高一数学月考试题
- 格式:doc
- 大小:108.00 KB
- 文档页数:4
2024-2025学年湖北省高一年级9月月考数学试题一、单选题:本题共8小题,每小题5分,共40分。
在每小题给出的选项中,只有一项是符合题目要求的。
1.命题“∃x∈R,x2+x−1=0”的否定为( )A. ∃x∉R,x2+x−1=0B. ∃x∈R,x2+x−1≠0C. ∀x∈R,x2+x−1≠0D. ∀x∉R,x2+x−1=02.已知集合A={x|−3≤x≤1},B={x||x|≤2},则A∩B=( )A. {x|−2≤x≤1}B. {x|0≤x≤1}C. {x|−3≤x≤2}D. {x|1≤x≤2}3.下列命题为真命题的是( )A. ∀a>b>0,当m>0时,a+mb+m >abB. 集合A={x|y=x2+1}与集合B={y|y=x2+1}是相同的集合.C. 若b<a<0,m<0,则ma >mbD. 所有的素数都是奇数4.已知−1<a<5,−3<b<1,则以下错误的是( )A. −15<ab<5B. −4<a+b<6C. −2<a−b<8D. −53<ab<55.甲、乙、丙、丁四位同学在玩一个猜数字游戏,甲、乙、丙共同写出三个集合:A={x|0<Δx<2},B={x|−3≤x≤5},C={x|0<x<23},然后他们三人各用一句话来正确描述“Δ”表示的数字,并让丁同学猜出该数字,以下是甲、乙、丙三位同学的描述,甲:此数为小于5的正整数;乙:x∈B是x∈A的必要不充分条件;丙:x∈C是x∈A的充分不必要条件.则“Δ”表示的数字是( )A. 3或4B. 2或3C. 1或2D. 1或36.已知不等式ax2+bx+c<0的解集为{x|x<−1或x>3},则下列结论正确的是( )A. a>0B. c<0C. a+b+c<0D. cx2−bx+a<0的解集为{x|−13<x<1}7.已知m<8,则m+4m−8的最大值为( )A. 4B. 6C. 8D. 108.向50名学生调查对A、B两事件的态度,有如下结果:赞成A的人数是全体的五分之三,其余的不赞成;赞成B的比赞成A的多3人,其余的不赞成;另外,对A,B都不赞成的学生数比对A,B都赞成的学生数的三分之一多1人.则下列说法错误的是( )A. 赞成A的不赞成B的有9人B. 赞成B的不赞成A的有11人C. 对A,B都赞成的有21人D. 对A,B都不赞成的有8人二、多选题:本题共3小题,共18分。
高一上学期第一次月考数学测试题及答案学校:___________班级:___________姓名:___________学号:___________一、单选题(共6小题)1.下列各式正确的是()A.a6÷a2=a3B.C.D.2.=()A.4B.8C.D.3.若2m=5,4n=3,则43n﹣m的值是()A.0.9B.1.08C.2D.44.已知,则a,b,c的大小关系是()A.a<b<c B.c<a<b C.c<b<a D.a<c<b5.设a∈R.若函数f(x)=(a﹣1)x为指数函数,且f(2)>f(3),则a的取值范围是()A.1<a<2B.2<a<3C.a<2D.a<2且a≠16.已知函数f(x)=a x﹣1﹣3(a>0,a≠1)恒过定点M(m,n),则函数g(x)=m+x n+1的图象不经过()A.第一象限B.第二象限C.第三象限D.第四象限二.多选题(共3小题)7.下列判断正确的有()A.=3﹣πB.(其中a>0)C.D.(其中m>0,n>0)8.已知(a>0),则下列选项中正确的有()A.B.C .D .9.已知函数,则下列结论正确的是( )A .函数f (x )的定义域为RB .函数f (x )的值域为(﹣1,1)C .函数f (x )的图象关于y 轴对称D .函数f (x )在R 上为减函数 三.填空题(共3小题)10.计算=.11.如图,曲线①②③④中有3条分别是函数的图象,其中曲线①与④关于y 轴对称,曲线②与③关于y 轴对称,则的图象是曲线 .(填曲线序号)12.下列说法中正确的序号为 . ①在同一坐标系中,函数y =2x 与函数的图象关于y 轴对称;②函数f (x )=a x +1(a >0且a ≠1)的图象经过定点(0,2); ③函数的单减区间为(﹣∞,1];④任意x ∈(2,+∞),都有2x >x 2.参考答案1 2 3 4 5 6 7 8 9 10 11 12 DBBBADBCDACAB②①②③一.选择题(共6小题)1.解:A 、原式=a 4,所以A 选项错误;B 、原式=,所以B 选项错误;C、原式=,所以C选项错误;D、a<0,原式=,所以D选项正确.故选:D.2.解:原式=×==23=8.故选:B.3.解:2m=5,4n=3,则43n﹣m=(4n)3÷4m=33÷52==1.08.故选:B.4.解:根据题意,设f(x)=2x,则f(x)在(0,+∞)单调递增,所以a=f(0.4)<b=f(0.6)设g(x)=x0.6,则g(x)在(0,+∞)单调递增,所以因为a>20=1,所以a>c,综合可得:c<a<b.故选:B.5.解:函数f(x)=(a﹣1)x为指数函数,f(2)>f(3)则函数f(x)在R上单调递减,故0<a﹣1<1,解得1<a<2.故选:A.6.解:由指数函数的图象和性质,令x﹣1=0,解得x=1所以f(1)=a0﹣3=﹣2,所以f(x)=a x﹣1﹣3恒过定点(1,﹣2),所以m=1,n=﹣2所以,因此不经过第四象限.故选:D.二.多选题(共3小题)解:对于选项A,=|3﹣π|=π﹣3,A错误;对于选项B,因为a>0,所以,B正确;对于选项C C正确;对于选项D,因为m>0,n>0,所以,D正确.故选:BCD.8.解:由,得,整理得,故A正确;由于,则,故B错误;由,a>0,得,则,故C正确;由,得,解得,故D错误.故选:AC.9.解:A:因为2x>0,所以函数f(x)的定义域为R,故A正确;B:由所以函数f(x)的值域为(﹣1,1),故B正确;C:因为所以函数f(x)是奇函数,其图象关于原点对称,不关于y轴对称,故C错误;D:因为函数y=2x+1是增函数,因为y=2x+1>1,所以函数是减函数因此函数是增函数,故D错误.故选:AB.三.填空题(共3小题)10.解:=+=.故答案为:.11.解:由指数函数的图像和性质可知,y=3x,y=图像关于y轴对称,y=3x在R上单调递增,y=在R上单调递减又曲线①②③④中有3条分别是函数y=2x,y=3x,y=的图象,曲线①与④关于y轴对称,曲线②与③关于y轴对称所以曲线③为y=3x,曲线④为y=2x,曲线②为y=.故答案为:②.12.解:在同一坐标系中,函数y=2x与函数=2﹣x的图象关于y轴对称,故①正确;当x=0时,y=a0+1=2故函数f(x)的图象经过定点(0,2),故②正确;设g(x)=x2﹣2x则g(x)在(﹣∞,1]上单调递减由复合函数的单调性可知,函数的单减区间为(﹣∞,1],故③正确;当x=4时,2x=x2,故④错误.故答案为:①②③.。
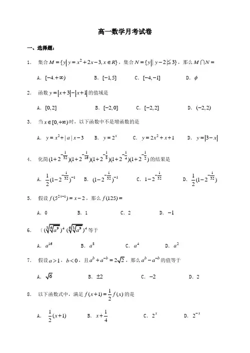
高一数学月考试卷一、选择题:1. 集合2{23,}M y y x x x R ==+-∈,集合{|2|3}N y y =-≤,那么MN =A .[ 4.)-+∞B .[1,5]-C .[4,1]--D .φ 2. 函数31y x x =+-+的值域是A .[0,2]B .[2,0]-C .[2,2]-D .(2,2)- 3. 当[0,)x ∈+∞时,以下函数中不是增函数的是A .2||3y x a x =+-B .2x y =C .221y x x =++ D .3y x =-4. 化简111113216842(12)(12)(12)(12)(12)-----+++++的结果是A .11321(12)2---B .1132(12)---C .13212--D .1321(12)2--5. 假设21(5)2x f x -=-,那么(125)f = A .0B .1C .2D .1-6. 〔44等于A .16aB .8aC .4aD .2a7. 假设1a >,0b <,且b ba a-+=,那么b b a a --的值等于A B .2± C .2- D .28. 以下函数式中,满足1(1)()2f x f x +=的是 A .1(1)2x + B .14x + C .2x D .2x -9. 以下函数中,值域为(0,)+∞的是A .125x y-= B .11()3x y -= C .y =.y =10. 三个实数a ,ab a =,bc a =,其中0,91a <<,那么这三个数之间的大小关系是A .a c b <<B .a b c <<C .b a c <<D .c a b <<11. 01a <<,1b <-,那么函数xy a b =+的图像必定不经过A .第一象限B .第二象限C .第三象限D .第四象限 12. 一批设备价值a 万元,由于使用磨损,每年比上一年价值降低b %,那么n 年后这批设备的价值为A .(1%)na b -B .(1%)a nb -C .[1(%)]n a b -D .(1%)na b -二、填空题:13. = . 14. 假设103x=,104y=,那么10x y- .15. 函数241y x mx =--+在[2,)+∞上是减函数,那么m 的取值范围是 . 16. 假设函数2()(1)3f x kx k x =+++ 是偶函数,那么()f x 的递减区间是 .17. 假设32a <a 的取值范围是 .三、解答题:18. ()2xf x =,()g x 是一次函数,并且点(2,2)在函数[()]f g x 的图象上,点(2,5)在函数[()]g f x 的图象上,求()g x 的解析式.19. 设()2x f x =,()4xg x =,且[()][()][()]g g x g f x f g x >>,求x 的取值范围.20. ()f x 为偶函数,()g x 为奇函数,且2()()21xxf xg x +=+,求()f x ,()g x .21. 设函数21()12x xa y a R ⋅-=∈+是R 上的奇函数. 〔Ⅰ〕求a 的值;〔Ⅱ〕求函数()f x 的值域;〔Ⅲ〕判断()f x 在R 上的单调性,并加以证明.22. 函数xxx f 212)(-=.〔Ⅰ〕将)(x f y =的图象向右平移1个单位,得到函数)(x g y =的图象,求函数)(x g y =的解析式;〔Ⅱ〕假设函数)(x h y =与函数)(x g y =的图象关于直线1=y 对称,求函数)(x h y =的解析式;〔Ⅲ〕设)()()(x h x f x F +=,求函数)(x F 在]1,1[-∈x 上的值域.[参考答案]一、选择题:二、填空题: 13.1 14.3415.[1,)-+∞ 16.[0,)+∞ 17.(0,1) 三、解答题:18.()23g x x =-. 19.01x <<. 20.∵ 2()()21x x f x g x +=+ 且2()()21xxf xg x ---+-=+, 又()()f x f x -=,()()g x g x -=, ∴ 22()()21xx x f x g x -⋅-=+∴ 12()12xxf x x -=⋅+,()g x x =. 21.〔Ⅰ〕 ()f x 为奇函数,∴ ()f x -()f x =-。
郑州一中27届(高一)第一次模拟测试数学试题卷第I 卷(选择题)一、选择题:本题共8小题,每小题5分,共40分.在每小题给出的四个选项中,只有一项是符合题目要求的.1. 设全集,,则如图中阴影部分表示的集合为( )A. B. C. D. 2. 命题“,”的否定是( )A. , B. ,C. , D. ,3. 已知函数的值为( )A. B. 0 C. 2 D. 44. 已知,若,,,且,,,则的值( )A. 大于0B. 等于0C. 小于0D. 不能确定5. 函数的部分图象大致为( )A.B.U R =(){}{}30,1M x x x N x x =+<=<-{|1}x x ≥-{|30}-<<x x {|3}x x ≤-{|10}x x -≤<x ∃∈R 310x x +>x ∃∈R 310x x +≥x ∃∈R 310x x+≤x ∀∈R 310x x+≤x ∀∈R 310x x +>()()2,1,2,1x x f x f x x -≤⎧=⎨>⎩2-3()2f x x x =+a b c ∈R 0a b +>0a c +>0b c +>()()()f a f b f c ++()22111x f x x +=-+C. D.6. 已知,则下列不等式一定成立的是( )A. B. C D. 7. 已知,关于的一元二次不等式的解集中有且仅有3个整数,则的值不可能是( )A 13 B. 14 C. 15 D. 168. 已知函数,若的值域为,则实数的取值范围是( )A. B. C. D. 二、选择题:本题共3小题,每小题6分,共18分.在每小题给出的选项中,有多项符合题目要求.全部选对的得6分,部分选对的得部分分,有选错的得0分.9. 下列函数中,既是奇函数,又在上单调递增的是( )A. B. C. D. 10. 命题“,”为真命题的一个充分不必要条件可以是( )A. B. C. D. 11. 设为实数,不超过的最大整数称为的整数部分,记作.例如,.称函数为取整函数,下列关于取整函数的结论中正确的是( )A. 在上是单调递增函数B. 对任意,都有C. 对任意,,都有..0a b >>22a b a b +>+2()4a b ab+≤2b a a b +<22b b a a +<+Z a ∈x 280x x a -+≤a 212,()23,3x c f x x x x c x ⎧-+<⎪=⎨⎪-+≤≤⎩()f x [2,6]c 11,4⎡⎤--⎢⎥⎣⎦1,04⎡⎫-⎪⎢⎣⎭[1,0)-11,2⎡⎤--⎢⎥⎣⎦(0,)+∞()f x =()||f x x x =2()1x x f x x -=-3()f x x =[1,2)x ∀∈20x a -≤4a ≥5a >6a ≥7a >x x x []x [1.2]1=[ 1.4]2-=-()[]f x x =()f x ()f x R x ∈R ()1f x x >-x ∈R k ∈Z ()()f x k f x k+=+D 对任意,,都有第II 卷(非选择题)三、填空题:本题共3小题,每小题5分,共15分.12. 用列举法表示______.13. 函数是上的偶函数, 且当时,函数的解析式为,则______;当时,函数的解析式为___________.14. 已知,为非负实数,且,则的最小值为______.四、解答题:本题共5小题,共77分.解答应写出文字说明、证明过程或验算步骤.15. 已知全集,集合,.(1)求;(2)求.16. 设命题,使得不等式恒成立;命题,不等式成立.(1)若为真命题,求实数取值范围;(2)若命题、有且只有一个是真命题,求实数取值范围.17. 设函数为定义在上的奇函数.(1)求实数的值;(2)判断函数的单调性,并用定义法证明在(0,+∞)上的单调性.18. 已知某园林部门计划对公园内一块如图所示的空地进行绿化,用栅栏围4个面积相同的小矩形花池,一面可利用公园内原有绿化带,四个花池内种植不同颜色的花,呈现“爱我中华”字样.(1)若用48米长的栅栏围成小矩形花池(不考虑用料损耗),则每个小矩形花池的长、宽各为多少米时,才能使得每个小矩形花池的面积最大?.的的x y ∈R ()()()f xy f x f y =6N N 1a a ⎧⎫∈∈=⎨⎬-⎩⎭∣()f x R 0x >2()1f x x=-(1)f -=0x <a b 21a b +=22211a b a b+++R U ={}2|560A x x x =-+>{|230}B x x =->A B ⋂()()U U A B ðð[]:1,1p x ∀∈-2230x x m --+<[]:0,1q x ∃∈2223x m m -≥-p m p q m ()22a f x x a x+=-+(,0)(0,)-∞+∞ a ()f x ()f x(2)若每个小矩形的面积为平方米,则当每个小矩形花池的长、宽各为多少米时,才能使得围成4个小矩形花池所用栅栏总长度最小?19. 已知集合中含有三个元素,同时满足①;②;③为偶数,那么称集合具有性质.已知集合,对于集合的非空子集,若中存在三个互不相同的元素,使得均属于,则称集合是集合的“期待子集”.(1)试判断集合是否具有性质,并说明理由;(2)若集合具有性质,证明:集合是集合的“期待子集”;(3)证明:集合具有性质的充要条件是集合是集合的“期待子集”.983A ,,x y z x y z <<x y z +>x y z ++A P {}1,2,3,,2n S n = *(N ,4)n n ∈≥n SB n S ,,a b c ,,+++a b b c c a B B n S {}1,2,3,5,7,9A =P {}3,4,B a =P B 4S M P M n S郑州一中27届(高一)第一次模拟测试数学试题卷第I卷(选择题)一、选择题:本题共8小题,每小题5分,共40分.在每小题给出的四个选项中,只有一项是符合题目要求的.【1题答案】【答案】D【2题答案】【答案】C【3题答案】【答案】D【4题答案】【答案】A【5题答案】【答案】A【6题答案】【答案】D【7题答案】【答案】D【8题答案】【答案】A二、选择题:本题共3小题,每小题6分,共18分.在每小题给出的选项中,有多项符合题目要求.全部选对的得6分,部分选对的得部分分,有选错的得0分.【9题答案】【答案】BD【10题答案】【答案】BCD【11题答案】【答案】BC第II卷(非选择题)三、填空题:本题共3小题,每小题5分,共15分.【12题答案】【答案】【13题答案】【答案】 ①. ②. 【14题答案】【答案】2四、解答题:本题共5小题,共77分.解答应写出文字说明、证明过程或验算步骤.【15题答案】【答案】(1)或 (2)【16题答案】【答案】(1)(2)【17题答案】【答案】(1)(2)在上单调递减,在(0,+∞)上单调递减,证明见解析【18题答案】【答案】(1)长为6米、宽为4米(2)长为7米、宽为米【19题答案】【答案】(1)不具有,理由见解析(2)证明见解析 (3)证明见解析{}1,2,3,61()21f x x=--{3|22x x <<3}x >3|232x x x ⎧⎫≤≤≤⎨⎬⎩⎭或(,0)-∞(,3]-∞0a =(,0)-∞143。
数学高一月考试题及答案一、选择题(每题3分,共30分)1. 若函数f(x)=2x^2+3x-5,则f(-2)的值为:A. 3B. -3C. -1D. 12. 在等差数列{a_n}中,若a_3=7,a_5=11,则公差d为:A. 2B. 3C. 4D. 53. 已知圆的方程为x^2+y^2-6x-8y+25=0,该圆的半径为:A. 2B. 4C. 5D. 64. 若sinθ=1/3,且θ为第一象限角,则cosθ的值为:A. 2√2/3B. √2/3C. √6/3D. 2√6/35. 函数y=x^3-3x+2在x=1处的导数为:B. 1C. 2D. 36. 集合A={1,2,3},集合B={2,3,4},则A∩B的元素个数为:A. 1B. 2C. 3D. 47. 已知等比数列{a_n}的首项a_1=2,公比q=3,那么a_5的值为:A. 162B. 486C. 729D. 9728. 若直线y=2x+1与圆x^2+y^2=25相切,则该直线与x轴的交点坐标为:A. (-1/2, 0)B. (1/2, 0)C. (-1, 0)D. (1, 0)9. 函数f(x)=x^2-2x+3的最小值为:A. 2B. 1C. 0D. -110. 已知向量a=(3, -4),向量b=(-2, 6),则向量a与向量b的夹角A. 0°B. 90°C. 180°D. 45°二、填空题(每题4分,共20分)1. 若函数f(x)=x^3-6x^2+11x-6的零点为x_0,则f'(x_0)的值为________。
2. 已知数列{a_n}满足a_1=2,a_{n+1}=2a_n+1,那么a_4的值为________。
3. 圆心在原点,半径为5的圆的方程为________。
4. 若sinα=3/5,且α为第二象限角,则cosα的值为________。
5. 函数y=|x-2|+|x+3|的最小值为________。
重庆市第一中学2024-2025学年高一上学期10月月考数学试题一、单选题1.已知集合{}{}432A B x x ==,,则A B =I ( )A .2163x x ⎧⎫<≤⎨⎬⎩⎭ B .{}316x x ≤<C .223x x ⎧⎫<≤⎨⎬⎩⎭D .{}02x x ≤≤2.命题.“230,1x x x ∃<+>”的否定是( ) A .230,1x x x ∀≥+≤ B .230,1x x x ∀<+≤ C .230,1x x x ∃<+≤D .230,1x x x ∃≥+≤3.已知函数()2f x +的定义域为()3,4-,则函数()1f xg x +的定义域为( )A .()4,3-B .()2,5-C .1,33⎛⎫⎪⎝⎭D .1,53⎛⎫ ⎪⎝⎭4.使得“[]21,2,0x x x a ∀∈+-≤”为真命题的一个充分不必要条件是( )A .2a ≥B .2a >C .6a >D .6a ≥5.若正实数,x y 满足3x y +=,且不等式22823m m x y+>-+恒成立,则实数m 的取值范围是( )A .{31}mm -<<∣ B .{3m m <-∣或1}m > C .{13}mm -<<∣D .{1mm <-∣或3}m > 6.函数()()()245,2231,2x a x x f x a x x ⎧-++<⎪=⎨-+≥⎪⎩满足对12,R x x ∀∈且12x x ≠,都有()()()12120f x f x x x --<⎡⎤⎣⎦,则实数a 的取值范围是( ) A .30,2⎛⎫⎪⎝⎭B .30,2⎡⎫⎪⎢⎣⎭C .()0,1D .[]0,17.已知,a b 均为正实数,且1a b +=,则下列选项错误的是( )AB .34a a b ++的最小值为7+C .()()11a b ++的最大值为94D .2232a b a b +++的最小值为16 8.含有有限个元素的数集,定义其“交替和”如下:把集合中的数按从小到大的顺序排列,然后从最大的数开始交替地加减各数,例如{}4,6,9的“交替和”是9647-+=;而{}5的交替和是5,则集合{}Z 54M x x =∈-≤≤∣的所有非空子集的“交替和”的总和为( ) A .2048B .2024C .1024D .512二、多选题9.已知,,a b c ∈R ;则下列不等式一定成立的有( ) A .若0ab ≠且a b <,则11a b> B .若0a b >>,则20242024b b a a +<+ C .若,a bcd >>,则ac bd >D .()221222a b a b ++≥--10.下列说法正确的是( )A .若p 是q 的必要不充分条件,p 是r 的充要条件,则q 是r 的充分不必要条件B .若关于x 的不等式2430kx kx k -++≥的解集为R ,则实数k 的取值范围是01k <≤C .若不等式()()30x ax b x c-+≤-的解集为[)[)2,13,∞-⋃+,则不等式2320ax ax b --≥的解集为[]1,4-D .“[]()21,3,2130a ax a x a ∃∈---+-<”为假命题的充要条件为[]51,0,43x ⎡⎤∈-⋃⎢⎥⎣⎦11.已知函数()f x 的定义域为[)0,+∞,且满足当[)0,2x ∈时,()22f x x x =-+,当2x ≥时,恒有()()2f x f x λ=-,且λ为非零常数,则下列说法正确的有( )A .()()101320272024f f λ+=B .当12λ=时,反比例函数()1g x x =与()f x 在()0,2024x ∈上的图象有且仅有6个交点C .当0λ<时,()f x 在区间[]2024,2025上单调递减D .当1λ<-时,()f x 在[]()*0,4n n ∈N 上的值域为2122,n n λλ--⎡⎤⎣⎦三、填空题12.已知集合{}210A xx =-=∣,则集合A 有个子集. 13.已知集合[]()(){}1,4,10A B xx a ax ==+-≤∣,若A B B =U 且0a ≥,则实数a 的取值范围是.14.若正实数x ,y 满足()()332331423x y x y -+-=--,则2346y x x x y++的最小值为.四、解答题15.已知函数()21,122,1x x f x x x ⎧->-⎪=⎨⎪--≤-⎩.(1)若()01f x =,求0x 的值;(2)若()3f a a <+,求实数a 的取值范围. 16.已知函数()f x =A ,集合{}321B xx =->∣. (1)求A B U ;(2)集合{}321M xa x a =-≤≤-∣,若M ()R A ð,求实数a 的取值范围. 17.已知二次函数()f x 的图象过原点()0,0,且对任意x ∈R ,恒有()26231x f x x --≤≤+.(1)求()1f -的值; (2)求函数()f x 的解析式;(3)记函数()g x m x =-,若对任意(]11,6x ∈,均存在[]26,10x ∈,使得()()12f x g x >,求实数m 的取值范围.18.教材中的基本不等式可以推广到n 阶:n 个正数的算数平均数不小于它们的几何平均数.也即:若12,,,0n a a a >L,则有*12,2n a a a n n n+++∈≥N L ,当且仅当12n a a a ===L 时取等.利用此结论解决下列问题:(1)若,,0x y z >,求24y z x x y z++的最小值;(2)若10,2x ⎛⎫∈ ⎪⎝⎭,求()312x x -的最大值,并求取得最大值时的x 的值;(3)对任意*k ∈N ,判断11k k ⎛⎫+ ⎪⎝⎭与1111k k +⎛⎫+ ⎪+⎝⎭的大小关系并加以严格证明.19.已知定义在11,,22⎛⎫⎛⎫-∞-⋃+∞ ⎪ ⎪⎝⎭⎝⎭上的函数()f x 同时满足下列四个条件:①512f ⎛⎫=- ⎪⎝⎭;②对任意12x >,恒有()()0f x f x -+=; ③对任意32x >,恒有()0f x <; ④对任意,0a b >,恒有111222f a f b f ab ⎛⎫⎛⎫⎛⎫+++=+ ⎪ ⎪ ⎪⎝⎭⎝⎭⎝⎭.(1)求32f ⎛⎫- ⎪⎝⎭的值;(2)判断()f x 在1,2⎛⎫+∞ ⎪⎝⎭上的单调性,并用定义法证明;(3)若对任意[]1,1t ∈-,恒有()()21232f t k t k -+-+≤,求实数k 的取值范围.。
2024年09月高一数学月考试题(答案在最后)一.选择题(共8小题,满分40分,每小题5分)1.已知集合{}{}1,2,3,4,5,6,1,2,4U M ==,则U M =ðA.U B.{}1,3,5 C.{}2,4,6 D.{}3,5,6【答案】D 【解析】【详解】试题分析:因为{}{}1,2,3,4,5,6,1,2,4U M ==,所以,{}3,5,6U M =ð故选D.考点:集合的运算.2.已知集合A={x|x (x+4)=0},则下列结论正确的是()A.0∈AB.-4∉A C .4∈AD.2∈A【答案】A 【解析】【分析】首先求出集合A ,即可判断元素与集合的关系;【详解】解:∵A={x|x (x+4)=0}={0,-4},∴0∈A.故选:A【点睛】本题考查元素与集合的关系,属于基础题.3.设命题:p n N ∃∈,22n n >,则p ⌝为().A.N n ∀∈,22n n >B.N n ∀∈,22n n ≤C.n ∃∈N ,22n n >D.n ∃∈N ,22nn ≤【答案】B 【解析】【分析】根据全称命题和特称命题互为否定,即可得到结果.【详解】因为命题:p n N ∃∈,22n n >,所以p ⌝为N n ∀∈,22n n ≤.故选:B.4.已知集合M={-1,0,1,2}和N={0,1,2,3}的关系的Venn 图如图所示,则阴影部分所表示的集合是()A.{0}B.{0,1}C.{0,1,2}D.{-1,0,1,2,3}【答案】C 【解析】【分析】利用交集的定义求解.【详解】由题图可知:阴影部分对应的集合为M ∩N={0,1,2},故选:C .【点睛】本题主要考查集合的基本运算,属于基础题.5.下列函数中与函数y x =是同一函数的是()A.2y =B.2n m n=C.y =D.u =【答案】D 【解析】【分析】根据同一函数的定义与判定方法,结合函数的定义域与对应关系,逐项判定,即可求解.【详解】由题意,函数y x =的定义域为R ,对于A 中,因为函数2y =的定义域为[0,)+∞,所以两函数的定义域不同,不是同一函数,所以A 不符合题意;对于B 中,因为函数2n m n=的定义域为(,0)(0,)-∞+∞ ,所以两函数的定义域不同,不是同一函数,所以B 不符合题意;对于C 中,由函数y x ==的定义域为[0,)+∞,所以两函数对应关系都不相同,不是同一函数,所以C 不符合题意;对于D 中,因为u v ==的定义域为[0,)+∞,则两函数的定义域和对应关系都相同,所以两函数是同一函数,所以D 符合题意.故选:D.6.“四边形是平行四边形”是“四边形是正方形”的()A.充分不必要条件B.必要不充分条件C.充要条件D.既不充分也不必要条件【答案】B 【解析】【分析】结合平行四边形与正方形的定义,利用充分条件与必要条件的定义判断即可.【详解】由“四边形是平行四边形”不一定得出“四边形是正方形”,但由“四边形是正方形”必推出“四边形是平行四边形”,故“四边形是平行四边形”是“四边形是正方形”的必要不充分条件.故选:B【点睛】本题主要考查充分条件与必要条件的定义,意在考查对基础知识的掌握情况,属于基础题.7.设R x ∈,则“2430x x -+<”是“220x x +->”的()A.充分而不必要条件B.必要而不充分条件C.充要条件D.既不充分也不必要条件【答案】A 【解析】【分析】求出两个不等式对应的解集,根据解集的关系,结合充分与必要条件的概念判断即可.【详解】设{}{}{}2430(1)(3)0||13|A x x x x x x x x -+<-=-=<=<<{}{}{}2(1)(2)012|20||B x x x x x x x x x =+->==-+>><-或∴x A x B ∈⇒∈,但x B ∈推不出x A∈∴“2430x x -+<”是“220x x +->”的充分而不必要条件.故选:A .8.命题∃x ∈R,x +1<0的否定是A.∃x ∈R,x +1≥0 B.∀x ∈R,x +1≥0C.∃x ∈R,x +1>0. D.∀x ∈R,x +1>0【答案】B 【解析】【分析】根据存在性命题的否定写结果.【详解】∵∃x ∈R,x +1<0∴∀x ∈R,x +1≥0故选:B二.多选题(共4小题,满分20分,每小题5分)9.下列说法正确的是()A.QB.若A B A B ⋃=⋂,则A B =C.若A B B = ,则B A ⊆D.若,a A a B ∈∈,则∈ a A B【答案】BCD 【解析】【分析】根据题意,由集合间的关系以及集合的运算,对选项逐一判断,即可得到结果.是无理数,Q 为有理数集,故A 错误;若A B A B ⋃=⋂,则必有A B =,故B 正确;若A B B = ,则有B A ⊆,故C 正确;如果有一个元素既属于集合A 又属于集合B ,则这个元素一定属于A B ⋂,故D 正确;故选:BCD10.已知不等式20ax bx c ++>的解集为{}x m x n <<,其中0m >,则以下选项正确的有()A.0a < B.0c >C.20cx bx a ++<的解集为11x x nm ⎧⎫<<⎨⎬⎩⎭ D.20cx bx a ++<的解集为1x x n ⎧<⎨⎩或1x m ⎫>⎬⎭【答案】AD 【解析】【分析】由题可得,m n 是方程20ax bx c ++=的两个根,且0a <,利用韦达定理表示出,b c ,即可求解不等式.【详解】因为不等式20ax bx c ++>的解集为{}x m x n <<,所以,m n 是方程20ax bx c ++=的两个根,且0a <,故A 正确,则b m n a c mn a ⎧+=-⎪⎪⎨⎪=⎪⎩,即(),b m n a c mna =-+=,因为0m >,则0n >,所以0c mna =<,故B 错误;不等式20cx bx a ++<化为()20mnax m n ax a -++<,即()210mnx m n x -++>,即()()110mx nx -->,因为0m n <<,所以11m n >,则不等式的解集为1x x n ⎧<⎨⎩或1x m ⎫>⎬⎭,故C 错误,D 正确.故选:AD.11.已知,0,260x y x y xy >++-=,则()A.xy 的最大值为B.2x y +的最小值为4C.x y +的最小值为3-D.22(2)(1)x y +++的最小值为16【答案】BCD 【解析】【分析】A 选项,对不等式变形为26x y xy +=-,利用基本不等式得到6xy -≥,求出xy 的最大值;B 选项,将不等式变形为()62xy x y =-+,利用基本不等式得到()()22628x y x y +-+≤,求出2x y +的最小值;C 选项,对不等式变形为()()16y x x y +=-+,利用()()2114y x y x +++≤求解x y +的最小值;D 选项,不等式变形为()()218x y ++=,利用基本不等式求出和的最小值.【详解】由260x y xy ++-=得:26x y xy +=-,因为,0x y >,所以260x y xy +=->,所以06xy <<,由基本不等式可得:2x y +≥当且仅当2x y =时,等号成立,此时6xy -≥,解得:18xy ≥或2xy ≤,因为6xy <,所以18xy ≥舍去,故xy 的最大值为2,A 错误;由260x y xy ++-=得:()62xy x y =-+,因为,0x y >,所以()620x y -+>,所以026x y <+<,由基本不等式可得:()2224x y xy +≤,当且仅当2x y =时等号成立,即()()22628x y x y +-+≤,解得:24x y +≥或212x y +≤-,因为026x y <+<,所以212x y +≤-舍去,故2x y +的最小值为4,B 正确;由260x y xy ++-=变形为()16x y y x +++=,则()()16y x x y +=-+,由基本不等式得:()()2114y x y x +++≤,当且仅当1y x =+时等号成立,此时()()2164y x x y ++-+≤,令()0x y t t +=>,则由()2164t t +-≤,解得:3t -≥或3t -≤(舍去)所以x y +的最小值为3-,C 正确;由260x y xy ++-=可得:()()218x y ++=,从而22(2)(1)2(2)(1)2816x y x y +++≥++=⨯=当且仅当21x y +=+时,即2x =-,1y =-等号成立,故22(2)(1)x y +++最小值为16.故选:BCD ,12.已知有限集{}()12,,,2,n A a a a n n =⋅⋅⋅≥∈N ,如果A 中元素()1,2,3,,i a i n =⋅⋅⋅满足1212n n a a a a a a ++⋅⋅⋅+=⨯⨯⋅⋅⋅⨯,就称A 为“完美集”下列结论中正确的有()A.集合{11---不是“完美集”B.若1a 、2a 是两个不同的正数,且{}12,a a 是“完美集”,则1a 、2a 至少有一个大于2C.2n =的“完美集”个数无限D.若*i a ∈N ,则“完美集”A 有且只有一个,且3n =【答案】BCD 【解析】【分析】根据题设中的“完美集”的定义,结合集合的运算,以及一元二次方程的性质,可判定A 错误,B 和C 正确;设A 中123n a a a a <<<⋅⋅⋅<,得到121n a a a n -⋅⋅⋅<,分2n =和3n =,两种情况分类讨论,可判定D 正确.【详解】对于A 中,((112-+-+=-,(112--+=-,集合{11--+是“完美集”,所以A 错误;对于B 中,若1a 、2a 是两个不同的正数,且{}12,a a 是“完美集”,设12120a a a a t +=⋅=>,根据根和系数的关系1a 和2a 相当于20x tx t -+=的两根,由240t t ∆=->,解得4t >或0t <(舍去),所以124a a ⋅>,所以1a 、2a 至少有一个大于2,所以B 正确;对于C 中,由B 知,一元二次方程20x tx t -+=,当t 取不同的值时,12,a a 的值是不同的,所以二元“完美集”有无穷多个,所以所以C 正确;对于D 中,不妨设A 中123n a a a a <<<⋅⋅⋅<,由1212n n n a a a a a a na ⋅⋅⋅=++⋅⋅⋅+<,得121n a a a n -⋅⋅⋅<,当2n =时,即有12a <,所以11a =,于是221a a +=,2a 无解,即不存在满足条件的“完美集”;当3n =时,123a a <,故只能11a =,22a =,求得33a =,于是“完美集”A 只有一个,为{}1,2,3.当4n ≥时,由()1211231n a a a n -⋅⋅⋅≥⨯⨯⨯⋅⋅⋅⨯-,即有()1231n n >⨯⨯⨯⋅⋅⋅⨯-,事实上,()()()()221231123222n n n n n n n n ⨯⨯⨯⋅⋅⋅⨯-≥--=-+=--+>,矛盾,所以当4n ≥时不存在完美集A ,所以D 正确.故选:BCD.三.填空题(共4小题,满分20分,每小题5分)13.设()1+,>0=0,=0π,<0x x x f x x x x⎧⎪⎪⎨⎪⎪⎩,则(π)f -的值为__________.【答案】-1【解析】【分析】根据解析式求解即可.【详解】π(π)==1πf ---.故答案为:−114.命题“0x ∃∈R ,2007210x x -+≤”的否定是_____________.【答案】x ∀∈R ,27210x x -+>【解析】【分析】由存在性命题的否定可直接得到结果.【详解】由存在性命题的否定可得原命题的否定为:x ∀∈R ,27210x x -+>.故答案为:x ∀∈R ,27210x x -+>.15.若2x >,则2242x x y x -+=-的最小值为__________.【答案】6【解析】【分析】化简22442222x x y x x x -+==-++--,然后利用基本不等式求解即可【详解】因为2x >,所以()()22222424422222x x x x y x x x x -+-+-+===-++---26≥=,当且仅当422x x -=-即=4x 时,取等号,故2242x x y x -+=-的最小值为6,故答案为:616.不等式32x x-<的解集为_______【答案】{|1x x <-或}03x <<【解析】【分析】将不等式化为2230--<x x x,则(1)(3)0x x x +-<,再根据高次不等式得解法即可得解.【详解】解:由32x x-<,得2230--<x x x,即(1)(3)0x x x +-<,解得1x <-或03x <<,所以原不等式的解集为{|1x x <-或}03x <<.故答案为:{|1x x <-或}03x <<.四.解答题(共6小题,满分70分)17.已知{}{},,1,2,3,5,0,2,4,8,A B A C B C ⊆⊆==求A .【答案】{}2或φ【解析】【分析】,A B A C ⊆⊆,则A B C ⊆ ,可得集合A .【详解】{}{}1,2,3,5,0,2,4,8B C ==,则{}2B C ⋂=,则{}2A =或A φ=.18.已知全集为R ,集合{}2=12+200P x x x -≤,集合{}=<>2+1(>0)M x x a x a a 或.(1)若x P ∈是x M ∈成立的充分不必要条件,求的取值范围;(2)若()R P M =∅ ð,求的取值范围.【答案】(1)10,(10,)2⎛⎫⋃+∞ ⎪⎝⎭(2)10,(10,)2⎛⎫⋃+∞ ⎪⎝⎭【解析】【分析】(1)由题意得,集合P 是集合M 的真子集,由此即可求解;(2)先求出R M ð,再求出满足()R P M =∅ ð时的取值范围即可.【小问1详解】因为x P ∈是x M ∈成立的充分不必要条件,所以集合P 是集合M 的真子集,因为{}{}2=12+200=210P x x x x x -≤≤≤,集合{}=<>2+1(>0)M x x a x a a 或,所以10a <或221a >+,解得102a <<或10a >,故的取值范围为10,(10,)2⎛⎫⋃+∞ ⎪⎝⎭.【小问2详解】因为集合{}=<>2+1(>0)M x x a x a a 或,所以{}R =2+1(>0)M x a x a a ≤≤ð,又因为()R P M =∅ ð,所以10a >或212a +<,解得102a <<或10a >,故的取值范围为10,(10,)2⎛⎫⋃+∞ ⎪⎝⎭.19.(1)已知1x >,求1411x x ++-的最小值;(2)已知01x <<,求()43x x -的最大值.【答案】(1)9;(2)43.【解析】【分析】(1)由于10x ->,则()114141511x x x x ++=-++--,然后利用基本不等式求解即可,(2)由于01x <<,变形得()()()1433433x x x x -=⋅⋅-,然后利用基本不等式求解即可.【详解】(1)因为1x >,所以10x ->,所以()11414155911x x x x ++=-++≥+=--,当且仅当()1411x x -=-,即32x =时取等号,所以1411x x ++-的最小值为9.(2)因为01x <<,所以()()()2113434433433323x x x x x x +-⎛⎫-=⋅⋅-≤= ⎪⎝⎭,当且仅当343x x =-,即23x =时取等号,故()43x x -的最大值为43.20.科技创新是企业发展的源动力,是一个企业能够实现健康持续发展的重要基础.某科技企业最新研发了一款大型电子设备,并投入生产应用.经调研,该企业生产此设备获得的月利润()p x (单位:万元)与投入的月研发经费x (1540x ≤≤,单位:万元)有关:当投入的月研发经费不高于36万元时,()2189010p x x x =-+-;当投入月研发经费高于36万元时,()0.454p x x =+.对于企业而言,研发利润率()100%p x y x =⨯,是优化企业管理的重要依据之一,y 越大,研发利润率越高,反之越小.(1)求该企业生产此设备的研发利润率y 的最大值以及相应月研发经费x 的值;(2)若该企业生产此设备的研发利润率不低于190%,求月研发经费x 的取值范围.【答案】(1)200%,30(2){}|2536x x ≤≤【解析】【分析】(1)根据题意,利用基本不等式和函数的单调性,分别求得来年两段上最大值,比较即可得到结论;(2)由(1)得到190810 1.9x x--+≥,结合一元二次不等式的解法,即可求得x 的范围,得到答案.【小问1详解】解:由题意知,当1536x ≤≤时,2189019010810x x y x x x -+-==--+82≤-=,当且仅当19010x x =,即30x =时取等号;当3640x <≤时,0.454540.4x y x x +==+,540.4y x =+ 在(]36,40上单调递减,540.4 1.936y ∴<+=.又2 1.9> ,∴当月研发经费为30万元时,研发利润率取得最大值200%.【小问2详解】由(1)可知,此时月研发经费1536x ≤≤,于是,令190810 1.9y x x=--+≥,整理得2619000x x -+≤,解得:2536x ≤≤.因此,当研发利润率不小于190%时,月研发经费的取值范围是{}|2536x x ≤≤.21.求函数1(0)y x x x=+<的最值.【答案】最大值为−2,没有最小值【解析】【分析】由基本不等式求解即可【详解】0x <Q 10,0x x∴->->,12x x ⎛⎫∴-+-≥= ⎪⎝⎭(当1x =-取到等号),112x x x x ⎛⎫∴+=---≤- ⎪⎝⎭,故函数1(0)y x x x=+<的最大值为2-,没有最小值.22.已知p s px m x =++.若a ,b 均为正数,且0c d >>>,则当d x c ≤≤时,(0)b ax x x +>的最大值为b ad d +与b ac c +中的较大者.(1)若=4p ,J0,522x ≤≤,求3s x -的最小值;(2)若2217t x m x =+++,对任意m ∈R 和任意12x ≤≤,都有2212s t +≥恒成立,求实数P 的取值范围.【答案】(1)4;(2)4p ≤或5p ≥.【解析】【分析】(1)把=4p ,J0代入,利用均值不等式直接求解作答.(2)根据给定条件,变形给定的不等式,结合一元二次不等式恒成立列式,再分离参数求解最值作答.【小问1详解】当=4p ,J0时,44s x x =+,而522x ≤≤,则443=4+3=+s x x x x x x --≥,当且仅当4x x=,即=2x 时取等号,所以3s x -在=2x 处取得最小值4.【小问2详解】当p s px m x =++,2217t x m x =+++时,2222221()(7)p s t px m x m x x +=++++++,则有2222222221122()()2(7)(7)1122p p s t m px m px m x x x x x x +=+++++++++--+22222221122[()(7)]()(712)p p m px x m px x x x x x =++++++++-++,因对任意m ∈R ,都有2212s t +≥,即22102s t -+≥恒成立,因此恒有2222222111Δ=4[(++7)+(+)]8[(++7)+(+)]02p p x px x px x x x x --≤成立,整理得:2221(71p x px x x ++--≥,即有22171p x px x x ++--≥或22171p x px x x++--≤-,又12x ≤≤,于是得22161x x p x x ++≤+或22181x x p x x++≥+恒成立,令1(12)u x x x =+≤≤,有522u ≤≤,则2216441x x u u x x ++=+≥+,当且仅当2u =,即=1x 时取等号,221861x x u u x x++=++,而522≤≤,当2u =时,65u u +=,当52u =时,64910u u +=,当且仅当2u =,即=1x 时,22181x x x x +++取最大值5,所以实数P 的取值范围为4p ≤或5p ≥.。
重庆市2024~2025学年高一上学期第一次月考数学试题(命题人:)(答案在最后)考试说明:1.考试时间120分钟2.试题总分150分3.试卷页数2页一、单项选择题:(本大题共8小题,每小题5分,共40分.在每小题给出的四个选项中,只有一项是符合题目要求的)1.设全集U =R ,3{|ln}3x M x y x -==+,}2{|2,1xx y y N =≤≤=,如图阴影部分所表示的集合为()A.{}23x x ≤< B.{}34x x <≤C.{|2x x ≤或3}x > D.{}33x x -≤≤【答案】B 【解析】【分析】由题意知,阴影部分表示的为M N ⋂,算出集合,M N 表示的范围,根据集合的交集的运算,即可得到本题答案.【详解】全集U =R ,集合M 中函数满足303x x ->+,解得3x <-或3x >,M ={|3x x <-或3}x >,集合N 中指数函数2x y =在上单调递增,则24222=x ≤≤,}|24{y N y =≤≤,由图可得阴影部分所表示的集合为{|34}M N x x ⋂=<≤,故选:B.2.若函数()y f x =的一个正零点用二分法计算,零点附近函数值的参考数据如下:(1)2f =-,(1.25)0.984f =-,(1.375)0.260f =-,(1.40625)0.054f =-,(1.4375)0.162f =,(1.6)0.625f =,那么方程()0f x =的一个近似根(精确度0.1)为()A.1.2 B.1.3C.1.4D.1.5【答案】C【解析】【分析】由参考数据可得(1.4375)(1.375)0f f <,区间(1.375,1.4375)满足题干要求精确到0.1,结合选项可得答案.【详解】因为1.6 1.43750.16250.1-=>,所以不必考虑端点1.6;因为1.40625 1.250.156250.1-=>,所以不必考虑端点1.25和1;因为(1.4375)0f >,(1.375)0f <,所以(1.4375)(1.375)0f f <,所以函数()f x 在(1.375,1.4375)内有零点,因为1.4375 1.3750.06250.1-=<,所以满足精确度0.1;所以方程()0f x =的一个近似根(精确度0.1)是区间(1.375,1.4375)内的任意一个值(包括端点值),根据四个选项可知:1.4[1.375,1.4375]∈.故选:C.3.“1sin 2x =”是“2()6x k k Z ππ=+∈”的()A.充分不必要条件B.必要不充分条件C.充要条件D.既不充分也不必要条件【答案】B 【解析】【分析】首先根据1sin 2x =可得:2()6x k k Z ππ=+∈或52()6x k k Z ππ=+∈,再判断即可得到答案.【详解】由1sin 2x =可得:2()6x k k Z ππ=+∈或52()6x k k Z ππ=+∈,即2()6x k k Z ππ=+∈能推出1sin 2x =,但1sin 2x =推不出2()6x k k Z ππ=+∈“1sin 2x =”是“2()6x k k Z ππ=+∈”的必要不充分条件故选:B【点睛】本题主要考查必要不充分条件的判断,同时考查根据三角函数值求角,属于简单题.4.函数21π()sin 212x xf x x -⎛⎫=⋅+ ⎪+⎝⎭在区间ππ,22⎡⎤-⎢⎥⎣⎦上的图象大致为()A.B.C.D.【答案】D 【解析】【分析】先得到函数的奇偶性,再计算出当π0,2x ⎛⎫∈ ⎪⎝⎭时,()0f x >,判断出答案.【详解】化简函数()f x 解析式可得21()cos 21x x f x x -=⋅+,定义域为R ,112121212()()cos cos()cos cos 121212112xxxx x x x x f x f x x x x x------+-=⋅+-=⋅+⋅++++ 01212cos 11cos 22x x x x x x -=⋅+⋅+=+-,()f x ∴为奇函数,AC 错误;又因为当π0,2x ⎛⎫∈ ⎪⎝⎭时,21()cos 021x x f x x -=⋅>+,B 错误,D 正确.故选:D.5.已知π0,4α⎛⎫∈ ⎪⎝⎭,π,02β⎛⎫∈- ⎪⎝⎭,πsin 43α⎛⎫+= ⎪⎝⎭,πsin 423β⎛⎫-= ⎪⎝⎭,则sin 2βα⎛⎫+ ⎪⎝⎭的值为()A.9 B.69-C.9D.9【答案】A 【解析】【分析】先根据已知条件及同角三角函数基本关系求出π1cos 43α⎛⎫+= ⎪⎝⎭,π3cos 423β⎛⎫-= ⎪⎝⎭;再利用已知角π4α+和π42β-来配凑2βα+;最后利用两角差的正弦公式即可求解.【详解】π0,4α⎛⎫∈ ⎪⎝⎭ ,π,02β⎛⎫∈- ⎪⎝⎭,πππ,442α⎛⎫∴+∈ ⎪⎝⎭,πππ,4242β⎛⎫-∈ ⎪⎝⎭,πsin 43α⎛⎫+=⎪⎝⎭,πsin 423β⎛⎫-= ⎪⎝⎭,π1cos 43α⎛⎫∴+= ⎪⎝⎭,πcos 423β⎛⎫-= ⎪⎝⎭.ππsin sin 2442ββαα⎡⎤⎛⎫⎛⎫⎛⎫∴+=+-- ⎪ ⎪ ⎢⎥⎝⎭⎝⎭⎝⎭⎣⎦ππππsin cos cos sin 442442ββαα⎛⎫⎛⎫⎛⎫⎛⎫=+--+- ⎪ ⎪ ⎪ ⎪⎝⎭⎝⎭⎝⎭⎝⎭13333=⨯-⨯9=.故选:A.6.酒驾是严重危害交通安全的违法行为,为了保障安全,根据国家规定,驾驶人员每100毫升血液酒精含量大于或等于20毫克,并每100毫升血液酒精含量小于80毫克为饮酒后驾车;每100毫升血液酒精含量大于或等于80毫克为醉酒驾车.某驾驶员喝了一定量的酒后,其血液中酒精含量上升到了每毫升血液含酒精0.8毫克,如果停止饮酒后,他的血液中的酒精会以每小时25%的速度减少,那么他想要驾车至少要经过(参考数据:lg 20.301≈,lg 30.477≈)()A.3hB.4hC.5hD.7h【答案】C 【解析】【分析】先根据题意表示出经过t 小时后,该驾驶员体内的酒精含量;再列出不等式求解即可.【详解】经过t 小时后,该驾驶员体内的酒精含量为:30.8mg /ml 4t⎛⎫⨯ ⎪⎝⎭.只需30.80.24t⎛⎫⨯< ⎪⎝⎭,即3144t⎛⎫< ⎪⎝⎭,341log 43344t ⎛⎫⎛⎫< ⎪ ⎪⎝⎭⎝⎭.因为函数34x y ⎛⎫= ⎪⎝⎭在R 上为减函数,所以341lg 42lg 20.602log 4.8164lg 4lg 32lg 2lg 30.6020.477t >==≈=---,故他至少要经过5个小时后才能驾车.故选:C.7.定义在R 上的奇函数()f x 满足,当(0,2)x ∈时,()cos((1))2f x x π=-,且2x ≥时,有1()(2)2f x f x =-,则函数2()()F x x f x x =-在[2,5]-上的零点个数为A.9B.8C.7D.6【答案】B 【解析】【分析】先由奇函数性质求出函数()f x 在[]2,2-上的解析式,再利用1()(2)2f x f x =-.得到[2,5]-的图象,2()()F x x f x x =-的零点个数,等价于求1()f x x =的解的个数.根据两函数交点个数即可求解.【详解】当(0,2)x ∈时,()cos((1))cos(sin()2222f x x x x ππππ=-=-=,()f x 是奇函数,()00f ∴=,当2x ≥时,有1()(2)2f x f x =-,()()12002f f ∴==,()()14202f f ==,若()2,0x ∈-,则()0,2x -∈,则()sin()(in ()22)s x f x f x x ππ-=-=-=-,即()sin()2f x x π=,()2,0x ∈-即当22x -≤≤时,()sin()2f x x π=,当24x ≤≤时,022x ≤-≤,此时1111()(2)sin[(2)]sin()sin()2222222f x f x x x x ππππ=-=-=-=-,当45x ≤≤时,223x ≤-≤,此时1111()(2)sin[(2)]sin()sin(44)24222f x f x x x x ππππ=-=--=--=,由2()()0F x x f x x =-=,得:当0x =时,由(0)0F =,即0x =是()F x 的一个零点,当0x ≠时,由2()0f x xx -=得1()xf x =,即1()f x x=,作出函数()f x 与1()g x x=在,[2,5]-上的图象如图:由图象知两个函数在[2,5]-上共有7个交点,加上一个0x =,故函数2()()F x x f x x =-在[2,5]-上的零点个数为8个,故选:B.【点睛】本题主要考查函数与方程的应用.判断函数零点个数的方法:直接法:即直接求零点,令()0f x =,如果能求出解,则有几个不同的解就有几个零点定理法:即利用零点存在性定理,不仅要求函数的图象在区间[]a b ,上是连续不断的曲线,且()()0f a f b < ,还必须结合函数的图象与性质(如单调性、奇偶性)才能确定函数有多少个零点图象法:即利用图象交点的个数,画出函数()f x 的图象,函数()f x 的图象与x 轴交点的个数就是函数()f x 的零点个数;将函数()f x 拆成两个函数()h x 和()g x 的差,根据()0()()f x h x g x Û==,则函数f(x)的零点个数就是函数()y h x =和()y g x =的图象的交点个数性质法:即利用函数性质,若能确定函数的单调性,则其零点个数不难得到;若所考查的函数是周期函数,则只需解决在一个周期内的零点的个数.8.已知()f x 是定义在R 上的奇函数,若对任意120x x <<,均有()()2112120x f x x f x x x ->-且(3)3f =,则不等式()0f x x ->的解集为()A.(3,0)(3,)-⋃+∞B.()3,3-C.(,3)(3,)-∞-⋃+∞D.(3,0)(0,3)-⋃【答案】A 【解析】【分析】先变形得到()()1212f x f x x x <,令()()f x g x x =,得到()()f x g x x=在(0,)+∞上单调递增,结合(3)(3)13f g ==,得到3x >,再结合函数的奇偶性和单调性得到30x -<<,从而求出答案.【详解】因为120x x <<,所以()()21120x f x x f x -<,所以()()1212f x f x x x <.设函数()()f x g x x =,则函数()()f x g x x =在(0,)+∞上单调递增,且(3)(3)13f g ==.当0x >时,不等式()0f x x ->等价于()f x x >,即()1f x x>,即()(3)g x g >,解得3x >,又因为()f x 是定义在上的奇函数,所以(0)0f =,所以,当0x =时,不等式()0f x x ->无解.因为()f x 是定义在上的奇函数,所以−=−,()()f x g x x=的定义域为()(),00,∞∞-⋃+,又()()()()()f x f x f x g x g x x x x---====--,故()()f x g x x=为偶函数,且在(,0)-∞单调递减,当0x <时,不等式()0f x x ->等价于()f x x >,即()1f x x<,因为(3)(3)13f g --==-,故()(3)g x g <-,解得30x -<<,综上,不等式()0f x x ->的解集为(3,0)(3,)-⋃+∞.故选:A.二、多选题:本题共3小题,每小题6分,共18分.在每小题给出的选项中,有多项符合题目要求.全部选对的得6分,部分选对的得部分分,有选错的得0分.9.对于实数a ,b ,c ,下列说法正确的是()A.若1a b <<,则11b a< B.若22ac bc >,则a b>C.若0a b >>,0c >,则b b c a a c+<+ D.若c a b >>,a b c a c b<--【答案】ABC 【解析】【分析】AB 选项,可利用不等式性质进行判断;CD 选项,利用作差法比较出大小.【详解】A 选项,若1a b <<,则0ab >,不等式两边同除以ab 得11b a<,A 正确;B 选项,若22ac bc >,则0c ≠,故20c >,不等式两边同除以2c 得a b >,B 正确;C 选项,()()()b a cb bc ab bc ab ac a a c a a c a a c -++---==+++,因为0a b >>,0c >,所以0,0b a a c -<+>,故()()0b a c b b c a a c a a c -+-=<++,所以b b ca a c+<+,C 正确;D 选项,()()()a b c a b c a c b c a c b --=----,因为c a b >>,所以0c a ->,0c b ->,0a b ->,但c 的正负不确定,故无法判断()()()c a b c a c b ---的正负,从而无法判断a c a -与bc b-的大小关系,D 错误.故选:ABC.10.已知函数()sin()f x x ωϕ=+(0ω>,π2ϕ<)的最小正周期为π,将该函数的图象向左平移π3个单位后,得到的图象对应的函数为偶函数,则下列说法正确的是()A.函数()y f x =的图象关于直线π6x =对称B.函数()y f x =在区间5π4π,63⎛⎫⎪⎝⎭上单调递增C.1(0)2f =-D.函数()y f x =的图象关于点π,012⎛⎫⎪⎝⎭对称【答案】BCD 【解析】【分析】由三角函数的周期性与奇偶性,结合三角函数图象平移法则求得,ωϕ,再利用代入检验法与整体代入法逐一分析各选项即可得解.【详解】因为函数()sin()f x x ωϕ=+的最小正周期为2ππω=,则2ω=,故()sin(2)f x x ϕ=+,将该函数的图象向左平移π3个单位后,得到2πsin 23y x ϕ⎛⎫=++ ⎪⎝⎭的图象,因为得到的图象对应的函数2πsin 23y x ϕ⎛⎫=++ ⎪⎝⎭为偶函数,所以2πππ(Z)32k k ϕ+=+∈,即ππ(Z)6k k ϕ=-+∈,因为π2ϕ<,所以π6ϕ=-,故π()sin 26f x x ⎛⎫=- ⎪⎝⎭,对于A ,当π6x =时,则πππ1sin 6362f ⎛⎫⎛⎫=-= ⎪ ⎪⎝⎭⎝⎭,故A 错误;对于B ,令πππ2π22π262k x k -+<-<+,Z k ∈,得ππππ(Z)63k x k k -+<<+∈,当1k =时,()y f x =在区间5π4π,63⎛⎫⎪⎝⎭上单调递增,故B 正确;对于C ,π1(0)sin 62f ⎛⎫=-=- ⎪⎝⎭,故C 正确;对于D ,πππsin 01266f ⎛⎫⎛⎫=-= ⎪ ⎪⎝⎭⎝⎭,故D 正确.故选:BCD.11.设函数()()12,1log 1,1x x f x x x ⎧≤⎪=⎨->⎪⎩,若()()()()1234f x f x f x f x ===,且1234x x x x <<<,则()1243412x x x x ++++的值可以是()A.4B.5C.163D.6【答案】AB 【解析】【分析】画出函数图象,数形结合得到120x x +=,3322x ≤<,423x <≤,结合交点关系得到()12344444222111x x x x x x +++=++++-,构造函数42()2(23)11g x x x x =++<≤+-,根据函数单调性得到取值范围,求出答案.【详解】函数()f x的图象如图所示,设()()()()1234f x f x f x f x t ====,由图可知,当01t <≤时,直线y t =与函数()f x 的图象有四个交点,交点的横坐标分别为1234,,,x x x x ,且1234x x x x <<<,1x >时,令12()log (1)1f x x =-=,解得32x =或3x =.由图可知,120x x +=,3322x ≤<,423x <≤,由()()34f x f x =,可得34111x x -=-,则有34111x x =+-,所以()1233444444422221111x x x x x x x x +++=+=+++++-.令42()2(23)11g x x x x =++<≤+-,易知()g x 在(2,3]上为减函数,且16(2)3g =,(3)4g =,故()12344164213x x x x ≤+++<+,且1644,3⎡⎫∈⎪⎢⎣⎭,1654,3⎡⎫∈⎪⎢⎣⎭,AB 正确;又1616164,,64,333⎡⎫⎡⎫∉∉⎪⎪⎢⎢⎣⎭⎣⎭,CD 错误.故选:AB.【点睛】将函数零点问题或方程解的问题转化为两函数的图象交点问题,将代数问题几何化,借助图象分析,大大简化了思维难度,首先要熟悉常见的函数图象,包括指数函数,对数函数,幂函数,三角函数等,还要熟练掌握函数图象的变换,包括平移,伸缩,对称和翻折等,涉及零点之和问题,通常考虑图象的对称性进行解决.三、填空题:本题共3小题,每小题5分,共15分.12.若1()2xf x ⎛⎫= ⎪⎝⎭的反函数为1()f x -,且11()()4f a f b --+=-,则11a b +的最小值为__________.【答案】12【解析】【分析】先利用指、对数式的互化得到函数1()2xf x ⎛⎫= ⎪⎝⎭的反函数,再利用对数的运算性质化简11()()4f a f b --+=-,最后由基本不等式求得最值即可.【详解】因为x y a =和log a y x =(0a >,1a ≠)互为反函数,若1()2xf x ⎛⎫= ⎪⎝⎭,则112()log f x x -=,又因为11()()4f a f b --+=-,所以111222log log log ()4a b ab +==-,所以16ab =,且0a >,0b >,又11116162a b a b a b ab +++==≥=,当且仅当4a b ==时等号成立,所以11a b +的最小值为12.故答案为:12.13.如果函数()f x 的图象可以通过()g x 的图象平移得到,则称函数()f x 为函数()g x 的“同形函数”,下面几对函数是“同形函数”的是__________.(填上正确选项的序号即可)①()sin f x x =,()cos g x x =;②()2sin cos f x x x =,()cos 2g x x =;③44()sin cos f x x x =-,()cos 2g x x =;④()sin 2tan f x x x =⋅,()cos 2g x x =.【答案】①②③【解析】【分析】①②③,结合三角恒等变换及平移变换法则求出答案;④由两函数定义域不同,故④错误.【详解】①()cos g x x =的图象向右平移π2个单位得到()sin f x x =的图象,①正确;②π()2sin cos sin 2cos 22f x x x x x ⎛⎫===-⎪⎝⎭,故()f x 的图象可由()cos 2g x x =的图象向右平移π4个单位得到,故②正确;③()()44222222()sin cos sin cos sincos sin cos f x x x x xx x x x =-=-+=-cos 2cos(2π)x x =-=+,故()f x 的图象可由()cos 2g x x =的图象向左平移π2个单位得到,故③正确;④2sin ()sin 2tan 2sin cos 2sin 1cos 2cos(2)1co πs xf x x x x x x x x x=⋅=⋅==-=++,因为()sin 2tan f x x x =⋅的定义域不是,而()cos 2g x x =的定义域是,所以不可能由()cos 2g x x =的图象平移得到()sin 2tan 2f x x x =⋅的图象,故④错误.故答案为:①②③14.定义域为R 的函数()f x 的图象关于直线1x =对称,当[0,1]x ∈时,()f x x =,且对任意x ∈R ,有(2)()f x f x +=-,2024(),0()log (),0f x xg x x x ≥⎧=⎨--<⎩,则方程()()0g x g x --=实数根的个数为__________.【答案】2027【解析】【分析】由于题意可得函数()f x 以4为周期,分0x >,0x <,0x =三种情况讨论,把问题转化函数图象交点个数问题,作出函数图象,结合函数的周期性即可得解.【详解】对任意∈有(2)()f x f x +=-,得(4)(2)()f x f x f x +=-+=,则函数()f x 以4为周期,由于函数()f x 的图象关于直线1x =对称,则()(2)f x f x =-,又(2)()f x f x +=-,所以(2)(2)0f x f x ++-=,则函数()f x 的图象关于(2,0)对称.当0x >时,0x -<,由()()0g x g x --=得()()g x g x =-,则2024()log f x x =-,作出()y f x =与2024log y x =-的大致图象如图,令2024log 1x -=-,则2024x =,而20244506=⨯,由图可知,在第一个周期内有三个交点,后面每个周期内有两个交点,所以()y f x =与2024log y x =-的图象在(0,)+∞上有350521013+⨯=个交点;当0x <时,0x ->,由()()g x g x =-得:2024log ()()x f x --=-,令x t -=,0t >,得2024()log f t t =-,由上述可知,()y f t =与2024log y t =-的图象在(0,)+∞上有1013个交点,故()y f x =-与2024log ()y x =--的图象在(,0)-∞上有1013个交点,又0x =时,()()0g x g x --=成立,所以方程()()0g x g x --=实数根的个数为2101312027⨯+=.故答案为:2027.【点睛】思路点睛:由题分析可得函数()f x 以4为周期,图象关于(2,0)中心对称,把问题转化函数图象交点个数问题,数形结合可得解.四、解答题:本题共5小题,共77分.解答应写出文字说明、证明过程或演算步骤.15.设集合{}11ee x A x -=≤≤,若关于x 的不等式20x mx n ++≤的解集为A .(1)求函数()2f x x mx n =++的解析式;(2)求关于x 的不等式()()2322f x x λλ+>-+的解集,其中λ∈R .【答案】(1)详见解析;(2){|x x λ<-或}3x λ>-.【解析】【分析】(1)先化简集合A ,再根据关于x 的不等式20x mx n ++≤的解集为A ,利用根与系数的关系求解;(2)由(1)化简不等式为()()30x x λλ++->求解.【小问1详解】解:集合{}11ee x A x -=≤≤{}|12x x =≤≤,因为关于x 的不等式20x mx n ++≤的解集为A ,所以3,2m n =-=,则()232f x x x =-+;【小问2详解】由(1)知:关于x 的不等式()()2322f x x λλ+>-+即为:()2232322x x x λλ-++>-+,即为()222330x x λλλ+-+->,即为()()30x x λλ++->,解得:3x λ>-或x λ<-,所以不等式的解集为:{|x x λ<-或}3x λ>-.16.若函数()y f x =对任意实数x ,y 都有()()()f xy f x f y =,则称其为“保积函数”.现有一“保积函数”()f x 满足(1)1f -=-,且当01x <<时,()(0,1)f x ∈.(1)判断“保积函数”()f x 的奇偶性;(2)若“保积函数”()f x 在区间(0,)+∞上总有()0f x >成立,试证明()f x 在区间(0,)+∞上单调递增;(3)在(2)成立的条件下,若(2)2f =,求()211log sin 2f x +≤,[0,2π]x ∈的解集.【答案】(1)()f x 为奇函数(2)证明见解析(3)π3π0,,π44⎛⎤⎡⎫⎪⎥⎢⎝⎦⎣⎭【解析】【分析】(1)赋值,结合(1)1f -=-,进而得到()f x 为奇函数;(2)()f x 在(0,)+∞上单调递增,利用定义法得到函数的单调性;(3)赋值法得到1122f ⎛⎫=⎪⎝⎭,结合函数单调性得到211log sin 2x +≤,[0,2π]x ∈,数形结合,结合定义域,得到不等式,求出解集.【小问1详解】()f x 为奇函数,理由如下:根据题意,令1y =-,得()()(1)f x f x f -=-,因为(1)1f -=-,所以()()f x f x -=-,故结合定义域可知,()f x 为奇函数.【小问2详解】证明:任取1x ∀,2(0,)x ∈+∞,且12x x >,则2101x x <<,因此()()()()()2212111111x x f x f x f x f x f x f x f x x ⎛⎫⎛⎫-=-⋅=- ⎪ ⎪⎝⎭⎝⎭()2111x f x f x ⎛⎫⎛⎫=-⎪ ⎪ ⎪⎝⎭⎝⎭,因为2101x x <<,且当01x <<时,()(0,1)f x ∈,所以2110x f x ⎛⎫-> ⎪⎝⎭,因为(0,)∀∈+∞x ,()0f x >恒成立,所以()10f x >,所以()()()2121110x f x f x f x f x ⎛⎫⎛⎫-=-> ⎪ ⎪⎪⎝⎭⎝⎭,即()()12f x f x >,又因为120x x >>,所以()f x 在(0,)+∞上单调递增;【小问3详解】(1)1f -=-Q ,又()f x 为奇函数,(1)(1)1f f ∴=--=,()()()f xy f x f y = ,112(2)22f f f⎛⎫⎛⎫∴⨯= ⎪ ⎪⎝⎭⎝⎭,(2)2f = ,1122f ⎛⎫∴= ⎪⎝⎭,故原不等式等价于()211log sin 2f x f ⎛⎫+≤⎪⎝⎭,[0,2π]x ∈,()f x 在(0,)+∞上单调递增且(0,)∀∈+∞x ,()0f x >恒成立,又()f x 为奇函数,()f x ∴在上单调递增,故211log sin 2x +≤,[0,2π]x ∈,则221log sin log 22x ≤-=,[0,2π]x ∈,∴sin 0sin 2x x >⎧⎪⎨≤⎪⎩,解得π04x <≤或3ππ4x ≤<,综上,()211log sin 2f x +≤,[0,2π]x ∈的解集为π3π0,,π44⎛⎤⎡⎫⋃ ⎪⎥⎢⎝⎦⎣⎭.17.已知函数())f x x =ω+ϕ(0ω>,ππ22ϕ-≤≤)的图象关于直线π3x =对称,且图象上相邻两个最高点的距离为π.(1)求ω和ϕ的值;(2)当π0,2⎡⎤∈⎢⎥⎣⎦x 时,求函数()y f x =的最大值和最小值;(3)设()()(0)g x f cx c =>,若()g x 图象的任意一条对称轴与x 轴的交点的横坐标不属于区间(π,2π),求c 的取值范围.【答案】(1)2ω=,π6ϕ=-(22-(3)1150,,6312⎛⎤⎡⎤ ⎥⎢⎥⎝⎦⎣⎦【解析】【分析】(1)根据最小正周期求出ω,再根据对称轴求出ϕ;(2)由(1)可得()f x 解析式,再由x 的取值范围求出π26x -的范围,最后由正弦函数的性质计算可得;(3)首先得到()g x 的解析式,由12ππ22c⨯≥求出c 的大致范围,再求出()g x 图象的某一条对称轴与x 轴的交点的横坐标属于区间(π,2π)时c 的取值范围,即可得解.【小问1详解】因为()f x 的图象上相邻两个最高点的距离为π,所以()f x 的最小正周期πT =,所以2π2Tω==,又因为()f x 的图象关于直线π3x =对称,所以232ππkπϕ⨯+=+,k ∈Z ,所以ππ6k ϕ=-,k ∈Z ,又ππ22ϕ-≤≤,所以π6ϕ=-,综上可得2ω=,π6ϕ=-.【小问2详解】由(1)知π()26f x x ⎛⎫=- ⎪⎝⎭,当π0,2⎡⎤∈⎢⎥⎣⎦x 时,ππ5π2666x -≤-≤,所以当ππ262x -=(即π3x =)时,max ()f x =当ππ266x -=-(即0x =)时,min 3()2f x =-,所以函数()y f x =在π0,2⎡⎤∈⎢⎣⎦x 2-.【小问3详解】由题意π()()26g x f cx cx ⎛⎫==- ⎪⎝⎭()0c >,()g x 图象的任意一条对称轴与x 轴的交点的横坐标都不属于区间(π,2π),12ππ22c ∴⨯≥且0c >,解得102c <≤,令ππ2π62cx k -=+,k ∈Z ,解得ππ23k x c c=+,k ∈Z ,若()g x 图象的某一条对称轴与x 轴的交点的横坐标属于区间(π,2π),则πππ2π23k c c <+<,解得114623k k c +<<+,当1k =-时,112c -<且16c <-(矛盾),故解集为空集;当0k =时,1163c <<;当1k =时,55126c <<,故c 的取值范围为1150,,6312⎛⎤⎡⎤⋃ ⎥⎢⎥⎝⎦⎣⎦.18.已知函数2()43f x x x =-+,()(4)3g x a x =+-,a ∈R .(1)若[1,0]x ∃∈-,使得方程()20m f x -=有解,求实数m 的取值范围;(2)若对任意的1[1,5]x ∈-,总存在2[1,5]x ∈-,使得()()12f x g x ≤,求实数a 的取值范围;(3)设()()()h x f x g x =+,记()M a 为函数()h x 在[0,1]上的最大值,求()M a 的最小值.【答案】(1)[]2log 3,3(2){15a a ≤-或9}5a ≥-(3)3-【解析】【分析】(1)根据二次函数的单调性,结合存在性的定义、对数的单调性进行求解即可;(2)根据存在性和任意性的定义,结合函数的对称性分类讨论进行求解即可;(3)根据函数的对称性、单调性分类讨论进行求解即可.【小问1详解】[1,0]x ∃∈-,2()20243m m f x x x -=⇔=-+,因为函数2()43f x x x =-+的图象的对称轴是直线2x =,所以()y f x =在[1,0]-上为减函数,max ()(1)8f x f =-=,min ()(0)3f x f ==,故2[3,8]m ∈,所以m 的取值范围为[]2log 3,3.【小问2详解】对任意的1[1,5]x ∈-,总存在2[1,5]x ∈-,使得()()12f x g x ≤,∴即在区间[1,5]-上,()()12max max f x g x ≤,函数2()43f x x x =-+图象的对称轴是直线2x =,又[1,5]x ∈-,∴当5x =时,函数()f x 有最大值为2(5)54538f =-⨯+=,①当4a =-时,()3g x =-,不符合题意,舍去;②当4a >-时,()g x 在[1,5]-上的值域为[7,517]a a --+,5178a ∴+≥,得95a ≥-;③当4a <-时,()g x 在[1,5]-上的值域为[517,7]a a +--,78a ∴--≥,得15a ≤-,综上,a 的取值范围为{15a a ≤-或9}5a ≥-;【小问3详解】函数2()h x x ax =+图象的对称轴为2a x =-,①当2a ≤-或0a ≥时,()h x 在[0,1]上单调递增,则()(1)|1|M a f a ==+;②当20a -<<时,2()max ,(1)max ,124a a M a ff a ⎧⎫⎧⎫⎛⎫=-=+⎨⎬⎨⎬ ⎪⎝⎭⎩⎭⎩⎭,解不等式组22014a a a -<<⎧⎪⎨>+⎪⎩,得(221a -<<-,故当20a -<<,()((2,22141,210a a M a a a ⎧-<<-⎪=⎨⎪+-≤<⎩,综上,()((2,22141,221a a M a a a a ⎧-<<-⎪=⎨⎪+≤-≥-⎩或,()M a ∴在((),21∞--上单调递减,在()21,∞⎡+⎣上单调递增,(21a ∴=-时,()M a取最小值为(2113+=-.【点睛】关键点睛:本题的关键是根据函数的对称轴与所给区间的相位位置进行分类讨论.19.已知()()()sin22sin cos 8f m θθθθ=---+.(1)当1m =时,求π12f ⎛⎫⎪⎝⎭的值;(2)若()fθ的最小值为7-,求实数m 的值;(3)对任意的π,π4θ⎛⎫∈⎪⎝⎭,不等式()816sin cos m f θθθ->-恒成立.求m 的取值范围.【答案】(1)172+(2)5m =或1m =-(3)722,6⎛⎫++∞ ⎪ ⎪⎝⎭【解析】【分析】(1)利用辅助角公式,化简函数,再代入求π12f ⎛⎫⎪⎝⎭;(2)首先设sin cos t θθ=-,利用三角恒等变换,将函数表示成关于t 的二次函数,讨论对称轴,结合定义域求函数的最小值,列式求解m ;(3)根据(2)的结果,不等式参变分离为128m t t t->+-,在(t ∈恒成立,转化为判断函数的单调性,求函数的最值,即可求解m 的取值范围.【小问1详解】()()())πsin22sin cos 8sin22sin 84f m m θθθθθθ⎛⎫=---+=--+ ⎪⎝⎭,当1m =时,ππππ1ππsin 881261242124f ⎛⎫⎛⎫⎛⎫=-+=--+ ⎪ ⎪ ⎪⎝⎭⎝⎭⎝⎭1178262π+=+=;【小问2详解】设πsin cos 4t θθθ⎛⎫=-=- ⎪⎝⎭,则t ⎡∈⎣,22sin cos 1=-+t θθ,()()()229,f Q t t m t t θ⎡==---+∈⎣,其对称轴为12m t =-+,当102m-+≥,即2m ≥时,()f θ的最小值为(77Q =+=-,则5m =;当102m-+<,即2m <时,()f θ的最小值为77Q =-=-1m =-;综上,5m =或1m =-;【小问3详解】由()816sin cos m f θθθ->-,对所有π,π4θ⎛⎫∈ ⎪⎝⎭都成立.设πsin cos 4t θθθ⎛⎫=-=- ⎪⎝⎭,则(t ∈,()281629m t m t t-∴>---+,(t ∈恒成立,280t -> ,128m t t t∴-+->,在(t ∈恒成立,当(t ∈时,8t t -递减,则18t t t+-在(递增,t ∴=时18t t t +-取得最大值726得2m ->2∴>m 所以存在符合条件的实数m ,且m的取值范围为2,6∞⎛⎫++ ⎪ ⎪⎝⎭.【点睛】关键点点睛:本题的关键利用公式()22sin cos 1sin cos θθθθ=--,从而利用换元法转化为关于t 的函数问题.。
高一数学月考试题及答案一、选择题(共20小题,每题4分,共80分)1. 已知集合 $A = \{x \mid x \text{是正整数,且} x < 10\}$,$B = \{y \mid y \text{是正整数,且} y \geq 5\}$,则集合 $A \cup B$ 包含元素个数为()。
A. 4B. 9C. 10D. 112. 已知函数 $f(x)=3x^2+2x+1$,则 $f(2) =$()。
A. 21B. 17C. 13D. 113. 若 $a=(1, 2)$,$b=(3, 4)$,则 $\overrightarrow{AB} =$()。
A. (2, 2)B. (2, 3)C. (3, 2)D. (4, 6)4. 在点 $P(4, 3)$ 和点 $Q(-2, 7)$ 的坐标平面直角坐标系下, 则$\overrightarrow{PQ}$ 的坐标为()。
A. (6, 4)B. (-6, 4)C. (6, -4)D. (-6, -4)5. 下列事件中, 既是必然事件又是不可能事件的是()。
A. 抛一颗骰子, 出现1点.B. 抽一张扑克牌, 不是黑桃.C. 接电话时, 大声讲话.D. 一次朋友聚会, 5人都睡着了.6. 若等差数列 $\{a_n\}$ 的首项 $a_1=3$,公差 $d=2$,则 $a_5=$()。
A. 5B. 7C. 9D. 117. 若直线 $y=2x-3$ 切割下列圆所得弦长相同的是()。
A. $(x-1)^2 + (y+2)^2 = 4$B. $(x+1)^2 + (y-2)^2 = 4$C. $(x-1)^2 + (y+2)^2 = 1$D. $(x+1)^2 + (y-2)^2 = 1$8. 设正弦函数 $y=3\sin{(2x+\frac{\pi}{6})}$,则振幅为()。
A. 2B. 3C. -2D. -39. 在直角坐标系中,过点 $A(-3, 4)$ 和点 $B(1, 2)$ 的直线为()。
2024级高一数学试题总分:150分 时间:120分钟一、选择题:本题共8小题,每小题5分,共40分.在每小题给出的四个选项中,只有一项是符合题目要求的.1.命题“,”的否定为( )x ∀∈R 2210x x -+>A., B.,x ∀∈R 2210x x -+<x ∀∉R 2210x x -+>C., D.,x ∃∈R 2210x x -+≥x ∃∈R 2210x x -+≤2.定义集合运算.设,,则集合的真子{},,A B c c a b a A b B ==+∈∈◇{}0,1,2A ={}2,3,4B =A B ◇集个数为( )A.32B.31C.30D.153.设集合,,那么下面的4个图形中,能表示集合到集合且{}02M x x =≤≤{}02N y y =≤≤M N 以集合为值域的函数关系的有( )NA ①②③④ B.①②③C.②③D.②4.已知函数.下列结论正确的是( )()223f x x x =-++A.函数的减区间()f x ()(),11,3-∞- B.函数在上单调递减()f x ()1,1-C.函数在上单调递增()f x ()0,1D.函数的增区间是()f x ()1,3-5.已知函数,则下列关于函数的结论错误的是( )()22,1,12x x f x x x +≤-⎧=⎨-<<⎩()f xA. B.若,则()()11f f -=()3f x =x C.的解集为 D.的值域为()1f x <(),1-∞()f x (),4-∞6.已知函数的定义域和值域都是,则函数的定义域和值域分别为( )()f x []0,1fA.和B.和⎡⎣[]1,0-⎡⎣[]0,1C.和D.和[]1,0-[]1,0-[]1,0-[]0,17.设函数;若,则实数的取值范围是( )()()()4,04,0x x x f x x x x +≥⎧⎪=⎨--<⎪⎩()()231f a f a ->-a A. B.()(),12,-∞-+∞ ()(),21,-∞-+∞ C. D.()(),13,-∞-+∞ ()(),31-∞-+∞ 8.已知函数满足,则( )()f x ()111f x f x x ⎛⎫+=+⎪-⎝⎭()2f =A. B. C. D.34-343294二、选择题:本题共3小题,每小题6分,共18分.在每小题给出的选项中,有多项符合题目要求.全部选对的得6分,部分选对的得部分分,有选错的得0分9.设集合,集合,若,则实数的值可以为( {}2280A x x x =--={}40B x mx =-=A B =∅R m )A. B. C.0 D.12-1-10.已知对任意的,不等式恒成立,则下列说法正确的是( )0x <()()240ax x b -+≥A. B.0a >0b <C.的最小值为8 D.的最小值为2a b -1b a +16411.已知,均为正实数.则下列说法正确的是( )x y A.的最大值为22xy x y +128.若,则的最大值为84x y +=22x y +C.若,则的最小值为21y x+=1x y +3+D.若,则的最小值为22x y x y +=-12x y x y +++169三、填空题:本题共3小题,每小题5分,共15分.12.函数______()f x =13.已知函数满足对任意实数,都有成立,()25,1,1x ax x f x a x x⎧-+≤⎪=⎨>⎪⎩12x x ≠()()()21210x x f x f x --<⎡⎤⎣⎦则实数的取值范围是______a 14.记为,,中最大的数.设,,则的最小值为______.{}max ,,abc a b c 0x >0y >13max ,,y x x y ⎧⎫+⎨⎬⎩⎭四、解答题:本题共5小题,共77分.解答应写出文字说明、证明过程或演算步骤.15.(本小题满分13分)(1)已知是一次函数,且,求的解析式;()f x ()()94ff x x =+()f x (2)已知函数.求的解析式;()24212f x x x +=-()f x (3)已知函数满足,求函数的解析式.()f x ()1222f x f x x ⎛⎫-++= ⎪⎝⎭()y f x =16.(本小题满分15分)已知定义在的函数,,满足对,等式()0,+∞()f x ()21f =(),0,x y ∀∈+∞恒成立且当时,.()()()f xy f x f y =+1x >()0f x >(1)求,的值;()1f 14f ⎛⎫ ⎪⎝⎭(2)若,解关于的不等式:.()21f =x ()()64f x f x +-≤17.(本小题满分15分)已知函数()21,1,1x ax x f x ax x ⎧-++≤=⎨>⎩(1)若,用定义法证明:为递增函数;3a =()f x (2)若对任意的,都有,求实数的取值范围.x ()22f x x >-a 18.(本小题满分17分)两县城和相距20km ,现计划在县城外以为直径的半圆弧(不含A B AB AB 两点)上选择一点建造垃圾处理站,其对城市的影响度与所选地点到城市的距离有关,垃圾处理厂AB C 对城的影响度与所选地点到城的距离的平方成反比,比例系数为4;对城的影响度与所选地点到城A A B 的距离的平方成反比,比例系数为,对城市和城市的总影响度为城市和城市的影响度之和,B K A B A B 记点到城市的距离为,建在处的垃圾处理厂对城和城的总影响度为,统计调查表明:当C A x C A B y 垃圾处理厂建在的中点时,对城和城的总影响度为0.065.AB AB (1)将表示成的函数;y x(2)判断弧上是否存在一点,使得建在此处的垃圾处理厂对城市和城的总信影响度最小?若存AB A B 在,求出该点到坡的距离;若不存在,说明理由.A 19.(本小题满分17分)已知集合,其中,由中元{}()12,,2k A a a a k =⋅⋅⋅⋅⋅⋅≥()1,2,i a Z i k ∈=⋅⋅⋅⋅⋅⋅A 素可构成两个点集和:,.P Q (){},,,P x y x A y A x y A =∈∈+∈(){},,,Q x y x A y A x y A =∈∈-∈其中中有个元素,中有个元素.新定义一个性质:若对任意的,,则称集合具P m Q n G x A ∈x A -∉A 有性质G(1)已知集合与集合和集合,判断它们是否具有性{}0,1,2,3J ={}1,2,3K =-{}222L y y x x ==-+质,若有,则直接写出其对应的集合、;若无,请说明理由;G P Q (2)集合具有性质,若,求:集合最多有几个元素?A G 2024k =Q (3)试判断:集合具有性质是的什么条件并证明.A G m n =。
高一数学第一次月考试题时量:120分钟 总分:150分 姓名: 班级: 得分:一、 选择题(5×10=50分)1.集合},{b a 的子集有 ( )A .2个B .3个C .4个D .5个2. 设集合{}|43A x x =-<<,{}|2B x x =≤,则A B = ( )A .(4,3)-B .(4,2]-C .(,2]-∞D .(,3)-∞3. 图中阴影部分所表示的集合是( )A.B ∩[CU(A ∪C)]B.(A ∪B) ∪(B ∪C)C.(A ∪C)∩(CUB)D.[CU(A ∩C)]∪B4.下列对应关系:( )①{1,4,9},{3,2,1,1,2,3},A B ==---f :x x →的平方根②,,A R B R ==f :x x →的倒数③,,A R B R ==f :22x x →-④{}{}1,0,1,1,0,1,A B f =-=-:A 中的数平方其中是A 到B 的映射的是A .①③B .②④C .③④D .②③5. 已知A 、B 两地相距150千米,某人开汽车以60千米/小时的速度从A 地到达B 地,在B 地停留1小时后再以50千米/小时的速度返回A 地,把汽车离开A 地的距离s 表示为时间t (小时)的函数表达式是( )A .s=60tB .s=60t+50tC .s=D .s= 6. 函数y=xx ++-1912是( ) A . 奇函数 B .偶函数 C .既是奇函数又是偶函数 D .非奇非偶数7.已知函数212x y x ⎧+=⎨-⎩(0)(0)x x ≤>,使函数值为5的x 的值是( ) ⎪⎩⎪⎨⎧≤<--≤<≤≤)5.65.3(),5.3(50150)5.35.2(,150)5.20(,60t t t t t ⎩⎨⎧>-≤≤)5.3(,50150)5.20(,60t t t tA .-2B .2或52-C . 2或-2D .2或-2或52- 8.下列函数中,定义域为[0,+∞)的函数是 ( )A .x y =B .22x y -=C .13+=x yD .2)1(-=x y9.下列图象中表示函数图象的是 ( )(A ) (B) (C ) (D)10. 若偶函数 f(x)在 上是增函数,则下列关系式中成立的是( )A. B.C. D. 二、填空题(5×5=15分)11.已知f(x)是定义域为R 的偶函数,当x<0时, f(x)是增函数,若x 1<0,x 2>0,且12x x <,则1()f x 和2()f x 的大小关系是 .12.已知集合M={(x ,y )|x +y =2},N={(x ,y )|x -y =4},那么集合M ∩N = .13.设集合A={23≤≤-x x },B={x 1212+≤≤-k x k },且A ⊇B ,则实数k 的取值范围是 .14. 设奇函数f (x )的定义域为[-5,5],若当 时,f(x)的图象如右图,则不等式f(x)<0的解是 .15.已知函数()y f x =是R 上的偶函数,且在(-∞,0]上是减函数,若()(2)f a f ≥,则实数a 的取值范围是 .三、解答题(共75分)16.集合A ={x |x 2-ax +a 2-19=0},B ={x |x 2-5x +6=0},C ={x |x 2+2x -8=0}.(12分) (Ⅰ)若A =B ,求a 的值;(6分)(Ⅱ)若∅A ∩B ,A ∩C =∅,求a 的值.(6分)x y 0 x y 0 x y 0 x y 0 (]1,-∞-)2()1()23(f f f <-<-)2()23()1(f f f <-<-)23()1()2(-<-<f f f )1()23()2(-<-<f f f [0,5]x ∈17、设U={2,3,a 2+2a-3},A={b,2},U ⊇A ,C U A={5},求实数a 和b 的值。
武汉高一年级第一次月考(数学)(答案在最后)第Ⅰ卷一、单选题(本题共8小题,每小题5分,共40分,在每小题给出的四个选项中,只有一项是符合题目要求的)1.已知集合{}43A x x =∈-≤≤Z ,{}13B x x =∈+<N ,则A B = ()A.{}0,1 B.{}0,1,2 C.{}1,2 D.{}1【答案】A 【解析】【分析】化简集合,根据交集运算求解.【详解】根据题意,得{}{}=4,3,2,1,0,1,2,30,1A B ----=,,所以{}0,1A B = ,故选:A.2.设{}{}2712|0,0|2A x x x B x ax =-+==-=,若A B B = ,求实数a 组成的集合的子集个数有()A.2B.3C.4D.8【答案】D 【解析】【分析】先解方程得集合A ,再根据A B B = 得B A ⊆,根据包含关系求实数a ,根据子集的定义确定实数a 的取值组成的集合的子集的个数.【详解】{}{}271203,4|A x x x =-+==因为A B B = ,所以B A ⊆,因此B =∅或{}3B =或{}4B =,当B =∅时,=0a ,当{}3B =时,23a =,当{}4B =时,12a =,实数a 的取值组成的集合为210,,32⎧⎫⎨⎬⎩⎭,其子集有∅,{}0,23⎧⎫⎨⎬⎩⎭,12⎧⎫⎨⎬⎩⎭,20,3⎧⎫⎨⎬⎩⎭,10,2⎧⎫⎨⎬⎩⎭,21,32⎧⎫⎨⎬⎩⎭,210,,32⎧⎫⎨⎬⎩⎭,共8个,故选:D .3.下列结论中正确的个数是()①命题“所有的四边形都是矩形”是存在量词命题;②命题“2,10x R x ∀∈+<”是全称量词命题;③命题“2,210x R x x ∃∈++≤”的否定为“2,210x R x x ∀∈++≤”;④命题“a b >是22ac bc >的必要条件”是真命题;A.0 B.1C.2D.3【答案】C 【解析】【分析】根据存在量词命题、全称量词命题的概念,命题的否定,必要条件的定义,分析选项,即可得答案.【详解】对于①:命题“所有的四边形都是矩形”是全称量词命题,故①错误;对于②:命题“2R 10x x ∀∈+<,”是全称量词命题;故②正确;对于③:命题2:R,210p x x x ∃∈++≤,则2:R,210p x x x ⌝∀∈++>,故③错误;对于④:22ac bc >可以推出a b >,所以a b >是22ac bc >的必要条件,故④正确;所以正确的命题为②④,故选:C4.“0m >”是“x ∃∈R ,2(1)2(1)30m x m x -+-+≤是假命题”的()A.充分不必要条件B.必要不充分条件C.充要条件D.既不充分也不必要条件【答案】B 【解析】【分析】由命题“x ∃∈R ,2(1)2(1)30m x m x -+-+≤是假命题”,利用二次函数的性质,求得实数m 的取值范围,结合充分、必要条件的判定方法,即可求解.【详解】由题意,命题“x ∃∈R ,2(1)2(1)30m x m x -+-+≤是假命题”可得命题“x ∀∈R ,2(1)2(1)30m x m x -+-+>是真命题”当10m -=时,即1m =时,不等式30>恒成立;当10m -≠时,即1m ≠时,则满足()()210214130m m m ->⎧⎪⎨⎡⎤---⨯<⎪⎣⎦⎩,解得14m <<,综上可得,实数14m ≤<,即命题“x ∃∈R ,2(1)2(1)30m x m x -+-+≤是假命题”时,实数m 的取值范围是[1,4),又由“0m >”是“14m ≤<”的必要不充分条件,所以“0m >”是“x ∃∈R ,2(1)2(1)30m x m x -+-+≤是假命题”的必要不充分条件,故选:B.【点睛】理解全称命题与存在性命题的含义时求解本题的关键,此类问题求解的策略是“等价转化”,把存在性命题为假命题转化为全称命题为真命题,结合二次函数的性质求得参数的取值范围,再根据充分、必要条件的判定方法,进行判定.5.已知()f x =+,则函数(1)()1f xg x x +=-的定义域是()A.[2,1)(1,2]-⋃B.[0,1)(1,4]U C.[0,1)(1,2]⋃ D.[1,1)(1,3]-⋃【答案】A 【解析】【分析】先求出()f x 的定义域,结合分式函数分母不为零求出()g x 的定义域.【详解】()f x = ,10330x x x +≥⎧∴∴≤≤⎨-≥⎩,-1,()f x ∴的定义域为[]1,3x ∈-.又(1)()1f x g x x +=- ,1132210x x x -≤+≤⎧∴∴-≤≤⎨-≠⎩,且1x ≠.(1)()1f xg x x +∴=-的定义域是[2,1)(1,2]-⋃.故选:A6.已知0a >,0b >,且12111a b+=++,那么a b +的最小值为()A.1-B.2C.1+ D.4【答案】C 【解析】【分析】由题意可得()1211211a b a b a b ⎛⎫+=++++-⎪++⎝⎭,再由基本不等式求解即可求出答案.【详解】因为0a >,0b >,12111a b+=++,则()1211211211a b a b a b a b ⎛⎫+=+++-=++++- ++⎝⎭()2113211a b b a ++=++-++()21111111a b ba ++=++≥+=+++.当且仅当()2111112111a b b a a b⎧++=⎪⎪++⎨⎪+=⎪++⎩即2a b ⎧=⎪⎨⎪=⎩时取等.故选:C .7.若两个正实数x ,y 满足141x y +=,且不等式234y x m m +<-有解,则实数m 的取值范围是()A.{14}mm -≤≤∣ B.{0mm <∣或3}m >C .{41}mm -<<∣ D.{1mm <-∣或4}m >【答案】D 【解析】【分析】首先不等式转化为2min34y m m x ⎛⎫->+⎪⎝⎭,再利用基本不等式求最值,即可求解.【详解】若不等式234y x m m +<-有解,则2min 34y m m x ⎛⎫->+ ⎪⎝⎭,因为141x y +=,0,0x y >>,所以144224444y y x y x x x y y x ⎛⎫⎛⎫+=++=++≥+= ⎪ ⎪⎝⎭⎝⎭,当44x y y x =,即4y x =时,等号成立,4y x +的最小值为4,所以234m m ->,解得:4m >或1m <-,所以实数m 的取值范围是{1m m <-或4}m >.故选:D8.已知函数222,2,()366,2,x ax x f x x a x x ⎧--≤⎪=⎨+->⎪⎩若()f x 的最小值为(2)f ,则实数a 的取值范围为()A.[2,5]B.[2,)+∞C.[2,6]D.(,5]-∞【答案】A 【解析】【分析】分别求解分段函数在每一段定义区间内的最小值,结合函数在整体定义域内的最小值得到关于a 的不等式组,解不等式组得到a 的取值范围.【详解】当2x >时,3666126x a a a x +-≥=-,当且仅当6x =时,等号成立,即当2x >时,函数()f x 的最小值为126a -;当2x ≤时,2()22f x x ax =--,要使得函数()f x 的最小值为(2)f ,则满足2,(2)24126,a f a a ≥⎧⎨=-≤-⎩解得25a ≤≤.故选:A .二、多选题(本题共4小题,每小题5分,共20分,在每小题给出的选项中,有多项符合题目要求,全部选对得5分,部分选对得2分,有选错的得0分)9.下列函数在区间(2,)+∞上单调递增的是()A.1y x x=+B.1y x x =-C.14y x=- D.y =【答案】AB 【解析】【分析】求函数的单调区间,首先要确定函数的定义域,若存在定义域之外的元素,则不符合条件;对其他选项可根据特殊函数的单调性得出.【详解】由“对勾”函数的单调性可知,函数1y x x=+在(2,)+∞单调递增,A 正确;由y x =在(2,)+∞单调递增,1y x =在(2,)+∞单调递减,知1y x x=-在(2,)+∞单调递增,B 正确;函数14y x=-在4x =处无定义,因此不可能在(2,)+∞单调递增,C 错误;函数y =的定义域为(,1][3,)-∞⋃+∞,因此在(2,3)上没有定义,故不可能在(2,)+∞单调递增,D 错误.故选:AB.10.已知函数()221f x x x =++在区间[],6a a +上的最小值为9,则a 可能的取值为()A.2B.1C.12D.10-【答案】AD 【解析】【分析】根据二次函数的对称轴和开口方向进行分类讨论,即可求解.【详解】因为函数()221f x x x =++的对称轴为=1x -,开口向上,又因为函数()221f x x x =++在区间[],6a a +上的最小值为9,当16a a ≤-≤+,即71a -≤≤-时,函数()221f x x x =++的最小值为min ()(1)0f x f =-=与题干不符,所以此时不成立;当1a >-时,函数()221f x x x =++在区间[],6a a +上单调递增,所以2min ()()219f x f a a a ==++=,解得:2a =或4a =-,因为1a >-,所以2a =;当61a +<-,也即7a <-时,函数()221f x x x =++在区间[],6a a +上单调递减,所以2min ()(6)14499f x f a a a =+=++=,解得:10a =-或4a =-,因为7a <-,所以10a =-;综上:实数a 可能的取值2或10-,故选:AD .11.若0,0a b >>,且4a b +=,则下列不等式恒成立的是()A.228a b +≤B.114ab ≤ C.≤ D.111a b+≤【答案】C 【解析】【分析】利用重要不等式的合理变形可得()()2222a b a b +≥+,即可知A 错误;由基本不等式和不等式性质即可计算B 错误;由()22a b +≥即可求得C 正确;根据不等式中“1”的妙用即可得出111a b+≥,即D 错误.【详解】对于A ,由222a b ab +≥可得()()2222222a bab ab a b +≥++=+,又4a b +=,所以()()222216a ba b +≥+=,即228a b +≥,当且仅当2a b ==时等号成立,故A 错误;对于B ,由4a b +=可得4a b +=≥,即04<≤ab ,所以114ab ≥,当且仅当2a b ==时等号成立,即B 错误;对于C ,由a b +≥可得()22a b a b +≥++=,所以可得28≥+,即≤,当且仅当2a b ==时等号成立,即C 正确;对于D ,易知()11111111121444a b a b a b a b b a ⎛⎛⎫⎛⎫+=++=+++≥+= ⎪ ⎪ ⎝⎭⎝⎭⎝,即111a b +≥;当且仅当2a b ==时等号成立,可得D 错误;故选:C12.公元3世纪末,古希腊亚历山大时期的一位几何学家帕普斯发现了一个半圆模型(如图所示),以线段AB 为直径作半圆ADB ,CD AB ⊥,垂足为C ,以AB 的中点O 为圆心,OC 为半径再作半圆,过O 作OE OD ⊥,交半圆于E ,连接ED ,设BC a =,,(0)AC b a b =<<,则下列不等式一定正确的是().A.2a b+< B.2a b+<C.b >D.2a b+>【答案】AD 【解析】【分析】先结合图象,利用垂直关系和相似关系得到大圆半径2a b R +=,小圆半径2b ar -=,AD =,BD ==,再通过线段大小判断选项正误即可.【详解】因为AB 是圆O 的直径,则90ADB DAB DBA ∠=︒=∠+∠,因为CD AB ⊥,则=90ACD ∠︒,所以90DAB ADC ∠+∠=︒,故DBA ADC ∠=∠,易有ADC DBC ,故AC DCCD BC=,即2CD AC BC ab =⋅=,大圆半径2a b R +=,小圆半径22a b b ar a +-=-=,90ACD ∠=︒ ,222AC CD AD ∴+=,故AD ==,同理BD ==.选项A 中,,显然当0a b <<时AOD ∠是钝角,在AD 上可截取DM DO =,故OD AD <,即大圆半径R OD AD =<,故2a b+<,正确;选项B 中,当60BOD ∠=︒时,大圆半径R OD OB BD ===,有2a b+=选项C 中,Rt BCD △中,BD =,而AC b =,因为,AC BD 大小关系无法确定,故错误;选项D 中,大圆半径2a b R OD +==,小圆半径2b ar OC -==,=OD >2a b+>,故正确.故选:AD.【点睛】本题解题关键在于将选项中出现的数式均与图中线段长度对应相等,才能通过线段的长短比较反馈到数式的大小关系,突破难点.第Ⅱ卷三、填空题(本题共4小题,每小题5分,共20分)13.若一个集合是另一个集合的子集,则称两个集合构成“鲸吞”;若两个集合有公共元素,且互不为对方子集,则称两个集合构成“蚕食”,对于集合{}1,2A =-,{}22,0B x ax a ==≥,若这两个集合构成“鲸吞”或“蚕食”,则a 的取值集合为_____.【答案】10,,22⎧⎫⎨⎬⎩⎭【解析】【分析】分“鲸吞”或“蚕食”两种情况分类讨论求出a 值,即可求解【详解】当0a =时,B =∅,此时满足B A ⊆,当0a >时,B ⎧⎪=⎨⎪⎩,此时,A B 集合只能是“蚕食”关系,所以当,A B 集合有公共元素1=-时,解得2a =,当,A B 集合有公共元素2=时,解得12a =,故a 的取值集合为10,,22⎧⎫⎨⎬⎩⎭.故答案为:10,,22⎧⎫⎨⎬⎩⎭14.一家物流公司计划建立仓库储存货物,经过市场了解到下列信息:每月的土地占地费1y (单位:万元)与仓库到车站的距离x (单位:km )成反比,每月库存货物费2y (单位:万元)与x 成正比.若在距离车站10km 处建立仓库,则1y 与2y 分别为4万元和16万元.则当两项费用之和最小时x =______(单位:km ).【答案】5【解析】【分析】由已知可设:11k y x=,22y k x =,根据题意求出1k 、2k 的值,再利用基本不等式可求出12y y +的最小值及其对应的x 值,即可得出结论.【详解】由已知可设:11k y x=,22y k x =,且这两个函数图象分别过点()10,4、()10,16,得110440k =⨯=,2168105k ==,从而140y x=,()2805xy x =>,故12408165x y y x +=+≥=,当且仅当4085x x =时,即5x =时等号成立.因此,当5x =时,两项费用之和最小.故答案为:5.15.函数()f x 是定义在()0,∞+上的增函数,若对于任意正实数,x y ,恒有()()()f xy f x f y =+,且()31f =,则不等式()()82f x f x +-<的解集是_______.【答案】()8,9【解析】【分析】根据抽象函数的关系将不等式进行转化,利用赋值法将不等式进行转化结合函数单调性即可得到结论.【详解】()()()f xy f x f y =+ ,(3)f 1=,22(3)(3)(3)(33)(9)f f f f f ∴==+=⨯=,则不等式()(8)2f x f x +-<等价为(8)[](9)f x x f <-,函数()f x 在定义域(0,)+∞上为增函数,∴不等式等价为080(8)9x x x x >⎧⎪->⎨⎪-<⎩,即0819x x x >⎧⎪>⎨⎪-<<⎩,解得89x <<,∴不等式的解集为(8,9),故答案为:()8,9.16.已知1:123x p --≤,22:210q x x m -+-≤,若p ⌝是q ⌝的必要不充分条件,则实数m 的取值范围是______.【答案】(][),99,-∞-⋃+∞【解析】【分析】先分别求出命题p 和命题q 为真命题时表示的集合,即可求出p ⌝和q ⌝表示的集合,根据必要不充分条件所表示的集合间关系即可求出.【详解】对于命题p ,由1123x --≤可解出210x -≤≤,则p ⌝表示的集合为{2x x <-或}10x >,设为A ,对于命题q ,22210x x m -+-≤,则()()110x m x m 轾轾---+£臌臌,设q ⌝表示的集合为B , p ⌝是q ⌝的必要不充分条件,B∴A ,当0m >时,()()110x m x m 轾轾---+£臌臌的解集为{}11x m x m -≤≤+,则{1B x x m =<-或}1x m >+,12110m m -≤-⎧∴⎨+≥⎩,解得9m ≥;当0m =时,{}1B x x =≠,不满足题意;当0m <时,()()110x m x m 轾轾---+£臌臌的解集为{}11x m x m +≤≤-,则{1B x x m =<+或}1x m >-,12110m m +≤-⎧∴⎨-≥⎩,解得9m ≤-,综上,m 的取值范围是(][),99,-∞-⋃+∞.故答案为:(][),99,-∞-⋃+∞.【点睛】本题考查命题间关系的集合表示,以及根据集合关系求参数范围,属于中档题.四、解答题(本题共6小题,共70分,解答应写出文字说明、证明过程或演算步骤)17.已知集合{0A x x =<或{}2},32x B x a x a >=≤≤-.(1)若A B = R ,求实数a 的取值范围;(2)若B A ⊆R ð,求实数a 的取值范围.【答案】(1)(],0-∞(2)12a ≥【解析】【分析】(1)根据集合的并集运算即可列不等式求解,(2)根据包含关系列不等式求解.【小问1详解】因为{0A x x =<或{}2},32,,x B x a x a A B >=≤≤-⋃=R 所以320322a a a a -≥⎧⎪≤⎨⎪-≥⎩,解得0a ≤,所以实数a 的取值范围是(],0-∞.【小问2详解】{0A x x =<或{}2},02x A x x >=≤≤R ð,由B A ⊆R ð得当B =∅时,32-<a a ,解得1a >;当B ≠∅时,32a a -≥,即1a ≤,要使B A ⊆,则0322a a ≥⎧⎨-≤⎩,得112a ≤≤.综上,12a ≥.18.已知关于x 的不等式2320ax x -+>的解集为{1x x <或}x b >(1b >).(1)求a ,b 的值;(2)当0x >,0y >,且满足1a b x y +=时,有222x y k k +≥++恒成立,求k 的取值范围.【答案】(1)1a =,2b =(2)[]3,2-【解析】【分析】(1)方法一:根据不等式2320ax x -+>的解集为{1x x <或}x b >,由1和b 是方程2320ax x -+=的两个实数根且0a >,利用韦达定理求解;方法二:根据不等式2320ax x -+>的解集为{1x x <或}x b >,由1和b 是方程2320ax x -+>的两个实数根且0a >,将1代入2320ax x -+=求解.(2)易得121x y+=,再利用“1”的代换,利用基本不等式求解.【小问1详解】解:方法一:因为不等式2320ax x -+>的解集为{1x x <或}x b >,所以1和b 是方程2320ax x -+=的两个实数根且0a >,所以3121b a b a ⎧+=⎪⎪⎨⎪⋅=⎪⎩,解得12a b =⎧⎨=⎩方法二:因为不等式2320ax x -+>的解集为{1x x <或}x b >,所以1和b 是方程2320ax x -+>的两个实数根且0a >,由1是2320ax x -+=的根,有3201a a -+=⇒=,将1a =代入2320ax x -+>,得23201x x x -+>→<或2x >,∴2b =;【小问2详解】由(1)知12a b =⎧⎨=⎩,于是有121x y +=,故()12422448y x x y x y x y x y ⎛⎫+=++=++>+ ⎪⎝⎭,当且仅当24x y =⎧⎨=⎩时,等号成立,依题意有()2min 22x y k k +≥++,即282k k ≥++,得26032k k k +-≤→-≤≤,所以k 的取值范围为[]3,2-.19.已知函数()212f x x x =+.(1)试判断函数()f x 在区间(]0,1上的单调性,并用函数单调性定义证明;(2)若(]0,1x ∃∈,使()2f x m <+成立,求实数m 的范围.【答案】(1)单调递减;证明见解析(2)()1,+∞【解析】【分析】(1)运用定义法结合函数单调性即可;(2)将能成立问题转化为最值问题,结合单调性求解最值.【小问1详解】()212f x x x=+在区间(]0,1上单调递减,证明如下:设1201x x <<≤,则()()()()2212121212222212121122x x f x f x x x x x x x x x ⎛⎫--=-+-=-- ⎪⎝⎭()()12121222221212121122x x x x x x x x x x x x ⎡⎤⎛⎫⎛⎫+=--=--+⎢⎥ ⎪ ⎪⎝⎭⎝⎭⎣⎦∵1201x x <<≤,∴120x x -<,21211x x >,21211x x >,∴2212121120x x x x ⎛⎫-+< ⎪⎝⎭,∴()()120f x f x ->所以,()212f x x x =+在区间(]0,1上单调递减.【小问2详解】由(1)可知()f x 在(]0,1上单调递减,所以,当1x =时,()f x 取得最小值,即()min ()13f x f ==,又(]0,1x ∃∈,使()2f x m <+成立,∴只需min ()2f x m <+成立,即32m <+,解得1m <.故实数m 的范围为()1,+∞.20.已知函数()21ax b f x x +=+是定义在()1,1-上的函数,()()f x f x -=-恒成立,且12.25f ⎛⎫= ⎪⎝⎭(1)确定函数()f x 的解析式并判断()f x 在()1,1-上的单调性(不必证明);(2)解不等式()()10f x f x -+<.【答案】(1)()21x f x x=+,在(1,1)-上单调递增(2)1(0,)2【解析】【分析】(1)根据奇函数的性质,以及代入条件,即可求解,并判断函数的单调性;(3)根据函数是奇函数,以及函数的单调性,即可求解不等式.【小问1详解】由题意可得()001225f f ⎧=⎪⎨⎛⎫= ⎪⎪⎝⎭⎩,解得01b a =⎧⎨=⎩所以()21x f x x =+,经检验满足()()f x f x -=-,设1211x x -<<<,()()()()()()121212122222121211111x x x x x x f x f x x x x x ---=-=++++,因为1211x x -<<<,所以120x x -<,1210x x ->,221210,10x x +>+>,所以()()120f x f x -<,即()()12f x f x <,所以函数()f x 在区间()1,1-单调递增;【小问2详解】(1)()0f x f x -+< ,(1)()()f x f x f x ∴-<-=-,()f x 是定义在(1,1)-上的增函数,∴111111x x x x -<-<⎧⎪-<<⎨⎪-<-⎩,得102x <<,所以不等式的解集为1(0,)2.21.2022年某企业整合资金投入研发高科技产品,并面向全球发布了首批17项科技创新重大技术需求榜单,吸引清华大学、北京大学等60余家高校院所参与,实现企业创新需求与国内知名科技创新团队的精准对接,最终该公司产品研发部决定将某项高新技术应用到某高科技产品的生产中,计划该技术全年需投入固定成本6200万元,每生产x 千件该产品,需另投入成本()F x 万元,且()210100,060810090121980,60x x x F x x x x ⎧+<<⎪=⎨+-≥⎪⎩,假设该产品对外销售单价定为每件0.9万元,且全年内生产的该产品当年能全部售完.(1)求出全年的利润()G x 万元关于年产量x 千件的函数关系式;(2)试求该企业全年产量为多少千件时,所获利润最大,并求出最大利润.【答案】(1)()2108006200,060810015780,60x x x G x x x x ⎧-+-<<⎪=⎨⎛⎫-++≥ ⎪⎪⎝⎭⎩;(2)该企业全年产量为90千件时,所获利润最大为15600万元【解析】【分析】(1)利用分段函数即可求得全年的利润()G x 万元关于年产量x 千件的函数关系式;(2)利用二次函数求值域和均值定理求值域即可求得该企业全年产量为90千件时,所获利润最大为15600万元.【小问1详解】当060x <<时,()()22900101006200108006200G x x x x x x =-+-=-+-,当60x ≥时,()8100810090090121980620015780G x x x x x x ⎛⎫⎛⎫=-+--=-++ ⎪ ⎪⎝⎭⎝⎭,所以()2108006200,060810015780,60x x x G x x x x ⎧-+-<<⎪=⎨⎛⎫-++≥ ⎪⎪⎝⎭⎩.【小问2详解】若060x <<,则()()210409800G x x =--+,当40x =时,()max 9800G x =;若60x ≥,()8100157801578015600G x x x ⎛⎫=-++≤-= ⎪⎝⎭,当且仅当8100x x=,即90x =时,等号成立,此时()max 15600G x =.因为156009800>,所以该企业全年产量为90千件时,所获利润最大为15600万元.22.在以下三个条件中任选一个,补充在下面问题中,并解答此题.①()()()f x y f x f y +=+,()24f =.当0x >时,()0f x >;②()()()2f x y f x f y +=+-,()15f =.当0x >时,()2f x >;③()()()f x y f x f y +=⋅,()22f =.且x ∀∈R ,()0f x >;当0x >时,()1f x >.问题;对任意,x y ∈R ,()f x 均满足___________.(填序号)(1)判断并证明()f x 的单调性;(2)求不等式()148f a +≤的解集.注;如果选择多个条件分别解答,按第一个解答计分.【答案】(1)增函数(2)答案见解析【解析】【分析】(1)根据单调性的定义法,证明单调性即可;(2)根据单调性,列出相应的不等式,解不等式方程可得答案.【小问1详解】若选①:设12,(,)x x ∈-∞+∞,且12x x <,则210x x ->,所以21()0f x x ->.由()()()f x y f x f y +=+得()()()f x y f x f y +-=,所以,2121()()()0f x f x f x x -=->,所以,21()()f x f x >,所以()f x 在(,)-∞+∞上是增函数;若选②:设12,(,)x x ∈-∞+∞,且12x x <.则210x x ->,所以21()2f x x ->.由()()()2+=+-f x y f x f y 得()()()2f x y f x f y +-=-,所以2121()()()20f x f x f x x -=-->,所以21()()f x f x >,所以f (x )在(,)-∞+∞上是增函数;若选③:设12,(,)x x ∈-∞+∞,且12x x <,则210x x ->,所以21()1f x x ->.由()()()f x y f x f y +=⋅得()()()f x y f y f x +=,2211()()1()f x f x x f x =->,又1()0>f x ,所以2()f x >1()f x ,所以函数()f x 为R 上的增函数;【小问2详解】若选①:由(2)4f =得(4)(2)(2)8f f f =+=,所以,(14)8f a +≤可化为(14)(4)f a f +≤,根据()f x 的单调性,得144a +≤,解得34a ≤,所以不等式(14)8f a +≤的解集为3,4⎛⎤-∞ ⎥⎝⎦.若选②:令1x y ==,则(2)2(1)28f f =-=,所以(14)8f a +≤可化为(14)(2)f a f +≤,根据()f x 的单调性,得142a +≤,解得14a ≤,所以不等式(14)8f a +≤的解集为1,4⎛⎤-∞ ⎥⎝⎦.若选③:由(2)2f =得(4)(2)(2)4f f f =⋅=,(6)(4)(2)8f f f =⋅=,所以(14)8f a +≤可化为(14)(6)f a f +≤,根据()f x 的单调性,得146a +≤,解得54a ≤,所以不等式(14)8f a +≤的解集为5,4⎛⎤-∞ ⎥⎝⎦.。
高一数学月考试题及答案一、选择题(每题3分,共30分)1. 下列函数中,为奇函数的是A. y = x^2B. y = |x|C. y = x^3D. y = sin(x)2. 若函数f(x) = 2x + 1,g(x) = x^2 - 2x + 1,则f(g(x))等于A. x^2 + 2x + 1B. 2x^2 - 3x + 2C. 2x^2 + 1D. x^2 - 3x + 33. 已知数列{a_n}是等差数列,且a_1=3,a_4=10,则公差d等于A. 2B. 3C. 4D. 54. 函数y=x^2-2x+3的最小值是A. 2B. 3C. 4D. 55. 圆x^2 + y^2 = 25的圆心坐标是B. (5, 0)C. (0, 5)D. (-5, 0)6. 一个等腰三角形的两边长分别为3和5,那么这个三角形的周长是A. 11B. 13C. 14D. 157. 已知集合A={1, 2, 3},B={2, 3, 4},则A∩B等于A. {1}B. {2, 3}C. {3, 4}D. {1, 2, 3, 4}8. 若sin(α) = 3/5,且α为第一象限角,则cos(α)等于A. 4/5B. -4/5C. 3/5D. -3/59. 函数y=ln(x)的定义域是A. (-∞, 0)B. (0, +∞)C. (-∞, +∞)D. [0, +∞)10. 抛物线y=x^2-4x+3的顶点坐标是A. (2, -1)C. (-2, 1)D. (-2, -1)二、填空题(每题4分,共20分)1. 函数y=2x-3与x轴的交点坐标为______。
2. 等差数列{a_n}的前n项和为S_n,若S_5=75,则a_3=______。
3. 已知一个圆的半径为5,圆心到直线x-y+5=0的距离为3,则该圆与直线的位置关系是______。
4. 函数f(x)=x^2-4x+3的对称轴方程为______。
5. 集合{a, b, c}与集合{a, d, e}的并集为______。
安平中学2024-2025学年第一学期第一次月考高一年级数学试题一、选择题:本题共8小题,每小题5分,共40分。
在每小题给出的四个选项中,只有一项是符合题目要求的。
1.已知集合,,则A .B .C .D .22.命题“”的否定是A .B .C .D .3.满足的集合的个数A .4B .8C .15D .164.已知,且,,,则取值不可能为A. B. C. D. 5.已知,,若,则A. 2 B. 1 C. D. 6.若则一定有A .B .C .D .7.命题“,”为真命题的一个充分不必要条件是A . B . C . D .8.某单位周一、周二、周三开车上班的职工人数分别是14,10,8.若这三天中至少有一天开车上班的职工人数是20,则这三天都开车上班的职工人数的最大值是A. 6B. 5C. 7D. 8二、选择题:本题共3小题,每小题6分,共18分。
在每小题给出的选项中,有多项符合题目要求。
全部选对的得6分,部分选对的得部分分,有选错的得0分。
9.下面命题正确的是{}2,1,0,1,3M =--{}32N x x =-≤≤M N ⋂={}2,1,0,1--∅{}2,1,1--0x x x ∃∈+R ,<0x x x ∃∈+R ,≤0x x x ∃∈+R ,≥0x x x ∀∈+R ,<0x x x ∀∈+R ,≥{}{}11234A ⊆⊆,,,Z a ∈{(,)|3}A x y ax y =-≤(2,1)A ∈(1,4)A -∉a 1-012{}1,,A x y ={}21,,2B x y =A B =x y -=14230,0,a b c d >><<a b c d >a b c d <a b d c >a b d c<{}21≤≤∈∀x x x 20x a -≤4a ≥5a ≥4a ≤5a ≤A .“”是“”的充分不必要条件B .“”是“二次方程有一正根一负根”的充要条件C .“且”是“”的充要条件D .设,则“”是“”的必要不充分条件10.下列四个命题中正确的是A .若,则B .若,则C .若,则D .若,则11.已知集合,,且,,则下列判断正确的是A .B .C .D .三、填空题:本题共3小题,每小题5分,共15分。
和平街高一数学月考试题(2024.10)(答案在最后)(考试时间:90分钟,满分150分)第Ⅰ卷(选择题,共40分)一、单选题(每小题4分,共40分)1.设集合{}0,1,2,3A =,{}1,0,1,2,3B =-,则A B = ()A.{}1,0,1,2,3- B.{}1,2 C.{}0,1,2,3 D.{}1,2,3【答案】C 【解析】【分析】根据集合交集运算求解即可.【详解】{}0,1,2,3A B ⋂=,故选:C.2.已知命题20001:,04∃∈-+≤p x x x R ,则命题p 的否定为()A.20001,04∃∈-+>x x x R B.20001,04∃∈-+<x x x R C.21,04∀∈-+≤x x x R D.21,04x x x ∀∈-+>R 【答案】D 【解析】【分析】根据特称命题的否定是全称命题可得答案.【详解】20001:,04∃∈-+≤p x x x R ,则命题p 的否定为21,04x x x ∀∈-+>R .故选:D.3.已知全集{}1,2,3,4,5U =,{}2,3,4A =,{}3,5B =,则下列结论正确的是()A.B A ⊆B.{}1,5U A =ðC.{}3A B =D.{}2,4,5A B = 【答案】B 【解析】【分析】利用集合的包含关系可判断A 选项的正误,利用集合的基本运算可判断BCD 选项的正误.【详解】已知全集{}1,2,3,4,5U =,{}2,3,4A =,{}3,5B =.对于A 选项,B A ⊄,A 选项错误;对于B 选项,{}1,5U A =ð,B 选项正确;对于C 选项,{}2,3,4,5A B ⋃=,C 选项错误;对于D 选项,{}3A B ⋂=,D 选项错误.故选:B.4.设集合{}2{,},0,A x y B x ==,若A B =,则2x y +等于()A.0B.1C.2D.-1【答案】C 【解析】【分析】根据元素的确定性可得0x =或0y =,再利用元素的互异性可确定0y =,1x =,从而可得正确的选项.【详解】由A B =,得0x =或0y =.当0x =时,20x =,不满足集合中元素的互异性,舍去;当0y =时,2x x =,则0x =或1x =,由上知0x =不合适,故0y =,1x =,则22x y +=.故选:C.【点睛】本题考查集合相等的性质以及集合元素的确定性和互异性,一般地,我们利用确定性求值,利用互异性取舍,本题属于基础题.5.已知0x >,则2x x+的最小值为()A.B.2C.D.4【答案】C 【解析】【分析】根据给定条件利用均值不等式直接计算作答.【详解】因为0x >,则2x x +≥=2x x =,即x ==”,所以2x x+的最小值为.故选:C6.若a ,b 是任意实数,且a b >,则()A.22a b >B.1b a< C.1a b -> D.0a b ->【答案】D 【解析】【分析】利用不等式性质一一判定选项即可.【详解】若2201a b a b =>=-⇒<,故A 错误;若1221ba b a=->=-⇒=>,故B 错误;若011a b a b =>=-⇒-=,故C 错误;显然0a b a b b b >⇔->-=,故D 正确.故选:D7.不等式2230x x --<的解集为()A.()1,3- B.()3,1-C.(1)(3)∞∞--⋃+,, D.(3)(1)∞∞--⋃+,,【答案】A 【解析】【分析】根据一元二次不等式的解法计算可得.【详解】不等式2230x x --<,即()()130x x +-<,解得13x -<<,所以不等式2230x x --<的解集为()1,3-.故选:A8.“02x <<”是“13x -<<”的()A.充分而不必要条件B.必要而不充分条件C.充要条件D.既不充分也不必要条件【答案】A 【解析】【分析】根据充分必要条件的定义判断.【详解】02x <<时,一定有13x -<<,满足充分性,但13x -<<时,如 2.5x =,不满足02x <<,即不满足必要性,“02x <<”是“13x -<<”的为充分不必要条件.故选:A .9.已知集合{}0,A a =,{}230,Z B b b b b =-<∈,A B ≠∅ ,则实数a 的值为()A.1B.2C.1或2D.2或3【答案】C 【解析】【分析】首先解一元二次不等式即可求出集合B ,再根据A B ≠∅ 求出a 的值.【详解】由230b b -<,即()30b b -<,解得03b <<,所以{}{}{}230,Z 03,Z 1,2B b b b b b b b =-<∈=<<∈=,又{}0,A a =且A B ≠∅ ,所以1a =或2a =.故选:C.10.设集合A 的最大元素为M ,最小元素为m ,记A 的特征值为A X M m =-,若集合中只有一个元素,规定其特征值为0.已知1A ,2A ,3A ,…,n A 是集合*N 的元素个数均不相同的非空真子集,且12360n A A A A X X X X +++⋅⋅⋅+=,则n 的最大值为()A.10B.11C.12D.13【答案】B 【解析】【分析】根据题设描述只需保证各集合中n A X M m =-(*N n ∈)尽量小,结合已知及集合的性质有n 最大时123(1)...2n A A A A n n X X X X -++++=,进而分析n 的取值.【详解】由题设1A ,2A ,3A ,…,n A 中都至少有一个元素,且元素个数互不相同,要使n 最大,则各集合中n A X M m =-(*N n ∈)尽量小,所以集合1A ,2A ,3A ,…,n A 的元素个数尽量少且数值尽可能连续,所以,不妨设1230,1,2,...,1n A A A A X X X X n ====-,有123(1)...2n A A A A n n X X X X -++++=,当11n =时,123...5560n A A A A X X X X ++++=<,当12n =时,123...6660n A A A A X X X X ++++=>,只需在11n =时,在上述特征值取最小情况下,使其中一个集合的特征值增加5即可,故n 的最大值为11.故选:B【点睛】关键点点睛:注意n 最大则各集合中n A X M m =-(*N n ∈)尽量小,并求出该情况下特征值之和关于n 的公式,再分析其最大取值.第Ⅱ卷(非选择题共110分)二、填空题(每小题5分,共25分).11.已知函数()43f x x =+,则()3f =__________.【答案】15【解析】【分析】代值求解可得.【详解】()43f x x =+Q ,(3)43315f ∴=⨯+=.故答案为:15.12.设x 、y 满足10x y +=,且x 、y 都是正数,则xy 的最大值为________.【答案】25【解析】【分析】由基本不等式即可求解.【详解】由于x 、y 都是正数,故2252x y xy +⎛⎫≤= ⎪⎝⎭,当且仅当5x y ==时等号成立,故xy 的最大值为25,故答案为:2513.满足{}{}11,2,3A ⊆⊆的集合A 的个数为____________个.【答案】4【解析】【分析】根据子集的定义即可得到集合A 的个数;【详解】 {}{}11,2,3A ⊆⊆,∴{}1A =或{}1,2或{}1,3或{}1,2,3,故答案为:4.【点睛】本题考查子集的定义,属于基础题.14.已知集合{}{}21,2,3,2,A B a a a ==+.若{}2A B = ,则a =____________.【答案】2-【解析】【分析】根据交集的定义,结合集合中元素的互异性进行求解即可.【详解】当22a =时,1a =,此时{}2,2B =,不满足集合中元素的互异性,所以1a =(舍);当22a a +=时,可得2,1a a =-=(舍),此时,{}4,2B =-,满足条件,所以2a =-.故答案为:2-15.函数2(0)y ax bx c a =++≠的图像如图所示,则不等式20ax bx c ++<的解集是__________,不等式0ax bcx a+<+的解集是__________.【答案】①.{}|12x x <<②.1|32x x ⎧⎫-<<⎨⎬⎩⎭【解析】【分析】根据图像求出a ,b ,c 之间的关系,再解不等式0ax bcx a++<即可.【详解】由函数图像知,20ax bx c ++<的解集为{}|12x x <<;从而0,420,a b c a b c ++=⎧⎨++=⎩且0a >,解得3b a =-且2(0)=>c a a ,所以不等式0ax bcx a +<+等价于3021x x -<+,等价于()()3210x x -+<,解得132x -<<;故答案为:{}|12x x <<;1|3.2⎧⎫-<<⎨⎬⎩⎭x x三、解答题(六小题,共85分)16.已知集合{}2|430A x x x =-+<,集合{}|2B x x =>.(1)化简集合A 并求A B ⋂,A B .(2)若全集U R =,求()U B A ⋂ð.【答案】(1){}|23A B x x =<< ,{}|1A B x x =>U ;(2){}|3x x ≥﹒【解析】【分析】(1)解二次不等式得集合A ,利用交并运算的定义求解即可;(2)先求补集U A ð,进而求交集即可.【小问1详解】{}2|430A x x x =-+<{}|13x x =<<,∴{}|23A B x x =<< ,{}|1A B x x =>U .【小问2详解】∵{|1U A x x =≤ð或3}x ≥,∴(){}|3U B A x x ⋂=≥ð.17.完成如下三个小题并写出必要过程(1)设()()23M x x =++,()()14N x x =++,比较,M N 的大小.(2)已知,a b c d ><,求证:a c b d ->-;(3)已知R x ∈,设()1A x x =-;2B x =-,比较A 与B 的大小.【答案】(1)M N >(2)证明见解析(3)A B>【解析】【分析】(1)由作差法得到−=+2+3−+1+4=2+5+6−2+5+4=2>0,即可比较;(2)由c d <则c d ->-,由同向不等式的可加性可得a c b d ->-;(3)由作差法得到−=2−2+2=−12+1>0,即可比较.【小问1详解】因为−=+2+3−+1+4=2+5+6−2+5+4=2>0,M N ∴>.【小问2详解】因为,a b c d ><,所以c d ->-,由同向不等式的可加性可得a c b d ->-.【小问3详解】因为R x ∈,()1A x x =-,2B x =-,所以−=2−2+2=−12+1>0,所以A B >.18.已知集合{}45A x x =-<<,{}36B x x =-<<,{}|121,R C x m x m m =-≤≤+∈.(1)求A B ,A B ⋂;(2)若()C A B ⊆⋂,求实数m 的取值范围.【答案】(1){}46A B x x ⋃=-<<,{}35A B x x ⋂=-<<(2)2m <-或22m -<<.【解析】【分析】(1)根据集合的交并运算求得A B ,A B ⋂;(2)根据C 是否为空集进行分类讨论,由此求得m 的取值范围.【小问1详解】{}45A x x =-<<,{}36B x x =-<<,∴{}46A B x x ⋃=-<<,{}35A B x x ⋂=-<<.【小问2详解】{}35A B x x ⋂=-<<,当C =∅时,121m m ->+,∴2m <-.当C ≠∅时,213215m m m ≥-⎧⎪->-⎨⎪+<⎩,∴22m -<<.综上所述,2m <-或22m -<<.19.函数()243f x mx mx =++(1)若1m =,求()0f x ≤的解集;(2)当()0f x >恒成立时,求m 的取值范围;(3)若方程()0f x =有两个实数根12,x x ,且22121230x x x x +->,求m 的取值范围【答案】(1)[]3,1--(2)30,4⎡⎫⎪⎢⎣⎭(3)1516m >或0m <【解析】【分析】(1)把1m =代入,结合二次不等式的求解方法可得答案;(2)讨论二次型函数的系数,结合判别式可得答案;(3)利用韦达定理及限制条件可得答案.【小问1详解】当1m =时,原不等式等价于2430x x ++≤,解得31x -≤≤-,所以()0f x ≤的解集为[]3,1--.【小问2详解】当0m =时,()30f x =>恒成立;当0m >时,()0f x >恒成立,则有216120m m -<,解得304m <<,当0m <时,()0f x >显然不恒成立.综上,m 的取值范围是30,4⎡⎫⎪⎢⎣⎭.【小问3详解】()0f x =有两个实数根,所以0m ≠,216120m m ∆=-≥,解得34m ≥或0m <,121234,x x x x m+=-=,因为22121230x x x x +->,所以()2121250x x x x +->,15160m ->解得1516m >或0m <,综上可得1516m >或0m <.20.设一个矩形长为x ,宽为y .(1)当点(),P x y 位于直线4y x =-+上时,求该矩形面积的最大值.(2)当点(),P x y 位于曲线81212y x x ⎛⎫=> ⎪-⎝⎭上时,求该矩形周长的最小值.(3)当该矩形的面积比周长多5时,求该矩形面积的取值范围.【答案】(1)4(2)9(3)[)25,+∞【解析】【分析】(1)表达出矩形面积24S xy x x ==-+,配方后求出最大值;(2)表达出矩形周长16221l x x =+-,变形后,利用基本不等式求出最小值;(3)由题意得到225xy x y --=,由基本不等式得到50xy --≥,求出答案.【小问1详解】该矩形面积为()22424S xy x x x ==-+=--+,04x <<,故当2x =时,S 取得最大值,最大值为4;【小问2详解】该矩形周长()16162222112121l x y x x x x =+=+=-++--,因为12x >,所以16210,021x x ->>-,由基本不等式得()162111921l x x =-++≥+=-,当且仅当162121x x -=-,即52x =时,等号成立,故该矩形周长的最小值为9;【小问3详解】由题意得225xy x y --=,即52xy x y -=+,因为0,0x y >>,由基本不等式得x y +≥52xy -≥,即50xy --≥5≥1≤-(舍去),故25xy ≥,该矩形面积的取值范围为[)25,∞+.21.设集合*A ⊆N .定义:和集合{},,B x y x y A x y =+∈≠,积集合{},,C x y x y B x y =⋅∈≠,分别用,,A B C 表示集合,,A B C 中元素的个数.(1)若{}1,2,3,4A =,求集合C ;(2)若5A =,求B 的所有可能的值组成的集合;(3)若4A =,求证:9C ≥.【答案】(1){}12,15,18,20,21,24,28,30,35,42C =(2){}7,8,9,10(3)证明见解析【解析】【分析】(1)根据新定义直接求解B ,C ;(2)令12345a a a a a <<<<,由和集合得到数的大小关系,再讨论大小关系分类求解;(3)记A 集合为{}1234,,,a a a a ,且1234a a a a <<<,由和集合得到数的大小关系,求出B 有两种可能,当6B =得9C ≥,由5B =及数的大小关系分别讨论7C ≠和8C ≠,讨论五种情况即可求解.【小问1详解】(1)由{}1,2,3,4A =,则{}3,4,5,6,7B =,{}12,15,18,20,21,24,28,30,35,42C =.【小问2详解】当5A =,不妨记A 集合为{}12345,,,,a a a a a ,且令12345a a a a a <<<<,则必有12132324343545a a a a a a a a a a a a a a +<+<+<+<+<+<+,和中剩下的141525,,a a a a a a +++满足141525a a a a a a +<+<+,并且13142535,a a a a a a a a +<++<+,下列有四种可能:一是142315242534,,a a a a a a a a a a a a +=++=++=+,则7B =;二是14a a +与2315,a a a a ++与2425,a a a a ++与34a a +三对数有两对相等,另一对不相等,则8B =;三是14a a +与2315,a a a a ++与2425,a a a a ++与34a a +三对数有一对相等,其它两对不相等,则9B =;四是14a a +与2315,a a a a ++与2425,a a a a ++与34a a +三对数全不相等,则10B =;综上述,B 的所有可能的值组成的集合为{}7,8,9,10.【小问3详解】当4A =,不妨记A 集合为{}1234,,,a a a a ,且1234a a a a <<<,则必有1213232434a a a a a a a a a a +<+<+<+<+,和中剩下的元素为14a a +,满足131424a a a a a a +<+<+,所以B 有两种可能,当1423a a a a +≠+,6B =;当1423a a a a +=+,5B =;ⅰ)当6B =,不妨记这6个元素为123456,,,,,b b b b b b ,且让123456b b b b b b <<<<<,则必有121323243435454656b b b b b b b b b b b b b b b b b b <<<<<<<<,所以9C ≥;ⅱ)当5B =,1423a a a a +=+,不妨记112b a a =+,213b a a =+,323b a a =+,424b a a =+,534b a a =+,则12345b b b b b <<<<,则必有12132324343545b b b b b b b b b b b b b b <<<<<<,积中剩下的141525,,b b b b b b 满足141525b b b b b b <<,则7C ≥,下面先证明7C ≠.假设7C =,由1314242535b b b b b b b b b b <<<<,则142315242534,,b b b b b b b b b b b b ===,即535242131424,,b b b b b b b b b b b b ===,所以35241234b b b b b b b b ===,令21b q b =,由15241234b b b b a a a a +=+=+++,则431111b b q b q b q +=+,所以431q q q +=+,则1q =,与事实不符,所以7C ≠.下面再证明8C ≠.由上述分析知:要使8C =,积中剩下的141525,,b b b b b b 满足141525b b b b b b <<,必有两对积与12132324343545,,,,,,b b b b b b b b b b b b b b 七对中的两对相等,有如下五种情况:一是23142415b b b b b b b b =⎧⎨=⎩,则可推得524134b b b b b b ==,令其比值为t ,则1t >,于是5421,b tb b tb ==,由15241234b b b b a a a a +=+=+++,则1414b tb tb b +=+,则()()1410t b b --=,显然无解,故此情况不能;二是23143415b b b b b b b b =⎧⎨=⎩,则可推得35241314,b b b b b b b b ==,令3524121314,b b b b t t b b b b ====,显然211t t >>,由15241234b b b b a a a a +=+=+++,则124114b t b t b b +=+,所以()()241111t b t b -=-,而显然()()241111t b t b ->-,故此情况不可能;三是23143425b b b b b b b b =⎧⎨=⎩,则可推得354123b b b b b b ==,令其比值为t ,则1t >,由152432b b b b b +=+=,又2315b b b =,则15b b +=,这与15b b +>矛盾,故此情况不可能;四是23153425b b b b b b b b =⎧⎨=⎩,可推得524132b b b b b b ==,令其比值为t ,则1t >,于是53b tb =,21b tb =,2421b tb t b ==,2314a a a a +=+,于是由15241234b b b b a a a a +=+=+++,则2131132b tb tb t b b +=+=,所以132b b t =-,代入得211122b tb t b t+=-,推得()()222t t t +-=,所以32220t t t --+=,所以()()2120t t --=,有1t >,所以t =,这与21b t b =是有理数相矛盾,所以此情况不能;五是24153425b b b b b b b b =⎧⎨=⎩,可推得532142b b b b b b ==,令其比值为t ,则1t >,于是5421,b tb b tb ==,由15241234b b b b a a a a +=+=+++,则1414b tb tb b +=+,则()()1410t b b --=,显然无解,故此情况不可能.所以8C ≠.综上,所以9C ≥.【点睛】关键点点睛:本题考查集合新定义,关键是对集合元素数的大小关系进行讨论,推出矛盾证明第三问.。
高一第一次月考(数学)(考试总分:150 分)一、 单选题 (本题共计8小题,总分40分)1.(5分)1. 集合,集合,则等于( )A .B .C .D .2.(5分)2.已知命题:,,则为( )A .,B .,C .,D .,3.(5分)3. “”是“”的( )A .充分不必要条件B .必要不充分条件C .充分且必要条件D .既不充分也不必要条件4.(5分)4.不等式的解集是( )A .B .C .D .5.(5分)5.设实数、满足,,则的取值范围是( )A .B .C .D .6.(5分)6.下列命题中真命题有( )①; ②q :所有的正方形都是矩形; ③ ; ④s :至少有一个实数x ,使.A .1个B .2个C .3个D .4个7.(5分)7.若关于的不等式的解集为,则实数的取值范围是( )A .或B .C .或D .8.(5分)8. 已知关于的不等式在上有解,则实数的取值范围是( ){}1,2,3,4A ={}3,4,5,6B =A B {}1,2,3,4,5,6{}3,4{}3{}4p n N ∃∈225n n ≥+p ⌝n N ∀∈225n n ≥+n N ∃∈225n n ≤+n N ∀∈225n n <+n N ∃∈225n n =+1x =2230x x +-=()()2230x x -->()3,2,2⎛⎫-∞⋃+∞ ⎪⎝⎭R 3,22⎛⎫ ⎪⎝⎭∅x y 34x <<12y <<2M x y =-46M <<57M <<56M <<47M <<21,04p x R x x ∀∈+-≥:2,220r x R x x ∈+∃+≤:210x +=x 210x mx ++≥R m {2m m ≤-}2m ≥{}22m m -≤≤{2m m <-}2m >{}22m m -<<x 2243x x a a -+≥-R aA .B .C .或D .二、 多选题 (本题共计4小题,总分20分)9.(5分)二、多项选择题(本题共4小题,每小题5分,共20分.在每小题给出的选项中,有多项符合题目要求.全部选对的得5分,部分选对的得2分,有选错的得0分)9. 已知且,则下列不等式正确的是( )A .B .C .D .10.(5分)10.若集合,,则下列结论错误的是( )A .B .C .D . 11.(5分)11.记全集为U ,在下列选项中,是B ⊆A 的充要条件的有( )A .A ∪B =A B .A ∩B =AC .(∁U A )⊆(∁U B )D .A ∪(∁U B )=U12.(5分)12.两个函数与(为常数)的图像有两个交点且横坐标分别为,,,则下列结论中正确的是( )A .的取值范围是B .若,则,C .当时,D .二次函数的图象与轴交点的坐标为和三、 填空题 (本题共计4小题,总分20分)13.(5分)三、填空题:(本大题共4小题,每小题5分,共20分)13. 不等式的解集是____________.14.(5分)14.设全集U =R ,集合A ={x |x <0},B ={x |x >1},则A ∪(∁U B )=________.15.(5分)15. 设:,:,是的充分条件,则实数的取值范围是__________.16.(5分)16. 已知,则的最大值为________.四、 解答题 (本题共计6小题,总分70分)17.(10分)四、解答题:(本题共6小题,共计70分.解答时应写出文字说明、证明过程或演算步骤.) {}14a a -≤≤{}14a a -<<{4a a ≥}1a ≤-{}41a a -≤≤,,R a b c ∈a b >a c b c +>+11a b >22ac bc >33a b >{1,2,3,4,5}M ={2,2}N =-N M ⊆M N M ⋃=M N N ={2}M N =24y x =-y m =m 1x 2x ()12x x <m 4m >-0m =12x =-22x =0m >1222x x -<<<()()12y x x x x m =--+x ()2,0()2,0-2430x x -+<α24x <≤βx m >αβm 0x >97x x --17.(本小题满分10分)设集合2{},35{-<=≤≤-=x x B x x A 或}4>x ,求)()(,B C A C B A R R ⋃⋂18.(12分)18.(本小题满分12分)已知集合A ={x |1<x <3},集合B ={x |2m <x <1-m }.(1)当m =-1时,求A ∪B ;(2)若A ⊆B ,求实数m 的取值范围.19.(12分)19.(本小题满分12分)已知关于的方程有实数根,.(1)若p 是假命题,求实数的取值范围;(2)若是的必要不充分条件,求实数的取值范围.20.(12分)20(本小题满分12分)在①;②““是“”的充分不必要条件;③这三个条件中任选一个,补充到本题第(2)问的横线处,求解下列问题.问题:已知集合.(1)当时,求A ∪B ;(2)若_______,求实数a 的取值范围.21.(12分)21.(本小题满分12分) 已知二次函数.(1)若关于的不等式的解集是.求实数的值;(2)若,解关于的不等式.22.(12分)22. (本小题满分12分)中欧班列是推进“一带一路”沿线国家道路联通、贸易畅通的重要举措,作为中欧铁路在东北地区的始发站,沈阳某火车站正在不断建设,目前车站准备在某仓库外,利用其一侧原有墙体,建造一面高为,底面积为,且背面靠墙的长方体形状的保管员室,由于保管员室的后背靠墙,无需建造费用,因此,甲工程队给出的报价如下:屋子前面新建墙体的报价为每平方米元,左右两面新建墙体的报价为每平方米元,屋顶和地面以及其他报价共计元,设屋子的左右两面墙的长度均为.(1)当左右两面墙的长度为多少米时,甲工程队的报价最低?(2)现有乙工程队也参与此保管员室建造竞标,其给出的整体报价为元:p x 22220x ax a a -++-=:13q m a m -≤≤+a p q m A B B ⋃=x A ∈x B ∈A B =∅{|},111|3{}A x a x a B x x =-≤≤=≤≤-+2a =22y ax bx a =+-+x 220ax bx a +-+>{}|13x x -<<,a b 2,0b a =>x 220ax bx a +-+>3m 212m 4001507200m x (26)x ≤≤900(1)a x x +;若无论左右两面墙的长度为多少米,乙工程队都能竞标成功,求的取值范围.(0)a a答案一、 单选题 (本题共计8小题,总分40分)1.(5分) 1-4 B2.(5分)C3.(5分)A4.(5分)A5.(5分)5-8 D6.(5分)B7.(5分)B8.(5分)A二、 多选题 (本题共计4小题,总分20分)9.(5分)二、多项选择题:9.AD10.(5分) 10.ABC11.(5分) 11.ACD 1212.(5分).ABD三、填空题:(本大题共4小题,每小题5分,共20分)三、 填空题 (本题共计4小题,总分20分)13.(5分)13. (1,3) ;14.(5分) 14. {x |x ≤1};15.(5分) 15. ;16.(5分) 16. 1四、 解答题 (本题共计6小题,总分70分)17.(10分)四、解答题:本大题共6小题,共70分.17.(本小题满分10分)解:=⋂B A }25{-<≤-x x =⋃)()(B C A C R R }2,5{-≥-<x x x 或18.(12分)18.(本小题满分12分)解: (1)当m =-1时,B ={x |-2<x <2},A ∪B ={x |-2<x <3}.(2)由A ⊆B ,知⎩⎨⎧ 1-m >2m ,2m ≤1,1-m ≥3,解得m ≤-2,(],2-∞即实数m 的取值范围为{m |m ≤-2}.19.(12分)19.(本小题满分12分)解:(1)因为是假命题,所以对于方程,有, 即,解得,所以实数的取值范围是.(2)由命题为真命题,根据(1)可得,又由是的必要不充分条件,可得那么能推出,但由不能推出, 可得,则,解得,所以实数的取值范围是.20.(12分)20.(本小题满分12分)解:(1)当时,集合,所以;(2)若选择①,则,因为 ,所以 ,又,所以,解得, 所以实数a 的取值范围是.若选择②,““是“”的充分不必要条件,则,因为,所以,又,所以,解得, 所以实数a 的取值范围是.若选择③,,因为,所以,又所以或,解得或,所以实数a 的取值范围是 . p 22220x ax a a -++-=()()222420a a a ∆=--+-<480a ->2a >a {}2a a >p {}2a a ≤p q q p p q {}{}132a m a m a a -≤≤+≤32m +≤1m ≤-m {}1m m ≤-2a =1313{|},{|}A x x B x x =≤≤=≤≤-{|13}B x x A -≤≤⋃=A B B ⋃=A B ⊆11{|}A x a x a =-≤≤+A ≠∅{|13}B x x =-≤≤1113a a -≥-⎧⎨+≤⎩02a ≤≤[]0,2x A ∈x B ∈AB 11{|}A x a x a =-≤≤+A ≠∅{|13}B x x =-≤≤1113a a -≥-⎧⎨+≤⎩02a ≤≤[]0,2A B =∅11{|}A x a x a =-≤≤+A ≠∅{|13}B x x =-≤≤13a ->11a +<-4a >2a <-()(),24,-∞-+∞21.(12分)21.(本小题满分12分)解(1)因为关于的不等式的解集是 所以和是方程的两根,所以 解得:, (2)当时,即可化为,因为,所以 所以方程的两根为和, 当即时,不等式的解集为或, 当即时,不等式的解集为, 当即时,不等式的解集为或, 综上所述:当时,不等式的解集为或, 当时,不等式的解集为,当时,不等式的解集为或. 22.(12分) 22.(本小题满分12分)解:(1)设甲工程队的总造价为元,依题意左右两面墙的长度均为,则屋子前面新建墙体长为, 则 因为. 当且仅当,即时等号成立. 所以当时,,即当左右两面墙的长度为4米时,甲工程队的报价最低为14400元. x 220ax bx a +-+>{}|13x x -<<1-3220ax bx a +-+=13213b a a a ⎧-+=-⎪⎪⎨-⎪-⨯=⎪⎩12a b =-⎧⎨=⎩2b =220ax bx a +-+>2220ax x a +-+>()()120x ax a +-+>0a >()210a x x a -⎛⎫+-> ⎪⎝⎭()210a x x a -⎛⎫+-= ⎪⎝⎭1-2a a -21a a --<1a >{|1x x <-2a x a -⎫>⎬⎭21a a --=1a ={}|1x x ≠-21a a -->01a <<2|a x x a -⎧<⎨⎩}1x >-01a <<2|a x x a -⎧<⎨⎩}1x >-1a ={}|1x x ≠-1a >{|1x x <-2a x a -⎫>⎬⎭y m x (26)x ≤≤12m x 12163(1502400)7200900()7200(26)y x x x x x =⨯+⨯+=++1616900()72009002720014400x x x x++⨯⨯⋅+=16x x =4x =4x =min 14400y =(2)由题意可得,对任意的,恒成立. 即,从而,即恒成立, 又.当且仅当,即时等号成立. 所以.16900(1)900()7200a x x x x+++>[2x ∈6]2(4)(1)x a x x x ++>2(4)1x a x +>+9161x a x +++>+99162(1)61211x x x x ++++⋅+=++911x x +=+2x =012a <<。
高一数学月考试题
一、 选择题(每题只有一个正确答案,1.2*5′)
1. 已知全集U={1,2,3,4,5,6,7,8} P={3,4,5} Q={1,3,6} 那么集合{2,7,8}是( )。
A. P ∪Q
B. P ∩Q
C. C u P ∪CuQ
D.C u P ∩CuQ
2. 集合M={x ∈R|X ≥2} P={x ∈N|x 2-x-2=0},则M ∪P 为( )。
A .M
B .P
C .{2}
D .φ
3. 下列各个对应中,构成映射的是( )。
(4)
4. 或A .若a ∉A ,则b ∉B B .a ∈A 或b ∈B
C .a ∈A 且b ∈B
D .若b ∉B ,则a ∉A
5. 已知集合M={1,a} P={2,2a } 且M ∪P={1,2,4},则M ∩P 为( )。
A .Φ
B .{4}
C .{2}
D .{1}
6. 若根式2532+-x x 没有意义,则( )。
A .2/3≤x ≤1
B .x <0
C .2/3<x <1
D .x >1或x <2/3
7. 集合P={x|x=(2n+1)π,n ∈Z} Q={x|x=(4m±1)π,m ∈Z},P,Q 之间的关系是( )。
A .P ⊂Q
B .Q ⊃P
C .P=Q
D .P ≠Q
8. 方程mx 2+(2m+1)x+m=0有两个不相等的实数根,则实数m 的取值范围是( )。
A .m>-1/4
B .m<-1/4
C .m ≥/4
D .m>-1/4且m ≠0
9. 命题P :(x-1)(y-2)=0,命题Q :(x-1)2+(y-2)2=0,则命题P 是命题Q 的( )。
A .充分不必要条件
B .必要不充分条件
C .充要条件
D .既不充分也不必要条件
10. 若集合A={x|x 2+x-6=0} B={x|mx+1=0}且B ⊄A ,则实数m 的取值个数是( )。
A .1
B .2
C .3
D .4
11. 有下列映射 (1) A={x|x ≤0} B={y|y ≥0} f :x →y=x 2
(2) A={x|x>1} B={y|y ≥0} f :x →y=1-x
(3) A={x|x>1} B=R f :x →y=1
1-x
1
(4) A={x|0<x<1}B={y|y<-1} f:x y= -
x
其中一一映射是()。
A.(1)与(2) B.(2)与(3) C.(1)与(3) D.(1)与(4)
12. 有下列命题 (1)“若x2+y2=0,则x,y全为0”的否命题。
(2)“全等三角形是相似三角形”否命题。
(3)“若m>1,则mx2-2(m+1)x+(m-3)>0的解集是R”的逆命题。
(4)“若a+5是无理数,则a是无理数”的逆否命题。
其中正确的是()。
A.(1)(2)(3) B.(1)(4) C.(2)(3)(4) D.(1)(3)(4)
二、填空题(4*4')
13.如图U为全集,集合A、B、C是U的子集,
则阴影部分集合可以表示为_________________。
14.方程3x2+px-7=0的解集为A,3x2+7x+q=0的解集为B。
若A∩B={-1/3},则A∪B=_________。
15.不等式4≤x2-3x<18的整数解为___________________。
16.A:|x-2|>1 B:x>3 则A是B的_________条件,非A是非B的_________条件。
三、解答题(10′+14′+10′+10′+10′+10′+10′)
17.已知:全集U=R,A={x|x2-16<0} B={x|x2-4x+3≥0}
求:(1)A∩B (2)A∪B (3)C∨(A∩B) (4)(C∨A)(C∨B)
18.已知集合M={x|x2-(a+1)x+a≤0} N={x||x-1|≤1} P={x|x2+bx+c>0} (1)若M∪N=N,求a的取值范围;(2)若N∩P= 且N∪P=R,求b,c的值。
19.解不等式x2-x-5>|2x-1|
20.已知命题P:菱形是正方形Q:菱形是平行四边形
(1)写出“P或Q”,“P且Q”形式的复合命题;
(2)写出“P或Q”的逆命题,“P且Q”的否命题并判断其真假。
21.用反证法证明:
已知a,b,c 为实数,设M=a 2-2b+1 N=b 2-2c+1 P=c 2-2a+2 证明:M,N,P 中至少有一个大于零。
22.解关于x 的不等式:()()011〉--x ax
23.已知函数ƒ(x )=()02≠++a c bx ax 满足ƒ(-1)=0问是否存在常数a,b,c.使
得x ≤ƒ(x )≤()2121x +对x ∈R 恒成立?证明你的结论。