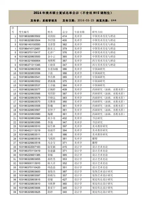
广州美术学院2016年研究生入学考试复试名单
- 格式:pdf
- 大小:364.00 KB
- 文档页数:8
考生编号姓名专业代码专业名学院代码政治理论、联考外国语业务课1业务课2总分复试成绩总成绩加试1加试2备注107106161330016李晗081401岩土工程00182.0067.00106.00135.00390.00259.00649.000.000.00 107106113042888李少杰081401岩土工程00174.0068.00110.00125.00377.00264.20641.200.000.00 107106141325583王亚冲081401岩土工程00182.0074.00114.00113.00383.00250.25633.250.000.00 107106121153753程灿灿081401岩土工程00175.0065.00112.00122.00374.00245.00619.000.000.00 107106162088405文军强081401岩土工程00174.0073.00108.00119.00374.00245.00619.000.000.00 107106141035221石位哲081401岩土工程00178.0066.0094.00119.00357.00254.20611.200.000.00 107106121143752杨宝强081401岩土工程00177.0079.00101.00102.00359.00248.80607.800.000.00 107106151136982冯国春081401岩土工程00172.0059.0097.00126.00354.00250.60604.600.000.00 107106162098463张庭顺081401岩土工程00167.0061.0093.00121.00342.00262.00604.000.000.00 107106161330007冯凯081401岩土工程00174.0074.0091.00130.00369.00234.40603.400.000.00 107106164018486洪秋阳081401岩土工程00172.0067.0088.00118.00345.00257.20602.200.000.00 107106134014129刘辉081401岩土工程00184.0069.0091.00101.00345.00255.20600.200.000.00 107106142196458陈明081401岩土工程00168.0065.00107.00122.00362.00238.00600.000.000.00 107106141325582王修领081401岩土工程00177.0071.0074.00118.00340.00258.00598.000.000.00 107106113042887陈慧芸081401岩土工程00166.0072.0091.00119.00348.00249.20597.200.000.00 107106141015167成晨081401岩土工程00174.0060.00105.00114.00353.00243.20596.200.000.00 107106141515963吴亚军081401岩土工程00172.0064.0091.00126.00353.00243.00596.000.000.00 107106161330032张鹏081401岩土工程00173.0068.0085.00126.00352.00243.20595.200.000.00 107106141055279贺希英081401岩土工程00168.0062.0098.00114.00342.00249.80591.800.000.00 107106114023138穆鹏雪081401岩土工程00182.0072.0086.00106.00346.00242.80588.800.000.00 107106141515962鲁昆明081401岩土工程00180.0067.0081.00113.00341.00247.00588.000.000.00 107106141335703阴增亮081401岩土工程00167.0064.00100.00110.00341.00245.60586.600.000.00 107106161330003陈驰081401岩土工程00149.0061.0089.00127.00326.00259.40585.400.000.00 107106161330005丁浩081401岩土工程00177.0057.0078.00128.00340.00244.60584.600.000.00 107106114123400王元直081401岩土工程00177.0063.0095.0096.00331.00252.20583.200.000.00 107106132164025张国彪081401岩土工程00164.0072.00100.00110.00346.00237.20583.200.000.00 107106161330009何少华081401岩土工程00173.0061.0088.00120.00342.00239.00581.000.000.00 107106161330027严东东081401岩土工程00176.0070.0085.00100.00331.00249.80580.800.000.00 107106137044853徐豹之081401岩土工程00176.0059.0071.00129.00335.00244.60579.600.000.00 107106161330037折惠东081401岩土工程00175.0071.0095.0095.00336.00241.40577.400.000.00 107106137024691聂孟兰081405防灾减灾工程及防护工程00166.0067.0092.00105.00330.00245.20575.200.000.00 107106161330031章朝081405防灾减灾工程及防护工程00171.0052.0088.00118.00329.00245.40574.400.000.00 107106141045248闫瑞朋081405防灾减灾工程及防护工程00175.0061.0089.00108.00333.00240.60573.600.000.00 107106121093720唐可081405防灾减灾工程及防护工程00172.0066.0085.00107.00330.00235.20565.200.000.00 107106141666329李颖颖081405防灾减灾工程及防护工程00175.0063.0080.00124.00342.00261.00603.000.000.00 107106141666330张赛081405防灾减灾工程及防护工程00172.0050.0092.00124.00338.00259.60597.600.000.00 107106143236779黄尧081405防灾减灾工程及防护工程00176.0062.0084.00107.00329.00255.00584.000.000.00 107106137095015张腾达081405防灾减灾工程及防护工程00178.0057.0094.00105.00334.00238.40572.400.000.00 107106137024694梁浩081405防灾减灾工程及防护工程00167.0068.0080.00100.00315.00238.00553.000.000.00 107106123173888邢进081405防灾减灾工程及防护工程00160.0053.0068.0090.00271.00241.60512.600.000.00考107106161330137周天跃081406桥梁与隧道工程00175.0077.00110.00100.00362.00272.00634.000.000.00 107106161330113温雨桐081406桥梁与隧道工程00177.0071.00101.00112.00361.00270.60631.600.000.00 107106161330118肖乐081406桥梁与隧道工程00185.0067.0086.00105.00343.00281.25624.250.000.00 107106161330101戚圣强081406桥梁与隧道工程00176.0074.0095.00104.00349.00266.25615.250.000.00 107106161330114吴松081406桥梁与隧道工程00171.0067.00100.00107.00345.00265.80610.800.000.00 107106161330099彭首冲081406桥梁与隧道工程00177.0057.00117.00108.00359.00246.00605.000.000.00 107106161330128张静雯081406桥梁与隧道工程00169.0063.0094.00116.00342.00257.40599.400.000.00 107106114113361孙凯081406桥梁与隧道工程00175.0069.00111.00108.00363.00235.67598.670.000.00 107106161330115吴文涛081406桥梁与隧道工程00177.0076.0088.00100.00341.00255.60596.600.000.00 107106123163879赵满081406桥梁与隧道工程00169.0054.0099.00115.00337.00258.00595.000.000.00 107106161330069胡孔亮081406桥梁与隧道工程00183.0075.0082.0091.00331.00263.00594.000.000.00 107106161330106沈鹏翔081406桥梁与隧道工程00167.0052.0093.00100.00312.00280.75592.750.000.00 107106161330092刘青081406桥梁与隧道工程00184.0075.0064.0091.00314.00278.00592.000.000.00 107106161330063龚翔箭081406桥梁与隧道工程00175.0072.0095.0087.00329.00260.33589.330.000.00 107106161330123姚帅彪081406桥梁与隧道工程00176.0071.0090.00103.00340.00247.00587.000.000.00 107106161330112王凯081406桥梁与隧道工程00175.0075.0098.0097.00345.00242.00587.000.000.00 107106161330110田飞龙081406桥梁与隧道工程00164.0059.00131.0061.00315.00271.00586.000.000.00 107106161330065郭鹏展081406桥梁与隧道工程00175.0066.0096.0073.00310.00275.25585.250.000.00 107106161330122杨恺081406桥梁与隧道工程00164.0072.0076.0096.00308.00276.25584.250.000.00 107106151178017张超081406桥梁与隧道工程00179.0065.0082.00103.00329.00252.30581.300.000.00 107106134014130方攀081406桥梁与隧道工程00170.0067.0093.0083.00313.00268.25581.250.000.00 107106161330133张鑫081406桥梁与隧道工程00172.0069.0094.0096.00331.00248.60579.600.000.00 107106162068314张发飞081406桥梁与隧道工程00174.0067.0068.00104.00313.00266.20579.200.000.00 107106137145094王雪玮081406桥梁与隧道工程00166.0061.00123.0076.00326.00250.00576.000.000.00 107106361339802胡冠华081406桥梁与隧道工程00179.0062.0072.00111.00324.00251.00575.000.000.00单独考试107106161330097马腾飞081406桥梁与隧道工程00174.0073.0071.0084.00302.00272.00574.000.000.00 107106137255131郭洪超081406桥梁与隧道工程00172.0060.0097.0093.00322.00251.80573.800.000.00 107106161330109苏有彪081406桥梁与隧道工程00176.0060.0092.0080.00308.00265.60573.600.000.00 107106161330064郭聪敏081406桥梁与隧道工程00171.0067.0071.0097.00306.00266.33572.330.000.00 107106151178016陈鲲081406桥梁与隧道工程00169.0081.0062.0098.00310.00260.25570.250.000.00 107106161330107宋超杰081406桥梁与隧道工程00165.0069.0090.0089.00313.00257.00570.000.000.00 107106161330056曹磊081406桥梁与隧道工程00170.0071.0088.0081.00310.00258.80568.800.000.00 107106122073815郭森081406桥梁与隧道工程00185.0063.0077.0096.00321.00247.00568.000.000.00 107106161330062费澎波081406桥梁与隧道工程00174.0065.0093.0088.00320.00247.50567.500.000.00 107106137064875刘贺081406桥梁与隧道工程00174.0054.00105.0085.00318.00249.40567.400.000.00 107106161330058陈冰洋081406桥梁与隧道工程00163.0047.0092.00100.00302.00264.50566.500.000.00 107106123163878张巨有081406桥梁与隧道工程00164.0069.0075.00102.00310.00256.20566.200.000.00 107106161330136周刚081406桥梁与隧道工程00177.0064.0083.0091.00315.00250.00565.000.000.00 107106137034815邵舒081406桥梁与隧道工程00176.0060.00103.0098.00337.00227.50564.500.000.00 107106143036654崔冰081406桥梁与隧道工程00179.0066.0078.0090.00313.00248.60561.600.000.00考107106137034818王通行081406桥梁与隧道工程00168.0060.0097.0080.00305.00256.20561.200.000.00 107106142196461赵威081406桥梁与隧道工程00176.0061.0089.0097.00323.00238.00561.000.000.00 107106161330103秦智源081406桥梁与隧道工程00169.0071.0071.0093.00304.00254.20558.200.000.00 107106122073821张郁烽081406桥梁与隧道工程00165.0056.0097.0091.00309.00247.67556.670.000.00 107106161330121杨懿杰081406桥梁与隧道工程00168.0063.0072.00106.00309.00247.40556.400.000.00 107106161330098聂杨明081406桥梁与隧道工程00175.0071.00101.0072.00319.00237.00556.000.000.00 107106132113946宋发安081406桥梁与隧道工程00174.0063.0079.0097.00313.00242.80555.800.000.00 107106161330068贺天玮081406桥梁与隧道工程00172.0069.0084.0075.00300.00252.00552.000.000.00 107106137034819谢周村081406桥梁与隧道工程00181.0061.0087.0084.00313.00237.00550.000.000.00 107106161330105任鹏举081406桥梁与隧道工程00169.0049.00105.0089.00312.00235.00547.000.000.00 107106122073822张桉081406桥梁与隧道工程00167.0059.0088.0086.00300.00246.40546.400.000.00 107106141015168姜永存081406桥梁与隧道工程00166.0074.0080.0079.00299.00245.00544.000.000.00 107106161330086刘进081406桥梁与隧道工程00175.0074.0058.0090.00297.00244.20541.200.000.00 107106113032875李振云081406桥梁与隧道工程00173.0074.0075.0081.00303.00235.00538.000.000.00 107106161330055蔡羽081406桥梁与隧道工程00176.0053.0090.00106.00325.00211.50536.500.000.00 107106161330234杨荟082301道路与铁道工程00176.0072.00112.00128.00388.00266.40654.400.000.00 107106161330181梁倩倩082301道路与铁道工程00174.0077.0093.00137.00381.00272.40653.400.000.00 107106141135348刘明阳082301道路与铁道工程00175.0069.00124.00118.00386.00257.20643.200.000.00 107106142116387宋攀082301道路与铁道工程00170.0066.00117.00118.00371.00264.83635.830.000.00 107106161330146陈祥082301道路与铁道工程00181.0070.0092.00123.00366.00269.20635.200.000.00 107106161330156宫权利082301道路与铁道工程00182.0069.00109.00114.00374.00259.20633.200.000.00 107106142196467孙志强082301道路与铁道工程00185.0070.0090.00116.00361.00266.83627.830.000.00 107106142116388徐宁082301道路与铁道工程00187.0077.0090.00109.00363.00264.40627.400.000.00 107106132144014陈志晖082301道路与铁道工程00173.0075.00101.00116.00365.00261.20626.200.000.00 107106161330145陈甲康082301道路与铁道工程00176.0072.00106.00114.00368.00257.83625.830.000.00 107106114063231付林杰082301道路与铁道工程00171.0065.00110.00114.00360.00264.20624.200.000.00 107106161330232杨雪082301道路与铁道工程00170.0081.00106.00103.00360.00263.16623.160.000.00 107106150036880骆钒082301道路与铁道工程00185.0070.0098.00109.00362.00261.00623.000.000.00 107106161330183林森林082301道路与铁道工程00171.0062.00121.00118.00372.00250.40622.400.000.00 107106161330180连超082301道路与铁道工程00174.0070.00103.00105.00352.00268.20620.200.000.00 107106143066661邹海味082301道路与铁道工程00176.0061.00102.00117.00356.00263.80619.800.000.00 107106161330182林君阳082301道路与铁道工程00174.0065.0099.00125.00363.00256.50619.500.000.00 107106142056352熊晓威082301道路与铁道工程00180.0062.00101.00119.00362.00255.80617.800.000.00 107106161330235姚腾飞082301道路与铁道工程00173.0063.0096.00124.00356.00261.20617.200.000.00 107106161330222问鹏辉082301道路与铁道工程00173.0065.00107.00111.00356.00260.25616.250.000.00 107106142196465刘静雯082301道路与铁道工程00173.0074.00108.00106.00361.00254.60615.600.000.00 107106150036879傅向祥082301道路与铁道工程00177.0058.0081.00126.00342.00272.00614.000.000.00 107106161330192鹿蓉082301道路与铁道工程00172.0070.0091.00113.00346.00267.00613.000.000.00 107106161330247赵静082301道路与铁道工程00173.0059.0080.00118.00330.00282.25612.250.000.00 107106141135349魏自玉082301道路与铁道工程00173.0067.00112.00108.00360.00251.83611.830.000.00考107106161330245张怡文082301道路与铁道工程00170.0075.0080.00113.00338.00273.75611.750.000.00 107106121033685国洋082301道路与铁道工程00174.0068.00123.0098.00363.00248.50611.500.000.00 107106114113363张星婕082301道路与铁道工程00180.0083.0081.00103.00347.00264.40611.400.000.00 107106141485895王欣082301道路与铁道工程00182.0062.00104.00104.00352.00259.40611.400.000.00 107106132224080戴青苗082301道路与铁道工程00178.0060.00110.00113.00361.00250.40611.400.000.00 107106161330231薛晓姣082301道路与铁道工程00176.0074.0071.00117.00338.00273.20611.200.000.00 107106142196463何德伟082301道路与铁道工程00178.0077.0088.0099.00342.00269.00611.000.000.00 107106161330148崔鹰翔082301道路与铁道工程00180.0072.0085.00115.00352.00257.80609.800.000.00 107106161330236于淼082301道路与铁道工程00170.0060.0078.00119.00327.00281.30608.300.000.00 107106121093722张世豪082301道路与铁道工程00165.0059.00105.00112.00341.00266.20607.200.000.00 107106142116386陈云飞082301道路与铁道工程00173.0074.00103.00110.00360.00245.50605.500.000.00 107106132144017张翔082301道路与铁道工程00170.0081.0093.0098.00342.00263.33605.330.000.00 107106161330161贺亚龙082301道路与铁道工程00175.0067.00106.00109.00357.00248.20605.200.000.00 107106142196464刘海082301道路与铁道工程00167.0066.0097.00116.00346.00258.70604.700.000.00 107106161330204商晓儒082301道路与铁道工程00177.0071.0075.00116.00339.00265.50604.500.000.00 107106122073823步金鑫082301道路与铁道工程00177.0071.0094.00110.00352.00252.00604.000.000.00 107106161330176李权威082301道路与铁道工程00174.0064.00108.0092.00338.00265.40603.400.000.00 107106161330140白雨瓒082301道路与铁道工程00173.0076.0098.00110.00357.00246.00603.000.000.00 107106161330226肖栋082301道路与铁道工程00168.0074.0085.00113.00340.00262.80602.800.000.00 107106161330177李文凯082301道路与铁道工程00170.0063.00106.00111.00350.00251.80601.800.000.00 107106142216512肖海涵082301道路与铁道工程00175.0055.0091.00111.00332.00269.00601.000.000.00 107106162048289李健082301道路与铁道工程00176.0073.0072.00122.00343.00258.00601.000.000.00 107106141175402宁展082301道路与铁道工程00182.0062.00111.0095.00350.00250.66600.660.000.00 107106161330254朱江浪082301道路与铁道工程00168.0072.00105.0098.00343.00256.80599.800.000.00 107106161330171赖泓志082301道路与铁道工程00174.0064.0086.00116.00340.00258.40598.400.000.00 107106161330241张进082301道路与铁道工程00172.0072.0086.00115.00345.00253.00598.000.000.00 107106143066660何娟082301道路与铁道工程00169.0072.00109.0097.00347.00248.00595.000.000.00 107106161330211童晓莹082301道路与铁道工程00165.0077.0080.00114.00336.00257.20593.200.000.00 107106161330228肖卓082301道路与铁道工程00172.0070.0076.00119.00337.00256.00593.000.000.00 107106161330239余英杰082301道路与铁道工程00180.0074.0068.00112.00334.00258.80592.800.000.00 107106142056349葛敬勇082301道路与铁道工程00175.0073.0076.00117.00341.00251.67592.670.000.00 107106137095016孔艳冬082301道路与铁道工程00178.0070.0077.00109.00334.00258.00592.000.000.00 107106137014511刘玉梅082301道路与铁道工程00180.0072.0081.0094.00327.00264.33591.330.000.00 107106141035223王航082301道路与铁道工程00170.0071.0093.00100.00334.00256.80590.800.000.00 107106161330217王小庆082301道路与铁道工程00167.0064.0091.00104.00326.00262.83588.830.000.00 107106161330218王彦淞082301道路与铁道工程00164.0068.0095.00100.00327.00261.60588.600.000.00 107106137034820徐书东082301道路与铁道工程00173.0068.0081.00109.00331.00257.33588.330.000.00 107106161330163胡海波082301道路与铁道工程00169.0061.00109.00110.00349.00239.20588.200.000.00 107106142116389游世骄082301道路与铁道工程00172.0067.0081.00112.00332.00255.60587.600.000.00 107106132144013陈阳阳082301道路与铁道工程00169.0073.0092.0099.00333.00254.33587.330.000.00考107106134074261陈平082301道路与铁道工程00178.0060.0096.00105.00339.00248.20587.200.000.00 107106150036884叶亚青082301道路与铁道工程00175.0062.0074.00118.00329.00256.00585.000.000.00 107106137014507韩泽祥082301道路与铁道工程00177.0060.00102.00105.00344.00239.80583.800.000.00 107106143146722杨棋惠082301道路与铁道工程00172.0068.0081.00106.00327.00256.20583.200.000.00 107106122073828朱佰贺082301道路与铁道工程00168.0045.00112.00106.00331.00252.00583.000.000.00 107106161330195马也082301道路与铁道工程00178.0072.0099.0086.00335.00248.00583.000.000.00 107106161330169蒋修明082301道路与铁道工程00180.0062.0070.00114.00326.00256.60582.600.000.00 107106134054234葛海涛082301道路与铁道工程00175.0061.0072.00127.00335.00244.40579.400.000.00 107106132144015孙思敖082301道路与铁道工程00170.0071.0077.00113.00331.00246.70577.700.000.00 107106161330233杨征文082301道路与铁道工程00176.0059.0090.00108.00333.00244.40577.400.000.00 107106134044215侯仁辉082301道路与铁道工程00169.0072.0080.00103.00324.00251.70575.700.000.00 107106146036849马芳臣082301道路与铁道工程00165.0062.0084.00123.00334.00241.00575.000.000.00 107106141526000白瑜082301道路与铁道工程00167.0056.0094.00109.00326.00247.40573.400.000.00 107106361339809吴晓生082301道路与铁道工程00176.0057.0083.00102.00318.00253.20571.200.000.00单独考试107106161330227肖悦082301道路与铁道工程00172.0076.0081.0096.00325.00245.40570.400.000.00 107106361339807马宇082301道路与铁道工程00177.0063.0098.0068.00306.00248.60554.600.000.00单独考试107106361339808仁乾龙珠082301道路与铁道工程00183.0057.0095.0071.00306.00244.20550.200.000.00单独考试107106361339803丁永帅082301道路与铁道工程00183.0067.0070.0060.00280.00221.20501.200.000.00单独考试107106361339805黄乔森082301道路与铁道工程00176.0056.0068.0049.00249.00231.66480.660.000.00单独考试107106161330262李凯伦082303交通运输规划与管理00174.0069.0085.00123.00351.00263.15614.150.000.00 107106137074958王迪082303交通运输规划与管理00177.0084.0079.00100.00340.00270.50610.500.000.00 107106143066662朱亮082303交通运输规划与管理00176.0074.0098.00102.00350.00258.00608.000.000.00 107106141015173李歌082303交通运输规划与管理00171.0078.00109.0090.00348.00251.00599.000.000.00 107106161330287曾勋082303交通运输规划与管理00179.0074.0093.0094.00340.00257.20597.200.000.00 107106133024107姜涛082303交通运输规划与管理00175.0061.00110.0088.00334.00261.40595.400.000.00 107106150036901周荣082303交通运输规划与管理00176.0069.0096.00108.00349.00245.70594.700.000.00 107106132174037丁天082303交通运输规划与管理00175.0083.00115.0072.00345.00246.55591.550.000.00 107106161330286袁菲082303交通运输规划与管理00168.0062.0089.00100.00319.00271.40590.400.000.00 107106141345728唐大川082303交通运输规划与管理00174.0066.0094.0089.00323.00265.40588.400.000.00 107106161330266刘至真082303交通运输规划与管理00163.0072.00108.0090.00333.00251.20584.200.000.00 107106114063232吴瑞082303交通运输规划与管理00176.0072.00103.0089.00340.00241.80581.800.000.00 107106137024712邵婷婷082303交通运输规划与管理00173.0060.0094.0084.00311.00268.20579.200.000.00 107106144216807马丹辉082303交通运输规划与管理00171.0078.00100.0083.00332.00242.70574.700.000.00 107106132194057李雨082303交通运输规划与管理00176.0081.0072.0091.00320.00253.70573.700.000.00 107106161330289张晨阳082303交通运输规划与管理00170.0057.00101.0083.00311.00262.50573.500.000.00 107106150036893南斯睿082303交通运输规划与管理00172.0066.0066.0097.00301.00271.00572.000.000.00 107106161330276王江萍082303交通运输规划与管理00170.0072.0077.0095.00314.00255.80569.800.000.00 107106161330263李美叶082303交通运输规划与管理00174.0069.0072.0088.00303.00263.60566.600.000.00 107106161330291张娜082303交通运输规划与管理00176.0056.0097.0090.00319.00247.60566.600.000.00 107106121153756陈兴影082303交通运输规划与管理00173.0070.0080.0089.00312.00254.50566.500.000.00考107106161330285阴星星082303交通运输规划与管理00170.0059.0085.0087.00301.00262.00563.000.000.00 107106132113953潘杰082303交通运输规划与管理00169.0068.0098.0075.00310.00245.40555.400.000.00 107106161330272宋思远082303交通运输规划与管理00175.0054.0087.0087.00303.00248.45551.450.000.00 107106161330268马倩楠082303交通运输规划与管理00177.0063.0078.0084.00302.00245.50547.500.000.00 107106137014520马景峰082303交通运输规划与管理00174.0068.0073.0095.00310.00237.00547.000.000.00 107106137024714周菲菲082303交通运输规划与管理00170.0074.0085.0091.00320.00225.40545.400.000.00 107106137014529赵燕082303交通运输规划与管理00161.0073.0080.00100.00314.00230.65544.650.000.00 107106121053707张宇亭082303交通运输规划与管理00171.0065.0093.0079.00308.00236.20544.200.000.00 107106423179909宁静082303交通运输规划与管理00171.0074.0064.0078.00287.00228.40515.400.000.00骨干计划107106161330298胡章浩0823Z2★交通工程00174.0065.00118.00102.00359.00254.00613.000.000.00 107106161330297胡小霞0823Z2★交通工程00174.0066.0093.00102.00335.00246.40581.400.000.00 107106134014136裴彦0823Z2★交通工程00171.0063.0081.0091.00306.00251.40557.400.000.00 107106132174045李锐085213建筑与土木工程00179.0081.00116.00111.00387.00259.50646.500.000.00 107106132113970张会来085213建筑与土木工程00185.0068.00119.00125.00397.00248.00645.000.000.00 107106161332183张骏085213建筑与土木工程00178.0065.00116.00111.00370.00266.00636.000.000.00 107106114013127韩丽君085213建筑与土木工程00182.0058.00110.00119.00369.00255.80624.800.000.00 107106145096837陶悦085213建筑与土木工程00178.0065.0092.00136.00371.00243.40614.400.000.00 107106141325645方元伟085213建筑与土木工程00175.0061.00112.00124.00372.00241.80613.800.000.00 107106161332182张超085213建筑与土木工程00181.0067.00105.0097.00350.00263.00613.000.000.00 107106161332161叶磊085213建筑与土木工程00170.0051.00120.00102.00343.00269.20612.200.000.00 107106162068367杨少博085213建筑与土木工程00173.0066.00104.00114.00357.00252.40609.400.000.00 107106143066671奉思东085213建筑与土木工程00174.0070.00103.0098.00345.00263.80608.800.000.00 107106113103023张磊霄085213建筑与土木工程00174.0069.00103.00118.00364.00242.60606.600.000.00 107106134044227朱振国085213建筑与土木工程00170.0054.00109.00122.00355.00251.25606.250.000.00 107106134064258杨志国085213建筑与土木工程00175.0077.00101.00114.00367.00238.80605.800.000.00 107106137024768杨斌085213建筑与土木工程00176.0068.00105.00102.00351.00251.80602.800.000.00 107106141325648李杰085213建筑与土木工程00175.0064.0084.00127.00350.00251.75601.750.000.00 107106141045262卫愿康085213建筑与土木工程00176.0060.00113.0095.00344.00257.00601.000.000.00 107106161332171付曜085213建筑与土木工程00174.0055.00113.0096.00338.00262.80600.800.000.00 107106161332145贾明晖085213建筑与土木工程00174.0064.00109.00122.00369.00231.00600.000.000.00 107106161332177孙晨然085213建筑与土木工程00177.0064.00113.0081.00335.00263.60598.600.000.00 107106161332163张鹏飞085213建筑与土木工程00163.0047.0091.00127.00328.00269.60597.600.000.00 107106161332166郑卓琦085213建筑与土木工程00169.0063.0090.00111.00333.00264.00597.000.000.00 107106161332142黄腾飞085213建筑与土木工程00180.0064.0070.00120.00334.00263.00597.000.000.00 107106113022865张馨予085213建筑与土木工程00175.0058.0093.00133.00359.00237.75596.750.000.00 107106113143065薛金红085213建筑与土木工程00163.0058.00100.00125.00346.00249.40595.400.000.00 107106143066672贺书磊085213建筑与土木工程00176.0060.00112.0099.00347.00247.33594.330.000.00 107106135084368吴桂楠085213建筑与土木工程00178.0057.0090.0095.00320.00273.67593.670.000.00 107106137064912王中将085213建筑与土木工程00177.0047.00107.00122.00353.00240.40593.400.000.00 107106141325655赵春鹏085213建筑与土木工程00173.0052.0097.00107.00329.00264.00593.000.000.00考107106113062963陈斐085213建筑与土木工程00181.0055.0092.00116.00344.00248.25592.250.000.00 107106141325654谢江涛085213建筑与土木工程00178.0064.00105.00120.00367.00223.80590.800.000.00 107106161332176帅超085213建筑与土木工程00174.0067.00104.0077.00322.00268.70590.700.000.00 107106114113389张瑞元085213建筑与土木工程00171.0064.00118.00103.00356.00234.40590.400.000.00 107106137064917王齐085213建筑与土木工程00183.0060.00106.0092.00341.00248.60589.600.000.00 107106136074474杨立085213建筑与土木工程00167.0068.00111.00109.00355.00234.00589.000.000.00 107106161332149刘立明085213建筑与土木工程00180.0053.0086.00110.00329.00259.80588.800.000.00 107106151158004刘东沂085213建筑与土木工程00173.0064.0079.00122.00338.00249.60587.600.000.00 107106137014597王蒙蒙085213建筑与土木工程00174.0065.0079.00116.00334.00252.80586.800.000.00 107106134244311刘孝杰085213建筑与土木工程00171.0065.0085.00106.00327.00259.40586.400.000.00 107106161332136翟人哲085213建筑与土木工程00172.0057.00112.00115.00356.00230.00586.000.000.00 107106141015188梁盟085213建筑与土木工程00176.0054.00105.00113.00348.00237.40585.400.000.00 107106141085310孙鹏085213建筑与土木工程00171.0057.0091.00101.00320.00263.80583.800.000.00 107106132174046苏举085213建筑与土木工程00171.0052.00104.0090.00317.00266.00583.000.000.00 107106134074269齐鹏飞085213建筑与土木工程00174.0071.0070.00116.00331.00251.33582.330.000.00 107106161332179吴罡085213建筑与土木工程00173.0064.0098.0089.00324.00258.25582.250.000.00 107106137044859李玉莹085213建筑与土木工程00171.0055.0099.00120.00345.00237.00582.000.000.00 107106137064907李昊阳085213建筑与土木工程00164.0057.00106.00108.00335.00246.40581.400.000.00 107106132113965吉祥085213建筑与土木工程00166.0061.00112.00111.00350.00230.80580.800.000.00 107106151136984甘露085213建筑与土木工程00172.0056.0096.00119.00343.00234.80577.800.000.00 107106113183108胡耀洲085213建筑与土木工程00173.0058.00106.00105.00342.00234.40576.400.000.00 107106121123739杨亚楠085213建筑与土木工程00172.0059.0077.00126.00334.00242.20576.200.000.00 107106162048301马成斌085213建筑与土木工程00177.0061.0068.00124.00330.00245.20575.200.000.00 107106141045255郭原伟085213建筑与土木工程00160.0047.00116.00111.00334.00241.20575.200.000.00 107106141305547焦奔康085213建筑与土木工程00174.0060.0092.0099.00325.00249.60574.600.000.00 107106141255488孙铭林085213建筑与土木工程00171.0066.0087.00118.00342.00232.60574.600.000.00 107106161332165赵海平085213建筑与土木工程00162.0049.0089.00116.00316.00258.00574.000.000.00 107106161332154饶伟085213建筑与土木工程00169.0059.0093.00107.00328.00246.00574.000.000.00 107106141015191薛琛085213建筑与土木工程00172.0051.00119.00100.00342.00231.25573.250.000.00 107106137014605周琪琪085213建筑与土木工程00169.0058.00107.0088.00322.00251.20573.200.000.00 107106162018244宋佳康085213建筑与土木工程00178.0052.0073.00124.00327.00245.80572.800.000.00 107106142226529鲁团085213建筑与土木工程00178.0058.0091.00111.00338.00234.60572.600.000.00 107106161332138樊林085213建筑与土木工程00177.0052.0078.00117.00324.00248.00572.000.000.00 107106122073847李志龙085213建筑与土木工程00170.0071.0079.00110.00330.00240.40570.400.000.00 107106161332172盖相宇085213建筑与土木工程00166.0065.0080.00112.00323.00247.00570.000.000.00 107106115023585田超085213建筑与土木工程00166.0055.0092.00105.00318.00251.00569.000.000.00 107106114013128石磊085213建筑与土木工程00169.0062.0092.00110.00333.00235.60568.600.000.00 107106114013129王悦月085213建筑与土木工程00173.0057.0085.00101.00316.00252.20568.200.000.00 107106141195430王亚东085213建筑与土木工程00178.0071.0059.00110.00318.00249.00567.000.000.00 107106161332164张威085213建筑与土木工程00167.0057.0082.00113.00319.00247.00566.000.000.00考107106161332169邓耀085213建筑与土木工程00172.0065.0090.0083.00310.00255.00565.000.000.00 107106141055285陈宇085213建筑与土木工程00175.0063.0082.00106.00326.00237.40563.400.000.00 107106151076960曾航085213建筑与土木工程00173.0055.00105.0096.00329.00233.60562.600.000.00 107106137034835赵世晨085213建筑与土木工程00177.0056.0094.00111.00338.00224.20562.200.000.00 107106141025218贾阳085213建筑与土木工程00170.0064.0084.00101.00319.00242.00561.000.000.00 107106151136985周雅兰085213建筑与土木工程00173.0058.0096.0096.00323.00237.20560.200.000.00 107106161332148李云涛085213建筑与土木工程00173.0063.0072.00109.00317.00243.00560.000.000.00 107106132113967夏树峥085213建筑与土木工程00176.0057.0088.00113.00334.00226.00560.000.000.00 107106161332162尹明祥085213建筑与土木工程00169.0055.0080.00105.00309.00250.00559.000.000.00 107106115023586翁悦085213建筑与土木工程00176.0053.0089.00106.00324.00234.40558.400.000.00 107106141566181朱家晖085213建筑与土木工程00171.0048.00101.0098.00318.00240.20558.200.000.00 107106142116402蔡伦085213建筑与土木工程00176.0060.00107.0079.00322.00235.40557.400.000.00 107106133024111汤陈皓085213建筑与土木工程00174.0050.0087.0097.00308.00249.00557.000.000.00 107106142146427张溯085213建筑与土木工程00159.0047.00104.00116.00326.00231.00557.000.000.00 107106132174047张燎原085213建筑与土木工程00164.0060.00121.0084.00329.00228.00557.000.000.00 107106141556102闫建伟085213建筑与土木工程00173.0072.0081.00109.00335.00219.50554.500.000.00 107106142226531董伟085213建筑与土木工程00170.0057.00114.0078.00319.00235.20554.200.000.00宁波工程107106134074268王军085213建筑与土木工程00175.0061.0081.0080.00297.00247.00544.000.000.00退役大学生107106137235125苏纪壮085222交通运输工程00175.0069.00121.00121.00386.00269.60655.600.000.00 107106141325660陆昕085222交通运输工程00172.0073.00118.00127.00390.00257.20647.200.000.00 107106165068535杨良085222交通运输工程00176.0068.00106.00116.00366.00275.25641.250.000.00 107106151086968朱雨晴085222交通运输工程00176.0065.00106.00122.00369.00268.20637.200.000.00 107106150036914林小玉085222交通运输工程00182.0074.00111.00111.00378.00259.17637.170.000.00 107106161332225张天宇085222交通运输工程00176.0067.00105.00119.00367.00269.00636.000.000.00 107106137034837丁龙亭085222交通运输工程00171.0069.00119.00111.00370.00264.60634.600.000.00 107106137014640朱浩085222交通运输工程00181.0073.00124.0089.00367.00265.00632.000.000.00 107106141195434张嘉豪085222交通运输工程00174.0063.00116.00122.00375.00256.80631.800.000.00 107106161332193陈乔森085222交通运输工程00174.0071.00116.00110.00371.00260.00631.000.000.00 107106137034838何璐085222交通运输工程00167.0059.00106.00129.00361.00263.75624.750.000.00 107106137024773刘洛廷085222交通运输工程00169.0071.00126.00112.00378.00241.00619.000.000.00 107106142256594夏涛085222交通运输工程00176.0069.00103.00114.00362.00255.80617.800.000.00 107106161332191陈浩085222交通运输工程00169.0057.00128.00103.00357.00257.20614.200.000.00 107106137024770程传乐085222交通运输工程00171.0051.00125.00106.00353.00260.40613.400.000.00 107106161332194范爽085222交通运输工程00175.0072.0086.00106.00339.00273.40612.400.000.00 107106161332254魏杰085222交通运输工程00172.0064.00121.0085.00342.00270.00612.000.000.00 107106122073851高旭085222交通运输工程00181.0059.0096.00116.00352.00257.60609.600.000.00 107106137125066王天宇085222交通运输工程00182.0061.0092.00107.00342.00267.00609.000.000.00 107106115023594左战杰085222交通运输工程00180.0075.00108.0079.00342.00266.60608.600.000.00 107106161332223张梦媛085222交通运输工程00174.0059.00102.00119.00354.00254.00608.000.000.00 107106133024112徐峰085222交通运输工程00177.0058.00102.00103.00340.00266.30606.300.000.00考107106134014164吴春生085222交通运输工程00171.0071.00108.00100.00350.00256.00606.000.000.00 107106132234097黄勇085222交通运输工程00171.0065.00118.00102.00356.00249.40605.400.000.00 107106161332205马雄鹰085222交通运输工程00163.0055.0099.00120.00337.00266.40603.400.000.00 107106132224088王佳伟085222交通运输工程00175.0062.00106.00106.00349.00254.00603.000.000.00 107106132224087董善真085222交通运输工程00181.0063.00101.00109.00354.00248.80602.800.000.00 107106142166445刘志航085222交通运输工程00176.0056.00103.00114.00349.00253.17602.170.000.00 107106137024782黄岩085222交通运输工程00178.0066.00102.0084.00330.00271.40601.400.000.00 107106141045266岳朋超085222交通运输工程00173.0067.00100.00108.00348.00253.40601.400.000.00 107106161332221于亚敏085222交通运输工程00166.0071.0099.00112.00348.00252.60600.600.000.00 107106132124002郭创085222交通运输工程00179.0054.00108.00109.00350.00250.50600.500.000.00 107106141045265李东东085222交通运输工程00177.0059.0086.00121.00343.00257.20600.200.000.00 107106132113976周嘉玮085222交通运输工程00176.0080.00109.0083.00348.00251.60599.600.000.00 107106113143067李向航085222交通运输工程00180.0063.0085.00112.00340.00258.20598.200.000.00 107106141045264丁蒙亭085222交通运输工程00174.0059.00107.00109.00349.00248.60597.600.000.00 107106132113973钱园园085222交通运输工程00180.0072.0094.00100.00346.00250.70596.700.000.00 107106141566211焦帅阳085222交通运输工程00178.0054.0093.0096.00321.00274.00595.000.000.00 107106141045267张衡085222交通运输工程00174.0071.00102.0084.00331.00264.00595.000.000.00 107106131063940彭超085222交通运输工程00179.0062.0096.00104.00341.00254.00595.000.000.00 107106137064927王帅085222交通运输工程00172.0065.0090.0097.00324.00270.67594.670.000.00 107106141485932张伟085222交通运输工程00176.0073.0086.00101.00336.00257.40593.400.000.00 107106132144020徐安085222交通运输工程00172.0066.0095.00108.00341.00250.20591.200.000.00 107106161332244李昕晏085222交通运输工程00179.0068.00104.0078.00329.00261.80590.800.000.00 107106162098472黄登斌085222交通运输工程00185.0070.0085.0099.00339.00251.00590.000.000.00 107106137064928温振国085222交通运输工程00180.0060.0094.0099.00333.00256.80589.800.000.00 107106137024781郝亚兰085222交通运输工程00173.0069.0092.0098.00332.00257.60589.600.000.00 107106134054240俞远超085222交通运输工程00173.0072.00103.0092.00340.00248.80588.800.000.00 107106161332211王闯085222交通运输工程00173.0050.0084.00108.00315.00273.00588.000.000.00 107106161332226张耀085222交通运输工程00166.0066.0097.0096.00325.00262.30587.300.000.00 107106136014431余逸085222交通运输工程00174.0065.0084.00108.00331.00256.20587.200.000.00 107106161332190常相国085222交通运输工程00181.0078.0077.00104.00340.00247.20587.200.000.00 107106137064929张水涛085222交通运输工程00178.0055.0088.00104.00325.00261.20586.200.000.00 107106142056369吴世园085222交通运输工程00174.0059.0097.00111.00341.00244.50585.500.000.00 107106161332204马小虎085222交通运输工程00175.0062.0088.00104.00329.00256.00585.000.000.00 107106161332209孙宏亮085222交通运输工程00175.0062.0090.00107.00334.00251.00585.000.000.00 107106145096839王守彬085222交通运输工程00162.0061.0097.00110.00330.00254.40584.400.000.00 107106142196489王志文085222交通运输工程00177.0061.0096.00111.00345.00238.80583.800.000.00 107106136084480严江085222交通运输工程00175.0057.0091.00109.00332.00251.40583.400.000.00 107106141035232王育博085222交通运输工程00173.0059.00106.00100.00338.00245.40583.400.000.00 107106137085004韩占闯085222交通运输工程00176.0061.0082.00102.00321.00261.80582.800.000.00 107106137014634余静财085222交通运输工程00176.0049.00114.0088.00327.00255.40582.400.000.00。
美术学院2016年硕士生复试录取工作方案**大学美术学院2016年硕士(学术型、专业学位)复试安排(资格审查:7:00在教四楼四层418)一、复试时间:2016年3月26-27日(周六——周日)二、地点:**大学校本部教四楼四层三、复试内容:★油画、版画、中国画方向1、考试科目一:《素描》考试时间:3月26日上午:8:30-11:30考试地点:教四楼409、411(届时按考场外面张贴名单进入考场)2、考试科目二:《色彩写生》(油画、版画、工笔、水墨方向)、《临摹》(山水、花鸟)考试时间:3月26日下午:13:00-16:003、考试科目三:《创作》考试时间:3月27日上午:8:30-11:30教四楼409、411(届时按考场外面张贴名单进入考场)4、面试(含外语口语、听力考查、专业理论考查、思想政治素质和道德品质考查等)面试时间:3月27日下午13:00-17:00面试地点:教四楼(届时见具体通知)★面试之前统一在教四楼420教室等候,按名单次序进场。
★艺术设计方向:1、考试科目一:设计基础考试时间:3月26日上午:8:30-11:30考试地点:教四楼4132、考试科目二:专业设计(学术型:视觉传达与媒体设计研究、环境设计研究;专业学位:视觉传达设计)考试时间:3月26日下午:13:00-16:00考试地点:教四楼4133、面试(含外语口语、听力考查、思想政治素质和道德品质考查等)面试时间:3月27日上午8:30-12:00面试地点:教四楼(届时见具体通知)★面试之前统一在教四楼420教室等候,按名单次序进场。
★美术教育学、中国美术史论、外国美术史、艺术市场管理方向1、考试科目一:《素描》考试时间:3月26日上午:8:30-11:30考试地点:教四楼4122、考试科目二:《美术教育理论》(美术教育方向)《专业基础与写作》(中国美术史论、外国美术史、艺术市场管理方向)考试时间:3月26日下午:13:00-16:00考试地点:教四楼4123、面试(含外语口语、听力考查、专业理论考查、思想政治素质和道德品质考查等)面试时间:3月27日上午8:30-12:00面试地点:教四楼(届时见具体通知)★面试之前统一在教四楼420教室等候,按名单次序进场。
16年广州美术学院考研初试成绩查询时间预测
16年广州美术学院考研初试成绩查询时间预测。
以下是具体详情:
根据历年广州美术学院考研初试成绩公布时间推定,2016广州美术学院考研成绩查询预计于2016年2月中旬开始。
请广大考生密切关注及时了解广州美术学院2016考研成绩查询信息。
考研成绩网上查询(免费)方法
考生可以登录各招生考试院或各大院校研究生招生网进行查询第一步、用户登陆:以考生身份登陆(用户名:准考证号,报名号或姓名,身份证号:证件号码,考生类型选择“硕士”);
1 / 1__来源网络整理,仅作为学习参考。
广州美术学院2015~2016学年优秀学生及先进班集体拟获奖名单(合计:优秀学生1291名,先进集体16个)特等奖(国家奖学金):(11名)中国画学院: (1名)王启烨油画系:(1名)伦欣妍版画系:(1名)程淑娟雕塑系:(1名)王杰艺术与人文学院:(1名)黄熙美术教育学院:(2名)陈敏婷李榕榕建筑艺术设计学院: (1名)李长伟.工业设计学院:(2名)黄漫华视觉艺术设计学院:(1名)黄俊锦一等奖:(150名)中国画学院:(7名)陈子君马兰秋君刘颐东张旭吴旖瑶方凯月莫曜霞油画系:(5名)张璟陶龚胥耀石梦霞葛彤祝程版画系:(9名)黄小玲倪思琪余丽灵关雨玫胡勇丘明丹庾咏诗杨炜钰钟由美雕塑系:(9名)陈东明汤俊豪方晓立王哲刘曼李锡浩李焕金何锦秋汪陆实验艺术系:(3名)唐世远林小琪黄国峰艺术与人文学院:(6名)杨奕诗赵芷兰曹言悦郭岱伦徐梦蕾区苑琳美术教育学院:(31名)李钻敏林硕书江卓旋韩艳林晓艺谢为邓江萍梁意琳蔡晓斯梁嘉苇刘习羽任立婷曾小婷庄馥霞阮雨晴朱文渊莫莉华鲍疌谢晓銮张宝怡潘思凡梁哲程若飞刘俊彬陈宪黎荣光黎林燕陈锦荣曾海玲杨泳欣杨冰雁建筑艺术设计学院:(24名)叶荟青刘培烨苏思尹陈凯彤巫诗妤涂智超刘也彭铭钧关灏正霍振声吴秋岑李健权何碧莹陈钏闫昌磊简梦妮吴越许文超劳丽仪赵明明招锦棉丘俊梅张静霞吴梦青工业设计学院:(36名)陈玉倩林艺津陈泽芳李燕玲张一宁陈昕陈乐华黄晓晴李季源董玉霄程碧亮朱灿辉林晓丽徐永乐张丁渝刘凌钧陈慧昕何晓颖陈楠楠黄紫晴刘财顺蔡敏慧杜佳丽袁瑞娴潘小云方良芳张文慧李泳枫彭诗怡韦泳梅王海伟谭伟珊张燕红房南希李金涛黄晨视觉艺术设计学院:(20名)潘先知武家旭黄丹蕾刘善龙陈安胜许靖林春霞叶秀婕姜雅慧杨绿放彭宝玉罗光正柯以敏陈思婷竺延杨明蒽肖咏兰骆思棋杨沅君李佳蔓二等奖:(278名)中国画学院:(13名)彭智伟谢紫盈王晓东倪清陈洁仪王子豪王艾诗谢淑怡李瑶苏小潇郭欢蒂武立国刘卓明油画系:(9名)姚才政张楚杨壹玮黄智勇郑雅丹陈少蓉胡毅君杨一心张海萍版画系:(16名)黄宇婷禹灼粤曾雯雯吴素珊梁静邓君豪欧阳洁陈琪琪史珂凡萧海韵黄淑转朱坤美郑佳涛钟莹慧郑陈妍陈曼瑶雕塑系:(18名)崔明达杨小山谢宇陈文仪呙文清许嘉升沈茹佟梁智宇杨鑫朱雪丽申博伟何发敏张凤仪马榕辰刘美良季宇航刘林林周乔欣实验艺术系:(6名)屠若晗陈裕珊林滢滢黄桂华黄文诗吴小容艺术与人文学院:(12名)赖周易李思韵肖清雨陶玉陈尧祥卢智甜沈迅黄颖湘杨子陈思睿张睿简遥美术教育学院:(65名)黄绮澜何芷君梁敬业李佳谊殷嘉琪周卓咏陈绚陈炫珊谭林斌谭宝海罗智麟梁伟鹏吴慧雯许馨尹赖婉然陈楚琦卢可欣林正青范晓琳张文懿梁安乾傅迪丽赖允忆刘佩玲陈碧琳吴国杰黄晓欣梁紫晴赵宇南麦婷婷梁明凤黄君源刘诗琦薛中晴曾安萍陈杨戴儒灵黄仁欣陈靖玲陈稚凤曾珂蓝嘉昕周书杨林欣欣陈桂容吴天昊罗颖玢徐家辉黄明燕梁杏媚黄贤钊李嘉颖何芯悦赵骏炜温静怡尹姗红李月婷刘琦王非儿谢文昊黄仕红戴铭泽叶健方正佳娃陈尹雨田建筑艺术设计学院:(38名)何雅皓林谷叶如茵黄丽云张润轩伍雅倩王志斌廖晓琼黄耀源杨智然赵科喻谭皓天王丹辛柯南蔡向红曾泳龙江梁炎杨正航梁荣轩岑诗诗金晖李奕琦蔡雪妍蔡铄涵卢雅如郭青青赵思敏袁聪陈泽选吴梓君黄灿李琬滢黄梓娴李广娟刘文清何家慧范雪丽蔡晓君工业设计学院:(59名)庄梦雅雷红梅赖玟妃陈颖怡黄露赵婉怡王海媚马静洋黄靖怡麦文中明星男郑炜泽杨众林俊豪罗家杰黎娜李萌王旭黎嘉娜邓祖仪刘迪仪何玉君梁云婷罗雅文陈炜张旭孙可杨洁夏昕李少青吴颖胡诗涵曾粤婷黄晓榆黄河瑶梁凡张燕婷曾逸敏周颖贤谭露露邓雅文李夏彧张舒予李舒云陈厚宏何振彬王维婕卢子乔管雪玲阮灵珠梁翠珍柴凡玲朱喆莫柳瑶谭芷雯顾文婷尹香归李家辉何日丽视觉艺术设计学院:(42名)林奕恬曾庆宣王剑青潘志杉丘伟导刘学致李可欣颜伊灵吴冠华卫婷郑琛怡刘嘉丽郑琪丘悦张海珠朱丽璇梁彩华冯德斌陈家慧邓家慧张丽红何楚莹王嘉宁谢淑莉蒋益孙畅吴绮君俞建腾洪泽铭温梓洋廖淑珠覃婕思曹杰培谢桢刘嘉慧王佳雯许霓华郑权刘垚垚杨帆蚁倩庄瑞灵三等奖:(472名)中国画学院:(32名)魏莉婷叶慧妍林凯虹李上梅刘欣池林山珊林遥何嘉祺叶翚谭逢挺李雨桐卢崇梯罗望超胡宇吴彬彬陈丽伊黄家贤王楚李妍陈宏鹏朱相鹏王钦李嘉浩梁洁莹魏绮冰杨娅兰赵振豪周晓艳马晓彤钟宇唐希彭慧丽油画系:(14名)陈虹张瑶李素萍伍聪吕凯奇吴卓钊谢芷晴陈嘉怡郑浩燕陈建新何呤霜肖晶静杨爽爽李翔伟版画系:(26名)董力嘉吴刚李佳佳李嘉慧徐瑜谦张家业蔡洁娜郭小端黄佳佳黄丽莹林芳朱华勇王梓琪梁颖倩孙羽洁陈慧添朱梦月刘巧敏夏书阳余海洋钱敏李小淇梁晓彤吴文莹黄雅琴戴思虞雕塑系:(31名)李星开陈建光孙志光王饶军李旭开詹丹馥冯仕华简柏榕黎秋仪蔡汉通徐淑贤黄清华陈泽林许如松卢维固赖新敏邱镇宏张庆锋崔倩邓皓元吴玲玲巩华杰赖俊明黄之飘夏志年邓伟兴吴兆盈蔡思仪邓嘉铭俞健侠董宇昊实验艺术系:(7名)吴敏仪陈裕华龙韵羽廖煌玉万雅文卢依蔓钟晓钰艺术与人文学院:(24名)孙荣卢子殷梁澎梁颖岚李梓荧刘悦郑诗霞冯梁嘉唯漆嘉楠王倩云兰雅仪孙福培林畅畅王阳杜文林琳陈心怡张婧萱吴发航艾力玛李蕴瑜谭秋艳林园园赵浩华方琪美术教育学院:(90名)胡瑞云梁钰鸿孙梦阳黄倩仪江晓晴蔡润权王子豪黎芷妍王嘉梓张勉之曾冬青翁广文林骏威陈嘉敏黎子浩肖子雯江镇辉王宝婷叶楚颖蔡雯琳何一妍叶玲君范建斌陈雅曹银换吴桂越陈思婷郑嘉良韦昌鸿林海燕刘韵彤陈慧伶张誉耀许薏薏陈霞李慧钰赵秀平方丹霞谢尹蔚容嘉彦林素文马慈娣刘娴李宇晴刘钧陶管修军陈栩晴潘嘉莹朱淑君陈晓音吴绮婷朱艺强向秋月曾佳敏关昕钟伟欣黄得峰黄颖彦陈玉璇许宇欣刘竣玲罗振升陈筠瑜康昕蔡文博张文如余春菊卢观桃杨增韩黄盛林李盈盈唐一瑛蔡帆阎祖浩曾蕴盈莫娴黎雍瑜张柏瀚曾盛郑树婉邹嘉倩黄彦硕成思颖阎瑞仪袁园程思敏郑顺畅邝嘉兴廖秀怡陈香平建筑艺术设计学院:(77名)舒翔张远卢黄调兵黄子文张超贤邝杨喜刘慧东姚惠雯孟盈刘畅王奕宜刘晓倩梁婷婷彭思思李灵灵曾仕成严泳仪陈丽媛阮豪毅付英豪钟其昌冯宏荣李亮毕舒欣王景阳朱圣玺杨明蕾高亚莹郑惠友卢芷筠傅润生言思源蔡信乾邓伟翔曹谦张逸云柯嘉鑫叶静怡雷文婷顾振琳林聪冯时贾子钰梁晓彤李木旋钟观伟王艺佳何考凤周娟胡琳周启明张伟黄灵施曼婷梁美娟麦雪琪陈镇伟冯阳生杨无敌陈科麦永煦黎婉晖利雅琪庄淑妹罗智陈爱华李颖仪江珊李蕙伦林海纯关紫琳熊伟杰李婉璇周佳慧许丹丹徐晓明廖丽芳工业设计学院:(102名)陈琳湘曾婉玲李妙仪陈嘉欣罗淑仪陈可蕙苏权维刘泽如汤若水向抒琳吴玛琪冯家豪方靖怡陈健麦梓盈张洲林曦彤蔡轩王璇刘日霖罗浩吴志纯林佳敏黄雨丹陈瑞华邬宇梦魏家盛钟雅婷宋广文陈巾雄徐春玲王璐陈烨铌赖梦云洪佳宜庄伟琪梁晓仪招冠榕黄婉珊王晓婷黄剑锋曹银静朱真真陈翠娜黄靖艳谢稚灵吴施祈冯彦林邓旭辉吴茜薛晓丹吕嘉纯廉勇辉张海媚李沅珊吴桐贺莉梁泳怡丘慧聪陈一菲张兆辉林志豪郑明亮苏丽芬陈悦陈志成吴东珩张梦莹王智亮卢俊鸿刘敏华陈亚蓝付久久陈锦溪王柯心曾家瑶余斯焕石晓彤冯祎祎曾宣瑜郑海林梁小冰曾莹刘腾飞陈冰柔张嫣璐黎文婷陈祖怡谭莹廖英翔温晓美李哲琦赵泓川陈倩霞陈创生陈丽敏黎卉李舒由袁霄霄丁少柔钟沛均周晚秋视觉艺术设计学院:(69名)邹勇娴钱加纳陈阳光谭泽远邓煦孟谭凌飞叶啟雯罗园园林依洁温焙羽罗雅怡李焯祺吴有杰陈梓聪孙日宏张嬉霖刘伟国黄钰莹黎俊豪唐明亮黄宇智李颖捷杜怡德柯佳颖陈伟斌伍志豪吴文娟苏琳黄舸良詹韵珊刘星雨区锦雄吴欣倩张嘉欢田卓璇罗心敏郑泠泠刘海洋齐聆君郑蔚陈敏航黄焕荣唐志宇曹逸伦陈康希郑美洳陈烁苏乙棋齐铮詹国贤黄靖逵张青云钟碧莹郭海旭李佳倩梁文捷韦嘉琳黄文鸿蒋晨怡黄云燕霍炤峰刘秋华周丽红林景好徐艺林赵悦谢旻轩陈媛陈子瑜学习积极分子:(140名)中国画学院:(8名)王启烨林凯虹马兰秋君庄俊彬谢淑怡方凯月莫曜霞杨林清油画系:(5名)吴凌舒邓旻雯李翠霞尹碧涵黄晟版画系:(9名)冯柳燕杨颖思吴江铭陈海燕陈怡静陈碧瑶罗婕李乐琳韩玉雕塑系:(23名)刁云娜王杰陈东明汤俊豪方晓立付宇刘曼呙文清沈茹佟刘东海李嘉俊李清李焕金巩华杰黄之飘李承禹袁欣琪何锦秋曾富强唐书棋汪陆马榕辰刘美良实验艺术系:(5名)彭倩欣龙韵羽庄永淼屠若晗钟晓钰艺术与人文学院:(20名)冯梁嘉唯肖清雨陶玉郭岱伦杨子陈思睿刘悦曹言悦汪欣卢智甜黄颖湘王阳杜文林畅畅麦颖筠区苑琳张睿杨江悦徐梦蕾赵浩华方琪美术教育学院:(23名)林硕书梁敬业王子豪殷嘉琪周卓咏韩艳方正佳娃赖婉然谢为李榕榕韦昌鸿何晓晴张誉耀张文懿蔡晓斯梁嘉苇刘习羽黄君源曾小婷薛中晴陈杨朱文渊潘思凡建筑艺术设计学院:(16名)何雅皓刘培烨苏思尹彭思思陈凯彤巫诗妤涂智超曾泳龙张逸云梁荣轩吴越许文超招锦棉张静霞吴梦青陈钏工业设计学院:(22名)张力文纪思燕钟培烽余楚帆蔡丽莹孙小小徐钰张诗琪杜镁然梁佳欣陈泳存韩佳瑶吴伟力蔡馥张镇城陈旭东李玲琳王钰雯邱琪琪雷彬黄梓慧李倩娜视觉艺术设计学院:(9名)余森龙梁渺骊薛绮雯吴桐黄俊豪石文卉谭晓琪吴文娟潘洁婷社会工作积极分子:(131名)中国画学院:(10名)林山珊谢紫盈莫曜鸿卢崇梯罗望超胡宇周晓艳张旭李观娣黄菲油画(4名)谢乐颐吴杰烨刘景惠周梦茹版画系:(9名)易程堡杨思颖黄紫婷张清维陈蓝朱一林刘正凯曾颖萍谭艾铭雕塑系:(11名)崔明达杨小山李星开许嘉升宋易霖李锡浩杨鑫高炫蔡裴玲周乔欣张嘉圳实验艺术系:(2名)谢子耿吴敏仪艺术与人文学院:(12名)肖清雨孙荣杨子陈思睿刘悦莫家樑沈迅王阳杜文孙福培林畅畅莫斯棋陈均怡美术教育学院:(38名)黄倩仪蔡润权曾日玲罗智麟叶楚颖陈雅郑嘉良赵秀平刘娴任立婷曾安萍陈晓音黄颖彦罗振升莫莉华蓝嘉昕吴柊澄黄晓晴蔡依桐张宝怡蔡帆罗颖玢阎祖浩邹文俊梁哲田青青刘俊彬余沛遥赵骏炜刘璇黎荣光林俞伊江柔静陈锦荣谢云宇邝嘉兴杨冰雁叶健建筑艺术设计学院:(9名)刘也丛依婷徐嘉阳周启明雷文婷林聪高禹婵谭梓枫吕欣工业设计学院:(27名)罗伟文郑喆仪陈贻君许畅郭誉文苏明林雪媚莫美茵陈子豪陈少霞谢怡燃李晓程杨欣刘小钰郅鹏飞李增炜蒋正赖智钰陆伟良徐梦茹张焕文陀金沛辛佳宜曹晓欣黄静琪欧阳玲岑晓华视觉艺术设计学院:(9名)敖海棠许澄龙刘翌鑫朱淑华何瑄陈文静敖婉莹连纬琪卢兴滔文体活动积极分子:(108名)中国画学院:(4名)魏莉婷王楚李瑶李嘉浩油画系:(2名)李杜诗卢国振版画系:(8名)龙冬梅张驰叶圣洲张出尘曾湘君陈丽如吴宏航李镇中雕塑系:(16名)李旭开冯仕华杨云杰李若诚徐淑贤崔倩申博伟赖俊明朱雪丽蔡思仪邓嘉铭俞健侠季宇航董宇昊袁迪诗钟莉诗实验艺术系:(4名)陈裕华陈伊朗朱超诣张家铭艺术与人文学院:(12名)杨奕诗冯梁嘉唯陈梦怡陈徽郭岱伦王倩云莫家樑沈迅赵君玉漆嘉楠艾力玛蔡弦言美术教育学院:(17名)李钻敏陈明华黎子浩谭宝海梁伟鹏邓江萍林正青赖允忆谢尹蔚梁紫晴庄馥霞阮雨晴陈稚凤喻德明陈桂容唐一瑛李嘉颖建筑艺术设计学院:(15名)叶荟青黄瑶君王奕宜曾仕成阮豪毅王靖骅辛柯南田子格蔡雪妍柯嘉鑫赵思敏刘晓阳赵明明黄梓娴李婉璇工业设计学院:(24名)余俊乐陈时璞叶晓君陈雅漪何佩仪黄宇锐邓嘉健潘静华梁显梢何圆圆陈思龙李浩炎占丽珊武依菲黄彦维周映珺吴畅郑凡孙养同盛兰平王语嫣阮绮晴叶晶缪桂云视觉艺术设计学院:(6名)潘先知林梓键向楚贤杨嘉辉李咏琪梁嘉琪先进班集体:(16个)美术教育学院(5个)2013级美术教育(国画班)2014级美术教育(国画班)2014级展示设计班2015级艺术教育班2015级水彩一班建筑艺术设计学院:(3个) 2013级陶艺班2014级工艺班2015级陶艺班工业设计学院:(4个) 2013级交互设计工作室2014级服装与服饰设计3班2015级产品设计班2015级服装与服饰设计专业视觉艺术设计学院:(3个) 2015级影像特效设计班2014级娱乐与衍生设计班2014级新媒体艺术设计班艺术与人文学院:(1名) 2013级艺术管理与策划班。