2SB1182三极管
- 格式:pdf
- 大小:1.16 MB
- 文档页数:9
常用电子管代换(一)二极管部分:5Z3P直热式双阳极二极管小功率全波整流5T4、5×4G、5U4G*、5ц3C、U52 氧化物阴极5Z4P旁热式双阳极二极管小功率全波整流*5B×1、*5ц4C,GZ30、5Z4G/GT 氧化物阴极5Z1P直热式双阳极二极管小功率全波整流氧化物阴极5Z2P直热式双阳极二极管小功率全波整流5W4、5Y3G、80、U50氧化物阴极5Z8P旁热式双阳极二极管全波整流*5ц8C氧化物阴极5Z9P旁热式双阳极二极管全波整流*5ц9C氧化物阴极6Z4旁热式双阳极二极管全波整流*6ц4П、6B×4、6×4、6Z31 共阴极6Z5P旁热式双阳极二极管小功率全波整流*6ц5C共阴极6H2旁热式双阳极二极管检波、整流*6×2П、6AL5、C氧化物阴极Posted: 2005-03-24 00:40 | [楼主]风根e182cc爱胆机,爱生活级别: 骑士精华: 0发帖: 1281威望: 430金钱: 1275耳机:HD600音源:LINN SNEAKYMUSIC DS耳放:β22在线时间:342(小时)注册时间:2004-09-28最后登录:2014-11-16(二)三极管部分:6C1旁热式三极管*6C1П、CV664、9002氧化物阴极6C3旁热式三极管*6C3П阴地三极管6C4旁热式三极管*6C4П栅地三极管6C5P旁热式三极管6C5GT、*6C5C、6C5氧化物阴极6C6B旁热式三极管5703、CV3917、*6C6Ь氧化物阴极6C7B旁热式三极管*6C7Ь氧化物阴极6C12旁热式三极管EC88、5842高S、低N6C22D旁热式三极管5876金属陶瓷管6C31B-Q旁热式三极管*6C31Ь-B氧化物阴极6C32B-Q旁热式三极管*6C32Ь-B遥截止三极管6N1旁热式双三双极管*6H1П、6AQ8、AA61、ECC40/82氧化物阴极6N2旁热式双三双极管*6H2П、6AX7、6AV7、ECC41氧化物阴极6N3旁热式双三双极管*6H3П、6A8Q、2C51、ECC42氧化物阴极6N4旁热式双三双极管低噪声电压放大ECC83、12A×7高μ、低N6N5P旁热式双三双极管低频功率放大*6H13C、6AS7、CV2523、6NS7G/GT 低Ri6N6(T)旁热式双三双极管*6H6П、E182CC、12BH7氧化物阴极6N7P旁热式双三极管6H7、*H7C、6N7/G/GT共阴极6N8P旁热式双三极管*6H8C*6H8M、6SN7、6F8G、CV181、QB65、ECC3 2氧化物阴极6N9P旁热式双三极管*6H9C、6SL7、ECC35、6SC7、6CY7高μ6N10旁热式双三极管*6H10M、12AV7A、E82CC、CV491氧化物阴极6N11旁热式双三极管*6H23П、6DJ8、ECC84、E88CC、6922、CV2492 高S、低RI、N6N12P旁热式双三极管*6H12C、TS229、5687氧化物阴极6N13P旁热式双三极管*6H13C、6AS7、CV2523、6NS7G/GT低内阻6N15旁热式双三极管*6H15П、6J6WA、6CC31、CV858共阴极6N16B旁热式双三极管氧化物阴极6N17B旁热式双三极管*6H17Ь、6112、CV5007氧化物阴极6N21B-Q旁热式双三极管氧化物阴极6N23旁热式双三极管6DJ8、ECC88、PCC88高μ低N12AX7旁热式双三极管12AX7A、7025、ECC83高μ低噪管12AU7旁热式双三极管ECC82、6189中μ管12AT7旁热式双三极管ECC81、6201、GT-12AT7高μ管[ 此贴被风根e182cc在2005-03-24 00:57重新编辑]Posted: 2005-03-24 00:41 | 1 楼风根e182cc爱胆机,爱生活级别: 骑士精华: 0发帖: 1281威望: 430金钱: 1275耳机:HD600音源:LINN SNEAKYMUSIC DS耳放:β22在线时间:342(小时)注册时间:2004-09-28最后登录:2014-11-16(三)五极管部分:6J1旁热锐止五极管宽带电压放大*6ж1П、6AK5、6BC5、EF40、EF95、CV850高频管6J1B锐截止五极管宽带电压放大*6ж1Ь、CV3929、61489、CK5702/7083旁热式阴极6J2锐截止五极管宽带电压放大*6ж2П、6AS6、CV2522、EF11/732、CV4011旁热式阴极6J2B锐截止五极管宽带电压放大*6ж2Ь、CK5639旁热式阴极6J3锐截止四极管宽带电压放大*6ж3П、EF96、CV848、6BC6、6AG5 束射四极管6J4锐截止五极管宽带电压放大*6ж4、6136、6BX6、6AC7、EF94旁热式阴极6J4P锐截止五极管宽带电压放大*6ж4C、CV849、1852旁热式阴极6J5锐截止高频管宽带电压放大*6ж5П、EF80、CV2521、6F36、6AH6 高S、束射四极管6J8锐截止五极管低频电压放大CV2901、6SJ7、6CF8、6267、EF16、EF86、2729 低噪声N6J8P锐截止五极管宽带电压放大*6ж8C、5693、EF6、EBC3、CV592旁热式阴极6J9锐截止五极管宽带电压放大*6ж9П、EF861旁热式阴极6J20锐截止五极管宽带电压放大*6ж20П空间电荷栅6J23高互导双五极管宽带电压放大*6ж23П阴极框架栅6J23B-Q锐截止五极管宽带电压放大*6ж23B-K低振动噪声12J1S锐截止五极管小功率放大*12ж1л氧化物阴极6K1B遥截止五极管宽带电压放大*6K16K3P遥截止五极管宽带电压放大*6K3、6SK7、6K7、6D6、6SG7 旁热式阴极6K4遥截止五极管宽带电压放大*6K4П、6BA6、6DA6、EF89/93、5749、6K5旁热式阴极6K5遥截止五极管宽带电压放大同6K4旁热式阴极12K3P遥截止五极管宽带电压放大12K3、12SK7/GT旁热式阴极Posted: 2005-03-24 00:41 | 2 楼风根e182cc爱胆机,爱生活级别: 骑士精华: 0发帖: 1281(四)功率管2P2输出四极管低频功率放大2П2П、DL92、1S4T、1L33、1L34直热式阴极2P3威望: 430金钱: 1275耳机:HD600音源:LINN SNEAKY MUSIC DS耳放:β22在线时间:342(小时)注册时间:2004-09 -28最后登录:2014-11 -16 束射四极管低频功率放大3A4、1662、CV807、DL93直热式阴极2P19B五极管功率放大直热式阴极2P29直热式五极管功率放大*2、*2П29л氧化物阴极4P1S直热式阴极功率放大*4П1л、4L2D五极管6P1束射四极管低频功率放大*6П1П、6AQ5、6BW6、6L31、EL14、90旁热式阴极6P3P束射四极管低频功率放大*6П3C、*6л6C、6L6、6L6G/GT、1614、1619、162 2同型:1631、6TT3C6P4P束射四极管低频功率放大旁热式阴极6P6P旁热式束射四极管低频功率放大*6П2、*6П6C、6Φ6、1611、1613、1621、6K6、CV 509、6V6GT、CV510、CV1912、CV511、6N6C、K T636P9P旁热式五极管宽带功率放大*6П9C、CV569氧化物阴极6P13P束射四极管低频功率放大*6П13C(旁热)旁热式阴极6P14P旁热式五极管宽带功率放大*6П14П、6BQ5、N709、EL84、CV2975、7320、6L 40氧化物阴极6P15P旁热式五极管低频功率放大6CH6、6CW5、EL180、EL821、CV2127、12BY7A 氧化物阴极6P25B束射四极管低频功率放大*6П25Ь、EL71、5902氧化物阴极6P30B-Q束射四极管低频功率放大*6П30Ь-B(旁热)氧化物阴极6P31B-Q束射四极管低频功率放大*6П31Ь-B(旁热)氧化物阴极13P1P输出五极管低频功率放大*13П1C旁热式阴极2A3直热式三极管功率放大*2C4、AD1、6A3、6B4G、6C4C211直热式三极管功率放大WE300B直热式三极管功率放大300B、4300A 古典式低内阻845直热式三极管功率放大UV-845Po≈100W6C33C-B旁热式三极管功率放大6550旁热束射四极管功率放大KT88氧化物阴极KT100旁热束射四极管功率放大KT94氧化物阴极6S6高S五极管电压/功率放大*6Э1П(旁热)氧化物阴极PL81旁热式五极管功率放大21A6氧化物阴极EL34旁热式五极管功率放大6CA7、KT66 氧化物阴极EL81旁热式五极管功率放大6CJ6氧化物阴极FD422直热式五极管功率放大2E22[ 此贴被风根e182cc在2005-03-24 00:58重新编辑]Posted: 2005-03-24 00:42 | 3 楼风根e182cc爱胆机,爱生活级别: 骑士精华: 0发帖: 1281威望: 430金钱: 1275耳机:HD600音源:LINN SNEAKY MUSIC DS耳放:β22在线时间:342(小时)注册时间:2004-09-28最后登录:2014-11-16(五)其他管6A2七极电子管TUNER变频CV453、EK90、X77、*6A2П、6BE5、5750旁热式阴极6F1三极-五极管变频/电压放大*6Φ1П、6BL8、6C16旁热式阴极6F2三极-五极管变频/电压放大6Φ2П、6U8、6GH、CV5065、ECF82、6BL8旁热式阴极6G2P双二极-三极管检波、电压放大*6Γ2、6SQ7、6SQ7GT/G旁热式阴极6CX8旁热式三极管-五极管电压放大和P-K分割比6U9、6F2靓高S6T1高频双四极管推挽输出QM322、5656旁热式阴极FU-5直热式三极管低频功率放大T100-1、RK57、ML714、NU-150、CV2622、CV2 768F123A、GL805、HF150、CV25FU-7旁热式四极管大S功率放大QV05-25、RK39、HY-61、QE06-50、CV124、80 75B/250A、807V、5S1FU-13直热束射四极管功率放大*гY-13、813、4B13 TT10、QY2-100、QB2、250、CV278、4T100CV1927、3874A、5C/100AFU-15直热束射五极管中功率放大*гY-15氧化物热子FU-17双束射四极管中功率放大*гY-17、CV3517、6360、QQV03-10、QQV03/12 旁热式阴极FU-25旁热束射四极管宽带功率放大1625、FD-25氧化物阴极FU-29双束射四极管宽带功率放大*гY-29、829B旁热式阴极FU-31直热式三极管宽带功率放大2T26、826、826“RCA”钍钨阴极FU-32双束射四极管宽带功率放大*гY-32、RS1019、TT20SRS4452、QQE03/20、P 2-12与FU-29类同FU-33直热式三极管功率放大ES833、CV635、B142、3578、833A、5T33钍钨阴极FU-46旁热式五极管中功率放大QV06-20、P40、QE05/40、7212、6146、2B46 氧化物阴极FU-50束射五极管宽带功率放大*гY-50、SRS552、P50/2旁热式阴极FU-811直热式三极管宽带功率放大*г-811、811A钍钨阴极FU-250F旁热式四极管宽带功率放大4C×250A金属陶瓷型18045旁热式五极管小型功放Po>1WFC4旁热式三极管电压放大*гC4金属陶瓷管Posted: 2005-03-24 00:58 | 4 楼牛哥级别: 贵宾精华: 2发帖: 3379威望: 2825金钱: 6212耳机:音源:耳放:在线时间:571(小时)注册时间:2002-06-17最后登录:2014-11-07看来这里玩灯泡的不是很多?Posted: 2005-03-24 22:04 | 5 楼风根e182cc爱胆机,爱生活级别: 骑士呵呵~我喜欢胆机。
2SA系列三极管参数2SA1006B SI-P 250V 1.5A 25W 80MHz2SA1009 SI-P 350V 2A 15W |2SA1011 SI-P 160V 1.5A 25W 120MHz2SA1013 SI-P 160V 1A 0.9W 50MHz |2SA1015 SI-P 50V 0.15A 0.4W 80MHz2SA1016 SI-P 100V 0.05A 0.4W 110MHz |2SA1017 SI-P 120V 50mA 0.5W 110MHz2SA1018 SI-P 250V 70mA 0.75W >50MHz |2SA1020 SI-P 50V 2A 0.9W 100MHz2SA1027 SI-P 50V 0.2A 0.25W 100MHz |2SA1029 SI-P 30V 0.1A 0.2W 280MHz2SA1034 SI-P 35V 50mA 0.2W 200MHz |2SA1037 SI-P 50V 0.4A 140MHz FR2SA1048 SI-P 50V 0.15A 0.2W 80MHz |2SA1049 SI-P 120V 0.1A 0.2W 100MHz2SA1061 SI-P 100V 6A 70W 15MHz |2SA1062 SI-N 120V 7A 80W 15MHz2SA1065 SI-P 150V 10A 120W 50MHz |2SA1084 SI-P 90V 0.1A 0.4W 90MHz2SA1103 SI-P 100V 7A 70W 20MHz |2SA1106 SI-P 140V 10A 100W 20MHz2SA1110 SI-P 120V 0.5A 5W 250MHz |2SA1111 SI-P 150V 1A 20W 200MHz2SA1112 SI-P 180V 1A 20W 200MHz |2SA1115 SI-P 50V 0.2A 200MHz UNI2SA1120 SI-P 35V 5A 170MHz |2SA1123 SI-P 150V 50mA 0.75W 200MHz2SA1124 SI-P 150V 50mA 1W 200MHz |2SA1127 SI-P 60V 0.1A 0.4W 200MHz2SA1141 SI-P 115V 10A 100W 90MHz |2SA1142 SI-P 180V 0.1A 8W 180MHz2SA1145 SI-P 150V 50mA 0.8W 200MHz |2SA1150 SI-P 35V 0.8A 0.3W 120MHz2SA1156 SI-P 400V 0.5A 10W POWER |2SA1160 SI-P 20V 2A 0.9W 150MHz2SA1163 SI-P 120V 0.1A 100MHz |2SA1170 SI-P 200V 17A 200W 20MHz2SA1185 SI-P 50V 7A 60W 100MHz |2SA1186 SI-P 150V 10A 100W2SA1200 SI-P 150V 50mA 0.5W 120MHz |2SA1201 SI-P 120V 0.8A 0.5W 120MHz2SA1206 SI-P 15V 0.05A 0.6W |2SA1208 SI-P 180V 0.07A 0.9W |2SA1209 SI-P 180V 0.14A 10W2SA1210 SI-P 200V 0.14A 10W |2SA1213 SI-P 50V 2A 0.5W 120MHz2SA1215 SI-P 160V 15A 150W 50MHz | 2SA1216 SI-P 180V 17A 200W 40MHz2SA1220A SI-P 120V 1.2A 20W 160MHz | 2SA1221 SI-P 160V 0.5A 1W 45MHz2SA1225 SI-P 160V 1.5A 15W 100MHz | 2SA1227A SI-P 140V 12A 120W 60MHz2SA1232 SI-P 130V 10A 100W 60MHz | 2SA1241 SI-P 50V 2A 10W 100MHz2SA1242 SI-P 35V 5A 1W 170MHz |2SA1244 SI-P 60V 5A 20W 60MHz2SA1249 SI-P 180V 1.5A 10W 120MHz | 2SA1261 SI-P 100V 10A 60W POWER2SA1262 SI-P 60V 4A 30W 15MHz |2SA1264N SI-P 120V 8A 80W 30MHz2SA1265N SI-P 140V 10A 100W 30MHz | 2SA1266 SI-P 50V 0.15A 0.4W POWER2SA1268 SI-N 120V 0.1A 0.3W 100MHz | 2SA1270 SI-P 35V 0.5A 0.5W 200MHz2SA1271 SI-P 30V 0.8A 0.6W 120MHz | 2SA1275 SI-P 160V 1A 0.9W 20MHz2SA1282 SI-P 20V 2A 0.9W 80MHz |2SA1283 SI-P 60V 1A 0.9W 85MHz2SA1286 SI-P 30V 1.5A 0.9W 90MHz | 2SA1287 SI-P 50V 1A 0.9W 90MHz2SA1292 SI-P 80V 15A 70W 100MHz | 2SA1293 SI-P 100V 5A 30W 0.2us2SA1294 SI-P 230V 15A 130W |2SA1295 SI-P 230V 17A 200W 35MHz2SA1296 SI-P 20V 2A 0.75W 120MHz | 2SA1298 SI-P 30V 0.8A 0.2W 120MHz2SA1300 SI-P 10V 2A 0.75W 140MHz | 2SA1302 SI-P 200V 15A 150W 25MHz2SA1303 SI-P 150V 14A 125W 50MHz | 2SA1306 SI-P 160V 1.5A 20W2SA1306A SI-P 180V 1.5A 20W 100MHz | 2SA1307 SI-P 60V 5A 20W 0.1us2SA1309 SI-P 30V 0.1A 0.3W 80MHz | 2SA1310 SI-P 60V 0.1A 0.3W 200MHz2SA1315 SI-P 80V 2A 0.9W 0.2us |2SA1317 SI-P 60V 0.2A 0.3W 200MHz | 2SA1318 SI-P 60V 0.2A 0.5W 200MHz2SA1319 SI-P 180V 0.7A 0.7W 120MHz | 2SA1321 SI-P 250V 50mA 0.9W 100MHz2SA1328 SI-P 60V 12A 40W 0.3us |2SA1329 SI-P 80V 12A 40W 0.3us2SA1345 SI-N 50V 0.1A 0.3W 250MHz | 2SA1346 SI-P 50V 0.1A 200MHz2SA1348 SI-P 50V 0.1A 200MHz |2SA1349 P-ARRAY 80V 0.1A 0.4W 1702SA1352 SI-P 200V 0.1A 5W 70MHz | 2SA1357 SI-P 35V 5A 10W 170MHz2SA1358 SI-P 120V 1A 10W 120MHz | 2SA1359 SI-P 40V 3A 10W 100MHz2SA1360 SI-P 150V 50mA 5W 200MHz | 2SA1361 SI-P 250V 50mA 80MHz2SA1370 SI-P 200V 0.1A 1W 150MHz | 2SA1371E SI-P 300V 0.1A 1W 150MHz2SA1376 SI-P 200V 0.1A 0.75W 120MHz | 2SA1380 SI-P 200V 0.1A 1.2W2SA1381 SI-P 300V 0.1A 150MHz |2SA1382 SI-P 120V 2A 0.9W 0.2us2SA1383 SI-P 180V 0.1A 10W 180MHz | 2SA1386 SI-P 160V 15A 130W 40MHz2SA1387 SI-P 60V 5A 25W 80MHz | 2SA1392 SI-P 60V 0.2A 0.4W 200MHz2SA1396 SI-P 100V 10A 30W |2SA1399 SI-P 55V 0.4A 0.9W 150MHz2SA1400 SI-P 400V 0.5A 10W |2SA1403 SI-P 80V 0.5A 10W 800MHz2SA1405 SI-P 120V 0.3A 8W 500MHz | 2SA1406 SI-P 200V 0.1A 7W 400MHz2SA1407 SI-P 150V 0.1A 7W 400MHz | 2SA1413 SI-P 600V 1A 10W 26MHz2SA1428 SI-P 50V 2A 1W 100MHz | 2SA1431 SI-P 35V 5A 1W 170MHz2SA1441 SI-P 100V 5A 25W <300ns |2SA1443 SI-P 100V 10A 30W2SA1450 SI-P 100V 0.5A 0.6W 120MHz | 2SA1451 SI-P 60V 12A 30W 70MHz2SA1460 SI-P 60V 1A 1W <40NS |2SA1470 SI-P 80V 7A 25W 100MHz2SA1475 SI-P 120V 0.4A 15W 500MHz |2SA1477 SI-P 180V 0.14A 10W 150MHz |2SA1488 SI-P 60V 4A 25W 15MHz2SA1489 SI-P 80V 6A 60W 20MHz |2SA1490 SI-P 120V 8A 80W 20MHz2SA1491 SI-P 140V 10A 100W 20MHz |2SA1494 SI-P 200V 17A 200W 20MHz2SA1507 SI-P 180V 1.5A 10W 120MHz |2SA1515 SI-P 40V 1A 0.3W 150MHz2SA1516 SI-P 180V 12A 130W 25MHz |2SA1519 SI-P 50V 0.5A 0.3W 200MHz2SA1535A SI-P 180V 1A 40W 200MHz |2SA1538 SI-P 120V 0.2A 8W 400MHz2SA1539 SI-P 120V 0.3A 8W 400MHz |2SA1540 SI-P 200V 0.1A 7W 300MHz2SA1541 SI-P 200V 0.2A 7W 300MHz |2SA1553 SI-P 230V 15A 150W 25MHz2SA1566 SI-N 120V 0.1A 0.15W 130MHz |2SA1567 SI-P 50V 12A 35W 40MHz2SA1568 SI-P 60V 12A 40W | 2SA1577 SI-P 32V 0.5A 0.2W 200MHz2SA1593 SI-P 120V 2A 15W 120MHz |2SA1601 SI-P 60V 15A 45W2SA1606 SI-P 180V 1.5A 15W 100MHz | 2SA1615 SI-P 30V 10A 15W 180MHz 2SA1624 SI-P 300V 0.1A 0.5W 70MHz | 2SA1625 SI-P 400V 0.5A 0.75W2SA1626 SI-P 400V 2A 1W 0.5/2.7us |2SA1633 SI-P 150V 10A 100W 20MHz2SA1643 SI-P 50V 7A 25W 75MHz |2SA1667 SI-P 150V 2A 25W 20MHz2SA1668 SI-P 200V 2A 25W 20MHz |2SA1670 SI-P 80V 6A 60W 20MHz2SA1671 SI-P 120/120V 8A 75W 20MHz |2SA1672 SI-P 140V 10A 80W 20MHz2SA1673 SI-P 180V 15A 85W 20MHz |2SA1680 SI-P 60V 2A 0.9W 100/400ns2SA1684 SI-P 120V 1.5A 20W 150MHz |2SA1694 SI-P 120/120V 8A 80W 20MHz2SA1695 SI-P 140V 10A 80W 20MHz |2SA1703 SI-P 30V 1.5A 1W 180MHz2SA1706 SI-P 60V 2A 1W |2SA1708 SI-P 120V 1A 1W 120MHz2SA1726 SI-P 80V 6A 50W 20MHz |2SA1776 SI-P 400V 1A 1W2SA1803 SI-P 80V 6A 55W 30MHz |2SA1837 SI-P 230V 1A 20W 70MHz2SA1962 SI-P 230V 15A 130W 25MHz2SA329 GE-P 15V 10mA 0.05W |2SA467 SI-P 40V 0,4A 0,3W2SA473 SI-P 30V 3A 10W 100MHz | 2SA483 SI-P 150V 1A 20W 9MHz2SA493 SI-P 50V 0.05A 0.2W 80MHz | 2SA495 SI-P 35V 0.1A 0.2W 200MHz2SA562 SI-P 30V 0.5A 0.5W 200MHz | 2SA566 SI-P 100V 0.7A 10W 100MHz2SA608 SI-N 40V 0.1A 0.1W 180MHz | 2SA614 SI-P 80V 1A 15W 30MHz2SA620 SI-P 30V 0.05A 0.2W 120MHz | 2SA626 SI-P 80V 5A 60W 15MHz2SA628 SI-P 30V 0.1A 100MHz |2SA639 SI-P 180V 50mA 0,25W2SA642 SI-P 30V 0.2A 0.25W 200MHz | 2SA643 SI-P 40V 0.5A 0.5W 180MHz2SA653 SI-P 150V 1A 15W 5MHz | 2SA684 SI-P 60V 1A 1W 200MHz2SA699 SI-P 40V 2A 10W 150MHz | 2SA708A SI-P 100V 0.7A 0.8W 50MHz2SA720 SI-P 60V 0.5A 0.6W 200MHz | 2SA725 SI-P 35V 0.1A 0.15W 100MHz2SA733 SI-P 60V 0.15A 0.25W 50MHz | 2SA738 SI-P 25V 1.5A 8W 160MHz2SA747 SI-P 120V 10A 100W 15MHz | 2SA756 SI-P 100V 6A 50W 20MHz2SA762 SI-P 110V 2A 23W 80MHz | 2SA765 SI-P 80V 6A 40W 10MHz2SA768 SI-P 60V 4A 30W 10MHz | 2SA769 SI-P 80V 4A 30W 10MHz2SA770 SI-P 60V 6A 40W 10MHz | 2SA771 SI-P 80V 6A 40W 2MHz2SA777 SI-P 80V 0.5A 0.75W 120MHz | 2SA778A SI-P 180V 0.05A 0.2W 60MHz2SA781 SI-P 20V 0.2A 0.2W <80/16 |2SA794 SI-P 100V 0.5A 5W 120MHz2SA794A SI-P 120V 0.5A 5W 120MHz | 2SA812 SI-P 50V 0.1A 0.15W2SA814 SI-P 120V 1A 15W 30MHz | 2SA816 SI-P 80V 0.75A 1.5W 100MHz2SA817 SI-P 80V 0.3A 0.6W 100MHz | 2SA817A SI-P 80V 0.4A 0.8W 100MHz2SA838 SI-P 30V 30mA 0.25W 300MHz2SA839 SI-P 150V 1.5A 25W 6MHz |2SA841 SI-P 60V 0.05A 0.2W 140MHz2SA858 SI-P 150V 50mA 0.5W 100MHz |2SA872 SI-P 90V 0.05A 0.2W 120MHz2SA872A SI-P 120V 50mA 0.3W 120MHz |2SA884 SI-P 65V 0.2A 0.27W 140MHz2SA885 SI-P 45V 1A 5W 200MHz |2SA886 SI-P 50V 1.5A 1.2W2SA893 SI-P 90V 50mA 0.3W | 2SA900 SI-P 18V 1A 1.2W2SA914 SI-P 150V 0.05A 200MHz |2SA915 SI-P 120V 0.05A 0.8W 80MHz2SA916 SI-P 160V 0.05A 1W 80MHz |2SA921 SI-P 120V 20mA 0.25W 200MHz2SA933 SI-P 50V 0.1A 0.3W | 2SA934 SI-P 40V 0.7A 0.75W2SA935 SI-P 80V 0.7A 0.75W 150MHz |2SA937 SI-P 50V 0.1A 0.3W 140MHz2SA940 SI-P 150V 1.5A 25W 4MHz |2SA941 SI-P 120V 0.05A 0.3W 150MHz2SA949 SI-P 150V 50mA 0.8W 120MHz |2SA965 SI-P 120V 0.8A 0.9W 120MHz2SA966 SI-P 30V 1.5A 0.9W 120MHz |2SA968 SI-P 160V 1.5A 25W 100MHz2SA970 SI-P 120V 0.1A 100MHz |2SA982 SI-P 140V 8A 80W 20MHz2SA984 SI-P 60V 0.5A 0.5W 120MHz |2SA985 SI-P 120V 1.5A 25W 180MHz2SA988 SI-P 120V 0.05A 0.5W |2SA991 SI-P 60V 0.1A 0.5W 90MHz2SA992 SI-P 100V 0.05A 0.2W |2SA995 SI-P 100V 0.05A 0.4W 100MHz2SB系列三极管参数2SB1009 SI-P 40V 2A 10W 100MHz | 2SB1010 SI-P 40V 2A 0.75W 100MHz2SB1012K P-DARL 120V 1.5A 8W | 2SB1013 SI-P 20V 2A 0.7W2SB1015 SI-P 60V 3A 25W 0.4us | 2SB1016 SI-P 100V 5A 30W 5MHz2SB1017 SI-P 80V 4A 25W 9MHz | 2SB1018 SI-P 100V 7A 30W 0.4us2SB1020 P-DARL+D 100V 7A 30W 0.8us | 2SB1023 P-DARL+D 60V 3A 20W B=5K 2SB1035 SI-P 30V 1A 0.9W 100MHz | 2SB1039 SI-P 100V 4A 40W 20MHz2SB1050 SI-P 30V 5A 1W 120MHz | 2SB1055 SI-P 120V 6A 70W 20MHz2SB1065 SI-P 60V 3A 10W | 2SB1066 SI-P 50V 3A 1W 70MHz2SB1077 P-DARL 60V 4A 40W B>1K | 2SB1086 SI-P 160V 1.5A 20W 50MHz2SB1098 P-DARL+D 100V 5A 20W B=80 | 2SB1099 P-DARL+D 100V 8A 25W B=6K 2SB1100 P-DARL+D 100V 10A 30W B=6 | 2SB1109 SI-P 160V 0.1A 1.25W2SB1109S SI-P 160V 0.1A 1.25W | 2SB1117 SI-P 30V 3A 1W 280MHz2SB1120 SI-P 20V 2.5A 0.5W 250MHz | 2SB1121T SI-P 30V 2A 150MHz2SB1123 SI-P 60V 2A 0.5W 150MHz | 2SB1132 SI-P 40V 1A 0.5W 150MHz2SB1133 SI-P 60V 3A 25W 40MHz | 2SB1134 SI-P 60V 5A 25W 30W2SB1135 SI-P 60V 7A 30W 10MHz | 2SB1136 SI-P 60V 12A 30W 10MHz2SB1140 SI-P 25V 5A 10W 320MHz | 2SB1141 SI-P 20V 1.2A 10W 150MHz2SB1143 SI-P 60V 4A 10W 140MHz | 2SB1146 P-DARL 120V 6A 25W2SB1149 P-DARL 100V 3A 15W B=10K | 2SB1151 SI-P 60V 5A 20W2SB1154 SI-P 130V 10A 70W 30MHz | 2SB1156 SI-P 130V 20A 100W2SB1162 SI-P 160V 12A 120W | 2SB1163 SI-P 170V 15A 150W2SB1166 SI-P 60V 8A 20W 130MHz | 2SB1168 SI-P 120V 4A 20W 130MHz2SB1182 SI-P 40V 2A 10W 100MHz | 2SB1184 SI-P 60V 3A 15W 70MHz2SB1185 SI-P 50V 3A 25W 70MHz | 2SB1186 SI-P 120V 1.5A 20W 50MHz2SB1187 SI-P 80V 3A 35W | 2SB1188 SI-P 40V 2A 100MHz2SB1202 SI-P 60V 3A 15W 150MHz | 2SB1203 SI-P 60V 5A 20W 130MHz2SB1204 SI-P 60V 8A 20W 130MHz | 2SB1205 SI-P 25V 5A 10W 320MHz2SB1212 SI-P 160V 1.5A 0.9W 50MHz | 2SB1223 P-DARL+D 70V 4A 20W 20MHz2SB1236 SI-P 120V 1.5A 1W 50MHz | 2SB1237 SI-P 40V 1A 1W 150MHz2SB1238 SI-P 80V 0.7A 1W 100MHz | 2SB1240 SI-P 40V 2A 1W 100MHz2SB1243 SI-P 60V 3A 1W | 2SB1254 P-DARL 160V 7A 70W2SB1255 P-DARL 160V 8A 100W B>5K | 2SB1258 P-DARL+D 100V 6A 30W B>1K 2SB1274 SI-P 60V 3A 30W 100MHz | 2SB1282 P-DARL+D 100V 4A 25W 50MHz 2SB1292 SI-P 80V 5A 30W | 2SB1302 SI-P 25V 5A 320MHz2SB1318 P-DARL+D 100V 3A 1W B>200 | 2SB1326 SI-P 30V 5A 0.3W 120MHz2SB1329 SI-P 40V 1A 1.2W 150MHz | 2SB1330 SI-P 32V 0.7A 1.2W 100MHz2SB1331 SI-P 32V 2A 1.2W 100MHz | 2SB1353E SI-P 120V 1.5A 1.8W 50MHz2SB1361 SI-P 150V 9A 100W 15MHz | 2SB1370 SI-P 60V 3A 30W 15MHz2SB1373 SI-P 160V 12A 2.5W 15MHz | 2SB1375 SI-P 60V 3A 25W 9MHz2SB1382 P-DARL+D 120V 16A 75W B>2 | 2SB1393 SI-P 30V 3A 2W 30MHz2SB1420 SI-P 120V 16A 80W 50MHz | 2SB1425 SI-P 20V 2A 1W 90MHz2SB1429 SI-P 180V 15A 150W 10MHz | 2SB1434 SI-P 50V 2A 1W 110MHz2SB1468 SI-P 60/30V 12A 25W | 2SB1470 P-DARL 160V 8A 150W B>5K2SB1490 P-DARL 160V 7A 90W B>5K | 2SB1493 P-DARL 160/140V 7A 70W 202SB1503 P-DARL 160V 8A 120W B>5K | 2SB1556 P-DARL 140V 8A 120W B>5K2SB1557 P-DARL 140V 7A 100W B>5K | 2SB1559 P-DARL 160V 8A 80W B>5K2SB1560 P-DARL 160V 10A 100W 50MHz | 2SB1565 SI-P 80V 3A 25W 15MHz2SB1587 P-DARL+D 160V 8A 70W B>5K | 2SB1624 P-DARL 110V 6A 60W B>5K2SB206 GE-P 80V 30A 80W | 2SB324 GE-P 32V 1A 0.25W2SB337 GE-P 50V 7A 30W LF-POWER | 2SB407 GE-P 30V 7A 30W2SB481 GE-P 32V 1A 6W 15KHz | 2SB492 GE-P 25V 2A 6W2SB527 SI-P 110V 0.8A 10W 70MHz | 2SB531 SI-P 90V 6A 50W 8MHz2SB536 SI-P 130V 1.5A 20W 40MHz | 2SB537 SI-P 130V 1.5A 20W 60MHz2SB541 SI-P 110V 8A 80W 9MHz | 2SB544 SI-P 25V 1A 0.9W 180MHz2SB546A SI-P 200V 2A 25W 5MHz | 2SB549 SI-P 120V 0.8A 10W 80MHz2SB557 SI-P 120V 8A 80W | 2SB560 SI-P 100V 0.7A 0.9W 100MHz2SB561 SI-P 25V 0.7A 0.5W | 2SB564 SI-P 30V 1A 0.8W2SB598 SI-P 25V 1A 0.5W 180MHz | 2SB600 SI-P 200V 15A 200W 4MHz2SB601 P-DARL 100V 5A 30W | 2SB605 SI-P 60V 0.7A 0.8W 120MHz2SB621 SI-N 25V 1.5A 0.6W 200MHz | 2SB621A SI-N 50V 1A 0.75W 200MHz2SB631 SI-P 100V 1A 8W | 2SB632 SI-P 25V 2A 10W 100MHz2SB633 SI-P 100V 6A 40W 15MHz | 2SB637 SI-P 50V 0.1A 0.3W 200MHz2SB641 SI-P 30V 0.1A 120MHz | 2SB647 SI-P 120V 1A 0.9W 140MHz2SB649A SI-P 160V 1.5A 1W 140MHz | 2SB656 SI-P 160V 12A 125W 20MHz2SB673 P-DARL+D 100V 7A 40W 0.8us | 2SB676 P-DARL 100V 4A 30W 0.15us2SB681 SI-N 150V 12A 100W 13MHz | 2SB688 SI-P 120V 8A 80W 10MHz2SB700 SI-P 160V 12A 100W | 2SB703 SI-P 100V 4A 40W 18MHz2SB705 SI-P 140V 10A 120W 17MHz | 2SB707 SI-P 80V 7A 40W POWER2SB709 SI-P 45V 0.1A 0.2W 80MHz | 2SB716 SI-P 120V 0.05A 0.75W2SB720 SI-P 200V 2A 25W 100MHz | 2SB727 P-DARL+D 120V 6A 50W B>1K2SB731 SI-P 60V 1A 10W 75MHz | 2SB733 SI-P 20V 2A 1W >50MHz2SB734 SI-P 60V 1A 1W 80MHz | 2SB739 SI-P 20/16V 2A 0.9W 80MHz2SB740 SI-P 70V 1A 0.9W | 2SB744 SI-P 70V 3A 10W 45MHz2SB750 P-DARL+D 60V 2A 35W B>100 | 2SB753 SI-P 100V 7A 40W 0.4us2SB764 SI-P 60V 1A 0.9A 150MHz | 2SB765 P-DARL+D 120V 3A 30W B>1K2SB766 SI-P 30V 1A 200MHz | 2SB772 SI-P 40V 3A 10W 80MHz2SB774 SI-P 30V 0.1A 0.4W 150MHz | 2SB775 SI-P 100V 6A 60W 13MHz2SB776 SI-P 120V 7A 70W 15MHz | 2SB788 SI-P 120V 0.02A 0.4W 150MHz2SB791 P-DARL+D 120V 8A 40W B>10 | 2SB794 P-DARL+D 60V 1.5A 10W B=7 2SB795 P-DARL+D 80V 1.5A 10W B<3 | 2SB808 SI-P 20V 0.7A 0.25W 250MHz2SB810 SI-P 30V 0.7A 0.35W 160MHz | 2SB815 SI-P 20V 0.7A 0.25W 250MHz2SB816 SI-P 150V 8A 80W 15MHz | 2SB817 SI-P 160V 12A 100W2SB817F SI-P 160V 12A 90W 15MHz | 2SB819 SI-P 50V 1.5A 1W 150MHz2SB822 SI-P 40V 2A 0.75W 100MHz | 2SB824 SI-P 60V 5A 30W 30 MHz2SB825 SI-P 60V 7A 40W 10MHz | 2SB826 SI-P 60V 12A 40W 10MHz2SB827 SI-P 60V 7A 80W 10MHz | 2SB828 SI-P 60V 12A 80W 10MHz2SB829 SI-P 60V 15A 90W 20MHz | 2SB857 SI-P 50V 4A 40W NF/S-L2SB861 SI-P 200V 2A 30W | 2SB863 SI-P 140V 10A 100W 15MHz2SB865 P-DARL 80V 1.5A 0.9W | 2SB873 SI-P 30V 5A 1W 120MHz2SB882 P-DARL+D 70V 10A 40W B>5K | 2SB883 P-DARL+D 70V 15A 70W B=5K 2SB884 P-DARL 110V 3A 30W B=4K | 2SB885 P-DARL+D 110V 3A 35W B=4K 2SB891 SI-P 40V 2A 5W 100MHz | 2SB892 SI-P 60V 2A 1W2SB895A P-DARL 60V 1A B=8000 | 2SB897 P-DARL+D 100V 10A 80W B>12SB908 P-DARL+D 80V 4A 15W 0.15us | 2SB909 SI-P 40V 1A 1W 150MHz2SB922 SI-P 120V 12A 80W 20MHz | 2SB926 SI-P 30V 2A 0.75W2SB938A P-DARL+D 60V 4A 40W B>1K | 2SB940 SI-P 200V 2A 35W 30MHz2SB941 SI-P 60V 3A 35W POWER | 2SB945 SI-P 130V 5A 40W 30MHz2SB946 SI-P 130V 7A 40W 30MHz | 2SB950A P-DARL+D 80V 4A 40W B>1K 2SB953A SI-P 50V 7A 30W 150MHz | 2SB955 P-DARL+D 120V 10A 50W B=4 2SB975 P-DARL+D 100V 8A 40W B>6K | 2SB976 SI-P 27V 5A 0.75W 120MHz 2SB985 SI-P 60V 3A 1W 150MHz | 2SB986 SI-P 60V 4A 10W 150MHz2SB988 SI-P 60V 3A 30W <400/22002SC系列三极管参数2SC1000 SI-N 55V 0.1A 0.2W 80MHz2SC1008 SI-N 80V 0.7A 0.8W 75MHz | 2SC1012A SI-N 250V 60mA 0.75W >80MHz 2SC1014 SI-N 50V 1.5A 7W | 2SC1017 SI-N 75V 1A 60mW 120MHz2SC1030 SI-N 150V 6A 50W | 2SC1046 SI-N 1000V 3A 25W2SC1047 SI-N 30V 20mA 0.4W 650MHz | 2SC1050 SI-N 300V 1A 40W2SC1051 SI-N 150V 7A 60W 8MHz | 2SC1061 SI-N 50V 3A 25W 8MHz=H1062SC1070 SI-N 30V 20mA 900MHz | 2SC1080 SI-N 110V 12A 100W 4MHz2SC109 SI-N 50V 0.6A 0.6W | 2SC1096 SI-N 40V 3A 10W 60MHz2SC1106 SI-N 350V 2A 80W | 2SC1114 SI-N 300V 4A 100W 10MHz2SC1115 SI-N 140V 10A 100W 10MHz | 2SC1116 SI-N 180V 10A 100W 10MHz2SC1161 SI-P 160V 12A 120W | 2SC1162 SI-N 35V 1.5A 10W 180MHz2SC1172 SI-N 1500V 5A 50W | 2SC1195 SI-N 200V 2.5A 100W2SC1213C SI-N 50V 0.5A 0.4W UNI | 2SC1214 SI-N 50V 0.5A 0.6W 50MHz2SC1215 SI-N 30V 50mA 0.4W 1.2GHZ | 2SC1216 SI-N 40V 0.2A 0.3W <20/402SC1226 SI-N 40/50V 2A 10W 150MHz | 2SC1238 SI-N 35V 0.15A 5W 1.7GHz2SC1247A SI-N 50V 0.5A 0.4W 60MHz | 2SC1308 SI-N 1500V 7A 50W2SC1312 SI-N 35V 0.1A 0.15W 100MHz | 2SC1318 SI-N 60V 0.5A 0.6W 200MHz2SC1343 SI-N 150V 10A 100W 14MHz | 2SC1345 SI-N 55V 0.1A 0.1W 230MHz2SC1359 SI-N 30V 30mA 0.4W 250MHz | 2SC1360 SI-N 50V 0.05A 1W >300MHz 2SC1362 SI-N 50V 0.2A 0.25W 140MHz | 2SC1368 SI-N 25V 1.5A 8W 180MHz2SC1382 SI-N 80V 0.75A 5W 100MHz | 2SC1384 SI-N 60V 1A 1W 200MHz2SC1393 SI-N 30V 20mA 250 mW 700MHz | 2SC1398 SI-N 70V 2A 15W2SC1413A SI-N 1200V 5A 50W | 2SC1419 SI-N 50V 2A 20W 5MHz2SC1426 SI-N 35V 0.2A 2.7GHz | 2SC1431 SI-N 110V 2A 23W 80MHz2SC1432 N-DARL 30V 0.3A 0.3W B=40 | 2SC1439 SI-N 150V 50mA 0.5W 130MHz 2SC1445 SI-N 100V 6A 40W 10MHz | 2SC1446 SI-N 300V 0.1A 10W 55MHz2SC1447 SI-N 300V 0.15A 20W 80MHz | 2SC1448 SI-N 150V 1.5A 25W 3MHz2SC1449 SI-N 40V 2A 5W 60MHz | 2SC1450 SI-N 150V 0.4A 20W2SC1454 SI-N 300V 4A 50W 10MHz | 2SC1474-4 SI-N 20V 2A 0.75W 80MHz2SC1501 SI-N 300V 0.1A 10W 55MHz | 2SC1505 SI-N 300V 0.2A 15W2SC1507 SI-N 300V 0.2A 15W 80MHz | 2SC1509 SI-N 80V 0.5A 1W 120MHz2SC1515 SI-N 200V 0.05A 0.2W 110MHz | 2SC1520 SI-N 300V 0.2A 12,5W2SC1545 N-DARL 40V 0.3A 0.3W B=1K | 2SC1567 SI-N 100V 0.5A 5W 120MHz2SC1570 SI-N 55V 0.1A 0.2W 100MHz | 2SC1571 SI-N 40V 0.1A 0.2W 100MHz2SC1573 SI-N 200V 0.1A 1W 80MHz | 2SC1577 SI-N 500V 8A 80W 7MHz2SC1583 SI-N 50V 0.1A 0.4W 100MHz | 2SC1619 SI-N 100V 6A 50W 10MHz2SC1623 SI-N 60V 0.1A 0.2W 250MHz | 2SC1624 SI-N 120V 1A 15W 30MHz2SC1627 SI-N 80V 0.4A 0.8W 100MHz | 2SC1674 SI-N 30V .02A 600MC RF/IF2SC1675 SI-N 50V .03A 0.25W | 2SC1678 SI-N 65V 3A 3W2SC1685 SI-N 60V 0.1A 150MC UNI | 2SC1688 SI-N 50V 30mA 0.4W 550MHz2SC1708A SI-N 120V 50mA 0.2W 150MHz | 2SC1729 SI-N 35V 3.5A 16W 500MHz 2SC1730 SI-N 30V 0.05A 1.1GHz UHF | 2SC1740 SI-N 40V 100mA 0.3W2SC1741 SI-N 40V 0.5A 0.3W 250MHz | 2SC1756 SI-N 300V 0.2A >50MHz2SC1760 SI-N 100V 1A 7.9W 80MHz | 2SC1775A SI-N 120V 0.05A 0.2W UNI2SC1781 SI-N 50V 0.5A 0.35W | 2SC1815 SI-N 50V 0.15A 0.4W 80MHz2SC1815BL SI-N 60V 0.15A 0.4W B>350 | 2SC1815GR SI-N 60V 0.15A 0.4W B>200 2SC1815Y SI-N 60V 0.15A 0.4W B>120 | 2SC1827 SI-N 100V 4A 30W 10MHz2SC1832 N-DARL 500V 15A 150W B>10 | 2SC1841 SI-N 120V 0.05A 0.5W2SC1844 SI-N 60V 0.1A 0.5W 100MHz | 2SC1845 SI-N 120V 0.05A 0.5W2SC1846 SI-N 120V 0.05A 0.5W | 2SC1847 SI-N 50V 1.5A 1.2W2SC1855 SI-N 20V 20mA 0.25W 550MHz | 2SC1871 SI-N 450V 15A 150W <1/3us2SC1879 N-DARL+D 120V 2A 0.8W B>1 | 2SC1890 SI-N 90V 0.05A 0.3W 200MHz 2SC1895 SI-N 1500V 6A 50W 2MHz | 2SC1906 SI-N 19V 0.05A 0.3W2SC1907 SI-N 30V 0.05A 1100MHz | 2SC1913 SI-N 150V 1A 15W 120MHz2SC1914 SI-N 90V 50mA 0.2W 150MHz | 2SC1921 SI-N 250V 0.05A 0.6W2SC1922 SI-N 1500V 2.5A 50W | 2SC1923 SI-N 30V 20mA 10mW 550MHz2SC1929 SI-N 300V 0.4A 25W 80MHz | 2SC1941 SI-N 160V 50mA 0.8W2SC1944 SI-N 80V 6A PQ=16W | 2SC1945 SI-N 80V 6A 20W2SC1946A SI-N 35V 7A 50W | 2SC1947 SI-N 35V 1A 4W/175MHz2SC1953 SI-N 150V 0.05A 1.2W 70MHz | 2SC1957 SI-N 40V 1A 1.8W/27MHz2SC1959 SI-N 30V 0.5A 0.5W 200MHz | 2SC1967 SI-N 35V 2A 8W 470MHz2SC1968 SI-N 35V 5A 3W 470MHz | 2SC1969 SI-N 60V 6A 20W2SC1970 SI-N 40V 0.6A 5W | 2SC1971 SI-N 35V 2A 12.5W2SC1972 SI-N 35V 3.5A 25W | 2SC1975 SI-N 120V 2A 3.8W 50MHz2SC1980 SI-N 120V 20mA 0.25W 200MHz | 2SC1984 SI-N 100V 3A 30W B=7002SC1985 SI-N 80V 6A 40W 10MHz | 2SC2023 SI-N 300V 2A 40W 10MHz2SC2026 SI-N 30V 0.05A 0.25W | 2SC2027 SI-N 1500/800V 5A 50W2SC2036 SI-N 80V 1A PQ=1..4W | 2SC2053 SI-N 40V 0.3A 0.6W 500MHz2SC2055 SI-N 18V 0,3A 0,5W | 2SC2058 SI-N 40V 0.05A 0.25W2SC2060 SI-N 40V 0.7A 0.75W 150MHz | 2SC2061 SI-N 80V 1A 0.75W 120MHz2SC2068 SI-N 300V 0.05A 95MHz | 2SC2073 SI-N 150V 1.5A 25W 4MHz2SC2078 SI-N 80V 3A 10W 150MHz | 2SC2086 SI-N 75V 1A 0.45W/27MHz2SC2092 SI-N 75V 3A 5W 27MHz | 2SC2094 SI-N 40V 3.5A PQ>15W 175MHz 2SC2097 SI-N 50V 15A PQ=85W | 2SC2120 SI-N 30V 0.8A 0.6W 120MHz2SC2122 SI-N 800V 10A 50W | 2SC2166 SI-N 75V 4A 12.5W RFPOWER2SC2168 SI-N 200V 2A 30W 10MHz | 2SC2200 SI-N 500V 7A 40W 1US2SC2209 SI-N 50V 1.5A 10W 150MHz | 2SC2216 SI-N 45V 50mA 0.3W 300MHz2SC2243日本富士通公司Si-NPN 450V 5A<1MHZ 或者未知工作频率BU326 BU526 BU626ABUW71 BUX44 BUX45 TIP57A TIP58A 3DK308B2SC2244日本富士通公司Si-NPN450V8A<1MHZ 或者未知工作频率BU526 BU626A BUW72 BUX15 BUX44 TIP57A TIP58A 3DK308B2SC2245日本富士通公司Si-NPN450V10A<1MHZ 或者未知工作频率BU526 BU626A BUW24 BUX25 BUW26 BUW34 BUW35 BUW36 BUW72 3DK308B BU415 BU626A BUV25 BUW44 BUX25 2SD396 2SD641 3DK308B BUT56(A)BUX64 MJE53T2SC1865 2SC22002SC2248日本富士通公司Si-NPN450V8A<1MHZ或者未知工作频率BUT56(A)BUX64BUY65MJE130063DK306B 2SC2249日本富士通公司Si-NPN250V30A<1MHZ或者未知工作频率2SC13012SC18732SC22042SC22202SC24422SC24452SD6433DK210E 2SC225日本富士通公司Si-NPN80V1A150MHZBD139BD169BD179BD237BD4412SC1253DK30C2SC2250日本富士通公司Si-NPN450V30A<1MHZ或者未知工作频率2SC13002SC14702SC18742SC22042SC22202SC24423DK210F 2SC2251日本富士通公司Si-NPN45V0.5A900MHZBLX973DA392SC2253日本富士通公司Si-NPN45V2A900MHZ3DA23B2SC2254日本富士通公司Si-NPN45V4A900MHZ3DA100B 2SC2255日本富士通公司Si-NPN45V6A900MHZ2SC20443DA6B2SC2256日本三肯公司Si-NPN200V15A10MHZBDW16BUX11BUX412SC2019 2SD552 2SD583 3DK209D2SC2257未知生产厂家Si-NPN180V0.05A80MHZBF415BF458BF459BF469BF4712SC2257A日本松下公司Si-NPN220V0.05A80MHZBF415BF458BF459BF469BF4713DA87CBF415BF417BF458BF459BF460BF469BF7572SC34173DA87C3DA151DBF417BF459BF8502SC34172SC34182SC2228 SI-N 160V 0.05A 0.75W >50 | 2SC2229 SI-N 200V 50mA 0.8W 120MHz2SC2230 SI-N 200V 0.1A 0.8W 50MHz | 2SC2233 SI-N 200V 4A 40W 8MHz2SC2235 SI-N 120V 0.8A 0.9W 120MHz | 2SC2236 SI-N 30V 1.5A 0.9W 120MHz2SC2237 SI-N 35V 2A PQ>7.5W 175MHz | 2SC2238 SI-N 160V 1.5A 25W 100MHz2SC2240 SI-N 120V 50mA .3W 100MHz | 2SC2261 SI-N 180V 8A 80W 15MHz2SC2267 SI-N 400/360V 0.1A 0.4W | 2SC2270 SI-N 50V 5A 10W 100MHz2SC2271 SI-N 300V 0.1A 0.9W 50MHz | 2SC2275 SI-N 120V 1.5A 25W 200MHz2SC2283 SI-N 38V 0.75A 2.8W(500MHz | 2SC2287 SI-N 38V 1.5A 7.1W 175MHz2SC2295 SI-N 30V 0.03A 0.2W 250MHz | 2SC2307 SI-N 500V 12A 100W 18MHz2SC2308 SI-N 55V 0.1A 0.2W 230MHz | 2SC2310 SI-N 55V 0.1A 0.2W 230MHz2SC2312 SI-N 60V 6A 18.5W/27MHz | 2SC2314 SI-N 45V 1A 5W2SC2320 SI-N 50V 0,2A 0,3W | 2SC2329 SI-N 38V 0.75A 2W 175MHz2SC2331 SI-N 150V 2A 15W POWER | 2SC2333 SI-N 500/400V 2A 40W2SC2334 SI-N 150V 7A 40W POWER | 2SC2335 SI-N 500V 7A 40W POWER2SC2336B SI-N 250V 1.5A 25W 95MHz | 2SC2344 SI-N 180V 1.5A 25W 120MHz2SC2347 SI-N 15V 50mA 250mW 650MHz | 2SC2362 SI-N 120V 50mA 0.4W 130MHz 2SC2363 SI-N 120V 50mA 0.5W 130MHz | 2SC2365 SI-N 600V 6A 50W POWER2SC2369 SI-N 25V 70mA 0.25W 4.5GHz | 2SC2383 SI-N 160V 1A 0.9W 100MHz2SC2389 SI-N 120V 50mA 0.3W 140MHz | 2SC2407 SI-N 35V 0.15A 0.16W 500MHz 2SC2412 SI-N 50V 0.1A 180MHz | 2SC2433 SI-N 120V 30A 150W 80MHz2SC2440 SI-N 450V 5A 40W | 2SC2458 SI-N 50V 0.15A 0.2W 80MHz2SC2466 SI-N 30V 0.05A 2.2GHz | 2SC2482 SI-N 300V 0.1A 0.9W 50MHz2SC2485 SI-N 100V 6A 70W 15MHz | 2SC2486 SI-N 120V 7A 80W 15MHz2SC2491 SI-N 100V 6A 40W 15MHz | 2SC2497 SI-N 70V 1.5A 5W 150MHz2SC2498 SI-N 30V 0.05A 0.3W 3.5GHz | 2SC2508 SI-N 40V 6A 50W 175MHz2SC2510 SI-N 55V 20A 250W(28MHz) | 2SC2512 SI-N 30V 50mA 900MHz TUNE2SC2516 SI-N 150V 5A 30W <0.5/2us | 2SC2517 SI-N 150V 5A 30W <0.5/2us2SC2538 SI-N 40V 0.4A 0.7W | 2SC2539 SI-N 35V 4A 17W 175MHz2SC2542 SI-N 450V 5A 40W | 2SC2547 SI-N 120V 0.1A 0.4W2SC2551 SI-N 300V 0.1A 0.4W 80MHz | 2SC2552 SI-N 500V 2A 20W2SC2553 SI-N 500V 5A 40W 1us | 2SC2562 SI-N 60V 5A 25W 0.1us2SC2563 SI-N 120V 8A 80W 90MHz | 2SC2570A SI-N 25V 70mA 0.6W2SC2579 SI-N 160V 8A 80W 20MHz | 2SC2581 SI-N 200V 10A 100W2SC2590 SI-N 120V 0.5A 5W 250MHz | 2SC2592 SI-N 180V 1A 20W 250MHz2SC2603 SI-N 50V 0.2A 0.3W | 2SC2610 SI-N 300V 0.1A 0.8W 80MHz2SC2611 SI-N 300V 0.1A 0.8W 80MHz | 2SC2621E SI-N 300V 0.2A 10W >50MHz2SC2625 SI-N 450V 10A 80W | 2SC2630 SI-N 35V 14A 100W2SC2631 SI-N 150V 50mA 0,75W 160MHz | 2SC2632 SI-N 150V 50mA 1W 160MHz 2SC2634 SI-N 60V 0.1A 0.4W 200MHz | 2SC2653 SI-N 350V 0.2A 15W >50MHz2SC2654 SI-N 40V 7A 40W | 2SC2655 SI-N 50V 2A 0.9W 0.1us2SC2656 SI-N 450V 7A 80W <1.5/4.5 | 2SC2660 SI-N 200V 2A 30W 30MHz2SC2668 SI-N 30V 20mA 0.1W 550MHz | 2SC2671 SI-N 15V 80mA 0.6W 5.5GHz2SC2682 SI-N 180V 0.1A 8W 180MHz | 2SC2690 SI-N 120V 1.2A 20W 160MHz2SC2694 SI-N 35V 20A 140W | 2SC2705 SI-N 150V 50mA 0.8W 200MHz2SC2706 SI-N 140V 10A 100W 90MHz | 2SC2712 SI-N 50V 0.15A 0.15W 80MHz2SC2714 SI-N 30V 20mA 0.1W 550MHz | 2SC2717 SI-N 30V 50mA 0.3W 300MHz2SC2724 SI-N 30V 30mA 200MHz | 2SC2749 SI-N 500V 10A 100W 50MHz2SC2750 SI-N 150V 15A 100W POWER | 2SC2751 SI-N 500V 15A 120W 50MHz2SC2752 SI-N 500V 0.5A 10W <1/3.5 | 2SC2753 SI-N 17V 0.07A 0.3W 5GHz2SC2759 SI-N 30V 50mA 0.2W 2.3GHz | 2SC2786 SI-N 20V 20mA 600MHz2SC2792 SI-N 850V 2A 80W | 2SC2793 SI-N 900V 5A 100W2SC2802 SI-N 300V 0.2A 10W 80MHz | 2SC2808 SI-N 100V 50mA 0.5W 140MHz2SC2810 SI-N 500V 7A 50W 18MHz | 2SC2812 SI-N 55V 0.15A 0.2W 100MHz2SC2814 SI-N 30V 0.03A 320MHz F | 2SC2825 SI-N 80V 6A 70W B>5002SC2837 SI-N 150V 10A 100W 70MHz | 2SC2839 SI-N 20V 30mA 0.15W 320MHz 2SC2851 SI-N 36V 0.3A 1W 1.5GHz | 2SC2873 SI-N 50V 2A 0.5W 120MHz2SC2878 SI-N 20V 0.3A 0.4W 30MHz | 2SC2879 SI-N 45V 25A PEP=100W 28MHz 2SC2882 SI-N 90V 0.4A 0.5W 100MHz | 2SC288A SI-N 35V 20mA 0.15W2SC2898 SI-N 500V 8A 50W | 2SC2901 SI-N 40V 0.2A 0.6W <12/182SC2908 SI-N 200V 5A 50W 50MHz | 2SC2910 SI-N 160V 70mA 0.9W 150MHz2SC2911 SI-N 180V 140mA 10W 150MHz | 2SC2912 SI-N 200V 140mA 10W 150MHz 2SC2922 SI-N 180V 17A 200W 50MHz | 2SC2923 SI-N 300V 0.1A 140MHz2SC2928 SI-N 1500V 5A 50W | 2SC2939 SI-N 500V 10A 100W 2.5us2SC2958 SI-N 160V 0.5A 1W | 2SC2979 SI-N 800V 3A 40W2SC2987 SI-N 140V 12A 120W 60MHz | 2SC2988 SI-N 36V 0.5A 175MHz2SC2999 SI-N 20V 30mA 750MHz | 2SC3001 SI-N 20V 3A PQ=7W(175MHz)2SC3019 SI-N 35V 0.4A 0.6W 520MHz | 2SC3020 SI-N 35V 1A 10W2SC3022 SI-N 35V 7A 50W | 2SC3026 SI-N 1700V 5A 50W POWER2SC3030 N-DARL 900V 7A 80W | 2SC3039 SI-N 500V 7A 52W2SC3042 SI-N 500/400V 12A 100W | 2SC3052F SI-N 50V 0.2A 0.15W 200MHz2SC3063 SI-N 300V 0.1A 1.2W 140MHz | 2SC3067 2xSI-N 130V 50mA 0.5W 1602SC3068 SI-N 30V 0.3A Ueb=15V B>8 | 2SC3071 SI-N 120V 0.2A Ueb=15V B>2SC3073 SI-N 30V 3A 15W 100MHz | 2SC3074 SI-N 60V 5A 20W 120MHz2SC3075 SI-N 500V 0.8A 10W 1/1.5us | 2SC3089 SI-N 800V 7A 80W2SC3101 SI-N 250V 30A 200W 25MHz | 2SC3102 SI-N 35V 18A 170W 520MHz2SC3112 SI-N 50V 0.15A 0.4W 100MHz | 2SC3116 SI-N 180V 0.7A 10W 120MHz2SC3117 SI-N 180V 1.5A 10W 120MHz | 2SC3133 SI-N 60V 6A 1.5W 27MHz2SC3148 SI-N 900V 3A 40W 1us | 2SC3150 SI-N 900V 3A 50W 15MHz2SC3153 SI-N 900V 6A 100W | 2SC3157 SI-N 150V 10A 60W2SC3158 SI-N 500V 7A 60W | 2SC3164 SI-N 500V 10A 100W2SC3169 SI-N 500V 2A 25W >8MHz | 2SC3175 SI-N 400V 7A 50W 40MHz2SC3178 SI-N 1200V 2A 60W | 2SC3179 SI-N 60V 4A 30W 15MHz2SC3180N SI-N 80V 6A 60W 30MHz | 2SC3181N SI-N 120V 8A 80W 30MHz2SC3182N SI-N 140V 10A 100W 30MHz | 2SC3195 SI-N 30V 20mA 0.1W 550MHz 2SC3199 SI-N 60V 0.15A 0.2W 130MHz | 2SC3200 SI-N 120V 0.1A 0.3W 100MHz2SC3202 SI-N 35V 0.5A 0.5W 300MHz | 2SC3203 SI-N 35V 0.8A 0.6W 120MHz2SC3205 SI-N 30V 2A 1W 120MHz | 2SC3206 SI-N 150V 0.5A 0.8W 120MHz2SC3210 SI-N 500V 10A 100W 1us | 2SC3211 SI-N 800V 5A 70W >3MHz2SC3212 SI-N 800V 7A 3W 3.5MHz | 2SC3225 SI-N 40V 2A 0.9W 1us2SC3231 SI-N 200V 4A 40W 8MHz | 2SC3240 SI-N 50V 25A 110W 30MHz2SC3242 SI-N 20V 2A 0.9W 80MHz | 2SC3244E SI-N 100V 0.5A 0.9W 130MHz2SC3245A SI-N 150V 0.1A 0.9W 200MHz | 2SC3246 SI-N 30V 1.5A 0.9W 130MHz2SC3247 SI-N 50V 1A .9W 130MHz B> | 2SC3257 SI-N 250V 10A 40W 1/3.5us2SC3258 SI-N 100V 5A 30W 120MHz | 2SC3260 N-DARL 800V 3A 50W B>10。
JIANGSU CHANGJIANG ELECTRONICS TECHNOLOGY CO., LTDTO-252-2L Plastic-Encapsulate Transistors2SB1184 TRANSISTOR (PNP) FEATURES z Low V CE(sat). V CE(sat) = -0.5V (Typ.) (I C /I B = -2A / -0.2A)z Complements the 2SD1760 / 2SD1864.ELECTRICAL CHARACTERISTICS (T a =25℃ unless otherwise specified) ParameterSymbol Test conditions M in T yp Max U nit Collector-base breakdown voltageV (BR)CBO I C =-50µA, I E =0 -60 V Collector-emitter breakdown voltageV (BR)CEO I C =-1mA, I B =0 -50 V Emitter-base breakdown voltageV (BR)EBO I E =-50µA, I C =0 -5 V Collector cut-off currentI CBO V CB =-40V, I E =0 -1 µA Emitter cut-off currentI EBO V EB =-4V, I C =0 -1 µA DC current gainh FE(1) V CE =-3V, I C =-0.5A 82 390 Collector-emitter saturation voltageV CE(sat) I C =-2A, I B =-0.2A -1 V Base-emitter saturation voltageV BE(sat) I C =-1.5A, I B =-0.15A -1.2V Transition frequencyf T V CE =-5V, I C =-0.5A, f=30MHz 70 MHz Collector output capacitance C ob V CB =-10V, I E =0, f=1MHz 50 pFCLASSIFICATION OF h FE(1)Rank P Q R Range82-180 120-270 180-390 MarkingA,Jun,2011Inner Box: 340 mm×336mm×29mm Outer Box: 353 mm× 346mm× 365mmLabel on the Reel Label on the Inner BoxLabel on the Outer BoxQA LabelSeal the boxwith the tapeStamp “EMPTY” on the empty boxLabel on the Inner Box Label on the Outer BoxQA LabelSeal the box with the tape Stamp “EMPTY” on the empty box Blue nail White nail Bubble paperOuter Box: 594 mm × 292mm × 185mm Inner Box: 577 mm ×162mm ×53mmLabel on the Inner Box Label on the Outer Box QA LabelSeal the box with the tape Stamp “EMPTY” on the empty box Blue nail White nailOuter Box: 585 mm × 385mm × 220mm Inner Box: 560 mm ×178mm ×35mm。
型号材料管脚用途参数3DJ6NJ低频放大20V0.35MA0.1W4405/R95242E3C NMOS GDS 开关600V11A150W0.362SJ117 PMOS GDS 音频功放开关400V2A40W2SJ118 PMOS GDS 高速功放开关140V8A100W50/70nS0・52SJ122 PMOS GDS 咼速功放开关60V10A50W60/100nS0.15 2SJ136 PMOS GDS 咼速功放开关60V12A40W 70/165nS0.3 2SJ143 PMOS GDS 功放开关60V16A35W90/180nS0.0352SJ172 PMOS GDS 激励60V10A40W73/275nS0.182SJ175 PMOS GDS 激励60V10A25W73/275nS0.182SJ177 PMOS GDS 激励60V20A35W140/580nS0.0852SJ201 PMOS n2SJ306 PMOS GDS 激励60V14A40W30/120nS0.122SJ312 PMOS GDS 激励60V14A40W30/120nS0.122SK30 NJ SDG 低放音频50V0.5mA0.1W0.5dB2SK30A NJ SDG 低放低噪音频50V0.3-6.5mA0.1W0.5dB2SK108 NJ SGD 音频激励开关50V1-12mA0.3W70 1DB2SK118 NJ SGD 音频话筒放大50V0.01A0.1W0.5dB2SK168 NJ GSD 高频放大30V0.01A0.2W100MHz1.7dB2SK192 NJ DSG 高频低噪放大18V12-24mA0.2W100MHz1.8dB 2SK193 NJ GSD 高频低噪放大20V0.5-8mA0.25W100MHz3dB2SK794 NMOS GDS 电源开关900V5A150W2.5可驱电机高速开关 60V10A50W45/65NS0.15 高速低噪开关 250V15A150W0.24可驱电2SK539 NMOS GDS 开关 900V5A150W2.52SK214 NMOS GSD 高频高速开关 160V0.5A30W 2SK241 NMOS DSG 高频放大 20V0.03A0.2W100MHz1.7dB 2SK304 NJ GSD 音频 功放 30V0.6-12mA0.15W 2SK385 NMOS GDS 高速开关 400V10A120W100/140nS0.6 2SK386 NMOS GDS 高速开关 450V10A120W100/140nS0・72SK413 NMOS GDS高速功放开关 140V8A100W0.5 (2SJ118) 2SK423 NMOS SDG 高速开关 100V0.5A0.9W4.5 2SK511 NMOS SDG高速功放开关250V0.3A8W5.0 2SK534 NMOS GDS 高速开关 800V5A100W4.0 2SK560 NMOS GDS 咼速开关 500V15A100W0.4 2SK623 NMOS GDS 高速开关 250V20A120W0.15 2SK727 NMOS GDS 电源开关 900V5A125W110/420nS2.5 2SK734 NMOS GDS 电源开关 450V15A150W160/250nS0.52 2SK785 NMOS GDS 电源开关 500V20A150W105/240nS0.4 2SK787 NMOS GDS 咼速开关 900V8A150W95/240nS1・6 2SK790 NMOS GDS 高速功放开关500V15A150W0.4可驱电机 2SK791 NMOS GDS 电源功放开关850V3A100W4.5可驱电机 2SK428 NMOS GDS 2SK447 NMOS SDG2SK817 NMOS GDS 电源开关60V26A35W40/230nS0.055 2SK1118 NMOS GDS 电源开关600V6A45W65/105nSD1.252SK832 NMOS GDS 咼速开关 900V4A85W55/100nS4.0 2SK899 NMOS GDS功放开关 500V 佃A125W130/440nS0.33 2SK962 NMOS GDS 电源开关 900V8A150W280/460nS2.0 2SK940 NMOS SDG 激励.驱动60V0.8A0.9W0.55螺线管驱动 2SK1007 NMOS GDS功放开关 450V5A60W60/130nS1.6 2SK1010 NMOS GDS 咼速开关 500V6A80W70/130nS1.6 2SK1011 NMOS GDS咼速开关 450V10A100W110/240nS0.65 2SK1012 NMOS GDS 咼速开关 500V10A100W110/240nS0.9 2SK1015 NMOS GDS功放开关 450V 佃A125W170/230nS0.45 2SK1016 NMOS GDS电源开关 500V15A125W170/230nS0.55 2SK1017 NMOS GDS电源开关 500V20A150W250/490nS0.35 2SK1019 NMOS GDS 电源开关 450V35A300W360/900nS0.2 2SK1020 NMOS GDS 电源开关 500V30A300W360/900nS0.25 2SK1060 NMOS GDS功放开关 100V5A20W50/140nS0.27 2SK1081 NMOS GDS激励,驱动 800V7A125W 145/250nS2.2 2SK1082 NMOS GDS激励,驱动 900V8A125W 145/250nS2.8 2SK1094 NMOS GDS 激励,驱动 60V15A25W80/300nS0.065 2SK1101 NMOS GDS 功放开关 450V10A50W165/360nS0.65 2SK1117 NMOS GDS电源开关 600V6A100W1.25 2SK1119 NMOS GDS 电源开关 1000V4A100W3.82SK1120 NMOS GDS 电源开关1000V8A150W1.8 2SK1445 NMOS GDS 高速开关 450V5A30W45/175nS1.42SK1161 NMOS GDS 电源开关 450V10A100W75/135nS0・8 2SK1170 NMOS GDS 电源开关 500V20A120W147/290nS0.27 2SK1180 NMOS GDS 投影机用 500V10A85W60/40nS0・6 2SK1195 NMOS GDS 电梯用 230V1.5A10W37/100nS 2SK1198 NMOS GDS高速开关 700V2A35W20/80nS3.2 2SK1217 NMOS GDS电源开关 90V8A100W280/460nS2.0 2SK1221 NMOS GDS电源开关 250V10A80W60/150nS0.4 2SK1247 NMOS GDS 电源开关 500V5A30W50/90nS1.4 2SK1250 NMOS GDS 开关-感性 500V20A150W130/260nS0.35 2SK1254 NMOS GDS低噪放大 120V3A20W25/195nS0.4 2SK1271 NMOS GDS功放开关 1400V5A240W55/260nS4.0 2SK1272 NMOS GDS咼速开关 60V1A0.75W50/500nS0.65 2SK1329 NMOS GDS 电源开关 500V12A60W90/佃0nS0.6 2SK1358 NMOS GDS 电源开关 900V9A150W65/120nS1.4 2SK1374 NMOS贴片 50V50mA0.15W0.2US/0.2US50 2SK1379 NMOS GDS激励,开关 60V50A150W78/640nS0.017 2SK1387 NMOS GDS 激励,开关 60V35A40W66/500nS0.035 2SK1388 NMOS GDS 激励,开关 30V35A60W125/480nS0.022 2SK1419 NMOS GDS高速开关 60V15A25W55/150nS0.08。
海尔常用三极管代换表默认分类 2008-08-0719:03:05 阅读2586 评论2 字号:大中小三极管代换表2SA608 代换型号:2SA1015、2SA733 备注:小功率三极管2SB1443 代换型号:2SB892 备注:中功率三极管 2SB764 代换型号:2SB892、2SA940、2SB774、2SB985 备注:中功率三极管2SB834 代换型号:2SB892、2SA940 备注:中功率三极管2SC1384 代换型号:2SD1846、2SC4075、2SD1913、2SD400 备注:中功率三极管2SC1809 代换型号:2SC2216、2SC1674、2SC388A 备注:预放管 2SC1835 代换型号:2SC2621 备注:视放管2SC2383 代换型号:2SC2482、2SC3332备注:激励管 2SC3732 代换型号:BSX20、PH2369 备注:调谐管2SC3852A 代换型号:2SD1640 备注:中功率三极管 2SC388A 代换型号:2SC1674、2SC2216 备注:预放管2SC4585 代换型号:2SC4237(需加绝缘片)备注:开关管2SC4706 代换型号:2SC4429 备注:开关管/ W7 O# S0 A& {2 Q- E|技术交流|资料下载|图书杂志|家电资讯2SC536 2SC1815、2SC945 备注:小功率三极管2SCD2068 代换型号:2SC4544、2SC2688、2SC2482、KSC2330 、F431、2SC2621 备注:视放管 2SD1406 代换型号:2SD2012、3DD880、2SC1499、2SC1913 备注:枕校管2SD1555 代换型号:2SD1879、2SD1886、2SD1887 备注:行管D2SD2500 代换型号:2SD1886、2SD2253、2SD2553、2SD1547、2SD1887 行管BD435 代换型号:2SC2073 备注:中功率三极管 : O, J& V3 n3 \: U, m, w6 y4 ]7 j1 jBD436 代换型号:2SA940 备注:中功率三极管 5 a0 x4 [. F7 D% t% |) Z, a* BBUH-515 代换型号:2SC1710、2SC4429、2SD1554、2SD2498 备注:电源管BUH-515D 代换型号:2SD1651、2SC1879、2SC1886、2SD2499、2SD1426 备注:行管2SD1406 代换型号:NPN型:2SD1406、2SD1266、2SD880、2SD1052、2SD1499、2SD1761、2SD2012、3DD3852 PNP型:BD242、2SA1668、2SA1930、2SB940 备注:枕校管。
常用三极管参数2SA1216 SK MT-200 DIP/三极管PNP -180V -17A2SC2922 SK MT-200 DIP/三极管NPN 180V 17AFZT753 ZETEX SOT-223 SMD/三极管PNP -100V -3ABCP53 PHILIPS SOT-223 SMD/三极管PNP -80V -1ASTN817 ST SOT-223 SMD/三极管PNP -80V -1.5AFZT792A ZETEX SOT-223 SMD/三极管PNP -70V -2ABCP52 PHILIPS SOT-223 SMD/三极管PNP -60V -1AFZT591 ZETEX SOT-223 SMD/三极管PNP -60V -1AFZT751 ZETEX SOT-223 SMD/三极管PNP -60V -3ABCP51 PHILIPS SOT-223 SMD/三极管PNP -45V -1AFZT1151A ZETEX SOT-223 SMD/三极管PNP -40V -3AFZT790A ZETEX SOT-223 SMD/三极管PNP -40V -3APBSS5540Z PHILIPS SOT-223 SMD/三极管PNP -40V -5AFZT549 ZETEX SOT-223 SMD/三极管PNP -30V -1AFZT949 ZETEX SOT-223 SMD/三极管PNP -30V -5.5AFZT749 ZETEX SOT-223 SMD/三极管PNP -25V -3AFZT789A ZETEX SOT-223 SMD/三极管PNP -25V -3A2SB1386 ROHM SOT-223 SMD/三极管PNP -20V -5AFZT948 ZETEX SOT-223 SMD/三极管PNP -20V -6AFZT788B ZETEX SOT-223 SMD/三极管PNP -15V 3AFZT717 ZETEX SOT-223 SMD/三极管PNP -12V -3ASTN851 ST SOT-223 SMD/三极管NPN 60V 5AFZT692B ZETEX SOT-223 SMD/三极管NPN 70V 2ASTN715 ST SOT-223 SMD/三极管NPN 80V 1.5AFMMT560 ZETEX SOT-23 SMD/三极管PNP -500V -0.15AMMBT5401 ON SOT-23 SMD/三极管PNP -150V -0.1AMMBT2907A FAIRCHILD SOT-23 SMD/三极管PNP -60V -0.6AA1015 SOT-23 SMD/三极管PNP -50V -0.15APDTA144WK PHILIPS SOT-23 SMD/三极管PNP -50V -0.1AMMBT8550 ON SOT-23 SMD/三极管PNP -25V -0.6AS8550 贴片长电SOT-23 SMD/三极管PNP -25V -0.5AS9012 长电SOT-23 SMD/三极管PNP -25V -0.5ASS8550 贴片长电SOT-23 SMD/三极管PNP -25V -1.5A2SC9012 LRC SOT-23 SMD/三极管0V 0A2SC3904 NEC SOT-23 SMD/三极管NPN 10V 0.065A2SC3356 台产SOT-23 SMD/三极管NPN 12V 0.1A2SC3356-R25 NEC SOT-23 SMD/三极管NPN 12V 0.1A2SC3356-R25原NEC SOT-23 SMD/三极管NPN 12V 0.1ABF771 infineon SOT-23 SMD/三极管NPN 12V 0.08AL8050 LRC SOT-23 SMD/三极管NPN 25V 1.5AMMBT8050D ST/泰丰SOT-23 SMD/三极管NPN 25V 1.5AS8050 LRC LRC SOT-23 SMD/三极管NPN 25V 1.5AS8050 长电长电SOT-23 SMD/三极管NPN 25V 1.5ASS8050 贴片长电SOT-23 SMD/三极管NPN 25V 1.5A2SC5551 LRC SOT-23 SMD/三极管NPN 30V 0.3ALMBT3904LT1G SOT-23 SMD/三极管NPN 40V 0.2AMMBT2222ALT1 ON SOT-23 SMD/三极管NPN 40V 0.6AMMBT2222ALT1 英飞凌infineon SOT-23 SMD/三极管NPN 40V 0.6A MMBT3904 LRC LRC SOT-23 SMD/三极管NPN 40V 0.2ABCW66 infineon SOT-23 SMD/三极管NPN 45V 0.8AS9014C ST SOT-23 SMD/三极管NPN 45V 0.1A2SC1623 NEC SOT-23 SMD/三极管NPN 50V 0.1A2SC1815 长电SOT-23 SMD/三极管NPN 50V 0.15A2SC1815 环保SOT-23 SMD/三极管NPN 50V 0.15A2SC2412K-Q ROHM SOT-23 SMD/三极管NPN 50V 0.15A2SC2712-Y TOSHIBA SOT-23 SMD/三极管NPN 50V 0.15APDTC144WK PHILIPS SOT-23 SMD/三极管NPN 50V 0.1AMMBT5551 SOT-23 SMD/三极管NPN 160V 0.06AMMBT5551 国产ON SOT-23 SMD/三极管NPN 160V 0.06A MMBTA42 长电SOT-23 SMD/三极管NPN 300V 0.3AMMBTA44 ON SOT-23 SMD/三极管NPN 400V 0.3A2SA1700 SANYO SOT-252 SMD/三极管PNP -400V -0.2A2SA1773 SANYO SOT-252 SMD/三极管PNP -400V -2AMJD5731 ON SOT-252 SMD/三极管PNP -350V -1ACJD350 HJ/华昕SOT-252 SMD/三极管PNP -300V -0.5AMJD350T4 ST SOT-252 SMD/三极管PNP -300V -0.5AMJD350 ON SOT-252 SMD/三极管PNP -300V -0.5A2SA1552 SANYO SOT-252 SMD/三极管PNP -180V -1.5A2SB1216-ZK NEC SOT-252 SMD/三极管PNP -100V -4ACJD32C HJ/华昕SOT-252 SMD/三极管PNP -100V -3AMJD253 ON SOT-252 SMD/三极管PNP -100V -4AMJD32CT4G ON SOT-252 SMD/三极管PNP -100V -3AMJD42CT4G ON SOT-252 SMD/三极管PNP -100V -6A2SB1181S-R ROHM SOT-252 SMD/三极管PNP -80V -1AMJD45H11T4G ON SOT-252 SMD/三极管PNP -80V -8AMJD45H11T4G马来ON SOT-252 SMD/三极管PNP -80V -8A2SA1012L-TN3-R UTC SOT-252 SMD/三极管PNP -60V -5A2SA1244S-Y TOSHIBA SOT-252 SMD/三极管PNP -60V -5A2SA1385-ZK NEC SOT-252 SMD/三极管PNP -60V -5A2SA1952R-Q ROHM SOT-252 SMD/三极管PNP -60V -5A2SA1952TLQ ROHM SOT-252 SMD/三极管PNP -60V -5A2SB1184 P档长电SOT-252 SMD/三极管PNP -60V -3A2SB1184S-R ROHM SOT-252 SMD/三极管PNP -60V -3A2SB1184 ROHM SOT-252 SMD/三极管PNP -60V -3A2SB1202S-23 SANYO SOT-252 SMD/三极管PNP -60V -3A2SB1202S-34 SANYO SOT-252 SMD/三极管PNP -60V -3A 2SB1202S-TL SANYO SOT-252 SMD/三极管PNP -60V -3A 2SB1202T-TL-E SANYO SOT-252 SMD/三极管PNP -60V -3A 2SB1203S-23 SANYO SOT-252 SMD/三极管PNP -60V -5A 2SB1203S-34 SANYO SOT-252 SMD/三极管PNP -60V -5A 2SB1203T-23 SANYO SOT-252 SMD/三极管PNP -60V -5A 2SB1204R-23 SANYO SOT-252 SMD/三极管PNP -60V -8A 2SB1204R-34 SANYO SOT-252 SMD/三极管PNP -60V -8A 2SB1204S-34 SANYO SOT-252 SMD/三极管PNP -60V -8A 2SB1214T-23 SANYO SOT-252 SMD/三极管PNP -60V -3A 2SB1214T-34 SANYO SOT-252 SMD/三极管PNP -60V -3A 2SB1261-ZK NEC SOT-252 SMD/三极管PNP -60V -3AMJD2955GT4 ON SOT-252 SMD/三极管PNP -60V -10A2SA2039-TL-E SANYO SOT-252 SMD/三极管PNP -50V -5A 2SA2039-T-TL SANYO SOT-252 SMD/三极管PNP -50V -5A 2SA2040T-TL SANYO SOT-252 SMD/三极管PNP -50V -8A 2SA1242S-Y TOSHIBA SOT-252 SMD/三极管PNP -35V -5A 2SB1182R-T ROHM SOT-252 SMD/三极管PNP -32V -2A2SB1182TLQ ROHM SOT-252 SMD/三极管PNP -32V -2A2SA1615-Z NEC SOT-252 SMD/三极管PNP -30V -10A2SB772S NEC SOT-252 SMD/三极管PNP -30V -3A2SB772 FAIRCHILD SOT-252 SMD/三极管PNP -30V -3A2SB1205S-34 SANYO SOT-252 SMD/三极管PNP -25V -5A 2SB1205T-TL SANYO SOT-252 SMD/三极管PNP -25V -5A MJD210T4G ON SOT-252 SMD/三极管PNP -25V -5AMJD210TF FAIRCHILD SOT-252 SMD/三极管PNP -25V -5A MJD210TM FAIRCHILD SOT-252 SMD/三极管PNP -25V -5A MJD210 ON SOT-252 SMD/三极管PNP -25V -5A2SA1834S-R ROHM SOT-252 SMD/三极管PNP -20V -10A2SB1412P-34 ROHM SOT-252 SMD/三极管PNP -20V -5A2SB1412R-U ROHM SOT-252 SMD/三极管PNP -20V -5A NPN 252 SOT-252 SMD/三极管NPN 0V 0ANPN 252大电流SOT-252 SMD/三极管0V 0APNP 252 SOT-252 SMD/三极管PNP 0V 0A2SC4306 SANYO SOT-252 SMD/三极管NPN 20V 8A2SC5001LTR ROHM SOT-252 SMD/三极管NPN 20V 10A2SD1805S-34 SANYO SOT-252 SMD/三极管NPN 20V 5A2SD2118S-R ROHM SOT-252 SMD/三极管NPN 20V 5A CJD200 HJ/华昕SOT-252 SMD/三极管NPN 25V 5AMJD200 ON SOT-252 SMD/三极管NPN 25V 5A2SD882S NEC SOT-252 SMD/三极管NPN 30V 3A2SD882 FAIRCHILD SOT-252 SMD/三极管NPN 30V 3A2SD1758S-R ROHM SOT-252 SMD/三极管NPN 32V 2A2SC3072S-Y TOSHIBA SOT-252 SMD/三极管NPN 50V 5A2SC3074S-Y TOSHIBA SOT-252 SMD/三极管NPN 50V 5A2SC5706-G-TL-E SANYO SOT-252 SMD/三极管NPN 50V 5A2SC5706-T-TL-E SANYO SOT-252 SMD/三极管NPN 50V 5A2SC5706-T-TL-E PB SANYO SOT-252 SMD/三极管NPN 50V 5A 2SC5707T-34 SANYO SOT-252 SMD/三极管NPN 50V 8A2SD1760 ROHM SOT-252 SMD/三极管NPN 50V 3A2SD1760S-Q ROHM SOT-252 SMD/三极管NPN 50V 3A2SD1760S-R ROHM SOT-252 SMD/三极管NPN 50V 3A2SD1801 SANYO SOT-252 SMD/三极管NPN 50V 2A2SD1801S-34 SANYO SOT-252 SMD/三极管NPN 50V 2A2SD1802S-23 SANYO SOT-252 SMD/三极管NPN 50V 3A2SD1802S-34 SANYO SOT-252 SMD/三极管NPN 50V 3A2SD1802S-TL SANYO SOT-252 SMD/三极管NPN 50V 3A2SD1802T-02 SANYO SOT-252 SMD/三极管NPN 50V 3A2SD1803S-34 SANYO SOT-252 SMD/三极管NPN 50V 5A2SD1803S-OH SANYO SOT-252 SMD/三极管NPN 50V 5A2SD1804S-23 SANYO SOT-252 SMD/三极管NPN 50V 8A2SD1804S-2H SANYO SOT-252 SMD/三极管NPN 50V 8A2SD1804S-34 SANYO SOT-252 SMD/三极管NPN 50V 8A2SD1804T-34 SANYO SOT-252 SMD/三极管NPN 50V 8ANJD2873T4 ON SOT-252 SMD/三极管NPN 50V 2ANZD560A FAIRCHILD SOT-252 SMD/三极管NPN 55V 3A2SC3518-ZK NEC SOT-252 SMD/三极管NPN 60V 5A2SC5103R-T ROHM SOT-252 SMD/三极管NPN 60V 5A2SD1817S-34 SANYO SOT-252 SMD/三极管NPN 60V 3A2SD1817T-34 SANYO SOT-252 SMD/三极管NPN 60V 3A2SD1899-ZK NEC SOT-252 SMD/三极管NPN 60V 3AMJD3055T4G ON SOT-252 SMD/三极管NPN 60V 10A2SC3303S-Y TOSHIBA SOT-252 SMD/三极管NPN 80V 5AMJD44H11T4G ON SOT-252 SMD/三极管NPN 80V 8A2SC4135 SANYO SOT-252 SMD/三极管NPN 100V 2A2SD1815 SANYO SOT-252 SMD/三极管NPN 100V 3AMJD243 ON SOT-252 SMD/三极管NPN 100V 4AMJD31CT4G ON SOT-252 SMD/三极管NPN 100V 3AMJD31C原ON SOT-252 SMD/三极管NPN 100V 3AMJD41CT4G ON SOT-252 SMD/三极管NPN 100V 6A2SC4027 SANYO SOT-252 SMD/三极管NPN 160V 1.5AMJD340T4 ST SOT-252 SMD/三极管NPN 300V 0.5AMJD340 FAIRCHILD SOT-252 SMD/三极管NPN 300V 0.5A2SC4003 SANYO SOT-252 SMD/三极管NPN 400V 0.2A2SC4615 SANYO SOT-252 SMD/三极管NPN 400V 1AKSH50TF FAIRCHILD SOT-252 SMD/三极管NPN 400V 1A MJD50 ON SOT-252 SMD/三极管NPN 400V 1AMJD18002D2 ON SOT-252 SMD/三极管NPN 450V 2A2SA1870S ROHM SOT-263 SMD/三极管PNP -100V -12A2SC4226-R25 NEC SOT-323 SMD/三极管NPN 12V 0.1A2SB1122S-TD-E SANYO SOT-89 SMD/三极管PNP -50V -1A 2SC3357-T1B NEC SOT-89 SMD/三极管NPN 12V 0.1A2SD965-TX panasonic SOT-89 SMD/三极管NPN 20V 5A2SD882-89 SOT-89 SMD/三极管NPN 30V 3A2SD1664 ROHM SOT-89 SMD/三极管NPN 32V 1A2SC2412K-R ROHM SOT-89 SMD/三极管NPN 50V 0.15A2SC5569-TD SANYO SOT-89 SMD/三极管NPN 50V 7A2SD1622-TD SANYO SOT-89 SMD/三极管NPN 50V 1A FCX458TA ZEXET SOT-89 SMD/三极管NPN 400V 0.225A 2SA1360 TOSHIBA TO-126 DIP/三极管PNP -150V -0.05A BD140 PHILIPS TO-126 DIP/三极管PNP -80V -1.5ABD238 PHILIPS TO-126 DIP/三极管PNP -80V -2ABD138 PHILIPS TO-126 DIP/三极管PNP -60V -1.5ABD236 PHILIPS TO-126 DIP/三极管PNP -60V -2ABD440 PHILIPS TO-126 DIP/三极管PNP -60V -4ABD136 PHILIPS TO-126 DIP/三极管PNP -45V -1.5ABD438 PHILIPS TO-126 DIP/三极管PNP -45V -4ABD436 PHILIPS TO-126 DIP/三极管PNP -32V -4ABD436 ST摩洛哥ST TO-126 DIP/三极管PNP -32V -4A2SB772-P NEC TO-126 DIP/三极管PNP -30V -3A2SB772-Q NEC TO-126 DIP/三极管PNP -30V -3A2SB772-Q NEC TO-126 DIP/三极管PNP -30V -3AB772-P NEC TO-126 DIP/三极管PNP -30V -3AN 126 TO-126 DIP/三极管NPN 0V 0A2SD2583 NEC TO-126 DIP/三极管NPN 30V 5A2SD882-P NEC TO-126 DIP/三极管NPN 30V 3A2SD882-Q NEC TO-126 DIP/三极管NPN 30V 3AD882-P NEC TO-126 DIP/三极管NPN 30V 3ABD435 PHILIPS TO-126 DIP/三极管NPN 32V 4A2SC2314 SANYO TO-126 DIP/三极管NPN 45V 1ABD437 PHILIPS TO-126 DIP/三极管NPN 45V 4ABD437白字摩洛哥ST TO-126 DIP/三极管NPN 45V 4ABD437激光摩洛哥ST TO-126 DIP/三极管NPN 45V 4ABD235 PHILIPS TO-126 DIP/三极管NPN 60V 2ABD237 PHILIPS TO-126 DIP/三极管NPN 80V 2A2SC3423 TOSHIBA TO-126 DIP/三极管NPN 150V 0.05A2SC2258 panasonic TO-126 DIP/三极管NPN 250V 0.1A2SC2611 HIT TO-126 DIP/三极管NPN 300V 0.1A2SC2688 NEC TO-126 DIP/三极管NPN 300V 0.2AMJE13003 FAIRCHILD TO-126 DIP/三极管NPN 400V 1.5A MJE170S FAIRCHILD TO-126F DIP/三极管PNP -40V -3A2SB772-Y FAIRCHILD TO-126F DIP/三极管PNP -30V -3APNP-126F TO-126F DIP/三极管PNP 0V 0A2SD882F NEC TO-126F DIP/三极管NPN 30V 3AKSE180-Y FAIRCHILD TO-126F DIP/三极管NPN 40V 3ABD13516STU FAIRCHILD TO-126F DIP/三极管NPN 45V 1.5A 2SD1683T SANYO TO-126F SMD/三极管NPN 50V 4AKSD1691-Y FAIRCHILD TO-126F DIP/三极管NPN 60V 5A NPN 126F TO-126F DIP/三极管60V 5A2SD1381F ROHM TO-126F DIP/三极管NPN 80V 1ABD139F PHILIPS TO-126F DIP/三极管NPN 80V 1.5AKSC3953-D-S FAIRCHILD TO-126F DIP/三极管NPN 120V 0.2A HSD1609 HJ/华昕TO-126F DIP/三极管NPN 160V 0.1AHSD1609 台产TO-126F DIP/三极管NPN 160V 0.1AKSC2682-Y SAM/三星TO-126F DIP/三极管NPN 180V 0.1A KSC2682-Y FAIRCHILD TO-126F DIP/三极管NPN 180V 0.1A KSC3502-E SAM/三星TO-126F DIP/三极管NPN 200V 0.1A2SC3619 TOSHIBA TO-126F DIP/三极管NPN 300V 0.1AKTA968A KEC TO-220 DIP/三极管PNP -180V -1.5A2SB861 HIT TO-220 DIP/三极管PNP -150V -2AKSA940 FAIRCHILD TO-220 DIP/三极管PNP -150V -1.5AKSB546 FAIRCHILD TO-220 DIP/三极管PNP -150V -2ABD242C FAIRCHILD TO-220 DIP/三极管PNP -100V -3ABD244C FAIRCHILD TO-220 DIP/三极管PNP -100V -6ATIP32C FAIRCHILD TO-220 DIP/三极管PNP -100V -3ATIP42C FAIRCHILD TO-220 DIP/三极管PNP -100V -6ATIP42C合资FAIRCHILD TO-220 DIP/三极管PNP -100V -6A TIP42C原FAIRCHILD TO-220 DIP/三极管PNP -100V -6A UTCTIP42C UTC TO-220 DIP/三极管PNP -100V -6A2SB1273 SANYO TO-220 DIP/三极管PNP -60V -3AKTA1036 KEC TO-220 DIP/三极管PNP -60V -3AKTB988 KEC TO-220 DIP/三极管PNP -60V -3AKSA614 FAIRCHILD TO-220 DIP/三极管PNP -55V -3AKSA614YTU FAIRCHILD TO-220 DIP/三极管PNP -55V -3A2SB1134R SANYO TO-220 DIP/三极管PNP -50V -5A2SB824R SANYO TO-220 DIP/三极管PNP -50V -5A2SB824S SANYO TO-220 DIP/三极管PNP -50V -5A2SB857 HIT TO-220 DIP/三极管PNP -50V -4A2SC5679 FUJ TO-220 DIP/三极管NPN 0V 0AHSD940 华汕TO-220 DIP/三极管PNP 0V 0AKSD313 FAIRCHILD TO-220 DIP/三极管NPN 0V 0ANPN 220 TO-220 DIP/三极管NPN 0V 0ASTD880 ST TO-220 DIP/三极管NPN 0V 0AKTC3230 KEC TO-220 DIP/三极管NPN 30V 3A2SD1060S-JK SANYO TO-220 DIP/三极管NPN 50V 5A2SD1062R-UA SANYO TO-220 DIP/三极管NPN 50V 12AKSD288 FAIRCHILD TO-220 DIP/三极管NPN 55V 3A2SC1983 FAIRCHILD TO-220 DIP/三极管NPN 60V 3ABD241A ST TO-220 DIP/三极管NPN 60V 3AKSC2233粉脚FAIRCHILD TO-220 DIP/三极管NPN 60V 4AKSC2233亮脚FAIRCHILD TO-220 DIP/三极管NPN 60V 4AKSD73 FAIRCHILD TO-220 DIP/三极管NPN 60V 5AKSD880-Y FAIRCHILD TO-220 DIP/三极管NPN 60V 3AKSD880-Y 环保FAIRCHILD TO-220 DIP/三极管NPN 60V 3A KTC2016-Y KEC TO-220 DIP/三极管NPN 60V 3AKTC2016-Y KEC TO-220 DIP/三极管NPN 60V 3AKTC3231 KEC TO-220 DIP/三极管NPN 60V 4AKTD1351 KEC TO-220 DIP/三极管NPN 60V 3ATIP31A ST TO-220 DIP/三极管NPN 60V 3ATIP31A ST TO-220 DIP/三极管NPN 60V 3AKSD362RTU FAIRCHILD TO-220 DIP/三极管NPN 70V 5ABDW23B FAIRCHILD TO-220 DIP/三极管NPN 80V 6AH1061 HIT TO-220 DIP/三极管NPN 80V 4AKSD526YTU FAIRCHILD TO-220 DIP/三极管NPN 80V 4AKSE44H11 FAIRCHILD TO-220 DIP/三极管NPN 80V 10A5101FABD HARRIS/哈里斯TO-220 DIP/三极管NPN 100V 0ABD239C FAIRCHILD TO-220 DIP/三极管NPN 100V 2AKSC2334-Y FAIRCHILD TO-220 DIP/三极管NPN 100V 7ATIP41C FAIRCHILD TO-220 DIP/三极管NPN 100V 6ATIP41C FAIRCHILD TO-220 DIP/三极管NPN 100V 6A2SD1138 HIT TO-220 DIP/三极管NPN 150V 2AKSC2073 FAIRCHILD TO-220 DIP/三极管NPN 150V 1.5AKSC2073 国产FAIRCHILD TO-220 DIP/三极管NPN 150V 1.5A KSD401 FAIRCHILD TO-220 DIP/三极管NPN 150V 2AKTC2073 KEC TO-220 DIP/三极管NPN 150V 1.5A2SC4566 SANYO TO-220 DIP/三极管NPN 200V 0.3ABU406 FAIRCHILD TO-220 DIP/三极管NPN 200V 7ABU406TU FAIRCHILD TO-220 DIP/三极管NPN 200V 7ABU406 FAIRCHILD TO-220 DIP/三极管NPN 200V 7ABU806 FAIRCHILD TO-220 DIP/三极管NPN 200V 8ABU806 FAIRCHILD TO-220 DIP/三极管NPN 200V 8A5101FABB HARRIS/哈里斯TO-220 DIP/三极管NPN 250V 0A KSC1507-Y FAIRCHILD TO-220 DIP/三极管NPN 300V 0.0002A KSC1507YTU FAIRCHILD TO-220 DIP/三极管NPN 300V 0.0002A 2SC2553 TOSHIBA TO-220 DIP/三极管NPN 400V 5A2SC4242 FUJ TO-220 DIP/三极管NPN 400V 7A2SC5763 SANYO TO-220 DIP/三极管NPN 400V 7A3DD13007K 华微TO-220 DIP/三极管NPN 400V 8ABUL128A ST TO-220 DIP/三极管NPN 400V 4ABUL138 ST TO-220 DIP/三极管NPN 400V 5AFJP5555TU FAIRCHILD TO-220 DIP/三极管NPN 400V 5A KSC2335 FAIRCHILD TO-220 DIP/三极管NPN 400V 7AKSC5039 FAIRCHILD TO-220 DIP/三极管NPN 400V 5AKSC5039-2 FAIRCHILD TO-220 DIP/三极管NPN 400V 5A KSC5302D FAIRCHILD TO-220 DIP/三极管NPN 400V 2A KSC5305D FAIRCHILD TO-220 DIP/三极管NPN 400V 5A KSE13003H2 FAIRCHILD TO-220 DIP/三极管NPN 400V 1.5A KSE13005-1 FAIRCHILD TO-220 DIP/三极管NPN 400V 4A KSE13009TU FAIRCHILD TO-220 DIP/三极管NPN 400V 12A PHE13005 PHILIPS TO-220 DIP/三极管NPN 400V 4APHE13007 PHILIPS TO-220 DIP/三极管NPN 400V 8AST13005A ST TO-220 DIP/三极管NPN 400V 4AST13007A ST TO-220 DIP/三极管NPN 400V 8ATIP50 FAIRCHILD TO-220 DIP/三极管NPN 400V 1ATT2146 SANYO TO-220 DIP/三极管NPN 400V 7ABUT12A FAIRCHILD TO-220 DIP/三极管NPN 450V 8ABUT12AI PHILIPS TO-220 DIP/三极管NPN 450V 8AKSC5338D FAIRCHILD TO-220 DIP/三极管NPN 450V 5A FJP5321TU FAIRCHILD TO-220 DIP/三极管NPN 500V 5A KSC5021-O FAIRCHILD TO-220 DIP/三极管NPN 500V 5A BUL1203E ST TO-220 DIP/三极管NPN 550V 5A2SC3148 TOSHIBA TO-220 DIP/三极管NPN 800V 3A2SC3150 SANYO TO-220 DIP/三极管NPN 800V 3AFJP5027RTU FAIRCHILD TO-220 DIP/三极管NPN 800V 3A KSC5603D FAIRCHILD TO-220 DIP/三极管NPN 800V 3A2SA1837 TOSHIBA TO-220F DIP/三极管PNP -230V -1A2SA1930 TOSHIBA TO-220F DIP/三极管PNP -180V -2AKTB1369 KEC TO-220F DIP/三极管PNP -180V -2AKSA1304 FAIRCHILD TO-220F DIP/三极管PNP -150V -1.5A 2SA1757 ROHM TO-220F DIP/三极管PNP -60V -5A2SB1133R SANYO TO-220F DIP/三极管PNP -60V -3A2SB1274S SANYO TO-220F DIP/三极管PNP -60V -3A2SB1375 TOSHIBA TO-220F DIP/三极管PNP -60V -3AKSB1366 FAIRCHILD TO-220F DIP/三极管PNP -60V -3A2SA2022 SANYO TO-220F DIP/三极管PNP -50V -7A2SA2099 SANYO TO-220F DIP/三极管PNP -50V -10A2SA2180 SANYO TO-220F DIP/三极管PNP -50V -5A2SB1135R SANYO TO-220F DIP/三极管PNP -50V -7A2SB1136R SANYO TO-220F DIP/三极管PNP -50V -12A2SB1136S SANYO TO-220F DIP/三极管PNP -50V -12A2SC5842 panasonic TO-220F DIP/三极管NPN 0V 0AKTC4369-Y KEC TO-220F DIP/三极管NPN 30V 3A2SD1667S SANYO TO-220F DIP/三极管NPN 50V 5A2SD1273-P FAIRCHILD TO-220F DIP/三极管NPN 60V 3A2SD1913R-RA SANYO TO-220F DIP/三极管NPN 60V 3A2SD1944 K ROHM TO-220F DIP/三极管NPN 60V 3A2SD2012 TOSHIBA TO-220F DIP/三极管NPN 60V 3A2SD2061 ROHM TO-220F DIP/三极管NPN 60V 3A2SD2396 K ROHM TO-220F DIP/三极管NPN 60V 3AKSD2058-Y FAIRCHILD TO-220F DIP/三极管NPN 60V 3AKTD2058-Y-CU KEC TO-220F DIP/三极管NPN 60V 3AKSC3296 FAIRCHILD TO-220F DIP/三极管NPN 150V 1.5A2SC4159 SANYO TO-220F DIP/三极管NPN 160V 1.5AKTC4370 KEC TO-220F DIP/三极管NPN 160V 1.5A2SC5171 TOSHIBA TO-220F DIP/三极管NPN 180V 2AKTD2061 KEC TO-220F DIP/三极管NPN 180V 2A2SC4793 TOSHIBA TO-220F DIP/三极管NPN 230V 1AKTC3229 KEC TO-220F DIP/三极管NPN 300V 0.1A2SC4546 SK TO-220F DIP/三极管NPN 400V 7A2SC4977 FUJ TO-220F DIP/三极管NPN 400V 7A2SC5172 TOSHIBA TO-220F DIP/三极管NPN 400V 5A2SC5459 TOSHIBA TO-220F DIP/三极管NPN 400V 3ABUL138FP ST TO-220F DIP/三极管NPN 400V 5ABUL146F MOT TO-220F DIP/三极管NPN 400V 6ABUL903EDFP摩洛哥ST TO-220F DIP/三极管NPN 400V 5A FJPF13009TU FAIRCHILD TO-220F DIP/三极管NPN 400V 12A FJPF3305H1TU FAIRCHILD TO-220F DIP/三极管NPN 400V 4A KSE13005F FAIRCHILD TO-220F DIP/三极管NPN 400V 4AKSE13005F1 FAIRCHILD TO-220F DIP/三极管NPN 400V 4A KSE13005F2 FAIRCHILD TO-220F DIP/三极管NPN 400V 4A KSE13005FH1TU FAIRCHILD TO-220F DIP/三极管NPN 400V 4A KSE13007F FAIRCHILD TO-220F DIP/三极管NPN 400V 8AKSE13007F1 FAIRCHILD TO-220F DIP/三极管NPN 400V 8A KSE13007F2 FAIRCHILD TO-220F DIP/三极管NPN 400V 8A KSE13009FTU FAIRCHILD TO-220F DIP/三极管NPN 400V 12A STD13005FB AUK TO-220F DIP/三极管NPN 400V 4ABUT12AX NXP/恩智浦TO-220F DIP/三极管NPN 450V 8AMJF18004 MOT TO-220F DIP/三极管NPN 450V 5A2SC5809 panasonic TO-220F DIP/三极管NPN 500V 3AKSC5021F-O FAIRCHILD TO-220F DIP/三极管NPN 500V 5A KSC5021F-R FAIRCHILD TO-220F DIP/三极管NPN 500V 5A2SC5353 TOSHIBA TO-220F DIP/三极管NPN 800V 3AFJPF5027-OTU FAIRCHILD TO-220F DIP/三极管NPN 800V 3A KSC5027F-R FAIRCHILD TO-220F DIP/三极管NPN 800V 3A KSC5367F FAIRCHILD TO-220F DIP/三极管NPN 800V 3AKSC5042FTU FAIRCHILD TO-220F DIP/三极管NPN 900V 0.1A KSC5042F FAIRCHILD TO-220F DIP/三极管NPN 900V 0.1A KTB2955-O KEC TO-220定型脚DIP/三极管PNP -120V -10A2SC3148定型脚TOSHIBA TO-220定型脚DIP/三极管NPN 800V 3A KSD73短脚FAIRCHILD TO-220短DIP/三极管NPN 60V 5ATIP29C短脚FAIRCHILD TO-220短DIP/三极管NPN 100V 1A2SA1412-S35 NEC TO-251 DIP/三极管PNP -400V -2AHI350 HJ/华昕TO-251 DIP/三极管PNP -300V -0.5A2SA1552S SANYO TO-251 DIP/三极管PNP -180V -1.5AMJD253 ON TO-251 DIP/三极管PNP -100V -4AMJD32C ON TO-251 DIP/三极管PNP -100V -3AMJD45H11-251 MOT TO-251 DIP/三极管PNP -80V -8A2SA1012L-TM3-R UTC TO-251 DIP/三极管PNP -60V -5A2SA1244-Y TOSHIBA TO-251 DIP/三极管PNP -60V -5A2SA1385-K NEC TO-251 DIP/三极管PNP -60V -5A2SB1184-R ROHM TO-251 DIP/三极管PNP -60V -3A2SB1202-S23 SANYO TO-251 DIP/三极管PNP -60V -3A2SB1203-S34 SANYO TO-251 DIP/三极管PNP -60V -5A2SB1203-S3H SANYO TO-251 DIP/三极管PNP -60V -5A2SB1203-S45 SANYO TO-251 DIP/三极管PNP -60V -5A2SB1204-R23 SANYO TO-251 DIP/三极管PNP -60V -8A2SB1204-R34 SANYO TO-251 DIP/三极管PNP -60V -8A2SB1204-R45 SANYO TO-251 DIP/三极管PNP -60V -8A2SB1204-R5C SANYO TO-251 DIP/三极管PNP -60V -8A2SB1204-S34 SANYO TO-251 DIP/三极管PNP -60V -8A2SB1214-K SANYO TO-251 DIP/三极管PNP -60V -3A2SB1214-P34 SANYO TO-251 DIP/三极管PNP -60V -3A2SB1261-K NEC TO-251 DIP/三极管PNP -60V -3A2SA1214-K NEC TO-251 DIP/三极管PNP -50V -2A2SA2039-G-E SANYO TO-251 DIP/三极管PNP -50V -5A2SA2040-G-E SANYO TO-251 DIP/三极管PNP -50V -8A2SB1201 SANYO TO-251 DIP/三极管PNP -50V -2A2SA1649 NEC TO-251 DIP/三极管PNP -40V -10A2SA1242-Y TOSHIBA TO-251 DIP/三极管PNP -35V -5A2SA1615 NEC TO-251 DIP/三极管PNP -30V -10A2SB1184 ROHM TO-251 DIP/三极管PNP -30V -3A2SB772 NEC TO-251 DIP/三极管PNP -30V -3A2SB1205-S34 SANYO TO-251 DIP/三极管PNP -25V -5A2SB1205T-E SANYO TO-251 DIP/三极管PNP -25V -5AMJD210 ON TO-251 DIP/三极管PNP -25V -5ANPN 251 TO-251 DIP/三极管NPN 0V 0APNP 251 TO-251 DIP/三极管PNP 0V 0A2SC5001 SANYO TO-251 DIP/三极管NPN 20V 10A2SD1805-OH SANYO TO-251 DIP/三极管NPN 20V 5A2SD1805-S23 SANYO TO-251 DIP/三极管NPN 20V 5A2SD1805-S34 SANYO TO-251 DIP/三极管NPN 20V 5AMJD200 ON TO-251 DIP/三极管NPN 25V 5A2SD882-M73 NEC TO-251 DIP/三极管NPN 30V 3A2SD1758Q ROHM TO-251 DIP/三极管NPN 32V 2A2SC3072-Y TOSHIBA TO-251 DIP/三极管NPN 50V 5A2SC3074-O TOSHIBA TO-251 DIP/三极管NPN 50V 5A2SC3074-Y TOSHIBA TO-251 DIP/三极管NPN 50V 5A2SC5706-5L SANYO TO-251 DIP/三极管NPN 50V 5A2SC5706-G-E SANYO TO-251 DIP/三极管NPN 50V 5A2SC5707-5L SANYO TO-251 DIP/三极管NPN 50V 8A2SC5707-6L SANYO TO-251 DIP/三极管NPN 50V 8A2SD1760-R ROHM TO-251 DIP/三极管NPN 50V 3A2SD1802S SANYO TO-251 DIP/三极管NPN 50V 3A2SD1802-S02 SANYO TO-251 DIP/三极管NPN 50V 3A2SD1802-S23 SANYO TO-251 DIP/三极管NPN 50V 3A2SD1802-S34 SANYO TO-251 DIP/三极管NPN 50V 3A2SD1802-S3H SANYO TO-251 DIP/三极管NPN 50V 3A2SD1803-S34 SANYO TO-251 DIP/三极管NPN 50V 5A2SD1803-S45 SANYO TO-251 DIP/三极管NPN 50V 5A2SD1804-S23 SANYO TO-251 DIP/三极管NPN 50V 8A2SD1804-S34 SANYO TO-251 DIP/三极管NPN 50V 8A2SD1804-S3H SANYO TO-251 DIP/三极管NPN 50V 8A2SD1804-S45 SANYO TO-251 DIP/三极管NPN 50V 8A2SD1817-S34 SANYO TO-251 SMD/三极管NPN 60V 3A2SD1899-K NEC TO-251 DIP/三极管NPN 60V 3AHSD1616T HJ/华昕TO-251 SMD/三极管NPN 60V 1AMJD3055G ON TO-251 DIP/三极管NPN 60V 10AHI3669 HJ/华昕TO-251 DIP/三极管NPN 80V 2A2SC2334 SANYO TO-251 DIP/三极管NPN 100V 7A2SD1816-S34 SANYO TO-251 DIP/三极管NPN 100V 4AHI3953 HJ/华昕TO-251 DIP/三极管NPN 120V 0.2A2SC4027T SANYO TO-251 DIP/三极管NPN 160V 1.5AHI1609 HJ/华昕TO-251 DIP/三极管NPN 160V 0.1A2SC3631 NEC TO-251 DIP/三极管NPN 400V 2A2SC4615 SANYO TO-251 DIP/三极管NPN 400V 1A50K3BRH10 FAIRCHILD TO-262 DIP/三极管N场30V 0A KSA1962-O FAIRCHILD TO-3P DIP/三极管PNP -230V -10A 2SA1941 TOSHIBA TO-3P DIP/三极管PNP -140V -10A FJA4210 FAIRCHILD TO-3P DIP/三极管PNP -140V -10A KSA1695-O FAIRCHILD TO-3P DIP/三极管PNP -140V -8A 2SC3320 FUJ TO-3P DIP/三极管NPN 0V 0A2SC5198 TOSHIBA TO-3P DIP/三极管NPN 140V 10A2SD1047 TOSHIBA TO-3P DIP/三极管NPN 140V 12A2SD1047C SANYO TO-3P DIP/三极管NPN 140V 12AKSC4468-O FAIRCHILD TO-3P DIP/三极管NPN 140V 8A2SC5200-O TOSHIBA TO-3P DIP/三极管NPN 230V 15A2SC2625 原FUJ TO-3P DIP/三极管NPN 400V 10A2SC2938 MOSPEC TO-3P DIP/三极管NPN 400V 10A2SC3306 TOSHIBA TO-3P DIP/三极管NPN 400V 10AKSE13009L FAIRCHILD TO-3P DIP/三极管NPN 400V 12A TT2148 SANYO TO-3P DIP/三极管NPN 400V 12A2SD2498 TOSHIBA TO-3P DIP/三极管NPN 600V 6AFJAF4310 FAIRCHILD TO-3PF DIP/三极管NPN 140V 10A2SC5855 TOSHIBA TO-3PF DIP/三极管700V 10AMD2310FX ST TO-3PF DIP/三极管NPN 700V 14A2SC5857 TOSHIBA TO-3PF DIP/三极管NPN 750V 21A2SC5793-YD SANYO TO-3PF DIP/三极管NPN 800V 20A KSC5386 FAIRCHILD TO-3PF DIP/三极管NPN 800V 7A KSC5802D FAIRCHILD TO-3PF DIP/三极管NPN 800V 10A KSC5803D FAIRCHILD TO-3PF DIP/三极管NPN 800V 12A 2SA1943-O TOSHIBA TO-3PL DIP/三极管PNP -230V -15A KSC5200 FAIRCHILD TO-3PL DIP/三极管NPN 230V 13A FJL6920TU FAIRCHILD TO-3PL DIP/三极管NPN 800V 20A 2SA970 TOSHIBA TO-92 DIP/三极管PNP -120V -0.1ABC640 FAIRCHILD TO-92 DIP/三极管PNP -80V -1AKSP2907A FAIRCHILD TO-92 DIP/三极管PNP -60V -0.6A2SA1015 TOSHIBA TO-92 DIP/三极管PNP -50V -0.15A2SA1015-GR TOSHIBA TO-92 DIP/三极管PNP -50V -0.15A 2SA1266-GR KEC TO-92 DIP/三极管PNP -50V -0.15A2SB1243 ROHM TO-92 DIP/三极管PNP -50V -3ABC327-25 PHILIPS TO-92 DIP/三极管PNP -45V -0.5A2SA1273 FGX TO-92 DIP/三极管PNP -30V -2A2SA562-Y TOSHIBA TO-92 DIP/三极管PNP -30V -0.5A2SA966 TOSHIBA TO-92 DIP/三极管PNP -30V -1.5ASS8550 TO-92 DIP/三极管PNP -25V -1.5ASS8550 C中TO-92 DIP/三极管PNP -25V -0.5AACT30AHT TO-92 DIP/三极管0V 0AC945 广半TO-92 DIP/三极管NPN 0V 0AKSC1730YBU FAIRCHILD TO-92 DIP/三极管NPN 15V 0.05A 2SC2538 RENESAS/瑞萨TO-92 DIP/三极管NPN 17V 0.4A 2SC1906 HIT TO-92 DIP/三极管NPN 19V 0.05A8050D ST/泰丰TO-92 DIP/三极管NPN 25V 0AHIT468-EQ RENESAS/瑞萨TO-92 DIP/三极管NPN 25V 1A KSP10 FAIRCHILD TO-92 DIP/三极管NPN 25V 0ASC8050D 广半TO-92 DIP/三极管NPN 25V 1.5ASS8050 TO-92 DIP/三极管NPN 25V 1.5ASS8050 C中TO-92 DIP/三极管NPN 25V 1.5ASS8050D 国产TO-92 DIP/三极管NPN 25V 1.5A2SC1923-Y TOSHIBA TO-92 DIP/三极管NPN 30V 0.02A2SC458C HIT TO-92 DIP/三极管NPN 30V 0.1AKTC9011-F KEC TO-92 DIP/三极管NPN 30V 0.05AKTC9013-H KEC TO-92 DIP/三极管NPN 30V 0.5AKSP2222A FAIRCHILD TO-92 DIP/三极管NPN 40V 0.6APN2222A FAIRCHILD TO-92 DIP/三极管N场40V 1APN2907 FAIRCHILD TO-92 DIP/三极管NPN 40V 0.8ABC337-25 PHILIPS TO-92 DIP/三极管NPN 45V 0.5ABC337-40 PHILIPS TO-92 DIP/三极管NPN 45V 0.5A2SC1815-GR TOSHIBA TO-92 DIP/三极管NPN 50V 0.15A2SC1815-Y TOSHIBA TO-92 DIP/三极管NPN 50V 0.15A2SC2458-Y TOSHIBA TO-92 DIP/三极管NPN 50V 0.15ABC546B PHILIPS TO-92 DIP/三极管NPN 65V 0.1A2SD667 RENESAS/瑞萨TO-92 DIP/三极管NPN 80V 1ABC639 FAIRCHILD TO-92 DIP/三极管NPN 80V 1ASTPSA42 ST TO-92 DIP/三极管NPN 300V 0.5AA44 广半TO-92 DIP/三极管NPN 400V 0.2AKSE13001 广半TO-92 DIP/三极管NPN 400V 0.1AKSP44 FAIRCHILD TO-92 DIP/三极管NPN 400V 0.3A2SA1208T-AE SANYO TO-92L DIP/三极管PNP -180V -0.07A 2SA1207 SANYO TO-92L DIP/三极管PNP -160V -0.07A2SA965-Y TOSHIBA TO-92L DIP/三极管PNP -120V -0.8A2SA1020-Y TOSHIBA TO-92L DIP/三极管PNP -50V -2A2SA684 TOSHIBA TO-92L DIP/三极管PNP -50V -1AKSA928-Y FAIRCHILD TO-92L DIP/三极管PNP -30V -2A2SC2330-Y TOSHIBA TO-92L DIP/三极管NPN 18V 6A2SD965-Y TOSHIBA TO-92L DIP/三极管NPN 20V 5A2SC2703 TOSHIBA TO-92L DIP/三极管NPN 30V 1A2SC3205 FGX TO-92L DIP/三极管NPN 30V 2A2SC2310-Y HIT TO-92L DIP/三极管NPN 50V 0.1A2SC4408 TOSHIBA TO-92L DIP/三极管NPN 50V 2A2SC1384-R TOSHIBA TO-92L DIP/三极管NPN 60V 1A2SC2655 TOSHIBA TO-92L DIP/三极管NPN 60V 2A2SC2655 09 TOSHIBA TO-92L DIP/三极管NPN 60V 2A2SC2230-Y排带TOSHIBA TO-92L DIP/三极管PNP 160V 0.1A 2SC2383 TOSHIBA TO-92L DIP/三极管NPN 160V 1A2SC2230A-GR TOSHIBA TO-92L DIP/三极管PNP 180V 0.1A 2SC2482 TOSHIBA TO-92L DIP/三极管NPN 300V 0.1A2SC1740 FAIRCHILD TO-92S DIP/三极管NPN 50V 0.15A BFR360F infineon TSFP-3 SMD/三极管NPN 6V 0.035A。
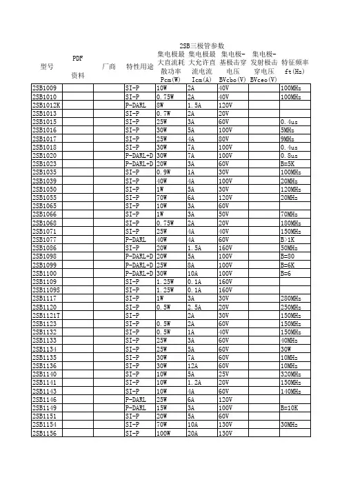
2SB系列三极管参数2SB1009 SI-P 40V 2A 10W 100MHz |2SB1010 SI-P 40V 2A 0.75W 100MHz2SB1012K P-DARL 120V 1.5A 8W |2SB1013 SI-P 20V 2A 0.7W2SB1015 SI-P 60V 3A 25W 0.4us |2SB1016 SI-P 100V 5A 30W 5MHz2SB1017 SI-P 80V 4A 25W 9MHz |2SB1018 SI-P 100V 7A 30W 0.4us2SB1020 P-DARL+D 100V 7A 30W 0.8us |2SB1023 P-DARL+D 60V 3A 20W B=5K2SB1035 SI-P 30V 1A 0.9W 100MHz |2SB1039 SI-P 100V 4A 40W 20MHz2SB1050 SI-P 30V 5A 1W 120MHz |2SB1055 SI-P 120V 6A 70W 20MHz2SB1065 SI-P 60V 3A 10W | 2SB1066 SI-P 50V 3A 1W 70MHz2SB1068 SI-P 20V 2A 0.75W 180MHz |2SB1071 SI-P 40V 4A 25W 150MHz2SB1077 P-DARL 60V 4A 40W B>1K |2SB1086 SI-P 160V 1.5A 20W 50MHz2SB1098 P-DARL+D 100V 5A 20W B=80 |2SB1099 P-DARL+D 100V 8A 25W B=6K2SB1100 P-DARL+D 100V 10A 30W B=6 |2SB1109 SI-P 160V 0.1A 1.25W2SB1109S SI-P 160V 0.1A 1.25W |2SB1117 SI-P 30V 3A 1W 280MHz2SB1120 SI-P 20V 2.5A 0.5W 250MHz |2SB1121T SI-P 30V 2A 150MHz2SB1123 SI-P 60V 2A 0.5W 150MHz |2SB1132 SI-P 40V 1A 0.5W 150MHz2SB1133 SI-P 60V 3A 25W 40MHz |2SB1134 SI-P 60V 5A 25W 30W2SB1135 SI-P 60V 7A 30W 10MHz |2SB1136 SI-P 60V 12A 30W 10MHz2SB1140 SI-P 25V 5A 10W 320MHz |2SB1141 SI-P 20V 1.2A 10W 150MHz2SB1143 SI-P 60V 4A 10W 140MHz |2SB1146 P-DARL 120V 6A 25W2SB1149 P-DARL 100V 3A 15W B=10K |2SB1151 SI-P 60V 5A 20W2SB1154 SI-P 130V 10A 70W 30MHz |2SB1156 SI-P 130V 20A 100W2SB1162 SI-P 160V 12A 120W |2SB1163 SI-P 170V 15A 150W2SB1166 SI-P 60V 8A 20W 130MHz |2SB1168 SI-P 120V 4A 20W 130MHz2SB1182 SI-P 40V 2A 10W 100MHz |2SB1184 SI-P 60V 3A 15W 70MHz2SB1185 SI-P 50V 3A 25W 70MHz |2SB1186 SI-P 120V 1.5A 20W 50MHz2SB1187 SI-P 80V 3A 35W | 2SB1188 SI-P 40V 2A 100MHz2SB1202 SI-P 60V 3A 15W 150MHz |2SB1203 SI-P 60V 5A 20W 130MHz2SB1204 SI-P 60V 8A 20W 130MHz |2SB1205 SI-P 25V 5A 10W 320MHz2SB1212 SI-P 160V 1.5A 0.9W 50MHz |2SB1223 P-DARL+D 70V 4A 20W 20MHz2SB1236 SI-P 120V 1.5A 1W 50MHz |2SB1237 SI-P 40V 1A 1W 150MHz2SB1238 SI-P 80V 0.7A 1W 100MHz |2SB1240 SI-P 40V 2A 1W 100MHz2SB1243 SI-P 60V 3A 1W | 2SB1254 P-DARL 160V 7A 70W2SB1255 P-DARL 160V 8A 100W B>5K |2SB1258 P-DARL+D 100V 6A 30W B>1K2SB1274 SI-P 60V 3A 30W 100MHz |2SB1282 P-DARL+D 100V 4A 25W 50MHz2SB1292 SI-P 80V 5A 30W | 2SB1302 SI-P 25V 5A 320MHz2SB1318 P-DARL+D 100V 3A 1W B>200 |2SB1326 SI-P 30V 5A 0.3W 120MHz2SB1329 SI-P 40V 1A 1.2W 150MHz |2SB1330 SI-P 32V 0.7A 1.2W 100MHz2SB1331 SI-P 32V 2A 1.2W 100MHz |2SB1353E SI-P 120V 1.5A 1.8W 50MHz2SB1361 SI-P 150V 9A 100W 15MHz |2SB1370 SI-P 60V 3A 30W 15MHz2SB1373 SI-P 160V 12A 2.5W 15MHz |2SB1375 SI-P 60V 3A 25W 9MHz2SB1382 P-DARL+D 120V 16A 75W B>2 |2SB1393 SI-P 30V 3A 2W 30MHz2SB1420 SI-P 120V 16A 80W 50MHz |2SB1425 SI-P 20V 2A 1W 90MHz2SB1429 SI-P 180V 15A 150W 10MHz |2SB1434 SI-P 50V 2A 1W 110MHz2SB1468 SI-P 60/30V 12A 25W |2SB1470 P-DARL 160V 8A 150W B>5K2SB1490 P-DARL 160V 7A 90W B>5K |2SB1493 P-DARL 160/140V 7A 70W 202SB1503 P-DARL 160V 8A 120W B>5K |2SB1556 P-DARL 140V 8A 120W B>5K2SB1557 P-DARL 140V 7A 100W B>5K |2SB1559 P-DARL 160V 8A 80W B>5K2SB1560 P-DARL 160V 10A 100W 50MHz |2SB1565 SI-P 80V 3A 25W 15MHz2SB1587 P-DARL+D 160V 8A 70W B>5K |2SB1624 P-DARL 110V 6A 60W B>5K2SB206 GE-P 80V 30A 80W | 2SB324 GE-P 32V 1A 0.25W2SB337 GE-P 50V 7A 30W LF-POWER |2SB407 GE-P 30V 7A 30W2SB481 GE-P 32V 1A 6W 15KHz |2SB492 GE-P 25V 2A 6W2SB511E SI-P 35V 1.5A 10W 8MHz |2SB524 SI-P 60V 1.5A 10W 70MHz2SB527 SI-P 110V 0.8A 10W 70MHz |2SB531 SI-P 90V 6A 50W 8MHz2SB536 SI-P 130V 1.5A 20W 40MHz |2SB537 SI-P 130V 1.5A 20W 60MHz2SB541 SI-P 110V 8A 80W 9MHz |2SB544 SI-P 25V 1A 0.9W 180MHz2SB546A SI-P 200V 2A 25W 5MHz |2SB549 SI-P 120V 0.8A 10W 80MHz2SB557 SI-P 120V 8A 80W |2SB560 SI-P 100V 0.7A 0.9W 100MHz2SB561 SI-P 25V 0.7A 0.5W |2SB564 SI-P 30V 1A 0.8W2SB598 SI-P 25V 1A 0.5W 180MHz |2SB600 SI-P 200V 15A 200W 4MHz2SB601 P-DARL 100V 5A 30W |2SB605 SI-P 60V 0.7A 0.8W 120MHz2SB621 SI-N 25V 1.5A 0.6W 200MHz |2SB621A SI-N 50V 1A 0.75W 200MHz2SB631 SI-P 100V 1A 8W | 2SB632 SI-P 25V 2A 10W 100MHz2SB633 SI-P 100V 6A 40W 15MHz |2SB637 SI-P 50V 0.1A 0.3W 200MHz2SB641 SI-P 30V 0.1A 120MHz |2SB647 SI-P 120V 1A 0.9W 140MHz2SB649A SI-P 160V 1.5A 1W 140MHz |2SB656 SI-P 160V 12A 125W 20MHz2SB673 P-DARL+D 100V 7A 40W 0.8us |2SB676 P-DARL 100V 4A 30W 0.15us2SB681 SI-N 150V 12A 100W 13MHz |2SB688 SI-P 120V 8A 80W 10MHz2SB700 SI-P 160V 12A 100W |2SB703 SI-P 100V 4A 40W 18MHz2SB705 SI-P 140V 10A 120W 17MHz |2SB707 SI-P 80V 7A 40W POWER2SB709 SI-P 45V 0.1A 0.2W 80MHz |2SB716 SI-P 120V 0.05A 0.75W2SB720 SI-P 200V 2A 25W 100MHz |2SB727 P-DARL+D 120V 6A 50W B>1K2SB731 SI-P 60V 1A 10W 75MHz |2SB733 SI-P 20V 2A 1W >50MHz2SB734 SI-P 60V 1A 1W 80MHz |2SB739 SI-P 20/16V 2A 0.9W 80MHz2SB740 SI-P 70V 1A 0.9W | 2SB744 SI-P 70V 3A 10W 45MHz2SB750 P-DARL+D 60V 2A 35W B>100 |2SB753 SI-P 100V 7A 40W 0.4us2SB764 SI-P 60V 1A 0.9A 150MHz |2SB765 P-DARL+D 120V 3A 30W B>1K2SB766 SI-P 30V 1A 200MHz | 2SB772 SI-P 40V 3A 10W 80MHz2SB774 SI-P 30V 0.1A 0.4W 150MHz |2SB775 SI-P 100V 6A 60W 13MHz2SB776 SI-P 120V 7A 70W 15MHz |2SB788 SI-P 120V 0.02A 0.4W 150MHz2SB791 P-DARL+D 120V 8A 40W B>10 |2SB794 P-DARL+D 60V 1.5A 10W B=72SB795 P-DARL+D 80V 1.5A 10W B<3 |2SB808 SI-P 20V 0.7A 0.25W 250MHz2SB810 SI-P 30V 0.7A 0.35W 160MHz |2SB815 SI-P 20V 0.7A 0.25W 250MHz2SB816 SI-P 150V 8A 80W 15MHz |2SB817 SI-P 160V 12A 100W2SB817F SI-P 160V 12A 90W 15MHz |2SB819 SI-P 50V 1.5A 1W 150MHz2SB822 SI-P 40V 2A 0.75W 100MHz |2SB824 SI-P 60V 5A 30W 30 MHz2SB825 SI-P 60V 7A 40W 10MHz |2SB826 SI-P 60V 12A 40W 10MHz2SB827 SI-P 60V 7A 80W 10MHz |2SB828 SI-P 60V 12A 80W 10MHz2SB829 SI-P 60V 15A 90W 20MHz |2SB857 SI-P 50V 4A 40W NF/S-L2SB861 SI-P 200V 2A 30W | 2SB863 SI-P 140V 10A 100W 15MHz2SB865 P-DARL 80V 1.5A 0.9W |2SB873 SI-P 30V 5A 1W 120MHz2SB882 P-DARL+D 70V 10A 40W B>5K |2SB883 P-DARL+D 70V 15A 70W B=5K2SB884 P-DARL 110V 3A 30W B=4K |2SB885 P-DARL+D 110V 3A 35W B=4K2SB891 SI-P 40V 2A 5W 100MHz |2SB892 SI-P 60V 2A 1W2SB895A P-DARL 60V 1A B=8000 |2SB897 P-DARL+D 100V 10A 80W B>12SB908 P-DARL+D 80V 4A 15W 0.15us |2SB909 SI-P 40V 1A 1W 150MHz2SB922 SI-P 120V 12A 80W 20MHz |2SB926 SI-P 30V 2A 0.75W2SB938A P-DARL+D 60V 4A 40W B>1K |2SB940 SI-P 200V 2A 35W 30MHz2SB941 SI-P 60V 3A 35W POWER |2SB945 SI-P 130V 5A 40W 30MHz2SB946 SI-P 130V 7A 40W 30MHz |2SB950A P-DARL+D 80V 4A 40W B>1K2SB953A SI-P 50V 7A 30W 150MHz |2SB955 P-DARL+D 120V 10A 50W B=42SB975 P-DARL+D 100V 8A 40W B>6K |2SB976 SI-P 27V 5A 0.75W 120MHz2SB985 SI-P 60V 3A 1W 150MHz | 2SB986 SI-P 60V 4A 10W 150MHz2SB988 SI-P 60V 3A 30W <400/2200。
2SA系列三极管参数2SA1006B SI-P 250V 1.5A 25W 80MHz2SA1009 SI-P 350V 2A 15W |2SA1011 SI-P 160V 1.5A 25W 120MHz2SA1013 SI-P 160V 1A 0.9W 50MHz |2SA1015 SI-P 50V 0.15A 0.4W 80MHz2SA1016 SI-P 100V 0.05A 0.4W 110MHz |2SA1017 SI-P 120V 50mA 0.5W 110MHz2SA1018 SI-P 250V 70mA 0.75W >50MHz |2SA1020 SI-P 50V 2A 0.9W 100MHz2SA1027 SI-P 50V 0.2A 0.25W 100MHz |2SA1029 SI-P 30V 0.1A 0.2W 280MHz2SA1034 SI-P 35V 50mA 0.2W 200MHz |2SA1037 SI-P 50V 0.4A 140MHz FR2SA1048 SI-P 50V 0.15A 0.2W 80MHz |2SA1049 SI-P 120V 0.1A 0.2W 100MHz2SA1061 SI-P 100V 6A 70W 15MHz |2SA1062 SI-N 120V 7A 80W 15MHz2SA1065 SI-P 150V 10A 120W 50MHz |2SA1084 SI-P 90V 0.1A 0.4W 90MHz2SA1103 SI-P 100V 7A 70W 20MHz |2SA1106 SI-P 140V 10A 100W 20MHz2SA1110 SI-P 120V 0.5A 5W 250MHz |2SA1111 SI-P 150V 1A 20W 200MHz2SA1112 SI-P 180V 1A 20W 200MHz |2SA1115 SI-P 50V 0.2A 200MHz UNI2SA1120 SI-P 35V 5A 170MHz |2SA1123 SI-P 150V 50mA 0.75W 200MHz2SA1124 SI-P 150V 50mA 1W 200MHz |2SA1127 SI-P 60V 0.1A 0.4W 200MHz2SA1141 SI-P 115V 10A 100W 90MHz |2SA1142 SI-P 180V 0.1A 8W 180MHz2SA1145 SI-P 150V 50mA 0.8W 200MHz |2SA1150 SI-P 35V 0.8A 0.3W 120MHz2SA1156 SI-P 400V 0.5A 10W POWER |2SA1160 SI-P 20V 2A 0.9W 150MHz2SA1163 SI-P 120V 0.1A 100MHz |2SA1170 SI-P 200V 17A 200W 20MHz2SA1185 SI-P 50V 7A 60W 100MHz |2SA1186 SI-P 150V 10A 100W2SA1200 SI-P 150V 50mA 0.5W 120MHz |2SA1201 SI-P 120V 0.8A 0.5W 120MHz2SA1206 SI-P 15V 0.05A 0.6W |2SA1208 SI-P 180V 0.07A 0.9W |2SA1209 SI-P 180V 0.14A 10W2SA1210 SI-P 200V 0.14A 10W |2SA1213 SI-P 50V 2A 0.5W 120MHz2SA1215 SI-P 160V 15A 150W 50MHz | 2SA1216 SI-P 180V 17A 200W 40MHz2SA1220A SI-P 120V 1.2A 20W 160MHz | 2SA1221 SI-P 160V 0.5A 1W 45MHz2SA1225 SI-P 160V 1.5A 15W 100MHz | 2SA1227A SI-P 140V 12A 120W 60MHz2SA1232 SI-P 130V 10A 100W 60MHz | 2SA1241 SI-P 50V 2A 10W 100MHz2SA1242 SI-P 35V 5A 1W 170MHz |2SA1244 SI-P 60V 5A 20W 60MHz2SA1249 SI-P 180V 1.5A 10W 120MHz | 2SA1261 SI-P 100V 10A 60W POWER2SA1262 SI-P 60V 4A 30W 15MHz |2SA1264N SI-P 120V 8A 80W 30MHz2SA1265N SI-P 140V 10A 100W 30MHz | 2SA1266 SI-P 50V 0.15A 0.4W POWER2SA1268 SI-N 120V 0.1A 0.3W 100MHz | 2SA1270 SI-P 35V 0.5A 0.5W 200MHz2SA1271 SI-P 30V 0.8A 0.6W 120MHz | 2SA1275 SI-P 160V 1A 0.9W 20MHz2SA1282 SI-P 20V 2A 0.9W 80MHz |2SA1283 SI-P 60V 1A 0.9W 85MHz2SA1286 SI-P 30V 1.5A 0.9W 90MHz | 2SA1287 SI-P 50V 1A 0.9W 90MHz2SA1292 SI-P 80V 15A 70W 100MHz | 2SA1293 SI-P 100V 5A 30W 0.2us2SA1294 SI-P 230V 15A 130W |2SA1295 SI-P 230V 17A 200W 35MHz2SA1296 SI-P 20V 2A 0.75W 120MHz | 2SA1298 SI-P 30V 0.8A 0.2W 120MHz2SA1300 SI-P 10V 2A 0.75W 140MHz | 2SA1302 SI-P 200V 15A 150W 25MHz2SA1303 SI-P 150V 14A 125W 50MHz | 2SA1306 SI-P 160V 1.5A 20W2SA1306A SI-P 180V 1.5A 20W 100MHz | 2SA1307 SI-P 60V 5A 20W 0.1us2SA1309 SI-P 30V 0.1A 0.3W 80MHz | 2SA1310 SI-P 60V 0.1A 0.3W 200MHz2SA1315 SI-P 80V 2A 0.9W 0.2us |2SA1317 SI-P 60V 0.2A 0.3W 200MHz | 2SA1318 SI-P 60V 0.2A 0.5W 200MHz2SA1319 SI-P 180V 0.7A 0.7W 120MHz | 2SA1321 SI-P 250V 50mA 0.9W 100MHz2SA1328 SI-P 60V 12A 40W 0.3us |2SA1329 SI-P 80V 12A 40W 0.3us2SA1345 SI-N 50V 0.1A 0.3W 250MHz | 2SA1346 SI-P 50V 0.1A 200MHz2SA1348 SI-P 50V 0.1A 200MHz |2SA1349 P-ARRAY 80V 0.1A 0.4W 1702SA1352 SI-P 200V 0.1A 5W 70MHz | 2SA1357 SI-P 35V 5A 10W 170MHz2SA1358 SI-P 120V 1A 10W 120MHz | 2SA1359 SI-P 40V 3A 10W 100MHz2SA1360 SI-P 150V 50mA 5W 200MHz | 2SA1361 SI-P 250V 50mA 80MHz2SA1370 SI-P 200V 0.1A 1W 150MHz | 2SA1371E SI-P 300V 0.1A 1W 150MHz2SA1376 SI-P 200V 0.1A 0.75W 120MHz | 2SA1380 SI-P 200V 0.1A 1.2W2SA1381 SI-P 300V 0.1A 150MHz |2SA1382 SI-P 120V 2A 0.9W 0.2us2SA1383 SI-P 180V 0.1A 10W 180MHz | 2SA1386 SI-P 160V 15A 130W 40MHz2SA1387 SI-P 60V 5A 25W 80MHz | 2SA1392 SI-P 60V 0.2A 0.4W 200MHz2SA1396 SI-P 100V 10A 30W |2SA1399 SI-P 55V 0.4A 0.9W 150MHz2SA1400 SI-P 400V 0.5A 10W |2SA1403 SI-P 80V 0.5A 10W 800MHz2SA1405 SI-P 120V 0.3A 8W 500MHz | 2SA1406 SI-P 200V 0.1A 7W 400MHz2SA1407 SI-P 150V 0.1A 7W 400MHz | 2SA1413 SI-P 600V 1A 10W 26MHz2SA1428 SI-P 50V 2A 1W 100MHz | 2SA1431 SI-P 35V 5A 1W 170MHz2SA1441 SI-P 100V 5A 25W <300ns |2SA1443 SI-P 100V 10A 30W2SA1450 SI-P 100V 0.5A 0.6W 120MHz | 2SA1451 SI-P 60V 12A 30W 70MHz2SA1460 SI-P 60V 1A 1W <40NS |2SA1470 SI-P 80V 7A 25W 100MHz2SA1475 SI-P 120V 0.4A 15W 500MHz |2SA1477 SI-P 180V 0.14A 10W 150MHz |2SA1488 SI-P 60V 4A 25W 15MHz2SA1489 SI-P 80V 6A 60W 20MHz |2SA1490 SI-P 120V 8A 80W 20MHz2SA1491 SI-P 140V 10A 100W 20MHz |2SA1494 SI-P 200V 17A 200W 20MHz2SA1507 SI-P 180V 1.5A 10W 120MHz |2SA1515 SI-P 40V 1A 0.3W 150MHz2SA1516 SI-P 180V 12A 130W 25MHz |2SA1519 SI-P 50V 0.5A 0.3W 200MHz2SA1535A SI-P 180V 1A 40W 200MHz |2SA1538 SI-P 120V 0.2A 8W 400MHz2SA1539 SI-P 120V 0.3A 8W 400MHz |2SA1540 SI-P 200V 0.1A 7W 300MHz2SA1541 SI-P 200V 0.2A 7W 300MHz |2SA1553 SI-P 230V 15A 150W 25MHz2SA1566 SI-N 120V 0.1A 0.15W 130MHz |2SA1567 SI-P 50V 12A 35W 40MHz2SA1568 SI-P 60V 12A 40W | 2SA1577 SI-P 32V 0.5A 0.2W 200MHz2SA1593 SI-P 120V 2A 15W 120MHz |2SA1601 SI-P 60V 15A 45W2SA1606 SI-P 180V 1.5A 15W 100MHz | 2SA1615 SI-P 30V 10A 15W 180MHz 2SA1624 SI-P 300V 0.1A 0.5W 70MHz | 2SA1625 SI-P 400V 0.5A 0.75W2SA1626 SI-P 400V 2A 1W 0.5/2.7us |2SA1633 SI-P 150V 10A 100W 20MHz2SA1643 SI-P 50V 7A 25W 75MHz |2SA1667 SI-P 150V 2A 25W 20MHz2SA1668 SI-P 200V 2A 25W 20MHz |2SA1670 SI-P 80V 6A 60W 20MHz2SA1671 SI-P 120/120V 8A 75W 20MHz |2SA1672 SI-P 140V 10A 80W 20MHz2SA1673 SI-P 180V 15A 85W 20MHz |2SA1680 SI-P 60V 2A 0.9W 100/400ns2SA1684 SI-P 120V 1.5A 20W 150MHz |2SA1694 SI-P 120/120V 8A 80W 20MHz2SA1695 SI-P 140V 10A 80W 20MHz |2SA1703 SI-P 30V 1.5A 1W 180MHz2SA1706 SI-P 60V 2A 1W |2SA1708 SI-P 120V 1A 1W 120MHz2SA1726 SI-P 80V 6A 50W 20MHz |2SA1776 SI-P 400V 1A 1W2SA1803 SI-P 80V 6A 55W 30MHz |2SA1837 SI-P 230V 1A 20W 70MHz2SA1962 SI-P 230V 15A 130W 25MHz2SA329 GE-P 15V 10mA 0.05W |2SA467 SI-P 40V 0,4A 0,3W2SA473 SI-P 30V 3A 10W 100MHz | 2SA483 SI-P 150V 1A 20W 9MHz2SA493 SI-P 50V 0.05A 0.2W 80MHz | 2SA495 SI-P 35V 0.1A 0.2W 200MHz2SA562 SI-P 30V 0.5A 0.5W 200MHz | 2SA566 SI-P 100V 0.7A 10W 100MHz2SA608 SI-N 40V 0.1A 0.1W 180MHz | 2SA614 SI-P 80V 1A 15W 30MHz2SA620 SI-P 30V 0.05A 0.2W 120MHz | 2SA626 SI-P 80V 5A 60W 15MHz2SA628 SI-P 30V 0.1A 100MHz |2SA639 SI-P 180V 50mA 0,25W2SA642 SI-P 30V 0.2A 0.25W 200MHz | 2SA643 SI-P 40V 0.5A 0.5W 180MHz2SA653 SI-P 150V 1A 15W 5MHz | 2SA684 SI-P 60V 1A 1W 200MHz2SA699 SI-P 40V 2A 10W 150MHz | 2SA708A SI-P 100V 0.7A 0.8W 50MHz2SA720 SI-P 60V 0.5A 0.6W 200MHz | 2SA725 SI-P 35V 0.1A 0.15W 100MHz2SA733 SI-P 60V 0.15A 0.25W 50MHz | 2SA738 SI-P 25V 1.5A 8W 160MHz2SA747 SI-P 120V 10A 100W 15MHz | 2SA756 SI-P 100V 6A 50W 20MHz2SA762 SI-P 110V 2A 23W 80MHz | 2SA765 SI-P 80V 6A 40W 10MHz2SA768 SI-P 60V 4A 30W 10MHz | 2SA769 SI-P 80V 4A 30W 10MHz2SA770 SI-P 60V 6A 40W 10MHz | 2SA771 SI-P 80V 6A 40W 2MHz2SA777 SI-P 80V 0.5A 0.75W 120MHz | 2SA778A SI-P 180V 0.05A 0.2W 60MHz2SA781 SI-P 20V 0.2A 0.2W <80/16 |2SA794 SI-P 100V 0.5A 5W 120MHz2SA794A SI-P 120V 0.5A 5W 120MHz | 2SA812 SI-P 50V 0.1A 0.15W2SA814 SI-P 120V 1A 15W 30MHz | 2SA816 SI-P 80V 0.75A 1.5W 100MHz2SA817 SI-P 80V 0.3A 0.6W 100MHz | 2SA817A SI-P 80V 0.4A 0.8W 100MHz2SA838 SI-P 30V 30mA 0.25W 300MHz2SA839 SI-P 150V 1.5A 25W 6MHz |2SA841 SI-P 60V 0.05A 0.2W 140MHz2SA858 SI-P 150V 50mA 0.5W 100MHz |2SA872 SI-P 90V 0.05A 0.2W 120MHz2SA872A SI-P 120V 50mA 0.3W 120MHz |2SA884 SI-P 65V 0.2A 0.27W 140MHz2SA885 SI-P 45V 1A 5W 200MHz |2SA886 SI-P 50V 1.5A 1.2W2SA893 SI-P 90V 50mA 0.3W | 2SA900 SI-P 18V 1A 1.2W2SA914 SI-P 150V 0.05A 200MHz |2SA915 SI-P 120V 0.05A 0.8W 80MHz2SA916 SI-P 160V 0.05A 1W 80MHz |2SA921 SI-P 120V 20mA 0.25W 200MHz2SA933 SI-P 50V 0.1A 0.3W | 2SA934 SI-P 40V 0.7A 0.75W2SA935 SI-P 80V 0.7A 0.75W 150MHz |2SA937 SI-P 50V 0.1A 0.3W 140MHz2SA940 SI-P 150V 1.5A 25W 4MHz |2SA941 SI-P 120V 0.05A 0.3W 150MHz2SA949 SI-P 150V 50mA 0.8W 120MHz |2SA965 SI-P 120V 0.8A 0.9W 120MHz2SA966 SI-P 30V 1.5A 0.9W 120MHz |2SA968 SI-P 160V 1.5A 25W 100MHz2SA970 SI-P 120V 0.1A 100MHz |2SA982 SI-P 140V 8A 80W 20MHz2SA984 SI-P 60V 0.5A 0.5W 120MHz |2SA985 SI-P 120V 1.5A 25W 180MHz2SA988 SI-P 120V 0.05A 0.5W |2SA991 SI-P 60V 0.1A 0.5W 90MHz2SA992 SI-P 100V 0.05A 0.2W |2SA995 SI-P 100V 0.05A 0.4W 100MHz2SB系列三极管参数2SB1009 SI-P 40V 2A 10W 100MHz | 2SB1010 SI-P 40V 2A 0.75W 100MHz2SB1012K P-DARL 120V 1.5A 8W | 2SB1013 SI-P 20V 2A 0.7W2SB1015 SI-P 60V 3A 25W 0.4us | 2SB1016 SI-P 100V 5A 30W 5MHz2SB1017 SI-P 80V 4A 25W 9MHz | 2SB1018 SI-P 100V 7A 30W 0.4us2SB1020 P-DARL+D 100V 7A 30W 0.8us | 2SB1023 P-DARL+D 60V 3A 20W B=5K 2SB1035 SI-P 30V 1A 0.9W 100MHz | 2SB1039 SI-P 100V 4A 40W 20MHz2SB1050 SI-P 30V 5A 1W 120MHz | 2SB1055 SI-P 120V 6A 70W 20MHz2SB1065 SI-P 60V 3A 10W | 2SB1066 SI-P 50V 3A 1W 70MHz2SB1077 P-DARL 60V 4A 40W B>1K | 2SB1086 SI-P 160V 1.5A 20W 50MHz2SB1098 P-DARL+D 100V 5A 20W B=80 | 2SB1099 P-DARL+D 100V 8A 25W B=6K 2SB1100 P-DARL+D 100V 10A 30W B=6 | 2SB1109 SI-P 160V 0.1A 1.25W2SB1109S SI-P 160V 0.1A 1.25W | 2SB1117 SI-P 30V 3A 1W 280MHz2SB1120 SI-P 20V 2.5A 0.5W 250MHz | 2SB1121T SI-P 30V 2A 150MHz2SB1123 SI-P 60V 2A 0.5W 150MHz | 2SB1132 SI-P 40V 1A 0.5W 150MHz2SB1133 SI-P 60V 3A 25W 40MHz | 2SB1134 SI-P 60V 5A 25W 30W2SB1135 SI-P 60V 7A 30W 10MHz | 2SB1136 SI-P 60V 12A 30W 10MHz2SB1140 SI-P 25V 5A 10W 320MHz | 2SB1141 SI-P 20V 1.2A 10W 150MHz2SB1143 SI-P 60V 4A 10W 140MHz | 2SB1146 P-DARL 120V 6A 25W2SB1149 P-DARL 100V 3A 15W B=10K | 2SB1151 SI-P 60V 5A 20W2SB1154 SI-P 130V 10A 70W 30MHz | 2SB1156 SI-P 130V 20A 100W2SB1162 SI-P 160V 12A 120W | 2SB1163 SI-P 170V 15A 150W2SB1166 SI-P 60V 8A 20W 130MHz | 2SB1168 SI-P 120V 4A 20W 130MHz2SB1182 SI-P 40V 2A 10W 100MHz | 2SB1184 SI-P 60V 3A 15W 70MHz2SB1185 SI-P 50V 3A 25W 70MHz | 2SB1186 SI-P 120V 1.5A 20W 50MHz2SB1187 SI-P 80V 3A 35W | 2SB1188 SI-P 40V 2A 100MHz2SB1202 SI-P 60V 3A 15W 150MHz | 2SB1203 SI-P 60V 5A 20W 130MHz2SB1204 SI-P 60V 8A 20W 130MHz | 2SB1205 SI-P 25V 5A 10W 320MHz2SB1212 SI-P 160V 1.5A 0.9W 50MHz | 2SB1223 P-DARL+D 70V 4A 20W 20MHz2SB1236 SI-P 120V 1.5A 1W 50MHz | 2SB1237 SI-P 40V 1A 1W 150MHz2SB1238 SI-P 80V 0.7A 1W 100MHz | 2SB1240 SI-P 40V 2A 1W 100MHz2SB1243 SI-P 60V 3A 1W | 2SB1254 P-DARL 160V 7A 70W2SB1255 P-DARL 160V 8A 100W B>5K | 2SB1258 P-DARL+D 100V 6A 30W B>1K 2SB1274 SI-P 60V 3A 30W 100MHz | 2SB1282 P-DARL+D 100V 4A 25W 50MHz 2SB1292 SI-P 80V 5A 30W | 2SB1302 SI-P 25V 5A 320MHz2SB1318 P-DARL+D 100V 3A 1W B>200 | 2SB1326 SI-P 30V 5A 0.3W 120MHz2SB1329 SI-P 40V 1A 1.2W 150MHz | 2SB1330 SI-P 32V 0.7A 1.2W 100MHz2SB1331 SI-P 32V 2A 1.2W 100MHz | 2SB1353E SI-P 120V 1.5A 1.8W 50MHz2SB1361 SI-P 150V 9A 100W 15MHz | 2SB1370 SI-P 60V 3A 30W 15MHz2SB1373 SI-P 160V 12A 2.5W 15MHz | 2SB1375 SI-P 60V 3A 25W 9MHz2SB1382 P-DARL+D 120V 16A 75W B>2 | 2SB1393 SI-P 30V 3A 2W 30MHz2SB1420 SI-P 120V 16A 80W 50MHz | 2SB1425 SI-P 20V 2A 1W 90MHz2SB1429 SI-P 180V 15A 150W 10MHz | 2SB1434 SI-P 50V 2A 1W 110MHz2SB1468 SI-P 60/30V 12A 25W | 2SB1470 P-DARL 160V 8A 150W B>5K2SB1490 P-DARL 160V 7A 90W B>5K | 2SB1493 P-DARL 160/140V 7A 70W 202SB1503 P-DARL 160V 8A 120W B>5K | 2SB1556 P-DARL 140V 8A 120W B>5K2SB1557 P-DARL 140V 7A 100W B>5K | 2SB1559 P-DARL 160V 8A 80W B>5K2SB1560 P-DARL 160V 10A 100W 50MHz | 2SB1565 SI-P 80V 3A 25W 15MHz2SB1587 P-DARL+D 160V 8A 70W B>5K | 2SB1624 P-DARL 110V 6A 60W B>5K2SB206 GE-P 80V 30A 80W | 2SB324 GE-P 32V 1A 0.25W2SB337 GE-P 50V 7A 30W LF-POWER | 2SB407 GE-P 30V 7A 30W2SB481 GE-P 32V 1A 6W 15KHz | 2SB492 GE-P 25V 2A 6W2SB527 SI-P 110V 0.8A 10W 70MHz | 2SB531 SI-P 90V 6A 50W 8MHz2SB536 SI-P 130V 1.5A 20W 40MHz | 2SB537 SI-P 130V 1.5A 20W 60MHz2SB541 SI-P 110V 8A 80W 9MHz | 2SB544 SI-P 25V 1A 0.9W 180MHz2SB546A SI-P 200V 2A 25W 5MHz | 2SB549 SI-P 120V 0.8A 10W 80MHz2SB557 SI-P 120V 8A 80W | 2SB560 SI-P 100V 0.7A 0.9W 100MHz2SB561 SI-P 25V 0.7A 0.5W | 2SB564 SI-P 30V 1A 0.8W2SB598 SI-P 25V 1A 0.5W 180MHz | 2SB600 SI-P 200V 15A 200W 4MHz2SB601 P-DARL 100V 5A 30W | 2SB605 SI-P 60V 0.7A 0.8W 120MHz2SB621 SI-N 25V 1.5A 0.6W 200MHz | 2SB621A SI-N 50V 1A 0.75W 200MHz2SB631 SI-P 100V 1A 8W | 2SB632 SI-P 25V 2A 10W 100MHz2SB633 SI-P 100V 6A 40W 15MHz | 2SB637 SI-P 50V 0.1A 0.3W 200MHz2SB641 SI-P 30V 0.1A 120MHz | 2SB647 SI-P 120V 1A 0.9W 140MHz2SB649A SI-P 160V 1.5A 1W 140MHz | 2SB656 SI-P 160V 12A 125W 20MHz2SB673 P-DARL+D 100V 7A 40W 0.8us | 2SB676 P-DARL 100V 4A 30W 0.15us2SB681 SI-N 150V 12A 100W 13MHz | 2SB688 SI-P 120V 8A 80W 10MHz2SB700 SI-P 160V 12A 100W | 2SB703 SI-P 100V 4A 40W 18MHz2SB705 SI-P 140V 10A 120W 17MHz | 2SB707 SI-P 80V 7A 40W POWER2SB709 SI-P 45V 0.1A 0.2W 80MHz | 2SB716 SI-P 120V 0.05A 0.75W2SB720 SI-P 200V 2A 25W 100MHz | 2SB727 P-DARL+D 120V 6A 50W B>1K2SB731 SI-P 60V 1A 10W 75MHz | 2SB733 SI-P 20V 2A 1W >50MHz2SB734 SI-P 60V 1A 1W 80MHz | 2SB739 SI-P 20/16V 2A 0.9W 80MHz2SB740 SI-P 70V 1A 0.9W | 2SB744 SI-P 70V 3A 10W 45MHz2SB750 P-DARL+D 60V 2A 35W B>100 | 2SB753 SI-P 100V 7A 40W 0.4us2SB764 SI-P 60V 1A 0.9A 150MHz | 2SB765 P-DARL+D 120V 3A 30W B>1K2SB766 SI-P 30V 1A 200MHz | 2SB772 SI-P 40V 3A 10W 80MHz2SB774 SI-P 30V 0.1A 0.4W 150MHz | 2SB775 SI-P 100V 6A 60W 13MHz2SB776 SI-P 120V 7A 70W 15MHz | 2SB788 SI-P 120V 0.02A 0.4W 150MHz2SB791 P-DARL+D 120V 8A 40W B>10 | 2SB794 P-DARL+D 60V 1.5A 10W B=7 2SB795 P-DARL+D 80V 1.5A 10W B<3 | 2SB808 SI-P 20V 0.7A 0.25W 250MHz2SB810 SI-P 30V 0.7A 0.35W 160MHz | 2SB815 SI-P 20V 0.7A 0.25W 250MHz2SB816 SI-P 150V 8A 80W 15MHz | 2SB817 SI-P 160V 12A 100W2SB817F SI-P 160V 12A 90W 15MHz | 2SB819 SI-P 50V 1.5A 1W 150MHz2SB822 SI-P 40V 2A 0.75W 100MHz | 2SB824 SI-P 60V 5A 30W 30 MHz2SB825 SI-P 60V 7A 40W 10MHz | 2SB826 SI-P 60V 12A 40W 10MHz2SB827 SI-P 60V 7A 80W 10MHz | 2SB828 SI-P 60V 12A 80W 10MHz2SB829 SI-P 60V 15A 90W 20MHz | 2SB857 SI-P 50V 4A 40W NF/S-L2SB861 SI-P 200V 2A 30W | 2SB863 SI-P 140V 10A 100W 15MHz2SB865 P-DARL 80V 1.5A 0.9W | 2SB873 SI-P 30V 5A 1W 120MHz2SB882 P-DARL+D 70V 10A 40W B>5K | 2SB883 P-DARL+D 70V 15A 70W B=5K 2SB884 P-DARL 110V 3A 30W B=4K | 2SB885 P-DARL+D 110V 3A 35W B=4K 2SB891 SI-P 40V 2A 5W 100MHz | 2SB892 SI-P 60V 2A 1W2SB895A P-DARL 60V 1A B=8000 | 2SB897 P-DARL+D 100V 10A 80W B>12SB908 P-DARL+D 80V 4A 15W 0.15us | 2SB909 SI-P 40V 1A 1W 150MHz2SB922 SI-P 120V 12A 80W 20MHz | 2SB926 SI-P 30V 2A 0.75W2SB938A P-DARL+D 60V 4A 40W B>1K | 2SB940 SI-P 200V 2A 35W 30MHz2SB941 SI-P 60V 3A 35W POWER | 2SB945 SI-P 130V 5A 40W 30MHz2SB946 SI-P 130V 7A 40W 30MHz | 2SB950A P-DARL+D 80V 4A 40W B>1K 2SB953A SI-P 50V 7A 30W 150MHz | 2SB955 P-DARL+D 120V 10A 50W B=4 2SB975 P-DARL+D 100V 8A 40W B>6K | 2SB976 SI-P 27V 5A 0.75W 120MHz 2SB985 SI-P 60V 3A 1W 150MHz | 2SB986 SI-P 60V 4A 10W 150MHz2SB988 SI-P 60V 3A 30W <400/22002SC系列三极管参数2SC1000 SI-N 55V 0.1A 0.2W 80MHz2SC1008 SI-N 80V 0.7A 0.8W 75MHz | 2SC1012A SI-N 250V 60mA 0.75W >80MHz 2SC1014 SI-N 50V 1.5A 7W | 2SC1017 SI-N 75V 1A 60mW 120MHz2SC1030 SI-N 150V 6A 50W | 2SC1046 SI-N 1000V 3A 25W2SC1047 SI-N 30V 20mA 0.4W 650MHz | 2SC1050 SI-N 300V 1A 40W2SC1051 SI-N 150V 7A 60W 8MHz | 2SC1061 SI-N 50V 3A 25W 8MHz=H1062SC1070 SI-N 30V 20mA 900MHz | 2SC1080 SI-N 110V 12A 100W 4MHz2SC109 SI-N 50V 0.6A 0.6W | 2SC1096 SI-N 40V 3A 10W 60MHz2SC1106 SI-N 350V 2A 80W | 2SC1114 SI-N 300V 4A 100W 10MHz2SC1115 SI-N 140V 10A 100W 10MHz | 2SC1116 SI-N 180V 10A 100W 10MHz2SC1161 SI-P 160V 12A 120W | 2SC1162 SI-N 35V 1.5A 10W 180MHz2SC1172 SI-N 1500V 5A 50W | 2SC1195 SI-N 200V 2.5A 100W2SC1213C SI-N 50V 0.5A 0.4W UNI | 2SC1214 SI-N 50V 0.5A 0.6W 50MHz2SC1215 SI-N 30V 50mA 0.4W 1.2GHZ | 2SC1216 SI-N 40V 0.2A 0.3W <20/402SC1226 SI-N 40/50V 2A 10W 150MHz | 2SC1238 SI-N 35V 0.15A 5W 1.7GHz2SC1247A SI-N 50V 0.5A 0.4W 60MHz | 2SC1308 SI-N 1500V 7A 50W2SC1312 SI-N 35V 0.1A 0.15W 100MHz | 2SC1318 SI-N 60V 0.5A 0.6W 200MHz2SC1343 SI-N 150V 10A 100W 14MHz | 2SC1345 SI-N 55V 0.1A 0.1W 230MHz2SC1359 SI-N 30V 30mA 0.4W 250MHz | 2SC1360 SI-N 50V 0.05A 1W >300MHz 2SC1362 SI-N 50V 0.2A 0.25W 140MHz | 2SC1368 SI-N 25V 1.5A 8W 180MHz2SC1382 SI-N 80V 0.75A 5W 100MHz | 2SC1384 SI-N 60V 1A 1W 200MHz2SC1393 SI-N 30V 20mA 250 mW 700MHz | 2SC1398 SI-N 70V 2A 15W2SC1413A SI-N 1200V 5A 50W | 2SC1419 SI-N 50V 2A 20W 5MHz2SC1426 SI-N 35V 0.2A 2.7GHz | 2SC1431 SI-N 110V 2A 23W 80MHz2SC1432 N-DARL 30V 0.3A 0.3W B=40 | 2SC1439 SI-N 150V 50mA 0.5W 130MHz 2SC1445 SI-N 100V 6A 40W 10MHz | 2SC1446 SI-N 300V 0.1A 10W 55MHz2SC1447 SI-N 300V 0.15A 20W 80MHz | 2SC1448 SI-N 150V 1.5A 25W 3MHz2SC1449 SI-N 40V 2A 5W 60MHz | 2SC1450 SI-N 150V 0.4A 20W2SC1454 SI-N 300V 4A 50W 10MHz | 2SC1474-4 SI-N 20V 2A 0.75W 80MHz2SC1501 SI-N 300V 0.1A 10W 55MHz | 2SC1505 SI-N 300V 0.2A 15W2SC1507 SI-N 300V 0.2A 15W 80MHz | 2SC1509 SI-N 80V 0.5A 1W 120MHz2SC1515 SI-N 200V 0.05A 0.2W 110MHz | 2SC1520 SI-N 300V 0.2A 12,5W2SC1545 N-DARL 40V 0.3A 0.3W B=1K | 2SC1567 SI-N 100V 0.5A 5W 120MHz2SC1570 SI-N 55V 0.1A 0.2W 100MHz | 2SC1571 SI-N 40V 0.1A 0.2W 100MHz2SC1573 SI-N 200V 0.1A 1W 80MHz | 2SC1577 SI-N 500V 8A 80W 7MHz2SC1583 SI-N 50V 0.1A 0.4W 100MHz | 2SC1619 SI-N 100V 6A 50W 10MHz2SC1623 SI-N 60V 0.1A 0.2W 250MHz | 2SC1624 SI-N 120V 1A 15W 30MHz2SC1627 SI-N 80V 0.4A 0.8W 100MHz | 2SC1674 SI-N 30V .02A 600MC RF/IF2SC1675 SI-N 50V .03A 0.25W | 2SC1678 SI-N 65V 3A 3W2SC1685 SI-N 60V 0.1A 150MC UNI | 2SC1688 SI-N 50V 30mA 0.4W 550MHz2SC1708A SI-N 120V 50mA 0.2W 150MHz | 2SC1729 SI-N 35V 3.5A 16W 500MHz 2SC1730 SI-N 30V 0.05A 1.1GHz UHF | 2SC1740 SI-N 40V 100mA 0.3W2SC1741 SI-N 40V 0.5A 0.3W 250MHz | 2SC1756 SI-N 300V 0.2A >50MHz2SC1760 SI-N 100V 1A 7.9W 80MHz | 2SC1775A SI-N 120V 0.05A 0.2W UNI2SC1781 SI-N 50V 0.5A 0.35W | 2SC1815 SI-N 50V 0.15A 0.4W 80MHz2SC1815BL SI-N 60V 0.15A 0.4W B>350 | 2SC1815GR SI-N 60V 0.15A 0.4W B>200 2SC1815Y SI-N 60V 0.15A 0.4W B>120 | 2SC1827 SI-N 100V 4A 30W 10MHz2SC1832 N-DARL 500V 15A 150W B>10 | 2SC1841 SI-N 120V 0.05A 0.5W2SC1844 SI-N 60V 0.1A 0.5W 100MHz | 2SC1845 SI-N 120V 0.05A 0.5W2SC1846 SI-N 120V 0.05A 0.5W | 2SC1847 SI-N 50V 1.5A 1.2W2SC1855 SI-N 20V 20mA 0.25W 550MHz | 2SC1871 SI-N 450V 15A 150W <1/3us2SC1879 N-DARL+D 120V 2A 0.8W B>1 | 2SC1890 SI-N 90V 0.05A 0.3W 200MHz 2SC1895 SI-N 1500V 6A 50W 2MHz | 2SC1906 SI-N 19V 0.05A 0.3W2SC1907 SI-N 30V 0.05A 1100MHz | 2SC1913 SI-N 150V 1A 15W 120MHz2SC1914 SI-N 90V 50mA 0.2W 150MHz | 2SC1921 SI-N 250V 0.05A 0.6W2SC1922 SI-N 1500V 2.5A 50W | 2SC1923 SI-N 30V 20mA 10mW 550MHz2SC1929 SI-N 300V 0.4A 25W 80MHz | 2SC1941 SI-N 160V 50mA 0.8W2SC1944 SI-N 80V 6A PQ=16W | 2SC1945 SI-N 80V 6A 20W2SC1946A SI-N 35V 7A 50W | 2SC1947 SI-N 35V 1A 4W/175MHz2SC1953 SI-N 150V 0.05A 1.2W 70MHz | 2SC1957 SI-N 40V 1A 1.8W/27MHz2SC1959 SI-N 30V 0.5A 0.5W 200MHz | 2SC1967 SI-N 35V 2A 8W 470MHz2SC1968 SI-N 35V 5A 3W 470MHz | 2SC1969 SI-N 60V 6A 20W2SC1970 SI-N 40V 0.6A 5W | 2SC1971 SI-N 35V 2A 12.5W2SC1972 SI-N 35V 3.5A 25W | 2SC1975 SI-N 120V 2A 3.8W 50MHz2SC1980 SI-N 120V 20mA 0.25W 200MHz | 2SC1984 SI-N 100V 3A 30W B=7002SC1985 SI-N 80V 6A 40W 10MHz | 2SC2023 SI-N 300V 2A 40W 10MHz2SC2026 SI-N 30V 0.05A 0.25W | 2SC2027 SI-N 1500/800V 5A 50W2SC2036 SI-N 80V 1A PQ=1..4W | 2SC2053 SI-N 40V 0.3A 0.6W 500MHz2SC2055 SI-N 18V 0,3A 0,5W | 2SC2058 SI-N 40V 0.05A 0.25W2SC2060 SI-N 40V 0.7A 0.75W 150MHz | 2SC2061 SI-N 80V 1A 0.75W 120MHz2SC2068 SI-N 300V 0.05A 95MHz | 2SC2073 SI-N 150V 1.5A 25W 4MHz2SC2078 SI-N 80V 3A 10W 150MHz | 2SC2086 SI-N 75V 1A 0.45W/27MHz2SC2092 SI-N 75V 3A 5W 27MHz | 2SC2094 SI-N 40V 3.5A PQ>15W 175MHz 2SC2097 SI-N 50V 15A PQ=85W | 2SC2120 SI-N 30V 0.8A 0.6W 120MHz2SC2122 SI-N 800V 10A 50W | 2SC2166 SI-N 75V 4A 12.5W RFPOWER2SC2168 SI-N 200V 2A 30W 10MHz | 2SC2200 SI-N 500V 7A 40W 1US2SC2209 SI-N 50V 1.5A 10W 150MHz | 2SC2216 SI-N 45V 50mA 0.3W 300MHz2SC2243日本富士通公司Si-NPN 450V 5A<1MHZ 或者未知工作频率BU326 BU526 BU626ABUW71 BUX44 BUX45 TIP57A TIP58A 3DK308B2SC2244日本富士通公司Si-NPN450V8A<1MHZ 或者未知工作频率BU526 BU626A BUW72 BUX15 BUX44 TIP57A TIP58A 3DK308B2SC2245日本富士通公司Si-NPN450V10A<1MHZ 或者未知工作频率BU526 BU626A BUW24 BUX25 BUW26 BUW34 BUW35 BUW36 BUW72 3DK308B BU415 BU626A BUV25 BUW44 BUX25 2SD396 2SD641 3DK308B BUT56(A)BUX64 MJE53T2SC1865 2SC22002SC2248日本富士通公司Si-NPN450V8A<1MHZ或者未知工作频率BUT56(A)BUX64BUY65MJE130063DK306B 2SC2249日本富士通公司Si-NPN250V30A<1MHZ或者未知工作频率2SC13012SC18732SC22042SC22202SC24422SC24452SD6433DK210E 2SC225日本富士通公司Si-NPN80V1A150MHZBD139BD169BD179BD237BD4412SC1253DK30C2SC2250日本富士通公司Si-NPN450V30A<1MHZ或者未知工作频率2SC13002SC14702SC18742SC22042SC22202SC24423DK210F 2SC2251日本富士通公司Si-NPN45V0.5A900MHZBLX973DA392SC2253日本富士通公司Si-NPN45V2A900MHZ3DA23B2SC2254日本富士通公司Si-NPN45V4A900MHZ3DA100B 2SC2255日本富士通公司Si-NPN45V6A900MHZ2SC20443DA6B2SC2256日本三肯公司Si-NPN200V15A10MHZBDW16BUX11BUX412SC2019 2SD552 2SD583 3DK209D2SC2257未知生产厂家Si-NPN180V0.05A80MHZBF415BF458BF459BF469BF4712SC2257A日本松下公司Si-NPN220V0.05A80MHZBF415BF458BF459BF469BF4713DA87CBF415BF417BF458BF459BF460BF469BF7572SC34173DA87C3DA151DBF417BF459BF8502SC34172SC34182SC2228 SI-N 160V 0.05A 0.75W >50 | 2SC2229 SI-N 200V 50mA 0.8W 120MHz2SC2230 SI-N 200V 0.1A 0.8W 50MHz | 2SC2233 SI-N 200V 4A 40W 8MHz2SC2235 SI-N 120V 0.8A 0.9W 120MHz | 2SC2236 SI-N 30V 1.5A 0.9W 120MHz2SC2237 SI-N 35V 2A PQ>7.5W 175MHz | 2SC2238 SI-N 160V 1.5A 25W 100MHz2SC2240 SI-N 120V 50mA .3W 100MHz | 2SC2261 SI-N 180V 8A 80W 15MHz2SC2267 SI-N 400/360V 0.1A 0.4W | 2SC2270 SI-N 50V 5A 10W 100MHz2SC2271 SI-N 300V 0.1A 0.9W 50MHz | 2SC2275 SI-N 120V 1.5A 25W 200MHz2SC2283 SI-N 38V 0.75A 2.8W(500MHz | 2SC2287 SI-N 38V 1.5A 7.1W 175MHz2SC2295 SI-N 30V 0.03A 0.2W 250MHz | 2SC2307 SI-N 500V 12A 100W 18MHz2SC2308 SI-N 55V 0.1A 0.2W 230MHz | 2SC2310 SI-N 55V 0.1A 0.2W 230MHz2SC2312 SI-N 60V 6A 18.5W/27MHz | 2SC2314 SI-N 45V 1A 5W2SC2320 SI-N 50V 0,2A 0,3W | 2SC2329 SI-N 38V 0.75A 2W 175MHz2SC2331 SI-N 150V 2A 15W POWER | 2SC2333 SI-N 500/400V 2A 40W2SC2334 SI-N 150V 7A 40W POWER | 2SC2335 SI-N 500V 7A 40W POWER2SC2336B SI-N 250V 1.5A 25W 95MHz | 2SC2344 SI-N 180V 1.5A 25W 120MHz2SC2347 SI-N 15V 50mA 250mW 650MHz | 2SC2362 SI-N 120V 50mA 0.4W 130MHz 2SC2363 SI-N 120V 50mA 0.5W 130MHz | 2SC2365 SI-N 600V 6A 50W POWER2SC2369 SI-N 25V 70mA 0.25W 4.5GHz | 2SC2383 SI-N 160V 1A 0.9W 100MHz2SC2389 SI-N 120V 50mA 0.3W 140MHz | 2SC2407 SI-N 35V 0.15A 0.16W 500MHz 2SC2412 SI-N 50V 0.1A 180MHz | 2SC2433 SI-N 120V 30A 150W 80MHz2SC2440 SI-N 450V 5A 40W | 2SC2458 SI-N 50V 0.15A 0.2W 80MHz2SC2466 SI-N 30V 0.05A 2.2GHz | 2SC2482 SI-N 300V 0.1A 0.9W 50MHz2SC2485 SI-N 100V 6A 70W 15MHz | 2SC2486 SI-N 120V 7A 80W 15MHz2SC2491 SI-N 100V 6A 40W 15MHz | 2SC2497 SI-N 70V 1.5A 5W 150MHz2SC2498 SI-N 30V 0.05A 0.3W 3.5GHz | 2SC2508 SI-N 40V 6A 50W 175MHz2SC2510 SI-N 55V 20A 250W(28MHz) | 2SC2512 SI-N 30V 50mA 900MHz TUNE2SC2516 SI-N 150V 5A 30W <0.5/2us | 2SC2517 SI-N 150V 5A 30W <0.5/2us2SC2538 SI-N 40V 0.4A 0.7W | 2SC2539 SI-N 35V 4A 17W 175MHz2SC2542 SI-N 450V 5A 40W | 2SC2547 SI-N 120V 0.1A 0.4W2SC2551 SI-N 300V 0.1A 0.4W 80MHz | 2SC2552 SI-N 500V 2A 20W2SC2553 SI-N 500V 5A 40W 1us | 2SC2562 SI-N 60V 5A 25W 0.1us2SC2563 SI-N 120V 8A 80W 90MHz | 2SC2570A SI-N 25V 70mA 0.6W2SC2579 SI-N 160V 8A 80W 20MHz | 2SC2581 SI-N 200V 10A 100W2SC2590 SI-N 120V 0.5A 5W 250MHz | 2SC2592 SI-N 180V 1A 20W 250MHz2SC2603 SI-N 50V 0.2A 0.3W | 2SC2610 SI-N 300V 0.1A 0.8W 80MHz2SC2611 SI-N 300V 0.1A 0.8W 80MHz | 2SC2621E SI-N 300V 0.2A 10W >50MHz2SC2625 SI-N 450V 10A 80W | 2SC2630 SI-N 35V 14A 100W2SC2631 SI-N 150V 50mA 0,75W 160MHz | 2SC2632 SI-N 150V 50mA 1W 160MHz 2SC2634 SI-N 60V 0.1A 0.4W 200MHz | 2SC2653 SI-N 350V 0.2A 15W >50MHz2SC2654 SI-N 40V 7A 40W | 2SC2655 SI-N 50V 2A 0.9W 0.1us2SC2656 SI-N 450V 7A 80W <1.5/4.5 | 2SC2660 SI-N 200V 2A 30W 30MHz2SC2668 SI-N 30V 20mA 0.1W 550MHz | 2SC2671 SI-N 15V 80mA 0.6W 5.5GHz2SC2682 SI-N 180V 0.1A 8W 180MHz | 2SC2690 SI-N 120V 1.2A 20W 160MHz2SC2694 SI-N 35V 20A 140W | 2SC2705 SI-N 150V 50mA 0.8W 200MHz2SC2706 SI-N 140V 10A 100W 90MHz | 2SC2712 SI-N 50V 0.15A 0.15W 80MHz2SC2714 SI-N 30V 20mA 0.1W 550MHz | 2SC2717 SI-N 30V 50mA 0.3W 300MHz2SC2724 SI-N 30V 30mA 200MHz | 2SC2749 SI-N 500V 10A 100W 50MHz2SC2750 SI-N 150V 15A 100W POWER | 2SC2751 SI-N 500V 15A 120W 50MHz2SC2752 SI-N 500V 0.5A 10W <1/3.5 | 2SC2753 SI-N 17V 0.07A 0.3W 5GHz2SC2759 SI-N 30V 50mA 0.2W 2.3GHz | 2SC2786 SI-N 20V 20mA 600MHz2SC2792 SI-N 850V 2A 80W | 2SC2793 SI-N 900V 5A 100W2SC2802 SI-N 300V 0.2A 10W 80MHz | 2SC2808 SI-N 100V 50mA 0.5W 140MHz2SC2810 SI-N 500V 7A 50W 18MHz | 2SC2812 SI-N 55V 0.15A 0.2W 100MHz2SC2814 SI-N 30V 0.03A 320MHz F | 2SC2825 SI-N 80V 6A 70W B>5002SC2837 SI-N 150V 10A 100W 70MHz | 2SC2839 SI-N 20V 30mA 0.15W 320MHz 2SC2851 SI-N 36V 0.3A 1W 1.5GHz | 2SC2873 SI-N 50V 2A 0.5W 120MHz2SC2878 SI-N 20V 0.3A 0.4W 30MHz | 2SC2879 SI-N 45V 25A PEP=100W 28MHz 2SC2882 SI-N 90V 0.4A 0.5W 100MHz | 2SC288A SI-N 35V 20mA 0.15W2SC2898 SI-N 500V 8A 50W | 2SC2901 SI-N 40V 0.2A 0.6W <12/182SC2908 SI-N 200V 5A 50W 50MHz | 2SC2910 SI-N 160V 70mA 0.9W 150MHz2SC2911 SI-N 180V 140mA 10W 150MHz | 2SC2912 SI-N 200V 140mA 10W 150MHz 2SC2922 SI-N 180V 17A 200W 50MHz | 2SC2923 SI-N 300V 0.1A 140MHz2SC2928 SI-N 1500V 5A 50W | 2SC2939 SI-N 500V 10A 100W 2.5us2SC2958 SI-N 160V 0.5A 1W | 2SC2979 SI-N 800V 3A 40W2SC2987 SI-N 140V 12A 120W 60MHz | 2SC2988 SI-N 36V 0.5A 175MHz2SC2999 SI-N 20V 30mA 750MHz | 2SC3001 SI-N 20V 3A PQ=7W(175MHz)2SC3019 SI-N 35V 0.4A 0.6W 520MHz | 2SC3020 SI-N 35V 1A 10W2SC3022 SI-N 35V 7A 50W | 2SC3026 SI-N 1700V 5A 50W POWER2SC3030 N-DARL 900V 7A 80W | 2SC3039 SI-N 500V 7A 52W2SC3042 SI-N 500/400V 12A 100W | 2SC3052F SI-N 50V 0.2A 0.15W 200MHz2SC3063 SI-N 300V 0.1A 1.2W 140MHz | 2SC3067 2xSI-N 130V 50mA 0.5W 1602SC3068 SI-N 30V 0.3A Ueb=15V B>8 | 2SC3071 SI-N 120V 0.2A Ueb=15V B>2SC3073 SI-N 30V 3A 15W 100MHz | 2SC3074 SI-N 60V 5A 20W 120MHz2SC3075 SI-N 500V 0.8A 10W 1/1.5us | 2SC3089 SI-N 800V 7A 80W2SC3101 SI-N 250V 30A 200W 25MHz | 2SC3102 SI-N 35V 18A 170W 520MHz2SC3112 SI-N 50V 0.15A 0.4W 100MHz | 2SC3116 SI-N 180V 0.7A 10W 120MHz2SC3117 SI-N 180V 1.5A 10W 120MHz | 2SC3133 SI-N 60V 6A 1.5W 27MHz2SC3148 SI-N 900V 3A 40W 1us | 2SC3150 SI-N 900V 3A 50W 15MHz2SC3153 SI-N 900V 6A 100W | 2SC3157 SI-N 150V 10A 60W2SC3158 SI-N 500V 7A 60W | 2SC3164 SI-N 500V 10A 100W2SC3169 SI-N 500V 2A 25W >8MHz | 2SC3175 SI-N 400V 7A 50W 40MHz2SC3178 SI-N 1200V 2A 60W | 2SC3179 SI-N 60V 4A 30W 15MHz2SC3180N SI-N 80V 6A 60W 30MHz | 2SC3181N SI-N 120V 8A 80W 30MHz2SC3182N SI-N 140V 10A 100W 30MHz | 2SC3195 SI-N 30V 20mA 0.1W 550MHz 2SC3199 SI-N 60V 0.15A 0.2W 130MHz | 2SC3200 SI-N 120V 0.1A 0.3W 100MHz2SC3202 SI-N 35V 0.5A 0.5W 300MHz | 2SC3203 SI-N 35V 0.8A 0.6W 120MHz2SC3205 SI-N 30V 2A 1W 120MHz | 2SC3206 SI-N 150V 0.5A 0.8W 120MHz2SC3210 SI-N 500V 10A 100W 1us | 2SC3211 SI-N 800V 5A 70W >3MHz2SC3212 SI-N 800V 7A 3W 3.5MHz | 2SC3225 SI-N 40V 2A 0.9W 1us2SC3231 SI-N 200V 4A 40W 8MHz | 2SC3240 SI-N 50V 25A 110W 30MHz2SC3242 SI-N 20V 2A 0.9W 80MHz | 2SC3244E SI-N 100V 0.5A 0.9W 130MHz2SC3245A SI-N 150V 0.1A 0.9W 200MHz | 2SC3246 SI-N 30V 1.5A 0.9W 130MHz2SC3247 SI-N 50V 1A .9W 130MHz B> | 2SC3257 SI-N 250V 10A 40W 1/3.5us2SC3258 SI-N 100V 5A 30W 120MHz | 2SC3260 N-DARL 800V 3A 50W B>10。
通俗易懂的三极管工作原理理解三极管的工作原理首先从以下两个方面来认识:其一、制造工艺上的两个特点:(1)基区的宽度做的非常薄;(2)发射区掺杂浓度高。
其二、三极管工作必要条件是(a)在B极和E极之间施加正向电压(此电压的大小不能超过1V);(b)在C极和E极之间施加反向电压;(c) 如要取得输出必须加负载电阻。
当三极管满足必要的工作条件后,其工作原理如下:(1)基极有电流流动时。
由于B极和E极之间有正向电压,所以电子从发射极向基极移动,又因为C极和E极间施加了反向电压,因此,从发射极向基极移动的电子,在高电压的作用下,通过基极进入集电极。
于是,在基极所加的正电压的作用下,发射极的大量电子被输送到集电极,产生很大的集电极电流。
(2)基极无电流流动时。
在B极和E极之间不能施加电压的状态时,由于C极和E极间施加了反向电压,所以集电极的电子受电源正电压吸引而在C极和E极之间产生空间电荷区,阻碍了从发射极向集电极的电子流动,因而就没有集电极电流产生。
综上所述,在晶体三极管中很小的基极电流可以导致很大的集电极电流,这就是三极管的电流放大作用。
此外,三极管还能通过基极电流来控制集电极电流的导通和截止,这就是三极管的开关作用(开关特性)。
参见晶体三极管特性曲线5.2图所示:晶体三极管共发射极放大原理如下图所示:A、vt是一个npn型三极管画外音:我们可以用水龙头与闸门放水的关系,来想象或者说是理解三极管的放大原理。
其示意图如下图2-20 所示图2-20 三极管放大原理参考示意图①如图 2.20 (a)所示:当发射结无电压或施加电压在门限电压以下,相当于闸门关紧时,水未从水龙头底部通过水嘴流出来。
此时,ec 之间电阻值无穷大,ec 之间的电流处于截止状态,或者说是开关的OFF 状态。
②如图2.20 (b )所示:当对发射结施加电压在门限电压范围时(以硅管0.7V 左右为例),相当于闸门松动一点点,从水龙头底部通过水嘴流出的水成滴答状态。
2N3828NPN30010040403302000.3360TO-922N3904NPN625200604061004000.3300TO-922N3906PNP625200404051004000.4250TO-922N4124NPN350200302551203600.3300TO-922N4126PNP625200252541203600.4250TO-922N4400NPN62560060406501500.75200TO-922N4401NPN625600604061003000.75250TO-922N4402PNP62560040405501500.75150TO-922N4403PNP625600404051003000.75200TO-922N5087PNP62550505032508000.340TO-922N5172NPN625500252551005000.25-TO-922N5400PNP6256001301205401800.5100TO-922N5401PNP6256001601505603000.5100TO-922N5550NPN6256001601406602500.25100TO-922N5551NPN6256001801606803000.2100TO-922N5551K NPN6256001801606803000.2100TO-922N5832NPN62560016014051755000.25100TO-922N6517NPN625500350350630200140TO-922N6520PNP625500350350530200140TO-922N6718NPN62510001001005502500.3550TO-922N6727PNP1000150050405502500.550TO-922PD601AW NPN200100605061604600.5100SOT-3232SA1012PNP2000500060505702400.460+TO-220-3L 2SA1012PNP1250500060505702400.460+TO-252-2L(4R) 2SA1012B PNP1250200050506822700.35200+TO-252-2L(4R) 2SA1013PNP5001000160160660320 1.515SOT-89-3L 2SA1013PNP9001000160160660320 1.515TO-92MOD 2SA1013PNP9001000160160660320 1.515TO-92L2SA1015PNP40015050505704000.380TO-922SA1020PNP900200050505702400.5100+TO-92L2SA1020PNP900200050505702400.5100+TO-92MOD 2SA1036PNP20050040325823900.4200+SOT-232SA1037PNP200150605061205600.5140+SOT-232SA1048PNP20015050505704000.380TO-922SA1048PNP20015050505704000.380TO-92S2SA1081PNP400100909052508000.290+TO-922SA1082PNP40010012012052508000.290+TO-922SA1083PNP400100606052508000.290+TO-922SA1084PNP400100909052508000.290+TO-922SA1145PNP800501501505802401200+TO-92MOD 2SA1160PNP9002000201061406000.5140+TO-92MOD 2SA1160PNP9002000201061406000.5140+TO-92L2SA1162PNP15015050505704000.380SOT-232SA1179PNP200150555052004000.5180+SOT-232SA1201PNP5008001201205802401120+SOT-89-3L 2SA1203PNP5001500303051003202120+SOT-89-3L 2SA1204PNP500800353051003200.7120+SOT-89-3L 2SA1213PNP500200050505702400.5100SOT-89-3L 2SA1225PNP10001500160160570240 1.5100+TO-252-2L(4R) 2SA1235A PNP200200605061505000.3200+SOT-232SA1242PNP10005000352081003201170+TO-251-3L 2SA1242PNP10005000352081003201170+TO-252-2L(4R) 2SA1267PNP40015050505707000.2580TO-92S2SA1283PNP900100060606553000.350TO-92MOD2SA1296PNP7502000202061204000.5120+TO-922SA1298PNP200800353051003200.4120+SOT-232SA1300PNP7502000201061406000.82140+TO-922SA1309A PNP300100605071604600.380+TO-92S2SA1313PNP20050050505702400.25200SOT-232SA1317PNP300200605061005600.3200+TO-92S2SA1318PNP500200605061005600.3200+TO-922SA1357PNP15005000352081003201170+TO-126C2SA1371PNP10001003003005403200.6100TO-92MOD 2SA1515PNP500100040325823900.550TO-922SA1515S PNP300100040325823900.550TO-92S2SA1576A PNP200150605061205600.5140+SOT-3232SA1577PNP20050040325823900.4200+SOT-3232SA1579PNP1005012012051805600.5140+SOT-3232SA1585S PNP4002000202061205600.5240+TO-92S2SA1586PNP10015050505704000.380SOT-3232SA1611PNP15010060505906000.3180+SOT-3232SA1615PNP1000100003020102006000.25180+TO-251-3L 2SA1615PNP1000100003020102006000.25180TO-252-2L(4R) 2SA1625PNP7505004004007402000.520TO-922SA1627PNP125010006006007301200.510TO-126C2SA1633PNP350010000150150660320 2.510TO-2472SA1661PNP5008001201205802401120+SOT-89-3L 2SA1662PNP50040080805702400.4120+SOT-89-3L 2SA1664PNP500800353051003200.7120+SOT-89-3L 2SA1700PNP10002004004005602000.870+TO-251-3L 2SA1700PNP10002004004005602000.870+TO-252-2L(4R) 2SA1740PNP5002004004005602000.670+SOT-89-3L 2SA1774PNP150150605061205600.5140+SOT-5232SA1797PNP500200050506822700.35200+SOT-89-3L 2SA1832PNP100150505051204000.380SOT-5232SA1837PNP150010002302305100320 1.570TO-220F2SA1943PNP350015000230230555160330TO-3P2SA1980PNP62515050505707000.380TO-922SA1981PNP625800353051003200.5120+TO-922SA2018PNP150500151262706800.25260+SOT-5232SA2029PNP150150605061205600.5140+SOT-7232SA2050PNP15001500180160660240150TO-220F2SA562PNP50050035305702400.25200+TO-922SA608N PNP500150605061605600.3200+TO-922SA608S PNP30010040305605600.5180+TO-92S2SA673PNP40050035354603200.6-TO-922SA673A PNP40050050504603200.6-TO-922SA683PNP750100030255853400.4200+TO-92L2SA684PNP750100060505853400.4200+TO-92L2SA719PNP62550030255853400.6200+TO-922SA720PNP62550060505853400.6200+TO-922SA812PNP20010060505906000.3180+SOT-232SA817A PNP80040080805702400.4100+TO-92MOD 2SA821PNP250302102105562700.650+TO-922SA821S PNP250302102105562700.650+TO-92S2SA836PNP200100555551605000.5150TO-922SA844PNP300100555551608000.5200+TO-922SA854S PNP200500403251203900.4200+TO-92S2SA933AS PNP300150605061205600.5140+TO-92S2SA935PNP75070080805823900.4100+TO-92L2SA940PNP15001500150150540140 1.54+TO-220-3L 2SA950PNP600800353051003200.7120+TO-922SA965PNP9008001201205802401120+TO-92MOD 2SA966PNP9001500303051003202120+TO-92MOD 2SA966PNP9001500303051003202120+TO-92L2SB1068PNP6252000201661356500.5100TO-922SB1073PNP5004000302071203151120+SOT-89-3L 2SB1116PNP7501000605061356000.370TO-922SB1116PNP3501000605061356000.370SOT-232SB1116A PNP7501000806061356000.370TO-922SB1119PNP5001000252551005600.7180+SOT-89-3L 2SB1132PNP500100040325823900.5150+SOT-89-3L 2SB1167*PNP125030001201006702800.5130TO-1262SB1182PNP1500200040325823900.8100+TO-251-3L 2SB1182PNP1500200040325823900.8100+TO-252-2L(4R) 2SB1184PNP100030006050582390170+TO-251-3L 2SB1184PNP100030006050582390170+TO-252-2L(4R) 2SB1185PNP200030006050560320170+TO-220-3L 2SB1188PNP500200040325823900.8100+SOT-89-3L 2SB1189PNP50070080805823900.4100+SOT-89-3L 2SB1197PNP20080040325823900.550SOT-232SB1198PNP200500808051203900.5180+SOT-232SB1202PNP10003000605061005600.7150+TO-251-3L 2SB1202PNP10003000605061005600.7150+TO-252-2L(4R) 2SB1218A PNP150100454571604600.580+SOT-3232SB1260PNP500100080805823900.4100+SOT-89-3L 2SB1261PNP10003000606071004000.350+TO-252-2L(4R) 2SB1261-Z PNP10003000606071004000.350+TO-251-3L 2SB1274PNP2000300060606702801100+TO-220-3L 2SB1308PNP500300030206823900.45120+SOT-89-3L 2SB1322A PNP625100060505853400.4200+TO-922SB1370PNP2000300060605100320 1.515+TO-220F2SB1375PNP2000300060607100320 1.59+TO-220-3L 2SB1386PNP500500030206823901120+SOT-89-3L 2SB1412PNP1000500030206823901120+TO-251-3L 2SB1412PNP1000500030206823901120+TO-252-2L(4R) 2SB1424PNP5003000202061203900.5240+SOT-89-3L 2SB1426PNP750300020206823900.5240+TO-922SB1440PNP5002000505051203400.380+SOT-89-3L 2SB1658PNP10005000303061506000.595+TO-1262SB1694PNP2001000303062706800.38320SOT-3232SB507PNP17503000606054032018TO-220-3L 2SB560PNP900700100805605600.8100+TO-92MOD 2SB561PNP50070025205852400.5350+TO-922SB562PNP625100025205852400.5350+TO-922SB562PNP750100025205852400.5350+TO-92L2SB624PNP200700302551104000.6160+SOT-232SB647PNP9001000120805603201140TO-92MOD 2SB647PNP7501000120805603201140+TO-92L2SB647A PNP90010001201005602001140TO-92MOD 2SB649PNP100015001801205603201140+TO-1262SB649PNP100015001801205603201140+TO-126C2SB649PNP90015001801205603201140+TO-92L2SB649A PNP100015001801605602001140+TO-126C2SB649A PNP100015001801605602001140+TO-1262SB649A PNP90015001801605602001140+TO-92L2SB688PNP30008000120120555160 2.510+TO-3P2SB709A PNP200100454571604600.560SOT-23 2SB740PNP9001000705061003200.6150+TO-92MOD 2SB764PNP900100060505603200.7150+TO-92MOD 2SB764PNP750100060505603200.7150+TO-92L 2SB766PNP500100030255853400.4200+SOT-89-3L 2SB766A PNP500100060505853400.4200+SOT-89-3L 2SB776PNP10003000505051004000.580+`TO-126 2SB776PNP10003000505051004000.580+TO-126C 2SB834PNP15003000606076020019+TO-220-3L 2SB834PNP15003000606076020019+TO-220F 2SB857PNP200040007050560320115+TO-220-3L 2SB861PNP180020002001506602003-TO-220-3L 2SB892PNP10002000605061005600.4150TO-92MOD 2SB892PNP7502000605061005600.4150+TO-92L 2SB927PNP10002500302561005600.6150+TO-92MOD 2SB946PNP20007000130807602600.530+TO-220F 2SB985PNP9003000605061005600.7150+TO-92MOD 2SC1008NPN80070080608404000.430TO-922SC1162NPN1000250035355603201180+TO-126 2SC1162NPN1000250035355603201180+TO-126C 2SC1213NPN40050035354603200.6-TO-922SC1213A NPN40050050504603200.6-TO-922SC1318NPN62550060507853400.6200+TO-922SC1318A NPN75050080705853400.6120+TO-922SC1359NPN4003030205702200.2150TO-922SC1383NPN1000100030255853400.4200+TO-92MOD 2SC1383NPN75010003025585340 1.2200+TO-92L 2SC1384NPN1000100060505853400.4200+TO-92MOD 2SC1384NPN75010006050585340 1.2200+TO-92L 2SC1623NPN20010060505906000.3250+SOT-323 2SC1623NPN20010060505906000.3250+SOT-23 2SC1627A NPN75040080805702400.4100+TO-92L 2SC1627A NPN80040080805702400.4100+TO-92MOD 2SC1654NPN150501801605904000.3120+SOT-23 2SC1674NPN2502030204401800.3400TO-922SC1675NPN6255050305402400.3150TO-922SC1740S NPN300150605071205600.4100TO-92S 2SC1741S NPN200500403251205600.4250+TO-92S 2SC1766NPN500200050505823900.5120+SOT-89-3L 2SC1815NPN40015060505707000.2580TO-922SC1923NPN100204030440200-550+TO-922SC1959NPN50050035305704000.25300+TO-922SC1959NPN50050035305704000.25300+TO-92S 2SC2001NPN60070030255904000.650TO-922SC2060NPN750100040325804000.450TO-92MOD 2SC2060NPN750100040325804000.450TO-92L 2SC2073NPN15001500150150540140 1.54+TO-220-3L 2SC2120NPN600800353051003200.5100TO-922SC2130NPN600800454051003200.5100TO-922SC2216NPN3005050454401400.2300TO-922SC2229NPN800502001505702400.580TO-92MOD 2SC2230NPN80010020016051204000.550TO-92MOD 2SC2230A NPN80010020018051204000.550TO-92L 2SC2235NPN9008001201205802401120+TO-92MOD 2SC2235NPN9008001201205802401120+TO-92L2SC2236NPN9001500303051003202120+TO-92MOD 2SC2236NPN9001500303051003202120+TO-92L2SC2274NPN60050060505603200.6120+TO-922SC2314NPN750100075455603200.6180TO-1262SC2383NPN50010001601606100320120SOT-89-3L 2SC2383NPN9001000160160660320120TO-92L2SC2383NPN9001000160160660320120TO-92MOD 2SC2389S NPN3005012012051805600.5140+TO-92S2SC2411NPN20050040325823900.4250+SOT-232SC2412NPN200150605071205600.4160+SOT-232SC2458NPN20015050505707000.2580TO-92S2SC2482NPN900100300300730150150TO-92MOD 2SC2482NPN900100300300730150150TO-92L2SC2500NPN9002000301061406000.5150+TO-92MOD 2SC2500NPN9002000301061406000.5150+TO-92L2SC2551NPN4001003003006301500.580+TO-922SC2655NPN900200050505702400.5100+TO-92MOD 2SC2655NPN900200050505702400.5100+TO-92L2SC2668NPN200204030440200-550+TO-92S2SC2688NPN12502003003005402500.550TO-1262SC2703NPN9001000303051003200.5150+TO-92MOD 2SC2703NPN7501000303051003200.5150+TO-92L2SC2712NPN15015060505707000.2580SOT-232SC2714NPN100204030440200-550+SOT-232SC2715NPN3505035304402400.4100SOT-232SC2717NPN3005030254903200.2300TO-922SC2785NPN250100605051106000.3150TO-92S2SC2839NPN400303020560320-200TO-92S2SC2859NPN15050035305704000.25300+SOT-232SC2873NPN500200050505702400.5120+SOT-89-3L 2SC2878A NPN40030050201520012000.330+TO-922SC2881NPN5008001201205802401120+SOT-89-3L 2SC2883NPN5001500303051003202120+SOT-89-3L 2SC2884NPN500800353051003200.5120+SOT-89-3L 2SC2983NPN10001500160160570240 1.5100+TO-251-3L 2SC2983NPN10001500160160570240 1.5100+TO-252-2L(4R) 2SC2983NPN20001500160160570240 1.5100+TO-220F2SC2999NPN400302520340200-450TO-92S2SC3052NPN150200505061508000.3180SOT-232SC3138NPN3505020020051202400.550SOT-23-3L 2SC3149NPN200050090080071040115+TO-220-3L 2SC3149M NPN1250600120080072435115+TO-1262SC3149S NPN1250600140080072430115+TO-1262SC3199NPN40015050505707000.2580TO-922SC3199NPN40015050505707000.2580TO-92S2SC3243NPN900100060606553000.3120+TO-92MOD 2SC3279NPN7502000301061406000.82150+TO-922SC3303NPN10005000100807702400.420+TO-251-3L 2SC3303NPN10005000100807702400.420+TO-252-2L(4R) 2SC3303NPN10005000100807702400.420TO-251S2SC3311A NPN300100605071604600.3150+TO-92S2SC3330NPN300200605061008000.3200+TO-92S2SC3415NPN500100300300539180250TO-922SC3420NPN15005000502081406001100+TO-126C2SC3421NPN125010001201205802401120+TO-126C2SC3437NPN15020040155402400.3200SOT-232SC3650NPN500120030251580032000.5220+SOT-89-3L 2SC3807NPN1200200030251580032000.5260+TO-126C2SC380TM NPN3005035304402400.4100TO-922SC388NPN3005030254202000.2300TO-922SC3930NPN150303020570220-150SOT-3232SC4003NPN10002004004005602000.670+TO-251-3L 2SC4003NPN10002004004005602000.670+TO-252-2L(4R) 2SC4081NPN200150605071205600.4180+SOT-3232SC4097NPN20050040325823900.4250+SOT-3232SC4098NPN2005040255562700.3150SOT-3232SC4102NPN2005012012051805600.5140+SOT-3232SC4115NPN5003000402061205600.5290+SOT-89-3L 2SC4115S NPN3003000402061205600.5290+TO-92S2SC4116NPN10015060505707000.2580SOT-3232SC4177NPN15010060505906000.3250SOT-3232SC4180NPN1505012012051359000.350SOT-3232SC4215NPN100204030440200-260SOT-3232SC4272NPN500100075455603200.6180SOT-89-3L 2SC4373NPN5008001201205802401120+SOT-89-3L 2SC4374NPN50040080805702400.4100+SOT-89-3L 2SC4375NPN5001500303051003202120+SOT-89-3L 2SC4544NPN2000100300300730200170+TO-220-3L 2SC4548NPN5002004004005602000.670+SOT-89-3L 2SC4617NPN150150605071205600.4180+SOT-5232SC4618NPN1505040255562700.3150SOT-5232SC4672NPN500200060506823900.35210+SOT-89-3L 2SC4738NPN100150605051207000.2580SOT-5232SC5171NPN2000200018018051003201200+TO-220F2SC5198NPN350010000140140555160230+TO-3P2SC5200NPN350015000230230555160330TO-3P2SC5287NPN35005000900550710250.56+TO-3P2SC5343NPN62515060505707000.2580TO-922SC5343NPN20015060505707000.2580SOT-232SC5344NPN625800353051003200.5120+TO-922SC5344NPN200800353051003200.5120+SOT-232SC5345NPN6252030204402400.3550+TO-922SC5345NPN3002030204402400.3550+SOT-232SC536NPN40010040305609600.5100+TO-922SC536N NPN625150605061605600.3200+TO-922SC536S NPN30010040305609600.5100+TO-92S2SC5585NPN150500151262706800.25320+SOT-5232SC5658NPN100150605071205600.4180+SOT-7232SC5785NPN50020002010740010000.12-SOT-89-3L 2SD0602NPN20050030255853400.6200+SOT-232SD0602A NPN20050060505853400.6200+SOT-232SD1005NPN5001000100805904000.5160+SOT-89-3L 2SD1037NPN350030000150120620-0.5 1.5+TO-3P2SD1119NPN5003000402572306001150+SOT-89-3L 2SD1247NPN10002500302561005600.4150+TO-92MOD 2SD1271A NPN200070001501007602600.530+TO-220F2SD1306NPN150700301552508000.5250+SOT-232SD1468NPN6251000301551205600.450TO-922SD1468S NPN3001000301551205600.450TO-92S2SD1499NPN20005000100100560200220+TO-220F2SD1513NPN6252000201661356500.4100TO-922SD1616NPN7501000605061356000.3100TO-922SD1616A NPN75010001206061356000.3100TO-922SD1616A NPN50010001206061356000.3100SOT-89-3L 2SD1664NPN500100040325823900.4150+SOT-89-3L 2SD1724*NPN125030001201006702800.4180TO-1262SD1757K NPN2005003015 6.51205600.4150+SOT-232SD1758NPN1200200040325823900.8100+TO-251-3L 2SD1758NPN1200200040325823900.8100+TO-252-2L(4R) 2SD1760NPN150030006050582390190+TO-251-3L 2SD1760NPN150030006050582390190+TO-252-2L(4R) 2SD1761NPN20003000806056032018+TO-220F2SD1762NPN200030006050560320190+TO-220-3L 2SD1766NPN500200040325823900.8100+SOT-89-3L 2SD1767NPN50070080805823900.4120+SOT-89-3L 2SD1781NPN200800403251203900.4150+SOT-232SD1782NPN200500808051203900.5120+SOT-232SD1802NPN10003000605061005600.5150+TO-251-3L 2SD1802NPN10003000605061005600.5150+TO-252-2L(4R) 2SD1815NPN100030001201006704000.4180+TO-251-3L 2SD1815NPN100030001201006704000.4180+TO-252-2L(4R) 2SD1815NPN200030001201006704000.4180+TO-220F2SD1819A NPN150100605071604600.3150+SOT-3232SD1835NPN7502000605061005600.4150+TO-922SD1898NPN5001000100805823900.4100+SOT-89-3L 2SD1899NPN10003000606071004000.25120+TO-252-2L(4R) 2SD1899-Z NPN10003000606071004000.25120+TO-251-3L 2SD1991A NPN400100605071604600.3150+TO-922SD1994A NPN625100060505853400.4200+TO-922SD2012NPN200030006060710032013+TO-220F2SD2012NPN200030006060710032013+TO-220-3L 2SD2012*NPN236060710032013+TO-263-2L 2SD2061NPN200030008060510032018+TO-220-3L 2SD2061NPN200030008060510032018+TO-220F2SD2097NPN6255000502061203901150+TO-922SD2098NPN5005000502061203901150+SOT-89-3L 2SD2114NPN25050025201282027000.4350+SOT-232SD2118NPN10005000502061203901150+TO-251-3L 2SD2118NPN10005000502061203901150+TO-252-2L(4R) 2SD2136NPN125030006060640250 1.230+TO-1262SD2136NPN125030006060640250 1.230+TO-126C2SD2137NPN200030006060670320 1.230TO-220-3L 2SD2137NPN200030006060670320 1.230+TO-220F2SD2137A NPN200030008080670320 1.230TO-220-3L 2SD2150NPN5003000402061805600.5290+SOT-89-3L 2SD2152NPN7003000222261809500.4150TO-922SD2153NPN50020003025656027000.5110+SOT-89-3L 2SD2391NPN5002000606061202700.35210+SOT-89-3L 2SD2413NPN500100400400530- 1.540+SOT-89-3L 2SD2470NPN4005000151082708200.5170+TO-92S2SD2583NPN10005000303061506000.5120+TO-1262SD313NPN17503000606054032018+TO-220-3L 2SD400NPN900100025255605600.3180+TO-92MOD 2SD400NPN750100025255605600.3180+TO-92L2SD468NPN900100025205852400.5190+TO-92MOD 2SD468NPN750100025205852400.5190+TO-92L2SD596NPN200700302551104000.6170SOT-232SD601A NPN200100605071604600.3150+SOT-232SD602NPN20050030255853400.6200+SOT-232SD602A NPN20050060505853400.6200+SOT-23 2SD667NPN9001000120805603201140+TO-92MOD 2SD667NPN9001000120805603201140+TO-92L2SD667A NPN90010001201005603201140+TO-92MOD 2SD667A NPN90010001201005602001140+TO-92L2SD668A NPN1000501801605602002140+TO-126C 2SD669NPN100015001801205603201140+TO-126 2SD669NPN100015001801205603201140+TO-126C2SD669A NPN100015001801605603201140+TO-1262SD669A NPN100015001801605602001140+TO-126C2SD669A NPN75015001801605603201140+TO-92L2SD669AL*NPN11000200170 6.51003200.9140+TO-126 2SD718NPN30008000120120555160 2.510+TO-3P 2SD789NPN90010001005061008000.3100+TO-92MOD 2SD789NPN75010001005061008000.3100+TO-92L 2SD794NPN100030007045560320260+TO-126C2SD794A NPN100030007060560320260+TO-126C 2SD874NPN500100030255853400.4200+SOT-89-3L 2SD874A NPN500100060505853400.4200+SOT-89-3L 2SD879NPN750300030106140-0.4200+TO-92 2SD880NPN15003000606076030013+TO-220-3L 2SD886NPN10003000505051004000.580+TO-126 2SD886NPN10003000505051004000.580+TO-126C 2SD965NPN7505000402072308001150+SOT-89-3L 2SD965A NPN7505000403072308001150+SOT-89-3L 2SD999NPN500100030255904000.4130+SOT-89-3L 3CA1837PNP150010002302305100320 1.530TO-220F3CA1943PNP300015000120120555160310TO-3P3CA2050PNP15001500180160660240150TO-220F 3CA753PNP12002000403051004002120+TO-251-3L 3CA753PNP12002000403051004002120+TO-252-2L(4R) 3CA772PNP1250300040306604000.550TO-1263CA8772PNP1250300040306604000.550TO-1263CG751PNP900150030305100400250TO-92MOD 3CG8551PNP7502000504051003201150TO-92L3DA4793NPN150010002302305100320 1.530TO-220F3DA5200A NPN300015000200200555160330+TO-3P3DA5200B NPN300015000160160555160330+TO-3P3DA5200C NPN300015000120120555160330+TO-3P3DA5371NPN15001500180160660240150TO-220F 3DA752NPN12002000403051004002120+TO-251-3L 3DA752NPN12002000403051004002120+TO-252-2L(4R) 3DA882NPN1250300040306604000.550TO-1263DD3853NPN20003000606076030015TO-220F3DG3332NPN62570018016061004000.4120+TO-923DG8051NPN7502000504051003201150TO-92L3DK2222A NPN625600754061003000.6300TO-923DK2222A NPN225600754061003000.6300SOT-23 8050S NPN62550040255854000.6150TO-92 8050SS NPN1000150040255853000.5100TO-92 8550S PNP62550040255854000.6150TO-92 8550SS PNP1000150040255853000.5100TO-92 9012S PNP62550040255644000.6150TO-92 9013S NPN62550040255644000.6150TO-92 A1015PNP40015050505704000.380TO-92A1015PNP200150505051304000.380SOT-23 A42NPN6255003103055802500.250TO-92 A42NPN50050031030551003000.250SOT-89-3L A44NPN6252004004005803000.350TO-92 A44NPN5003004004006502000.75-SOT-89-3L A733PNP25010060505906000.3100TO-92A733PNP200150605051204750.350SOT-23 A92PNP6255003103055802500.250TO-92 A92PNP50050031030551003000.250SOT-89-3L A94PNP6252004004005803000.350TO-92 A94PNP5003004004005803000.350SOT-89-3L B772PNP1250300040306604000.550TO-126CB772PNP1250300040306604000.550TO-251-3L B772PNP1250300040306604000.550TO-126B772PNP500300040306604000.550SOT-89-3L B772PNP1250300040306604000.550SOT-223B772M PNP1250300040306604000.550TO-252-2L(4R) B772S PNP625300040306604000.550TO-92BC212PNP350100605051406000.6200TO-92BC237NPN350100504561208000.6100+TO-92BC238NPN350100302551208000.8120+TO-92BC307PNP500100504551208000.6130+TO-92BC308PNP500100302551208000.6130+TO-92BC309PNP500100302551208000.6130+TO-92BC327PNP625800504551006300.7260TO-92BC328PNP625800302551006300.7260TO-92BC337NPN625800504551006300.7210TO-92BC338NPN625800302551006300.7210TO-92BC347NPN30010050455404500.3125TO-92BC350PNP30010050455404500.3125TO-92BC368NPN625100025205853750.565TO-92BC369PNP625100025205853750.565TO-92BC546NPN625100806561108000.3150TO-92BC547NPN625100504561108000.3150TO-92BC548NPN625100303051108000.3150TO-92BC556PNP625100806551208000.65150+TO-92BC557PNP625100504551208000.65150+TO-92BC558PNP625100303051208000.65150+TO-92BC635NPN830100045455402500.5100+TO-92BC636PNP830100045455632500.5100TO-92BC637NPN830100060605632500.5100+TO-92BC638PNP830100060605632500.5100TO-92BC639NPN8301000100805632500.5100+TO-92BC640PNP8301000100805632500.5100TO-92BC807PNP300500504551006000.7100SOT-23 BC807W PNP200500504551006000.780SOT-323 BC808PNP300800302551006300.7100+SOT-23 BC817NPN300500504551006000.7100SOT-23 BC817W NPN200500504551006000.7100SOT-323 BC818NPN300500302551006300.7170+SOT-23 BC846NPN200100806561104500.5100SOT-23 BC846W NPN150100806561104500.6100SOT-323 BC847NPN200100504561108000.5100SOT-23 BC847T NPN150100504561108000.6100SOT-523 BC847W NPN150100504561108000.6100SOT-323 BC848NPN200100303061108000.5100SOT-23BC848W NPN150100303051108000.6100SOT-323 BC856PNP200100806551254750.5100SOT-23 BC856W PNP150100806551254750.65100SOT-323 BC857PNP200100504551258000.5100SOT-23 BC857T PNP150100504561258000.65100SOT-523 BC857W PNP150100504551258000.65100SOT-323 BC858PNP200100303051258000.5100SOT-23 BC858W PNP150100303051258000.65100SOT-323 BC868NPN500100032205853750.540SOT-89-3L BC869PNP5001000322051003750.540SOT-89-3L BCP51PNP1500100045455632500.5100SOT-223 BCP52PNP1500100060605632500.5100SOT-223 BCP53PNP15001000100805632500.5100SOT-223 BCP54NPN1500100045455632500.5100SOT-223 BCP55NPN1500100060605632500.5100SOT-223 BCP56NPN15001000100805632500.5100SOT-223 BCP68NPN1000100032205853750.540SOT-223 BCP69PNP1000100032205853750.540SOT-223 BCW61PNP250100323251206300.55100SOT-23 BCW65*NPN225800603251006300.7100SOT-23 BCW66NPN200800754551006300.7100SOT-23 BCW68PNP330800604551006300.7200+SOT-23 BCX19NPN225500504551006000.62-SOT-23 BCX51PNP500100045455632500.550SOT-89-3L BCX52PNP500100060605632500.550SOT-89-3L BCX53PNP5001000100805632500.550SOT-89-3L BCX54NPN500100045455632500.5130SOT-89-3L BCX55NPN500100060605632500.5130SOT-89-3L BCX56NPN5001000100805632500.5130SOT-89-3L BCX69PNP800100025205853750.5100+SOT-89-3L BCX70J NPN250200454552504600.55100SOT-23 BCX70K NPN250200454553806300.55100SOT-23 BD034PNP125025001109571005600.53TO-126 BD034PNP90025001109571005600.53TO-92MOD BD135NPN1250150045455402500.5190+TO-126 BD136PNP1250150045455402500.5-TO-126 BD137NPN1250150060605402500.5190+TO-126 BD138PNP1250150060605402500.5-TO-126 BD139NPN1250150080805402500.5190+TO-126 BD140PNP1250150080805402500.5-TO-126 BD233NPN125020004545540-0.63TO-126 BD234PNP125025004545540-0.63TO-126 BD235NPN125020006060540-0.63TO-126 BD236PNP125020006060540-0.63TO-126 BD237NPN1250200010080540-0.63TO-126 BD238PNP1250200010080540-0.63TO-126 BD433NPN1250400022225853750.53TO-126 BD434PNP1250400022225853750.53TO-126 BD435NPN1250400032325853750.53TO-126 BD435NPN1250400032325853750.53TO-126C BD436PNP1250400032325853750.53TO-126 BD437NPN1250400045455853750.63TO-126 BD438PNP1250400045455853750.73TO-126 BD439NPN1250400060605404750.83TO-126 BD440PNP1250400060605404750.83TO-126 BD441NPN1250400080805404750.83TO-126BD442PNP1250400080805404750.83TO-126 BF240NPN3002540404672200.3150TO-92 BF370NPN5001004015 4.5402000.2500TO-92 BF420NPN830100300300550-0.660TO-92 BF421PNP830100300300550-0.660TO-92 BF422NPN830100250250550-0.660TO-92 BF423PNP830100250250550-0.660TO-92 BF483NPN830100300250520-0.670TO-92 BF485NPN830100350300520-0.670TO-92 BF487NPN830100400350520-0.670TO-92 BF620NPN50050300300550-0.660SOT-89-3L BF622NPN50050250250550-0.660SOT-89-3L BF820NPN25050300300550-0.660SOT-23 BF821PNP25050300300550-0.860SOT-23 BF822NPN25050250250550-0.660SOT-23 BF823PNP25050250250550-0.860SOT-23 BFS20NPN2502530204401200.3275SOT-23 BSR33PNP5001000908051003000.5100SOT-89-3L BSR43NPN5001000908051003000.5100SOT-89-3L BST39NPN500100400350540+-0.570SOT-89-3L BST40NPN500100300250540+-0.570SOT-89-3L C1815NPN40015060505707000.2580TO-92 C1815NPN200150605051304000.2580SOT-23 C945NPN40015060505707000.3200TO-92C945NPN200150605051304000.3150SOT-23CJ10P20DE6PNP35025002020515-0.35150SOT-23-6LCJ201NL NPN3001000302053000.25100SOT-23CJ303NL*NPN6253000503551004000.15100TO-92CJ303NL*NPN6253000503551004000.15100SOT-89-3LCJ303PL PNP5003000503551004000.4100SOT-89-3L CJ818B PNP350300*********-0.8-SOT-23-6L CJF715NPN500150014080580-0.550+SOT-89-3LCJL818C PNP3502000303051003000.35-SOT-23-6L CJN5616NPN 1.2511008051203000.5162TO-126 CJP718PNP1000600025207.5300-0.35150W B2×2-3L(P0.65/0.75 CXT5401PNP5005001601505603000.5100SOT-89-3L CXT5551NPN5006001801606803000.2100SOT-89-3L CZT31C NPN10003000100100510100 1.23SOT-223 CZT32C PNP10003000100100510100 1.23SOT-223CZT5401PNP10006001601505603000.5100SOT-223CZT5551NPN10006001801606802500.2100SOT-223 D882NPN1250300040306604000.590+TO-126 D882NPN1250300040306604000.550TO-126C D882NPN1250300040305604000.590+TO-251-3L D882NPN500300040306604000.550SOT-89-3L D882NPN1500300040306604000.550SOT-223D882H*NPN500300070706604000.550SOT-89-3L D882M NPN1250300040305604000.590+TO-252-2L(4R) D882S NPN625300040306604000.550TO-92D965NPN75050004222634020000.35150+TO-92 D965V NPN750500022156120020000.35150TO-92 FCX591PNP5001000806051003000.6150SOT-89-3L FMMT4124NPN330200302551203600.3300SOT-23 FMMT449NPN2001000503051003001150SOT-23 FMMT491NPN2501000806051003000.5150SOT-23 FMMT493NPN250100012010051003000.6150SOT-23FMMT591PNP2501000806051003000.6150SOT-23 FMMT593PNP250100012010051003000.350SOT-23 FMMT619NPN350200*********-0.22100SOT-23 FMMT720PNP350150*********-0.33150SOT-23 HM4033PNP500100*********-0.5100SOT-89-3L HM879NPN500300*********-0.4200+SOT-89-3L KSA1150PNP30050040205404000.4150TO-92S KSA1175PNP25015060505407000.350TO-92S KSA1182PNP15050035305702400.25200+SOT-23 KSA1220PNP125012001201205603200.7175+TO-126 KSA1220A PNP125012001601605603200.7175+TO-126 KSA539PNP40020060455402400.5-TO-92 KSA614F PNP2000300080555402400.5-TO-220F KSA642PNP40030030255704000.6-TO-92 KSA643PNP50050040205404000.4-TO-92 KSA708PNP80070080608402400.750+TO-92 KSA708PNP80070080608402400.750+TO-92L KSA910PNP800501501505402400.8100+TO-92MOD KSA916PNP9008001201205802401120+TO-92L KSA928A PNP10002000303051003202120+TO-92MOD KSA928A PNP7502000303051003202120+TO-92L KSA931PNP100070080608403200.7100+TO-92MOD KSA931PNP7507008060840320 1.2100+TO-92L KSB1151PNP12505000606071004000.3-TO-126 KSB564A PNP800100030255704000.5110+TO-92 KSB811PNP350100030255704000.5110+TO-92S KSC1730NPN2005030155402400.5800TO-92 KSC2316NPN9008001201205802401120+TO-92MOD KSC2316NPN9008001201205802401120+TO-92L KSC2328A NPN10002000303051003202120+TO-92MOD KSC2328A NPN7502000303051003202120+TO-92L KSC2330NPN10001003003007402400.550+TO-92MOD KSC2330NPN7501003003007402400.550+TO-92L KSC2331NPN100070080608402400.730TO-92MOD KSC2331NPN75070080608402400.730TO-92L KSC2690NPN125012001201205603200.7155+TO-126 KSC2690A NPN125012001601605603200.7155+TO-126 KSC2785NPN25015060505707000.3300+TO-92S KSC5019NPN7502000301061406000.5150+TO-92 KSC5021F NPN2000500080050071550115+TO-220F KSC815NPN40020060455404000.4100TO-92 KSD1020NPN350700302551204000.450TO-92S KSD1021NPN350100040305704000.5130+TO-92S KSD1408NPN200040008080540240 1.58+TO-220F KSD1691NPN13005000606071004000.3-TO-126 KSD1691NPN1300500060607100400 1.2-TO-126C KSD471A NPN800100040305704000.5130+TO-92 KTA1023PNP9008001201205802401120+TO-92L KTA1024PNP750501501505702400.8120+TO-92L KTA1042D PNP12505000100100570240230+TO-252-2L(4R) KTA1241PNP9005000352081003200.5170+TO-92L KTA1266PNP62515050505704000.380TO-92 KTA1267PNP40015050505704000.380TO-92S KTA1270PNP50050035305702400.25200+TO-92 KTA1271PNP625800353051003200.7120TO-92 KTA1273PNP5002000303051003202120+SOT-89-3L。
常用三极管代换默认分类2010-07-05 22:52:51 阅读627 评论0 字号:大中小订阅25"~29"机电源开关管2SC3688AST、2SD3683、2SC4111、2SD4706、2SC5148、2SC1547、2SD3927、2SD2500、2SD140334"~38"机行输出管2SD2500、2SD2553、2SD2253100Hz机行输出管2SC5144、2SC4288、2SC5422另附易损三极管,一般情况同种类可互换:常用枕校调制三极管型号有:NPN型:2SD1406、2SD1266、2SD880、2SD1052、2SD1499、2SD1761、2SD2012、3DD3852PNP型:BD242、2SA1668、2SA1930、2SB940常用待机开关三极管型号有:2SC2335、BUT11、3DD2335常用待机控制三极管型号有:2SA1013、2N5401三极管代换表2SA608 代换型号:2SA1015、2SA733 备注:小功率三极管2SB1443 代换型号:2SB892 备注:中功率三极管2SB764 代换型号:2SB892、2SA940、2SB774、2SB985 备注:中功率三极管2SB834 代换型号:2SB892、2SA940 备注:中功率三极管2SC1384 代换型号:2SD1846、2SC4075、2SD1913、2SD400 备注:中功率三极管2SC1809 代换型号:2SC2216、2SC1674、2SC388A 备注:预放管2SC1835 代换型号:2SC2621 备注:视放管2SC2383 代换型号:2SC2482、2SC3332 备注:激励管2SC3732 代换型号:BSX20、PH2369 备注:调谐管2SC3852A 代换型号:2SD1640 备注:中功率三极管2SC388A 代换型号:2SC1674、2SC2216 备注:预放管2SC4585 代换型号:2SC4237(需加绝缘片)备注:开关管2SC4706 代换型号:2SC4429 备注:开关管2SC536 2SC1815、2SC945 备注:小功率三极管2SCD2068 代换型号:2SC4544、2SC2688、2SC2482、KSC2330 、F431、2SC2621 备注:视放管2SD1406 代换型号:2SD2012、3DD880、2SC1499、2SC1913 备注:枕校管2SD1555 代换型号:2SD1879、2SD1886、2SD1887 备注:行管D2SD2500 代换型号:2SD1886、2SD2253、2SD2553、2SD1547、2SD1887 行管BD435 代换型号:2SC2073 备注:中功率三极管BD436 代换型号:2SA940 备注:中功率三极管BUH-515 代换型号:2SC1710、2SC4429、2SD1554、2SD2498 备注:电源管BUH-515D 代换型号:2SD1651、2SC1879、2SC1886、2SD2499、2SD1426 备注:行管2SD1406 代换型号:NPN型:2SD1406、2SD1266、2SD880、2SD1052、2SD1499、2SD1761、2SD2012、3DD3852 PNP型:BD242、2SA1668、2SA1930、2SB940 备注:枕校管。
Quality Products. Service Excellence.Toroid Power Transformers - 15 VA to 1500 VA 1182 SeriesFeaturesTorodial transformer benefits:low profilelightweightcool running / high efficiencydue to the core shape - low stray magnetic flux leakage (low EMI)Dual 117/234 VAC primary, 50/60 Hz. operation.Note: Units are designed to have all windings engaged (either series or parallelconnected) or connected as an autotransformer. Connection sheet included withtransformer. See Product Resources for Download.Supplied with two neoprene rubber insulating pads, one metal centering washer and allmounting hardware (except the 1,500 VA size).1,500 VA size - is supplied with a potted center for extra strength.Minimum 8" long flexible leadsManufactured using Class B (130 degree C) materials.Hi-Pot test of 4,000VAC RMS between primary & secondaryUL recognized to UL506 (XPTQ2.Guide) UL file #E207860CSA certified to C22.2 #66 - CSA file #209651CE compliant to IEC 61558-2-4This series replaces our older 182 Toroid Series.Note about Inrush Current:Due to the superior magnetic properties of Toroidal transformers they will be susceptibleto high magnetizing current when initially energized, only limited by the low DC resistanceof the primary winding. Depending on where you are in the AC cycle when thetransformer is energized dictates the chances of overloading the supply circuit. This iswhy the transformer may sometimes energize without a problem and other times it willblow the fuse or trip the circuit breaker. The duration of this overload is rarely longer thana half of a cycle. Therefore, you should consider using a slow-blow fuse, time delayedcircuit breaker or other form of soft start circuitry for the supply line when using these highefficient Toroidal transformers.Gallery1182K615********************Dual12.41%Open A 1182L630************6V @ 5A Dual11.70%Open B 1182N650*********************Dual12.60%Open C 1182Q680**********************Dual9.70%Open D 1182H915**********************Dual11.42%Open A 1182K930*********************Dual12.80%Open B 1182M950*********************Dual13.20%Open C 1182N980*********************Dual10.50%Open D 1182Q9120**********************Dual9.00%Open E 1182K1230*********************Dual11.70%Open B 1182L1250**********************Dual12.60%Open C 1182M1280**********************Dual9.70%Open D 1182P1212024V C.T. @ 5A12V @ 10A Dual7.70%Open E 1182Q12160***********************Dual7.70%Open F 1182S12225***********************Dual7.20%Open G 1182T12300*************12V @ 25A Dual7.10%Open H 1182W121000**********************Dual 2.20%Open L-1 1182J153030V C.T. @ 1A15V @ 2A Dual12.30%Open B 1182K1550**********************Dual13.00%Open C 1182M1580**********************Dual10.20%Open D 1182N1512030V C.T. @ 4A15V @ 8A Dual8.50%Open E 1182P15160***********************Dual7.00%Open F 1182H15225************15V @ 15A Dual7.20%Open G 1182S1530030V C.T. @ 10A15V @ 20A Dual 5.00%Open H 1182F1815***********************Dual11.7%Open A 1182H1830**********************Dual12.20%Open B 1182J1850**********************Dual13.80%Open C 1182L1880**********************Dual10.50%Open D 1182M18120**********************Dual7.70%Open E 1182N18160**********************Dual7.70%Open F 1182G18225**********************Dual7.30%Open G 1182G2230**********************Dual12.60%Open B 1182J2250**********************Dual14.20%Open C 1182L2280**********************Dual10.40%Open D 1182M22120**********************Dual8.40%Open E1182N22160**********************Dual8.40%Open F 1182P22225***********************Dual 6.40%Open G 1182S24500************************Dual 5.10%Open I 1182T24625************************Dual 3.30%Open J 1182U24750************************Dual 3.60%Open L 1182V241000**********************Dual 2.20%Open L 1182K3080**********************Dual9.70%Open D 1182L3012060V C.T. @ 2A30V @ 4A Dual7.70%Open E 1182M30160**********************Dual7.70%Open F 1182F30225*********************Dual 6.30%Open G 1182P3030060V C.T. @ 5A30V @ 10A Dual 6.10%Open H 1182R30500***********************Dual 4.80%Open I 1182S30625************************Dual 4.10%Open J 1182T30750*************30V @ 25A Dual 3.10%Open K 1182T30P750*************30V @ 25A Dual 3.10%Potted K1182T601500120V C.T. @12.50A60V @ 25A Dual 2.91%Open M1182U301000**********************Dual 2.20%Open L 1182V40P1500**********************Dual 3.70%Potted MPart No.VAVAC Secondary (RMS)Dual or Single% Voltage Toroid Dim. Series Parallel Secondary Regulation Center Ref1182L60300*************60V @ 5A Dual 6.10%Open H 1182N60500***********************Dual 4.80%Open I 1182P60625************************Dual 4.10%Open J 1182Q60750***********************Dual 4.10%Open K 1182R601000**********************Dual 2.80%Open L 1182T60P1500**************60V @ 25A Dual 3.00%Potted M 1182L90225**********************Dual Open1182D11015**************************Dual11.9%Open A 1182E11030220V C.T. @ 136ma110V @ 272ma Dual13.10%Open B 1182G11050220V C.T. @ 227ma110V @ 454ma Dual14.10%Open C 1182H11080220V C.T. @ 364ma110V @ 728ma Dual10.50%Open D 1182J110120220V C.T. @ 545ma**********Dual8.40%Open E 1182K110160220V C.T. @ 727ma**********Dual8.00%Open F 1182L110225************************Dual 6.10%Open G 1182M110300************************Dual 6.10%Open H 1182P110500************************Dual 4.70%Open I 1182Q110625************************Dual 3.70%Open J 1182R110750************************Dual 3.10%Open K 1182S1101000**********************Dual 3.20%Open L 1182U110P1500***********************Dual 1.90%Potted M 1182E11730234V C.T. @ 128ma117V @ 256ma Dual12.40%Open B 1182G11750234V C.T. @ 214ma117V @ 428ma Dual13.40%Open C 1182H11780234V C.T. @ 342ma117V @ 684ma Dual10.00%Open D 1182J117120234V C.T. @ 513ma**********Dual8.00%Open E 1182K117160234V C.T. @ 684ma**********Dual7.60%Open F 1182L117225************************Dual 6.00%Open G 1182M117300************************Dual 5.80%Open H 1182N117500************************Dual 4.70%Open I 1182P117625************************Dual 3.80%Open J 1182Q117750************************Dual 3.60%Open K 1182R1171000***********************Dual 3.00%Open L 1182R117P1000***********************Dual 3.00%Potted L 1182T117P1500***********************Dual 2.10%Potted M 1182D24030-240V @ 125ma Single12.30%Open B 1182E24050-240V @ 208ma Single13.10%Open CPart No.VAVAC Secondary (RMS)Dual or Single% Voltage Toroid Dim. Series Parallel Secondary Regulation Center Ref1182F24080-240V @ 333ma Single9.90%Open D 1182G240120-*********Single7.90%Open E 1182H240160-240V @ 667ma Single7.70%Open F 1182J240225-**********Single 5.80%Open G 1182K240300-**********Single 5.80%Open H 1182L240500-**********Single 4.80%Open I 1182M240625-*********Single 3.70%Open J 1182N240750-**********Single 3.60%Open K 1182P2401000-**********Single 2.80%Open L 1182Q2401500-*********Single 2.30%Open M 1182Q240P1500-*********Single 2.30%Potted MMechanical & Schematic DataDimension VA OutsideHeight Inside Potted Included Mounting WeightReference Size Diameter Diameter Center Hardware(lbs.)(kg.) A15 2.65 1.20 1.25No10-24 x 1.75" bolt, with metal centering washer, nut, lockwasher & two (2) rubber insulating pads0.750.35 B30 3.00 1.25 1.50No10-24 x 1.75" bolt, with metal centering washer, nut, lockwasher & two (2) rubber insulating pads 1.10.5 C50 3.25 1.50 1.25No10-24 x 2.00" bolt, with metal centering washer, nut, lockwasher & two (2) rubber insulating pads 1.50.7 D80 3.50 1.50 1.60No10-24 x 2.00" bolt, with metal centering washer, nut, lockwasher & two (2) rubber insulating pads 2.11 E120 3.75 1.63 1.45No10-24 x 2.00" bolt, with metal centering washer, nut, lockwasher & two (2) rubber insulating pads3 1.3F160 4.25 1.75 1.70No 1/4-20 x 2.50" bolt, with metal centering washer, nut, lockwasher & two (2) rubber insulatingpads3.8 1.7G225 4.50 1.88 1.62No 1/4-20 x 2.50" bolt, with metal centering washer, nut, lockwasher & two (2) rubber insulatingpads4.7 2.1H300 4.88 1.88 1.85No 1/4-20 x 2.50" bolt, with metal centering washer, nut, lockwasher & two (2) rubber insulatingpads6 2.7I500 5.50 2.25 2.30No 1/4-20 x 3.00" bolt, with metal centering washer, nut, lockwasher & two (2) rubber insulatingpads9 4.1J625 5.88 2.38 2.45No 1/4-20 x 3.00" bolt, with metal centering washer, nut, lockwasher & two (2) rubber insulatingpads10.8 4.9K750 5.88 2.88 2.45No 3/8-16 x 3.50" bolt, with metal centering washer, nut, lockwasher & two (2) rubber insulatingpads12.9 5.8L1000 6.25 2.88 2.35No 3/8-16 x 3.50" bolt, with metal centering washer, nut, lockwasher & two (2) rubber insulatingpads16.37.4L-11000 6.85 3.402No 3/8-16 x 3.50" bolt, with metal centering washer, nut, lockwasher & two (2) rubber insulatingpads16.37.4M15007.25 3.25Potted Yes3/8-16 x 3.50" bolt, with nut, lockwasher & one (1) rubber bottom insulating pad23.210.5N15007.40 3.502No 3/8-16 x 3.50" bolt, with metal centering washer, nut, lockwasher & two (2) rubber insulatingpads24.7511.2Additional Hardware Kits:Part No.Additional Hardware Kit Metal WasherRubber Washer (included with transformers)DiameterSteelFor Use With Gauge Diameter Thickness1182KIT3030VA Models 10-24 x 1.75" bolt, with metal centering washer, nut, lockwasher & two (2)rubber insulating pads2.3718 2.500.061182KIT5050VA, 80VA & 120VA Models 10-24 x 2.00" bolt, with metal centering washer, nut, lockwasher & two (2)rubber insulating pads2.3718 2.500.061182KIT160160VA, 225VA & 300VA Models 1/4-20 x 2.50" bolt, with metal centering washer, nut, lockwasher & two (2)rubber insulating pads3.5616 3.750.061182KIT500500VA & 625VA Models 1/4-20 x 3.00" bolt, with metal centering washer, nut, lockwasher & two (2)rubber insulating pads4.3016 4.750.091182KIT750750VA & 1,000VA Models 3/8-16 x 3.50" bolt, with metal centering washer, nut, lockwasher & two (2)rubber insulating pads4.3016 4.750.091182KIT1500P1,500VA Models3/8-16 x 4.00" bolt, nut & lockwasher N/A N/AData subject to change without noticePart No.Additional Hardware Kit Metal WasherRubber Washer(included with transformers)Diameter SteelFor Use WithGauge Diameter Thickness 1182KIT1500Heavy Duty - Upgrade Kit1,500VA Models3/8-16 x 4.50" bolt, with metal centering washer, nut, lockwasher & two (2)rubber insulating pads4.30166.000.12© 2021. Hammond Manufacturing Ltd. All rights reserved.。
2SB1051罗姆AF-20 2SB1052松下PA252SB1053松下AF-40 2SB1054松下PA60-100 2SB1055松下PA-120 2SB1056松下PA-140 2SB1057松下PA-150 2SB1058日立LF PA-16 2SB1059日立LF PA-55 2SB106日电AF.PA-30 2SB1060日立AF-55 2SB1061日电15-300 2SB1062松下AF-10 2SB1063松下PA40-100 2SB1064罗姆LF PA-40 2SB1065罗姆LF PA-40 2SB1066罗姆AF.PA-40 2SB1066M罗姆PA-40 2SB1067东芝10-80 2SB1068日电LF PA-16 2SB1069松下AF.PA-40 2SB1069A松下LV.SW-40 2SB107日电AF.PA-30 2SB1070松下LV SW25-40 2SB1070A松下LV SW25-40 2SB1071松下LV SW25-40 2SB1071A松下LV SW25-40 2SB1072日立AF.PA-100 2SB1072L日立MS PA20-80 2SB1072S日立MS PA20-80 2SB1073松下LF A1-30 2SB1074松下AF.PA-100 2SB1075松下AF.PA-20 2SB1076罗姆PA-24 2SB1076M罗姆LF PA-24 2SB1077日立LF PA40-60 2SB1078日立AF-120 2SB1078K日立LF PA40-120 2SB1079日立LF PA100-100 2SB107A日电AF.PA-602SB108日电PA-402SB10822SB10832SB10842SB1085罗姆LF PA20-100 2SB1085A罗姆LF PA20-120 2SB1086罗姆LF PA10-100 2SB1086A罗姆LF PA10-120 2SB1087日电30-100 2SB1088日电PA.SW-100 2SB1089日电LF PA30-60 2SB108A日电PA-60 2SB108B日电PA-80 2SB109日电PA-40 2SB1090日电LF PA40-100 2SB1091日立AF.PA-60 2SB1092日立AF.PA-80 2SB1093日电-80 2SB1094日电LF PA15-60 2SB1095日电LF PA20-100 2SB1096日电TV Vout25-150 2SB1097日电30-60 2SB1098日电20-100 2SB1099日电25-100 2SB109A日电PA-60 2SB109B日电PA-80 2SB110日电AF-62SB1100日电30-100 2SB1101日立LF PA40-60 2SB1102日立LF PA40-60 2SB1103日立LF PA40-60 2SB1104日立LF PA40-60 2SB1105日立LF PA30-120 2SB1106日立LF PA40-120 2SB1107日立AF.PA-120 2SB1108松下MS SW50-120 2SB1109日立LF HV A-140 2SB111日电AF-62SB1110日立LF HV A-160 2SB1111日电10-40 2SB1112日立AF.PA-120 2SB1113日立AF.PA-120 2SB1114日电LF PA2-16 2SB1115日电LF PA2-60 2SB1115A日电LF PA2-80 2SB1116日电-60 2SB1116A日电-60 2SB1117日电-30 2SB1118三洋LF PA 1.3-15 2SB1119三洋LF PA 1.3-20 2SB112日电AF-62SB1120三洋PD 1.3-162SB1130罗姆AF.PA-100 2SB1130AM罗姆PA-120 2SB1130M罗姆PA-100 2SB1131三洋PSW/PD-20 2SB1132罗姆PA1-20 2SB1133三洋LF PA25-40 2SB1134三洋PSW/PD25-40 2SB1135三洋PSW/PD30-40 2SB1136三洋PSW/PD30-40 2SB1137日电LS PSW65-100 2SB11382SB11392SB114日电PA-62SB1140三洋PSW/PD10-20 2SB1141三洋LF PA10-15 2SB1142三洋10-50 2SB1143三洋10-40 2SB1144三洋10-100 2SB1145日立AF.PA-120 2SB1146日立AF.PA-120 2SB1147日立AF.PA-120 2SB1148松下LV SW15-40 2SB1148A松下LV SW15-50 2SB1149日电LF PA15-100 2SB115日电PA-62SB1150日电LF PA15-40 2SB1151日电20-50 2SB1152松下AF.PA-160 2SB1153松下AF.PA-170 2SB1154松下PSW70100 2SB1155松下PSW80-100 2SB1156松下AF.PA-100 2SB1157松下AF.PA-100 2SB1158松下AF.PA-120 2SB1159松下AF.PA-140 2SB116日电PA-62SB1160松下AF.PA-150 2SB1161松下AF.PA-160 2SB1162松下AF.PA-160 2SB1163松下AF.PA-170 2SB1164日电AF.PA-60 2SB1165三洋PSW/PD20-402SB1166三洋PSW/PD20-402SB1170松下PA152SB1171松下15-200 2SB1171A松下15-200 2SB1172松下LF PA152SB1172A松下LF PA152SB1173松下LF PA152SB1173A松下LF PA152SB1174松下PSW15-100 2SB1175松下PSW15-100 2SB1176松下PSW15-100 2SB1177松下PSW15-100 2SB1178松下LF PA15-60 2SB1178A松下LF PA15-80 2SB1179松下PA/SW15-60 2SB1179A松下PA/SW15-80 2SB118松下PA-14 2SB1180松下MS PSW15-60 2SB1180A松下MS PSW15-60 2SB1181罗姆LF PA10-60 2SB1181F5罗姆LF PA10-60 2SB1182罗姆LF PA10-20 2SB1182F5罗姆LF PA10-20 2SB1183罗姆LF PA10-24 2SB1183F5罗姆LF PA10-24 2SB1184罗姆LF PA15-40 2SB1184F5罗姆LF PA15-40 2SB1185罗姆LF PA25-40 2SB1186罗姆LF PA20-100 2SB1186A罗姆LF PA20-120 2SB1187罗姆AF.PA-50 2SB1188罗姆PA2-20 2SB1189罗姆PA2-50 2SB119松下PA-14 2SB1190松下AF.PA-200 2SB1190A松下PA/TV-200 2SB1191松下25-200 2SB1191A松下25-200 2SB1192松下25-200 2SB1192A松下25-200 2SB1193松下MS SW50-120 2SB1194松下PSW30-100 2SB1195松下AF.PA-100 2SB1196日立AF.PA-50 2SB1197罗姆AF.PA-20 2SB1198罗姆AF.PA-50 2SB1199罗姆AF.PA-12 2SB12富士通AF-302SB120富士通AF-122SB1201三洋PSW/PD15-50 2SB1202三洋PSW/PD15-40 2SB1203三洋PSW/PD20-40 2SB1204三洋PSW/PD20-40 2SB1205三洋PSW/PD10-20 2SB1206松下AF-10 2SB1207松下LV A-10 2SB1208松下LF A-20 2SB1209松下LF A-400 2SB121富士通SW-2.5 2SB1210罗姆AF.PA-16 2SB1211罗姆AF.PA-16 2SB1212罗姆AF.PA-120 2SB1213日立AF.PA-120 2SB1214三洋PD15-60 2SB1215三洋PSW/PD20-100 2SB1216三洋PSW/PD20-100 2SB1217日电10-60 2SB1218松下AF-20 2SB1218A松下G A-20 2SB1219松下G A-20 2SB1219A松下G A-20 2SB122东芝SW-12 2SB1220松下HV LN A-100 2SB1221松下G A-120 2SB1222松下SW-30 2SB1223三洋PD20-40 2SB1224三洋PD25-40 2SB1225三洋PD30-40 2SB1226三洋PD20-80 2SB1227三洋PD25-80 2SB1228三洋PD30-80 2SB1229三洋PSW/PD-50 2SB123东芝SW-40 2SB1230三洋PSW100-100 2SB1231三洋PSW120-100 2SB1232三洋PSW150-100 2SB1233松下PA15-200 2SB1233A松下PA15-200 2SB1234三洋PD-60 2SB1235三洋PD-60 2SB1236罗姆PA-100 2SB1237罗姆PA-20 2SB1238罗姆PA-50 2SB1239罗姆LF PA-24 2SB124东芝SW-12 2SB1240罗姆PA-20 2SB1241罗姆AF-60 2SB1242罗姆AF-30 2SB1243罗姆PA-40 2SB1244日立LF HV A-1402SB1245日立LF HV A-1602SB1261-Z日电10-60 2SB1262日立AF.PA-60 2SB1263日立AF.PA-60 2SB1264松下G A-120 2SB1265松下AF-400 2SB1266三洋LF PA30-40 2SB1267三洋PSW/PD30-40 2SB1268三洋PSW/PD30-40 2SB1269三洋PSW/PD40-40 2SB127松下PA-14 2SB1270三洋PSW/PD30-80 2SB1271三洋PSW/PD40-80 2SB1272罗姆LF PA/D10-100 2SB1273三洋LF PA30-40 2SB1274三洋LF PA20-40 2SB1275罗姆AF.PA-120 2SB1276罗姆LN A-30 2SB1277罗姆PA-20 2SB1278罗姆PA-50 2SB1279罗姆AF-12 2SB128松下PA-14 2SB1280日立AF.PA-120 2SB1281日立AF.PA-120 2SB1282LS SW252SB1283LS SW302SB1284LS SW352SB1285LF SW1002SB1286罗姆25-100 2SB1287罗姆20-100 2SB1288松下-10 2SB1289罗姆40-80 2SB128A松下PA-14 2SB129松下PA-142SB1290罗姆30-802SB1298罗姆AF-20 2SB1299松下PA40-60 2SB129A松下PA-14 2SB13富士通AF-30 2SB130松下PA-14 2SB1300日电-20 2SB1301日电2-20 2SB1302三洋PSW/PD 1.3-20 2SB1303三洋PD10-80 2SB1304日立AF.PA-80 2SB1305罗姆AF-20 2SB1306罗姆-20 2SB1307罗姆AF-20 2SB1307M罗姆1-20 2SB1308罗姆AF-20 2SB1309罗姆AF.PA-50 2SB131富士通PA-30 2SB1310罗姆AF.PA-24 2SB1311罗姆AF.PA-20 2SB1312罗姆PA-50 2SB1313罗姆PA-50 2SB1314三菱LF PA15-50 2SB1315日电LF PA65-120 2SB1316罗姆LF PA/D10-100 2SB1317松下PA150-180 2SB1318日电LF PA-100 2SB1319松下LF PA-10 2SB131A富士通PA-30 2SB132富士通PA-30 2SB1320松下AF-20 2SB1320A松下G A-20 2SB1321松下AF-20 2SB1321A松下LF A/ D-20 2SB1322松下PA-20 2SB1322A松下LF PA-20 2SB1323三洋Motor D-30 2SB1324三洋Motor D-30 2SB1325三洋Motor D-20 2SB1326罗姆1-20 2SB1327三菱AF.PA-50 2SB13282SB13292SB13302SB13312SB13322SB1333罗姆LF PA/ D-1002SB1335罗姆30-80 2SB1335A罗姆G302SB13362SB1337罗姆AF.PA-150 2SB1338罗姆AF.PA-150 2SB1339罗姆PD402SB134三菱AF.LN-25 2SB1340罗姆PD302SB1341罗姆PD352SB1342罗姆PD302SB1343罗姆PD402SB1344罗姆PD302SB1345罗姆AF.PA-100 2SB1346三洋LF PA30-40 2SB1347松下PA120-160 2SB1348日立LF HV A-140 2SB1349日立LF HV A-160 2SB135三菱AF-25 2SB13502SB1351PSW-60 2SB1352PSW-60 2SB1353罗姆HV D2SB1354罗姆AF.PA-60 2SB1355罗姆G2SB1356罗姆G2SB1357罗姆SW2SB1358罗姆G2SB1359罗姆D2SB136三菱PA-25 2SB1360罗姆G2SB1361松下PA100-150 2SB1362松下PA100-150 2SB1363日立AF.PA-350 2SB1364日立AF-20 2SB1365日立LF PA1-16 2SB1366韩国电子PA.SW-60 2SB1367韩国电子PA-100 2SB1368韩国电子PA-80 2SB1369罗姆G402SB136A2SB137三菱PA-20 2SB1370罗姆G302SB1371松下PA70-120 2SB1372松下PA80-140 2SB1373松下PA120-160 2SB13742SB1375东芝LF PA25-60 2SB1376松下G PA-20 2SB1377松下LF PA-20 2SB1378松下LF PA-252SB13792SB1381东芝PSW/PD30-100 2SB1382PSW-120 2SB1383PSW-120 2SB13842SB13852SB1386罗姆-20 2SB1387日立LF PA1-100 2SB1388三洋PD45-80 2SB1389日立LF PA25-50 2SB1390日立LF PA25-50 2SB1391日立MS PSW25-100 2SB1392日立LF PA25-60 2SB1393松下PA252SB1393A松下PA252SB1394三洋Motor D-30 2SB1395三洋-12 2SB1396三洋 1.3-12 2SB1397三洋Motor D-20 2SB1398松下LF PA1-10 2SB1399日立LF PA30-100 2SB14富士通LN-30 2SB140索尼PA-40 2SB1400日立LF PA25-100 2SB1401日立LF PA25-300 2SB1402日立LF PA25-100 2SB1403日立LF PA25-100 2SB1404日立LF PA25-100 2SB1405三洋G D-40 2SB1406三洋G D-40 2SB1407L/S日立LF PA18-35 2SB14082SB1409L/S日立LF PA18-160 2SB141索尼PA-60 2SB14102SB14112SB14122SB1413松下LF PA-20 2SB1414松下LF PA/D2SB1415松下LF.A-25 2SB1416松下PA2SB1417松下PA152SB1417A松下PA152SB1418松下PA15-60 2SB1418A松下PA15-80 2SB1419松下LF PA120-160 2SB142索尼PA-30 2SB1421松下LF PA80-140 2SB1422松下LF.PA-25 2SB14232SB1424罗姆LF PA-202SB14252SB1428罗姆LF PA-20 2SB14292SB143索尼PA-30 2SB1430日电20-100 2SB1431日电25-100 2SB1432日电30-100 2SB1433日立LF A-40 2SB1434松下LF PA-20 2SB1435松下LF PA-20 2SB14362SB1437松下LF.A-50 2SB1438松下LF A-50 2SB1439松下LF A-50 2SB144索尼PA-30 2SB1440松下LF A2SB14412SB14422SB14432SB14442SB14452SB1446松下LF A-20 2SB1447松下LF A-20 2SB1448LS SW652SB1449三洋PSW30-40 2SB145索尼PA-30 2SB1450三洋PSW40-40 2SB1451三洋PSW30-80 2SB1452三洋PSW40-80 2SB14532SB1454三洋PSW25-80 2SB1455三洋PSW30-80 2SB1456松下LF.A-75 2SB14572SB14582SB1459日立LF A-65 2SB146索尼PA-30 2SB14602SB14612SB1462松下G A-20 2SB1463松下LF HV A-100 2SB1464松下MS SW25-60 2SB1465日电25-300 2SB1466日立LF PA100-80 2SB1467三洋PSW20-40 2SB1468三洋PSW25-40 2SB1469松下PA100-160 2SB147索尼PA-50 2SB1470松下PA150-160 2SB1471三洋PD30-40 2SB1472三洋PD35-402SB1473松下LF A2SB14772SB14782SB14792SB148东芝SW-12 2SB14812SB14822SB1483日电-50 2SB1484日电-100 2SB14852SB14862SB14872SB1488松下PSW-400 2SB1489松下SW-400 2SB149东芝SW-12 2SB1490松下PA100-160 2SB14912SB1492松下PA70-130 2SB1493松下PA70-160 2SB1494日立LF PA120-100 2SB14952SB1496罗姆G2SB14972SB1498松下PSW15-600 2SB14992SB15富士通AF-60 2SB150东芝SW-105 2SB1500松下PA45-100 2SB1501松下PA50-110 2SB1502松下PA60-120 2SB1503松下PA120-160 2SB1504松下PSW-50 2SB1505日立LF A /SW-24 2SB15062SB1507三洋PSW40-40 2SB1508三洋PSW45-40 2SB1509三洋PSW50-40 2SB151富士通SW-30 2SB1510三洋D-60 2SB1511三洋PSW40-40 2SB15122SB15142SB15152SB1516罗姆LF PA10-80 2SB15172SB1518日立LF A /SW-24 2SB1519日立HV A-40 2SB152富士通SW-30 2SB1520日立HV A-65 2SB15222SB1522K罗姆-122SB15252SB15262SB15272SB15282SB1529松下PA150-180 2SB152A富士通SW-100 2SB153日立AF-12 2SB1530日立LF PA20-120 2SB1531松下PA50-130 2SB1532富士电机PA402SB15332SB15342SB1535罗姆LF PA10-100 2SB1536松下LF A-10 2SB15372SB15382SB15392SB154日立PA-12 2SB15402SB1541松下LF A-20 2SB1542松下LF A-20 2SB1543松下PA2SB1544松下LF A-40 2SB1545松下LF A-75 2SB15462SB15482SB15492SB155日立AF-12 2SB15502SB15512SB15522SB15532SB15542SB15552SB15562SB15572SB15582SB1559LFA802SB156日立PA-12 2SB1560LFA1002SB15612SB15622SB15632SB15642SB15652SB15662SB15672SB15682SB15692SB156A日立PA-202SB157松下AF-22SB15712SB15722SB15732SB15742SB15752SB15762SB15772SB1578日电-50 2SB15792SB158松下AF-2 2SB15802SB15812SB15822SB15832SB15842SB15852SB15862SB1587LFA752SB1588LFA802SB15892SB159松下AF-2 2SB15902SB15922SB15932SB15942SB15952SB15962SB15972SB15982SB15992SB16富士通PA-5 2SB160松下PA-2 2SB16002SB16012SB16022SB16032SB16042SB16052SB16062SB16072SB16092SB161日电PA-6 2SB16102SB16112SB16122SB16132SB16142SB16152SB16162SB16172SB16182SB16192SB1621LFA2002SB1622LFA852SB16232SB1624LFA602SB1625LFA602SB1626LFA302SB16272SB16282SB16292SB163日电PA-6 2SB16302SB16312SB16322SB16332SB16342SB16352SB16362SB16372SB16382SB16392SB164日电PA-6 2SB16402SB16412SB16422SB165日电PA-6 2SB166日电PA-6 2SB168富士通AF-9 2SB169富士通PA-9 2SB16A富士通PA-5 2SB17富士通PA-5 2SB170松下AF-10 2SB171松下AF-10 2SB172松下PA-10 2SB173松下LN-10 2SB174松下PA-12 2SB175松下AF-10 2SB176松下PA-10 2SB177松下PA-10 2SB178松下PA-12 2SB178A松下PA-12 2SB179东芝AF-30 2SB17A富士通PA-5 2SB18富士通PA-5 2SB180富士通PA-40 2SB180A富士通PA-30 2SB181富士通PA-60 2SB181A富士通PA-30 2SB183日立AF-12 2SB184日立PA-12 2SB185三洋PA-202SB186三洋PA-202SB19富士通PA-52SB190冲AF-25 2SB191冲AF-25 2SB192冲AF-25 2SB193冲AF-25 2SB194冲AF-25 2SB195冲AF-25 2SB196冲AF-30 2SB197冲AF-50 2SB198冲AF-70 2SB199富士通PA-12 2SB20富士通PA-52SB200东芝PA-12 2SB201东芝SW-12 2SB202东芝PA-12 2SB203新电元PA-40 2SB204新电元PA-40 2SB205新电元PA-80 2SB206新电元PA-80 2SB207新电元PA-100 2SB208新电元PA-100 2SB209新电元PA-40 2SB21富士通PA-52SB210新电元SW-40 2SB211新电元SW-80 2SB212新电元SW-80 2SB213新电元SW-100 2SB214新电元SW-100 2SB215三洋SW-12 2SB216三洋PA-12 2SB217三洋PA-12 2SB218日电SW-50 2SB219日电PA-25 2SB219A日电PA-25 2SB22三洋PA-20 2SB220日电PA-25 2SB220A日电PA-25 2SB221日电PA-25 2SB221A日电PA-25 2SB222日电PA-25 2SB222A日电PA-25 2SB223日电PA-25 2SB223A日电PA-25 2SB224日电PA-30 2SB225日电PA-30 2SB226日电PA-30 2SB227日电PA-30 2SB228日立PA-802SB229日立PA-1002SB265东芝SW-12 2SB266通用AF-12 2SB267通用PA-122SB268三菱PA-252SB271三洋PA-12 2SB272三洋PA-12 2SB273三洋PA-12 2SB274日立PA-80 2SB275日立SW-120 2SB276日立SW-120 2SB277松下LN-22SB278松下AF-10 2SB279松下AF-10 2SB28东芝PA-15 2SB280松下AF-10 2SB281松下AF-10 2SB282松下SW-0.5 2SB283松下SW-0.5 2SB284松下SW-0.5 2SB285松下SW-0.5 2SB286松下SW-14 2SB287松下SW-14 2SB288松下SW-10 2SB289松下SW-10 2SB29东芝PA-15 2SB290东芝LN-12 2SB291东芝AF-12 2SB292东芝PA-12 2SB292A东芝PA-12 2SB293通用PA-12 2SB294通用AF-12 2SB295富士通SW-100 2SB296东芝SW-50 2SB2972SB2982SB299通用SW-12 2SB30东芝PA-15 2SB300东芝PA-12 2SB301东芝PA-12 2SB302日立LN-10 2SB303三洋LN.AF-15 2SB304富士通SW-30 2SB304A富士通SW-35 2SB3052SB306东芝SW-105 2SB3072SB3082SB309松下PA-0.5 2SB31东芝PA-15 2SB310松下SW-0.5 2SB311松下SW-0.5 2SB312松下SW-0.52SB313松下SW-0.52SB326日电PA-30 2SB327日电PA-30 2SB328日电PA-15 2SB329日电PA-15 2SB33富士通PA-12 2SB330日电SW-50 2SB331日立SW-40 2SB332日立SW-60 2SB333日立SW-80 2SB334日立SW-100 2SB335松下AF-10 2SB336松下PA-10 2SB337日立PA-30 2SB338日立PA-30 2SB339日立PA-30 2SB34富士通PA-12 2SB340日立PA.SW-30 2SB341日立PA.SW-30 2SB342三洋PA.SW-120 2SB343三洋PA.SW-150 2SB3442SB345松下AF-10 2SB346松下AF-10 2SB347松下LN-10 2SB348松下LN-10 2SB349三洋AF-10 2SB350三洋PA-10 2SB351富士通SW-40 2SB352富士通SW-60 2SB353富士通SW-80 2SB354富士通SW-100 2SB355三菱PA-12 2SB356三菱PA-50 2SB357三菱PA-50 2SB358三菱PA-80 2SB359三菱SW-80 2SB360三菱SW-80 2SB361日立PA-40 2SB362日立PA-302SB363日电SW-1402SB37富士通PA-30 2SB370日立PA-12 2SB370A日立PA-12 2SB371松下PA-10 2SB372三洋PA-20 2SB373三洋PA-20 2SB374三洋PA-20 2SB375三洋SW-150 2SB376松下PA-12 2SB377索尼LN-32 2SB378索尼AF.PA-18 2SB378A索尼AF.PA-23 2SB378B索尼AF.PA-23 2SB379索尼AF.PA-18 2SB379A索尼AF.PA-23 2SB379B索尼AF.PA-23 2SB38富士通PA-30 2SB380索尼AF.PA-18 2SB380A索尼AF.PA-23 2SB381索尼AF.PA-32 2SB382索尼AF.PA-32 2SB383索尼PA-32 2SB384通用AF-12 2SB385通用PA-12 2SB386三菱SW2SB387日立AF-12 2SB3882SB389富士通LN-12 2SB39富士通LN-10 2SB390三洋PA.SW-15 2SB391三洋PA.SW-50 2SB392冲AF.SW-12 2SB393冲AF.SW-12 2SB394冲AF.SW-12 2SB395冲AF.SW-12 2SB396冲AF.SW-12 2SB397冲SW-12 2SB398冲SW-100 2SB399冲SW-100 2SB40东芝SW-12 2SB400三洋LN-10 2SB401松下SW-10 2SB402松下SW-10 2SB403松下SW-10 2SB404三洋SW-100 2SB405三洋PA-202SB406三洋SW-302SB427富士通SW-45 2SB428富士通PA-45 2SB429日电PA-30 2SB43东芝PA-12 2SB430松下PA-70 2SB431富士通PA-12 2SB432富士通PA.SW-40 2SB433富士通SW-30 2SB434东芝PA-30 2SB434G东芝25-40 2SB435东芝PA-30 2SB435G东芝25-40 2SB436冲AF-12 2SB437冲AF-12 2SB438冲AF-12 2SB439东芝AF-12 2SB43A东芝PA2SB44东芝AF-12 2SB440东芝LN-12 2SB441日立PA-30 2SB442日立SW-30 2SB443日立AF.LN-12 2SB444日立AF.LN-12 2SB445富士通PA-12 2SB446富士通PA-12 2SB447富士通PA.SW-50 2SB448松下PA-32 2SB449松下PA-14 2SB450通用PA-122SB451三菱PA-122SB453三菱PA.SW-25 2SB454三菱PA.SW-80 2SB455三菱PA.SW-105 2SB456富士通PA.SW-80 2SB457三菱PA-12 2SB457A三菱PA-12 2SB458三菱PA-12 2SB458A三菱PA-12 2SB458B三菱PA-50 2SB459日立AF.LN-20 2SB46东芝AF-12 2SB460日立AF.LN-20 2SB461东芝PA-12 2SB462东芝PA-12 2SB463东芝PA-12 2SB464东芝PA-12 2SB465东芝PA-12 2SB466富士通PA-30 2SB467富士通PA-30 2SB468日立SW-30 2SB4692SB47东芝LN-25 2SB470富士通AF-20 2SB471日立PA-30 2SB472日立PA-30 2SB473松下PA-10 2SB474三洋PA-25 2SB475松下PA-12 2SB476松下PA-20 2SB477三菱PA.SW-30 2SB478三菱PA.SW-60 2SB479三菱PA.SW-80 2SB48索尼AF.PA-16 2SB480三菱PA.SW-100 2SB481松下PA-32 2SB482东芝AF-12 2SB483新电元PA.SW-80 2SB484新电元PA.SW-100 2SB485新电元PA.SW-140 2SB486东芝AF.LN-12 2SB487富士通PA-12 2SB488富士通PA-12 2SB4892SB49索尼AF.PA-16 2SB4902SB491三洋2SB492三洋PA-20 2SB493松下PA.SW-40 2SB494三菱PA-12 2SB495三菱PA-122SB496日立PA-252SB50索尼AF.PA-16 2SB5002SB5012SB502东芝PA-50 2SB502A东芝25-110 2SB503东芝PA-50 2SB503A东芝LF.PA-110 2SB504日电PA.SW-60 2SB504A东芝LF.PA-60 2SB505日电PA.SW-60 2SB506日电PA.SW-100 2SB506A日电LF.PA-150 2SB507三洋LF PA30-20 2SB508三洋LF PA30-20 2SB509三洋PA-20 2SB51索尼PA-25 2SB510日电PA.SW-60 2SB511三洋LF PA10-20 2SB512松下PA-20 2SB512A2SB513松下PA-20 2SB513A2SB514三洋PA-20 2SB515三洋PA-20 2SB516日立PA-12 2SB5172SB518索尼PA-50 2SB519索尼PA-50 2SB52索尼PA-25 2SB520索尼PA-50 2SB521索尼PA-50 2SB522索尼PA-50 2SB523三菱PA-25 2SB524三菱PA-25 2SB525三菱PA-25 2SB526三菱PA-25 2SB527三菱PA-25 2SB528三菱PA-25 2SB529三菱PA-25 2SB53索尼PA-30 2SB530东芝PA-50 2SB531东芝PA-50 2SB532松下PA-50 2SB533松下PA-20 2SB534日立PA-12 2SB535日立PA-12 2SB536日电20-120 2SB537日电20-120 2SB538日立PA-652SB539日电PA-1202SB544三洋-20 2SB5452SB546日电PA-150 2SB546A日电TV Vout25-150 2SB547日电PA-150 2SB547A日电TV Vout25-150 2SB548日电LF PA10-80 2SB549日电LF PA10-80 2SB55东芝PA-25 2SB550日电25-80 2SB551日立PA-20 2SB552东芝150-150 2SB553东芝PSW/PA40-70 2SB554东芝PA150-90 2SB555东芝PA-60 2SB556东芝PA-60 2SB557东芝PA-60 2SB558东芝PA-50 2SB559三洋8-15 2SB56东芝PA-30 2SB560三洋LF PA-20 2SB561日立LF PA-20 2SB562日立LF PA-20 2SB563日电PA.SW-70 2SB564日电LF PA-30 2SB565日立PA-20 2SB566日立PA-20 2SB566AK日立40-50 2SB566K日立40-50 2SB567日立PA-120 2SB568日立PA-120 2SB569莫托罗PA-40 2SB56A东芝PA-25 2SB57富士通AF-30 2SB570莫托罗PA-60 2SB571莫托罗PA-80 2SB572莫托罗PA-40 2SB573莫托罗PA-60 2SB574莫托罗PA-80 2SB575莫托罗PA-40 2SB576莫托罗PA-60 2SB577莫托罗PA-80 2SB578莫托罗PA-70 2SB579莫托罗PA-60 2SB58富士通AF-12 2SB580莫托罗PA-80 2SB581莫托罗PA-1002SB582莫托罗PA-602SB584莫托罗PA-1002SB585莫托罗PA-602SB586莫托罗PA-802SB587莫托罗PA-502SB588莫托罗PA-802SB589莫托罗PA-1002SB59富士通SW-302SB5902SB5912SB5922SB5932SB5942SB595东芝PA40-1002SB596东芝PA30-802SB5972SB598三洋-202SB599日电PA-2002SB60富士通AF-122SB600日电PA-2002SB601日电30-1002SB6022SB603日电15-5002SB604松下PA-702SB605日电LF PA-602SB606富士通SW-2002SB607松下PA-102SB608日立PA-1202SB609日立PA VCE-80 2SB60A富士通AF-122SB61富士通AF-302SB6102SB611日立PA-1202SB611A2SB612日立PA-1602SB612A2SB613日立PA-2202SB6142SB615三菱2SB616日电PA-802SB616A2SB617日电PA-1002SB618日电PA-1202SB619松下PA-102SB62东芝PA-122SB620松下PA-102SB621松下LF A-202SB621A松下LF A-202SB622三肯PA-4002SB6232SB624日电LF A-302SB625松下PA-602SB626松下PA-702SB63东芝PA-12 2SB630日电PA-150 2SB631三洋8-50 2SB631K三洋8-50 2SB632三洋10-20 2SB632K三洋10-20 2SB633三洋40-40 2SB634三洋PA-80 2SB635松下AF-10 2SB636松下PA-10 2SB637日立AF-18 2SB637(K)2SB637K日立LF A-18 2SB638日立PA-100 2SB638(H)2SB638H日立LF PA80-100 2SB639日立PA-100 2SB639(H)2SB639H日立LF PA100-100 2SB64东芝PA-12 2SB640松下PA-12 2SB641松下PA-20 2SB642松下G A-20 2SB643松下G A-20 2SB644松下G A-20 2SB645东芝PA-100 2SB646日立LF HV A-100 2SB646A日立LF HV A-100 2SB647日立LF PA-100 2SB647A日立LF PA-100 2SB648日立LF HV A-160 2SB648A日立LF HV A-160 2SB649日立LF PA20-160 2SB649A日立LF PA20-160 2SB65富士通SW-30 2SB650日立PA-100 2SB650(H)2SB650H日立LF PA100-100 2SB6512SB6522SB653日立PA-100 2SB653A日立PA-100 2SB654日立PA-100 2SB654A日立PA-100 2SB655日立PA-140 2SB655A日立PA-140 2SB656日立PA-140 2SB656A日立PA-140 2SB6572SB6582SB66日立AF-30 2SB6602SB6612SB6622SB6632SB6642SB6652SB6662SB6672SB668松下PA-60 2SB668A松下PA-60 2SB669松下PA-70 2SB669A松下PA-80 2SB67日立PA-12 2SB6702SB6712SB6722SB673东芝PSW/PD40-100 2SB674东芝PSW/PD40-80 2SB675东芝PSW/PD40-60 2SB676东芝30-100 2SB677东芝25-60 2SB678东芝PA .SW-100 2SB679东芝10-100 2SB68日立SW-2.5 2SB6802SB681东芝PA-100 2SB682三菱PA-100 2SB683三菱PA-100 2SB6842SB685三菱PA-110 2SB686东芝PA60-100 2SB6872SB688东芝PA80-120 2SB689日立PA-80 2SB69东芝PA-12 2SB690日立PA-80 2SB691松下PA-80 2SB692松下PA-100 2SB693日立SW.PA-80 2SB693(H)2SB693H日立125-80 2SB694日立PA-80 2SB694(H)2SB694H日立125-80 2SB695松下PA-120 2SB696三洋PA-80 2SB697三洋PA-80 2SB698三洋-20 2SB699日立PA-120 2SB70松下AF-102SB700日立PA-1202SB705日电PA-140 2SB705A日电PA-140 2SB705B日电PA-140 2SB706日电PA-180 2SB706A日电PA-180 2SB707日电40-60 2SB708日电40-60 2SB709松下AF-10 2SB709A松下G A-20 2SB71松下AF-10 2SB710松下G A-20 2SB710A松下G A-20 2SB711三肯PA-80 2SB712三肯PA-100 2SB713松下PA-140 2SB714松下PA-20 2SB715日立LF HV A-80 2SB716日立LF HV A-100 2SB716A日立LF HV A-100 2SB717日立PA-140 2SB718日立PA-160 2SB719日立PA-140 2SB720日立PA-160 2SB721日立PA-20 2SB722日立PA-140 2SB723日立PA-160 2SB724松下PA-20 2SB725松下AF-10 2SB726松下G A-10 2SB727日立SW-120 2SB727(K)2SB727K日立MS PSW40-120 2SB7282SB7292SB73日立LN-10 2SB7302SB731日电10-50 2SB7322SB733日电LF PA-16 2SB734日电LF PA-50 2SB7352SB736日电LF A-60 2SB736A日电LF A-80 2SB737罗姆LN A-30 2SB738日立LF PA-162SB739日立LF PA-162SB741日立LF PA-55 2SB742日电PA-16 2SB743日电PA.SW-30 2SB744松下LF LN A-10 2SB744A日电LF PA/D10-45 2SB745松下LF LN A-10 2SB745A2SB746日立PA-18 2SB747松下PA-80 2SB748松下PA/SW35-80 2SB748A日立PA-80 2SB749日立PA-100 2SB749A日立PA-100 2SB75日立AF-30 2SB750松下PA.SW-60 2SB750A2SB750B松下PA.SW-100 2SB751松下PA.SW-60 2SB751A2SB751B松下PA.SW-100 2SB7522SB7532SB754东芝PSW/PA60-50 2SB7542SB755东芝PA-150 2SB757富士电机80-40 2SB758东芝PSW/PA40-100 2SB758A松下PA/SW40-80 2SB759松下AF.RF-10 2SB759A松下AF-10 2SB75A日立AF-45 2SB76日立AF-12 2SB760松下PA-60 2SB760A松下PA-80 2SB760B2SB761松下PA-60 2SB761A松下LF.PA2SB761B松下PA-100 2SB762日电LF PA/D10-45 2SB762A2SB762B松下PA-100 2SB763松下PA-60 2SB763A松下PA-80 2SB763B松下PA-100 2SB764三洋Reg/D/-50 2SB765日立SW-120 2SB765K日立MS PSW30-120 2SB766松下LF PA1-20 2SB766A松下LF PA1-20 2SB767松下LF PA1-202SB768日电20-1502SB77日立PA-25 2SB7702SB7712SB772日电10-30 2SB773日电PA-90 2SB773A日电PA-100 2SB774松下LF A-10 2SB775三洋LF PA60-40 2SB776三洋LF PA70-80 2SB777富士电机80-80 2SB778富士电机AF.PA-120 2SB779松下LF A-25 2SB77A日立PA-45 2SB78日立PA-12 2SB780松下AF-20 2SB781日立PA-50 2SB782日立PA-50 2SB783日立PA-60 2SB7842SB7852SB786罗姆LF PA5-24 2SB787日立AF.PA-100 2SB788松下HV LN A-50 2SB789松下LF PD12SB789A松下LF PD12SB79日立PA-30 2SB790松下LF A-25 2SB791日立SW-120 2SB791K日立MS PSW40-120 2SB792松下HV LN A-100 2SB792A松下HV LN A-100 2SB793松下LF PA1-20 2SB793A松下LF PA1-20 2SB794日电10-60 2SB795日电10-60 2SB796日电PA-200 2SB7972SB798日电LF PA2-30 2SB799日电LF PA2-60 2SB80日立PA-12 2SB800日电LF A2-80 2SB801日电AF-30 2SB802日电AF-30 2SB803日电AF-30 2SB804日电LF A2-100 2SB805日电LF PA2-100 2SB806日电LF PA2-120 2SB807松下AF-100 2SB808三洋LV PA-15 2SB8092SB81日立PA-502SB810日电LF A-302SB812松下PA-602SB812A松下PA-802SB813三洋-402SB814松下AF.LN-502SB815三洋LF A-152SB816三洋LF PA80-802SB817三洋LF PA100-802SB818日立AF.PA-100 2SB819松下LF PA1-202SB82日立PA-502SB820日电PA-300 2SB821罗姆LN A-302SB822罗姆PA-202SB823三洋PA-402SB824三洋PA-402SB825三洋40-402SB826三洋40-402SB827三洋60-402SB828三洋80-402SB829三洋PA.SW-402SB83日立PA-402SB830日立PA-162SB831日立LF A-202SB832索尼SW.PA-1000 2SB833东芝PSW150-802SB834东芝LF PA30-602SB835松下LF PA1-102SB836日立PA-252SB837日立PA-352SB837L日立LF.PA-352SB837S日立LF.PA-352SB838日立PA-502SB839日立PA-802SB84日立PA-602SB840日立PA-160 2SB841日立PA-160 2SB841L日立LF.PA-160 2SB841S日立LF.PA-160 2SB842日立PA-160 2SB843日立AF.PA-202SB844日立PA-100 2SB845日立PA-100 2SB846日立PA-202SB8472SB848日电PA-100 2SB8482SB849日电LF PA80-120 2SB849A日电LF PA80-120 2SB85日立PA-402SB850富士电机50-402SB850A富士电机PA502SB851罗姆PA-502SB861日立30-120 2SB862富士电机30-120 2SB863东芝PA100-140 2SB864日立-18 2SB865三洋PD-40 2SB8662SB867松下PA.SW-100 2SB868松下PA.SW-100 2SB869松下PA.SW-100 2SB87日立PA-80 2SB870松下PA.SW-100 2SB871松下PA.SW-40 2SB871A松下LV SW40-50 2SB872松下PA.SW-60 2SB872A松下MS SW45-80 2SB873松下LF PA-10 2SB874日立LF PA20-80 2SB875日立AF.PA-80 2SB876日立AF.PA-100 2SB877日立AF.PA-100 2SB878日立AF.PA-160 2SB879日立AF.PA-160 2SB88日立PA-100 2SB880三洋PD30-40 2SB881三洋PD35-40 2SB882三洋PD40-40 2SB883三洋PD70-40 2SB884三洋PD30-80 2SB885三洋PD35-80 2SB886三洋PD40-80 2SB887三洋PD70-80 2SB888三洋PD-40 2SB889罗姆LF PA5-50 2SB89日立PA-25 2SB890罗姆AF-30 2SB891罗姆LF PA5-20 2SB892三洋PSW-50 2SB893三洋PD-20 2SB894松下AF-10 2SB895松下AF-25 2SB895A松下AF-402SB896松下PA.SW-402SB929A松下LF PA352SB93松下AF-20 2SB930松下LF PA402SB930A松下LF PA402SB931松下PSW30-100 2SB932松下PSW35-1002SB933松下PSW40-1002SB941A松下LF PA352SB942松下LF PA402SB942A松下LF PA402SB943松下PSW30-100 2SB944松下PSW35-100 2SB945松下PSW40-100 2SB946松下PSW40-100 2SB947松下LV SW35-40 2SB947A松下LV SW35-50 2SB948松下LV SW40-40 2SB948A松下LV SW40-40 2SB949松下PA/SW35-60 2SB949A松下PA/SW35-80 2SB95东芝PA-30 2SB950松下PA/SW40-60 2SB950A松下PA/SW40-80 2SB951松下MS SW45-60 2SB951A松下MS SW45-80 2SB952松下LV SW30-40 2SB952A松下LV SW30-50 2SB953松下LV SW30-40 2SB953A松下LV SW30-50 2SB954松下PA302SB954A松下PA302SB955日立PA120 2SB955A2SB955K日立PSW50-120 2SB956松下LF PA1-10 2SB957日立PA-80 2SB958日立PA-80 2SB959日立PA-100 2SB96松下PA-10 2SB960日立PA-100 2SB9612SB962日电10-30 2SB962Z2SB962-Z日电10-302SB963日电8-602SB963-Z日电8-60 2SB964日电PA-60 2SB965日电LF PA70-120 2SB966日电LF PA80-120 2SB967松下LF PA20-10 2SB968松下PA-20 2SB969日电PA-100 2SB97东芝LN-30 2SB970松下LF A-10 2SB971松下PA-10 2SB972日立AF-52SB973日立AF-52SB974日电30-100 2SB975日电40-100 2SB976松下-10 2SB977松下AF-25 2SB977A松下LF.A-25 2SB978日立AF-30 2SB979松下AF.PA-100 2SB98日电AF-62SB980松下AF.PA-120 2SB981松下AF.PA-140 2SB982松下AF.PA-150 2SB983新电元SW-40 2SB984日电LF PA-100 2SB985三洋-40 2SB986三洋10-40 2SB987松下LF A2SB988韩国电子AF.PA-60 2SB989韩国电子AF.PA-80 2SB99日电AF-62SB9902SB991三洋AF.PA-80 2SB992东芝PA.SW-100 2SB993东芝PA.SW-70 2SB994东芝PA-60 2SB995东芝PA-100 2SB996东芝PA-80 2SB997东芝-100 2SB998东芝-802SB999东芝-6085240-2-0.5-0.3-1.1-0.8-0.08200*-2 85240-2-0.5-0.3-1.1-0.8-0.08200*-2 100320-2-0.1-0.3-1.2-1-0.1150*-2 100320-2-0.1-0.6-1.2-1-0.1150*-2 5000-2-14000-2-13000-4-382390-3-0.1-0.4-0.5-0.05100*-10 1000-3-0.5-1.5-0.6-0.0012150*-6 82390-5-0.5-0.8-2-0.2100*-582390-3-0.5-0.8-2-0.2100*-5 30-5-0.03-2.5-1.5-0.05-0.00570*-30 5000-3-1200030000-3-1-2-2.5-1.5-0.0015250-2-0.1250-2-0.160200-5-0.5-1.7-3-0.39*-5 40240-5-1-2-4-0.45*-5 40240-5-0.5-1.7-3-0.39*-5 70240-1-1-0.5-1.4-4-0.410*-4 70240-1-1-0.4-1.2-4-0.410*-4 200015000-3-3-1.5-2.5-3-0.006200015000-3-3-1.5-2.5-3-0.006200015000-3-3-1.5-2.5-3-0.0065000-2-12000-2-1-1.5-2-3-0.00660320-5-0.15-1-0.5-0.05140*-5 60200-5-0.15-1-0.5-0.05140*-5 60320-5-0.15-1-0.5-0.0560200-5-0.15-1-0.5-0.05110-5-0.170-1-0.0585340-10-0.15-0.6-0.3-0.0385340-10-0.15-0.6-0.3-0.035000-3-8100020000-3-8-3-3.5-15-0.155000-3-5100020000-3-5-3-3.5-10-0.1120-5-15000-2-155300-1-0.5-0.5-0.5-0.025100*-6 180700-5-0.002-0.6-0.02-0.00270200-5-0.3-1.5-1.2-0.5-0.0515*-5 40200-5-0.5-1.5-2-2-0.220*-5 40200-5-0.5-1.5-2-3-0.320*-5 70-1-0.05400-2-0.1180-3-0.1180-3-0.1180-3-0.1120-5-0.01135-5-0.0160320-5-0.012000100000-3-0.5-2-2-0.5-0.001300-10-0.00270-2-0.290625-2-2-1-3-0.1120*-6 180-3-0.140250-4-1-2-2-0.2150-10-0.00540200-5-1-2-3-0.320*-5 100-5-1100-5-1100-5-1100320-2-0.1-0.3-1-0.180*-2 100320-2-0.1-0.6-1-0.165*-2 70-2-0.2220-2-0.1150030000-1.5-0.1-1.5-2-0.1-0.000215*-1.5 200-2-0.540200-5-1-2-3-0.320*-5 60320-3-0.5-1-1.5-2-0.270*-5 56390-3-0.5-1-1.5-2-0.270*-5 120-3-0.556390-3-0.5-1-1.5-2-0.270*-5 2000-2-1-1.5-2-1-0.00150*-2 135650-2-0.1-0.5-1.2-1.5-0.075100-10 120-2-140260-2-170-2-160260-2-1-0.5-1.5-2-0.1150*-5 60260-2-1-0.5-1.5-2-0.1150*-5 60260-2-1-0.5-1.5-2-0.1150*-5 60260-2-1-0.5-1.5-2-0.1150*-5 3000-3-2100020000-3-2-3-3.5-4-0.04100020000-3-2-3-3.5-4-0.0490315-2-2-1-3-0.1120*-6 100-50-0.005200-5-120000-3-0.51000-3-0.5-1.5-0.6-0.0012150*-6 100020000-3-2-3-3.5-4-0.045000-3-4100020000-3-4-3-3.5-8-0.08100020000-3-10-3-3.5-20-0.0270-2-170-2-0.260320-5-0.1-2-1.5-1-0.150*-5 60200-5-0.1-2-1.5-1-0.150*-5 56390-5-0.1-2-1.5-1-0.150*-5 56270-5-0.1-2-1.5-1-0.150*-5 200020000-2-2-1.5-2-2-0.0026000-2-1040200-5-0.5-1.5-2-2-0.220*-5 70-2-0.270-2-0.270-2-0.240200-5-0.5-1.5-2-3-0.320*-5 5000-3-410000-3-1200030000-2-1-1.5-2-1-0.00140200-5-0.5-1.5-2-2-0.220*-5 40200-5-0.5-1.5-2-3-0.320*-5 40200-10-0.4-1-0.5-0.055*-10 40200-1-3-0.5-1.5-5-0.5200020000-2-2-1.5-2-2-0.002200015000-2-3-1.5-2-3-0.00370-2-0.270-2-0.2100030000-2-10-1.5-2.2-10-0.025100020000-3-2-3-3.5-4-0.04100020000-3-2-3-3.5-4-0.04100020000-3-4-3-3.5-8-0.08100020000-3-4-3-3.5-8-0.08100020000-3-5-3-3.5-3-0.03100020000-3-3-3-3.5-6-0.065000-3-5100020000-3-4-3-3.5-8-0.0860320-5-0.01-2-0.03-0.003140*-5 60320-5-0.01-2-0.03-0.003140*-5 200030000-2-1-1.5-2-1-0.0015000-3-35000-3-4135600-2-0.1-0.5-1.2-1.5-0.05180*-10 135600-2-0.1-0.3-1.2-1-0.0580-2 135400-2-0.1-0.3-1.2-1-0.0580-2 135600-2-0.1-0.3-1.2-1-0.0570-2 135400-2-0.1-0.3-1.2-1-0.0570-2 135600-2-1-0.3-1.2-2-0.2100-5 140560-2-0.05-0.12-1.2-0.1-0.01250*-10 100560-2-0.05-0.7-1.2-0.5-0.05180*-10 100560-2-0.5-0.45-1.5-0.15250*-10100560-2-0.1-0.5-1.2-0.5-0.05150*-10 100560-2-0.1-0.7-1.2-1-0.05150*-10 100560-2-0.1-0.7-1.2-2-0.1150*-10 5000-2-0.05-1.2-2-0.1-0.0001170*-5 4000-2-0.5-1.5-2-0.5-0.0005120*-10 100400-2-0.5-0.5-1.3-3-0.06320*-5 5000-2-110000-2-1180-5-0.156270-5-0.1-2-1.5-1-0.150*-5 56390-5-0.1-2-1.5-1-0.150*-5 100400-2-0.5-0.5-1.3-3-0.06320*-5 82390-3-0.1-0.5-0.5-0.05150*-5 70280-5-0.5-1-2-0.240*-5 70280-2-1-0.4-3-0.330*-5 70280-2-1-0.4-4-0.410*-5 70280-2-1-0.4-6-0.610*-5 100030000-2-10-1.5-2.2-10-0.02565-1-0.02100400-2-0.5-0.5-1.3-3-0.06320*-5 70400-2-0.1-0.4-1.2-0.5-0.05150*-10 100400-2-0.1-0.5-1.2-1-0.05140*-10 100560-2-0.1-0.7-1.2-2-0.1150*-10 100400-5-0.1-0.5-1.2-0.5-0.05100*-10 5000-3-1.55000-3-35000-3-460260-2-3-0.6-1.5-10-0.33100*-10 60260-2-3-0.6-1.5-10-0.33100*-10 200015000-2-1.5-1.2-2-1.5-0.001585-1-0.02200015000-2-1.5-1.2-2-1.5-0.0015100400-1-2-0.3-1.2-2-0.2110-5-1110-5-160260-2-3-1.5-2.5-10-130*-10 60260-2-3-1.5-2.5-15-1.525*-10 120-2-3100-5-1100-5-1100-5-1110-1-0.02100-5-1130-5-1130-5-1130-5-1300-2-0.170400-2-0.5-0.55-1.3-3-0.15130*-5 70400-2-0.5-0.5-1.3-4-0.2130*-5。
用三极管做一个led灯闪烁的电路外围器件越少越复杂越好体能提供个原理图和任务原理啊之五兆芳芳创作
这个是多谐振荡器,三极管,电容,电阻,LED都是左右对称的.三极管,LED随便用什么,电容,电阻辨别用47uF,10K,这个是改动闪烁快慢的参数,电源3V,5V都行,电源越高,闪烁越快.自己亲自试验过,100%可行.频率为3Hz左右.
答复
通电瞬间,由于电路参数的微小差别,和正反应使一支管子饱和另一支截止.出现一个暂稳态.假定 VT1导通,VT2截止,那么此时VT1集电极其-,Rb2给Cb2充电,当电压充到0.5-0.7时,VT2基极正偏,VT2导通,VT2集电极其-,导致VT1基极正反应为-,此时电路产生翻转,出项另一个暂稳态,即VT2导通,VT1截止.不竭循环往复,便形成了自激振荡,.振荡周期: T=T1+T2=0.7(RB2*C1+RB1*C2)=1.4RB*C,振荡频率:
F=1/T=0.7/RB*C。