(完整)09川大高等代数及答案
- 格式:doc
- 大小:608.01 KB
- 文档页数:9
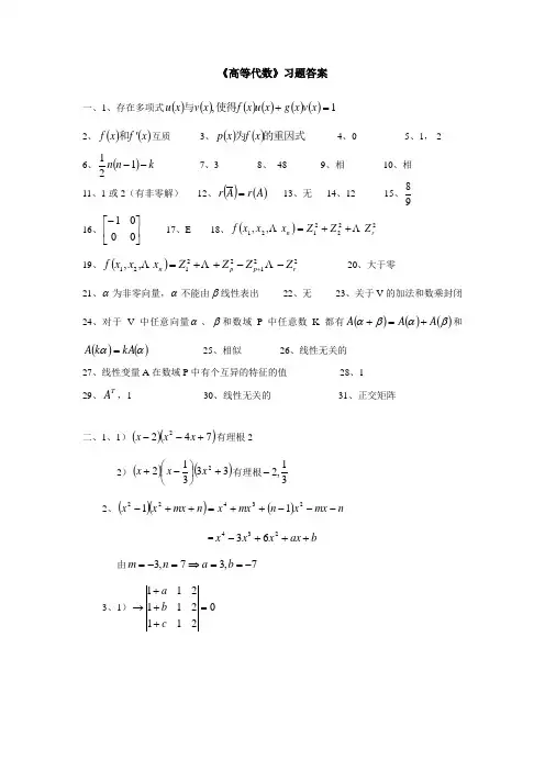
《高等代数》习题答案一、1、存在多项式()()()()()()1,=+x v x g x u x f x v x u 使得与2、()()x f x f '和互质3、()()的重因式为x f x p4、05、1,-26、()k n n --121 7、3 8、- 48 9、相 10、相11、1或2(有非零解) 12、()()A r A r = 13、无 14、12 15、9816、⎥⎦⎤⎢⎣⎡-0001 17、E 18、()2222121,,r n Z Z Z x x x f ++= 19、()22122121,,r p p n Z Z Z Z x x x f --++=+ 20、大于零21、α为非零向量,α不能由β线性表出 22、无 23、关于V 的加法和数乘封闭 24、对于 V 中任意向量α、β和数域P 中任意数K 都有()()()βαβαA A A +=+和()()ααkA k A = 25、相似 26、线性无关的27、线性变量A 在数域P 中有个互异的特征的值 28、1 29、T A ,1 30、线性无关的 31、正交矩阵二、1、1)()()7422+--x x x 有理根22)()()333122+⎪⎭⎫ ⎝⎛-+x x x 有理根31,2-2、()()()n mx x n mx x n mx x x ---++=++-2342211=b ax x x x +++-23463 由7,37,3-==⇒=-=b a n m3、1)0211211211=+++→cba2)31131031605510019182402113------→9532001235250019182402113-----→409201235250019182402113=-----→3)1103100321011111033100321011111993952032101111=→→→4)()()()xaan x a x an x a a an x111-+-+-+→()[]a n x 1-+=xaa x a a111→()[]a n x 1-+ax a x a a --001=()[]()11---+n a x a n x5)n n y x +6)nna a a a a1001010011110---→nn a a a a a a 211011⎥⎦⎤⎢⎣⎡---=4、1)系数矩阵⎥⎥⎥⎦⎤⎢⎢⎢⎣⎡---11178424633542 ⎥⎥⎥⎦⎤⎢⎢⎢⎣⎡---→572527003542 ⎥⎥⎥⎥⎥⎦⎤⎢⎢⎢⎢⎢⎣⎡-→000570005442通解为⎪⎪⎪⎩⎪⎪⎪⎨⎧-===-=24231221157522t x t x t x t t x 则基础解系[]⎪⎩⎪⎨⎧⎥⎦⎤⎢⎣⎡--==57,1,0,520,0,1,221x x2)系数矩阵⎥⎥⎥⎥⎦⎤⎢⎢⎢⎢⎣⎡-----7931181332111511⎥⎥⎥⎥⎥⎦⎤⎢⎢⎢⎢⎢⎣⎡-→⎥⎥⎥⎥⎦⎤⎢⎢⎢⎢⎣⎡-----→0000004720123018144472047201511通解为⎪⎪⎪⎩⎪⎪⎪⎨⎧==-=--=241321221122723t x t x t t x t t x 则基础解系为[]⎪⎩⎪⎨⎧--=⎥⎦⎤⎢⎣⎡-=1,0,2,10,1,27,2321x x5、1)扩展矩阵⎥⎥⎥⎦⎤⎢⎢⎢⎣⎡-----112131111202121⎥⎥⎥⎥⎥⎦⎤⎢⎢⎢⎢⎢⎣⎡--→⎥⎥⎥⎦⎤⎢⎢⎢⎣⎡----→00000151505205301151501515002121通解为⎪⎪⎪⎩⎪⎪⎪⎨⎧-+===+=21423122151515352t t x t x t x t x 令21,t t 为0,则特解⎥⎦⎤⎢⎣⎡=51,0,0,520x通解⎥⎥⎥⎥⎥⎥⎦⎤⎢⎢⎢⎢⎢⎢⎣⎡-+⎥⎥⎥⎥⎦⎤⎢⎢⎢⎢⎣⎡+⎥⎥⎥⎥⎥⎥⎦⎤⎢⎢⎢⎢⎢⎢⎣⎡=511053101051005221t t x , 21,t t 为任意常数2)扩展矩阵⎥⎥⎥⎦⎤⎢⎢⎢⎣⎡---787695754636323⎥⎥⎥⎦⎤⎢⎢⎢⎣⎡-----→⎥⎥⎥⎦⎤⎢⎢⎢⎣⎡-------→0000015100090232102001510036323通解为⎪⎪⎩⎪⎪⎨⎧=-==+=24231221151332t x t x t x t t x 令21,t t 为0,则特解[]0,1,0,00=x通解⎥⎥⎥⎥⎦⎤⎢⎢⎢⎢⎣⎡-+⎥⎥⎥⎥⎥⎦⎤⎢⎢⎢⎢⎢⎣⎡+⎥⎥⎥⎥⎦⎤⎢⎢⎢⎢⎣⎡=150300132010021t t x , 21,t t 为任意常数6、扩展矩阵⎥⎥⎥⎥⎦⎤⎢⎢⎢⎢⎣⎡------11111111112111111111⎥⎥⎥⎥⎦⎤⎢⎢⎢⎢⎣⎡------→00220020201220011111⎥⎥⎥⎥⎦⎤⎢⎢⎢⎢⎣⎡------→022********220011111⎥⎥⎥⎥⎦⎤⎢⎢⎢⎢⎣⎡----→02200020*******11111 则⎪⎪⎩⎪⎪⎨⎧=+-=--=-=+++022022141434244321x x x x x x x x x ⎪⎪⎪⎪⎩⎪⎪⎪⎪⎨⎧-=-===⇒414141454321x x x x则432141414145ααααβ--+=5、因四元非齐次线性方程组的系数矩阵秩为3, 则通解形式为110x t x x +=则通解为⎥⎥⎥⎦⎤⎢⎢⎢⎣⎡+⎥⎥⎥⎦⎤⎢⎢⎢⎣⎡=432154321t x , 1t 为任意常数6、()()A A x A x A 122--=⇒=-⎥⎥⎥⎦⎤⎢⎢⎢⎣⎡-----=⎥⎥⎥⎦⎤⎢⎢⎢⎣⎡⎥⎥⎥⎦⎤⎢⎢⎢⎣⎡-=-1111221124100111032100111011x ⎥⎥⎦⎤⎢⎢⎣⎡411010103⎥⎥⎦⎤⎢⎢⎣⎡-----=3222352257、1)⎥⎥⎥⎦⎤⎢⎢⎢⎣⎡-1012010411001210⎥⎥⎥⎦⎤⎢⎢⎢⎣⎡-→1012001210010411⎥⎥⎥⎦⎤⎢⎢⎢⎣⎡---→1283001210010411⎥⎥⎥⎥⎦⎤⎢⎢⎢⎢⎣⎡----→⎥⎥⎥⎦⎤⎢⎢⎢⎣⎡---→2112311240101120011232001210011201则逆矩阵为⎥⎥⎥⎥⎦⎤⎢⎢⎢⎢⎣⎡----21123124112 2)⎥⎥⎥⎦⎤⎢⎢⎢⎣⎡-----→⎥⎥⎥⎦⎤⎢⎢⎢⎣⎡----→⎥⎥⎥⎦⎤⎢⎢⎢⎣⎡--1243012210011101101201221000111110111010012001111 ⎥⎥⎥⎥⎥⎥⎦⎤⎢⎢⎢⎢⎢⎢⎣⎡----→⎥⎥⎥⎥⎥⎥⎦⎤⎢⎢⎢⎢⎢⎢⎣⎡----→3132341032313201031313100112430323132010313131001,则逆矩阵为⎥⎥⎥⎥⎥⎥⎦⎤⎢⎢⎢⎢⎢⎢⎣⎡----3132343231323131318、原式=()1123---AA A 3421322123111=⎪⎭⎫⎝⎛⋅=⋅-=--A9、⎥⎦⎤⎢⎣⎡22211211X X X X ⎥⎦⎤⎢⎣⎡00CA ⎥⎦⎤⎢⎣⎡==A X CX A X CX E 21221112⎪⎪⎩⎪⎪⎨⎧====⇒--112121221100C A AX X X 则⎥⎦⎤⎢⎣⎡=---00111ACX10、1)⎥⎥⎥⎦⎤⎢⎢⎢⎣⎡----524212425,,011225,05>=>01524212425>=---- 正定 2)064320222210,02422210,010,3020222210<-=-<-=->⎥⎥⎥⎦⎤⎢⎢⎢⎣⎡- 不正定11、0545212111,0111,01,521211122>--=-->-=>⎥⎥⎥⎦⎤⎢⎢⎢⎣⎡--t t t tt t t t t则054<<-t12、1)031610213510610213112311213≠-=---→---→----03321021112210211131021211≠=-→--→,故为3P 的两组基 2)⎥⎥⎥⎦⎤⎢⎢⎢⎣⎡---→⎥⎥⎥⎦⎤⎢⎢⎢⎣⎡----173510101610211213131112021311211213⎥⎥⎥⎦⎤⎢⎢⎢⎣⎡---→0721010161031280313、⎥⎥⎥⎥⎦⎤⎢⎢⎢⎢⎣⎡-→⎥⎥⎥⎥⎦⎤⎢⎢⎢⎢⎣⎡-→⎥⎥⎥⎥⎦⎤⎢⎢⎢⎢⎣⎡---→⎥⎥⎥⎥⎦⎤⎢⎢⎢⎢⎣⎡----00000110201000003306031155033033311341335512333则基为[][]3,3,1,34,5,2,3---与, 维数为214、1)⎥⎥⎥⎦⎤⎢⎢⎢⎣⎡=⎥⎥⎥⎦⎤⎢⎢⎢⎣⎡=-001010100,0010101001M M=-AM M 1⎥⎥⎥⎦⎤⎢⎢⎢⎣⎡131211232221333231a a a a a a a a a ⎥⎥⎥⎦⎤⎢⎢⎢⎣⎡001010100⎥⎥⎥⎦⎤⎢⎢⎢⎣⎡=111213212223313233a a a a a a a a a2) ⎥⎥⎥⎦⎤⎢⎢⎢⎣⎡⎥⎥⎥⎦⎤⎢⎢⎢⎣⎡=-10010001,11000011k M k M=-AM M 1⎥⎥⎥⎦⎤⎢⎢⎢⎣⎡333231232221131211111a a a a k a k a k a a a ⎥⎥⎥⎦⎤⎢⎢⎢⎣⎡10010001k ⎥⎥⎥⎦⎤⎢⎢⎢⎣⎡=33323123222113121111a ka a a k a a k a ka a3)⎥⎥⎥⎦⎤⎢⎢⎢⎣⎡--=⎥⎥⎥⎦⎤⎢⎢⎢⎣⎡=-100011001,100110011M M=-AM M 1⎥⎥⎥⎦⎤⎢⎢⎢⎣⎡+-+-+-333231231322122111131211a a a a a a a a a a a a ⎥⎥⎥⎦⎤⎢⎢⎢⎣⎡10011001⎥⎥⎥⎦⎤⎢⎢⎢⎣⎡++-+-++--+=33323231231322122221121113121211a a a a a a a a a a a a a a a a15、⎥⎥⎥⎦⎤⎢⎢⎢⎣⎡10010001 ⎥⎥⎥⎦⎤⎢⎢⎢⎣⎡--=111101011B ⎥⎥⎥⎦⎤⎢⎢⎢⎣⎡-121011101则=B 110010001-⎥⎥⎥⎦⎤⎢⎢⎢⎣⎡⎥⎥⎥⎦⎤⎢⎢⎢⎣⎡--111101011⎥⎥⎥⎦⎤⎢⎢⎢⎣⎡-121011101⎥⎥⎥⎦⎤⎢⎢⎢⎣⎡--=21122011016、1)()()215122212221+-=---------=-λλλλλλA E 特征值1,521-==λλ(二重)51=λ代入()01=-X A E λ得基础解系[],1,1,11=X 特征向量为321εεε++12-=λ代入()02=-X A E λ得基础解系[][]1,1,0,1,0,132-=-=X X特征向量为3231εεεε--和由3dim dim dim 21P w w =+λλ知可对角化。
2009年高考数学试题四川卷(文)全解全析一、选择题(5×12=60分)1、设集合S ={x |5<x },T ={x |0)3)(7(<-+x x }.则T S ⋂= A. {x |-7<x <-5 } B. {x | 3<x <5 }C. {x | -5 <x <3}D. {x | -7<x <5 } 【答案】C【解析】S ={x |55<<-x },T ={x |37<<-x }∴T S ⋂={x | -5 <x <3}2、函数)(21R x y x ∈=+的反函数是A. )0(log 12>+=x x yB. )1)(1(log 2>-=x x yC. )0(log 12>+-=x x yD. )1)(1(log 2->+=x x y 【答案】C 【解析】由y x y x y x 221log 1log 12+-=⇒=+⇒=+,又因原函数的值域是0>y ,∴其反函数是)0(log 12>+-=x x y3、等差数列{n a }的公差不为零,首项1a =1,2a 是1a 和5a 的等比中项,则数列的前10项之和是A. 90B. 100C. 145D. 190 【答案】B【解析】设公差为d ,则)41(1)1(2d d +⋅=+.∵d ≠0,解得d =2,∴10S =1004、已知函数))(2sin()(R x x x f ∈-=π,下面结论错误..的是 A. 函数)(x f 的最小正周期为2π B. 函数)(x f 在区间[0,2π]上是增函数 C.函数)(x f 的图象关于直线x =0对称 D. 函数)(x f 是奇函数【答案】D【解析】∵x x x f cos )2sin()(-=-=π,∴A 、B 、C 均正确,故错误的是D【易错提醒】利用诱导公式时,出现符号错误。
5、设矩形的长为a ,宽为b ,其比满足b ∶a =618.0215≈-,这种矩形给人以美感,称为黄金矩形。
四川大学2009年攻读硕士学位研究生入学考试题一、解答下列各题.1.(5分)设)(x f 是数域F 上次数为2008的多项式,证明:20092不可能是)(x f 的根.F 为有理数域该命题成立如题:设)(x f 是有理数域Q 上一个m 次多项式(0≥m ),n 是大于m 的正整数,证明:n2不可能是)(x f 的根.证明:反证法:假设n2是)(x f 的根,有)2()2(--n nx x 对于2-nx ,存在素数2=p110,,,-n a a a p Λ、p 不能整除n a 、2p 不能整除0a由艾森斯坦判别法,有2-nx 在有理数域不可约,则有)()2(x f x n -则n x f ≥∂))((与题设矛盾,故假设不成立,即n 2不可能是)(x f 的根.2.(10分)用代数基本定理证明,实数域R 上的任意不可约多项式只能是一次多项式或满足042<-ac b 的二次多项式:c bx ax ++2.证明:由代数基本定理,任意多项式在复数域都可以分解为一次多项式的乘积 则令多项式为)())(()(21n a x a x a x k x f ---=Λ (C a i ∈,R k ∈且0≠k ) 当R a i ∈时,则i a x -是实数域R 上的一次不可约多项式当R a i ∉时,有i a 也是)(x f 的根,有i i i i i i a a x a a x a x a x ++-=--)())((2i i i i a a x a a x ++-)(2满足042<-ac b由)(i i a a +-,R a a i i ∈,则i i i i a a x a a x ++-)(2是实数域R 上的二次不可约多项式故实数域R 上的任意不可约多项式只能是一次多项式或满足042<-ac b 的二次多项式:c bx ax ++2.3.(5分)设A 是数域F 上的n 阶方阵.要求不用Hamilton-Caylay 定理,证明:存在F 上的多项式)(x f 使得O A f =)(. 证明:取A 的特征多项式A E g -=λλ)(设)(λB 为A E -λ的伴随矩阵,有E g E A E A E B )())((λλλλ=-=- 由)(λB 的元素是A E -λ各个代数余子式,则1))((-≤∂n B λ 有11201)(---+++=n n n B B B B Λλλλ令n n n a a g +++=-Λ11)(λλλ,得E a E a E E g n n n +++=-Λ11)(λλλ ①A B A B B A B B A B B B A E B n n n n n n 1211220110)()()())((-------++-+-+=-λλλλλλΛ ②比较①、②,有⎪⎪⎪⎪⎩⎪⎪⎪⎪⎨⎧=-=-=-=-=----E a A B Ea A B B E a A B B E a A B B EB n n n n n 11212121010ΛΛΛ,得⎪⎪⎪⎪⎩⎪⎪⎪⎪⎨⎧=-=-=-=-=---------Ea A B A a A B A B A a A B A B A a A B A B A A B n n n n n n n n n nn n n 11221221122110110ΛΛΛ左边和右边全部相加,有O E g =)(λ,即0)(=λg 任取)()()(x g x q x f =,则有O A f =)(4.(10分)设1α、2α、3α是多项式123)(3++=x x x f 的全部根.求下式的值 ))()((212331223221ααααααααα+++解:由根与系数的关系得0321=++ααα、32323121=++αααααα、31321-=ααα)31)(31)(31())()((323222121212331223221ααααααααααααααα---=+++]1)()([91)1)(1)(1(271333231333233313231333231333231321-+++++--=---=αααααααααααααααααα)(91)(9124328333231333233313231ααααααααα++-++-=① )(91)111(243124328333231333231αααααα++-++-=)(91243124328333231333231333233313231αααααααααααα++-++-= ② 由①、②得,0333233313231=++αααααα,则原式)(9124328333231ααα++-=由13))((3)(3213231213213321333231-=+++++-++=++αααααααααααααααααα得原式24355=二、解答下列各题.1(10分)叙述并证明线性方程组的克莱默(Cramer )法则.2(5分)设F ,K 都是数域且K F ⊆,设β=AX 是数域F 上的线性方程组. 证明:β=AX 在F 上有解当且仅当β=AX 在K 上有解. 证明:令A 为n m ⨯矩阵 必要性:令X 为β=AX 在F 上的解,有n F X ∈,由K F ⊆,得nK X ∈X 也为β=AX 在K 上的解充分性:β=AX 在K 上有解, 有)()(A r A r =由A ,)(F M A n m ⨯∈,则在F 上,也有)()(A r A r =,故β=AX 在F 上有解3.设⎥⎥⎥⎦⎤⎢⎢⎢⎣⎡----=142412222A (1)(5分)在任意数域F 上,A 能否相似于一个对角阵?说明理由. (2)(5分)求A 的极小多项式.(3)(5分)设AX X X f ')(=,其中)',,(321x x x X =是列向量.求)(X f 的一个标准型.解:(1))6()3(1424122222+-=+---+--=-λλλλλλA EA 的特征值为3,3,6-当3=λ时,000002214424422213-=----=-A E基础解系由2)3(=--A E r n 个线性无关的向量构成)'1,1,4(-、)'1,1,0(当6-=λ时,0009904525424522286--→-------=--A E 基础解系由1)6(=---A E r n 个向量构成)'2,2,1(- 故A 对应3个线性无关的特征向量,A 可对角化取⎥⎥⎥⎦⎤⎢⎢⎢⎣⎡--=211211104P ,则有)6,3,3(1-=-diag AP P 由)(,3Q M C A ∈、又Q ∈-6,3,则A 在有理数域可以对角化由任何数域都包含有理数域,故在任意数域F 上,A 都能相似于一个对角阵(2)A 的特征多项式为O E A E A A f =+-=)6()3()(2由O E A E A =+-)6)(3(,有A 的极小多项式为)6)(3()(+-=λλλm(3)把P 的列向量单位化,得⎥⎥⎥⎥⎥⎥⎦⎤⎢⎢⎢⎢⎢⎢⎣⎡--=32212313221231310234C ,C 为正交矩阵 令CY X =,有232221633''')(y y y ACY C Y AX X X f -+===4.(10分)证明:在任意数域F 上矩阵⎥⎥⎥⎦⎤⎢⎢⎢⎣⎡--=111001012A 与⎥⎥⎥⎦⎤⎢⎢⎢⎣⎡=110011001B 都不相似. 证明:3)1(11101012-=----=-λλλλλA E 有A 的特征值为1,1,1 1=λ时,00000001101101111-=---=-A E基础解系有2)(=--A E r n 个线性无关的向量构成 ①3)1(11011001-=-----=-λλλλλB E 有B 的特征值为1,1,1 1=λ时,01000100--=-B E 基础解系有1)(=--B E r n 个向量构成 ②由①、②,得在任意数域F 上矩阵A 与B 都不相似5.(5分)设A 是n 阶实对称矩阵.证明:A 是正定矩阵的充分必要条件是,对任意整数k ,k A 也是正定的.证明:必要性:令A 的特征值为i λ(n i ,,2,1Λ=),则k A 的特征值为k i λ A 是正定矩阵,0>i λ,则0>ki λ,有k A 为正定矩阵充分性:k A 的特征值为k i λ,有0>ki λ,由k 的任意性,有0>i λ,故A 是正定矩阵三、(15分)设)(F M n 是数域F 上的全体n 阶方阵组成的集合.对任意可逆矩阵)(F M A n ∈,定义集合})({1X XA A F M X n A =∈=T -. 设A A F M A n V T =≠∈0):(I,即V 是所有可能的A T 的交集(A 可逆).求V dim 和V 的一个基.解: 取)(F M n 的一个基nn E E E Λ,,1211,令n n ij a A ⨯=)(、n n ij x X ⨯=)( 有nn nn E a E a E a A +++=Λ12121111由X XA A =-1,有AX XA =,则X E XE ij ij =有行第列第i 111j 21⎥⎥⎥⎥⎦⎤⎢⎢⎢⎢⎣⎡==⎥⎥⎥⎥⎦⎤⎢⎢⎢⎢⎣⎡=j j j ijnii i ij x x x X E x x x XE ΛM 得0=ij x (j i ≠)且nn x x x ===Λ2211,故kE X =为数量矩阵 有)(E L A =T ,则V 由数量矩阵和全体对角元素为零的矩阵构成令V B ∈,有∑=+=nj i ij ij E k kE B 1,(j i ≠),有1dim 2+-=n n VE 与全体ij E (j i ≠)构成V 的一个基.四、设)(12F M r +是数域F 上的全体12+r 阶方阵组成的集合.设⎥⎥⎥⎦⎤⎢⎢⎢⎣⎡=O E O E O O O OM r r 2是分块矩阵,其中r E 是r 阶单位阵.设}')({12O MX M X F M X B r =+∈=+,其中'X 表示X 的转置矩阵.进一步B X ∈,设∑∞==0!1k kXX k e .已知:)(12F M e r X+∈.1.(15分)求B dim 和B 的一个基.2.(15分)证明:对任意B X ∈都有行列式1)det(=Xe3.(10分)设列向量空间12+r F上的一个双线性函数),(--在它的基)'0,,0,1(1Λ=ε,)'0,,1,0(2Λ=ε,……,)'1,,0,0(12Λ=+r ε下的度量矩阵为上述M .证明:对任意B X ∈和列向量12,+∈r Fβα都有),(),(βαβα=XX e e .1.解:令⎥⎥⎥⎦⎤⎢⎢⎢⎣⎡=333231232221131211X X X X X X X X x X (12X 、13X 为r 维行向量,21X 、31X 为r 维列向量,22X 、23X 、32X 、33X 为r 阶方阵)有⎥⎥⎥⎦⎤⎢⎢⎢⎣⎡=232221333231131211222X X X X X X X X x MX ,有⎥⎥⎥⎦⎤⎢⎢⎢⎣⎡='''2'''2''2)'(233313223212213111X X X X X X X X x MX 由O MX M X =+',又M 为对称矩阵,有O MX MX =+)'(则O X X X X X X X X X X XX X X X X x =⎥⎥⎥⎦⎤⎢⎢⎢⎣⎡++++++++2323223321133322323231121321123111'''2'''22'2'4,有011=x 自由变量有12X 、13X 、22X 、23X 、32X 且23X 、32X 为反对称矩阵有r r r r r r r r r B +=-+-+++=2222222dim2.证明:根据矩阵指数的性质,有)()det(X tr X e e =)'()()'()()()()(3322332233223322X X tr X tr X tr X tr X tr X X tr X tr e e e e e ++++====由O X X =+3322',有10)'(3322==+e e X X tr ,则1)det(=X e注:关于)()det(X tr X e e =的证明由存在可逆矩阵P ,使得⎥⎥⎥⎥⎦⎤⎢⎢⎢⎢⎣⎡=-n XP P λλλ******211O有121******-⎥⎥⎥⎥⎥⎦⎤⎢⎢⎢⎢⎢⎣⎡=P P X k n kk k λλλO11020100******!1***!1***!1!121--∞=∞=∞=∞=⎥⎥⎥⎥⎥⎦⎤⎢⎢⎢⎢⎢⎣⎡=⎥⎥⎥⎥⎥⎥⎥⎥⎦⎤⎢⎢⎢⎢⎢⎢⎢⎢⎣⎡=∑∑∑∑P e e e P P k k k P X k n k nk kk k k k kλλλλλλOO有)(2121)det(X tr Xe e e e e e n n ===+++λλλλλλΛΛ3.证明:五、(20分)证明:在数域F 上的任意n 元多项式都是线性多项式(即:一次齐次多项式)的幂的线性组合.证明:由任何一个m 次n 元多项式f 都可以唯一的表示成∑==mi i f f 0,其中i f 是n 元i 次齐次多项式由i f 是i 次齐次多项式,那么n x x x ,,,21Λ有ii n C k 1-+=种组合方式令⎥⎥⎥⎥⎦⎤⎢⎢⎢⎢⎣⎡=+++=--k i n i i i n k i i i b b b x x x x x b x x b x b f M ΛΛ212111211211),,,(取k 个一次齐次多项式k g g g ,,,21Λ,它们的i 次方为ik i i g g g ,,,21Λ令ij g 的k 个系数为kj j j a a a ,,,21Λ(k j ,,2,1Λ=)⎥⎥⎥⎥⎥⎦⎤⎢⎢⎢⎢⎢⎣⎡=+++=--kj j j i n i i i n kj i j i j i j a a a x x x x x a x x a x a g M ΛΛ212111211211),,,( 得到系数方程⎥⎥⎥⎥⎦⎤⎢⎢⎢⎢⎣⎡=⎥⎥⎥⎥⎦⎤⎢⎢⎢⎢⎣⎡⎥⎥⎥⎥⎦⎤⎢⎢⎢⎢⎣⎡k k kk k k k k b b b y y y a a a a a aa a a M MΛM MM ΛΛ2121212222111211 只要k g g g ,,,21Λ选取得当,则此方程有解则有∑==+++=kl i ll i kki ii g y g y g y g y f 12211Λ,故∑∑===m i kl il l g y f 01,即证.。
二次型的基本概念一.如果不要求二次型的矩阵是对称的,那么它的矩阵表示唯一吗?解:不唯一二.是,其矩阵为n 阶单位阵 三.写出下列二次型的矩阵1.121242121⎛⎫ ⎪ ⎪ ⎪⎝⎭秩为一 2.0004001401014410⎛⎫⎪ ⎪⎪ ⎪⎝⎭秩为四 四.写出下列矩阵对应的二次型:1.2212311213223(,,)2236f x x x x x x x x x x x =-+--2.1234121314232434(,,,)f x x x x x x x x x x x x x x x x =+++++五.填空题. 1.22212344y y y -++ 2.r 化二次型为标准形一.分别用配方法和初等变换化下列二次型为标准形,并写出所用的可逆线性变换.1.2222123112*********(,,)434443f x x x x x x x x x x x x x x x =+-=++--2222122233322212233399(2)4()4641639(2)4()816x x x x x x x x x x x x =+-+++=+-++令11222333238y x x y x x y x =+⎧⎪⎪=+⎨⎪=⎪⎩ ,则11232233332438x y y y x y y x y ⎧=-+⎪⎪⎪=-⎨⎪=⎪⎪⎩为可逆线性变换使:2221231239(,,)416f x x x y y y =-+ 2.222123123121323(,,)254484f x x x x x x x x x x x x =+++--()()()2221121323232221121323232222211232323232324854422454422(2)(2)(2)544x x x x x x x x x x x x x x x x x x x x x x x x x x x x x x =+-++-=+-++-=+-+---++-22221232323232(2)2(2)544x x x x x x x x x =+---++-22222123223323232(2)2(44)544x x x x x x x x x x x =+---+++- 22212323232(2)334x x x x x x x =+-+-+2221232332132(2)3()39x x x x x x =+-++- 令:112322333223y x x x y x x y x =+-⎧⎪⎪=+⎨⎪=⎪⎩ ,所以可逆变换为:1123223334323x y y y x y y x y ⎧=--⎪⎪⎪=-⎨⎪=⎪⎪⎩22212312313(,,)239f x x x y y y =+- 3.令:11221233x y y x y y x y =+⎧⎪=-⎨⎪=⎩ ,写成矩阵形式为X CY =,其中:110110001C ⎛⎫ ⎪=- ⎪ ⎪⎝⎭则:22123121323(,,)24f x x x y y y y y y =--+ 22213233()(2)3y y y y y =---+令:113223332z y y z y y z y =-⎧⎪=-⎨⎪=⎩,变换为:113223332y z z y z z y z=+⎧⎪=+⎨⎪=⎩,写成矩阵形式为:Y PZ =,其中:101012001P ⎛⎫⎪= ⎪ ⎪⎝⎭,则:2221233f z z z =-+ 变换为:X CY CPZ ==,其中:113111001CP ⎛⎫⎪=-- ⎪ ⎪⎝⎭二.用正交变换化下列二次型为标准形,并写出所用的正交变换.1.解:120222023A -⎛⎫⎪=-- ⎪ ⎪-⎝⎭,其特征值为:-1,2,51λ=-时,对应特征向量为:()221T,2λ=时,对应特征向量为:()212T-,5λ=时,对应特征向量为:()122T-作正交变换为:221333212333122333X Y ⎛⎫-⎪ ⎪⎪=- ⎪ ⎪ ⎪ ⎪⎝⎭,22212325f y y y =-++ 2.解:0041001441001400A ⎛⎫ ⎪⎪= ⎪ ⎪⎝⎭,特征值为:-3,-5,3,5 3λ=-时,对应特征向量为:()1111T--, 5λ=-时,对应特征向量为:()1111T--, 3λ=时,对应特征向量为:()1111T --, 5λ=时,对应特征向量为:()1111T. 作正交变换:11112222111122221111222211112222X Y ⎛⎫--⎪ ⎪ ⎪--⎪= ⎪ ⎪-- ⎪ ⎪ ⎪⎝⎭,222212343535f y y y y =--++ 三.解:2000303A a a ⎛⎫⎪= ⎪ ⎪⎝⎭,2003(2)(3)(3)03E A a a a aλλλλλλλ--=--=--+---- 特征值为:2,3,3a a λλλ==-=+有A 的特征值分别为:1,2,5和0a >知:2a =1λ=时,对应特征向量为:()011T-, 2λ=时,对应特征向量为:()100T,5λ=时,对应特征向量为:()011T。
四川大学2009年攻读硕士学位研究生入学考试题一、(每题7分,共28分)求下列极限1. ∑=∞→nk k nn Cn2ln 1lim解:定理(∞∞型Stolz 公式,数列极限)设}{n x 严格递增(即N n ∈∀,有1+<n n x x ),且+∞=∞→n n x lim . 若1)a x x y y n n n n n =----∞→11lim(有限数),则a x y nnn =∞→lim . 2)a 为∞+或∞-,结论任然成立. 因2n ↗∞+,用Stolz 公式1211ln lim 12ln lim )1(ln ln lim ln 1lim 00122010102+-++=+=-+-=∑∑∑∑∑=∞→=+∞→=+=+∞→=∞→n k n n n C C n n C C C n nk n nk kn k n n nk kn n k k n n n k k n n 12ln )1ln()1(lim12)1ln()1ln(lim 11+-++=+-+-+=∑∑∑+=∞→==∞→n kn n n k n n n k n nk n k n (再次用Stolz 公式)212)11ln(lim )12()12()ln ln (]ln )1ln()1[(lim111=+=--+---++=∞→=+=∞→∑∑nn n k n k n n n n k n n k n n2. )(sin lim 22n n n +∞→π 解:)111(sin )(sin )(sin 22222++=-+=+nn n n n n ππππ 初等函数在有定义的地方皆连续12s i n l i m )111(s i n l i m )(s i n l i m 2222==++=+∞→∞→∞→πππn n n nn n3. dtt t t dtt x x x ⎰⎰-+→0230)sin (sin lim 2解:x x x x x x x x x x x x x dt t t t dtt x x x x x x sin 2lim )sin ()(2)(sin lim )sin ()(sin 2lim )sin (sin lim 30232223202320002302-=-⋅=-=-++++→→→→⎰⎰1226lim cos 16lim 22020==-=++→→x x x x x x4. xx xe x x cos 11lim 0----→ 解:泰勒公式∑∞==++++++=032!!!3!21n nn xn x n x x x x e ,(+∞<<∞-x ) +----++--+-++=+!)]1([)2)(1(!3)2)(1(!2)1(1)1(2n n x x x ααααααααααα,(11<<-x )∑∞=-=+-+-+-+-=022642)!2()1()!2()1(!6!4!21cos n n n n n n x n x x x x x ,(+∞<<∞-x ) )](!4)(!2)(1[)(!2)121(21)(2111)(21lim cos 11lim 24222220x o x x x o x x xx o x x x x xe x x x ++--+-+-+--+++=----→→3)(24181)(2lim 222220-=+--+=→x o x x x o x x二、(每题10分,共40分)计算下列积分 (1)dxdy y x yx D⎰⎰--+222,其中}1:),{(222≤+∈=y x R y x D 解:2222)221()221(412----=--+y x y x y x 当),(y x 在41)221()221(22=-+-y x 内和上时0222≥--+y x yx ,记作1D ; 当),(y x 在41)221()221(22=-+-y x 外,且在122≤+y x 内时0222<--+y x y x ,记作2D 则dxdy y x yx dxdy y x y x I D D ⎰⎰⎰⎰--+---+=21)2()2(2222 2122222)2()2(2211I I d x d y y x y x d x d y y x y x I DD D D -=--+---+=⎰⎰⎰⎰=+ d x d y y x y x I D ⎰⎰--+=1)2(221 令θcos 221r x =-、θsin 221r y =- πθπ321)81(213201=-=⎰⎰dr r r d I d x d y y x yx I D⎰⎰--+=)2(222 令θcos r x =、θsin r y = πθθθπ21)2c o s s i n (1032202-=-+=⎰⎰dr r r d Iπ169221=-=I I I(2)ds yz l⎰,其中l 是球面2222a z y x =++与平面1=++z y x 的交线。
目录第一章 多项式 第二章 行列式 第三章 线性方程组 第四章 矩阵 第五章 二次型 第六章 线性空间 第七章 线性变换 第八章 λ—矩阵第九章 欧氏空间第十章 双线性函数与辛空间注:答案分三部分,该为第二部分,其他请搜索,谢谢!12.设A 为一个n 级实对称矩阵,且0<A ,证明:必存在实n 维向量0≠X ,使0<'A X X 。
证 因为0<A ,于是0≠A ,所以()n A rank =,且A 不是正定矩阵。
故必存在非退化线性替换Y C X 1-=使()BY Y ACY CY AX X '=''='-12222122221n p p p y y y y y y ----+++=++ΛΛ,且在规范形中必含带负号的平方项。
于是只要在Y C Z 1-=中,令p y y y ===Λ21,1,021=====++n p p y y y Λ则可得一线性方程组⎪⎪⎪⎪⎩⎪⎪⎪⎪⎨⎧=+++=+++=+++=++++++11002211,122,111,122111212111n nn n n n n p p p n pn p p n n x c x c x c x c x c x c x c x c x c x c x c x c ΛΛΛΛΛΛΛΛΛΛΛΛΛΛΛΛΛΛΛΛΛΛΛΛΛΛΛΛ,由于0≠C ,故可得唯一组非零解()ns s s s x x x X ,,,21Λ=使()0111000<--=----+++='p n AX X s sΛΛ, 即证存在0≠X ,使0<'A X X 。
13.如果B A ,都是n 阶正定矩阵,证明:B A +也是正定矩阵。
证 因为B A ,为正定矩阵,所以BX X AX X '',为正定二次型,且 0>'A X X , 0>'B X X ,因此()0>'+'=+'BX X AX X X B A X , 于是()X B A X +'必为正定二次型,从而B A +为正定矩阵。
一、填空题 (共10题,每题2分,共20 分)1.只于自身合同的矩阵是 矩阵。
2.二次型()()11212237,116x f x x x x x ⎛⎫⎛⎫= ⎪⎪⎝⎭⎝⎭的矩阵为__________________。
3.设A 是实对称矩阵,则当实数t _________________,tE A +是正定矩阵。
4.正交变换在标准正交基下的矩阵为_______________________________。
5.标准正交基下的度量矩阵为_________________________。
6.线性变换可对角化的充要条件为__________________________________。
7.在22P ⨯中定义线性变换σ为:()a b X X c d σ⎛⎫= ⎪⎝⎭,写出σ在基11122122,,,E E E E 下的矩阵_______________________________。
8.设1V 、2V 都是线性空间V 的子空间,且12V V ⊆,若12dim dim V V =,则_____________________。
9.叙述维数公式_________________________________________________________________________。
10.向量α在基12,,,n ααα⋅⋅⋅(1)与基12,,,n βββ⋅⋅⋅(2)下的坐标分别为x 、y ,且从基(1)到基(2)的过渡矩阵为A ,则x 与y 的关系为_____________________________。
二、判断题 (共10 题,每题1分,共10分)1.线性变换在不同基下的矩阵是合同的。
( ) 2.设σ为n 维线性空间V 上的线性变换,则()10V V σσ-+=。
( ) 3.平面上不平行于某一向量的全部向量所成的集合,对于向量的加法和数量乘法,构成实数域上的线性空间。
( ) 4.设1V 与2V 分别是齐次线性方程组120n x x x ++⋅⋅⋅+=与12n x x x ==⋅⋅⋅=的解空间,则12n V V P ⊕= ( )5.2211nn i i i i n x x ==⎛⎫- ⎪⎝⎭∑∑为正定二次型。
第一节基础知识一、质数、合数以及拆分问题真题再现1.解析:如下图所示,要求木条的面积,必须知道正方形木板的边长.把108分解质因数.108(cm)2平方分米3分米108=2×2×3×3×3=12×9由此可见,9加3正好等于12,所以正方形木板边长是12分米.所以,木条面积是12×3=36(平方分米)2.解析:先把14,20,21,28,30分解质因数,看这六个数中共有哪几个质因数,再分摊在两组中,使两组数乘积相等.14=7×2 20=2×2×521=3×7 28=2×2×730=2×3×5 7从上面五个数分解质因数来看,连7在内共有质因数四个7,六个2,二个3,二个5,因此每组数中一定要含三个2,一个3,一个5,二个7.六个数可分成如下两组(分法是唯一的):第一组: 7、28、和30第二组:14、21和20且7×28×30=14×21×20=5880满足要求.[注]解答此题的关键是审题,抓住题目中的关键性词语:“使两组数的乘积相等”.实质上是要求两组里所含质因数相同,相同的质因数出现的次数也相同.随堂练习1. 【答案】D。
231=3*7*11,所以a=131。
2.解析:把1430分解质因数得1430=2×5×11×13根据题目的要求,应在2、5、11及13中若选用干个数,使它们的乘积在100到200之间,于是得三种答案:(1)2×5×11=110;(2)2×5×13=130;(3)11×13=143.所以,有三种分法:一种是分为13队,每队110人;二是分为11队,每队130人;三是分为10队,每队143人.3.解析:1152=2×3 ,约数为8*3=24 所以拼法12种7 24.解析:由于每只瓶都称了三次,因此记录数之和是4瓶油(连瓶)重量之和的3倍,即4瓶油(加瓶)共重(8+9+10+11+12+13)÷3=21(千克)而油重之和及瓶重之和均为质数,所以它们必为一奇一偶,而质数中是偶数的质数只有2,故有(1)油重之和为19 千克,瓶重之和为2 千克,每只瓶重1千克,最重的两瓶内的油为21×13-2 2=12(千克).(2)油重之和为2 千克,瓶重之和为19 千克,每只瓶重19千克,最重的两瓶内的油为419× 713-4 2=2(千克),这与油重之和为2千克矛盾,不合要求,删去.5.解析:1440=2×3×5,a={0,1,2,3,4,5},b={0,1,2},c= {0,1}5 2=> 约数为2×3×6=366.解析:依题意,将232323分解质因数得232323=23×10101=23×3×7×13×37从而,全部不同质因数之和AB=23+3+7+13+37=83所以,A×B×AB=8×3×83=1992.二、奇偶数真题再现1.解析:特值法或者直接看选项分析。
《高等代数》习题与参考答案数学系第一章 多项式1. 用)(x g 除)(x f ,求商)(x q 与余式)(x r : 1)123)(,13)(223+-=---=x x x g x x x x f ; 2)2)(,52)(24+-=+-=x x x g x x x f 。
解 1)由带余除法,可得92926)(,9731)(--=-=x x r x x q ; 2)同理可得75)(,1)(2+-=-+=x x r x x x q 。
2.q p m ,,适合什么条件时,有 1)q px x mx x ++-+32|1, 2)q px x mx x ++++242|1。
解 1)由假设,所得余式为0,即0)()1(2=-+++m q x m p ,所以当⎩⎨⎧=-=++0012m q m p 时有q px x mx x ++-+32|1。
2)类似可得⎩⎨⎧=--+=--010)2(22m p q m p m ,于是当0=m 时,代入(2)可得1+=q p ;而当022=--m p 时,代入(2)可得1=q 。
综上所诉,当⎩⎨⎧+==10q p m 或⎩⎨⎧=+=212m p q 时,皆有q px x mx x ++++242|1。
3.求()g x 除()f x 的商()q x 与余式:1)53()258,()3f x x x x g x x =--=+; 2)32(),()12f x x x x g x x i =--=-+。
解 1)432()261339109()327q x x x x x r x =-+-+=-;2)2()2(52)()98q x x ix i r x i=--+=-+。
4.把()f x 表示成0x x -的方幂和,即表成2010200()()...()n n c c x x c x x c x x +-+-++-+的形式:1)50(),1f x x x ==;2)420()23,2f x x x x =-+=-;3)4320()2(1)37,f x x ix i x x i x i =+-+-++=-。
第九章 欧氏空间1.设()ij a =A 是一个n 阶正定矩阵,而),,,(21n x x x =α, ),,,(21n y y y =β,在n R 中定义内积βαβα'A =),(,1) 证明在这个定义之下, n R 成一欧氏空间; 2) 求单位向量)0,,0,1(1 =ε, )0,,1,0(2 =ε, … , )1,,0,0( =n ε,的度量矩阵;3) 具体写出这个空间中的柯西—布湿柯夫斯基不等式。
解 1)易见βαβα'A =),(是n R 上的一个二元实函数,且 (1) ),()(),(αβαβαββαβαβα='A ='A '=''A ='A =, (2) ),()()(),(αβαββαβαk k k k ='A ='A =,(3) ),(),()(),(γβγαγβγαγβαγβα+='A '+'A ='A +=+, (4) ∑='A =ji j i ijy x a,),(αααα,由于A 是正定矩阵,因此∑ji j i ijy x a,是正定而次型,从而0),(≥αα,且仅当0=α时有0),(=αα。
2)设单位向量)0,,0,1(1 =ε, )0,,1,0(2 =ε, … , )1,,0,0( =n ε,的度量矩阵为)(ij b B =,则)0,1,,0(),()( i j i ij b ==εε⎪⎪⎪⎪⎪⎭⎫ ⎝⎛nn n n n n a a a a a aa a a212222211211)(010j ⎪⎪⎪⎪⎪⎪⎭⎫⎝⎛ =ij a ,),,2,1,(n j i =, 因此有B A =。
4) 由定义,知∑=ji ji ij y x a ,),(βα,α==β==故柯西—布湿柯夫斯基不等式为2.在4R 中,求βα,之间><βα,(内积按通常定义),设: 1) )2,3,1,2(=α, )1,2,2,1(-=β, 2) )3,2,2,1(=α, )1,5,1,3(-=β, 3) )2,1,1,1(=α, )0,1,2,3(-=β。
川大版高等数学(第一册)部分课后题答案[1]高数第一册 第一章习题1.1«Skip Record If...»(4)«Skip Record If...»«Skip Record If...»(8)«Skip Record If...»«Skip Record If...»(10)«Skip Record If...»7.«Skip Record If...»(6)«Skip Record If...»(7)«Skip Record If...»)(8)«Skip Record If...»(9)«Skip Record If...»13.(1)«Skip Record If...»(2)«Skip Record If...»(3)32221,()(1)3(1)256()56(1)(1)5(1)6x t f t t t t t f x x x f x x x +==---+=-+∴=-++=+-++则x=t-1,或:14.«Skip Record If...»习题1.22。
(1) «Skip Record If...»,解不等式«Skip Record If...»,得«Skip Record If...»(2) «Skip Record If...»,解不等式«Skip Record If...»,得«Skip Record If...»(3) «Skip Record If...»,解不等式«Skip Record If...»,得«Skip Record If...»当«Skip Record If...»时,«Skip Record If...»(4) «Skip Record If...»,解不等式«Skip Record If...»,得«Skip Record If...»3.证:«Skip Record If...»«Skip Record If...»,有«Skip Record If...»。
矩阵特征值、特征向量一.选择题 1.C 2.D 3.C 4.D 二.求下列矩阵的特征值、特征向量1.解:2110101020220(2)1104132323λλλλλλλλλλλλλλ+-----=--=-------2201011(2)110(2)110(2)1102201111λλλλλλλλ--+=-=-=-----2(2)(1)λλ=-+所以,特征值为:2(1λλ==-二重),2λ=时,411411000000411000----⎛⎫⎛⎫⎪ ⎪→ ⎪ ⎪ ⎪ ⎪--⎝⎭⎝⎭得对应的特征向量为: ()1104Tx = ()2140Tx =2λ=对应的特征向量全体可表示为:1122x k x k x =+1λ=-时,111111030010414000----⎛⎫⎛⎫ ⎪ ⎪-→ ⎪ ⎪ ⎪ ⎪--⎝⎭⎝⎭对应特征向量可表示为: ()101Tx k =2.解:()()11112200111111111111111111111111110010001111111221111121111111211λλλλλλλλλλλλλλλλλ----------=-----------=-=---------()()()()()2231122022112211211211110100221122112112312(2)λλλλλλλλλλλλλλλλλ--=--=-----=--=-+--=-+特征值为:2(),2λλ==-三重2λ=时,11111111111100001111000011110000------⎛⎫⎛⎫⎪ ⎪-⎪ ⎪→ ⎪ ⎪- ⎪ ⎪-⎝⎭⎝⎭()11001Tx = ()21010Tx =()3110Tx =对应的特征向量可表示为:112233x k x k x k x =++2λ=-时, 311111131113131113110404113111310044111331110448--------⎛⎫⎛⎫⎛⎫ ⎪ ⎪ ⎪----- ⎪ ⎪ ⎪→→ ⎪ ⎪ ⎪----- ⎪ ⎪ ⎪--------⎝⎭⎝⎭⎝⎭111301010011000--⎛⎫⎪- ⎪→ ⎪-⎪⎝⎭对应的特征向量为: ()1111Tx k =-3.解:()220212(1)(2)4(2)402(2)(1)4λλλλλλλλλλλ--=-----=+--所以,特征值为:2,1,4λλλ=-==2λ=-时,420232232232420044022022011---⎛⎫⎛⎫⎛⎫ ⎪ ⎪ ⎪-→-→- ⎪ ⎪ ⎪ ⎪ ⎪ ⎪---⎝⎭⎝⎭⎝⎭232011000-⎛⎫ ⎪→- ⎪ ⎪⎝⎭对应特征向量为:()122Tx k =1λ=时,120120120202042021021021000---⎛⎫⎛⎫⎛⎫⎪ ⎪ ⎪→→ ⎪ ⎪ ⎪ ⎪ ⎪ ⎪⎝⎭⎝⎭⎝⎭对应特征向量为:()212T x k =-4λ=时,220220232012024000⎛⎫⎛⎫⎪ ⎪→ ⎪ ⎪⎪ ⎪⎝⎭⎝⎭对应特征向量为:()221T x k =- 三.解:()()()()312014113421101λλλλλλλ+-+-=+-+-++-()()2145λλλ=-++ 特征值为:1,2,2i i λλλ==-+=--1λ=时,412100100024024024100412412-⎛⎫⎛⎫⎛⎫ ⎪ ⎪ ⎪-→-→- ⎪ ⎪ ⎪ ⎪ ⎪ ⎪--⎝⎭⎝⎭⎝⎭100012000⎛⎫⎪→- ⎪ ⎪⎝⎭对应特征向量为:()021Tx k =2i λ=-+时,1121031030140140141031120122ii i i i i i i i +--+-+⎛⎫⎛⎫⎛⎫ ⎪ ⎪ ⎪-+-→-+-→-+- ⎪ ⎪ ⎪ ⎪ ⎪ ⎪-++-+⎝⎭⎝⎭⎝⎭1030122000i i -+⎛⎫ ⎪→+ ⎪ ⎪⎝⎭对应特征向量为:()3221Tx k ii =---2i λ=--时,1121031030141120122103014014i i i i i i i i i ------⎛⎫⎛⎫⎛⎫ ⎪ ⎪ ⎪---→--→- ⎪ ⎪ ⎪ ⎪ ⎪ ⎪--------⎝⎭⎝⎭⎝⎭1030122000i i --⎛⎫ ⎪→- ⎪ ⎪⎝⎭对应特征向量为:()3221Tx k ii =+-+四.解:2λ=为A 的一个特征值,故3A 的一个特征值为8,312A 的一个特征值为4,1312A -⎛⎫ ⎪⎝⎭的一个特征值为14,所以1312I A -⎛⎫+ ⎪⎝⎭的一个特征值为15144+= 五.证明:若λ为A 的任一特征值,00x ≠为对应特征向量,则:()220000A x A Ax Ax x λλ===,而2A E =,所以200A x x =从而有:200x x λ=,所以有:21λ=,所以,1λ=±矩阵相似一.选择题 1.D 2.A 3.D二.下列矩阵哪些能对角化,若能,则求出可逆矩阵P ,使1P AP -为对角矩阵1.3111102121112112E A λλλλλλλλ-----=--=------ ()()110101211221112102λλλλλλ-=---=--------()()212λλ=-- 特征值为:2(),1λλ==二重2λ=时,111111111221001001110001000------⎛⎫⎛⎫⎛⎫⎪ ⎪ ⎪--→→ ⎪ ⎪ ⎪ ⎪ ⎪ ⎪-⎝⎭⎝⎭⎝⎭特征子空间的维数为1,故A 不能对角化.2.()1101011011111111011011011E A λλλλλλλλλλλ------=--=--=---------()()()()()112102111211011λλλλλλλλλ--=--=-=-+-----特征值为:1,1,2λλλ==-=1λ=时,010111111010010000---⎛⎫⎛⎫⎪ ⎪--→ ⎪ ⎪⎪ ⎪-⎝⎭⎝⎭ 对应特征向量为:()101T x k =- 1λ=-时,210111111111012012012012000--⎛⎫⎛⎫⎛⎫ ⎪ ⎪ ⎪---→--→ ⎪ ⎪ ⎪ ⎪ ⎪ ⎪--⎝⎭⎝⎭⎝⎭对应特征向量为:()121Tx k =-2λ=时,110110121011011000--⎛⎫⎛⎫⎪ ⎪--→- ⎪ ⎪ ⎪ ⎪-⎝⎭⎝⎭对应特征向量为:()111T x k =所以,111021111P -⎛⎫ ⎪=- ⎪ ⎪⎝⎭,1100010002P AP -⎛⎫⎪=- ⎪ ⎪⎝⎭3.()()2112111020224313413E A λλλλλλλλλλλ+--+-+--=-=-=--+--- ()()()()()()211112121211302λλλλλλλλ--=-+=-+=-+--所以,特征值为:2(,1λλ==-二重)2λ=时,411411000000411000----⎛⎫⎛⎫ ⎪ ⎪→ ⎪ ⎪ ⎪ ⎪--⎝⎭⎝⎭ 对应特征向量:()()12104140TTx x ⎧=⎪⎨=⎪⎩1λ=-时,111111030010414000----⎛⎫⎛⎫⎪ ⎪-→ ⎪ ⎪ ⎪ ⎪--⎝⎭⎝⎭ 对应特征向量为:()3101T x = 故,111040401P ⎛⎫ ⎪= ⎪ ⎪⎝⎭,1200020001P AP -⎛⎫ ⎪= ⎪ ⎪-⎝⎭4.()111110011001111111111111111111111111111E A λλλλλλλλλλλλλλ-----------===------------- ()()10001111111112112121121λλλλλλλλ+--+-=-=--------()()()221101101001211211221212123λλλλλλλλλλλ---=--=--=-+-------()()()()()22321111131331λλλλλλλλ+--=-=-+=-+-所以,特征值为:1(),3λλ==-三重1λ=时,11111111111100001111000011110000----⎛⎫⎛⎫ ⎪ ⎪--⎪ ⎪→ ⎪ ⎪-- ⎪ ⎪--⎝⎭⎝⎭对应特征向量为:()()()123100*********T T T x x x ⎧=-⎪⎪=⎨⎪=⎪⎩ 3λ=-时,31111113131131111131113111131311------⎛⎫⎛⎫ ⎪ ⎪------⎪ ⎪→ ⎪ ⎪------ ⎪ ⎪------⎝⎭⎝⎭11131113044801120044001104040000------⎛⎫⎛⎫ ⎪ ⎪--- ⎪ ⎪→→ ⎪ ⎪-- ⎪ ⎪--⎝⎭⎝⎭对应特征向量为:()41111Tx =--111100110101101P ⎛⎫ ⎪-⎪= ⎪- ⎪-⎝⎭ 1100010000100003P A P -⎛⎫ ⎪⎪= ⎪ ⎪-⎝⎭ 三.解:令()123122221212P x x x -⎛⎫ ⎪==-- ⎪ ⎪⎝⎭,则,()()12312310023020003AP Ax Ax Ax x x x P ⎛⎫⎪=== ⎪ ⎪⎝⎭所以,1120331005202003300322233A P P -⎛⎫-- ⎪⎛⎫ ⎪ ⎪ ⎪==- ⎪⎪ ⎪ ⎪⎝⎭ ⎪--⎪⎝⎭四.解:3221221(1)1423123E A k k k λλλλλλλλλ--+--=+-=-++---++-+ ()()1221221111012123001k k λλλλλλ--=+-+-=+---++()()211λλ=+-特征值为:1(),1λλ=-=二重,A 可对角化,则:1λ=-时有:()1rank E A λ-=,由42242200422000k k k k ----⎛⎫⎛⎫⎪ ⎪-→- ⎪ ⎪ ⎪ ⎪--⎝⎭⎝⎭知,必有0k = 对应特征值为:()()12102,120T Tx x ==-1λ=时,222111020010424000---⎛⎫⎛⎫⎪ ⎪→ ⎪ ⎪⎪ ⎪--⎝⎭⎝⎭,对应特征向量为:()3101T x = 111020201P ⎛⎫ ⎪=- ⎪ ⎪⎝⎭,1100010001P AP --⎛⎫⎪=- ⎪ ⎪⎝⎭五.证明:B 与A 相似,则存在满秩矩阵P ,使得1B P AP -=,又A 有n 个互异特征值,故存在可逆矩阵M ,使得:11,(,)n M AM diag C λλ-=⋅⋅⋅∴111()A MCM P P MCM ---==,11111()B P AP P MCM P P MCM P -----=== 令11,Q P R P MCM --==,则Q 满秩,,A QR B RQ ==实对称矩阵的对角化一.解:首先将向量组正交化,取 ()111100Tβα==()()2122111(,)1111010110010(,)222TT T αββαβββ⎛⎫=-=-=- ⎪⎝⎭313233121122(,)(,)1111(,)(,)333Tαβαββαββββββ⎛⎫=--=- ⎪⎝⎭单位化:1200,022TTηη⎛⎫⎫== ⎪⎪⎪⎪⎝⎭⎝⎭3Tη⎛= ⎝⎭二.解:设()1234Tx x x x x =为单位向量,则有:123412341234020x x x x x x x x x x x x +-+=⎧⎪--+=⎨⎪+++=⎩ 其通解为:()4013T x k =-所以,所求单位向量为:0T⎝⎭三.求正交矩阵Q ,使1Q AQ -为对角矩阵1.解:()()2324221842E A λλλλλλ----=--=+---, 所以特征值为:1(),8λλ=-=二重1λ=-时,424212212000424000---⎛⎫⎛⎫ ⎪ ⎪---→ ⎪ ⎪ ⎪ ⎪---⎝⎭⎝⎭,特征向量()()12101120TTx x ⎧=-⎪⎨=-⎪⎩8λ=时,52414114128252401894254250189----⎛⎫⎛⎫⎛⎫ ⎪ ⎪ ⎪--→--→- ⎪ ⎪ ⎪ ⎪ ⎪ ⎪-----⎝⎭⎝⎭⎝⎭141021000-⎛⎫ ⎪→- ⎪⎪⎝⎭特征向量:()3212Tx =将12,x x 正交化,令11x β=,2122111(,)112(,)22Tx x βββββ⎛⎫=-=- ⎪⎝⎭将123,,x ββ单位化得:2310323Q ⎛⎫ ⎪ ⎪⎪=⎪ ⎪ ⎪ ⎪ ⎪⎝⎭,1(1,1,8)Q AQ diag -=-- 2.()111110011001111111111111111111111111111E A λλλλλλλλλλλλλλ-----------===------------- ()()10001111111112112121121λλλλλλλλ+--+-=-=--------()()()221101101001211211221212123λλλλλλλλλλλ---=--=--=-+-------()()()23211133λλλλλ+-=-=-+-,特征值为:1(),3λλ==-三重1λ=时,111111111111000011110000111100----⎛⎫⎛⎫ ⎪ ⎪--⎪ ⎪→ ⎪ ⎪-- ⎪ ⎪--⎝⎭⎝⎭,对应特征向量为:()()()123100110101100T T T x x x ⎧=-⎪⎪=⎨⎪=⎪⎩ 将123,,x x x 正交化,令11x β=,2122111(,)1101(,)22Tx x βββββ⎛⎫=-= ⎪⎝⎭,313233121122(,)(,)1111(,)(,)333Tx x x βββββββββ⎛⎫=--=- ⎪⎝⎭3λ=-时,311111131113131113110404113111310044111331110448---------⎛⎫⎛⎫⎛⎫ ⎪ ⎪ ⎪-------- ⎪ ⎪ ⎪→→ ⎪ ⎪ ⎪-------- ⎪ ⎪ ⎪---------⎝⎭⎝⎭⎝⎭1113010100110000---⎛⎫ ⎪ ⎪→ ⎪ ⎪⎝⎭, 对应特征向量为:()41111Tx =--将1234,,,x βββ单位化得:12100210212Q ⎛⎫ ⎪ ⎪⎪- ⎪⎪= ⎪- ⎪ ⎪ ⎪ ⎪⎝⎭四.证明:若,A B 有相同的特征值1,,n λλ⋅⋅⋅,则存在正交矩阵,Q T 使得:1111(,,)(,,)n n Q AQ diag T BT diag λλλλ--⎧=⋅⋅⋅⎪⎨=⋅⋅⋅⎪⎩,从而有1111(,,)n B Tdiag T TQ AQT λλ---=⋅⋅⋅=令1P QT-=,则()()()11111TTTT T P P TQ QT T T TT E -----====所以P 为正交矩阵,即存在正交矩阵P ,使得1B P AP -= 反之,若存在正交矩阵P 使得1B P AP -=,则有:11()E A P E A P E P AP E B λλλλ---=-=-=-故,,A B 有相同的特征多项式,所以,A B 有相同的特征值.五.解:因为3R 的维数为3,321λλ==对应的特征子空间2Φ应该为11λ=-所对应的特征子空间1Φ的正交补空间.所以2Φ的基应与1Φ的基1X 正交. 取()()23100,011T TX X ==-,则232,X X ∈Φ,将123,,X X X单位化得:010022022P ⎛⎫⎪⎪ ⎪=⎪ - ⎝⎭,所以100(1,1,1)001010TA Pdiag P ⎛⎫ ⎪=-=- ⎪ ⎪-⎝⎭。
《高等代数》习题与参考答案数学系第九章 欧氏空间1.设()ij a =A 是一个n 阶正定矩阵,而),,,(21n x x x Λ=α, ),,,(21n y y y Λ=β,在n R 中定义内积βαβα'A =),(,1) 证明在这个定义之下, n R 成一欧氏空间; 2) 求单位向量)0,,0,1(1Λ=ε, )0,,1,0(2Λ=ε, … , )1,,0,0(Λ=n ε,的度量矩阵;3) 具体写出这个空间中的柯西—布湿柯夫斯基不等式。
解 1)易见βαβα'A =),(是n R 上的一个二元实函数,且 (1) ),()(),(αβαβαββαβαβα='A ='A '=''A ='A =, (2) ),()()(),(αβαββαβαk k k k ='A ='A =,(3) ),(),()(),(γβγαγβγαγβαγβα+='A '+'A ='A +=+, (4) ∑='A =ji j i ijy x a,),(αααα,由于A 是正定矩阵,因此∑ji j i ij y x a,是正定而次型,从而0),(≥αα,且仅当0=α时有0),(=αα。
2)设单位向量)0,,0,1(1Λ=ε, )0,,1,0(2Λ=ε, … , )1,,0,0(Λ=n ε,的度量矩阵为)(ij b B =,则)0,1,,0(),()(ΛΛi j i ij b ==εε⎪⎪⎪⎪⎪⎭⎫⎝⎛nn n n n n a a aa a a a a a ΛM O MM ΛΛ212222211211)(010j ⎪⎪⎪⎪⎪⎪⎭⎫ ⎝⎛M M =ij a ,),,2,1,(n j i Λ=, 因此有B A =。
4) 由定义,知∑=ji ji ij y x a ,),(βα,α==β==故柯西—布湿柯夫斯基不等式为2.在4R 中,求βα,之间><βα,(内积按通常定义),设: 1) )2,3,1,2(=α, )1,2,2,1(-=β, 2) )3,2,2,1(=α, )1,5,1,3(-=β, 3) )2,1,1,1(=α, )0,1,2,3(-=β。
2009-2010学年第二学期 高等代数(下)期末考试试卷(A 卷) 一、 选择题(本大题共5小题,每小题3分,共15分) 1.( )下列所定义的变换σ,哪一个是线性变换(A)在线性空间V 中,设α为一固定的非零向量,对于任意的V ξ∈,定义()σξξα=+;(B) 在3R 中,定义221231233(,,)(,,)x x x x x x x σ=+;(C) 在3R 中,定义222222123131223(,,)(,,)x x x x x x x x x σ=+++;(D) 在[]P x 中,定义()0()()f x f x σ=,其中0x 为P 中一个固定的数。
2.( )在实数域R 中,由全体3阶矩阵所构成的线性空间V 的维数为 (A )2; (B )4; (C )6; (D )9。
3. ( ) 如果1V , 2V 是线性空间V 的两个子空间, 且()1dim 5V =,()2dim 3V =, ()12dim 6V V +=, 那么()12dim V V I 为(A) 2 (B) 3 (C) 4 (D) 54.( )设σ为欧氏空间V 的一个线性变换,符号(,)αβ表示向量α和β的内积,则下列哪一说法与σ为正交变换不等价(A) 对任意V α∈,有()(),()(,)σασααα=; (B) 对任意,V αβ∈,有()(),()(,)σασβαβ=; (C) 对任意,V αβ∈,有()()(),,()σαβασβ=;(D) σ在任意一组标准正交基下的矩阵是正交矩阵.5. ( ) 设A 和B 为数域P 上的n 阶方阵,则A 和B 相似当且仅当(A) A 和B 有相同的特征值; (B) A 和B 有相同的秩;(C) 存在着行列式不为零的n 阶方阵T 使得1B T AT -= ;( D) A 和B 有相同的迹。
二、 填空题(本大题共5小题,每小题3分,共15分)1、设三阶方阵A 的特征多项式为32()225f λλλλ=---,则 =||A ________。
四川大学2009年攻读硕士学位研究生入学考试题一、解答下列各题.1.(5分)设)(x f 是数域F 上次数为2008的多项式,证明:20092不可能是)(x f 的根.F 为有理数域该命题成立如题:设)(x f 是有理数域Q 上一个m 次多项式(0≥m ),n 是大于m 的正整数,证明:n2不可能是)(x f 的根.证明:反证法:假设n2是)(x f 的根,有)2()2(--n nx x 对于2-nx ,存在素数2=p110,,,-n a a a p Λ、p 不能整除n a 、2p 不能整除0a由艾森斯坦判别法,有2-nx 在有理数域不可约,则有)()2(x f x n -则n x f ≥∂))((与题设矛盾,故假设不成立,即n 2不可能是)(x f 的根.2.(10分)用代数基本定理证明,实数域R 上的任意不可约多项式只能是一次多项式或满足042<-ac b 的二次多项式:c bx ax ++2.证明:由代数基本定理,任意多项式在复数域都可以分解为一次多项式的乘积 则令多项式为)())(()(21n a x a x a x k x f ---=Λ (C a i ∈,R k ∈且0≠k ) 当R a i ∈时,则i a x -是实数域R 上的一次不可约多项式当R a i ∉时,有i a 也是)(x f 的根,有i i i i i i a a x a a x a x a x ++-=--)())((2i i i i a a x a a x ++-)(2满足042<-ac b由)(i i a a +-,R a a i i ∈,则i i i i a a x a a x ++-)(2是实数域R 上的二次不可约多项式故实数域R 上的任意不可约多项式只能是一次多项式或满足042<-ac b 的二次多项式:c bx ax ++2.3.(5分)设A 是数域F 上的n 阶方阵.要求不用Hamilton-Caylay 定理,证明:存在F 上的多项式)(x f 使得O A f =)(. 证明:取A 的特征多项式A E g -=λλ)(设)(λB 为A E -λ的伴随矩阵,有E g E A E A E B )())((λλλλ=-=- 由)(λB 的元素是A E -λ各个代数余子式,则1))((-≤∂n B λ 有11201)(---+++=n n n B B B B Λλλλ令n n n a a g +++=-Λ11)(λλλ,得E a E a E E g n n n +++=-Λ11)(λλλ ①A B A B B A B B A B B B A E B n n n n n n 1211220110)()()())((-------++-+-+=-λλλλλλΛ ②比较①、②,有⎪⎪⎪⎪⎩⎪⎪⎪⎪⎨⎧=-=-=-=-=----E a A B Ea A B B E a A B B E a A B B EB n n n n n 11212121010ΛΛΛ,得⎪⎪⎪⎪⎩⎪⎪⎪⎪⎨⎧=-=-=-=-=---------Ea A B A a A B A B A a A B A B A a A B A B A A B n n n n n n n n n nn n n 11221221122110110ΛΛΛ左边和右边全部相加,有O E g =)(λ,即0)(=λg 任取)()()(x g x q x f =,则有O A f =)(4.(10分)设1α、2α、3α是多项式123)(3++=x x x f 的全部根.求下式的值 ))()((212331223221ααααααααα+++解:由根与系数的关系得0321=++ααα、32323121=++αααααα、31321-=ααα)31)(31)(31())()((323222121212331223221ααααααααααααααα---=+++]1)()([91)1)(1)(1(271333231333233313231333231333231321-+++++--=---=αααααααααααααααααα)(91)(9124328333231333233313231ααααααααα++-++-=① )(91)111(243124328333231333231αααααα++-++-=)(91243124328333231333231333233313231αααααααααααα++-++-= ② 由①、②得,0333233313231=++αααααα,则原式)(9124328333231ααα++-=由13))((3)(3213231213213321333231-=+++++-++=++αααααααααααααααααα得原式24355=二、解答下列各题.1(10分)叙述并证明线性方程组的克莱默(Cramer )法则.2(5分)设F ,K 都是数域且K F ⊆,设β=AX 是数域F 上的线性方程组. 证明:β=AX 在F 上有解当且仅当β=AX 在K 上有解. 证明:令A 为n m ⨯矩阵 必要性:令X 为β=AX 在F 上的解,有n F X ∈,由K F ⊆,得nK X ∈X 也为β=AX 在K 上的解充分性:β=AX 在K 上有解, 有)()(A r A r =由A ,)(F M A n m ⨯∈,则在F 上,也有)()(A r A r =,故β=AX 在F 上有解3.设⎥⎥⎥⎦⎤⎢⎢⎢⎣⎡----=142412222A (1)(5分)在任意数域F 上,A 能否相似于一个对角阵?说明理由. (2)(5分)求A 的极小多项式.(3)(5分)设AX X X f ')(=,其中)',,(321x x x X =是列向量.求)(X f 的一个标准型.解:(1))6()3(1424122222+-=+---+--=-λλλλλλA EA 的特征值为3,3,6-当3=λ时,000002214424422213-=----=-A E基础解系由2)3(=--A E r n 个线性无关的向量构成)'1,1,4(-、)'1,1,0(当6-=λ时,0009904525424522286--→-------=--A E 基础解系由1)6(=---A E r n 个向量构成)'2,2,1(- 故A 对应3个线性无关的特征向量,A 可对角化取⎥⎥⎥⎦⎤⎢⎢⎢⎣⎡--=211211104P ,则有)6,3,3(1-=-diag AP P 由)(,3Q M C A ∈、又Q ∈-6,3,则A 在有理数域可以对角化由任何数域都包含有理数域,故在任意数域F 上,A 都能相似于一个对角阵(2)A 的特征多项式为O E A E A A f =+-=)6()3()(2由O E A E A =+-)6)(3(,有A 的极小多项式为)6)(3()(+-=λλλm(3)把P 的列向量单位化,得⎥⎥⎥⎥⎥⎥⎦⎤⎢⎢⎢⎢⎢⎢⎣⎡--=32212313221231310234C ,C 为正交矩阵 令CY X =,有232221633''')(y y y ACY C Y AX X X f -+===4.(10分)证明:在任意数域F 上矩阵⎥⎥⎥⎦⎤⎢⎢⎢⎣⎡--=111001012A 与⎥⎥⎥⎦⎤⎢⎢⎢⎣⎡=110011001B 都不相似. 证明:3)1(11101012-=----=-λλλλλA E 有A 的特征值为1,1,1 1=λ时,00000001101101111-=---=-A E基础解系有2)(=--A E r n 个线性无关的向量构成 ①3)1(11011001-=-----=-λλλλλB E 有B 的特征值为1,1,1 1=λ时,01000100--=-B E 基础解系有1)(=--B E r n 个向量构成 ②由①、②,得在任意数域F 上矩阵A 与B 都不相似5.(5分)设A 是n 阶实对称矩阵.证明:A 是正定矩阵的充分必要条件是,对任意整数k ,k A 也是正定的.证明:必要性:令A 的特征值为i λ(n i ,,2,1Λ=),则k A 的特征值为k i λ A 是正定矩阵,0>i λ,则0>ki λ,有k A 为正定矩阵充分性:k A 的特征值为k i λ,有0>ki λ,由k 的任意性,有0>i λ,故A 是正定矩阵三、(15分)设)(F M n 是数域F 上的全体n 阶方阵组成的集合.对任意可逆矩阵)(F M A n ∈,定义集合})({1X XA A F M X n A =∈=T -. 设A A F M A n V T =≠∈0):(I,即V 是所有可能的A T 的交集(A 可逆).求V dim 和V 的一个基.解: 取)(F M n 的一个基nn E E E Λ,,1211,令n n ij a A ⨯=)(、n n ij x X ⨯=)( 有nn nn E a E a E a A +++=Λ12121111由X XA A =-1,有AX XA =,则X E XE ij ij =有行第列第i 111j 21⎥⎥⎥⎥⎦⎤⎢⎢⎢⎢⎣⎡==⎥⎥⎥⎥⎦⎤⎢⎢⎢⎢⎣⎡=j j j ijnii i ij x x x X E x x x XE ΛM 得0=ij x (j i ≠)且nn x x x ===Λ2211,故kE X =为数量矩阵 有)(E L A =T ,则V 由数量矩阵和全体对角元素为零的矩阵构成令V B ∈,有∑=+=nj i ij ij E k kE B 1,(j i ≠),有1dim 2+-=n n VE 与全体ij E (j i ≠)构成V 的一个基.四、设)(12F M r +是数域F 上的全体12+r 阶方阵组成的集合.设⎥⎥⎥⎦⎤⎢⎢⎢⎣⎡=O E O E O O O OM r r 2是分块矩阵,其中r E 是r 阶单位阵.设}')({12O MX M X F M X B r =+∈=+,其中'X 表示X 的转置矩阵.进一步B X ∈,设∑∞==0!1k kXX k e .已知:)(12F M e r X+∈.1.(15分)求B dim 和B 的一个基.2.(15分)证明:对任意B X ∈都有行列式1)det(=Xe3.(10分)设列向量空间12+r F上的一个双线性函数),(--在它的基)'0,,0,1(1Λ=ε,)'0,,1,0(2Λ=ε,……,)'1,,0,0(12Λ=+r ε下的度量矩阵为上述M .证明:对任意B X ∈和列向量12,+∈r Fβα都有),(),(βαβα=XX e e .1.解:令⎥⎥⎥⎦⎤⎢⎢⎢⎣⎡=333231232221131211X X X X X X X X x X (12X 、13X 为r 维行向量,21X 、31X 为r 维列向量,22X 、23X 、32X 、33X 为r 阶方阵)有⎥⎥⎥⎦⎤⎢⎢⎢⎣⎡=232221333231131211222X X X X X X X X x MX ,有⎥⎥⎥⎦⎤⎢⎢⎢⎣⎡='''2'''2''2)'(233313223212213111X X X X X X X X x MX 由O MX M X =+',又M 为对称矩阵,有O MX MX =+)'(则O X X X X X X X X X X XX X X X X x =⎥⎥⎥⎦⎤⎢⎢⎢⎣⎡++++++++2323223321133322323231121321123111'''2'''22'2'4,有011=x 自由变量有12X 、13X 、22X 、23X 、32X 且23X 、32X 为反对称矩阵有r r r r r r r r r B +=-+-+++=2222222dim2.证明:根据矩阵指数的性质,有)()det(X tr X e e =)'()()'()()()()(3322332233223322X X tr X tr X tr X tr X tr X X tr X tr e e e e e ++++====由O X X =+3322',有10)'(3322==+e e X X tr ,则1)det(=X e注:关于)()det(X tr X e e =的证明由存在可逆矩阵P ,使得⎥⎥⎥⎥⎦⎤⎢⎢⎢⎢⎣⎡=-n XP P λλλ******211O有121******-⎥⎥⎥⎥⎥⎦⎤⎢⎢⎢⎢⎢⎣⎡=P P X k n kk k λλλO11020100******!1***!1***!1!121--∞=∞=∞=∞=⎥⎥⎥⎥⎥⎦⎤⎢⎢⎢⎢⎢⎣⎡=⎥⎥⎥⎥⎥⎥⎥⎥⎦⎤⎢⎢⎢⎢⎢⎢⎢⎢⎣⎡=∑∑∑∑P e e e P P k k k P X k n k nk kk k k k kλλλλλλOO有)(2121)det(X tr Xe e e e e e n n ===+++λλλλλλΛΛ3.证明:五、(20分)证明:在数域F 上的任意n 元多项式都是线性多项式(即:一次齐次多项式)的幂的线性组合.证明:由任何一个m 次n 元多项式f 都可以唯一的表示成∑==mi i f f 0,其中i f 是n 元i 次齐次多项式由i f 是i 次齐次多项式,那么n x x x ,,,21Λ有ii n C k 1-+=种组合方式令⎥⎥⎥⎥⎦⎤⎢⎢⎢⎢⎣⎡=+++=--k i n i i i n k i i i b b b x x x x x b x x b x b f M ΛΛ212111211211),,,(取k 个一次齐次多项式k g g g ,,,21Λ,它们的i 次方为ik i i g g g ,,,21Λ令ij g 的k 个系数为kj j j a a a ,,,21Λ(k j ,,2,1Λ=)⎥⎥⎥⎥⎥⎦⎤⎢⎢⎢⎢⎢⎣⎡=+++=--kj j j i n i i i n kj i j i j i j a a a x x x x x a x x a x a g M ΛΛ212111211211),,,( 得到系数方程⎥⎥⎥⎥⎦⎤⎢⎢⎢⎢⎣⎡=⎥⎥⎥⎥⎦⎤⎢⎢⎢⎢⎣⎡⎥⎥⎥⎥⎦⎤⎢⎢⎢⎢⎣⎡k k kk k k k k b b b y y y a a a a a aa a a M MΛM MM ΛΛ2121212222111211 只要k g g g ,,,21Λ选取得当,则此方程有解则有∑==+++=kl i ll i kki ii g y g y g y g y f 12211Λ,故∑∑===m i kl il l g y f 01,即证.。