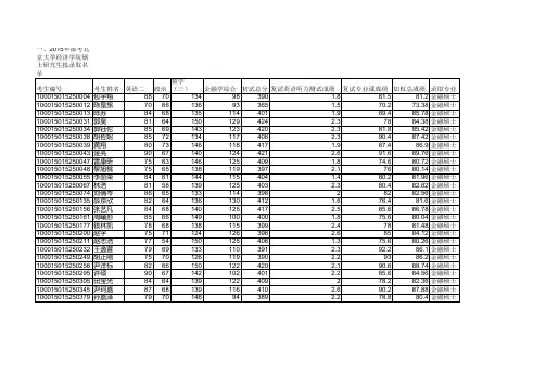
2015北京大学哲学系逻辑学考研初试成绩录取名单
- 格式:pdf
- 大小:272.33 KB
- 文档页数:4
2015北京大学哲学系马克思主义哲学考研初试成绩录取名单准考证号政治政治分外语外语分科目1科目1分科目2科目2分总分专业代码专业名称专业名次1E+14 思想政治理论缺考英语一缺考西方哲学史一缺考马克思主义哲学缺考——10101 马克思主义哲学——1E+14 思想政治理论63 英语一49 西方哲学史一缺考马克思主义哲学缺考112 10101 马克思主义哲学141E+14 思想政治理论缺考英语一缺考西方哲学史一缺考马克思主义哲学缺考——10101 马克思主义哲学——1E+14 思想政治理论缺考英语一缺考西方哲学史一缺考马克思主义哲学缺考——10101 马克思主义哲学——1E+14 思想政治理论65 英语一47 西方哲学史一59 马克思主义哲学90 261 10101 马克思主义哲学71E+14 思想政治理论缺考英语一缺考西方哲学史一缺考马克思主义哲学缺考——10101 马克思主义哲学——1E+14 思想政治理论50 英语一56 西方哲学史一29 马克思主义哲学83 218 10101 马克思主义哲学91E+14 思想政治理论48 英语一45 西方哲学史一44 马克思主义哲学28 165 10101 马克思主义哲学131E+14 思想政治理论70 英语一62 西方哲学史一115 马克思主义哲学107 354 10101 马克思主义哲学21E+14 思想政治理论73 英语一63 西方哲学史一135 马克思主义哲学122 393 10101 马克思主义哲学11E+14 思想政治理论缺考英语一缺考西方哲学史一缺考马克思主义哲学缺考——10101 马克思主义哲学——1E+14 思想政治理论64 英语一62 西方哲学史一126 马克思主义哲学96 348 10101 马克思主义哲学31E+14 思想政治理论56 英语一32 西方哲学史一98 马克思主义哲学65 251 10101 马克思主义哲学81E+14 思想政治理论67 英语一57 西方哲学史一94 马克思主义哲学117 335 10101 马克思主义哲学41E+14 思想政治理论70 英语一51 西方哲学史一104 马克思主义哲学91 316 10101 马克思主义哲学51E+14 思想政治理论缺考英语一缺考西方哲学史一缺考马克思主义哲学缺考——10101 马克思主义哲学——1E+14 思想政治理论34 英语一13 西方哲学史一缺考马克思主义哲学缺考47 10101 马克思主义哲学151E+14 思想政治理论缺考英语一缺考西方哲学史一缺考马克思主义哲学缺考——10101 马克思主义哲学——1E+14 思想政治理论缺考英语一缺考西方哲学史一缺考马克思主义哲学缺考——10101 马克思主义哲学——1E+14 思想政治理论58 英语一48 西方哲学史一27 马克思主义哲学39 172 10101 马克思主义哲学111E+14 思想政治理论50 英语一25 西方哲学史一21 马克思主义哲学71 167 10101 马克思主义哲学121E+14 思想政治理论缺考英语一缺考西方哲学史一缺考马克思主义哲学缺考——10101 马克思主义哲学——1E+14 思想政治理论55 英语一28 西方哲学史一39 马克思主义哲学65 187 10101 马克思主义哲学101E+14 思想政治理论62 英语一55 西方哲学史一86 马克思主义哲学90 293 10101 马克思主义哲学6。
北京大学考研班-2015年北京大学社会学系考研录取名单公示序号姓名专业笔试成绩复试成绩听力成绩总成绩拟录取1100015015310056社会学42090.32.788.5拟录取2100015015310032社会学41188.22.586.5拟录取3100015015310066社会学40388.42.685.6拟录取4100015015310005社会学39788.42.985.0拟录取5100015015310030社会学39780.52.382.1拟录取6100015015310039社会学37688.02.781.7拟录取7100015015310078人类学38689.82.183.1拟录取8100015015310070人类学37090.22.681.5拟录取9100015015310110社会保障36083.72.177.6拟录取10100015015310226社会保障35883.72.077.2拟录取11100015015310101社会工作硕士38190.52.382.8拟录取12100015015310211社会工作硕士37390.22.581.8拟录取13100015015310107社会工作硕士37888.02.381.6拟录取14100015015310085社会工作硕士36686.72.579.7拟录取15100015015310105社会工作硕士36387.02.679.5拟录取16100015015310048社会工作硕士(深圳)38484.92.281.4拟录取17100015015310163社会工作硕士(深圳)37582.32.579.7拟录取18100015015310055社会工作硕士(深圳)38572.11.376.8拟录取19100015015310096社会工作硕士(深圳)36083.22.277.6拟录取20100015015310205社会工作硕士(深圳)36481.32.277.5拟录取21100015015310040社会工作硕士(深圳)37486.92.580.9拟录取22100015015310013社会工作硕士(深圳)37385.12.580.3拟录取23100015015310016社会工作硕士(深圳)36587.42.780.0拟录取24100015015310054社会工作硕士(深圳)37185.12.379.7拟录取25100015015310037社会工作硕士(深圳)36585.82.879.6拟录取26100015015310132社会工作硕士(深圳)36486.02.879.5拟录取27100015015310162社会工作硕士(深圳)36685.02.679.4拟录取28100015015310046社会工作硕士(深圳)36786.51.979.3拟录取29100015015310126社会工作硕士(深圳)35688.32.678.9拟录取30100015015310141社会工作硕士(深圳)36284.02.778.6拟录取31100015015310061社会工作硕士(深圳)35487.12.878.5拟录取32100015015310123社会工作硕士(深圳)36884.41.578.4拟录取33100015015310015社会工作硕士(深圳)35884.82.177.6拟录取34100015015310115社会工作硕士(深圳)35485.12.077.1拟录取35100015015310142社会工作硕士(深圳)35085.02.376.8拟录取36100015015310083社会工作硕士(深圳)34780.22.374.9拟录取100015015310021社会学(骨干计划)35584.62.377.4拟录取霍颖康(港澳台)社会保障80.32.582.8拟录取刘涵(港澳台)社会工作硕士87.32.990.2拟录取许文琼(港澳台)社会工作硕士84.52.687.1拟录取REN,JIAQI(加拿大)社会工作硕士81.12.984.0拟录取黃琬萱(港澳台)社会学81.42.884.2拟录取林庭萱(港澳台)社会学72.42.875.3拟录取车苑莹(港澳台)社会学84.22.787.0拟录取FUJITA,RISE(日本)社会学85.81.887.7拟录取港澳台、留学生本文由启道考研&盛世清北提供。
2015年北大哲学系博士研究生复试成绩及初取公示
根据研究生院的相关规定,哲学系制定了博士生申请考核制招生方案。
根据简章说明,依据公开、公平、公正的招生原则,实施招生2015年博士招生工作。
本次复试包括笔试和面试两部分,笔试、面试满分分别为100分,成绩各占50%,任何一门不及格不予录取,均合格者择优录取。
成绩见附件。
按照招生实施方案,各专业考核委员会进行严格的复试,初取结论经过审核委员会的审核,并报研究生院审批,初取名单公示见附件,公示期从即日起,公示10日。
挂靠哲学系招生单位(高研院、国学院、儒藏中心、儒学院)以及其他情况,在全部完成并经研究生院审核后二次公示。
北京大学哲学系
2015年3月31日。
2015年北京大学哲学系考研复试名单哲学系2015年硕士生复试安排准考号姓名专业名称复试安排115230350李丹科学技术史3月24日上午9:00承泽园215230351韩慧云科学技术史315230349曾展鹏科学技术史415230131牟春旭科学技术史515230118焦崇伟科学技术哲学615230340付思雨科学技术哲学715230326李立晨科学技术哲学815230343杨昀昀科学技术哲学915230280薛雄星伦理学24日下午1:00在2051015230069沈丙辉逻辑学24日上午9:00在1061115230137关雷马克思主义哲学24日上午9:00在2291215230136王娟马克思主义哲学1315230139王晓旭马克思主义哲学1415230086李照阳美学23日上午10:00在燕南园56号美学基地1515230289王冠霖美学1615230054刘纪琪外国哲学23日下午2:00在1061715230245赵宁豪外国哲学1815230238左冠英外国哲学1915230020刘欣蔚中国哲学23日上午9:30在2062015230043徐羽中国哲学2115230193王子剑中国哲学2215230209赵阳中国哲学2315230160马天威中国哲学2415230313张荷宗教学(佛教)23日上午9:00在2332515230304褚维辉宗教学(佛教)2615230319毛蕊洁宗教学(宗教学)24日上午9:00在202115230123孟·明清科学技术哲学少民计划215230260次旦卓嘎外国哲学少民计划315230324马金鹏宗教学少民计划1香港盧洛天中国哲学2香港张婉青中国哲学3香港周淳鈞中国哲学4香港阮汉樑中国哲学5香港冯富荣中国哲学6香港楊廣澤外国哲学7台湾邱信翰伦理学1美国田凯文中国哲学。
2015年北大法学院考研复试名单成绩2015年北大法律硕士(非法学)研究生统一入学考试初取名单准考证号姓名初试总成绩复试成绩听力成绩加权总成绩总成绩名次15291726蔡腾36075674.7085 15291930曾文文36675274.3492 15290348曾焱梅36580275.7056 15291514陈宸35681675.9449 15291449陈栋37280176.3836 15290355陈佳汝35883576.5233 15290364陈伟克36072874.4090 15291931陈笑38472576.8627 15290371丛昊学37080677.6016 15291823单婷35777775.1875 15290378丁明阳38272275.6857 15290390范颖36585778.7011 15292071冯文琦37074575.5066 15290397冯玉洁37571575.3073 15290398符淑娴36083978.0015 15290402高广童37179476.8428 15290403高健36974575.3669 15291203高嵩35871773.52108 15290408高婷婷36076374.1097 15290415葛迎35874473.52107 15290422郭文山36475574.9679 15292011韩康麒37484779.663 15290431郝杰灵37076877.0024 15291241郝朋宇37569875.6062 15290441胡建凯36674574.9480 15290447胡悦36072673.80100 15291499黄其杰35776574.2894 15291478江敏36675876.1441 15291230荆法杰36675876.1442 15292031旷瑾35578875.5067 15290477劳晓玲36277675.5864 15291653李蓓36075574.4091 15291454李琳35677875.3471 15291374李梦可37074675.805315291991李强强37078376.1043 15290497李仁睿37483578.7610 15290498李蕊36883878.827 15290503李硕36074774.7086 15291864李文婷35980776.3637 15292000李杏子36979677.1622 15290508李艺凝36378676.0245 15290511李雨楼36485778.5612 15291608李云舒37975577.0623 15291595梁浩玮35973774.2695 15290521廖艳梅36778576.2838 15290525刘安东37174675.9450 15291869刘涛35879475.0278 15290545刘文娟36878877.3219 15291480鲁昊源36373975.4268 15290571罗超37773676.4834 15291632罗慧36875675.8252 15292020马腾35574874.3093 15290581马毅豪36772273.58104 15290584孟维治37376275.6261 15290593潘卓希37977978.865 15291507祁竹轩35680775.9451 15290609曲建婷36076775.3074 15291562任静35878173.8299 15290618沈凯月38876979.822 15290630苏秋纳35874774.4289 15290633孙明月37274876.6831 15291236孙玮琦36979777.4617 15291786孙亚威37172073.54106 15291635孙耀明36373273.32110 15291613唐俊烈37972676.4635 15291579唐克威35969973.66103 15290648陶志37968976.1640 15291462童志文36976575.9648 15291283万宇35784777.2820 15290656王宝鑫39574879.901 15290667王慧群36079776.2039 15291883王健斌36384076.0246 15291717王金旺38578679.104 15290671王乐玺35875975.3272 15291929王林燕37174575.645915290673王曼乐37176776.8429 15290689王骁健37377777.4218 15290694王旭36777776.5832 15291708王业飞36274373.78101 15291300吴碧茜36079575.6063 15291573吴鑫35979274.5687 15290710吴悠38180578.846 15291465夏聪35875473.8298 15290725徐榕玲39773378.3813 15290732薛祯38374878.2214 15292127闫景田36770473.58105 15290738杨春白雪36576776.0047 15290741杨洁36674775.5465 15290750杨玙宁36972675.0677 15290752叶闽莎37173675.6460 15291731奕琳36178374.8482 15291469尹惠桐40275078.789 15290762于若楠36973474.7683 15291470于悦38073676.9025 15291890余奔35772673.38109 15291908袁振飞38971577.2621 15292004张晋生36570473.30111 15292032张荦37477276.0644 15291488张敏捷35979274.5688 15291644张倩36574875.7055 15290794张倩倩36672373.74102 15291668张蓉蓉38174476.7430 15290797张文峰36885678.828 15290799张翔35776774.8881 15290802张晓乐36975575.6658 15290820赵卿梦36576475.1076 15291474郑荣圣36973675.3670 15291974钟雯35875574.1296 15290828周境宜36176875.7454 15292067周阳36777876.8826 15291619卓增华36974374.7684。
爱考机构考研-保研-考博高端辅导第一品牌哲学系逻辑学招生目录系所名称哲学系招生总数49人。
系所说明其中拟接收推荐免试生34人。
应试生复试权重为40%。
招生专业及人数010101马克思主义哲学 6010102中国哲学 6010103外国哲学7010104逻辑学 3010105伦理学 4010106美学 5010107宗教学8010108科学技术哲学7071200科学技术史 3哲学系逻辑学考试科目系所名称哲学系招生总数49人。
系所说明其中拟接收推荐免试生34人。
应试生复试权重为40%。
招生专业:逻辑学 (010104) 人数:3研究方向考试科目考试科目③中数学(三)、语言学、西方哲学史一(含现代部分)任选一门。
1 101思想政治理论2 201英语一3 303数学(三)、620语言学、630西方哲学史一4 858数理逻辑哲学系逻辑学专业简介逻辑学教研室是国内最早的逻辑学教学和研究基地,具有深厚的学术传统。
金岳霖、胡世华、王宪钧等著名逻辑学家亲手创建和培植了北大逻辑学专业。
1952 年,全国高校院系调整,全国各大学的哲学系并入北京大学。
几乎所有的逻辑教师都到了北京大学哲学系,成立了全国唯一的逻辑教研室。
有清华大学的金岳霖、沈有鼎、王宪钧、周礼全,北京大学的胡世华、晏成书,北京师范大学的汪奠基、南京大学的何兆清、武汉大学的江天骥、辅仁大学的李世繁、燕京大学的吴允增、中山大学的容汝幌。
由王宪均主持教研室的工作。
这样集中的时间并不长。
1953 年,胡世华去了数学所,1956 年金岳霖、沈有鼎、周礼全、汪奠基去了新成立的哲学研究所,江天骥去了武汉大学。
1977 年恢复逻辑教研室时,人员有王宪均、晏成书、吴允增、李世繁、宋文坚。
由王宪钧任教研室主任,继任教研室主任晏成书、宋文坚。
几十年来,本学科点培养了一批优秀的逻辑人才,他们已成为中国逻辑学研究和教学的骨干力量。
目前,逻辑学教研室的教学、科研工作主要涉及现代逻辑,包括数理逻辑和哲学逻辑,也涉及逻辑哲学、数学哲学、语言哲学等,还涉及逻辑与人工智能、逻辑与语言学等交叉学科。
北京大学2015年考研报录比(学术型)专业代码专业名称报考人数录取人数录取比例010101马克思主哲学32515.63%010102中国哲学39410.26%010103外国哲学21628.57%010104逻辑学8337.50%010105伦理学10220.00%010106美学25520.00%010107宗教学9111.11%010108科学技术哲学4250.00%020101政治经济学2229.09%020104西方经济学1400.00%020105世界经济400.00%020106人口、资源与环境经济学16425.00%020202区域经济学5048.00%020204金融学2700.00%020206国际贸易学600.00%020207劳动经济学7114.29%030101法学理论151 6.67%030104刑法学2213214.48%030105民商法学23313.04%030106诉讼法学58813.79%030107经济法学6116.67%030109国际法学5240.00%030201政治学理论11436.36%030204中共党史4548.89%030207国际关系31516.13%030304民俗学39410.26%030501马克思主义基本原理37513.51%030503马克思主义中国化研究11218.18%030505思想政治教育61914.75%040101教育学原理1398 5.76%040102课程与教学论44628 6.28%040103教育史50816.00%040104比较教育学10598.57%040105学前教育学1084 3.70%040106高等教育学57610.53%040107成人教育学11100.00%040108职业技术教育学8225.00%040109特殊教育学56712.50%0401Z1教师教育33927.27%0401Z2远程教育10220.00%040200心理学301258.31%040201基础心理学2229.09%040202发展与教育心理学381 2.63%0402Z1认知神经科学761317.11%040301体育人文社会学29310.34%040303体育教育训练学483 6.25%040304民族传统体育学3133.33%047101教育经济与管理1202520.83%050101文艺学8367.23%050102语言学及应用语言学15610 6.41% 050103汉语言文字学19810 5.05%050104中国古典文献学55712.73%050105中国古代文学1503 2.00%050106中国现当代文学23414 5.98%050108比较文学与世界文学956 6.32%0501Z2儿童文学30310.00%050201英语语言文学654 6.15%050202俄语语言文学3538.57%050205日语语言文学463 6.52%050211外国语言学及应用语言学1509 6.00% 050302传播学121129.92%060100考古学10110.00%060200中国史178158.43%060300世界史43511.63%070101基础数学5958.47%070102计算数学5240.00%070103概率论与数理统计50714.00% 070104应用数学14428.57%070201理论物理331339.39%070202粒子物理与原子核物理12200.00% 070205凝聚态物理47919.15%070207光学6583.33%070301无机化学34411.76%070302分析化学10220.00%070303有机化学13538.46%070304物理化学461226.09%070305高分子化学与物理23626.09% 0703Z1药物化学与分子工程9555.56% 070401天体物理151066.67%070501自然地理学45817.78%070502人文地理学5147.84%070503地图学与地理信息系统1001515.00% 0705Z1自然资源421945.24%0705Z2全球环境变化422047.62%0705Z3自然灾害学412356.10%071000生物学1542415.58%071101系统理论11327.27%071102系统分析与集成3266.67%071300生态学5159.80%0714Z1经济统计学19526.32%0714Z2应用统计3133.33%078401教育技术学781114.10%078501运动人体科学21628.57%080501材料物理与化学24200.00%081001通信与信息系统18844.44%081002信号与信息处理6350.00%081101控制理论与控制工程200.00%081202计算机软件与理论11436.36% 081203计算机应用技术361336.11%081405防灾减灾工程及防护工程6350.00% 081501水文学及水资源22418.18%081603地图制图学与地理信息工程4125.00% 082703核技术及应用15746.67%083001环境科学902224.44%083002环境工程511835.29%0830Z1地下水科学与工程13538.46% 090707水土保持与荒漠化防治3266.67% 100800中药学8450.00%120100管理科学与工程12433.33%120201会计学2129.52%120202企业管理261 3.85%120401行政管理1407 5.00%120403教育经济与管理11100.00%120405土地资源管理35720.00%1204J1人力资源管理452 4.44%1204Z1政府经济管理12200.00%120501图书馆学6233.33%120502情报学29724.14%130100艺术学理论5120.00%130200音乐与舞蹈学2900.00%130300戏剧与影视学1356 4.44%130400美术学8067.50%。