七年级下计算题大全
- 格式:docx
- 大小:300.96 KB
- 文档页数:12
七年级数学下册复习试卷——计算题&解答题姓名__________ 班别___________ 座号___________一、计算题:1、)2()9()3(32422ab b a b a -⋅-÷2、 ()()733222x x x ÷⋅-3、)2()(b a b a -++-4、22(1)3(2)x x x ---+5、,4)12(332312++--x x x 6、)346(21)21(3223223ab b a a ab b a a ++-+-7、(x+2)(y+3)-(x+1)(y-2) 8、22)2)(2(y y x y x ++-9、x(x -2)-(x+5)(x -5) 10、⎪⎭⎫⎝⎛+-⎪⎭⎫ ⎝⎛--y x y x 22411、)94)(32)(23(22x y x y y x +--- 12、()()3`122122++-+a a13、()()()2112+--+x x x 14、(x -3y)(x+3y)-(x -3y)215、23(1)(1)(21)x x x +--- 16、22)23()23(y x y x --+17、22)()(y x y x -+ 18、x y y x ÷-+])3[(2219、0.125100×810020、()xyxy xy y x 183********÷--21、3022)2(21)x (4554---÷⎪⎭⎫ ⎝⎛--π-+⎪⎭⎫ ⎝⎛-÷⎪⎭⎫ ⎝⎛ 22、(1211200622332141)()()()-⨯+----二、用乘法公式计算下列各题:23、999×1001 24、1992-25、298 26、2010200820092⨯-三、解答题::27、化简求值:)4)(12()12(2+-+-a a a ,其中2-=a 。
28、化简求值2(2)2()()2(3)x y x y x y y x y +--++-,其中12,2x y =-=。
七年级下册数学计算题大全1. 四则运算1.1 加法1.求解:3 + 7 = ?2.求解:12 + 5 = ?3.求解:-8 + 4 = ?4.求解:0 + 14 = ?1.2 减法1.求解:10 - 4 = ?2.求解:15 - 7 = ?3.求解:-6 - 3 = ?4.求解:0 - 10 = ?1.3 乘法1.求解:3 × 4 = ?2.求解:8 × 5 = ?3.求解:-2 × 6 = ?4.求解:0 × 7 = ?1.4 除法1.求解:12 ÷ 3 = ?2.求解:20 ÷ 4 = ?3.求解:-21 ÷ 7 = ?4.求解:0 ÷ 8 = ?2. 小数运算2.1 加法1.求解:1.2 + 0.8 = ?2.求解:3.5 + 1.7 = ?3.求解:-2.3 +4.5 = ?4.求解:0.9 + 0.1 = ?2.2 减法1.求解:5.8 -2.3 = ?3.求解:-3.2 - 1.5 = ?4.求解:0.8 - 0.4 = ?2.3 乘法1.求解:1.5 × 2 = ?2.求解:3.2 × 0.5 = ?3.求解:-2.5 × 4 = ?4.求解:0.3 × 6 = ? 2.4 除法1.求解:6 ÷2.5 = ?2.求解:7.2 ÷ 1.2 = ?3.求解:-10.5 ÷ 3 = ?4.求解:0.6 ÷ 0.2 = ?3. 分数运算3.1 加法1.求解:1/4 + 1/8 = ?2.求解:3/5 + 2/5 = ?3.求解:-1/3 + 2/3 = ?4.求解:2 + 1/2 = ? 3.2 减法1.求解:5/6 - 1/3 = ?2.求解:7/8 - 2/8 = ?3.求解:-3/5 - 1/5 = ?4.求解:4 - 1/3 = ? 3.3 乘法1.求解:2/3 × 3/4 = ?2.求解:5/6 × 2/5 = ?3.求解:-4/7 × 3/4 = ?4.求解:2 × 3/8 = ? 3.4 除法1.求解:2/3 ÷ 3/4 = ?2.求解:5/8 ÷ 4/5 = ?4.求解:4 ÷ 2/7 = ?4. 混合运算1.求解:3 × (4 + 2) ÷ 2 - 1 = ?2.求解:(5 - 3) ÷ (2 + 1) × 4 = ?3.求解:3/4 + 1/5 - 2/7 = ?4.求解:2 × (1/2 + 3/4) ÷ 4 = ?以上是七年级下册数学计算题的一部分,希望对你的学习有所帮助。
七年级下册计算题100题强化训练1、 计算: 2014201(1)()(3.14)2π--+---2、计算: ()()222223366m m n m n m -÷--3、先化简再求值 (5x 2y 3﹣4x 3y 2+6x )÷6x ,其中x=﹣2,y=24、计算:()()()2211x x x +--+5、若2(3)(4)mx x x -+的积中不含2x 项,求m 的值.6、化简再求值:()()x x y x x 2122++-+,其中251=x ,25-=y 。
7、若4=m x ,8=n x ,求n m n m x x +-23和的值。
8、计算:);12(6)2(23-+-x x x x9、计算:(﹣4)2007×(﹣0.25)200810、计算:5 (a 2b -3ab 2)-2(a 2b -7ab 2)11、化简求值:.12、计算:()()x y x y -+-2(x-y ))4)(()2(2b a b a b a ---+2012=b13、化简求值:2(21)4(1)(2)x x x --+-,其中2x =14、计算:()()22012011 3.142π-⎛⎫-+--- ⎪⎝⎭15、计算:()()()2112+--+x x x16、化简并求值:()()()()2212+++---a b a b a b a ,其中12a =,2-=b 。
17、计算:4562﹣457×455.18、计算:(x ﹣y )3÷(y ﹣x )219、计算:a 2•a 4+(﹣a 2)320、化简并求值:[(3x+2y )(3x ﹣2y )﹣(x+2y )(5x ﹣2y )]÷4x21、化简并求值:(3a ﹣b )2﹣3(2a+b )(2a ﹣b )+3a 2,其中a=﹣1,b=2.22、计算:()()223222xy y x ÷-23、计算:)3()()3(24322b a ab b a ÷⨯24、计算:()()232021211981-+⎪⎭⎫ ⎝⎛-+----π25、计算:)3)(2(2)2(2-+--x x x26、计算:()22231231⎪⎭⎫ ⎝⎛÷-⎪⎭⎫ ⎝⎛ab ab a ab27、 计算: 2)12()23)(23(--+-mn mn mn28、先化简再求值: ()()()()212152323-----+x x x x x ,其中31-=x 。
七年级下册数学计算题300道一、整数的加减法1. (-4) + 3 = ?2. (-5) - (-2) = ?3. 7 + (-8) = ?4. (-3) - 6 = ?5. 9 + (-11) = ?6. (-2) + 5 + (-7) = ?7. 8 + (-4) - 3 = ?8. (-6) - (-9) + 2 = ?9. 5 - (-6) + (-2) = ?10. (-8) + 4 - (-3) = ?二、正数的乘除法1. 7 × 9 = ?2. 12 ÷ 6 = ?3. 20 ÷ 4 × 5 = ?4. 36 ÷ 3 - 4 = ?5. 15 ÷ 5 × 3 = ?6. 48 ÷ 6 × 4 = ?7. 10 × 5 - 25 ÷ 5 = ?8. 24 ÷ 8 × 3 = ?9. 16 ÷ 4 + 6 × 2 = ?10. 25 - 15 ÷ 3 × 2 = ?三、分数的加减法1. 1/3 + 2/3 = ?2. 1/4 + 3/4 = ?3. 2/5 - 1/5 = ?4. 3/8 - 1/8 = ?5. 2/3 + 1/6 = ?6. 3/5 + 1/5 = ?7. 5/6 - 2/6 = ?8. 2/3 - 1/3 = ?9. 1/2 + 1/4 + 1/8 = ?10. 3/8 - 1/4 + 1/2 = ?四、分数的乘除法1. 1/4 × 3/5 = ?2. 3/8 ÷ 1/4 = ?3. 2/3 × 3/4 = ?4. 1/2 ÷ 2/3 = ?5. 5/6 × 4/5 ÷ 3/4 = ?6. 3/4 ÷ 6/8 × 2/3 = ?7. 2/5 × 2/7 ÷ 3/10 = ?8. 2/3 × 3/5 + 1/4 = ?9. 5/8 ÷ 1/4 - 2/3 = ?10. 3/5 × 2/3 - 1/4 = ?五、小数运算1. 0.5 + 0.25 = ?2. 0.7 - 0.4 = ?3. 2.5 - 0.75 = ?4. 3.2 + 1.8 - 1.9 = ?5. 1.5 × 2.5 = ?6. 2.4 ÷ 1.2 = ?7. 3.6 + 0.3 × 2.5 = ?8. 4.8 ÷ 0.6 + 2.4 = ?9. 1.5 - 0.7 ÷ 0.5 = ?10. 2.5 × 0.8 - 1.4 ÷ 0.7 = ?六、比例运算1. 若2∶5=4∶m,则m等于多少?2. 若7∶10=9∶m,则m等于多少?3. 若x∶3=6∶9,则x等于多少?4. 若3∶x=15∶30,则x等于多少?5. 若3∶4=x∶6,则x等于多少?6. 若3∶4=x∶12,则x等于多少?7. 若3∶x=16∶24,则x等于多少?8. 若3∶5=x∶15,则x等于多少?9. 若5∶m=8∶10,则m等于多少?10. 若2∶3=x∶20,则x等于多少?七、百分数运算1. 将70%化为小数。
七年级数学下册复习试卷——计算题__________ 班别___________ 座号___________1、)2()9()3(32422ab b a b a -⋅-÷2、 ()()733222x x x ÷⋅-3、)2()(b a b a -++-4、22(1)3(2)x x x ---+~5、,4)12(332312++--x x x 6、)346(21)21(3223223ab b a a ab b a a ++-+-7、(x+2)(y+3)-(x+1)(y-2) 8、22)2)(2(y y x y x ++-.9、x(x -2)-(x+5)(x -5) 10、⎪⎭⎫⎝⎛+-⎪⎭⎫ ⎝⎛--y x y x 22411、)94)(32)(23(22x y x y y x +--- 12、()()3`122122++-+a a,13、()()()2112+--+x x x 14、(x -3y)(x+3y)-(x -3y)215、23(1)(1)(21)x x x +--- 16、22)23()23(y x y x --+—17、22)()(y x y x -+ 18、x y y x ÷-+])3[(2219、×8100 20、()xy xy xy y x 18361085422÷--》21、3022)2(21)x (4554---÷⎪⎭⎫⎝⎛--π-+⎪⎭⎫ ⎝⎛-÷⎪⎭⎫ ⎝⎛22、(1211200622332141)()()()-⨯+----(用乘法公式计算下列各题:23、999×1001 24、1992-25、298 26、2010200820092⨯-,27、化简求值:)4)(12()12(2+-+-a a a ,其中2-=a 。
28、化简求值2(2)2()()2(3)x y x y x y y x y +--++-,其中12,2x y =-=。
初一数学(下)计算训练50道题(含实数、方程、不等式)原创1.计算:|﹣3|﹣×+(﹣2)2.2.计算:|﹣3|﹣×+(﹣2)3.3.计算:﹣+3×+.4.计算:||+|﹣1|﹣|3|5.计算:﹣++.6.计算:|﹣5|+(﹣2)2+﹣﹣1.7.计算:.8.计算:﹣12+(﹣2)3×﹣×|﹣|+2÷()2.9.计算:(﹣2)3×+×()2﹣.10.计算﹣14++﹣[5﹣(﹣3)2];11.计算:(﹣2)2++﹣|﹣|+.12.计算:;13.计算:﹣+3×﹣.14.计算:.15.计算(﹣2)3×+×()2﹣16.计算:(﹣2)3×.17.计算:.18.解方程(2x﹣3)2=49.19.解方程:4(x﹣1)2﹣16=0.20.解方程.21.解方程:(x﹣1)3=16.22.解方程:8(x+1)2﹣50=023.解方程:(5x+3)3+32=0.24.解方程:(x+1)3﹣=1.25.解方程:﹣27(2x﹣1)3=﹣6426.解方程:32(x﹣1)3=27.解方程组.28.按括号内要求解方程组:29.解方程组:.30.解方程组.31.解方程组:.32.解方程组:33.解方程组:.34.解方程组:.35.解不等式:>1﹣.36.解不等式:.37.解不等式:38.解不等式:2x﹣3≤(x+2)39.解不等式:<6﹣.40.解不等式:.41.解不等式.42.解不等式组:.43.解不等式组:.44.解不等式组:.45.解不等式组.46.解不等式组.48.解不等式组:.47.解不等式组:、49.解不等式组:.50.解不等式组.。
七年级下册数学计算题1000道及答案18x+23y=230374x-y=1998答案:x=27 y=7944x+90y=779644x+y=3476答案:x=79 y=4876x-66y=408230x-y=2940答案:x=98 y=5167x+54y=854671x-y=5680答案:x=80 y=5942x-95y=-141021x-y=1575答案:x=75 y=4847x-40y=85334x-y=2006答案:x=59 y=4819x-32y=-178675x+y=4950答案:x=66 y=9597x+24y=7202 58x-y=2900答案:x=50 y=98 )42x+85y=636263x-y=1638答案:x=26 y=62 85x-92y=-251827x-y=486答案:x=18 y=44 79x+40y=2419 56x-y=1176答案:x=21 y=19 80x-87y=215622x-y=880答案:x=40 y=12 91x+70y=5845 95x-y=4275答案:x=45 y=25 29x+44y=5281 88x-y=3608答案:x=41 y=93 25x-95y=-435540x-y=2000答案:x=50 y=59 54x+68y=328478x+y=1404答案:x=18 y=34 48x-54y=-318624x+y=1080答案:x=45 y=99 36x+77y=761947x-y=799答案:x=17 y=91 13x-42y=-271731x-y=1333答案:x=43 y=78 (24) 28x+28y=3332 52x-y=4628答案:x=89 y=30 62x-98y=-256446x-y=2024答案:x=44 y=54 79x-76y=-438826x-y=832答案:x=32 y=91 63x-40y=-82142x-y=546答案:x=13 y=41 69x-96y=-120942x+y=3822答案:x=91 y=78 85x+67y=7338 11x+y=308答案:x=28 y=74 78x+74y=12928 14x+y=1218答案:x=87 y=83 39x+42y=533159x-y=5841答案:x=99 y=35 29x+18y=1916 58x+y=2320答案:x=40 y=42 40x+31y=604345x-y=3555答案:x=79 y=9345x+y=3780答案:x=84 y=93 45x-30y=-145529x-y=725答案:x=25 y=86 11x-43y=-1361 47x+y=799答案:x=17 y=36 33x+59y=3254 94x+y=1034答案:x=11 y=49 89x-74y=-2735 68x+y=1020答案:x=15 y=55 94x+71y=751778x+y=3822答案:x=49 y=41 28x-62y=-493446x+y=552答案:x=12 y=85 75x+43y=8472答案:x=82 y=54 41x-38y=-118029x+y=1450答案:x=50 y=85 22x-59y=82463x+y=4725答案:x=75 y=14 95x-56y=-401 90x+y=1530答案:x=17 y=36 93x-52y=-852 29x+y=464答案:x=16 y=45 93x+12y=882354x+y=4914答案:x=91 y=30 21x-63y=8420x+y=1880答案:x=94 y=30 48x+93y=975638x-y=950答案:x=25 y=9299x-67y=401175x-y=5475答案:x=73 y=48(x^4-2x²+1)÷(x²+2x+1)答案:(x-1)²18x+23y=230374x-y=1998答案:x=27 y=7944x+90y=779644x+y=3476答案:x=79 y=4876x-66y=408230x-y=2940答案:x=98 y=5167x+54y=854671x-y=5680答案:x=80 y=5942x-95y=-141021x-y=1575答案:x=75 y=4834x-y=2006答案:x=59 y=48 19x-32y=-1786 75x+y=4950答案:x=66 y=95 97x+24y=7202 58x-y=2900答案:x=50 y=98 )42x+85y=636263x-y=1638答案:x=26 y=62 85x-92y=-251827x-y=486答案:x=18 y=44 79x+40y=2419 56x-y=1176答案:x=21 y=19 80x-87y=215622x-y=880答案:x=40 y=12 91x+70y=5845答案:x=45 y=25 29x+44y=528188x-y=3608答案:x=41 y=93 25x-95y=-435540x-y=2000答案:x=50 y=59 54x+68y=328478x+y=1404答案:x=18 y=34 48x-54y=-318624x+y=1080答案:x=45 y=99 36x+77y=761947x-y=799答案:x=17 y=91 13x-42y=-271731x-y=1333答案:x=43 y=78 (24) 28x+28y=3332 52x-y=4628答案:x=89 y=30 62x-98y=-2564 46x-y=2024答案:x=44 y=54 79x-76y=-4388 26x-y=832答案:x=32 y=91 63x-40y=-82142x-y=546答案:x=13 y=41 69x-96y=-120942x+y=3822答案:x=91 y=78 85x+67y=7338 11x+y=308答案:x=28 y=74 78x+74y=12928 14x+y=1218答案:x=87 y=83 39x+42y=533159x-y=5841答案:x=99 y=3529x+18y=1916 58x+y=2320答案:x=40 y=42 40x+31y=604345x-y=3555答案:x=79 y=93 47x+50y=859845x+y=3780答案:x=84 y=93 45x-30y=-145529x-y=725答案:x=25 y=86 11x-43y=-1361 47x+y=799答案:x=17 y=36 33x+59y=3254 94x+y=1034答案:x=11 y=49 89x-74y=-2735 68x+y=1020答案:x=15 y=55 94x+71y=751778x+y=3822答案:x=49 y=41 28x-62y=-493446x+y=552答案:x=12 y=85 75x+43y=847217x-y=1394答案:x=82 y=54 41x-38y=-118029x+y=1450答案:x=50 y=85 22x-59y=82463x+y=4725答案:x=75 y=14 95x-56y=-401 90x+y=1530答案:x=17 y=36 93x-52y=-852 29x+y=464答案:x=16 y=45 93x+12y=882354x+y=4914答案:x=91 y=3021x-63y=8420x+y=1880答案:x=94 y=3048x+93y=975638x-y=950答案:x=25 y=9299x-67y=401175x-y=5475答案:x=73 y=48(x^4-2x²+1)÷(x²+2x+1) 答案:(x-1)²。
七年级下计算题以下是一些七年级下的计算题:1. 计算:25×34 + 66÷362. 计算:210 ÷ (3 + 4 × 5)3. 计算:98÷{7×[4+6]}4. 计算:[100-(48+27)]÷55. 计算:(334-207)÷[(111-98)×4]6. 计算:124-(76+36)÷287. 计算:[60-(15+10)]×38. 计算:(32×5-36)÷39. 计算:25×18×4010. 计算:75+50÷511. 计算:88×9912. 计算:100^2 - 99^213. 计算:(25+100)/2514. 计算:(45-30)×(90-68)15. 计算:25×4÷25×416. 计算:(100+50)÷(30-10)17. 计算:(30+40)×(70-40)18. 计算:(60-36)÷(15×2)19. 计算:90÷(3×6-9)20. 计算:(75-50)×(90+60)21. 计算:101×9922. 计算:98÷(7×4)23. 计算:(15+25)×(30-10)24. 计算:(60-40)×(10+20)25. 计算:70÷(5×8-10)26. 计算:(30+15)÷(10-5)27. 计算:(40-20)×(90+30)28. 计算:90÷(5×6-9)29. 计算:(70-40)×(60+30)30. 计算:80÷(4×5-8)这些题目进一步强调了乘除法的混合运算和括号的优先级,不仅涵盖了整数和整数的运算,还涉及了平方、乘除法和加减法的混合运算,以及括号的优先级、小数和分数的基本运算、四则混合运算等基本数学概念和复杂的数学概念。
七年级下数学计算题一、整式的运算类1. 计算:(2x + 3y)(3x - 2y)- 解析:- 根据多项式乘法法则,用一个多项式的各项去乘另一个多项式的每一项,再把所得的积相加。
- 原式=2x×3x - 2x×2y+3y×3x - 3y×2y- = 6x^2-4xy + 9xy-6y^2- =6x^2+5xy - 6y^2。
2. 计算:(3a - 2b)^2- 解析:- 根据完全平方公式(a - b)^2=a^2-2ab + b^2,这里a = 3a,b = 2b。
- 原式=(3a)^2-2×3a×2b+(2b)^2- = 9a^2-12ab + 4b^2。
3. 化简:3x(2x^2-x + 1)-2x^2(3x - 2)- 解析:- 先分别进行单项式乘多项式运算。
- 原式=3x×2x^2-3x× x+3x×1-(2x^2×3x - 2x^2×2)- = 6x^3-3x^2+3x-(6x^3-4x^2)- 去括号得6x^3-3x^2+3x - 6x^3+4x^2- 合并同类项得x^2+3x。
4. 计算:(x + 2y)(x - 2y)(x^2+4y^2)- 解析:- 先利用平方差公式(a + b)(a - b)=a^2-b^2计算前两个括号。
- 原式=(x^2-4y^2)(x^2+4y^2)- 再利用平方差公式得x^4-16y^4。
5. 化简:(2m + n - 1)(2m - n - 1)- 解析:- 把式子变形为[(2m - 1)+n][(2m - 1)-n]- 利用平方差公式得(2m - 1)^2-n^2- 再根据完全平方公式展开(2m - 1)^2=4m^2-4m + 1- 所以原式=4m^2-4m + 1 - n^2。
二、一元一次方程类6. 解方程:3x+5 = 2x - 1- 解析:- 移项,将含x的项移到等号左边,常数项移到等号右边,得3x - 2x=-1 - 5。
一、实数运算题:(1)2+3-(5+4)3−1|(2)√16-|√8125(3)﹣|2﹣|﹣.(4)++(5)﹣32+|﹣3|+.(6)+|3﹣|+﹣.(7)+|﹣2|++(﹣1)2015.(8)(﹣1)2015++|1﹣|﹣.(9)+()2+(10)+﹣|1﹣|(11).(12)+﹣;(13)+|﹣1|﹣(+1).(14).(15)(﹣)2﹣﹣+﹣|﹣6|(16)|1﹣|+|﹣|+|﹣2|.(17)计算:+﹣|1﹣|;(18)﹣|﹣|++(19) ||+|﹣1|﹣|3|(20)﹣++.二、求下列各式中x的值:(1)4x2=25(2)4x2=81;(3)4(x﹣1)2=9.(4)4(x+3)2﹣16=0(5)(x+1)2﹣3=0;(6)(2x+10)3=﹣27.(7)5x3=﹣40(8)3x3+4=﹣20.(9)27(x﹣1)3﹣8=0.(10)27(x﹣3)3=﹣8.三、解方程组:1.解方程组:.2.解方程组.3.用指定的方法解下列方程组:(1)(代入法)(2)(加减法)4.解方程组.5.解下列方程组:(1)(2).6.解方程组:.7.解方程组.8.解方程组:9.解方程组.10.解方程组.11.解方程组:.12.解方程组:(1)(2)(用加减法解).13.解方程组:(1)(2).14.解方程(组):(1)2﹣=(2).15.解方程组:.16.解方程组:.17.用适当方法解下列方程组.(1)(2).18.解方程组:(1)(2).19.解方程组(1)(2).20.解下列方程组(1)(2).21.解下列方程组:(1)(2).22.解方程组(1);(2).23.(1)(2).24..25.解下列方程组(1)(2).四、解不等式(组):1.解下列不等式,并把它的解集在数轴上表示出来.4﹣2(x﹣3)≥4(x+1)2.解不等式,并把解集在数轴上表示出来:2(x+1)>x.3.解不等式﹣1≤,并把解集在数轴上表示出来.4.解不等式组:.5.解不等式组,并把解集在数轴上表示出来.6.解不等式组:.7.解不等式组:.8.解不等式组并将解集在数轴上表示出来.9.解不等式组:,并把它的解集在数轴上表示出来.10.解不等式组:并在数轴上表示解集.11.解不等式组:12.解不等式组:.13.解不等式组:.14.解不等式组:.15.解不等式≥4,并将其解集在数轴上表示出来.16.解不等式﹣≥﹣1(把解集在数轴上表示出来)17.解不等式:x﹣<2x+.18.解不等式组并把其解集在数轴上表示出来.19.解不等式组:.20.解不等式组,并在数轴上将解集表示出来.21.(1)解不等式:<x+2;(2)解不等式组:.22.(1)计算(2)解方程组(3)解不等式组并把它的解集在数轴上表示出来.23.求不等式组的所有整数解.24.解不等式2x﹣7<5﹣2x.25.解不等式:>1﹣.26.解不等式5x+15>0,并将解集在数轴上表示出来.27.解不等式,并把解集表示在数轴上..28.求不等式2x﹣3≥x的解集.29.解下列不等式(组),并把解集表示在数轴上.(1)(2).30.解下列不等式组,并把不等式组的解集表示在数轴上(1).(2).31.解下列不等式(组):(1)≥﹣1;(2).32.解不等式(组)并在数轴上表示解集(1)(x+2)(x﹣2)+5>(x﹣5)(x+1)(2).33.解不等式(组)(1)3(1﹣x)<2(x+9);(2).34.解不等式(组)(1)﹣1<(2).35.解下列不等式(组),并把解集在数轴上表示出来.(1)3(1﹣x)﹣2(4﹣2x)≤0(2).36.解不等式(组),并把解集在数轴上表示出来.(1)5(x﹣1)>6x﹣10(2).37.求的自然数解.38.解不等式:.39.解下列不等式,并把解集在数轴上表示出来:(1)3(x+2)﹣8≥1﹣2(x﹣1);(2)﹣1>.40.解不等式组:.。
一、求角的度数
1.已知直线AB、CD相交于点O,OA平分∠EOC,∠EOC=70°,求∠BOD和∠BOC 的度数。
2. 直线AB、CD交于点O,OE是∠AOD的平分线,已知∠AOC=50°。
求∠DOE的度数。
3.如图,直线AB、CD相交于点O,EO⊥AB,垂足为O,∠EOC=35°,求∠AOD 的度数.
4.如图,直线AB⊥CD,垂足为O,直线EF经过点O,∠1=26°,求∠2,∠3,∠4的度数.
二、逻辑推理题
1.如图,AB//EF,∠1=350, ∠2=1450.CD 与EF 平行吗?为什么? 解:CD//EF,理由如下:
∵∠1=350, ∠2=1450(已知)
∴∠1 + ∠2=350 + 1450=1800
∴AB//CD (同旁内角互补,两直线平行).
∵AB//EF(已知)
∴CD//EF (平行于同一条直线的两直线平行).
2.如图所示,AB ⊥BD 于点B ,CD ⊥BD 于点D ,∠1+∠2=180°,试问CD 与EF 平行吗?为什么?
解:CD ∥EF.理由如下:
∵AB ⊥BD ,CD ⊥BD (已知),
∴AB ∥CD (在同一平面内,垂直于同一条直线的两条直线平行). ∵∠1+∠2=180°(已知),
∴AB ∥EF (同旁内角互补,两直线平行).
∴CD ∥EF (平行于同一条直线的两直线平行).
3.已知∠DAC= ∠ACB, ∠D+∠DFE=1800,求证:EF//BC
证明: ∵ ∠DAC= ∠ACB (已知)
∴ AD// BC(内错角相等,两直线平行)
∵ ∠D+∠DFE=1800(已知)
∴AD// EF(同旁内角互补,两直线平行)
∴ EF// BC(如果两条直线与第三条直线平行,那么这两条直线也互相平行)
4.如图,直线m⊥l,n⊥l,∠1=∠2.求证:∠3=∠4.
证明:∵m⊥l,n⊥l,
∴m∥n,
∴∠1=∠4,∠2=∠3.
∵∠1=∠2,
∴∠3=∠4.
5.已知如图,CD⊥AB于点D,EF⊥AB于点F,∠1=∠2.(1)求证:CD∥EF;(2)判断∠ADG与∠B的数量关系?并说明理由.
证明:(1)∵CD⊥AB,EF⊥AB(已知)
∴CD∥EF(在同一平面内,垂直于同一条直线的两条直线平行).
(2)∠ADG=∠B.理由如下:
∵CD∥EF(已证)
∴∠2=∠3(两直线平行,同位角相等)
∵∠1=∠2(已知)
∴∠1=∠3(等量代换)
∴DG∥BC(内错角相等,两直线平行),
∴∠ADG=∠B(两直线平行,同位角相等).
6.如图,已知AE⊥BC,FG⊥BC,∠1=∠2.求证:AB∥CD.
证明:∵AE ⊥BC,FG ⊥BC,
∴AE∥FG,
∴∠1=∠A.
∵∠1 =∠2,
∴∠2=∠A,∴AB ∥CD.
7.已知:如图,CE 平分∠ACD ,∠1=∠2.求证:AB ∥CD.
证明:∵CE 平分∠ACD (已知)
∴∠2=∠DCE (角平分线定义)
∵∠1=∠2(已知)
∴∠1=∠DCE (等量代换)
∴AB ∥CD (内错角相等,两直线平行).
8.如图,∠1=∠3,∠1=∠2,那么DE 与BC 有怎样的位置关系?为什么? 解:DE ∥BC ,理由如下:
∵∠1=∠3,∠1=∠2(已知)
∴∠2=∠3(等量代换)
∴DE ∥BC (内错角相等,两直线平行).
9.如图,已知AD ∥BE ,∠A=∠E ,求证:∠1=∠2.
证明:∵AD ∥BE (已知),
∴∠A=∠3(两直线平行,同位角相等),
∵∠A=∠E (已知),
∴∠3=∠E (等量代换),
∴DE ∥AB (内错角相等,两直线平行),
∴∠1=∠2(两直线平行,内错角相等).
10.如图,已知∠A=∠F ,∠C=∠D ,试说明BD ∥CE .
解:∵∠A=∠F (已知),
∴AC ∥DF (内错角相等,两直线平行),
∴∠C=∠CEF (两直线平行,内错角相等),
∵∠C=∠D (已知),
∴∠D=∠CEF (等量代换),
∴BD ∥CE (同位角相等,两直线平行).
11.如图,已知∠B=∠C ,AD ∥BC,求证:AD 平分∠CAE .
证明:∵AD ∥ BC ,
∴∠2=∠B ,∠1=∠C.
∵∠B=∠C ,
∴∠1=∠2,
∴AD 平分∠CAE .
12.如图,点E 在直线DF 上,点B 在直线AC 上,若∠1=∠2,∠3=∠4,则∠A =∠F ,请说明理由.
证明:∵∠1=∠2(已知)
∠2=∠DGF (对顶角相等),
∴∠1=∠DGF ,
∴BD ∥CE ,(同位角相等,两直线平行),
∴∠3+∠C=180°,(两直线平行,同旁内角互补),
又∵∠3=∠4(已知)
∴∠4+∠C=180°
∴DF ∥AC (同旁内角互补,两直线平行) ∴∠A=∠F (两直线平行,内错角相等).
13.已知,如图,DE ⊥AC,∠AGF=∠ABC,∠1+∠2=180°,试判断BF与
AC的位置关系,并说明理由.
∵∠AGF=∠ABC,
∴FG∥BC,
∴∠1=∠3.
∵∠1+∠2=180°,
∴∠3+∠2=180°,
∴BF∥DE,
∴∠BFC=∠DEC.
∵DE⊥AC,
∴∠DEC=90°,
∴∠BFC=90°,
∴BF⊥AC.
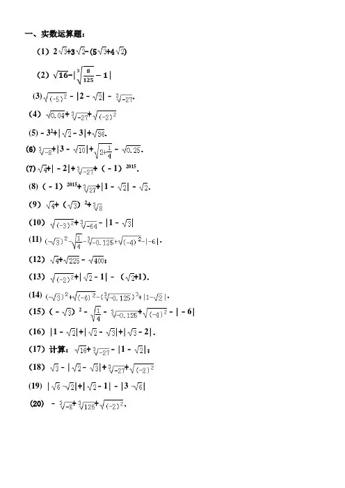
三、实数运算题:
(1)2+3-(5+4)
3−1|
(2)√16-|√8
125
(3)﹣|2﹣|﹣.
(4)++
(5)﹣32+|﹣3|+.
(6)+|3﹣|+﹣.
(7)+|﹣2|++(﹣1)2015.
(8)(﹣1)2015++|1﹣|﹣.。