EF EG ,设AEG θ∠=.(1)求角θ的取值范围;(2)求出EFG ∆周长l 关于角θ的函数解析式()f θ,并求EFG ∆周长l 的取值范围.23.已知函数()sin cos cos 63f x x x x a ππ⎛⎫⎛⎫=-+-++ ⎪ ⎪⎝⎭⎝⎭的最大值为1.(1)求常数a 的值;(2)求函数()f x 的单调递增区间; (3)求使()0f x <成立的实数x 的取值集合. 24.已知函数()2cos (sin cos )f x x x x =+,x ∈R . (1)求函数()f x 的最小正周期;(2)求函数()f x 在区间ππ,44⎡⎤-⎢⎥⎣⎦上的最小值和最大值,并求出取得最值时的x 的值.25.已知向量a ,b 满足2sin 64a x x π⎛⎫⎛⎫=-+ ⎪ ⎪⎝⎭⎝⎭,cos 24b x x π⎛⎫⎛⎫=+ ⎪ ⎪⎝⎭⎝⎭,函数()()f x a b x R =⋅∈.(1)求()f x 的单调区间;(2)已知数列()2*11224n n a n f n N ππ⎛⎫=-∈ ⎪⎝⎭,求{}n a 的前2n 项和2n S . 26.已知函数()f x a b =⋅,其中()3sin ,1a x =-,()1,cos b x =,x ∈R .(1)求函数()y f x =的单调递增区间; (2)求()f x 在区间0,2π⎡⎤⎢⎥⎣⎦上的最值.27.已知函数())233sin cos 0f x x x x ωωωω=+>的最小正周期为π.将函数()y f x =的图象上各点的横坐标变为原来的4倍,纵坐标变为原来的2倍,得到函数()y g x =的图象.(1)求ω的值及函数()g x 的解析式; (2)求()g x 的单调递增区间及对称中心28.设向量a =(2sin 2x cos 2x3x ),b =(cos x ,sin x ),x ∈[-6π,3π],函数f (x )=2a •b .(1)若|a 2b |,求x 的值;(2)若3f (x )-m 3m 的取值范围.29.已知函数2()2cos cos f x x x x =+. (Ⅰ)求()f x 的单调递增区间;(Ⅱ)若()f x 在区间,6m π⎡⎤-⎢⎥⎣⎦上的值域为[]0,3,求m 的取值范围.30.函数()sin()16f x A x πω=-+(0,0A ω>>)的最大值为3, 其图象相邻两条对称轴之间的距离为2π, (1)求函数()f x 的解析式;(2)设π(0,)2α∈,则()22f α=,求α的值【参考答案】一、填空题12.28π34.5.1925731,,48481248ππππ⎛⎤⎡⎤⋃⎥⎢⎥⎝⎦⎣⎦ 6.③④ 7.②③④8.229. 10.6二、单选题 11.B 12.C 13.A 14.C 15.C 16.B17.D 18.C 19.B 20.D 三、解答题21.(1)()sin 462f t t ππ⎛⎫=++ ⎪⎝⎭;(2)4【解析】 【分析】 (1)由212T πω==,得ω,由53A b b A +=⎧⎨-=⎩,得A ,b ,代入(0,5),求得ϕ,从而即可得到本题答案;(2)由题,得()()cos ()cos 8966f t m f t t m t ππ⎡⎤⎛⎫++=+++≤ ⎪⎢⎥⎣⎦⎝⎭恒成立,等价于cos ()cos 166t m t ππ⎡⎤⎛⎫++≤ ⎪⎢⎥⎣⎦⎝⎭恒成立,然后利用和差公式展开,结合辅助角公式,逐步转化,即可得到本题答案. 【详解】(1)解:由图知212T πω==,6πω∴=又53A b b A +=⎧⎨-=⎩,可得41b A =⎧⎨=⎩()sin 46f t t πϕ⎛⎫∴=++ ⎪⎝⎭,代入(0,5),得22k πϕπ=+,又0ϕπ<<,2πϕ∴=所求为()sin 462f t t ππ⎛⎫=++ ⎪⎝⎭(2)设乙投产持续时间为t 小时,则甲的投产持续时间为()t m +小时,由诱导公式,企业乙用电负荷量随持续时间t 变化的关系式为:()sin 4cos 4626f t t t πππ⎛⎫=++=+ ⎪⎝⎭同理,企业甲用电负荷量变化关系式为:()cos ()46f t m t m π⎡⎤+=++⎢⎥⎣⎦两企业用电负荷量之和()()cos ()cos 866f t m f t t m t ππ⎡⎤⎛⎫++=+++ ⎪⎢⎥⎣⎦⎝⎭,0t ≥依题意,有()()cos ()cos 8966f t m f t t m t ππ⎡⎤⎛⎫++=+++≤ ⎪⎢⎥⎣⎦⎝⎭恒成立即cos ()cos 166t m t ππ⎡⎤⎛⎫++≤⎪⎢⎥⎣⎦⎝⎭恒成立 展开有cos 1cos sin sin 16666m t m t ππππ⎡⎤⎛⎫⎛⎫⎛⎫+-≤ ⎪ ⎪ ⎪⎢⎥⎝⎭⎝⎭⎝⎭⎣⎦恒成立cos 1cos sin sin cos 66666m t m t A t πππππϕ⎡⎤⎛⎫⎛⎫⎛⎫⎛⎫+-=+ ⎪ ⎪ ⎪ ⎪⎢⎥⎝⎭⎝⎭⎝⎭⎝⎭⎣⎦其中,A =cos 16cos m Aπϕ⎛⎫+ ⎪⎝⎭=,sin 6sin m A πϕ=1A ∴=≤整理得:1cos 62m π⎛⎫≤- ⎪⎝⎭解得2422363k m k πππππ⎛⎫+≤≤+ ⎪⎝⎭即124128k m +≤≤+ 取0k =得:48m ≤≤ m ∴的最小值为4. 【点睛】本题主要考查根据三角函数的图象求出其解析式,以及三角函数的实际应用,主要考查学生的分析问题和解决问题的能力,以及计算能力,难度较大.22.(1)[,]63ππ(2)1sin cos ()sin cos f θθθθθ++=,[,]63ππθ∈,EFG ∆周长l的取值范围为1)]【解析】(1)结合图像可得当点G 位于D 点时,角θ取最大值,点F 位于C 点时,BEF ∠取最大值,角θ取最小值,在直角三角形中求解即可. (2)在Rt ΔEAG 中,求出1cos EG θ=,在Rt ΔEBF 中,求得1sin EF θ=,在Rt ΔGEF 中,根据勾股定理得222FG EF EG =+,从而可得111()cos sin sin cos f θθθθθ=++,通分可得1sin cos ()sin cos f θθθθθ++=,令sin cos t θθ=+,借助三角函数的性质即可求解.【详解】(1)由题意知,当点G 位于D 点时,角θ取最大值,此时tan θ=02πθ<<,所以max 3πθ=当点F 位于C 点时,BEF ∠取最大值,角θ取最小值,此时=3BEF π∠,所以min 236πππθ=-=故所求θ的取值集合为[,]63ππ(2)在Rt ΔEAG 中,cos AE EG θ=,1AE =,所以1cos EG θ= 在Rt ΔEBF 中,cos cos()2BE BEF EF πθ∠=-=,1BE =,所以1sin EF θ= 在Rt ΔGEF 中,有勾股定理得222FG EF EG =+2222222211sin cos 1sin cos sin cos sin cos θθθθθθθθ+=+== 因为[,]63ππθ∈,所以sin 0,cos 0θθ,1sin cos FG θθ=所以111()cos sin sin cos f EG EF FG θθθθθ=++=++ 所以1sin cos ()sin cos f θθθθθ++=,[,]63ππθ∈令sin cos t θθ=+,则21sin cos 2t θθ-=所以22(1)211t l t t +==-- 因为[,]63ππθ∈,57[,]41212πππθ+∈,所以sin()4πθ+∈所以sin cos )4t πθθθ=+=+∈所以EFG ∆周长l 的取值范围为1)] 【点睛】本题考查了三角函数的在平面几何中的应用,主要考查了辅助角公式以及换元法求三角函数的值域,属于中档题.23.(1)1a =-(2)22,2,33k k k Z ππππ⎡⎤-++∈⎢⎥⎣⎦.(3)422|,3k x k k Z x πππ-+<<∈⎧⎫⎨⎬⎩⎭【解析】(1)化简()f x ,求最大值,即可求解;(2)应用整体思想,结合正弦函数的递增区间,即可得出结论; (3)运用正弦函数图像,即可求解. 【详解】 解:()sin coscos sincoscos sinsin cos 6633f x x x x x x a ππππ=-++++11cos cos cos 22x x x x x a =-+++cos x x a =++12cos 2x x a ⎫=++⎪⎪⎝⎭2sin 6x a π⎛⎫=++ ⎪⎝⎭. (1)函数()f x 的最大值为21a +=,所以1a =-. (2)由22,262k x k k Z πππππ-+≤+≤+∈,解得222,33k x k k Z ππππ-+≤≤+∈, 所以()f x 的单调递增区间为22,2,33k k k Z ππππ⎡⎤-++∈⎢⎥⎣⎦. (3)由(1)知()2sin 16f x x π⎛⎫=+- ⎪⎝⎭.因为()0f x <,即2sin 106x π⎛⎫+-< ⎪⎝⎭.所以1sin 62x π⎛⎫+< ⎪⎝⎭,所以722,666k x k k Z πππππ-+<+<+∈. 所以422,3k x k k Z πππ-+<<∈, 所以使()0f x <成立的x 的取值集合为422|,3k x k k Z x πππ-+<<∈⎧⎫⎨⎬⎩⎭. 【点睛】本题考查三角函数恒等变换,化简解析式,考查三角函数的性质以及三角不等式,属于中档题.24.(1)π;(2)()()min max ππ,0,,148x f x x f x =-===.【解析】(1) 函数()f x 解析式去括号后利用二倍角的正弦、余弦公式化简,整理后再利用两角和与差的正弦函数公式化为一个角的正弦函数,找出w 的值,代入周期公式即可求出最小正周期;(2)根据x 的范围求出这个角的范围,利用正弦函数的值域即可确定出()f x 的值域,进而求出()f x 的最小值与最大值.. 【详解】(1)()()π2cos sin cos sin2cos21214f x x x x x x x ⎛⎫=+=++=++ ⎪⎝⎭,因此,函数()f x 的最小正周期πT =. (2) 因为ππ44x -≤≤ 所以ππ3π2444x -≤+≤,sin 24x π⎡⎤⎛⎫∴+∈⎢⎥ ⎪⎝⎭⎣⎦,即()1f x ⎡⎤∈⎣⎦, 所以当244x ππ+=-,即4x π=-时,()min 0f x =,当242x ππ+=,即8x π=时,()max 1f x =.所以4x π=-时,()min 0f x =,8x π=时,()max 1f x .【点睛】此题考查了两角和与差的正弦函数公式,二倍角的正弦、余弦函数公式,正弦函数的定义域与值域,熟练掌握公式是解本题的关键,是中档题.25.(1)单调增区间为7,1212k k ππππ⎡⎤--⎢⎥⎣⎦,k Z ∈,单调减区间为5,1212k k ππππ⎡⎤-+⎢⎥⎣⎦,k Z ∈;(2))22n n +【解析】 【分析】(1)由向量数量积的坐标运算可得()2sin 222sin 23f x a b x x x π⎛⎫=⋅=-=+⎪⎝⎭, 再利用三角函数单调区间的求法即可得解;(2)由题意可得()()22222221234212n S n n ⎤=-+-+⋅⋅⋅+--⎦,又()()2221241n n n --=-+,则)2442434n S n n =--⨯-⨯-⋅⋅⋅-+,再利用等差数列求和公式即可得解.【详解】解:(1)向量a ,b 满足2sin 4a x x π⎛⎫⎛⎫=-+ ⎪ ⎪⎝⎭⎝⎭,cos 4b x x π⎛⎫⎛⎫=+ ⎪ ⎪⎝⎭⎝⎭,函数()2sin 222sin 23f x a b x x x π⎛⎫=⋅=-=+⎪⎝⎭, 由2222232k x k πππππ-≤+≤+,可得71212k x k ππππ-≤≤-,k Z ∈, 解得()f x 的单调增区间为7,1212k k ππππ⎡⎤--⎢⎥⎣⎦,k Z ∈; 单调减区间为5,1212k k ππππ⎡⎤-+⎢⎥⎣⎦,k Z ∈.(2)因为22112sin 2244n n a n f n n ππππ⎛⎫⎛⎫=-=-⎪ ⎪⎝⎭⎝⎭,所以()()22222221234212n S n n ⎤=-+-+⋅⋅⋅+--⎦, 又()()2221241n n n --=-+,)2442434n S n n --⨯-⨯-⋅⋅⋅-+,所以())2234122n n n S n n --+==+.【点睛】本题考查了三角函数单调区间的求法及数列中捆绑求和,属中档题. 26.(1)2[2,2],33k k k Z ππππ-++∈;(2)最小值为1- 【解析】 【分析】(1)先利用平面向量数量积的坐标运算律以及辅助角公式得出()2sin 6f x x π⎛⎫=- ⎪⎝⎭,然后解不等式()22262k x k k Z πππππ-+≤-≤+∈可得出函数()y f x =的单调递减区间;(2)由0,2x π⎡⎤∈⎢⎥⎣⎦得出6x π-的取值范围,然后再利用正弦函数的性质得出函数()y f x =的最大值和最小值. 【详解】 (1)()3sin ,1a x =-,()1,cos b x =,()1cos 2cos 2sin cos cos sin 266f x x x x x x x ππ⎫⎛⎫∴=-=-=-⎪ ⎪⎪⎝⎭⎝⎭2sin 6x π⎛⎫=- ⎪⎝⎭,解不等式()2222k x k k Z ππππ-+≤≤+∈,得()22233k x k k Z ππππ-+≤≤+∈, 因此,函数()y f x =的单调递增区间为2[2,2],33k k k Z ππππ-++∈; (2)02x π≤≤,663x πππ∴-≤-≤,所以,函数()y f x =在区间0,2π⎡⎤⎢⎥⎣⎦上单调递增,则()min 2sin 16f x π⎛⎫=-=- ⎪⎝⎭,()max 2sin 2sin 263f x πππ⎛⎫=-== ⎪⎝⎭因此,函数()y f x =在区间0,2π⎡⎤⎢⎥⎣⎦上的最小值为1-【点睛】本题考查三角函数的单调性与最值,考查平面数量积的坐标运算,解这类问题首先要利用三角三角恒等变换公式将三角函数解析式化简,并将角视为一个整体,利用正弦函数或余弦函数的基本性质求解,考查分析问题和解题问题的能力,属于中等题.27.(1)1ω=,()2sin()23x g x π=+;(2)单调递增区间为54,433k k ππππ⎡⎤-+⎢⎥⎣⎦,k Z ∈,对称中心为2(2,0)()3k k ππ-∈Z . 【解析】【分析】(1)整理()f x 可得:()sin(2)3f x x πω=+,利用其最小正周期为π即可求得:1ω=,即可求得:()sin(2)3f x x π=+,再利用函数图象平移规律可得:()2sin()23x g x π=+,问题得解. (2)令222232x k k πππππ-≤+≤+,k Z ∈,解不等式即可求得()g x 的单调递增区间;令23x k ππ+=,k Z ∈,解方程即可求得()g x 的对称中心的横坐标,问题得解. 【详解】解:(1)1()2sin 2sin(2)23f x x x x πωωω=+=+, 由22ππω=,得1ω=. 所以()sin(2)3f x x π=+.于是()y g x =图象对应的解析式为()2sin()23x g x π=+.(2)由222232x k k πππππ-≤+≤+,k Z ∈得 54433k x k ππππ-≤≤+,k Z ∈ 所以函数()g x 的单调递增区间为54,433k k ππππ⎡⎤-+⎢⎥⎣⎦,k Z ∈. 由23x k ππ+=,解得22()3x k k ππ=-∈Z . 所以()g x 的对称中心为2(2,0)()3k k ππ-∈Z . 【点睛】本题主要考查了二倍角公式、两角和的正弦公式应用及三角函数性质,考查方程思想及转化能力、计算能力,属于中档题.28.(1)π4x =;(2)2⎤⎦.【解析】 【分析】(1)根据|a |=b |,利用化简函数化简解得x 的值; (2根据f (x )=2a •b .结合向量的坐标运算,根据x ∈[6π-,3π],求解范围,)﹣f (x )﹣m ≤m 的取值范围. 【详解】解:(1)由|a b |,可得222a b =; 即4sin 2x =2(cos 2x +sin 2x ) 即sin 2x =12;∴sin x = ∵x ∈[-6π,3π], ∴x =4π(2)由函数f (x )=2a •b =2sin2x 2x=sin2x +1122-cos2x )=sin2x x (2x -3π)∵x ∈[-6π,3π], ∴2x -3π∈[-23π,3π],2≤2sin (2x -3π)要使f (x )-m则2m m ⎧-≤⎪⎨≥⎪⎩2m ≤故得m 的取值范围是2]. 【点睛】本题考查三角函数的化简能力和向量的运算,考查转化思想以及计算能力.29.(Ⅰ) (),,36ππππ⎡⎤-+∈⎢⎥⎣⎦k k k Z (Ⅱ) 62ππ≤≤m【解析】 【分析】(Ⅰ)利用二倍角的正弦公式、二倍角的余弦公式以及两角和与差的正弦公式将函数()f x 化为π2sin 216x ⎛⎫++ ⎪⎝⎭,利用正弦函数的单调性解不等式,可得到函数()f x 的递增区间;(Ⅱ) 要使得()f x 在π,6m ⎡⎤-⎢⎥⎣⎦上的值域为[]0,3,即πsin 26x ⎛⎫+ ⎪⎝⎭在π,3m ⎡⎤-⎢⎥⎣⎦上的值域为112⎡⎤-⎢⎥⎣⎦,,可得7 2266m πππ≤+≤,从而可得结果.【详解】(Ⅰ)()22f x cos x =+πcos212sin 216x x x ⎛⎫=+=++ ⎪⎝⎭,由()222,262k x k k Z πππππ-≤+≤+∈得(),36k x k k Z ππππ-≤≤+∈所以,()f x 的单调递增区间是(),,36k k k Z ππππ⎡⎤-+∈⎢⎥⎣⎦(Ⅱ)由(Ⅰ)知()π2sin 216f x x ⎛⎫=++ ⎪⎝⎭.因为π,6x m ⎡⎤∈-⎢⎥⎣⎦,所以π2,2666x m ππ⎡⎤+∈-+⎢⎥⎣⎦.要使得()f x 在π,6m ⎡⎤-⎢⎥⎣⎦上的值域为[]0,3,即πsin 26x ⎛⎫+ ⎪⎝⎭在π,3m ⎡⎤-⎢⎥⎣⎦上的值域为112⎡⎤-⎢⎥⎣⎦,. 所以72266m πππ≤+≤,即62m ππ≤≤. 【点睛】本题主要考查二倍角公式、辅助角公式的应用以及三角函数的单调性、三角函数的值域,属于中档题. 函数sin()y A x ωϕ=+的单调区间的求法:若0,0A ω>>,把x ωϕ+看作是一个整体,由22k x ππωϕ+≤+≤()322k k Z ππ+∈求得函数的减区间,2222k x k πππωϕπ-+≤+≤+求得增区间.30.(1)()2sin(2) 1.6f x x π=-+;(2)3π.【解析】 【详解】(1)由三角函数性质得,最大值为A+1=3,∴A=2, 周期2222πππωω⨯==⇒=,∴f (x )=2sin (2x-6π)+1 (2)π(0,)2α∈,f (2α)=2∴2sin (22α⨯-6π)+1=2,得sin (α-6π)=12,α=3π。
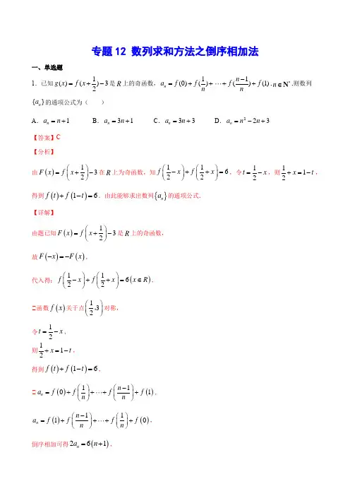
专题12 数列求和方法之倒序相加法一、单选题1.已知1()()32g x f x =+-是R 上的奇函数,1(0)()n a f f n=++1()(1)n f f n-++,n *∈N ,则数列{}n a 的通项公式为( )A .1n a n =+B .31n a n =+C .33n a n =+D .223n a n n =-+【答案】C 【分析】 由()132F x f x ⎛⎫=+- ⎪⎝⎭在R 上为奇函数,知11622f x f x ⎛⎫⎛⎫-++= ⎪ ⎪⎝⎭⎝⎭,令12t x =-,则112x t +=-,得到()()16f t f t +-=.由此能够求出数列{}n a 的通项公式. 【详解】由题已知()132F x f x ⎛⎫=+- ⎪⎝⎭是R 上的奇函数, 故()()F x F x -=-,代入得:()11622f x f x x R ⎛⎫⎛⎫-++=∈ ⎪ ⎪⎝⎭⎝⎭, ∴函数()f x 关于点132⎛⎫ ⎪⎝⎭,对称, 令12t x =-, 则112x t +=-, 得到()()16f t f t +-=, ∴()()1101n n a f f f f n n -⎛⎫⎛⎫=++++⎪ ⎪⎝⎭⎝⎭,()()1110n n a f f f f n n -⎛⎫⎛⎫=++++ ⎪ ⎪⎝⎭⎝⎭,倒序相加可得()261n a n =+,即()31n a n =+, 故选:C . 【点睛】思路点睛:利用函数的性质以及倒序相加法求数列的通项公式问题.先利用函数的奇偶性得到函数的对称中心,再用换元法得到()()16f t f t +-=,最后利用倒序相加法求解数列的通项公式. 2.已知1()12F x f x ⎛⎫=+- ⎪⎝⎭是R 上的奇函数,*121(0)(1)()n n a f f f f f n n n n -⎛⎫⎛⎫⎛⎫=+++++∈ ⎪ ⎪ ⎪⎝⎭⎝⎭⎝⎭N ,则数列{}n a 的通项公式为( )A .n a n =B .2n a n =C .1n a n =+D .223n a n n =-+【答案】C 【分析】由()112F x f x ⎛⎫=+- ⎪⎝⎭在R 上为奇函数,知11222f x f x ⎛⎫⎛⎫-++= ⎪ ⎪⎝⎭⎝⎭,令12t x =-,则112x t +=-,得到()()12f t f t +-=.由此能够求出数列{}n a 的通项公式. 【详解】由题已知()112F x f x ⎛⎫=+- ⎪⎝⎭是R 上的奇函数, 故()()F x F x -=-, 代入得:()11222f x f x x R ⎛⎫⎛⎫-++=∈⎪ ⎪⎝⎭⎝⎭, ∴函数()f x 关于点112⎛⎫ ⎪⎝⎭,对称, 令12t x =-, 则112x t +=-,得到()()12f t f t +-=, ∴()()1101n n a f f f f n n -⎛⎫⎛⎫=++++⎪ ⎪⎝⎭⎝⎭,()()1110n n a f f f f n n -⎛⎫⎛⎫=++++ ⎪ ⎪⎝⎭⎝⎭,倒序相加可得()221n a n =+, 即1n a n =+, 故选:C . 【点睛】思路点睛:先利用函数的奇偶性得到函数的对称中心,再利用对称性以及倒序相加法求数列的通项公式. 3.已知12a =,121n n a a n +-=+(*n N ∈),则n a =( ) A .1n + B .21nC .21n +D .221n +【答案】C 【分析】利用累加法即可求出通项公式. 【详解】解:∴121n n a a n +-=+,则当2n ≥时,121n n a a n --=-,……325a a -=, 213a a -=,∴132212153n n a a a a a a n --+⋅⋅⋅+-+-=-+⋅⋅⋅++,化简得()()21121312n n n a a n --+-==-,又12a =,∴21n a n =+,经检验12a =也符合上式, ∴()2*1n n N a n =+∈,故选:C . 【点睛】本题主要考查累加法求数列的通项公式,考查数列的递推公式的应用,考查倒序相加法求数列的和,考查计算能力,属于中档题.4.设n 为满足不等式01222008nn n n n C C C nC ⋅+⋅<⋅+++的最大正整数,则n 的值为( ).A .11B .10C .9D .8【答案】D 【分析】利用倒序相加法可求得0121221n n n n n n C C C nC n -+++⋅⋅⋅+=⋅+,进而解不等式求得最大正整数n .【详解】设0122nn n n n S C C C nC =+++⋅⋅⋅+,则()()12012n n n n nn n S nC n C n C C --=+-+-+⋅⋅⋅+,又r n rn n C C -=,012102222n n n n n n n n n S nC nC nC nC nC C n -∴=++++++=⋅+,121n S n -∴=⋅+,由2008S <得:122007n n -⋅<,72128=,82256=,∴78210242007⨯=<,89223042007⨯=>,n ∴的值为8.故选:D . 【点睛】本题考查了与组合数有关的不等式的求解问题;涉及到了利用倒序相加法求解数列的前n 项和的问题,属于中档题.5.已知函数()y f x =满足()(1)1f x f x +-=,若数列{}n a 满足121(0)(1)n n a f f f f f n n n -⎛⎫⎛⎫⎛⎫=+++++ ⎪ ⎪ ⎪⎝⎭⎝⎭⎝⎭,则数列{}n a 的前10项和为( )A .652B .33C .672D .34【答案】A 【分析】根据()(1)1f x f x +-=,并结合倒序相加法可求出12n n a +=,再利用等差数列求和公式得到答案. 【详解】函数()y f x =满足()(1)1f x f x +-=,121(0)(1)n n a f f f f f n n n -⎛⎫⎛⎫⎛⎫=+++++ ⎪ ⎪ ⎪⎝⎭⎝⎭⎝⎭∴,121(1)(0)n n n a f f f f f n n n --⎛⎫⎛⎫⎛⎫∴=+++++ ⎪ ⎪ ⎪⎝⎭⎝⎭⎝⎭∴,由∴+∴可得21n a n =+,12n n a +∴=, 所以数列{}n a 是首项为1,公差为12的等差数列,其前10项和为10110165222+⎛⎫+ ⎪⎝⎭=.故选:A. 【点睛】本题考查了函数的性质,考查倒序相加法求和,意在考查学生的计算能力和综合应用能力,属于中档题. 6.已知函数()y f x =满足()(1)1f x f x +-=,若数列{}n a 满足12(0)n a f f f n n ⎛⎫⎛⎫=++++⎪ ⎪⎝⎭⎝⎭1(1)n f f n -⎛⎫+ ⎪⎝⎭,则数列{}n a 的前20项和为( )A .100B .105C .110D .115【答案】D 【分析】根据函数()y f x =满足()(1)1f x f x +-=,利用倒序相加法求出n a ,再求前20项和. 【详解】 解:函数()y f x =满足()(1)1f x f x +-=,()()12101n n a f f f f f n n n -⎛⎫⎛⎫⎛⎫=+++⋯⋯++ ⎪ ⎪ ⎪⎝⎭⎝⎭⎝⎭∴, ()()12110n n n a f f f f f n n n --⎛⎫⎛⎫⎛⎫∴=+++⋯⋯++ ⎪ ⎪ ⎪⎝⎭⎝⎭⎝⎭∴,由∴+∴可得21n a n =+,12n n a +∴=,所以数列 {}n a 是首项为1,公差为12的等差数列,其前20项和为20120121152+⎛⎫+ ⎪⎝⎭=. 故选:D . 【点睛】本题主要考查函数的性质及倒序相加法求和,属于基础题.7.已知函数()442x x f x =+,设2019n n a f ⎛⎫= ⎪⎝⎭(n *∈N ),则数列{}n a 的前2019项和2019S 的值为( ) A .30293B .30323C .60563D .60593【答案】A 【分析】首先可得()()11f x f x +-=,又2019n n a f ⎛⎫=⎪⎝⎭,则20192019120192019n n n f f a --⎛⎫⎛⎫-== ⎪ ⎪⎝⎭⎝⎭,即20191n n a a -+=,则可得20181009S =,再由()91201120119422019423a f f ⎛⎫==== ⎪+⎝⎭及201920182019S S a =+计算可得; 【详解】解:因为()442xx f x =+,所以()114214242x x xf x ---==++ 所以()()21414242xx x f x f x +=-+=++因为2019n n a f ⎛⎫=⎪⎝⎭ 所以2019n n a f ⎛⎫=⎪⎝⎭,20192019120192019n n n f f a --⎛⎫⎛⎫-== ⎪ ⎪⎝⎭⎝⎭所以20191n n a a -+=则数列{}n a 的前2018项和2018S 则1220182018a a S a =+++ 2018212018017S a a a =+++所以201820182S = 所以20181009S = 又()91201120119422019423a f f ⎛⎫==== ⎪+⎝⎭20192018201923029100933S S a ∴=+=+=故选:A 【点睛】本题考查数列的递推公式的应用,函数与数列,倒序相加法求和,属于中档题. 8.已知22()(),1f x x x=∈+R 若等比数列{}n a 满足120201,a a =则122020()()()f a f a f a +++=( )A .20192B .1010C .2019D .2020【答案】D 【详解】22()(),1f x x x=∈+R 22222122()11122211f x f x x x x x x⎛⎫∴+=+ ⎪+⎝⎭⎛⎫+ ⎪⎝⎭=+=++等比数列{}n a 满足120201,a a =120202019220201...1,a a a a a a ∴====()()()()()()120202019202012...2f a f a f a f a f a f a ∴+=+==+=即122020()()()f a f a f a +++=2020故选:D 【点睛】本题综合考查函数与数列相关性质,需要发现题中所给条件蕴含的倒数关系,寻找规律进而求出答案. 9.设函数()221xf x =+,利用课本(苏教版必修5)中推导等差数列前n 项和的方法,求得()()()()()54045f f f f f -+-+⋅⋅⋅++⋅⋅⋅++的值为( )A .9B .11C .92D .112【答案】B 【分析】先计算出()()f x f x +-的值,然后利用倒序相加法即可计算出所求代数式的值. 【详解】()221x f x =+,()()()22222212121221x x x x x x f x f x --⋅∴+-=+=+++++()2122222211221xx x x x +⋅=+==+++, 设()()()()()54045S f f f f f =-+-+⋅⋅⋅++⋅⋅⋅++, 则()()()()()54045S f f f f f =+++++-+-,两式相加得()()2115511222S f f ⎡⎤=⨯+-=⨯=⎣⎦,因此,11S =. 故选:B. 【点睛】本题考查函数值的和的求法,注意运用倒序相加法,求得()()2f x f x +-=是解题的关键,考查化简运算能力,属于中档题.10.设等差数列{}n a 的前n 项和是n S ,已知21832a a +=,则145S S -=( ) A .102S B .144C .288D .()1145a a +【答案】B【分析】根据等差数列求和公式表示出145S S -,根据21832a a +=结合等差数列性质求解. 【详解】由题:等差数列中:()()614218145671499 (14422)a a a a S S a a a ++-=+++===.故选:B 【点睛】此题考查等差数列求和公式和等差数列性质的综合应用,熟练掌握相关性质可以减少计算量. 11.已知F (x )=f (x +12)−2是R 上的奇函数,a n =f (0)+f (1n )+⋯+f (n−1n)+f (1),n ∈N ∗则数列{a n }的通项公式为 A .a n =n B .a n =2(n +1) C .a n =n +1 D .a n =n 2−2n +3【答案】B 【分析】由F (x )=f (x +12)−2在R 上为奇函数,知f (12−x )+f (12+x )=4,令t =12−x ,则12+x =1−t ,得到f (t )+f (1−t )=4.由此能够求出数列{a n }的通项公式. 【详解】由题已知F (x )=f (x +12)−2是R 上的奇函数 故F (−x )=−F (x ),代入得:f (12−x )+f (12+x )=4,(x ∈R ) ∴函数f (x )关于点(12,2)对称,令t =12−x ,则12+x =1−t ,得到f (t )+f (1−t )=4. ∴a n =f (0)+f (1n )+⋯+f (n−1n )+f (1),a n =f (1)+f (n−1n )+⋯+f (1n )+f (0)倒序相加可得2a n =4(n +1),即a n =2(n +1) , 故选B∴ 【点睛】本题考查函数的基本性质,借助函数性质处理数列问题问题,对数学思维的要求比较高,要求学生理解f (12−x )+f (12+x )=4,(x ∈R )∴属难题12.已知函数()sin 3f x x x π=+-,则12340332017201720172017f f f f ⎛⎫⎛⎫⎛⎫⎛⎫++++ ⎪ ⎪ ⎪ ⎪⎝⎭⎝⎭⎝⎭⎝⎭的值为( )A .4033B .-4033C .8066D .-8066【答案】D 【解析】试题分析:()()()2sin 32sin 234f x f x x x x x πππ+-=+-+-+--=-,所以原式()4033480662=-⋅=-. 考点:函数求值,倒序求和法.【思路点晴】本题主要考查函数求值与倒序相加法.注意到原式中第一个自变量加上最后一个自变量的值为2,依此类推,第二个自变量加上倒数第二个自变量的值也是2,故考虑()()2f x f x +-是不是定值.通过算,可以得到()()24f x f x +-=-,每两个数的和是4-,其中()()()114,12f f f +=-=-,所以原式等价于4033个2-即8066-.13.已知1()()12F x f x =+-为R 上的奇函数,121(0)()()()(1)n n a f f f f f n nn-=+++++*()n N ∈,则数列{}n a 的通项公式为 A .1n a n =- B .n a n =C .1n a n =+D .2n a n =【答案】C 【分析】观察到121(0)()()()(1)n n a f f f f f n nn-=+++++的自变量头尾加得1,根据()F x 为R 上的奇函数和1()()12F x f x =+-得到112,()22f x f x x R ⎛⎫⎛⎫-++=∈ ⎪ ⎪⎝⎭⎝⎭即可求解. 【详解】∴()F x 为R 上的奇函数, ∴()()F x F x -=-代入1()()12F x f x =+-得:112,()22f x f x x R ⎛⎫⎛⎫-++=∈⎪ ⎪⎝⎭⎝⎭当0x =时,112f ⎛⎫=⎪⎝⎭, 当n 为偶数时:()*121(0)(1)n n a f f f f f n N n n n -⎛⎫⎛⎫⎛⎫=+++⋯++∈ ⎪ ⎪ ⎪⎝⎭⎝⎭⎝⎭111111122[(0)(1)]222n n n f f ff f f f n n ⎡⎤⎛⎫⎛⎫-+⎢⎥ ⎪ ⎪⎡-⎤⎛⎫⎛⎫⎛⎫=++++⋯++⋯+++⎢⎥ ⎪ ⎪ ⎪ ⎪ ⎪⎢⎥⎝⎭⎝⎭⎝⎭⎣⎦⎢⎥ ⎪ ⎪⎢⎥⎝⎭⎝⎭⎣⎦2112nn =⨯+=+当n 为奇数时:()*121(0)(1)n n a f f f f f n N n n n -⎛⎫⎛⎫⎛⎫=+++⋯++∈ ⎪ ⎪ ⎪⎝⎭⎝⎭⎝⎭111122[(0)(1)]n n n f f f f f f n n n n ⎡-+⎤⎛⎫⎛⎫⎢⎥ ⎪ ⎪⎡-⎤⎛⎫⎛⎫=++++⋯++⎢⎥ ⎪ ⎪ ⎪ ⎪⎢⎥⎝⎭⎝⎭⎣⎦⎢⎥ ⎪ ⎪⎢⎥⎝⎭⎝⎭⎣⎦1212n n +=⨯=+ 综上所述,1n a n =+, 故选C. 【点睛】本题考查数列与函数的综合应用.关键在于发现规律,再建立与已知的联系. 二、填空题14.设数列{}n a 的通项公式为2cos ,n a n =︒该数列的前n 项和为n S ,则89S =_________.【答案】892【分析】利用诱导公式和同角三角函数基本关系式可知()22cos cos 901n n +-=,再利用倒序相加法求和.【详解】()22cos sin 90n n =- ,222289cos 1cos 2cos 3...cos 89S =++++, 222289cos 89cos 88cos 87...cos 1S =++++ ,22cos 89sin 1=,22cos 88sin 2=,22cos 87sin 3=,…22cos 1sin 89=,()()()222222892cos 1cos 89cos 2cos 88...cos 89cos 1S ∴=++++++, ()()()222222892cos 1sin 1cos 2sin 2...cos 89sin 89S ∴=++++++,18989=⨯=,89892S ∴=. 故答案为:892 【点睛】关键点点睛:本题考查求三角函数的和,解题关键是找到()22cos cos 901n n +-=,然后利用倒序相加法求和.15.已知函数()331xx f x =+,()x R ∈,正项等比数列{}n a 满足501a =,则()()()1299f lna f lna f lna ++⋯+等于______.【答案】992【解析】试题分析:因为3()31x x f x =+,所以33()()13131x xx x f x f x --+-=+=++.因为数列{}n a 是等比数列,所以21992984951501a a a a a a a =====,即1992984951ln ln ln ln ln ln 0a a a a a a +=+==+=.设9912399(ln )(ln )(ln )(ln )S f a f a f a f a =++++ ∴,又99999897(ln )(ln )(ln )=++S f a f a f a +…+1(ln )f a ∴,∴+∴,得99299=S ,所以99992=S .考点:1、等比数列的性质;2、对数的运算;3、数列求和.【知识点睛】如果一个数列{}n a ,与首末两项等距离的两项之和等于首末两项之和(都相等,为定值),可采用把正着写和与倒着写和的两个和式相加,就得到一个常数列的和,这一求和方法称为倒序相加法.如等差数列的前n 项和公式即是用此法推导的.16.设()'f x 是函数()y f x =的导数,()''f x 是()'f x 的导数,若方程()''0f x =有实数解0x ,则称点()()0,x f x 为函数()y f x =的“拐点”.已知:任何三次函数都有拐点,又有对称中心,且拐点就是对称中心.设()32182133f x x x x =-++,数列{}n a 的通项公式为27n a n =-,则()()()128f a f a f a ++⋅⋅⋅+=_______. 【答案】8 【分析】由题意对已知函数求两次导数可得图象关于点(2,1)对称,即()(4)2f x f x +-=,即可得到结论. 【详解】 解:3218()2133f x x x x =-++,28()43f x x x ∴'=-+,()24f x x ∴'=-,令()0f x ''=,解得:2x =, 而88(2)821133f =-+⨯+=, 故函数()f x 关于点(2,1)对称,()(4)2f x f x ∴+-=,27n a n =-, 15a ∴=-,89a =, 18()()2f a f a ∴+=,同理可得27()()2f a f a +=,36()()2f a f a +=,45()()2f a f a +=,128()()()248f a f a f a ∴++⋯+=⨯=,故答案为:8.【点睛】本题主要考查导数的基本运算,利用条件求出函数的对称中心是解决本题的关键.求和的过程中使用了倒序相加法. 17.已知()221x f x x +=-,等差数列{}n a 的前n 项和为n S ,且20181009S =,则()()()122018f a f a f a +++的值为___________.【答案】1009 【分析】先求出120181a a +=,并判断20181n n a a -+=,(n *∈N 且02018n <<),再由函数得到()()11f x f x +-=,最后求()()()122018f a f a f a +++的值即可.【详解】解:因为等差数列{}n a 的前n 项和为n S ,且20181009S =, 所以1201820182018()10092a a S +==,解得:120181a a +=,则20191n n a a -+=,(n *∈N 且02018n <<) 因为()221x f x x +=-,则()()2(1)211212(1)1x x f x f x x x +-++-=+=---, 所以()()()()20192(1)211212(1)1n n n n n n n n a a f a f a f a f a a a -+-++=+-=+=---设()()()122018T f a f a f a =+++,则()()()201821T f a f a f a =+++,由上述两式相加得:()()()()()()1201822017201812[][][]2018T f a f a f a f a f a f a =++++++=,则1009T = 故答案为:1009. 【点睛】本题考查等差数列的通项的性质、等差数列的前n 项和、倒序相加法,是中档题.18.设函数2()log f x =,数列{}n a 满足2020n n a f ⎛⎫= ⎪⎝⎭,则124039a a a ++⋅⋅⋅+=______.【答案】40392- 【分析】由题得40391403924038403912()()()S a a a a a a =++++++,设k *∈N ,考虑一般情况,40401k k a a -+=-,即得解. 【详解】由题得4039124039S a a a =++⋅⋅⋅+,4039403921S a a a =+⋅⋅⋅++, 两式相加得40391403924038403912()()()S a a a a a a =++++++,考虑一般情况,设k *∈N ,则4040224040404020202020log log 404020202020424220202020k kk kk k a a f f k k ---⎛⎫⎛⎫+=+=+ ⎪ ⎪-⎝⎭⎝⎭-⨯-⨯2240401=log log 12k ⎤-==-⎢⎣ 所以40394039403924039,.2S S =-∴=- 故答案为:40392- 【点睛】本题主要考查对数的运算和倒序相加求和,意在考查学生对这些知识的理解掌握水平. 19.若121()(1)2,(0)()()...()(1)n n f x f x a f f f f f n n n-+-==+++++(*n N ∈),则数列{}n a 的通项公式是___________. 【答案】1n a n =+ 【分析】根据自变量的和为1时,函数值的和为2,运用数列的求和方法,倒序相加法求和,计算数列的通项公式. 【详解】()()1210...1n n a f f f f f n n n -⎛⎫⎛⎫⎛⎫=+++++ ⎪ ⎪ ⎪⎝⎭⎝⎭⎝⎭,()()1211...0n n a f f f f f n n n -⎛⎫⎛⎫⎛⎫=+++++ ⎪ ⎪ ⎪⎝⎭⎝⎭⎝⎭,两式相加可得 ()()()()1111201...10n n n a f f ff f f f f n n n n ⎡-⎤⎡-⎤⎛⎫⎛⎫⎛⎫⎛⎫=++++++++⎡⎤⎡⎤ ⎪ ⎪ ⎪ ⎪⎢⎥⎢⎥⎣⎦⎣⎦⎝⎭⎝⎭⎝⎭⎝⎭⎣⎦⎣⎦, ()221n a n =+,所以1n a n =+ . 故答案为:1n a n =+ 【点睛】本题考查倒序相加法求和,重点考查推理能力和计算能力,属于基础题型. 20.()f x 对任意x ∈R 都有()()112f x f x +-=.数列{}n a 满足:()120n a f f f n n ⎛⎫⎛⎫=+++ ⎪ ⎪⎝⎭⎝⎭()11n f f n -⎛⎫++ ⎪⎝⎭,则n a =__________.【答案】14n + 【分析】采用倒序相加法即可求得结果. 【详解】由题意得:()()1012f f +=,1112n f f n n -⎛⎫⎛⎫+= ⎪ ⎪⎝⎭⎝⎭,2212n f f n n -⎛⎫⎛⎫+= ⎪ ⎪⎝⎭⎝⎭,……, ()()12101n n a f f f f f n n n -⎛⎫⎛⎫⎛⎫=+++⋅⋅⋅++ ⎪ ⎪ ⎪⎝⎭⎝⎭⎝⎭,()()12110n n n a f f f f f n n n --⎛⎫⎛⎫⎛⎫=+++⋅⋅⋅++ ⎪ ⎪ ⎪⎝⎭⎝⎭⎝⎭, 122n n a +∴=,解得:14n n a +=. 故答案为:14n +. 【点睛】本题考查利用倒序相加法求和的问题,属于基础题.21.函数2()2cos 2xf x π=,数列{}n a 满足()2020n na f =,其前n 项和为n S ,则2019S =_____. 【答案】2019 【分析】由二倍角公式可得2()2coscos 12xf x x ππ==+,则cos12020n na π=+,再求其前2019项的即可,或根据函数的解析式化简得到()+(1)2f x f x -=求解. 【详解】 (法一):2()2cos cos 12xf x x ππ==+,()2020n n a f = cos12020n na π∴=+ ()cos cos 0απα+-=1201922018coscos cos cos 02020202020202020ππππ∴+=+= 201912320191220182019cos1cos 1cos1cos 120202020202020202019S a a a a ππππ=++++=++++++++= (法二):2()2cos=cos 12xf x x ππ=+,()()(1)cos 11cos 1f x x x πππ-=-+=-+=cos cos sin sin 1cos 1x x x πππππ++=-+所以()+(1)2f x f x -=,20191232019++++S a a a a =所以20191232019()()()()2020202020202020S f f f f =++++, 20192019201820171()()()()2020202020202020S f f f f =++++,所以2019222019S =⨯,所以20192019S =. 故答案为:2019 【点睛】本题考查三角函数诱导公式及数列求和降幂公式:21cos 2cos 2αα+=,21cos 2sin 2αα-=, 22.推导等差数列求和公式的方法叫做倒序求和法,利用此法可求得22222sin 1sin 2sin 3sin 88sin 89︒+︒+︒+⋯+︒+︒=__________.【答案】892. 【分析】通过诱导公式可知sin1cos89,sin2cos88,...,sin89cos1︒=︒︒=︒︒=︒,结合22sin cos 1αα+=,可求出原式为892. 【详解】解:设22222sin 1sin 2sin 3sin 88sin 89S =︒+︒+︒+⋯+︒+︒,sin1cos89,sin2cos88,sin3cos87,...,sin88cos2,sin89cos1︒=︒︒=︒︒=︒︒=︒︒=︒,22222cos 1cos 2cos 3...cos 88cos 89S ∴=︒+︒+︒++︒+︒,则()()()2222222sin 1cos 1sin 2cos 2...sin 89cos 8989S =︒+︒+︒+︒++︒+︒=,即892S =, 故答案为:892【点睛】本题考查了诱导公式,考查了同角三角函数的基本关系.本题的关键是结合诱导公式对所求式子倒序求和. 23.设()f x =,利用课本中推导等差数列前n 项和的公式的方法,可求得12019f ⎛⎫ ⎪⎝⎭22019f ⎛⎫+ ⎪⎝⎭2017201820192019f f ⎛⎫⎛⎫++= ⎪ ⎪⎝⎭⎝⎭_________.【答案】2【分析】由题干可证出()(1)f x f x +-=1009对的组合,即1009个2,计算即可得解. 【详解】()f x =,∴(1)x xf x -===,因此()(1)x xf x f x +-==2x ⎛⎫===, 所以12019f ⎛⎫⎪⎝⎭22019f ⎛⎫+ ⎪⎝⎭2017201820192019f f ⎛⎫⎛⎫++ ⎪ ⎪⎝⎭⎝⎭ 12018201920192019202201197f f f f ⎛⎫⎛⎫⎛⎫⎛⎫++++⎪ ⎪ ⎪ ⎪⎝⎭⎝⎭=⎝⎭⎝⎭2=.故答案为:2. 【点睛】本题考查倒序相加法求数列的前n 项和,考查逻辑思维能力和运算能力,属于常考题. 24.已知数列{}n a 满足2120n n n a a a ++-+=,且42a π=,若函数()2sin 22cos2xf x x =+,记()n n y f a =,则数列{}n y 的前7项和为__________. 【答案】7 【分析】利用等差数列的性质可得17263542a a a a a a a π+=+=+==,再利用二倍角的余弦公式可得()2sin22cos sin2cos 12xf x x x x =+=++,利用倒序相加法即可求解. 【详解】数列{}n a 满足211n n n n a a a a +++-=-,*N n ∈,∴数列{}n a 是等差数列,42a π=,17263542a a a a a a a π∴+=+=+==,()2sin22cos sin2cos 12xf x x x x =+=++,()()171177sin 2cos 1sin 2cos 1f a f a a a a a ∴+=+++++ ()()7777sin 22cos 1sin 2cos 1a a a a ππ=-+-++++7777sin 2cos 1sin 2cos 12a a a a =--++++=同理()()()()()2635422f a f a f a f a f a +=+==,∴数列{}n y 的前7项和为7.故答案为:7. 【点睛】本题考查了等差数列的性质、二倍角的余弦公式、诱导公式以及倒序相加法,属于中档题.25.给出定义 :对于三次函数32()(0),f x ax bx cx d a =+++≠设'()f x 是函数()y f x =的导数,()f x ''是'()f x 的导数,若方程()0f x ''=有实数解0x ,则称点0,0((())x f x 为函数()y f x =的“拐点”,经过研究发现:任何一个三次函数都有“拐点”;任何一个三次函数都有对称中心,且“拐点”就是对称中心.已知函数3232115()32,()33212h x x x x g x x x x =-++=-+-.设1234037()()()......(),2019201920192019h h h h n ++++=1232018()()()......()2019201920192019g g g g m +++=.若2()(1),t x mx nxt '=+则(0)t '=__________.【答案】-4037 【分析】由题意对已知函数求两次导数,令二阶导数为零,即可求得函数的中心对称,即有()(1)2g x g x +-=,()(2)2h x h x +-=,借助倒序相加的方法,可得,m n 进而可求2()(1)t x mx nxt '=+的解析式,求导,当1x =代入导函数解得(1)t ',计算求解即可得出结果. 【详解】 函数32115()33212g x x x x =-+-函数的导数2()3,()21g x x x g x x '''=-+=-由()0g x ''=得0210x -=解得012x =,而112g ⎛⎫= ⎪⎝⎭故函数()g x 关于点1,12⎛⎫⎪⎝⎭对称, ()(1)2g x g x ∴+-=故1232018()()()...+()2019201920192019g g g g m +++=,201820171201920192019g g g m ⎛⎫⎛⎫⎛⎫+++= ⎪ ⎪ ⎪⎝⎭⎝⎭⎝⎭ 两式相加得220182m ⨯=,则2018m =.同理32()32h x x x x =-++,2()361h x x x '=-+,()66h x x ''=-,令()0h x ''=,则1x =,(1)1h =,故函数()h x 关于点()1,1对称,()(2)2h x h x ∴+-=,1234037()()()...(),2019201920192019h h h h n ++++=4037403640351()()()...(),2019201920192019h h h h n ++++=两式相加得240372n ⨯=,则4037n =. 所以2()20184037(1),t x x xt '=+()40364037(1),t x x t ''=+当1x =时, (1)40364037(1),t t ''=+解得:(1)=1t '-,所以()40364037,t x x '=-则(0)4037t =-'.故答案为: -4037.【点睛】本题考查对新定义的理解,考查二阶导数的求法,仔细审题是解题的关键,考查倒序法求和,难度较难.三、解答题26.已知数列{}n a 的前n 项和为n S .(∴)若{}n a 为等差数列,求证:()12n n n a a S +=; (∴)若()12n n n a a S +=,求证:{}n a 为等差数列. 【答案】(∴)证明见解析;(∴)证明见解析.【分析】(1)根据{}n a 为等差数列,利用倒序相加法证明()12n n n a a S +=即可; (2)由前n 项和公式有1n n n a S S -=-、11n n n a S S ++=-,相加后整理可得11n n n n a a a a +--=-,{}n a 为等差数列得证.【详解】(∴)证明:已知数列{}n a 为等差数列,设其公差为d ,则有1123(1),n n n a a n d S a a a a =+-=++++, 于是()()[]11112(1)n S a a d a d a n d =+++++++-,∴ 又()()[]2(1)n n n n n S a a d a d a n d =+-+-++--,∴ ∴+∴得:()12n n S n a a =+,即()12n n n a a S +=. (∴)证明:∴()12n n n a a S +=,当2n ≥时,()111(1)2n n n a a S ---+=, ∴()()1111(1)22n n n n n n a a n a a a S S --+-+=-=-,∴ ()()11111(1)22n n n n n n a a n a a a S S ++++++=-=-,∴ ∴-∴并整理,得112n n n a a a -+=+,即11(2)n n n n a a a a n +--=-≥,∴数列{}n a 是等差数列.【点睛】本题考查了已知等差数列的通项公式,应用倒序相加法求证前n 项和公式,由前n 项和公式,结合等差数列的定义证明等差数列,属于基础题.27.已知函数()21x f x x =+,设数列{}n a 满足1()n n a f a +=,且112a =. (1)求数列{}n a 的通项公式;(2)若记((21))(1i n b f i a i =--⨯=,2,3,⋯,)n ,求数列{}i b 的前n 项和n T .【答案】(1)12n a n =;(2)2n n T =. 【分析】(1)由1()n n a f a +=得到121n n n a a a +=+,然后变形为1112n n a a +-=,利用等差数列的定义求解. (2)由(1)得到121221i i b n i -+=⨯-+,由112112*********i n i i n i b b n i n i -+-+-++=⨯+⨯=-+-+,利用倒序相加法求解.【详解】(1)因为()21x f x x =+,所以由1()n n a f a +=得121n n na a a +=+, 所以121112n n n na a a a ++==+,∴1112n n a a +-=, 所以1{}n a 是首项为2,公差为2的等差数列, 所以12(1)22n n n a =+-⨯=,所以12n a n=. (2)由(1)知21()(1,2,3,,)2i i b f i n n-=-=⋯, 则21(21)1212212[(21)]22212()12i i i i n b i i n n i -----+===⨯-⨯--+-+⨯-+, {}12(1)1[2(1)1]22(1)12[2(1)1]22[]12n i n i n i n b n i n i n n -+-+----+-==-+-⨯--+-+⨯-+, 12(1)112212[2(1)1]221n i n i n i n n i -+--+=⨯=⨯-+---+, 所以112112211(1,2,3,,)221221i n i i n i b b i n n i n i -+-+-++=⨯+⨯==⋯-+-+, 123n n T b b b b =+++⋯+,121n n n n T b b b b --=+++⋯+,两式相加,得:121321112()()()()()nn n n n n i n i i T b b b b b b b b b b n ---+==++++++⋯++=+=∑, 所以2n n T =. 【点睛】 本题主要考查数列的递推关系,等差数列的定义及通项公式以及倒序相加求和,话考查了运算求解的能力,属于中等题.28.已知f (x )=142x + (x ∴R ),P 1(x 1,y 1),P 2(x 2,y 2)是函数y =f (x )的图像上的两点,且线段P 1P 2的中点P的横坐标是12. (1)求证:点P 的纵坐标是定值;(2)若数列{a n }的通项公式是a n =()*m N ,n 1,2,3,,m n f m ⎛⎫∈=⋯⎪⎝⎭,求数列{a n }的前m 项和S m . 【答案】(1)证明见解析;(2)S m =3112m - 【分析】(1)先根据中点坐标公式得x 1+x 2=1,再代入化简求得y 1+y 2=12,即证得结果; (2)先求()1f ,再利用倒序相加法求121S=m f f f m m m -⎛⎫⎛⎫⎛⎫+++ ⎪ ⎪ ⎪⎝⎭⎝⎭⎝⎭,两者相加得结果. 【详解】(1)证明:∴P 1P 2的中点P 的横坐标为12, ∴122x x +=12,∴x 1+x 2=1. ∴P 1(x 1,y 1),P 2(x 2,y 2)是函数y =f (x )的图像上的两点,∴y 1=1142+x ,y 2=2142+x , ∴y 1+y 2=1142+x +2142+x =121242424242()()+++++x x x x =12121244442444()++++++x x x x x x =121244442444()+++++x x x x =12124442444()++++x x x x =12, ∴点P 的纵坐标为122y y +=14. ∴点P 的纵坐标是定值.(2)S m =a 1+a 2+a 3+…+a m=()12121=1m m f f f f f f f m m m m m m -⎛⎫⎛⎫⎛⎫⎛⎫⎛⎫⎛⎫+++++++ ⎪ ⎪ ⎪ ⎪ ⎪ ⎪⎝⎭⎝⎭⎝⎭⎝⎭⎝⎭⎝⎭令121S=m f f f m m m -⎛⎫⎛⎫⎛⎫+++ ⎪ ⎪ ⎪⎝⎭⎝⎭⎝⎭ 由(1)知k f m ⎛⎫ ⎪⎝⎭+m k f m -⎛⎫ ⎪⎝⎭=12.(k =1,2,3,…,m -1) ∴倒序相加得∴2S =12 (m -1),∴S =14 (m -1). 又f (1)=142+=16, ∴S m =S +f (1)=14 (m -1)+16=3112m -. 【点睛】本题考查利用指数性质运算、利用倒序相加法求和,考查基本求解能力,属基础题.29.已知f (x )=142x + (x ∴R ),P 1(x 1,y 1),P 2(x 2,y 2)是函数y =f (x )的图像上的两点,且线段P 1P 2的中点P 的横坐标是12. (1)求证:点P 的纵坐标是定值;(2)若数列{a n }的通项公式是a n =()*N ,1,2,3,,n f m n m m ⎛⎫∈=⋯⎪⎝⎭,求数列{a n }的前m 项和S m . 【答案】(1)见证明过程(2)S m =3112m - 【分析】 (1)根据P 1P 2的中点P 的横坐标是12可得x 1+x 2=1,计算y 1+y 2=12121244442444()++++++x x x x x x ,代入x 1+x 2=1可得y 1+y 2=12,即可得证; (2)利用倒序相加法求数列的和即可.【详解】(1)证明:∴P 1P 2的中点P 的横坐标为12, ∴122x x +=12,∴x 1+x 2=1. ∴P 1(x 1,y 1),P 2(x 2,y 2)是函数y =f (x )的图像上的两点,∴y 1=1142+x ,y 2=2142+x∴y 1+y 2=1142+x +2142+x =121242424242()()+++++x x x x =12121244442444()++++++x x x x x x =121244442444()+++++x x x x =12124442444()++++x x x x =12, ∴点P 的纵坐标为122y y +=14. ∴点P 的纵坐标是定值.(2)S m =a 1+a 2+a 3+…+a m=f 1m ⎛⎫ ⎪⎝⎭+f 2m ⎛⎫ ⎪⎝⎭+f 3m ⎛⎫ ⎪⎝⎭+…+f m m ⎛⎫ ⎪⎝⎭=f 1m ⎛⎫⎪⎝⎭+f 2m ⎛⎫ ⎪⎝⎭+f 3m ⎛⎫ ⎪⎝⎭+…+f 1m m -⎛⎫ ⎪⎝⎭+f (1). 令S =f 1m ⎛⎫ ⎪⎝⎭+f 2m ⎛⎫ ⎪⎝⎭+f 3m ⎛⎫ ⎪⎝⎭+…+f 1m m -⎛⎫ ⎪⎝⎭,∴ 倒序得S =f 1m m -⎛⎫⎪⎝⎭+f 2m m -⎛⎫ ⎪⎝⎭+f 3m m -⎛⎫ ⎪⎝⎭+…+f 1m ⎛⎫ ⎪⎝⎭,∴ ∴+∴,得2S =11m f f m m -⎛⎫⎛⎫+⎪ ⎪⎝⎭⎝⎭+[f 2m ⎛⎫ ⎪⎝⎭+ f 2m m -⎛⎫ ⎪⎝⎭]+[f 3m ⎛⎫ ⎪⎝⎭+ f 3m m -⎛⎫ ⎪⎝⎭]+…+[f 1m m -⎛⎫ ⎪⎝⎭+f 1m ⎛⎫ ⎪⎝⎭]. ∴k m +m k m-=1(k =1,2,3,…,m -1), ∴由(1)知f k m ⎛⎫⎪⎝⎭+f m k m -⎛⎫ ⎪⎝⎭=12. ∴2S =12 (m -1),∴S =14(m -1). 又f (1)=142+=16, ∴S m =S +f (1)=14(m -1)+16=3112m -【点睛】本题主要考查了定值问题,数列倒序相加求和,考查了推理分析问题能力,运算能力,属于中档题.30.已知数列{}n a 的前n 项和224()n n S n N ++=-∈,函数()f x 对一切实数x 总有()(1)1f x f x +-=,数列{}n b 满足121(0)()()()(1).n n b f f f f f n n n -=+++++分别求数列{}n a 、{}n b 的通项公式. 【答案】()1*2n n a n N +=∈;12n n b += 【分析】 利用,n n a S 的关系即可容易得到n a ;根据函数性质,利用倒序相加法即可求得n b .【详解】当12111,244n a S +===-=当()()21112,24242n n n n n n n a S S +++-≥=-=---= 1n =时满足上式,故()1*2n n a n N +=∈ ;∴()()1f x f x +-=1∴111n f f n n -⎛⎫⎛⎫+= ⎪ ⎪⎝⎭⎝⎭∴()120n b f f f n n ⎛⎫⎛⎫=+++ ⎪ ⎪⎝⎭⎝⎭ ()11n f f n -⎛⎫++ ⎪⎝⎭∴ ∴()121n n n b f f f n n --⎛⎫⎛⎫=+++ ⎪ ⎪⎝⎭⎝⎭()()10f f ++ ∴ ∴∴+∴,得1212n n n b n b +=+∴=【点睛】 本题考查利用,n n a S 的关系求数列的通项公式,涉及倒序相加法求数列的前n 项和,属综合基础题.。
第1期与三角函数有关的数列求和..问题 把三角函数融入到数列当中,使得数列变得复杂和陌生,但由于三角函数的周期性,也使得数列的项随之有了规律,因此在解决此类问题时,要充分利用三角函数周期性的特点,只有这样才能将所遇困难有效化解.1.(2012·福建文,11,5分)数列{}n a 的通项公式cos2n n a n π=,其前n 项和为n S ,则2012S 等于( ) A.1006 B.2012 C.503 D.0 分析:易知cos2n π的最小正周期是4,考察43(43)(43)cos 02n n a n π--=-=,42(42)(42)cos (42)2n n a n n π--=-=--, 41(41)(41)cos 02n n a n π--=-=,444cos 42n n a n n π==,我们可以发现:43424142n n n n a a a a ---+++=(N n *∈),所以,20122012210064S =⨯=.本题中2012正好是4的倍数,若求2013S ,2014S 呢?2.(2012·上海文,18,5分)若2sin sin sin (N )777n n S n πππ*=+++∈L ,则在1S ,2S ,…,100S 中,正数的个数是( )A.16 B.72 C.86 D.100分析:易知sin 7n π的最小正周期是14,且有7sin 07π=,8sin sin 77ππ=-,…,136sin sin 77ππ=-,14sin07π=,因此,0(12)n S n >≤,13140S S ==;结合周期性可知,1S ,2S ,…,100S 中为零的个数是7214⨯=,所以正数的个数是86.3.(2009·江西理,8,,4分)数列{}n a 的通项公式222(cos sin )33n n n a n ππ=-,其前n 项和为n S ,则30S 为( )A.470 B.490 C.495 D.510分析:22222(cos sin )cos 333n n n n a n n πππ=-=,易知最小正周期是3,考察222322(32)41(32)cos (32)cos(2)(32)332n n a n n n n πππ--=-=--=--, 222312(31)21(31)cos (31)cos(2)(31)332n n a n n n n πππ--=-=--=--, 222322(3)(3)cos (3)cos(2)(3)3n n a n n n n ππ-===,得3231359(N )2n n n a a a n n *--++=-∈,则每三项的和构成了一个等差数列,记为{}n b ,则 59(N )2n b n n *=-∈所以110305510(9910)10()109422470222b b S -+⨯-+⨯====.本题中的30恰好是3的倍数,若求3132,S S 呢?求3n S 呢?n S 呢?(参见2009·江西文,21)(2013年11月19日星期二)(2009·江西文,21,12分)数列{}n a 的通项公式222(cos sin )33n n n a n ππ=-,其前n 项和为n S . (Ⅰ)求n S ;(Ⅱ)令34nn n S b n =⋅,求数列{}n b 的前n 项和n T . 第2期数列求和中的裂项相消法裂项相消法就是把数列的通项公式分裂成两项的形式,使得求和过程中前后的项与项之间能够互相抵消,只剩有限项,进而求出该数列的前n 项和。
数列求和公式范文
1.等差数列的求和公式:
等差数列是指数列中相邻两项之差恒定的数列,常用的公式如下:
(1)等差数列的和公式:
设有n项等差数列的首项为a1,公差为d,末项为an,则等差数列的和Sn可表示为Sn=(a1+an)*n/2
(2)等差数列的通项公式:
设等差数列的首项为a1,公差为d,则等差数列的第n项an可表示为an=a1+(n-1)d。
2.等比数列的求和公式:
等比数列是指数列中相邻两项之比恒定的数列,常用的公式如下:
(1)等比数列的和公式(有限项):
设有n项等比数列的首项为a1,公比为q,则等比数列的和Sn可表示为Sn=a1*(1-q^n)/(1-q)。
(2)等比数列的和公式(无限项):
设有无限项等比数列的首项为a1,公比为q(,q,<1),则等比数列的和Sn可表示为Sn=a1/(1-q)。
(3)等比数列的通项公式:
设等比数列的首项为a1,公比为q,则等比数列的第n项an可表示为an=a1*q^(n-1)。
3.其他常见数列求和公式:
(1)递推数列的求和公式:
若数列的每一项与前一项之间满足其中一种递推关系,则可以使用递推数列的求和公式来求解。
(2)组合数列的求和公式:
组合数列包括等差组合数列和等比组合数列,如斐波那契数列和杨辉三角等,可以使用特殊的公式求和。
(3)正弦、余弦等三角函数数列的求和公式:
正弦、余弦等三角函数数列的和可以使用三角函数的和差化积公式来求解。
需要注意的是,数列求和公式通常是在已知数列的性质和规律的基础上推导得出的,因此在应用时需要根据具体的数列特点选择合适的公式。
三角公式总表⒈L 弧长=αR=nπR 180 S 扇=21L R=21R 2α=3602R n ⋅π⒉正弦定理:A asin =B b sin =Cc sin = 2R (R 为三角形外接圆半径)⒊余弦定理:a2=b2+c2-2bc Acos b2=a2+c2-2acB cosc 2=a 2+b2-2ab C cos bca cb A 2cos 222-+=⒋S ⊿=21a a h ⋅=21ab C sin =21bc A sin =21ac B sin =Rabc 4=2R 2A sin B sin C sin=A C B a sin 2sin sin 2=B C A b sin 2sin sin 2=CB A c sin 2sin sin 2=pr =))()((c p b p a p p ---(其中)(21c b a p ++=, r 为三角形内切圆半径)⒌同角关系:⑴商的关系:①θtg =xy =θθcos sin =θθsec sin ⋅ ②θθθθθcsc cos sin cos ⋅===y x ctg ③θθθtg ry⋅==cos sin ④θθθθcsc cos 1sec ⋅===tg x r ⑤θθθctg r x ⋅==sin cos ⑥θθθθsec sin 1csc ⋅===ctg y r ⑵倒数关系:1sec cos csc sin =⋅=⋅=⋅θθθθθθctg tg ⑶平方关系:1csc sec cos sin 222222=-=-=+θθθθθθctg tg ⑷)sin(cos sin 22ϕθθθ++=+b a b a(其中辅助角与ϕ点(a,b )在同一象限,且ab tg =ϕ)⒍函数y=++⋅)sin(ϕωx A k 的图象及性质:(0,0>>A ω) 振幅A ,周期T =ωπ2, 频率f =T1, 相位ϕω+⋅x ,初相ϕ⒎五点作图法:令ϕω+x 依次为ππππ2,23,,20 求出x 与y , 依点()y x ,作图 ⒏诱导公试 三角函数值等于的同名三角α函数值,前面加上一个把看作锐角时α,原三角函数值的符号;即:函数名不变,符号看象限三角函数值等于的异名三角α函数值,前面加上一个把看作锐角时α,原三角函数值的符号;即:函数名改变,符号看象限⒐和差角公式①βαβαβαsin cos cos sin )sin(±=± ②βαβαβαsin sin cos cos )cos( =± ③βαβαβαtg tg tg tg tg ⋅±=± 1)( ④)1)((βαβαβαtg tg tg tg tg ⋅±=±⑤γβγαβαγβαγβαγβαtg tg tg tg tg tg tg tg tg tg tg tg tg ⋅-⋅-⋅-⋅⋅-++=++1)( 其中当A+B+C=π时,有:i).tgC tgB tgA tgC tgB tgA ⋅⋅=++ ii).1222222=++Ctg B tg C tg A tg B tgA tg⒑二倍角公式:(含万能公式) ①θθθθθ212cos sin 22sin tg tg +==②θθθθθθθ22222211sin 211cos 2sin cos 2cos tg tg +-=-=-=-=③θθθ2122tg tg tg -= ④22cos 11sin 222θθθθ-=+=tg tg ⑤22cos 1cos 2θθ+=⒒三倍角公式:①)60sin()60sin(sin 4sin 4sin 33sin 3θθθθθθ+︒-︒=-= ②)60cos()60cos(cos 4cos 4cos 33cos 3θθθθθθ+︒-︒=+-=③)60()60(313323θθθθθθθ+⋅-⋅=--=tg tg tg tg tg tg tg ⒓半角公式:(符号的选择由2θ所在的象限确定) ①2cos 12sin θθ-±= ②2cos 12sin 2θθ-= ③2cos 12cos θθ+±=④2cos 12cos 2θθ+=⑤2sin 2cos 12θθ=- ⑥2cos 2cos 12θθ=+⑦2sin 2cos )2sin 2(cos sin 12θθθθθ±=±=±⑧θθθθθθθsin cos 1cos 1sin cos 1cos 12-=+=+-±=tg⒔积化和差公式:[])sin()sin(21cos sin βαβαβα-++=[])sin()sin(21sin cos βαβαβα--+=[])cos()cos(21cos cos βαβαβα-++=()[]βαβαβα--+-=cos )cos(21sin sin ⒕和差化积公式:①2cos2sin2sin sin βαβαβα-+=+ ②2sin2cos2sin sin βαβαβα-+=- ③2cos2cos 2cos cos βαβαβα-+=+ ④2sin2sin2cos cos βαβαβα-+-=-⒖反三角函数: ⒗最简单的三角方程等差数列求和公式的四个层次等差数列前n 项和公式d n n na n a a S n n 2)1(2)(11-+=+=,是数列部分最重要公式之一,学习公式并灵活运用公式可分如下四个层次:1.直接套用公式 从公式d n n na n a a n a a S m n m n n 2)1(2)(2)(111-+=+=+=+-中,我们可以看到公式中出现了五个量,包括这些量中,,,,,1n n S n a d a 已知三个就可以求另外两个了.从基本量的观点认识公式、理解公式、掌握公式这是最低层次要求.例 1 设等差数列的{}n a 公差为d,如果它的前n 项和2n S n -=,那么( ).(1992年三南高考试题)(A)2,12-=-=d n a n (B)2,12=-=d n a n (C)2,12-=+=-d n a n (D)2,12=+-=d n a n 解法1 由于2n S n -=且1--=n n n S S a 知,,12)1(22+-=-+-=n n n a n],1)1(2[121+---+-=-=-n n a a d n n ,2-=d 选(C).解法2 ,2)1(21n d n n na S n -=-+= 对照系数易知,2-=d 此时由知故选21)1(n n n na -=--,11-=a ,12+-=n a n (C). 例 2 设是等差数列n S {}n a 的前n 项和,已知与的等比331S 441S 中项为551S ,331S 与的等差中项441S 为1,求等差数列的{}n a 通项n a .(1997年全国高考文科)解 设的通项为前{}n a ,)1(1d n a a n -+=n 项和为.2)1(1d n n na S n -+= 由题意知⎪⎩⎪⎨⎧=+=⋅24131)51(4131432543S S S S S , 即⎪⎩⎪⎨⎧=⨯++⨯+⨯+=⨯+⨯⨯+2)2344(41)2233(31)2455(251)2344(41)2233(31112111d a d a d a d a d a化简可得解得,2252053121⎪⎩⎪⎨⎧=+=+d a d d a ⎩⎨⎧==101a d 或⎪⎩⎪⎨⎧=-=45121a d 由此可知1=n a 或.512532)512)(1(4n n a n -=--+= 经检验均适合题意,故所求等差数列的通项为或1=n a .512532n a n -= 2.逆向活用公式在公式的学习中,不仅要从正向认识公式,而且要善于从反向分析弄清公式的本来面目.重视逆向地认识公式,逆向运用公式,无疑将大大地提高公式的解题功效,体现了思维的灵活性.例3 设,N n ∈求证:.2)3()1(32212)1(+<+++⋅+⋅<+n n n n n n (1985年全国高考文科)证明 ,3212)1(n n n ++++=+又,211⋅<,322⋅<,)1(,+<n n n.)1(32212)1(+++⋅+⋅<+∴n n n n 又),1(4322)3(+++++=+n n n且,221<⋅,332<⋅,443<⋅,1)1(,+<+n n n.2)3()1(3221+<+++⋅+⋅∴n n n n 例4 数列对于任意{}n a 自然数n 均满足2)(1na a S n n +=,求证: {}n a 是等差数列. (1994年全国高考文科)证明 欲证n n a a -+1为常数, 由2)(1n a a S n n +=及2)1)((111++=++n a a S n n 可得 11)1(+-+=n n a n a na 推出,)1(211+++=+n n na a a n作差可得因此,221+++=n n n na na na .112n n n n a a a a -=-+++由递推性可知: d d a a a a a a n n n n (12112=-==-=-+++ 为常数),所以命题得证.这是九四年文科全国高考试题,高考中得分率极低,我们不得不承认此为公式教学与学习中的一个失误,倘若能重视逆向地认识公式,理解公式,应用公式,还“和”为“项”,结局还能如此惨重吗?3.横向联系,巧用公式在公式的学习过程中,还要从运动、变化的观点来认识公式,从函数及数列结合的角度分析透彻理解公式,公式表明是关d n n na S n 2)1(1-+=于n 的二次函数,且常数项为0,同时也可以看出点列均在同),(n S n 一条抛物线上,且此抛物线过原点,体现了思维的广阔性,请再看例2.解 设bn an S n +=2,则可得⎪⎩⎪⎨⎧=++++⨯=⨯+⨯⨯⨯+⨯2)416(41)39(31)]55(51[)44(41)33(312222b a b a b a b a b a解得⎩⎨⎧==10b a 或⎪⎩⎪⎨⎧=-=52656b a ,所以n S n=或,526562n n S n +-= 从而1=n a 或.512532n a n -=例5 设等差数列的{}n a 前项和为nS ,已知指出中哪,0,0,1213123<>=S S a 12321,,,,S S S S 一个值最大,并说明理由. (1992年全国高考试题)解由于表明点列d n n na S n 2)1(1-+=),(n S n 都在过原点的抛物线上,再由,0,01312<>S S易知此等差数列公差d<0,且图象如图所,01>a 示,易知其对称轴为)5.6,6(,00∈=x x x , 于是0,076<>a a ,故6S 最大.4.恰当变形妙用公式对公式进行适当变形,然后再运用公式是公式应用的较高层次,从而丰富了公式本身的内涵,往往给解题带来捷径,体现了思维的深刻性.对于公式2)(1na a S n n +=,变形可得 2))((2)(2)(111m n a a m a a n a a S n m m m n m n -+++=+=++-,对于公式d n n na S n 2)1(1-+=,变形可得,211d n a n S n -+= 它表明对于任意N n ∈,点列都在同一),(n S n n 直线)2(2:1da x d y l -+=上. 例6 等差数列的前{}n a m 项和为30,前2m 项和为100,则它的前3m 项和Oy为( )(A)130 (B)170 (C)210 (D)260(1996年全国高考试题)解法1 23)(313ma a S m m += 又由于100230212=⋅++=+m a a S mm m,140)(21=+∴+m m a a m ,=+∴)(31m a a m 140)(21=++m m a a m ,从而,210231403=⨯=m S 选(C). 解法2 由于点在同一),(m S m m )2,2(2m S m m )3,3(3m S m m 直线)2(21da x d y -+=上,因此mm m S m S m m m S m S mm m m --=--222323223,化简可得:210)(323=-=mm m S S S ,选(C).在上文我们曾给出97年高考试题两个解法, 这里我们再给出两个解法. 解法3 由于点列均在),(n S n n 同一直线上,说明数列成等⎭⎬⎫⎩⎨⎧n S n 差数列,从而可得⎪⎪⎪⎩⎪⎪⎪⎨⎧=+=⋅⋅=+ 243)5(434253432543453S S S S S S S S ,解得⎪⎩⎪⎨⎧=== 5S 43543S S 或⎪⎪⎪⎩⎪⎪⎪⎨⎧-===458524543S S S 从而可求得或⎩⎨⎧==1154a a ⎪⎩⎪⎨⎧-=-=52851654a a , 故等差数列通{}n a 项为1=n a 或.512532n a n -=解法4 由于点列均在),(nS n n同一直线上如图所示, 由知A 点坐标2413143=+S S 为(3.5,1). 若直线l 与x 轴无交点,即平行于x 轴,则d=0,,,1N n n S n ∈=,显然也满足条件2543)51(4131S S S =⋅,从而.,1,N n a n S n n ∈== 若直线l 与x 轴相交,设其交点为B (x,0),),3,3(31S P ),4,4(42SP ),5,5(53S P 由2543)51(4131S S S =⋅及2413143=+S S 知,033>S ,044>S 且.055<S 若不然,033>S ,044>S .055>S ,由单调性知不可能有2543)51(4131S S S =⋅,因此点B 应落在(4,0),(5,0)之间.由2543)51(4131S S S =⋅可得,45534553S S S S =即有,4553x x x x --=--解得313=x . 由A 、B 两点坐标可求所在直线方),(n S n n 程为,52656)313(56+-=--=n n n S n,526562n n S n +-=∴.512532n a n -=综上所述所求等差数列通项公式为1=n a 或.512532n a n -=从以上可以看出,对公式的学习不应仅仅停留在公式的表面.对公式深刻而丰富的内涵忽视或视而不见,而应充分挖掘出这些隐藏在内部的思想方法为我所用,提高公式的解题功效,才能达到灵活运用公式的较高境界.含参变量的对数高考高考试题解法综述含参变量的对数问题常常在高考试题中出现,本文对这一类问题的解法作以总结,以揭示这类问题的一般解题规律.1.直接转换直接转换:即把已知条件等价变形,而使问题获解,这里一定要注意等价变形.例1 已知1,0≠>a a ,试求使方程有)(log )(log 222a x ak x a a -=-解的k 的取值范围.(1989年全国高考试题)解:原方程等价于⎪⎩⎪⎨⎧>->--=-③a x ②ak x a x ak x 00① )(22222 由①可得a kk x 212+= ④显然④满足不等式③,将④代入②可得或即为所1-<k 10<<k 求. 例2 解不等式1)11(log >-xa .(1996年全国高考试题) 解(Ⅰ)当时原不等式1>a 等价不等式组⎪⎩⎪⎨⎧>->-axx 11011,11x a >-⇒从而.011<<-x a (Ⅱ)当时原不等式10<<a 等价于不等式组⎪⎩⎪⎨⎧-<<<-<>>-a x ②a xx x x 110 ② 1101① ①011得由或知由 .111ax -<<∴综上所述,当时原不等式1>a 解集为{}011|<<-x a x , 当时原不等式10<<a 解集为{}111|ax x -<< 2.消参策略根据题目特征,消去参数可大大减少不必要的讨论.例3 设10<<x 且1,0≠>a a ,试比较与的大)1(log x a -)1(log x a +小. (1982年全国高考试题)解:xx x x x -<+<∴<-<-<∴<<1110,11,110,102 于是1)1(log 11log )1(log )1(log )1(log )1(log )1()1()1()1(=+>-=--=-=+-++++x xx x x x x x x x a a 因此)1(log x a ->)1(log x a + 3.引参策略恰当地设立参数,使问题得到简化,计算量减少,这是解题中常用技巧.例4 设对所有实数x ,不等式恒成立04)1(log 12log 2)1(4log 222222>+++++a a a a x a a x ,求a 的取值范围. (1987年全国高考试题)解:令aa t a21log +=,则原不等式可转化为022)3(2>+-+t tx x t . 要使原不等式恒成立,必须有φ⎪⎩⎪⎨⎧∈⇒>==+t t t t 020203或⎩⎨⎧>⇒<+-=∆>+00)3(84 032t t t t t 即,021log 2>+aa 解之.10<<a 适当地引入参数,另辟蹊径解题十分巧妙,请再看例1. 解:原方程等价于)(22a x a x ak x >-=-.,,022a x aa x x k a >--=∴≠设)2,0()0,2(,csc ππθθ -∈=a x ,则θθctg k -=sin 1当)0,2(πθ-∈时2sin cos 1θθθctg k =+=又.1),0,4(2-<∴-∈k πθ当)2,0(πθ∈时2sin cos 1θθθtg k =-=又.10),4,0(2<<∴∈k πθ 综上所述可知k 的范围为或1-<k .10<<k 4.分类讨论分类讨论是解决含参变量问题的重要手段之一,值得注意的是在分类讨论中要准确地确定分类标准逐级分类讨论.例5 已知自然数n ,实数a>1,解关于x 的不等式).(log 3)2(1log )2(log 12log )4(log 2132a x x n x x x a na n a a a n --->-+++-+- (1991年全国高考试题)解:原不等式等价于).(log 3)2(1log 3)2(12a x x a na n --->-- (1)n 为奇数时即)(log log 2a x x a a ->2141++<<a x a (2)n 为偶数时即)(log log 2a x x a a -<2141++>a x 例6 设0,1,0>≠>t a a ,比较与的大小t a log 2121log +t a ,并证明你的结论. (1988年全国高考试题)解:当t>0时,由均值不等式有t t ≥+21,当且仅当t=1时取“=”号,所以①t=1时t a log 21=21log +t a②1≠t 时 若,10<<a 则t a log 21>21log +t a若1>a 则t a log 21<21log +t a分类讨论应注意: ①对于多个参变量应分清主参变量与次参变量, ②按先主后次顺序分层次讨论,③必须确定讨论的全集及分类标准,各类必须互不相容,否则产生重复讨论各类子集的并集必须是全集,否则产生遗漏现象. 5.数形结合数和形是整个数学发展过程中的两大柱石,数形结合是数学中十分重要的思想方法,某些问题,不妨可借助于几何图形来考虑,因为几何图形直观、形象,易于求解,请再看例1. 解:原方程等价于)(log )(log 22a x ak x aa -=-,转化为考虑曲线)0(>-=y ak x y 与曲线)0(22>-=y a x y ,要使原方程有解,只须上半直线和上半双曲线有交点,由ak x y -=平行于双曲线一条渐近线x y =,如图,a ka <<0 或从而解得或a ak -<1)<<k 1-<k 时原方程有解. 对例5也可有如下解法.原不等式等价于).(log 3)2(1log 3)2(12a x x a na n --->--, 在同一坐标系中作y=x(y>0),)0(2>-=y a x y 的图象.由图象知a x >,由求得交点P x x =2横坐标为2141++=a x ,2141+-=a x (舍)当n 为奇数时,由03)2(1>--n知)(log log 2a x x a a ->因a>1由图象知2141++<<a x a . 当n 为偶数时,由03)2(1<--n知)(log log 2a x x a a -<因a>1,由图象知2141++>a x . 仿上方法同理可求解例2,这里从略.步骤:①把原不等式(方程)等价变形为)),()()(()(x g x f x g x f =>②作出)(x f y =与)(x g y =图象,③由)()(x g x f =求交点,④由图象及函数性质确定范围,从而求解.6.分离参数(主次转化)更换问题中的参变量和变量位置,常常得到新颖简洁的解法,请再看例4.解:将原不等式变形为,021l og )22(3222>++-+aa x x x ,01)1(2222>+-=+-x x x 1)1(321log 222+-->+∴x x a a , 又对于任意R x ∈,01)1(322≤+--x x ,因此必须且只须,021log 2>+a a 即,121>+aa 解之0<a<1. ∴所求a 的取值范围为0<a<1. 例7 设其中a 是实,)1(321lg)(n an n x f x x x x +-++++= 数,2,≥∈n N n ,如果当)1,(-∞∈x 时,)(x f 有意义,求a 的取值范围. (1990年全国高考试题)解:由题设知时不)1,(-∞∈x 等式0)1(321>+-++++a n n x x x x 恒成立,即])1()3()2()1[(xx x x nn nn n a -++++-> 恒成立. 令])1()3()2()1[()(xx x x nn n n n x -++++-= ϕ,)1,(-∞∈x 时为增函数.因此x=1时21)121()(max nn n n n x -=-+++-= ϕ. )(x a ϕ> 恒成立,21na ->∴. 仿上述解法可对例1再给出如下两个解法:解法1 以k 为主参数考虑由)1(22k a kx +=,知ax k k =+212,a x x f =)(在),(+∞ak 为增函数,故k a xx f >=)(即k kk >+212,解之1-<k 或.10<<k解法2 以a 为主参数,由知k 与x 同0122>+=k kxa 号,代入0>-ak x 知2212k x k x +>①当x>0时,则k>0,故1011222<<⇒<+k k k ②当x<0时,则k<0,故111222-<⇒>+k k k 综上可知)1,0()1,( --∞∈k .分离参数一般步骤为:①将含参数t 的关于x 的方程或不等式变形为g (t)与 )(x ϕ的等式或不等式,②根据方程或不等式的解(x)的范围确定函数的取值范围)(x ϕD,③由D 以及g(t)与的相等与不)(x ϕ等关系确定为g (t)的取值范围,从而求出参数t 的范围. 说明:这里①是前提,②是关键从以上数例可以看出,只要我们从多角度、多方位、多层次上去挖掘隐含条件,从而获得问题的最佳解决方法,不断提高自己的解题能力.。
三角函数习题及答案(总16页)--本页仅作为文档封面,使用时请直接删除即可----内页可以根据需求调整合适字体及大小--第四章 三角函数§4-1 任意角的三角函数一、选择题:1.使得函数lg(sin cos )y θθ=有意义的角在( )(A)第一,四象限 (B)第一,三象限 (C)第一、二象限 (D)第二、四象限2.角α、β的终边关于У轴对称,(κ∈Ζ)。
则(A)α+β=2κπ (B)α-β=2κπ(C)α+β=2κπ-π (D)α-β=2κπ-π 3.设θ为第三象限的角,则必有( )(A)tan cot 22θθ(B)tan cot 22θθ (C)sin cos 22θθ(D)sincos22θθ4.若4sin cos 3θθ+=-,则θ只可能是( )(A)第一象限角 (B)第二象限角 (C )第三象限角 (D)第四象限角5.若tan sin 0θθ且0sin cos 1θθ+,则θ的终边在( )(A)第一象限 (B )第二象限 (C )第三象限 (D )第四象限二、填空题:6.已知α是第二象限角且4sin 5α= 则2α是第▁▁▁▁象限角,2α是第▁▁▁象限角。
7.已知锐角α终边上一点A 的坐标为(2sina3,-2cos3),则α角弧度数为▁▁▁▁。
8.设1sin ,(,)sin y x x k k Z xπ=+≠∈则Y 的取值范围是▁▁▁▁▁▁▁。
9.已知cosx-sinx<-1,则x 是第▁▁▁象限角。
三、解答题:10.已知角α的终边在直线y =上,求sin α及cot α的值。
11.已知Cos(α+β)+1=0, 求证:sin(2α+β)+sin β=0。
12.已知()()cos ,5n f n n N π+=∈,求ƒ(1)+ƒ(2)+ƒ(3)+……+ƒ(2000)的值。
§4-2 同角三角函数的基本关系式及诱导公式一、选择题:1.()sin 2cos 22ππ⎛⎫--- ⎪⎝⎭化简结果是( )(A )0 (B )1- (C )2sin 2 ()2sin 2D -2.若1sin cos 5αα+=,且0απ,则tan α的值为( ) ()43A - ()34B - ()34C ()43D -或34-3. 已知1sin cos 8αα=,且42ππα,则cos sin αα-的值为( )(A ()34B ()C ()D4. 已知4sin 5α=,并且α是第一象限角,则tan α的值是( ) ()43A - ()34B - ()34C ()43D5. 的结果是( )()0cos100A ()0cos80B ()0sin80C ()0cos10D6. 若cot ,(0)m m α=≠且cos α,则角α所在的象限是( )(A )一、二象限 (B )二、三象限 (C )一、三象限 (D )一、四象限 填空题:7.化简()()()21sin 2sin 2cos αππαα+-+--=▁▁▁▁▁▁。
数学中的数列和三角函数知识一、数列知识1.数列的定义:数列是由一些按照一定顺序排列的数构成的序列。
2.数列的表示方法:–列举法:直接将数列中的各项写出来;–通项公式法:用公式表示数列中任意一项的值。
3.数列的分类:–整数数列:数列中的每一项都是整数;–有理数数列:数列中的每一项都是有理数;–实数数列:数列中的每一项都是实数。
4.数列的性质:–单调性:数列可以分为单调递增、单调递减或常数数列;–周期性:数列中存在周期性的重复项;–收敛性:数列的各项逐渐趋近于某一确定的值。
5.等差数列:数列中任意两项之差都相等的数列。
–定义:数列{a_n}中,如果对于任意的n,都有a_n - a_(n-1) = d,那么数列{a_n}就是等差数列,其中d为常数,称为公差。
–通项公式:a_n = a_1 + (n - 1)d–前n项和公式:S_n = n/2 * (a_1 + a_n)6.等比数列:数列中任意两项的比值都相等的数列。
–定义:数列{a_n}中,如果对于任意的n,都有a_n / a_(n-1) = q,那么数列{a_n}就是等比数列,其中q为常数,称为公比。
–通项公式:a_n = a_1 * q^(n-1)–前n项和公式:S_n = a_1 * (1 - q^n) / (1 - q)(q ≠ 1)二、三角函数知识1.三角函数的定义:三角函数是用来描述直角三角形中角度与边长之间关系的函数。
2.基本三角函数:–正弦函数(sin):sinθ = 对边 / 斜边–余弦函数(cos):cosθ = 邻边 / 斜边–正切函数(tan):tanθ = 对边 / 邻边3.特殊角的三角函数值:–sin30° = 1/2,cos30° = √3/2,tan30° = 1/√3–sin45° = √2/2,cos45° = √2/2,tan45° = 1–sin60° = √3/2,cos60° = 1/2,tan60° = √3–sin90° = 1,cos90° = 0,tan90° = 无穷大4.三角函数的性质:–周期性:三角函数具有周期性,如sinθ和cosθ的周期都是2π;–奇偶性:sinθ和tanθ是奇函数,cosθ是偶函数;–单调性:三角函数在各自的定义域内具有单调性。
三角函数等差数列求和公式三角函数等差数列求和公式是数学中的一个重要概念,它在数学、物理等领域中都有着广泛的应用。
本文将从概念、推导以及应用等方面进行介绍,以帮助读者更好地理解和运用这一公式。
我们来了解一下什么是等差数列。
等差数列是指数列中的每两个相邻的数之间的差值都相等的数列。
比如,1、3、5、7、9就是一个等差数列,而1、4、9、16、25就不是等差数列。
在等差数列中,我们常常需要求解这个数列的和。
这时,就可以利用三角函数等差数列求和公式来进行计算。
这个公式的推导过程如下:设等差数列的首项为a,公差为d,共有n项。
则数列的和可以表示为S。
我们将等差数列按照正序和逆序两个方向进行排列,得到两个数列:正序数列:a、a+d、a+2d、a+3d、...、a+(n-1)d逆序数列:a+(n-1)d、a+(n-2)d、...、a+2d、a+d、a接下来,我们将这两个数列进行相加,得到一个新的数列:2S = (a+a+(n-1)d) + (a+d+a+(n-2)d) + ... + (a+(n-1)d+a)根据等差数列的性质,我们可以将每一对括号中的两项合并,得到:2S = n(a+a+(n-1)d)化简得:2S = n(2a+(n-1)d)再进行一步化简,得到:S = n/2(2a+(n-1)d)这就是我们所要求的三角函数等差数列求和公式。
接下来,我们来看一些具体的应用例子。
例1:求等差数列1、3、5、7、9的和。
我们可以看出,这是一个公差为2的等差数列,共有5项。
根据求和公式,代入相应的数值进行计算:S = 5/2(2*1+(5-1)*2)= 5/2(2+8)= 5/2*10= 25所以,等差数列1、3、5、7、9的和为25。
例2:求等差数列2、5、8、11、14的和。
这是一个公差为3的等差数列,共有5项。
根据求和公式,代入相应的数值进行计算:S = 5/2(2*2+(5-1)*3)= 5/2(4+12)= 5/2*16= 40所以,等差数列2、5、8、11、14的和为40。
数列求和的基本方法和技巧 起点教育 李一、利用常用求和公式求和1、等差数列一般求和公式:d n n na a a n S nn 2)1(2)(11-+=+= 2、等比数列一般求和公式:⎪⎩⎪⎨⎧≠--=--==)1(11)1()1(111q q q a a q q a q na S n nn 3、)1(211+==∑=n n k S nk n 4、)12)(1(6112++==∑=n n n k S nk n 5、213)]1(21[+==∑=n n k S nk n例1: 已知3log 1log 23-=x ,求⋅⋅⋅++⋅⋅⋅+++n x x x x 32的前n 项和. 解:由212log log 3log 1log 3323=⇒-=⇒-=x x x 由等比数列求和公式得 n n x x x x S +⋅⋅⋅+++=32 …………利用常用公式=xx x n --1)1(=211)211(21--n =1-n 21 例2: 设S n =1+2+3+…+n ,n ∈N *,求1)32()(++=n nS n S n f 的最大值.解:由等差数列求和公式得 )1(21+=n n S n , )2)(1(211++=+n n S n ∴ 1)32()(++=n nS n S n f =64342++n n n …………………利用常用公式 =nn 64341++=50)8(12+-nn 501≤∴ 当 88-n ,即n =8时,501)(max =n f二、错位相减法求和这种方法是在推导等比数列的前n 项和公式时所用的方法,这种方法主要用于求数列{a n · b n }的前n 项和,其中{ a n }、{ b n }分别是等差数列和等比数列. 解:设 n n n b a c =的前n 项的和为 n Sn n n b a b a b a b a S ++++=......332211…………………………① 113221.................+-++++=n n n n n b a b a b a b a qS ………………② ∴()13211)...(1+-++++=-n n n n b a b b b d b a S q首项是2b 公比 q 项数是 n -1 的等比数列例3: 求数列⋅⋅⋅⋅⋅⋅,22,,26,24,2232n n前n 项的和.解:由题可知,{n n 22}的通项是等差数列{2n}的通项与等比数列{n 21}的通项之积设n n nS 2226242232+⋅⋅⋅+++=………………………① (设制错位)14322226242221++⋅⋅⋅+++=n n nS ……………………② (错位相减) ①-②得 1432222222222222)211(+-+⋅⋅⋅++++=-n n n n S1122212+---=n n n∴ 1224-+-=n n n S练习:求:S n =1+5x+9x 2+······+(4n-3)x n-1三、分组法求和有一类数列,既不是等差数列,也不是等比数列,若将这类数列适当拆开,可分为几个等差、等比或常见的数列,然后分别求和,再将其合并即可.例4: 求数列的前n 项和:231,,71,41,1112-+⋅⋅⋅+++-n aa a n ,…解:设)231()71()41()11(12-++⋅⋅⋅++++++=-n aa a S n n将其每一项拆开再重新组合得 )23741()1111(12-+⋅⋅⋅+++++⋅⋅⋅+++=-n aa a S n n …………………分组当a =1时,2)13(n n n S n -+==2)13(nn + …………… 分组求和当1≠a 时,2)13(1111n n aa S nn -+--==2)13(11n n a a a n -+---例5: 求数列{n(n+1)(2n+1)}的前n 项和.解:设k k k k k k a k ++=++=2332)12)(1( ∴ ∑=++=n k n k k k S 1)12)(1(=)32(231k k k nk ++∑=将其每一项拆开再重新组合得S n = k k k nk nk nk ∑∑∑===++1213132 ………………………分组=)21()21(3)21(2222333n n n +⋅⋅⋅++++⋅⋅⋅++++⋅⋅⋅++=2)1(2)12)(1(2)1(22++++++n n n n n n n …………………分组求和 =2)2()1(2++n n n练习:1.32-=n a n 求 n S 2 .n n a 32⨯= 求 n S 3.32-=n a n +n 32⨯求 n S4.求数列∙∙∙+∙∙∙),21(,,813,412,211nn 的前n 项和。
高一数学三角函数的图象与性质试题答案及解析1.已知函数的图像关于直线对称,且图像上相邻两个最高点的距离为.(1)求和的值;(2)若,求的值【答案】(1)ω=2,;(2).【解析】(1)由题意可得函数f(x)的最小正周期为π 求得ω=2.再根据图象关于直线对称,结合可得φ 的值.(2)由条件求得再根据的范围求得的值,再根据,利用两角和的正弦公式计算求得结果.试题解析:(1)因为f(x)图像上相邻两个最高点的距离为,所以f(x)的最小正周期,从而,又因f(x)的图象关于直线对称,所以,又因为得,所以.(2)由(1)得所以,又得所以,因此.【考点】三角函数的周期公式,诱导公式,三角函数的图像与性质,角的变换,两角和的正弦公式,同角三角函数的基本关系(平方关系).2.不等式的解集为 .【答案】【解析】本题主要考查三角函数的恒等变换.由得:,故不等式的解集为.【考点】三角函数的恒等变换,三角函数的性质.3.函数的一条对称轴方程是().A.B.C.D.【答案】A【解析】的对称轴方程为,即令,得.【考点】诱导公式、三角函数的图像与性质.4.已知函数,.(1)求的最小正周期;(2)求在闭区间上的最大值和最小值.【答案】(1);(2)最大值为,最小值为.【解析】解题思路:利用两角和与差的三角公式和二倍角公式及其变形化成的形式,再求周期与最值.规律总结:涉及三角函数的周期、最值、单调性、对称性等问题,往往先根据三角函数恒等变形化为的形式,再利用三角函数的图像与性质进行求解.注意点:求在给定区间上的最值问题,要注意结合正弦函数或余弦函数的图像求解.试题解析:(1),故的最小正周期为π.(2)函数在闭区间上的最大值为,最小值为 .【考点】1.三角恒等变形;2.三角函数的图像与性质.5.已知函数是定义在上的偶函数,且在区间上是增函数.令,,,则()A.B.C.D.【答案】A【解析】由于,又,又在区间上是增函数,所以有。
【考点】函数的单调性及三角函数值大小的比较。
一、高考命题分析三角函数是高考的重点,也是高考的热点,其考点主要包括:同角三角关系式及诱导公式,三角函数的图象和性质,三角函数的化简求值,三角形中的三角函数,三角函数的最值及综合应用。
一般设计一道或两道客观题,一道解答题,约占总分的12%,即18分左右.多数是中、低档题.近几年高考已逐步抛弃了对复杂三角变换和特殊技巧的考查,而重点转移对三角函数的图象与性质的考查,对基础知识和基本技能的考查上来.在考查三角公式进行恒等变形的同时,也直接考查了三角函数的性质及图象的变换,降低了对三角函数恒等变形的要求,加强了对三角函数性质和图象的考查力度。
掌握数列的概念及其表示方法,等差、等比数列的通项公式及其有关性质,等差、等比数列的前n项和公式,特别是有关数列求和的几种常用方法:倒序相加、错位相减、裂项求和应当重点掌握。
数列是中学数学的重点之一,它既具有相对的独立性,又具有一定的综合性和灵活性,也是初等数学与高等数学的一个重要的衔接点,因而历来是高考的重点。
高考对本章考查比较全面。
就近三年高考试卷分数约占12%,由此可以看出数列这一章的重要性。
二、高考命题特点新课标高考涉及三角函数与数列的考题可以说是精彩纷呈,奇花斗艳,其特点如下:1、考小题,重基础:有关三角函数的小题其考查重点在于基础知识:解析式;图象与图象变换;两域(定义域、值域);四性(单调性、奇偶性、对称性、周期性);简单的三角变换(求值、化简及比较大小).数列内容的主要考点包括三个方面:一是数列的有关概念;二是等差数列的定义、通项公式与前n项和公式;三是等比数列的定义、通项公式与前n项和公式.其中,数列的有关概念是了解级要求,等差数列和等比数列一般是掌握级要求.2、考大题,难度明显降低:有关三角函数的大题即解答题,通过公式变形转换来考查思维能力的题目已经很少,而着重考查基础知识和基本技能与方法的题目却在增加.解答题主要考查数列的综合应用为主,可能考到的题型有:等差数列和等比数列的综合题,递推数列问题,同时注重在数列与函数、数列与不等式、数列与几何、数列与数学归纳法等知识网络的交汇点命制试题,具有较强的考查思维能力的功能。
与三角函数有关的数列求和三角函数是数学中非常重要的概念,它们在数学和物理学中的应用广泛。
而与三角函数有关的数列求和则是一类特殊的数列求和问题,它们通常涉及到三角函数的性质和特点。
本文将介绍一些与三角函数有关的数列求和问题,并探讨它们的解法和应用。
一、正弦数列求和正弦函数是三角函数中最常见的一种函数,它在数学和物理学中有着重要的应用。
正弦数列求和即是将一系列正弦函数的值相加,得到一个数列的和。
例如,求和数列sin(1)+sin(2)+sin(3)+...+sin(n),其中n为正整数。
这个求和问题在数学和物理学中有着重要的应用,比如在波动问题、信号处理等领域。
正弦数列求和的解法有多种,其中一种常用的方法是利用正弦函数的周期性质进行化简。
由于正弦函数的周期为2π,可以将求和数列进行分组,每个分组内的正弦函数值相等。
例如,sin(1)+sin(2)+sin(3)+...+sin(n)可以分为n/2个分组,每个分组内的正弦函数值相等。
然后利用正弦函数的性质,将每个分组内的正弦函数值相加,得到最终的求和结果。
二、余弦数列求和余弦函数是三角函数中另一个常见的函数,它也在数学和物理学中有着重要的应用。
余弦数列求和即是将一系列余弦函数的值相加,得到一个数列的和。
例如,求和数列cos(1)+cos(2)+cos(3)+...+cos(n),其中n为正整数。
余弦数列求和同样在波动问题、信号处理等领域有着广泛的应用。
余弦数列求和的解法与正弦数列求和类似,同样可以利用余弦函数的周期性质进行化简。
由于余弦函数的周期为2π,可以将求和数列进行分组,每个分组内的余弦函数值相等。
然后利用余弦函数的性质,将每个分组内的余弦函数值相加,得到最终的求和结果。
三、正切数列求和正切函数是三角函数中另一个重要的函数,它在数学和物理学中也有着广泛的应用。
正切数列求和即是将一系列正切函数的值相加,得到一个数列的和。
例如,求和数列tan(1)+tan(2)+tan(3)+...+tan(n),其中n为正整数。
高中数学三角函数专项训练(含答案)一、填空题1.已知函数()1sin sin 34f x x x π⎛⎫=⋅+- ⎪⎝⎭定义域为[](),m n m n <,值域为11,24⎡⎤-⎢⎥⎣⎦,则n m-的最小值是________.2.赵爽是我国古代数学家,大约在公元222年,他为《周髀算经》一书作序时,介绍了"勾股圆方图",亦称"赵爽弦图"(以弦为边长得到的正方形由4个全等的直角三角形再加上中间的一个小正方形组成).类比"赵爽弦图",可构造如图所示的图形,它是由3个全等的三角形与中间一个小等边三角形拼成的一个较大的等边三角形,设 ,AD AB AC λμ=+若4AD AF =,则λ-μ的值为___________3.如图,在矩形ABCD 中,AB a ,2BC a =,点E 为AD 的中点,将△ABE 沿BE 翻折到△A BE '的位置,在翻折过程中,A '不在平面BCDE 内时,记二面角A DC B '--的平面角为α,则当α最大时,cos α的值为______.4.已知球O 的表面积为16π,点,,,A B C D 均在球O 的表面上,且,64ACB AB π∠=则四面体ABCD 体积的最大值为___________.5.平行六面体1111ABCD A B C D -的各棱长均相等,1160BAD DAA A AB ∠=∠=∠=,直线1AC ⋂平面1A BD E =,则异面直线1D E 与AD 所成角的余弦值为_________.6.在直角坐标系中,ABC 的顶点()cos ,sin A αα,()cos ,sin B ββ,432C ⎝,且ABC 的重心G 的坐标为232⎝,()cos αβ-=__________. 7.在ABC 中,角A ,B ,C 所对的边长分别为a ,b ,c ,D 为边BC 上的一点,若6c =,32b =7sin BAD ∠=,2cos 4BAC ∠=,则AD =__________.8.已知函数()2sin 16f x x πω⎛⎫=-- ⎪⎝⎭,其中0>ω,若()f x 在区间(4π,23π)上恰有2个零点,则ω的取值范围是____________.9.已知正四棱柱1111ABCD A B C D -中,2AB =,1AA =若M 是侧面11BCC B 内的动点,且AM MC ⊥,则1A M 的最小值为__________.10.在三棱锥P ABC -中,4AB BC ==,8PC =,异面直线PA ,BC 所成角为π3,AB PA ⊥,AB BC ⊥,则该三棱锥外接球的表面积为______.二、单选题11.在△ABC 中,24CA CB ==,F 为△ABC 的外心,则CF AB ⋅=( ) A .-6B .-8C .-9D .-1212.已知函数π()sin (0)3f x x ωω⎛⎫=+> ⎪⎝⎭在π,π3⎡⎤⎢⎥⎣⎦上恰有3个零点,则ω的取值范围是( )A .81114,4,333⎡⎫⎛⎫⋃⎪ ⎪⎢⎣⎭⎝⎭B .111417,4,333⎡⎫⎡⎫⋃⎪⎪⎢⎢⎣⎭⎣⎭C .111417,5,333⎡⎫⎛⎫⋃⎪ ⎪⎢⎣⎭⎝⎭D .141720,5,333⎡⎫⎡⎫⋃⎪⎪⎢⎢⎣⎭⎣⎭13.在三棱锥P ABC -中,顶点P 在底面的射影为ABC 的垂心O (O 在ABC 内部),且PO 中点为M ,过AM 作平行于BC 的截面α,过BM 作平行于AC 的截面β,记α,β与底面ABC 所成的锐二面角分别为1θ,2θ,若PAM PBM θ∠=∠=,则下列说法错误的是( )A .若12θθ=,则AC BC =B .若12θθ≠,则121tan tan 2θθ⋅= C .θ可能值为6πD .当θ取值最大时,12θθ= 14.已知02πθ<<,()()cos 1sin 110sin cos f m m m θθθθθ--⎛⎫=+++> ⎪⎝⎭,则使得()f θ有最大值时的m 的取值范围是( )A .1,22⎛⎫⎪⎝⎭B .1,33⎛⎫ ⎪⎝⎭C .[]1,3D .1,14⎡⎤⎢⎥⎣⎦15.如图,设1F ,2F 是双曲线()22210xy a a -=>的左、右焦点,过点2F 作渐近线的平行线交另外一条渐近线于点A ,若12AF F △的面积为54,离心率满足1e <<为( )A .2215x y -=B .2214x y -=C .2213x y -=D .2212x y -=16.在ABC 中,60BAC ∠=,3BC =,且有2CD DB =,则线段AD 长的最大值为( ) A 13B .2 C 31 D .317.已知函数()3sin()(0,||)f x x ωϕωϕπ=+><,(4)(2)6f f =-,且()f x 在[2,4]上单调.设函数()()1g x f x =-,且()g x 的定义域为[5,8]-,则()g x 的所有零点之和等于( ) A .0B .4C .12D .1618.设点()11,P x y 在椭圆22182x y +=上,点()22,Q x y 在直线280x y +-=上,则2121x x y y -+-的最小值是( )A .21B 3C .31D .219.已知1F 、2F 是椭椭圆和双曲线共有焦点,P 为两曲线的一个公共点,且126F PF π∠=,记椭圆和双曲线的离心率分别1e ,2e ,则1212e e e e +⋅的最大值为 A .4B .2C .83D .16320.设函数()3xf x mπ,函数()f x 的对称轴为0x x =,若存在0x 满足()22200x f x m +<⎡⎤⎣⎦,则m 的取值范围为( )A .(,6)(6,)-∞-+∞B .(,4)(4,)-∞-⋃+∞C .(,2)(2,)-∞-+∞D .(,1)(1,)-∞-+∞三、解答题21.函数()()303f x x πωω⎛⎫=+> ⎪⎝⎭在一个周期内的图象如图所示,A 为图象的最高点,B ,C 为图象与x 轴的交点,ABC ∆为等边三角形.将函数()f x 的图象上各点的横坐标变为原来的π倍后,再向右平移23π个单位,得到函数()y g x =的图象.(Ⅰ)求函数()g x 的解析式;(Ⅱ)若不等式()23sin 324x m g x m π⋅-≤+对任意x ∈R 恒成立,求实数m 的取值范围.22.已知函数()cos f x x x =,()sin g x x =,0,2x π⎡⎤∈⎢⎥⎣⎦.(1)求证:()()f x g x ≤;(2)若()ax g x bx <<在0,2π⎛⎫⎪⎝⎭上恒成立,求a 的最大值与b 的最小值.23.在直角ABC ∆中,2BAC π∠=,延长CB 至点D ,使得2CB BD =,连接AD .(1)若AC AD =,求CAD ∠的值; (2)求角D 的最大值.24.已知函数()()()()223cos +2cos 02f x x x x πϕϕϕϕ⎛⎫=+++<< ⎪⎝⎭.(1)求()f x 的最小正周期;(2)若13f π⎛⎫= ⎪⎝⎭,求当()2f x =时自变量x 的取值集合.25.已知函数()()sin 06f x x πωω⎛⎫=-> ⎪⎝⎭的图象向左平移2π个单位长度后与函数()()cos 22g x x πϕϕ⎛⎫=+< ⎪⎝⎭图象重合.(1)求ω和ϕ的值;(2)若函数()88h x f x g x ππ⎛⎫⎛⎫=++- ⎪ ⎪⎝⎭⎝⎭,求函数()h x 的单调递减区间及图象的对称轴方程.26.已知函数22cos 3sin 2f xxx a 的最小值为0.(1)求a 的值及函数()y f x =图象的对称中心;(2)若关于x 的方程()0f x m -=在区间70,6π⎡⎤⎢⎥⎣⎦上有三个不相等的实数根1x ,2x ,3x ,求m的取值范围及()123tan 2x x x ++的值.27.已知向量a ,b 满足2sin 4a x x π⎛⎫⎛⎫=-+ ⎪ ⎪⎝⎭⎝⎭,cos 4b x x π⎛⎫⎛⎫=+ ⎪ ⎪⎝⎭⎝⎭,函数()()f x a b x R =⋅∈.(1)求()f x 的单调区间;(2)已知数列()2*11224n n a n f n N ππ⎛⎫=-∈ ⎪⎝⎭,求{}n a 的前2n 项和2n S . 28.已知等差数列{}n a 的公差(0,]d π∈,数列{}n b 满足sin()n n b a =,集合*{|,}n S x x b n ==∈N .(1)若10a =,23d π=,求集合S ; (2)若12a π=,求d 使得集合S 恰有两个元素;(3)若集合S 恰有三个元素,n T n b b +=,T 是不超过5的正整数,求T 的所有可能值,并写出与之相应的一个等差数列{}n a 的通项公式及集合S .29.已知函数21()sin 24f x x x =+(1)求()f x 的最小正周期T 和[0,]π上的单调增区间:(2)若2()(1)0n f x m +-⋅>对任意的,34x ππ⎡⎤∈-⎢⎥⎣⎦和*n N ∈恒成立,求实数m 的取值范围.30.在ABC ∆中,内角,,A B C 所对的边分别是,,a b c ,已知sin tan 1cos BC B=-.(Ⅰ)求证:ABC ∆为等腰三角形;(Ⅱ)若ABC ∆是钝角三角形,且面积为24a ,求2b ac的值.【参考答案】一、填空题1.3π 2.4734 5.566.237.48.742ω<<或91322ω<≤.910.80π 二、单选题 11.A 12.C 13.C 14.A 15.B 16.C 17.C 18.D 19.A 20.C 三、解答题21.(Ⅰ)()12g x x =(Ⅱ)2,23⎡⎤-⎢⎥⎣⎦【解析】 【分析】(Ⅰ)利用等边三角形的性质,根据已知,可以求出函数的周期,利用正弦型函数的最小正周期公式求出ω,最后根据正弦型函数图象的变换性质求出()y g x =的解析式; (Ⅱ)根据函数()y g x =的解析式,原不等式等价于23cos 3cos 10x m x m +++≥在x ∈R 恒成立,利用换元法,构造二次函数,分类讨论进行求解即可. 【详解】(Ⅰ)点A ABC ∆为等边三角形,所以三角形边长为2,所以24T πω==,解得2πω=,所以()23f x x ππ⎛⎫+ ⎪⎝⎭,将函数()f x 的图象上各点的横坐标变为原来的π倍后,得到()123h x x π⎛⎫=+ ⎪⎝⎭,再向右平移23π个单位,得到()12g x x =.(Ⅱ)()22g x x x ππ⎛⎫-=-= ⎪⎝⎭,所以()223sin 233cos 3cos x g x x m x π⋅-=--,原不等式等价于23cos 3cos 10x m x m +++≥在x ∈R 恒成立. 令cos x t =,[]1,1t ∈-,即23310t mt m +++≥在[]1,1t ∈-上恒成立.设()2331t t mt m ϕ=+++,对称轴2m t =-, 当12m-≤-时,即2m ≥时,()1240m ϕ-=-+≥,解得2m ≤,所以2m =; 当12m-≥时,即2m ≤-时,()1440m ϕ=+≥,解得1m ≥-(舍); 当112m -<-<时,即22m -<<时,231024m m m ϕ⎛⎫-=-++≥ ⎪⎝⎭,解得223m -≤<.综上,实数m 的取值范围为2,23⎡⎤-⎢⎥⎣⎦.【点睛】本题考查了正弦型函数的图象变换和性质,考查了利用换元法、构造法解决不等式恒成立问题,考查了数学运算能力.22.(1)答案见解析;(2)a 最大值为2π,b 的最小值为1. 【解析】 【分析】(1)构建函数()cos sin h x x x x =-,通过导数研究函数()h x 在0,2π⎡⎤⎢⎥⎣⎦单调性并计算最值,可得结果.(2)构造函数()sin M x x cx =-,通过分类讨论的方法,0c ≤,1c ≥和01c <<,利用导数判断函数()M x 的单调性,并计算最值比较,可得结果. 【详解】(1)由()()()cos sin h x f x g x x x x =-=- 所以()'cos sin cos sin h x x x x x x x =--=-. 又0,2x π⎡⎤∈⎢⎥⎣⎦,()'sin 0h x x x =-≤,所以()h x 在区间上0,2π⎡⎤⎢⎥⎣⎦单调递减.从而()()00h x h ≤=,()()f x g x ≤. (2)当0x >时,“()ax g x <”等价于“sin 0x ax ->” “()g x bx <”等价于“sin 0x bx -<”.令()sin M x x cx =-,则()'cos M x x c =-,当0c ≤时,()0M x >对任意0,2x π⎛⎫∈ ⎪⎝⎭恒成立.当1c ≥时,因为对任意0,2x π⎛⎫∈ ⎪⎝⎭,()'cos 0M x x c =-<,所以()M x 在区间0,2π⎡⎤⎢⎥⎣⎦上单调递减.从而()()00M x M <=对任意0,2x π⎛⎫∈ ⎪⎝⎭恒成立.当01c <<时,存在唯一的00,2x π⎛⎫∈ ⎪⎝⎭,使得()'cos 0M x x c =-=.()M x 与()'M x 在区间0,2π⎛⎫⎪⎝⎭上的情况如下:因为M x 在区间00,x 上是增函数, 所以()()000M x M >=.进一步,“()0M x >对任意0,2x π⎛⎫∈ ⎪⎝⎭恒成立”当且仅当1022M c ππ⎛⎫=-≥ ⎪⎝⎭,即20c π<≤,综上所述: 当且仅当2c π≤时,()0M x >对任意0,2x π⎛⎫∈ ⎪⎝⎭恒成立; 当且仅当1c ≥时,()0M x <对任意0,2x π⎛⎫∈ ⎪⎝⎭恒成立.所以,若()ax g x bx <<对任意0,2x π⎛⎫∈ ⎪⎝⎭恒成立,则a 最大值为2π,b 的最小值为1. 【点睛】本题考查导数的综合应用,关键在于构建函数,化繁为简,同时掌握分类讨论的思想,考验分析问题的能力以及计算能力,属中档题.23.(1)23CAD π∠=;(2)6π.【解析】 【分析】(1)在ABD ∆中,由正弦定理得,sin sin BD ABDα=,再结合在直角ABC ∆中,sin AB BC C =,然后求解即可;(2)由正弦定理及两角和的余弦可得()2tan tan cos 2sin 22D D αααϕ=+=+,然后结合三角函数的有界性求解即可. 【详解】解:(1)设BAD ∠=α,在ABD ∆中,由正弦定理得,sin sin BD ABDα=, 而在直角ABC ∆中,sin AB BC C =,所以sin sin sin BD BC CDα=, 因为AC AD =,所以C D =, 又因为2CB BD =,所以1sin 2α=,所以6πα=,所以23CAD π∠=;(2)设BAD ∠=α, 在ABD ∆中,由正弦定理得,sin sin BD ABDα=, 而在直角ABC ∆中,()cos cos AB BC ABC BC D α=∠=+, 所以()()cos cos cos sin sin sin sin sin BC D BC D D BD D Dαααα+-==, 因为2CB BD =,所以2sin 2sin cos cos 2sin sin D D D ααα=-, 即22sin cos sin 2tan 12sin 2cos 2D ααααα==+-,即()2tan tan cos 2sin 22D D αααϕ=++,1≤及0,2D π⎛⎫∈ ⎪⎝⎭,解得0tan D <≤ 所以角D 的最大值为6π. 【点睛】本题考查了正弦定理,重点考查了三角函数的有界性,属中档题.24.(1)π;(2)12x x k ππ⎧=-+⎨⎩或()4x k k Z ππ⎫=+∈⎬⎭【解析】 【分析】(1)由辅助角公式可得()f x 2sin 2216x πϕ⎛⎫=+++ ⎪⎝⎭,再求周期即可;(2)由13f π⎛⎫= ⎪⎝⎭求出12πϕ=,再解方程2sin 2123x π⎛⎫++= ⎪⎝⎭即可.【详解】解:(1)()()()()2cos 2cos f x x x x ϕϕϕ=++++()()2cos21x x ϕϕ=++++2sin 2216x πϕ⎛⎫=+++ ⎪⎝⎭,则()f x 的最小正周期为2T ππω==.(2)因为13f π⎛⎫= ⎪⎝⎭,所以2sin 221136ππϕ⎛⎫⨯+++= ⎪⎝⎭,即()526k k Z πϕπ+=∈, 解得()5212k k Z ππϕ=-∈. 因为02πϕ<<,所以12πϕ=.因为()2f x =,所以2sin 2123x π⎛⎫++= ⎪⎝⎭,即1sin 232x π⎛⎫+= ⎪⎝⎭,则2236x k πππ+=+或()52236x k k Z πππ+=+∈, 解得12x k ππ=-+或()4x k k Z ππ=+∈.故当()2f x =时,自变量x 的取值集合为12x x k ππ⎧=-+⎨⎩或()4x k k Z ππ⎫=+∈⎬⎭.【点睛】本题考查了三角恒等变换,重点考查了解三角方程,属中档题. 25.(1)2ω=,3πϕ=;(2)减区间为()7,1212k k k Z ππππ⎡⎤++∈⎢⎥⎣⎦,对称轴方程为()212k x k Z ππ=+∈ 【解析】 【分析】(1)先根据平移后周期不变求得2ω=,再根据三角函数的平移方法求得3πϕ=即可.(2)根据(1)中()sin 26f x x π⎛⎫=- ⎪⎝⎭,()cos 23g x x π⎛⎫=+ ⎪⎝⎭代入可得()h x ,利用辅助角公式求得()23h x x π⎛⎫=+ ⎪⎝⎭,再代入调递减区间及图象的对称轴方程求解即可.【详解】(1)因为函数()()sin 06f x x πωω⎛⎫=-> ⎪⎝⎭的图象向左平移2π个单位长度后与函数()()cos 22g x x πϕϕ⎛⎫=+< ⎪⎝⎭图象重合,所以2ω=.5sin 2sin 2cos 222663f x x x x πππππ⎡⎤⎛⎫⎛⎫⎛⎫⎛⎫+=+-=+=+ ⎪ ⎪ ⎪ ⎪⎢⎥⎝⎭⎝⎭⎝⎭⎝⎭⎣⎦ 所以()cos 2cos 23x x πϕ⎛⎫+=+ ⎪⎝⎭,因为2πϕ<,所以3πϕ=.(2)由(1)()sin 26f x x π⎛⎫=- ⎪⎝⎭,()cos 23g x x π⎛⎫=+ ⎪⎝⎭,所以()88h x f x g x ππ⎛⎫⎛⎫=++- ⎪ ⎪⎝⎭⎝⎭,sin 2cos 2212123x x x πππ⎛⎫⎛⎫⎛⎫=+++=+ ⎪ ⎪ ⎪⎝⎭⎝⎭⎝⎭.令()3222232k x k k Z πππππ+≤+≤+∈,解得()71212k x k k Z ππππ+≤≤+∈ 所以函数的单调递减区间为()7,1212k k k Z ππππ⎡⎤++∈⎢⎥⎣⎦. 令()232x k k Z πππ+=+∈,可得图象的对称轴方程为()212k x k Z ππ=+∈. 【点睛】本题主要考查了三角函数的平移运用以及辅助角公式.同时也考查了根据三角函数的解析式求解单调区间以及对称轴等方法.属于中档题.26.(1)1,,2212k ππ⎛⎫-⎪⎝⎭,k Z ∈;(2)[)3,4, 【解析】(1)由题得()2sin 216f x x a π⎛⎫=+++ ⎪⎝⎭,求出a 的值即得函数()y f x =图象的对称中心;(2)作出函数()y f x =在70,6x π⎡⎤∈⎢⎥⎣⎦上的大致图象,求出123523x x x π++=即得解.【详解】(1)()cos 2212sin 216x x a x a f x π⎛⎫=++=+++ ⎪⎝⎭,由已知可得()2110a ⨯-++=,∴1a =,()2sin 226f x x π⎛⎫=++ ⎪⎝⎭,令26x k ππ+=可得()y f x =图象的对称中心为,2212k ππ⎛⎫-⎪⎝⎭,k Z ∈. (2)()y f x =在70,6x π⎡⎤∈⎢⎥⎣⎦上的大致图象如图所示,由图可得[)3,4m ∈,所以123x x π+=,2343x x π+=,所以123523x x x π++=,所以()1235tan 2tan33x x x π++==-.【点睛】本题主要考查三角恒等变换和三角函数的图象和性质,考查三角函数图象的综合应用,意在考查学生对这些知识的理解掌握水平和分析推理能力.27.(1)单调增区间为7,1212k k ππππ⎡⎤--⎢⎥⎣⎦,k Z ∈,单调减区间为5,1212k k ππππ⎡⎤-+⎢⎥⎣⎦,k Z ∈;(2))222n n -+【解析】 【分析】(1)由向量数量积的坐标运算可得()2sin 2322sin 23f x a b x x x π⎛⎫=⋅=-=+⎪⎝⎭, 再利用三角函数单调区间的求法即可得解;(2)由题意可得()()222222221234212n S n n ⎤=-+-+⋅⋅⋅+--⎦,又()()2221241n n n --=-+,则)22442434n S n n =--⨯-⨯-⋅⋅⋅-+,再利用等差数列求和公式即可得解.【详解】解:(1)向量a ,b 满足2sin 64a x x π⎛⎫⎛⎫=-+ ⎪ ⎪⎝⎭⎝⎭,cos 24b x x π⎛⎫⎛⎫=+ ⎪ ⎪⎝⎭⎝⎭,函数()2sin 2322sin 23f x a b x x x π⎛⎫=⋅=-=+⎪⎝⎭, 由2222232k x k πππππ-≤+≤+,可得71212k x k ππππ-≤≤-,k Z ∈, 解得()f x 的单调增区间为7,1212k k ππππ⎡⎤--⎢⎥⎣⎦,k Z ∈; 单调减区间为5,1212k k ππππ⎡⎤-+⎢⎥⎣⎦,k Z ∈.(2)因为22112sin 2244n n a n f n n ππππ⎛⎫⎛⎫=-=-⎪ ⎪⎝⎭⎝⎭, 所以()()222222221234212n S n n ⎤=-+-+⋅⋅⋅+--⎦,又()()2221241n n n --=-+,)2442434n S n n --⨯-⨯-⋅⋅⋅-+,所以())2234122n n n S n n --+==+.【点睛】本题考查了三角函数单调区间的求法及数列中捆绑求和,属中档题.28.(1)⎧⎫⎪⎪⎨⎬⎪⎪⎩⎭;(2)23π或π;(3)3T =或4,3T =时,23n a n π=,S ⎧⎫⎪⎪=⎨⎬⎪⎪⎩⎭;4T =时,2n a n π=,{}0,1,1S =-【解析】 【分析】(1)根据等差数列的通项公式写出n a ,进而求出n b ,再根据周期性求解;(2)由集合S 的元素个数,分析数列{}n b 的周期,进而可求得答案;(3)分别令1T =,2,3,4,5进行验证,判断T 的可能取值,并写出与之相应的一个等差数列{}n a 的通项公式及集合S 【详解】(1)等差数列{}n a 的公差(0d ∈,]π,数列{}n b 满足sin()n n b a =, 集合{}*|,n S x x b n N ==∈. ∴当120,3a d π==,所以集合{S =0. (2)12a π=,数列{}n b 满足sin()n n b a =,集合{}*|,n S x x b n N ==∈恰好有两个元素,如图:根据三角函数线,①等差数列{}n a 的终边落在y 轴的正负半轴上时,集合S 恰好有两个元素,此时d π=, ②1a 终边落在OA 上,要使得集合S 恰好有两个元素,可以使2a ,3a 的终边关于y 轴对称,如图OB ,OC ,此时23d π=, 综上,23d π=或者d π=.(3)①当3T =时,3n n b b +=,集合1{S b =,2b ,3}b ,符合题意. 与之相应的一个等差数列{}n a 的通项公式为23n a n π=,此时33,,022S ⎧⎫⎪⎪=-⎨⎬⎪⎪⎩⎭. ②当4T =时,4n n b b +=,sin(4)sin n n a d a +=,42n n a d a k π+=+,或者42n n a d k a π+=-,等差数列{}n a 的公差(0d ∈,]π,故42n n a d a k π+=+,2k d π=,又1k ∴=,2 当1k =时满足条件,此时{0S =,1,1}-. 与之相应的一个等差数列{}n a 的通项公式为2n a n π=,此时{}0,1,1S =-【点睛】本题考查等差数列的通项公式、集合元素的性质以及三角函数的周期性,是一道综合题. 29.(1) T=π,单调增区间为50,12π⎡⎤⎢⎥⎣⎦,11,12ππ⎡⎤⎢⎥⎣⎦(2) ∅ 【解析】 【分析】(1)化简函数得到1()sin 223f x x π⎛⎫=- ⎪⎝⎭,再计算周期和单调区间.(2)分情况n 的不同奇偶性讨论,根据函数的最值得到答案. 【详解】解:(1)函数21()sin 24f x x x =11cos 2sin 242x x +=11sin 22sin 2423x x x π⎛⎫==- ⎪⎝⎭ 故()f x 的最小正周期22T ππ==. 由题意可知:222232k x k πππππ-+≤-≤+,k Z ∈解得:51212k x k ππππ-+≤≤+,k Z ∈ 因为[0,]x π∈,所以()g x 的单调增区间为50,12π⎡⎤⎢⎥⎣⎦,11,12ππ⎡⎤⎢⎥⎣⎦ (2)由(1)得1()sin 223f x x π⎛⎫=- ⎪⎝⎭∵,34x ππ⎡⎤∈-⎢⎥⎣⎦∴2,36x πππ⎡⎤-∈-⎢⎥⎣⎦,∴1sin 21,32x π⎛⎫⎡⎤-∈- ⎪⎢⎥⎝⎭⎣⎦,12()1,2f x ⎡⎤∈-⎢⎥⎣⎦若2()(1)0n f x m +-⋅>对任意的,34x ππ⎡⎤∈-⎢⎥⎣⎦和*n N ∈恒成立,则2()(1)n f x m +-⋅的最小值大于零. 当n 为偶数时,10m -+>,所以,1m 当n 为奇数时,10m -->,所以,1m <- 综上所述,m 的范围为∅. 【点睛】本题考查了三角函数化简,周期,单调性,恒成立问题,综合性强,意在考查学生的计算能力和综合应用能力.30.(Ⅰ)证明见解析;(Ⅱ)2 【解析】 【分析】(Ⅰ)将正切化弦,结合两角和差正弦公式可求得()sin sin C B C =+,根据三角形内角和可整理为sin sin C A =,则由正弦定理可得到结论;(Ⅱ)利用三角形面积公式可求得1sin 2B =;根据三角形为钝角三角形且(Ⅰ)中的c a =,可知B 为钝角,求得cos B ;利用余弦定理可构造方程求得,a b 之间关系,从而得到所求结果. 【详解】 (Ⅰ)由sin tan 1cos B C B =-得:sin sin cos 1cos C BC B=-则:()sin sin cos cos sin sin C B C B C B C =+=+A B C π++= ()()sin sin sin B C A A π∴+=-= sin sin C A ∴=由正弦定理可知:c a =ABC ∆∴为等腰三角形(Ⅱ)由题意得:2211sin sin 224a S ac B a B ===,解得:1sin 2B =ABC ∆为钝角三角形,且a c = B ∴为钝角 cos B ∴=由余弦定理得:(2222222cos 22b a c ac B a a =+-==+2222b b ac a ∴==【点睛】本题考查三角形形状的求解、利用余弦定理、三角形面积公式求解三角形边之间的关系问题,涉及到两角和差正弦公式、三角形内角和、诱导公式、同角三角函数值的求解等知识.。
第1期
与三角函数有关的数列求和..
问题 把三角函数融入到数列当中,使得数列变得复杂和陌生,但由于三角函数的周期性,也使得数列的项随之有了规律,因此在解决此类问题时,要充分利用三角函数周期性的特点,只有这样才能将所遇困难有效化解.
1.(2012·福建文,11,5分)数列{}n a 的通项公式cos
2
n n a n π=,其前n 项和为n S ,则2012S 等于( ) A.1006 B.2012 C.503 D.0 分析:易知cos
2n π的最小正周期是4,考察43(43)(43)cos 02
n n a n π--=-=,42(42)(42)cos (42)2n n a n n π--=-=--, 41(41)(41)cos 02n n a n π--=-=,444cos 42
n n a n n π==,我们可以发现:43424142n n n n a a a a ---+++=(N n *∈),所以,20122012210064
S =⨯=.本题中2012正好是4的倍数,若求2013S ,2014S 呢?
2.(2012·上海文,18,5分)若2sin sin sin (N )777n n S n πππ*=+++∈ ,则在1S ,2S ,…,100S 中,正数的个数是( )A.16 B.72 C.86 D.100
分析:易知sin 7n π的最小正周期是14,且有7sin 07π=,8sin sin 77ππ=-,…,136sin sin 77ππ=-,14sin
07
π=,因此,0(12)n S n >≤,13140S S ==;结合周期性可知,1S ,2S ,…,100S 中为零的个数是7214⨯=,所以正数的个数是86.
3.(2009·江西理,8,,4分)数列{}n a 的通项公式222(cos sin )33
n n n a n ππ=-,其前n 项和为n S ,则30S 为( )A.470 B.490 C.495 D.510
分析:22222(c o s s i n )c o s 333
n n n n a n n πππ=-=,易知最小正周期是3,考察222322(32)41(32)cos (32)cos(2)(32)332
n n a n n n n πππ--=-=--=--, 222312(31)21(31)cos (31)cos(2)(31)332
n n a n n n n πππ--=-=--=--, 222322(3)(3)cos (3)cos(2)(3)3n n a n n n n ππ-===,得3231359(N )2
n n n a a a n n *--++=-∈,则每三项的和构成了一个等差数列,记为{}n b ,则 59(N )2n b n n *=-∈所以110305510(9910)10()109422470222
b b S -+⨯-+⨯====.本题中的30恰好是3的倍数,若求3132,S S 呢?求3n S 呢?n S 呢?(参见2009·江西文,21)(2013年11月19日星期二)
(2009·江西文,21,12分)数列{}n a 的通项公式222(cos sin )33
n n n a n ππ=-,其前n 项和为n S . (Ⅰ)求n S ;(Ⅱ)令34
n
n n S b n =⋅,求数列{}n b 的前n 项和n T .
第2期
数列求和中的裂项相消法
裂项相消法就是把数列的通项公式分裂成两项的形式,使得求和过程中前后的项与项之间能够互相抵消,只剩有限项,进而求出该数列的前n 项和。
如1n n n a b b +=-,求{}n a 的前n 项和n S ,则
122132111
()()()n n n n n S a a a b b b b b b b b ++=+++=-+-++-=- ,这类问题的解决思路来源归根结底是课本上推导等差数列通项公式的叠加法,因此深受高考命题专家的青睐。
常见的裂项公式有:
(1)111(1)1
n n n n =-++; (2)
1111()(21)(21)22121n n n n =--+-+; (3)一般地,若{}n a 是等差数列,求1
1{}n n a a +的前n 项和,则可用裂项相消法,11
1111()n n n n a a d a a ++=-(其中d 是{}n a 是等差数列的公差); (4)1111()(2)22
n n n n =-++; (5
= 使用裂项相消法进行正负项相消时,有的是依次相消,有的是间隔相消。
在解题过程中要注意保留哪些项,消去哪些项。
(1)(2010·山东,18,12分)已知等差数列{}n a。