最新3-7-一阶线性方程与常数变易法汇总
- 格式:doc
- 大小:46.50 KB
- 文档页数:7
常数变易法详细步骤
嘿,朋友们!今天咱来唠唠常数变易法的详细步骤。
这玩意儿啊,就像是解开难题的一把神奇钥匙。
咱先说说啥是常数变易法。
简单来讲,就是在面对一些比较棘手的方程或问题时,我们通过巧妙地改变一些常数,来找到解决问题的途径。
就好比走一条陌生的路,得找个特别的标志来指引方向。
那具体咋操作呢?首先得有个基础的方程或表达式吧。
然后呢,咱就大胆地对其中的常数进行一些变动。
这可不是瞎变哦,得有一定的思路和技巧。
就像做菜,调料放对了,味道才好。
比如说,遇到一个微分方程,咱就可以试着把某个常数换成一个未知函数。
这就好像给原本平淡无奇的画面添上一抹鲜艳的色彩,一下子就生动起来了。
然后呢,通过一系列的运算和推导,逐步找到这个未知函数的具体形式。
你想想,这多有意思啊!就像在玩一个解谜游戏,每一步都充满了惊喜和挑战。
而且,这种方法特别灵活,能应对各种不同类型的问题。
再打个比方,常数变易法就像是给一辆汽车换上合适的轮胎,让它能在不同的路况下都跑得稳稳当当。
它不是死板的,而是充满了变化和可能。
在实际运用中,可不能马虎。
得仔细分析问题,找到关键的地方下手。
有时候可能会遇到一些困难,但别怕呀,咱就一步步来,就不信搞不定它!
总之呢,常数变易法是个非常实用的工具,能帮我们解决很多难题。
只要咱认真去学,用心去体会,就一定能掌握它的精髓。
大家加油哦,让我们一起在数学的海洋里畅游,用常数变易法这把钥匙打开更多知识的大门!不用它,那不是太可惜了吗?相信自己,一定能行!。
一阶线性微分方程的解法摘 要: 本文给出一阶线性微分方程与贝努利方程的一种有别于现行教材的解法。
同时给出一阶线性微分方程()()dyP x y Q x dx=+在条件()()()Q x kP x Q x dx =⎰下的解,文章简化了微分方程求解的常数变易法。
一、一阶线性微分方程1 一阶微分方程的常用解法—常数变易法 对于一阶线性微分方程:()()y P x y Q x '+=(1.1)我们所使用的《高等数学》教材中,都介绍了同一种解法—常数变易法。
即先求出(1.1)所对应的齐次方程 ()0y P x y '+=(1.2) 的通解:()P x dxy Ce -⎰= (1.3)(其中C 为任意常数),然后将通解(1.3)中的任意常数变易为待定函数()C x得到 ()()P x dxy C x e -⎰= (1.4)为了确定函数()C x ,把(1.4)代人方程(1.1),整理得:()()()C x e P x dx Q x '-=⎰在求出 ()C x ,()1()()P x dxC x Q x e dx C ⎰=+⎰1C 为任意常数,将求出的()C x 的表达式代回(1.4)中,就得到了方程(1.1)的通解:()()(())P x dxP x dxy e C Q x e dx -⎰⎰=+⎰ (1.5)这里将任意常数仍写为C 。
这是现行课本上所介绍的微分方程求解的常数变易法,它相当简洁,掌握起来也觉得得心应手。
但问题在于,人们往往又觉得它过于巧妙,不仅会问:你怎么想到把任意常熟C变易为待定函数()C x 呢?为了解决这一问题,1我从另一角度用常数变易法来求解一阶线性微分方程(1.1),可以从这种解法中部分的回答上述的疑问。
[收稿日期]:[作者简介]:朱灵科..(1981---).男,汉族.甘肃省庄浪人. 陇东学院数学系数学教育04级专科(1)班学生.设(1.1)的通解为 ()()y u x v x = (1.6) 则 y u v uv '''=+ (1.7) 将(1.6) (1.7)代人(1.1),整理得:(())()u v u v P x v Q x ''++= (1.8)令()0v P x v '+=,这是一个可分离变量方程,也就是方程(1.1)所对应的齐次方程,求出其中一个特解,()1()P x dx v x e -⎰=代人到(1.8),则有()()P x dxu e Q x -⎰'=,求出其通解:()()()P x dxu x Q x e dx C ⎰=+⎰所以,(1.1)的通解为:1()()y u x v x =()()(())P x dxP x dxe C Q x e dx -⎰⎰=+⎰ (1.5)显然,这与通常的常数变易法所得的结果是相同的,但不会使我们感到解法过于巧妙。
常数变易法求解常微分方程常数变易法是采用求解常微分方程的一种重要方法,被普遍运用于应用数学中。
本文主要就常数变易法求解常微分方程,提出一些观点。
首先,需要明确一点,常数变易法只能用来求解线性微分方程。
线性微分方程即次微分方程为链式型,即满足一阶微分,二阶微分以及高于二阶之外,其中均不存在非线性项。
这一类方程一般被缩写为:$dy/dx+Py=Q$其中$P$ 和$Q$皆为常数,当$P≠0$时,本方程就是一个典型的线性微分方程。
接着,介绍常数变易法的基本思想。
基本思想是把微分方程$$dy/dx+Py=Q$$写成同一个微分方程的齐次方程形式。
齐次方程的解的特点是:将原方程的系数$P$和$Q$分别称为各自齐次方程的非齐次常数,在立解方程时,这两个非齐次常数它们可以看作是被变形了的“常量” 因此,解微分方程就可以把原来问题转换为求解一元一次齐次方程的问题,通过相应的简单数学方法求解,由此,把原来的复杂的微分方程变成了解决较为容易的一元一次齐次方程,因此,求解常微分方程就可以用常数变易法来解决。
最后,围绕常数变易法求解常微分方程,介绍具体求解步骤。
常数变易法求解常微分方程的步骤如下:(1)将原方程化为齐次方程。
(2)把非齐次常数纳入一般解,把两个非齐次常数作为一对参数。
(3)分别代入上述两个参数及所知条件来求得特解。
(4)求全解的思路,即将特解与一般解相加,把它们看成一个解而言。
(5)根据情况简化表达式或者进一步扩大解空间。
本文详细介绍了关于常数变易法求解常微分方程的思想和方法,也介绍了求解步骤。
它能帮助我们准确快速地求解常微分方程,从而达到更有效的结果。
随着计算机技术的进步,微分方程求解及计算的方法也会不断发展,提供更多的求解方法,从而解决困扰我们的难题。
微分方程的解法与常数变易法微分方程是数学中常见的一类方程,描述了函数与其导数之间的关系。
解微分方程是研究微分方程的重要问题之一。
常数变易法是解非齐次线性微分方程的一种常用方法。
本文将介绍微分方程的解法以及常数变易法的基本原理和应用。
一、微分方程的解法微分方程按照阶数可以分为一阶微分方程和高阶微分方程。
一阶微分方程是指方程中最高阶的导数为一阶导数的微分方程,高阶微分方程则是指方程中最高阶的导数大于一阶的微分方程。
解微分方程的一般步骤如下:1. 将微分方程转化为标准形式,确保方程的最高阶导数系数为1。
2. 求解齐次微分方程。
齐次微分方程是指方程中非零项的系数为0的微分方程。
通过假设解的形式为指数函数的乘积,并代入微分方程,得到解的通解表达式。
3. 求解非齐次微分方程。
非齐次微分方程是指方程中至少存在一个非零项的系数不为0的微分方程。
通过常数变易法,可求得非齐次微分方程的一个特解,并利用齐次微分方程的通解和特解得到非齐次微分方程的通解。
4. 利用初始条件确定常数。
通过已知的初值条件,将常数确定为具体的数值,得到微分方程的具体解。
二、常数变易法常数变易法是解非齐次线性微分方程的一种常用方法,基本原理是假设非齐次微分方程的解和齐次微分方程的解具有相同的形式,通过适当选择常数的变化方式,使得原非齐次微分方程的解满足初值条件。
常数变易法的一般步骤如下:1. 求解齐次微分方程。
齐次微分方程的解可以通过假设解的形式为指数函数的乘积,并代入齐次微分方程得到。
2. 选择常数的变化方式。
将非齐次微分方程的解中的常数看作变量,并逐步调整常数的值,使得解满足非齐次微分方程。
3. 确定常数的值。
通过已知的初值条件,将常数确定为具体的数值,得到非齐次微分方程的解。
常数变易法可以应用于一阶和高阶的非齐次线性微分方程,是解非齐次微分方程的重要方法。
三、常数变易法的应用举例以下是一个应用常数变易法解非齐次线性微分方程的例子:例:求解微分方程 y'' - y' - 2y = e^x步骤1:求解齐次微分方程 y'' - y' - 2y = 0假设解的形式为 y = e^rx,代入齐次微分方程,得到特征方程 r^2 - r - 2 = 0,解得 r1 = 2,r2 = -1。
常微分方程中的一阶及变量分离方程的解法常微分方程是数学中的一种重要分支,主要研究变量的连续变化过程。
由于它应用广泛,所以在科学、工程领域中具有极高的实用价值。
其中一阶及变量分离方程是最常见的常微分方程之一,本文将介绍该方程的解法。
一阶常微分方程一阶常微分方程是指一个未知函数 y(x) 在某个区间上的导数 y' 和自变量 x 的函数关系式,即dy/dx = f(x,y),其中 f(x,y) 是已知函数。
通常情况下,一阶常微分方程可以通过分离变量、齐次方程、一阶线性方程、常数变易法等方法求解。
下面分别简要介绍这些方法。
一、分离变量法分离变量法是指将方程中的变量分离后再进行积分求解。
以dy/dx = f(x,y)为例,我们可以将变量分离,即将x和y分别归到一边,得到dy/f(y) = dx。
然后对两边同时积分,得到∫dy/f(y) = ∫dx + C,其中C为常数。
解出y的表达式,即可得到方程的解。
二、齐次方程法齐次方程是指将方程中的变量进行比例缩放后形式不变的一类方程。
对于dy/dx = f(x,y),如果f(x,y)可以写为f(x,y) = g(y/x),则称此方程为齐次方程。
齐次方程可以通过变换y/x = z,从而得到dz/dx = (1/x)g(z)的标准形式。
此时,我们再使用一阶常微分方程的解法进行求解即可得到方程的解。
三、一阶线性方程法一阶线性方程是指形如dy/dx + p(x)y = q(x)的方程,其中p(x)和q(x)是已知函数。
解一阶线性方程的方法十分简单:我们可以将它写成dy/dx + p(x)y = 0和dy/dx = q(x) + p(x)y的形式。
然后我们分别对这两个方程进行积分,解出y的表达式即可得到方程的解。
四、常数变易法对于形如y' + p(x)y = q(x)的一阶线性方程,我们往往使用常数变易法来求解。
我们首先解出它的一般解y0(x),然后设y(x) =v(x)y0(x),其中v(x)是待定的函数。
微分方程几种求解方法微分方程是数学中的重要工具,用于描述自然界中关于变化的数学模型。
微分方程的求解方法有多种,可以根据不同的特征和条件选择不同的方法。
下面将介绍微分方程的几种常见求解方法。
1.可分离变量法可分离变量法适用于形如 dy/dx = f(x)g(y) 的一阶微分方程。
该方法的基本思路是将变量分离,即将方程写成 dx / f(x) = dy / g(y),然后两边同时积分,从而得到方程的解。
2.齐次方程法齐次方程指的是形如 dy/dx = f(x / y) 的一阶微分方程。
齐次方程法的基本思路是变量替换,令 y = vx,然后将方程转化为关于 v 和 x 的一阶微分方程,再用可分离变量法求解。
3.线性方程法线性方程是指形如 dy/dx + p(x)y = q(x) 的一阶微分方程。
线性方程法的基本思路是找到一个积分因子,使得原方程变为恰当方程,然后进行积分求解。
常见的积分因子有e^(∫p(x)dx) 和 1 / (y^2),选择合适的积分因子可以简化计算。
4.变量替换法变量替换法适用于一些特殊形式的微分方程。
通过合适的变量替换,可以将原方程转化为标准的微分方程形式,从而便于求解。
常见的变量替换包括令 y = u(x) / v(x),令 v = dy/dx等。
5.常数变易法当已知一个特解时,可以利用常数变易法求解更一般的微分方程。
该方法的基本思路是令y=u(x)y_0,其中y_0是已知的特解,然后将y代入原方程得到一阶线性非齐次方程,再用线性方程法进行求解。
6.欧拉法欧拉法是一种数值求解微分方程的方法。
它通过在函数的变化区间内分割小区间,并在每个小区间上用直线逼近函数的变化情况,从而得到微分方程的近似解。
欧拉法的计算公式为y_(n+1)=y_n+h*f(x_n,y_n),其中h为步长,f(x,y)为微分方程的右端。
7.泰勒级数法泰勒级数法是一种近似求解微分方程的方法,利用函数的泰勒级数展开式进行计算。
我们来看下面的式子:y’+P(x)·y =Q(x) (1)对于这个式子最正常的思路就是“分离变量”(因为之前所学的思想无一不是把变量分离再两边积分)。
所以我们的思维就集中在如何将(1)式的x和y分离上来。
起初的一些尝试和启示先直接分离看一下:dy/dx+P(x)·y =Q(x)=> dy =( Q(x)-P(x).y ).dx (2)从中看出y不可能单独除到左边来,所以是分不了的。
这时想想以前解决“齐次方程”时用过的招数:设y/x =u => y =u·x . 将y =u·x代入(1)式:u’·x+u+P(x)·u·x=Q(x)=> u’·x+u·(1+P(x)·x) =Q(x)=> du/dx·x =Q(x)-u(1+P(x)·x)=> du =[Q(x)-u·(1+P(x).x)].(1/x).dx (3)这时u又不能单独除到左边来,所以还是宣告失败。
不过,这里还是给了我们一点启示:如果某一项的变量分离不出来,那使该项成为零是比较好的选择。
因为这样“变量分离不出”这个矛盾就消失了——整个一项都消失了,还需要分什么呢。
比如说,对于(3)式,如果x=-1/P(x),那么那一项就消失了;再比如说,对于(2)式,如果P(x)=0,那么那一项也消失了。
当然这些假设都是不可能的,因为x和P(x)等于几是你无法干预的。
不过我们可以这么想:如果我们巧妙地构造出一个函数,使这一项等于零,那不就万事大吉了。
Ok,好戏开场了。
进一步:变量代换法筒子们可能觉得要构造这么一个函数会很难。
但结果会让你跌破眼镜。
y=u·v就是这么符合要求的一个函数。
其中u和v都是关于x的函数。
这样求y对应于x的函数关系就转变成分别求u 对应于x的函数关系和v对应于x的函数关系的问题。
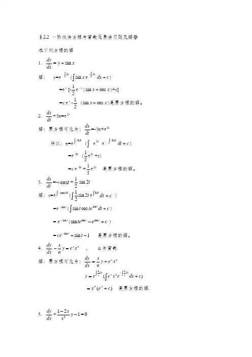
§2.2 一阶线性方程与常数变易法习题及解答求下列方程的解1.dxdy =x y sin + 解: y=e ⎰dx (⎰x sin e ⎰-dx c dx +)=e x [-21e x -(x x cos sin +)+c] =c e x -21 (x x cos sin +)是原方程的解。
2.dtdx +3x=e t 2 解:原方程可化为:dt dx =-3x+e t 2 所以:x=e ⎰-dt 3 (⎰e t 2 e -⎰-dt 3c dt +) =e t 3- (51e t 5+c) =c e t 3-+51e t 2 是原方程的解。
3.dt ds =-s t cos +21t 2sin 解:s=e ⎰-tdt cos (t 2sin 21⎰e dt dt ⎰3c + ) =e t sin -(⎰+c dt te t t sin cos sin )= e t sin -(c e te t t +-sin sin sin )=1sin sin -+-t ce t 是原方程的解。
4.dx dy n x x e y nx =- , n 为常数. 解:原方程可化为:dx dy n x x e y n x += )(c dx e x e e y dx x nn x dx x n+⎰⎰=⎰-)(c e x x n += 是原方程的解.5.dx dy +1212--y xx =0解:原方程可化为:dx dy =-1212+-y xx ⎰=-dx x x e y 212(c dx e dx x x+⎰-221))21(ln 2+=x e )(1ln 2⎰+--c dx ex x =)1(12x ce x + 是原方程的解.6. dx dy 234xyx x += 解:dx dy 234xy x x += =23yx +x y 令xy u = 则 ux y = dx dy =u dx du x + 因此:dx du x u +=2ux 21u dx du = dx du u =2c x u +=331 c x x u +=-33 (*)将xy u =带入 (*)中 得:3433cx x y =-是原方程的解.3332()21()227.(1)12(1)12(),()(1)1(1)(())1(1)dx P x dx x P x dx dy y x dx x dy y x dx x P x Q x x x e e x e Q x dx c x +--=++=+++==++⎰⎰==+⎰⎰++⎰⎰P(x)dx 232解:方程的通解为:y=e =(x+1)(*(x+1)dx+c) =(x+1)((x+23221(1)()211,()(())dy y x c dy y dx x y dx x y dy y yQ y y ye y Q y dy c -+++==+=⎰⎰==⎰⎰+⎰⎰2243P(y)dy P(y)dy P(y)dy 1)dx+c)=(x+1) 即:2y=c(x+1)+(x+1)为方程的通解。
一阶线性常微分方程组常数变易公式
一阶线性常微分方程组常数变易公式是一种基本的微分方程组
解法。
它可以帮助我们更快速地求解一些复杂的微分方程组。
这种方法可以有效地解决一些具有复杂依赖的系统的问题,尤其对于模型中的变量较多的情况。
一阶线性常微分方程组常数变易解法(简称CME)的基本思想是,把所有的系数项的常量值抽离出来,各自转化为独立的变量,这样就可以便捷地根据相关的约束条件改变这些变量而得到不同结果。
而CME的公式能够有效地求解多元变量的系统。
在CME中,我们可以把原有的多项式拆分成N个系数项,然后把N个系数项的常量值分别抽取出来,形成N个可变变量,最终获得一个可求解的方程组,并且可用约束条件将可变变量限定在有效范围内。
CME的优点很明显,它使得模型中的复杂性处理变的非常容易。
在模型参数化的情况下,可以快速地对非线性系统进行梯度调整,从而获得更好的结果,而不用担心参数过度调整会导致模型失控。
同时,CME也可以帮助消除不可控因素,从而让模型可以更加稳定地运行。
此外,CME的另一个优点就是可以为实际的现实环境提供更加清晰的模型,从而可以对现实环境中存在的问题进行更加深入的分析和探索,从而为其解决提供更加有力的依据。
总的来说,一阶线性常微分方程组常数变易公式是一种非常有效的解决复杂系统问题的工具,它不仅可以提高模型调整的效率,而且可以让更加准确地从实际环境中挖掘出有价值的信息,从而帮助更好
地解决实际问题。
因此,一阶线性常微分方程组常数变易公式的应用越来越广泛,在多种科学研究和管理的实践中,它都能够起到显著的作用。
一阶常微分方程的解法微积分理论中,微分方程是一个非常重要的分支,它们通常用来描述一些变化或进化过程中的物理现象、生物现象或经济现象等等。
其中,一阶常微分方程是微分方程中最简单的一类。
在这篇文章中,我们将介绍一阶常微分方程的求解方法。
一、分离变量法分离变量法是求解一阶常微分方程最简单也是最常用的方法。
这个方法的基本思想是将微分方程中的变量分开,并将每个变量移到不同的方程两侧,最终得到可以分别积分的两个方程。
具体来说,如果给定一个一阶常微分方程$$\frac{dy}{dx}=f(x,y)$$我们可以将它改写为$$dy=f(x,y)dx$$然后对两边同时积分,得到$$\int dy=\int f(x,y)dx+C$$其中C为常数。
这个方法的局限性在于只适用于一些特定的微分方程,例如y'=ky这类的方程就可以很容易地用这个方法求解。
举个例子,考虑方程$$\frac{dy}{dx}=x^2y$$我们将它改写为$$\frac{dy}{y}=x^2dx$$然后对两边同时积分,得到$$\ln|y|=\frac{1}{3}x^3+C$$最终解为$$y=Ce^{\frac{1}{3}x^3}$$其中C为常数。
二、齐次方程如果方程中的所有项均能够写成y和x的某个函数的乘积,那么这个方程就是齐次方程。
对于这类方程,我们可以利用变量替换来把它转化为分离变量的形式。
具体来说,如果给定一个一阶常微分方程$$\frac{dy}{dx}=f(\frac{y}{x})$$我们可以进行变量替换,令y=ux,其中u是关于x的未知函数。
因此,$$\frac{dy}{dx}=u+x\frac{du}{dx}$$将其带入原方程,得到$$u+x\frac{du}{dx}=f(u)$$将u视为自变量,x视为函数,可转化为$$\frac{dx}{du}=\frac{1}{f(u)-u}$$然后对两边同时积分,得到$$x=\int \frac{1}{f(u)-u}du+C$$最后将u替换成y/x即可。
§2.2 线性方程与常数变易法1、一阶线性微分方程()()()0dya xb x yc x dx++= 在()0a x ≠的区间上可以写成()()dyP x y Q x dx=+ (2.28)对于()a x 有零点的情形分别在()0a x ≠的相应区间上讨论.这里假设(),()P x Q x 在考虑的区间上是x 的连续函数.若()0Q x ≡,(2.28)变为 ()dyP x y dx= (2.3)称为一阶齐线性方程.若()0Q x ≠,(2.28)称为一阶非齐线性方程.2、常数变易法(2.3)是变量分离方程,已在例3中求得它的通解为 ()P x dxy ce ⎰=(2.4)这里c 是任意的常数.下面讨论一阶非齐线性方程(2.28)的求解方法.方程(2.3)与方程(2.28)两者既有联系又有区别,设想它们的解也有一定的联系,在(2.4)中c 恒为常数时,它不可能是(2.28)的解,要使(2.28)具有形如(2.4)的解, c 不再是常数,将是x 的待定函数()c x ,为此令()()P x dxy c x e ⎰=(2.29)两边微分,得到()()()()()P x dxP x dx dy dc x e c x P x e dx dx⎰⎰=+ (2.30)将(2.29)、(2.30)代入(2.28),得到()()()()()()()()()P x dxP x dx P x dx dc x e c x P x e P x c x e Q x dx⎰⎰⎰+=+ 即()()()P x dx dc x Q x e dx-⎰= 积分后得到()()()P x dxc x Q x e dx c -⎰=+⎰%(2.31)这里c %是任意的常数..将(2.31)代入(2.29),得到()()()()()() =()P x dxP x dx P x dx P x dx P x dx y e Q x e dx c cee Q x e dx --⎛⎫⎰⎰=+ ⎪⎝⎭⎰⎰⎰+⎰⎰%% (2.32)这就是方程(2.28)的通解.这种将常数变易为待定函数的方法,通常称为常数变易法.实际上常数变易法也是一种变量变换的方法.通过变换(2.29)可将方程(2.28)化为变量分离方程.注: 非齐线性方程的通解是它对应的齐线性方程的通解与它的某个特解之和.例1 求方程1(1)(1)x n dyx ny e x dx++-=+的通解,这里的n 为常数. 解 将方程改写为 (1)1x n dy n y e x dx x -=++ (2.33)先求对应的齐次方程01dy n y dx x -=+ 的通解,得(1)ny c x =+令 ()(1)n y c x x =+(2.34)微分之,得到()(1)(1)()n dy dc x x n x c x dx dx=+++ (2.35)以(2.34)、(2.35)代入(2.33),再积分,得()x c x e c =+%将其代入公式(2.34),即得原方程的通解(1)()n x y x e c=++% 这里c %是任意的常数.例2 求方程22dy y dx x y=-的通解. 解 原方程改写为 2dx x y dy y=- (2.36)把x 看作未知函数,y 看作自变量,这样,对于x 及dxdy来说,方程(2.36)就是一个线性方程了.先求齐线性方程2dx x dy y= 的通解为2x cy = (2.37)令2()x c y y =,于是 2()2()dx dc y y c y y dy dy=+ 代入(2.36),得到()ln c y y c =-+%从而,原方程的通解为2(ln )x y c y =-%这里c %是任意的常数,另外0y =也是方程的解.特别的,初值问题00()()()dyP x y Q x dxy x y ⎧=+⎪⎨⎪=⎩ 的解为000()()()=()xxsx x x P d P d P d x x y ce e Q s e ds ττττττ-⎰⎰⎰+⎰% 例3 试证(1)一阶非齐线性方程(2.28)的任两解之差必为相应的齐线性方程(2.3)之解;(2)若()y y x =是(2.3)的非零解,而%()y y x =是(2.28)的解,则(2.28)的通解可表为%()()y cy x y x =+,其中c 为任意常数. (3)方程(2.3)任一解的常数倍或两解之和(或差)仍是方程(2.3)的解. 证 (1)设12,y y 是非齐线性方程的两个不同的解,则应满足方程使1122()(1)()(2)dy py Q x dxdy py Q x dx=+=+(1)—(2)有1212()()d y y p y y dx-=-说明非齐线性方程任意两个解的差12y y -是对应的齐次线性方程的解.(2)因为%%%%(()())()()(()()()()d cy x y x dy x d y x c p cy p y Q x p cy y Q x dx dx dx+=+=++=++故结论成立.(3)因为12121212()()()(),(),()d y y d y y d cy p cy p y y p y y dx dx dx+-==+=- 故结论成立.3、Bernoulli 方程形如()()n dyP x y Q x y dx=+ (0,1n ≠)(2.38)的方程,称为伯努利(Bernoulli )方程,这里(),()P x Q x 为x 连续函数.利用变量变换可将伯努利方程化为线性方程来求解.事实上,对于0y ≠,用ny -乘(2.38)两边,得到1()()nn dyy y P x Q x dx--=+ (2.39)引入变量变换1nz y -=(2.40) 从而(1)ndz dyn y dx dx-=-(2.41) 将(2.40)、2.41)代入(2.39),得到(1)()(1)()dzn P x z n Q x dx=-+- (2.42)这是线性方程,用上面介绍的方法求得它的通解,然后再代回原来的变量,便得到(2.38)的通解.此外,当0n >时,方程还有解0y =. 例4 求方程26dy yxy dx x=-的通解 解 这是2n =时的伯努利方程,令 1z y -=,得 2dz dyy dx dx -=- 代入原方程得到6dz z x dx x=-+ 这是线性方程,求得它的通解为268c x z x =+代回原来的变量y ,得到2618c x y x =+ 或者688x x c y -= 这是原方程的通解. 此外,方程还有解0y =.例5 求方程331dy dx xy x y =+的解 解 将方程改写为33dxyx y x dy=+ 这是一个自变量为y ,因变量为x 的伯努利方程.解法同上.例6 求方程23y dy e x dx x+=的通解 这个方程只要做一个变换,令,yydu dyu e e dx dx==,原方程改写为22231du x u u dx x x=+ 便是伯努利方程.小结;这次主要讨论了一阶线性微分方程的解法.其核心思想是常数变易法.即将非齐线性方程对应的齐线性方程解的常数变易为待定函数,使其变易后的解函数代入非齐次线性方程,求出待定函数()c x ,求出非齐次方程的解.我们还讨论了伯努利方程,求解过程为,先变换,将原方程化为非齐线性方程,再求解.。
3-7-一阶线性方程与常数变易法2.2 一阶线性方程与常数变易公式(First order linear differential equationand constant variation formula )[教学内容] 1. 认识一阶线性齐次方程和一阶线性非齐次方程; 2.介绍一阶线性非齐次方程的常数变易公式; 3. 介绍电学知识和基尔霍夫定律; 4. 认识Bernoulli方程及其通过变量替换化为一阶线性方程的解法; 5. 介绍其他可化为一阶线性方程的例子.[教学重难点] 重点是知道一阶线性非齐次方程的解法,难点是如何根据方程的形式引入新的变量变换使得新方程为一阶线性方程.[教学方法] 自学1、4;讲授2、3 课堂练习[考核目标]1.熟练运用常数变易公式;2. 知道«Skip Record If...»计算和一些三角函数恒等式;3. 知道电学一些知识,如电容电流公式、电感电压公式和基尔霍夫定律;4. 知道溶液混合问题建模;5. 认识Bernoulli方程并会经过适当变换化为线性方程求解.6. 知道交换自变量和因变量化非线性方程为一阶线性方程.1. 认识一阶线性齐次方程和一阶线性非齐次方程(First order(non)homogeneous linear differential equation)(1) 称形如«Skip Record If...»的方程为一阶线性齐次方程,其中«Skip Record If...»连续;称形如«Skip Record If...»的方程为一阶线性非齐次齐次方程,其中«Skip Record If...»连续且«Skip Record If...»不恒为零.(2) 当«Skip Record If...»时,改写«Skip Record If...»为«Skip Record If...»,其中«Skip Record If...»表示P(x)的一个原函数(antiderivative). 因此,«Skip Record If...»通解(general solution)为«Skip Record If...»,此外y=0也是解. 综上,«Skip Record If...»的解为«Skip Record If...»为任意常数.(3) 常数变易法:如何求«Skip Record If...»的解呢?假定上述线性非齐次方程有如下形式的解 «Skip Record If...»,则代入原方程来确定C(x),«Skip Record If...»,即«Skip Record If...»,«Skip Record If...»,此处C为任意常数, «Skip Record If...»为函数«Skip Record If...»一个原函数.综上,一阶线性非齐次方程的通解为«Skip Record If...».2.一些实际应用例子(Applications )例28. 电容器的充电和放电模型RC电路:假定开始电容C上没有电荷,电容两端电压为0,合上开关1后,电池E对电容C开始充电,电池电压为E,电阻阻值为R,电容C两端电压逐渐上升. 写出充电过程中,电容C两端电压随时间变化的规律.解:设U(t)表示在时刻t时电容两端电压,则根据电学知识,电容两端电量Q=U C,电流I = «Skip Record If...», 电阻两端电压为R I=«Skip Record If...». 由基尔霍夫定律知,闭合回路上压降为零.即有«Skip Record If...». 改写为 «Skip Record If...»,这是一个一阶线性非齐次方程.记«Skip Record If...», 由常数变易公式得到,«Skip Record If...»再注意到初始条件U(0)=0,«Skip Record If...»,因此,«Skip Record If...».例29. 考察如下RL电路图,设电源E的电压为«Skip Record If...»为常数,求电感线圈上电流I随时间的变化规律,设t=0时,I=0.解:设I(t)表示时刻t时电感线圈上电流强度,则由电学知识有,电感线圈两端电压为«Skip Record If...». 由基尔霍夫定律知,闭合回路电压降为零. 于是 «Skip Record If...». 改写为«Skip Record If...», 这是一个一阶线性非齐次方程.记«Skip Record If...», 由常数变易公式得到,«Skip Record If...»«Skip Record If...»«Skip Record If...»令«Skip Record If...»,于是由«Skip Record If...»知,«Skip Record If...»,于是«Skip Record If...».再注意到初始条件I(0)=0,«Skip Record If...»,因此,«Skip Record If...».练习23. (1) 求«Skip Record If...»; (2) 改写«Skip Record If...»为«Skip Record If...»,给出«Skip Record If...»所满足的条件. (3) 由 Euler 公式«Skip Record If...»和«Skip Record If...»推导出:«Skip Record If...»和«Skip Record If...», «Skip Record If...».作业24. (1)如例28中RC电路图,设E=10V, R=100«Skip Record If...»,C=0.01 F, 开始时刻电容C上电压为零并在此刻合上开关1,问经过多长时间电容C两端电压为«Skip Record If...»?(2)如下RL电路图,设E, R, L均为正的常数,求开关闭合后电路中电流强度I(t),假定I(0)=0.例30. 溶液混合问题:设容积为V(单位«Skip Record If...»)的密封容器装着某种溶液如下图,从A以速度r(单位«Skip Record If...»)流入浓度为«Skip Record If...»(常数)的相同溶液,经充分混合后在B以相同速度r流出容器, 假设时刻t=0时,容器溶液浓度为0,问容器中浓度随时间变化的规律.解:设时刻t时容器溶液浓度为C(t),且C(0)=0,则由溶质出入平衡,也即流入等于流出,由微元法建立如下等式:«Skip Record If...»,即«Skip Record If...». (以下略)作业25. 假设伊利湖的存水量为«Skip Record If...»,从休伦湖流入和从安大略湖流出的速度都是每年«Skip Record If...»,在t=0时刻,伊利湖的污染物浓度时休伦湖的5倍. 如果流出的水是完全混合好的湖水,问使得伊利湖的污染物浓度减少到休伦湖2倍需要多少时间?(假定休伦湖污染物浓度为常数«Skip Record If...»)3. Bernoulli方程及其解法称形如«Skip Record If...»为Bernoulli方程.解法:当«Skip Record If...»时,改写原方程«Skip Record If...»,令«Skip Record If...»,这是一个一阶线性非齐次方程.例31求解方程«Skip Record If...».解:经过观察,原方程是一个Bernoulli方程, n=2.(1)当«Skip Record If...»时,改写原方程为«Skip Record If...»,令«Skip Record If...»,则«Skip Record If...». 由常数变易公式得到,«Skip Record If...».返回原变量得到«Skip Record If...».(2) 当y=0时,容易验证«Skip Record If...»也是原方程的解.作业26. 求解方程(1)«Skip Record If...»;(2)«Skip Record If...».4.交换自变量和因变量化非线性方程为一阶线性方程例32.求解(1)«Skip Record If...»;(2)«Skip Record If...».解:(1) 这是一个一阶方程,非线性方程,不是Bernoulli方程.(a) 当«Skip Record If...»时,交换自变量和因变量而改写原方程为 «Skip Record If...». 这是一个一阶线性方程. 由常数变易公式得到, «Skip Record If...»,即 «Skip Record If...»为所求方程的通积分.(b) 当y=0时,已验证y=0也是原方程的一个解.(2) 结合Bernoulli方程来完成,留作练习.作业27. 求解方程(1)«Skip Record If...»;(2) «Skip Record If...».5. 一些一阶线性方程的理论(1)考虑方程«Skip Record If...»,其中p(x), q(x)都是以w>0为周期的连续函数. 用常数变易公式证明:(a) 若«Skip Record If...»,则方程任一非零解都以w为周期的周期函数充要条件是p(x)的平均值«Skip Record If...» (b) 若«Skip Record If...»不恒为零,则方程有唯一w周期解充要条件是«Skip Record If...», 试求出此解. (参见丁同仁、李承治《常微分方程教程》P36 习题5, 6)。