函数单调性与导数练习题含有答案
- 格式:doc
- 大小:245.26 KB
- 文档页数:6
导数与函数的单调性练习题2.2.1 导数与函数的单调性基础巩固题:1.已知函数 $f(x)=\frac{ax+1}{x+2}$ 在区间 $(-2,+\infty)$ 上为增函数,求实数 $a$ 的取值范围。
解析:由题意可得 $f(x)$ 在 $(-2,+\infty)$ 上单调递增,因此$a>-\frac{1}{2}$。
又因为$f(x)$ 的定义域为$(-2,+\infty)$,所以 $a$ 的取值范围为 $a\geq -\frac{1}{2}$ 或 $a\leq -2$,即$a\geq -\frac{1}{2}$ 或 $a\leq -2$。
2.已知函数 $f(x)=x^2+2x+a\ln x$ 在区间 $(0,1)$ 上单调,求实数 $a$ 的取值范围。
解析:由题意可得 $f(x)$ 在 $(0,1)$ 上单调,因此$f'(x)=2x+2+\frac{a}{x}$ 在 $(0,1)$ 上恒大于等于零或恒小于等于零。
化简可得 $a\geq -(2x^2+2x)$ 或 $a\leq -(2x^2+2x)$ 在$(0,1)$ 上恒成立。
记 $g(x)=-(2x^2+2x)$,则 $g(x)$ 在$(0,1)$ 上单调递增,且 $-4<g(x)<0$。
因此,$a\geq -4$ 或$a\leq -4$,即 $a\geq -4$ 或 $a\leq -4$。
3.已知函数$f(x)=\frac{x}{2x-9}$,求$f(x)$ 的单调区间。
解析:求导得 $f'(x)=\frac{9}{(2x-9)^2}$,$f'(x)>0$ 当且仅当 $x\frac{9}{2}$。
因此,$f(x)$ 在 $(-\infty,\frac{9}{2})$ 上单调递减,在 $(\frac{9}{2},+\infty)$ 上单调递增。
所以$f(x)$ 的单调区间为 $(-\infty,\frac{9}{2})$ 和$(\frac{9}{2},+\infty)$。
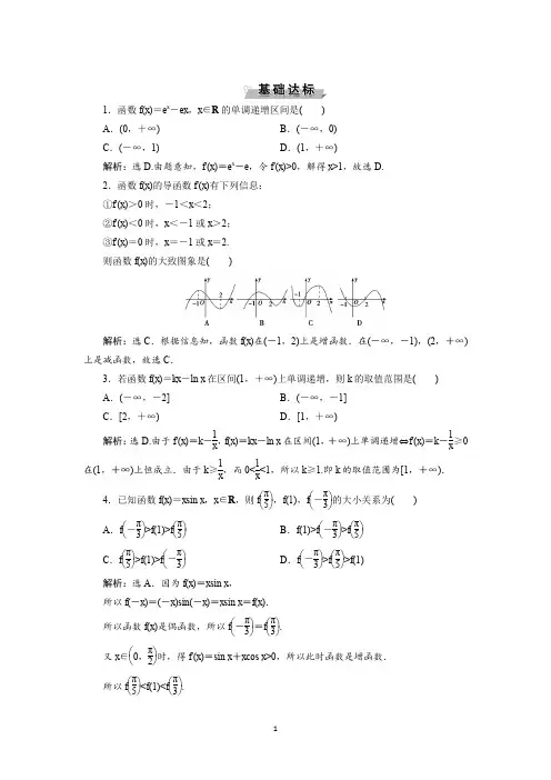
1.函数f (x )=e x -e x ,x ∈R 的单调递增区间是( ) A .(0,+∞) B .(-∞,0) C .(-∞,1)D .(1,+∞)解析:选D.由题意知,f ′(x )=e x -e ,令f ′(x )>0,解得x >1,故选D. 2.函数f (x )的导函数f ′(x )有下列信息: ①f ′(x )>0时,-1<x <2; ②f ′(x )<0时,x <-1或x >2; ③f ′(x )=0时,x =-1或x =2. 则函数f (x )的大致图象是( )解析:选C .根据信息知,函数f (x )在(-1,2)上是增函数.在(-∞,-1),(2,+∞)上是减函数,故选C .3.若函数f (x )=kx -ln x 在区间(1,+∞)上单调递增,则k 的取值范围是( ) A .(-∞,-2] B .(-∞,-1] C .[2,+∞)D .[1,+∞)解析:选D.由于f ′(x )=k -1x ,f (x )=kx -ln x 在区间(1,+∞)上单调递增⇔f ′(x )=k -1x ≥0在(1,+∞)上恒成立.由于k ≥1x ,而0<1x<1,所以k ≥1.即k 的取值范围为[1,+∞).4.已知函数f (x )=x sin x ,x ∈R ,则f ⎝⎛⎭⎫π5,f (1),f ⎝⎛⎭⎫-π3的大小关系为( ) A .f ⎝⎛⎭⎫-π3>f (1)>f ⎝⎛⎭⎫π5 B .f (1)>f ⎝⎛⎭⎫-π3>f ⎝⎛⎭⎫π5 C .f ⎝⎛⎭⎫π5>f (1)>f ⎝⎛⎭⎫-π3 D .f ⎝⎛⎭⎫-π3>f ⎝⎛⎭⎫π5>f (1) 解析:选A .因为f (x )=x sin x , 所以f (-x )=(-x )sin(-x )=x sin x =f (x ). 所以函数f (x )是偶函数,所以f ⎝⎛⎭⎫-π3=f ⎝⎛⎭⎫π3. 又x ∈⎝⎛⎭⎫0,π2时,得f ′(x )=sin x +x cos x >0,所以此时函数是增函数. 所以f ⎝⎛⎭⎫π5<f (1)<f ⎝⎛⎭⎫π3.所以f ⎝⎛⎭⎫-π3>f (1)>f ⎝⎛⎭⎫π5,故选A . 5.函数f (x )的定义域为R .f (-1)=2,对任意x ∈R ,f ′(x )>2,则f (x )>2x +4的解集为( ) A .(-1,1) B .(-1,+∞) C .(-∞,-1)D .(-∞,+∞)解析:选B .由f (x )>2x +4,得f (x )-2x -4>0.设F (x )=f (x )-2x -4,则F ′(x )=f ′(x )-2. 因为f ′(x )>2,所以F ′(x )>0在R 上恒成立,所以F (x )在R 上单调递增,而F (-1)=f (-1)-2×(-1)-4=2+2-4=0,故不等式f (x )-2x -4>0等价于F (x )>F (-1),所以x >-1,选B .6.若函数f (x )=ax 3+3x 2-x 恰好有三个单调区间,则实数a 的取值范围是________. 解析:由题意知f ′(x )=3ax 2+6x -1,由函数f (x )恰好有三个单调区间,得f ′(x )有两个不相等的零点,所以3ax 2+6x -1=0需满足a ≠0,且Δ=36+12a >0,解得a >-3,所以实数a 的取值范围是(-3,0)∪(0,+∞).答案:(-3,0)∪(0,+∞)7.(2018·张掖第一次诊断考试)若函数f (x )=x 33-a 2x 2+x +1在区间⎝⎛⎭⎫12,3上单调递减,则实数a 的取值范围是________.解析:f ′(x )=x 2-ax +1,因为函数f (x )在区间(12,3)上单调递减,所以f ′(x )≤0在区间(12,3)上恒成立,所以⎩⎪⎨⎪⎧f ′(12)≤0f ′(3)≤0,即⎩⎪⎨⎪⎧14-a 2+1≤09-3a +1≤0,解得a ≥103,所以实数a 的取值范围为[103,+∞).答案:[103,+∞)8.(2017·高考江苏卷)已知函数f (x )=x 3-2x +e x -1e x ,其中e 是自然对数的底数.若f (a-1)+f (2a 2)≤0,则实数a 的取值范围是________.解析:由f (x )=x 3-2x +e x -1e x ,得f (-x )=-x 3+2x +1e x -e x =-f (x ),所以f (x )是R 上的奇函数,又f ′(x )=3x 2-2+e x +1ex ≥3x 2-2+2e x ·1ex =3x 2≥0,当且仅当x =0时取等号,所以f (x )在其定义域内单调递增,所以不等式f (a -1)+f (2a 2)≤0⇔f (a -1)≤-f (2a 2)=f (-2a 2)⇔a -1≤-2a 2,解得-1≤a ≤12,故实数a 的取值范围是⎣⎡⎦⎤-1,12. 答案:⎣⎡⎦⎤-1,12 9.已知函数f (x )=x 4+a x -ln x -32,其中a ∈R ,且曲线y =f (x )在点(1,f (1))处的切线垂。
高考数学必考点专项第8练 导数与函数的单调性习题精选一、单选题1. 函数21()9ln 2f x x x =-在区间上单调递减,则实数m 的取值范围是( )A.B. C.D.2. 若函数()sin()sin(2)cos()2f x x x a x πππ=+---在区间(0,]2π上单调递增,则实数a 的取值范围是( )A. (,1]-∞-B. (-∞C. D. [1,)+∞3. 若函数在其定义域上不单调,则实数a 的取值范围为( )A. 1a <或4a >B. 4aC. 14a <<D. 14a4. 若函数2()ln 2f x x ax =+-在区间1(,2)2内存在单调递增区间,则实数a 的取值范围是( )A. (-,-2]∞B. 1(-,+)8∞C. 1(-2,-)8D. (-2,+)∞5. 已知函数()f x 是定义在R 上的偶函数,设函数()f x 的导函数为()f x ',若对任意0x >都有2()()0f x xf x +'>成立,则( )A. 4(2)9(3)f f -<B. 4(2)9(3)f f ->C. 2(3)3(2)f f >-D. 3(3)2(2)f f -<-(2,1)m m +(0,1)(0,2)6. 定义在(0,)+∞上的函数()f x 满足()10xf x '+>,(3)=-ln 3f ,则不等式()+0x f e x >的解集为( )A. 3(,+)e ∞B. 3(0,)eC. (ln 3,)+∞D. 3(ln 3,)e7. 已知函数,若存在1[,2]2x ∈,使得()()0f x xf x +'>,则实数b 的取值范围是( )A.B. 9(,)4-∞C. (,3)-∞D. (,2)-∞8. 已知4ln 3a π=,3ln 4b π=,34ln c π=,则a ,b ,c 的大小关系是( ) A. c b a <<B. b c a <<C. b a c <<D. a b c <<9. 已知是函数的导数,且,当0x 时,,则不等式的解集是( )A.B.C.D.10. 设函数()f x 在R 上存在导函数()f x ',对任意的实数x 都有()()2f x f x x =-+,当0x >时,()2 1.f x x '>+若(1)()21f a f a a +-++,则实数a 的取值范围是( )A. 1[,)2-+∞B. 3[,)2-+∞C. [1,)-+∞D. [2,)-+∞二、填空题11. 函数2()24ln f x x x x =--,则()f x 的单调递增区间为__________12. 设函数()x x f x e ae -=+ (a 为常数),若()f x 为奇函数,则a =__________;若()f x 是R 上的增函数,则a 的取值范围是__________.13. 写出一个同时具有下列性质①②③的函数__________.()f x '()f x①;②当(0,)x ∈+∞时,()0f x '>;③()f x '是奇函数.三、解答题14. 已知函数2()sin sin 2.f x x x =(1)讨论()f x 在区间(0,)π的单调性; (2)证明:33|()|8f x ; (3)设*n N ∈,证明:222sin sin 2sin 4x x x (2)3sin 2.4nnn x15. 已知0a >且1a ≠,函数()(0).ax x f x x a =>(1)当2a =时,求()f x 的单调区间;(2)若曲线()y f x =与直线1y =有且仅有两个交点,求a 的取值范围.16. 已知函数()2ln 1af x x x x=--+,()(2ln ).x g x e x x =- (1)若函数()f x 在定义域上是增函数,求a 的取值范围; (2)求()g x 的单调区间.17. 已知函数21()ln (1)(0).2f x a x a x x a =-++->(1)讨论()f x 的单调性; (2)若21()2f x x ax b -++恒成立,求实数ab 的最大值.18. (本小题12.0分)已知函数2().xf x e ax x =+-(1)当1a =时,讨论()f x 的单调性; (2)当0x 时,31()12f x x +,求a 的取值范围.19. 已知函数(1)令,讨论的单调区间;(2)若2a =-,正实数12,x x 满足,证明1251.2x x -+()g x 1212()()0f x f x x x ++=20. 已知函数2()(2)x x f x ae a e x =+--,().a R ∈(1)讨论()f x 的单调性;(2)若()f x 有两个零点,求a 的取值范围.答案和解析1.【答案】A解:()f x 的定义域是(0,)+∞,9(3)(3)()x x f x x x x+-'=-=, 令()0f x '>,解得:3x >,令()0f x '<,解得:03x <<, 故()f x 在(0,3)递减,在(3,)+∞递增, 若函数21()9ln 2f x x x =-在区间(2,1)m m +上单调递减, 则20m 且013m <+且21m m <+,解得:01m <, 故选:.A2.【答案】A解:因为1()sin()sin(2)cos()cos sin cos sin 2cos 22f x x x a x x x a x x a x πππ=+---=+=+在(0,]2π上是增函数,所以当(0,]2x π∈时,,即212sin sin 0x a x --,因为当(0,]2x π∈时,sin (0,1],x ∈所以12sin sin a x x-+, 令1()2sin sin g x x x =-+,(0,],2x π∈则22cos 1()2cos cos (2)0sin sin x g x x x x x '=--=--<,所以()g x 在(0,]2π单调递减,所以,即(,1],a ∈-∞-故选.A3.【答案】A解:求导可得,()f x ∴在其定义域上不单调等价于方程有两个解,,解得1a <或 4.a >故选.A4.【答案】D解:根据题意得1()2f x ax x'=+, ()f x 在区间1(,2)2内存在单调递增区间,则()0f x '在内有解,,故min 21()2a x-,,令21()=-2g x x ,,则()g x 在1(,2)2单调递增,1()(2,)8g x ∈--, 故-2.a > 故选.D5. 【答案】A解:1()||f x x =时,3(3)1f -=,2(2)1f -=,可以排除D ; ()||f x x =时,2(3)6f =,3(2)3(2)6f f -==,可排除C ;设2()()g x x f x =,22()(())2()()(2()())g x x f x xf x x f x x f x xf x '='=+'=+',0x >时,2()()0f x xf x +'>,0x ∴>时()0g x '>,()g x 为(0,)+∞上的单调增函数;(2)(3)g g ∴<,4(2)9(3)f f ∴<,又()f x 为偶函数,4(2)9(3)f f ∴-<,A ∴对,A ,B 矛盾,故B 错,故选.A6.【答案】C解:令()()ln g x f x x =+,(0,).x ∈+∞ 在(0,)+∞上的函数()f x 满足()10xf x '+>,1()1()()0xf x g x f x x x'''+∴=+=>,∴函数()g x 在(0,)+∞上单调递增,(3)(3)ln 30g f =+=,而不等式,所以3x e >,即ln3x >,∴不等式()0x f e x +>的解集为(ln3,).+∞故选.C7.【答案】B解:,,∴,∴,存在,使得,即,∴,设,∴.而,当时,解得:,当时,即时,函数单调递增,当时,即时,函数单调递减,因为,所以,∴,故选:.B8.【答案】B解: 令ln ()xf x x=,0x >, 则21ln (),0xf x x x-'=>, 令()0f x '>,得0x e <<,令()0f x '<,得x e >, 所以()f x 在(0,)e 单调递增,在(,)e +∞单调递减, 又3e π>>, 所以()(3)f f π<,即ln ln 33ππ<, 所以3ln ln 3ππ<, 又4ln 3a π=,34ln c π=, 所以a c >, 又由()f x 的单调性得ln 4ln 4ππ<,即4ln 4ln ππ<, 因为343ln 4,4ln 3ln b c πππ===, 所以b c <, 综合得.b c a << 故选.B9.【答案】D解:设,则因为当0x 时,,所以当0x 时,,即在上单调递增. 因为,所以,所以是偶函数. 因为,所以,即,,则,解得1.2x <故选.D10.【答案】A解:设()()g x f x x =-,则()()()[()]0g x g x f x x f x x --=---+=,()()g x g x ∴=-,()g x ∴是偶函数,当0x >时,()()1g x f x '='-,而()21f x x '>+,则()()120g x f x x '='->>,()g x ∴在(0,)+∞上是增函数, (1)()21f a f a a +-++, (1)(1)()()f a a f a a ∴+-+---,即(1)()g a g a +-,|1|||a a ∴+-,()g x ()g x即12a -, 故选:.A11.【答案】(2,)+∞解:()f x 定义域为(0,)+∞,242(2)2(2)(1)()22x x x x f x x x x x---+'=--==,故当02x <<时,()0f x '<,()f x 单调递减, 当2x >时,()0f x '>,()f x 单调递增, 故()f x 的单调递增区间为(2,).+∞ 故答案为(2,).+∞12.【答案】1-(,0]-∞解:根据题意,函数()xxf x e ae-=+,若()f x 为奇函数,则()()f x f x -=-, 即()xx x x eae e ae --+=-+,变形可得1a =-,经检验,1a =-满足()f x 为奇函数,()f x 是R 上的增函数,()0f x '∴对x R ∀∈恒成立,即0x xae e -对x R ∀∈恒成立,2()x a e ∴恒成立. 2()0x e >,0.a ∴故答案为1-;(,0].-∞13.【答案】2()(f x x =答案不唯一,均满足)解:取2()f x x =,则22212121212()()()()f x x x x x x f x f x ===,满足①,()2f x x '=,0x >时有,满足②,()2f x x '=的定义域为R ,又()2()f x x f x ''-=-=-,故是奇函数,满足③. 故答案为:2()(f x x =答案不唯一,均满足)14.【答案】解:23(1)()sin sin 22sin cos f x x x x x ==,222222()2sin (3cos sin )2sin (34sin )2sin [32(1cos 2)]f x x x x x x x x ∴'=-=-=--22sin (12cos 2)x x =+,令()0f x '=,解得,3x π=,或23x π=, 当(0,)3x π∈或2(,)3ππ时,()0f x '>,当2(,)33x ππ∈时,()0f x '<, ()f x ∴在(0,)3π,2(,)3ππ上单调递增,在2(,)33ππ上单调递减.证明:(2)(0)()0f f π==,由(1)可知2()()3f x f π==极小值()()3f x f π==极大值()0f x '>()f x 'max 33()8f x ∴=,min 33()8f x =-, ,()f x 为周期函数,33|()|8f x ∴; (3)由(2)可知322333sin sin 2()84x x =,322333sin 2sin 4()84x x =,32232333sin 2sin 2()84x x =,…,3212333sin 2sin 2()84n nx x -=, 334sin sin 2sin 4x x x ∴……313233sin 2sin 2sin (sin sin 2sin 4n n x x x x x x -=……331223sin 2sin 2)sin 2()4nn nnx x x -,222sin sin 2sin 4x x x ∴……23sin 2.4nnn x15.【答案】解:(1)2a =时,2()2x x f x =,222ln 2()222ln 2(2ln 2)ln 2()(2)22x x x xxx x x x x x f x ⋅-⋅-⋅-'===, 当2(0,)ln 2x ∈时,()0f x '>,当2(,)ln 2x ∈+∞时,()0f x '<, 故()f x 在2(0,)ln 2上单调递增,在2(,)ln 2+∞上单调递减. (2)由题知()1f x =在(0,)+∞有两个不等实根,ln ln ()1ln ln a x x af x x a a x x a x a=⇔=⇔=⇔=, 令ln ()x g x x =,21ln ()xg x x-'=,()g x 在(0,)e 上单调递增,在(,)e +∞上单调递减,所以max 1()()g x g e e==, 又(1)0g =,当x 趋近于+∞时,()g x 趋近于0,所以曲线()y f x =与直线1y =有且仅有两个交点,即曲线()y g x =与直线ln ay a=有两个交点的充分必要条件是ln 10a a e<<,即0()()g a g e <<,解得1a >且a e ≠, 所以a 的取值范围是(1,)(,).e e ⋃+∞16.【答案】解:(1)由题意得0x >,22()1af x x x'=-+,由函数()f x 在定义域上是增函数得,()0f x ', 即222(1)1(0)a x x x x -=--+>恒成立, 因为2(1)11(x --+当1x =时,取等号), 所以a 的取值范围是[1,).+∞2(2)()(2ln 1)x g x e x x x'=---+,由(1)得2a =时,2()2ln 1f x x x x=--+, 此时()f x 在定义域上是增函数,又(1)0f =, 所以,当(0,1)x ∈时,()0f x <, 当(1,)x ∈+∞时,()0.f x > 所以,当(0,1)x ∈时,()0g x '>, 当(1,)x ∈+∞时,()0.g x '< 所以()g x 的单调递增区间是(0,1),()g x 的单调递减区间是(1,).+∞17.【答案】解:,(0,0)a x >>,①1a =时,,()f x ∴在(0,)+∞上单调递减;②01a <<时,由()0f x '>,解得:1a x <<,()f x ∴在(,1)a 上单调递增,在(0,)a ,(1,)+∞上单调递减;③1a >时,同理()f x 在(1,)a 上单调递增,在(0,1),(,)a +∞上单调递减;21(2)()2f x x ax b -++恒成立,ln 0a x x b ∴-+恒成立,令()ln g x a x x b =-+,则()a xg x x-'=, ()g x ∴在(0,)a 上单调递增,在(,)a +∞上单调递减.max ()()ln 0g x g a a a a b ∴==-+,ln b a a a ∴-,22ln ab a a a ∴-,令22()ln (0)h x x x x x =->,则()(12ln )h x x x '=-,()h x ∴在上单调递增,在)+∞上单调递减,max ()2e h x h e e ∴==-=, .2e ab∴ 即ab 的最大值为.2e18.【答案】解:(1)当1a =时,2()x f x e x x =+-,()21x f x e x '=+-,记()()g x f x =',因为()20xg x e '=+>,所以()()21xg x f x e x ='=+-在R 上单调递增, 又(0)0f '=,得当0x >时()0f x '>,即2()xf x e x x =+-在(0,)+∞上单调递增; 当0x <时()0f x '<,即2()xf x e x x =+-在(,0)-∞上单调递减. 所以2()xf x e x x =+-在(,0)-∞上单调递减,在(0,)+∞上单调递增.(2)①当0x =时,a ∈R ;②当0x >时,31()12f x x +即32112xx x e a x++-, 令32112()x x x e h x x++-=,231(2)(1)2()x x e x x h x x ----'= 记21()12x m x e x x =---,()1x m x e x '=-- 令()1xq x e x =--,因为0x >,所以()10xq x e '=->,所以()()1xm x q x e x '==--在(0,)+∞上单调递增,即()1(0)0xm x e x m ''=-->=所以21()12x m x e x x =---在(0,)+∞上单调递增,即21()1(0)02x m x e x x m =--->=, 故当(0,2)x ∈时,()0h x '>,32112()xx x e h x x ++-=在(0,2)上单调递增; 当(2,)x ∈+∞时,()0h x '<,32112()xx x e h x x++-=在(2,)+∞上单调递减;所以2max7[()](2)4e h x h -==,所以274e a -,综上可知,实数a 的取值范围是27[,).4e -+∞19.【答案】(1)解:21()()(1)ln (1)12g x f x ax x ax a x =--=-+-+,所以21(1)1()(1)ax a x g x ax a x x-+-+'=-+-=,当0a 时,因为0x >,所以()0.g x '> 所以()g x 在(0,)+∞上是递增函数;当0a >时,1()(1)()a x x a g x x--+'=, 令()0g x '=,得1x a=, 所以当1(0,)x a∈时,()0g x '>;当1(,)x a∈+∞时,()0g x '<,因此函数()g x 在1(0,)a 是增函数,在1(,)a+∞是减函数,综上,当0a 时,()g x 的单调递增区间是(0,)+∞,无单调递减区间; 当0a >时,()g x 的单调递增区间是1(0,)a ,单调递减区间是1(,).a+∞(2)证明:当2a =-时,2()ln ,0f x x x x x =++>,由1212()()0f x f x x x ++=,即2211122212ln ln 0x x x x x x x x ++++++=,从而212121212()()ln()x x x x x x x x +++=-,令12t x x =,则由()ln t t t ϕ=-,得1()t t tϕ-'=,0t >, 可知,()t ϕ在区间(0,1)上单调递减,在区间(1,)+∞上单调递增, 所以()(1)1t ϕϕ=,所以21212()()1x x x x +++,解得12512x x -+或12512x x --+, 又因为10x >,20x >,因此12512x x -+成立.20.【答案】解:(1)()f x 的定义域为(,)-∞+∞,2()2(2)1(1)(21)x x x x f x ae a e ae e '=+--=-+,(i)若0a ,则在(,)x ∈-∞+∞时()0f x '<,所以()f x 在(,)-∞+∞单调递减. (ii)若0a >,则由()0f x '=得ln .x a =-当(,ln )x a ∈-∞-时,()0f x '<;当(ln ,)x a ∈-+∞时,()0f x '>, 所以()f x 在(,ln )a -∞-单调递减,在(ln ,)a -+∞单调递增.(2)(i)若0a ,由(1)知,()f x 在(,)-∞+∞上单调递减,故()f x 至多有一个零点,不合题意.(ii)若0a >,由(1)知,当ln x a =-时,()f x 取得最小值,最小值为1(ln )1ln .f a a a-=-+①当1a =时,由于(ln )0,f a -=故()f x 只有一个零点; ②当(1,)a ∈+∞时,由于11ln 0a a-+>,即(ln )0f a ->,故()f x 没有零点; ③当(0,1)a ∈时,11ln 0a a-+<,即(ln )0.f a -< 又422(2)(2)2220f aea e e ----=+-+>-+>,故()f x 在(,ln )a -∞-有一个零点.设正整数0n 满足03ln(1)n a>-,则0000()(2)n n f n e ae a n =+-- 000020.n n e n n >->-> 由于3ln(1)ln a a ->-,因此()f x 在(ln ,)a -+∞有一个零点. 综上,a 的取值范围为(0,1).。
1.设函数.( 1)当时,函数与在处的切线互相垂直,求的值;( 2)若函数在定义域内不单调,求的取值范围;( 3)是否存在正实数,使得对任意正实数恒成立?若存在,求出满足条件的实数;若不存在,请说明理由.2.已知函数是的导函数,为自然对数的底数.( 1)讨论的单调性;( 2)当时,证明:;( 3)当时,判断函数零点的个数,并说明理由.3.已知函数(其中,).( 1)当时,若在其定义域内为单调函数,求的取值范围;( 2)当时,是否存在实数,使得当时,不等式恒成立,如果存在,求的取值范围,如果不存在,说明理由(其中是自然对数的底数,). 4.已知函数,其中为常数.( 1)讨论函数的单调性;( 2)若存在两个极值点,求证:无论实数取什么值都有.5 .已知函数(为常数)是实数集上的奇函数,函数是区间上的减函数 .( 1)求的值;( 2)若在及所在的取值范围上恒成立,求的取值范围;6.已知函数ln , x ,其中.f x ax x F x e ax x 0, a 0( 1)若f x 和 F x 在区间 0,ln3 上具有相同的单调性,求实数 a 的取值范围;( 2)若a , 1 ,且函数 g x xe ax 1 2ax f x 的最小值为 M ,求 M 的e2最小值 .7.已知函数 f ( x) e x m ln x .( 1)如x 1 是函数 f (x) 的极值点,求实数m 的值并讨论的单调性 f (x) ;( 2)若x x0是函数f ( x)的极值点,且f ( x) 0 恒成立,求实数m 的取值范围(注:已知常数 a 满足 a ln a 1 ) .8.已知函数 f x ln 1 mx x2mx ,其中0 m 1 .2( 1)当m 1时,求证: 1 x 0 时, f x x3;3( 2)试讨论函数y f x 的零点个数.9.已知e 是自然对数的底数 , F x 2e x 1 x ln x, f x a x 1 3 .(1)设T x F x f x , 当a 1 2e 1时, 求证: T x 在 0, 上单调递增;(2)若x 1, F x f x , 求实数a的取值范围 .10 .已知函数f x e x ax 2(1)若a 1 ,求函数f x 在区间[ 1,1]的最小值;(2)若a R, 讨论函数 f x 在 (0, ) 的单调性;(3)若对于任意的x1, x2 (0, ), 且 x1 x2,都有 x2 f ( x1) a x1 f ( x2 ) a 成立,求 a 的取值范围。
高中数学函数的单调性练习题及其答案1.在区间(0.+∞)上不是增函数的函数是:A。
y=2x+1 C。
y=1/x B。
y=3x^2+1 D。
y=2x^2+x+12.函数f(x)=4x^2-mx+5在区间[-2.+∞]上是增函数,在区间(-∞。
-2)上是减函数,则f(1)等于:C。
173.函数f(x)在区间(-2.3)上是增函数,则y=f(x+5)的递增区间是:B。
(-7.-2)4.函数f(x)=(ax+1)/(x+2)在区间(-2.+∞)上单调递增,则实数a的取值范围是:B。
(0.+∞)5.已知函数f(x)在区间[a。
b]上单调,且f(a)f(b)<0,则方程f(x)=0在区间[a。
b]内:A。
至少有一实根6.已知函数f(x)=8+2x-x^2,如果g(x)=f(2-x^2),那么函数g(x):C。
在区间(-2.0)上是增函数7.已知函数f(x)是R上的增函数,A(0.-1)、B(3.1)是其图象上的两点,那么不等式|f(x+1)|<1的解集的补集是:D。
(-∞。
-1)∪[2.+∞)8.已知定义域为R的函数f(x)在区间(-∞。
5)上单调递减,对任意实数t,都有f(5+t)=f(5-t),那么下列式子一定成立的是:B。
f(13)<f(9)<f(-1)9.函数f(x)=|x|和g(x)=x(2-x)的递增区间依次是:C。
(-∞。
1]。
[1.+∞)10.已知函数f(x)=x^2+2(a-1)x+2在区间(-∞。
4]上是减函数,则实数a的取值范围是:a≤0 或a≥51.对于第一题,正确答案为D,即a≥3.2.第二题中,删除了明显有问题的选项,正确答案为C,即f(a)+f(b)≥-f(a)+f(b)。
3.对于第三题,正确答案为B,即f(0)>f(3)。
4.填空题的答案为:13.(1.+∞),14.(-∞。
3),15.(-∞。
3]。
5.解答题的答案为:17.(1) f(1)=0;(2) f(x+3)-f(x)5,即单调递减区间为(-∞,1)∪(5.+∞)。
第2讲导数在研究函数中的应用第1课时导数与函数的单调性一、选择题1.函数f(x)=x-ln x的单调递减区间为() A.(0,1) B.(0,+∞)C.(1,+∞) D.(-∞,0)∪(1,+∞)解析函数的定义域是(0,+∞),且f′(x)=1-1x=x-1x,令f′(x)<0,解得0<x<1,所以单调递减区间是(0,1).答案 A2.(2015·陕西卷)设f(x)=x-sin x,则f(x)() A.既是奇函数又是减函数B.既是奇函数又是增函数C.是有零点的减函数D.是没有零点的奇函数解析因为f′(x)=1-cos x≥0,所以函数为增函数,排除选项A和C.又因为f(0)=0-sin 0=0,所以函数存在零点,排除选项D,故选B.答案 B3.已知定义在R上的函数f(x),其导函数f′(x)的大致图像如图所示,则下列叙述正确的是()A .f (b )>f (c )>f (d )B .f (b )>f (a )>f (e )C .f (c )>f (b )>f (a )D .f (c )>f (e )>f (d )解析 依题意得,当x ∈(-∞,c )时,f ′(x )>0,因此,函数f (x )在(-∞,c )上是增函数,由a <b <c ,所以f (c )>f (b )>f (a ). 答案 C4.若函数f (x )=2x 3-3mx 2+6x 在区间(2,+∞)上为增函数,则实数m 的取值范围为( )A .(-∞,2)B .(-∞,2] C.⎝ ⎛⎭⎪⎫-∞,52 D.⎝ ⎛⎦⎥⎤-∞,52 解析 ∵f ′(x )=6x 2-6mx +6, 当x ∈(2,+∞)时,f ′(x )≥0恒成立, 即x 2-mx +1≥0恒成立,∴m ≤x +1x 恒成立. 令g (x )=x +1x ,g ′(x )=1-1x 2,∴当x >2时,g ′(x )>0,即g (x )在(2,+∞)上单调递增, ∴m ≤2+12=52. 答案 D5.(2017·上饶模拟)函数f (x )的定义域为R ,f (-1)=2,对任意x ∈R ,f ′(x )>2,则f (x )>2x +4的解集为( )A .(-1,1)B .(-1,+∞)C .(-∞,-1)D .(-∞,+∞) 解析 由f (x )>2x +4,得f (x )-2x -4>0,设F (x )=f (x )-2x -4,则F ′(x )=f ′(x )-2,因为f′(x)>2,所以F′(x)>0在R上恒成立,所以F(x)在R上单调递增.又F(-1)=f(-1)-2×(-1)-4=2+2-4=0,故不等式f(x)-2x-4>0等价于F(x)>F(-1),所以x>-1.答案 B二、填空题6.已知函数f(x)=(-x2+2x)e x(x∈R,e为自然对数的底数),则函数f(x)的单调递增区间为________.解析因为f(x)=(-x2+2x)e x,所以f′(x)=(-2x+2)e x+(-x2+2x)e x=(-x2+2)e x.令f′(x)>0,即(-x2+2)e x>0,因为e x>0,所以-x2+2>0,解得-2<x<2,所以函数f(x)的单调递增区间为(-2,2).答案(-2,2)7.已知函数f(x)=-12x2+4x-3ln x在区间[t,t+1]上不单调,则t的取值范围是________.解析由题意知f′(x)=-x+4-3x=-(x-1)(x-3)x,由f′(x)=0得函数f(x)的两个极值点为1和3,则只要这两个极值点有一个在区间(t,t+1)内,函数f(x)在区间[t,t+1]上就不单调,由t<1<t+1或t<3<t+1,得0<t<1或2<t<3.答案(0,1)∪(2,3)8.(2017·武汉模拟)已知f(x)=2ln x+x2-5x+c在区间(m,m+1)上为递减函数,则m的取值范围为________.解析 由f (x )=2ln x +x 2-5x +c ,得f ′(x )=2x +2x -5,又函数f (x )在区间(m ,m +1)上为递减函数, ∴f ′(x )≤0在(m ,m +1)上恒成立, ∴⎩⎪⎨⎪⎧2m +2m -5≤0,2m +1+2(m +1)-5≤0,解得12≤m ≤1.答案 ⎣⎢⎡⎦⎥⎤12,1三、解答题 9.已知函数f (x )=ln x +ke x (k 为常数,e 是自然对数的底数),曲线y =f (x )在点(1,f (1))处的切线与x 轴平行. (1)求k 的值; (2)求f (x )的单调区间.解 (1)由题意得f ′(x )=1x -ln x -ke x ,又f ′(1)=1-ke =0,故k =1. (2)由(1)知,f ′(x )=1x -ln x -1e x.设h (x )=1x -ln x -1(x >0),则h ′(x )=-1x 2-1x <0, 即h (x )在(0,+∞)上是减函数.由h (1)=0知,当0<x <1时,h (x )>0,从而f ′(x )>0; 当x >1时,h (x )<0,从而f ′(x )<0.综上可知,f (x )的单调递增区间是(0,1),单调递减区间是(1,+∞). 10.已知函数f (x )=x 3+ax 2-x +c ,且a =f ′⎝ ⎛⎭⎪⎫23.(1)求a 的值;(2)求函数f (x )的单调区间;(3)设函数g (x )=(f (x )-x 3)·e x ,若函数g (x )在x ∈[-3,2]上单调递增,求实数c 的取值范围.解 (1)由f (x )=x 3+ax 2-x +c , 得f ′(x )=3x 2+2ax -1.当x =23时,得a =f ′⎝ ⎛⎭⎪⎫23=3×⎝ ⎛⎭⎪⎫232+2a ×23-1, 解得a =-1.(2)由(1)可知f (x )=x 3-x 2-x +c ,则f ′(x )=3x 2-2x -1=3⎝ ⎛⎭⎪⎫x +13(x -1),列表如下:所以f (x )的单调递增区间是⎝ ⎛⎭⎪⎫-∞,-13和(1,+∞);f (x )的单调递减区间是⎝ ⎛⎭⎪⎫-13,1.(3)函数g (x )=(f (x )-x 3)·e x =(-x 2-x +c )·e x , 有g ′(x )=(-2x -1)e x +(-x 2-x +c )e x =(-x 2-3x +c -1)e x ,因为函数g (x )在x ∈[-3,2]上单调递增,所以h (x )=-x 2-3x +c -1≥0在x ∈[-3,2]上恒成立,只要h (2)≥0,解得c ≥11,所以c 的取值范围是[11,+∞).11.函数f (x )在定义域R 内可导,若f (x )=f (2-x ),且当x ∈(-∞,1)时,(x -1)f ′(x )<0,设a =f (0),b =f ⎝ ⎛⎭⎪⎫12,c =f (3),则( )A .a <b <cB .c <b <aC .c <a <bD .b <c <a解析 依题意得,当x <1时,f ′(x )>0, 则f (x )在(-∞,1)上为增函数; 又f (3)=f (-1),且-1<0<12<1, 因此有f (-1)<f (0)<f ⎝ ⎛⎭⎪⎫12,即有f (3)<f (0)<f ⎝ ⎛⎭⎪⎫12,c <a <b .答案 C12.(2016·全国Ⅰ卷)若函数f (x )=x -13sin 2x +a sin x 在(-∞,+∞)单调递增,则a 的取值范围是( )A .[-1,1] B.⎣⎢⎡⎦⎥⎤-1,13 C.⎣⎢⎡⎦⎥⎤-13,13 D.⎣⎢⎡⎦⎥⎤-1,-13 解析 ∵f (x )=x -13sin 2x +a sin x ,∴f ′(x )=1-23cos 2x +a cos x =1-23(2cos 2x -1)+a cos x =-43cos 2 x +a cos x +53,由f (x )在R 上单调递增,则f ′(x )≥0在R 上恒成立. 令t =cos x ,t ∈[-1,1],则-43t 2+at +53≥0.在t ∈[-1,1]上恒成立.∴4t 2-3at -5≤0在t ∈[-1,1]上恒成立.令g (t )=4t 2-3at -5,则⎩⎪⎨⎪⎧g (1)=-3a -1≤0,g (-1)=3a -1≤0.解之得-13≤a ≤13. 答案 C13.(2017·合肥质检)设f ′(x )是奇函数f (x )(x ∈R )的导函数,f (-2)=0,当x >0时,xf ′(x )-f (x )>0,则使得f (x )>0成立的x 的取值范围是________. 解析 令g (x )=f (x )x ,则g ′(x )=xf ′(x )-f (x )x 2>0,x ∈(0,+∞),所以函数g (x )在(0,+∞)上单调递增. 又g (-x )=f (-x )-x=-f (x )-x=f (x )x =g (x ), 则g (x )是偶函数,g (-2)=0=g (2). 则f (x )=xg (x )>0⇔⎩⎪⎨⎪⎧x >0,g (x )>0或⎩⎪⎨⎪⎧x <0,g (x )<0,解得x >2或-2<x <0,故不等式f (x )>0的解集为(-2,0)∪(2,+∞). 答案 (-2,0)∪(2,+∞)14.已知函数f (x )=ln x ,g (x )=12ax +b .(1)若f (x )与g (x )在x =1处相切,求g (x )的表达式;(2)若φ(x )=m (x -1)x +1-f (x )在[1,+∞)上是减函数,求实数m 的取值范围.解 (1)由已知得f ′(x )=1x ,∴f ′(1)=1=12a ,a =2. 又∵g (1)=0=12a +b ,∴b =-1,∴g (x )=x -1. (2)∵φ(x )=m (x -1)x +1-f (x )=m (x -1)x +1-ln x 在[1,+∞)上是减函数, ∴φ′(x )=-x 2+(2m -2)x -1x (x +1)2≤0在[1,+∞)上恒成立,∴x 2-(2m -2)x +1≥0在[1,+∞)上恒成立, 则2m -2≤x +1x ,x ∈[1,+∞), ∵x +1x ∈[2,+∞),∴2m -2≤2,m ≤2. 故实数m 的取值范围是(-∞,2].。
1.若函数y =f ′(x )在区间(x 1,x 2)内是单调递减函数,则函数y =f (x )在区间(x 1,x 2)内的图象可以是( )【答案】B【解析】选项A 中,f ′(x )>0且为常数函数;选项C 中,f ′(x )>0且f ′(x )在(x 1,x 2)内单调递增;选项D 中,f ′(x )>0且f ′(x )在(x 1,x 2)内先增后减.故选B.2.函数f (x )=2x 2-ln x 的递增区间是( )A.⎝⎛⎭⎫0,12 B.⎝⎛⎭⎫-12,0和⎝⎛⎭⎫12,+∞ C.⎝⎛⎭⎫12,+∞ D.⎝⎛⎭⎫-∞,-12和⎝⎛⎭⎫0,12 【答案】C【解析】由题意得,函数的定义域为(0,+∞),f ′(x )=4x -1x =4x 2-1x =(2x +1)(2x -1)x,令f ′(x )=(2x +1)(2x -1)x >0,解得x >12,故函数f (x )=2x 2-ln x 的递增区间是⎝⎛⎭⎫12,+∞.故选C. 3.函数f (x )的定义域为R ,f (-1)=2,对任意x ∈R ,f ′(x )>2.则f (x )>2x +4的解集为( )A .(-1,1)B .(-1,+∞)C .(-∞,-1)D .(-∞,+∞)【答案】B【解析】构造函数g (x )=f (x )-(2x +4),则g (-1)=2-(-2+4)=0,又f ′(x )>2.∴g ′(x )=f ′(x )-2>0,∴g (x )是R 上的增函数.∴f (x )>2x +4⇔g (x )>0⇔g (x )>g (-1),∴x >-1.4.若函数f (x )=x -a x 在[1,4]上单调递减,则实数a 的最小值为( )A .1B .2C .4D .5【答案】C【解析】函数f (x )=x -a x 在[1,4]上单调递减,只需f ′(x )≤0在[1,4]上恒成立即可,令f ′(x )=1-12ax -12≤0,解得a ≥2x ,则a ≥4.∴a min =4. 5.设f (x ),g (x )是定义在R 上的恒大于0的可导函数,且f ′(x )g (x )-f (x )g ′(x )<0,则当a <x <b 时有专题03 函数的单调性与导数 第一章 导数及其应用( )A .f (x )g (x )>f (b )g (b )B .f (x )g (a )>f (a )g (x )C .f (x )g (b )>f (b )g (x )D .f (x )g (x )>f (a )g (a )【答案】C 【解析】因为⎣⎡⎦⎤f (x )g (x )′=f ′(x )g (x )-f (x )g ′(x )g 2(x ).又因为f ′(x )g (x )-f (x )g ′(x )<0,所以f (x )g (x )在R 上为减函数.又因为a <x <b ,所以f (a )g (a )>f (x )g (x )>f (b )g (b ),又因为f (x )>0,g (x )>0,所以f (x )g (b )>f (b )g (x ).因此选C. 6.若函数e x f (x )(e =2.718 28…是自然对数的底数)在f (x )的定义域上单调递增,则称函数f (x )具有M 性质.下列函数中具有M 性质的是( )A .f (x )=2-xB .f (x )=x 2C .f (x )=3-xD .f (x )=cos x【答案】A【解析】对于选项A ,f (x )=2-x =⎝⎛⎭⎫12x ,则e x f (x )=e x ·⎝⎛⎭⎫12x =⎝⎛⎭⎫e 2x ,∵e 2>1,∴e x f (x )在R 上单调递增,∴f (x )=2-x 具有M 性质.对于选项B ,f (x )=x 2,e x f (x )=e x x 2,[e x f (x )]′=e x (x 2+2x ),令e x (x 2+2x )>0,得x >0或x <-2; 令e x (x 2+2x )<0,得-2<x <0,∴函数e x f (x )在(-∞,-2)和(0,+∞)上单调递增,在(-2,0)上单调递减,∴f (x )=x 2不具有M 性质.对于选项C ,f (x )=3-x =⎝⎛⎭⎫13x ,则e x f (x )=e x ·⎝⎛⎭⎫13x =⎝⎛⎭⎫e 3x ,∵e 3<1,∴y =⎝⎛⎭⎫e 3x 在R 上单调递减,∴f (x )=3-x 不具有M 性质.对于选项D ,f (x )=cos x ,e x f (x )=e x cos x ,则[e x f (x )]′=e x (cos x -sin x )≥0在R 上不恒成立,故e x f (x )=e x cos x 在R 上不是单调递增的,∴f (x )=cos x 不具有M 性质.故选A.7.如图所示的是函数y =f (x )的导函数y =f ′(x )的图象,则在[-2,5]上函数f (x )的递增区间为________.【答案】(-1,2)和(4,5]【解析】因为在(-1,2)和(4,5]上f ′(x )>0,所以f (x )在[-2,5]上的单调递增区间为(-1,2)和(4,5].8.若函数y =-43x 3+bx 有三个单调区间,则b 的取值范围是__________. 【答案】(0,+∞)【解析】若函数y =-43x 3+bx 有三个单调区间,则y ′=-4x 2+b =0有两个不相等的实数根,所以b >0.9.若函数f (x )=2x 2-ln x 在定义域内的一个子区间(k -1,k +1)上不是单调函数,则实数k 的取值范围是________.【答案】⎣⎡⎭⎫1,32 【解析】显然函数f (x )的定义域为(0,+∞),f ′(x )=4x -1x =4x 2-1x.由f ′(x )>0,得函数f (x )的单调递增区间为⎝⎛⎭⎫12,+∞;由f ′(x )<0,得函数f (x )单调递减区间为⎝⎛⎭⎫0,12.因为函数在区间(k -1,k +1)上不是单调函数,所以k -1<12<k +1,解得-12<k <32,又因为(k -1,k +1)为定义域内的一个子区间,所以k -1≥0,即k ≥1.综上可知,1≤k <32. 10.(1)已知函数f (x )=ax e kx -1,g (x )=ln x +kx .当a =1时,若f (x )在(1,+∞)上为减函数,g (x )在(0,1)上为增函数,求实数k 的值;(2)已知函数f (x )=x +a x-2ln x ,a ∈R ,讨论函数f (x )的单调区间. 【解析】(1)当a =1时,f (x )=x e kx -1,∴f ′(x )=(kx +1)e kx ,g ′(x )=1x+k . ∵f (x )在(1,+∞)上为减函数, 则∀x >1,f ′(x )≤0⇔k ≤-1x, ∴k ≤-1.∵g (x )在(0,1)上为增函数,则∀x ∈(0,1),g ′(x )≥0⇔k ≥-1x, ∴k ≥-1.综上所述,k =-1.(2)函数f (x )的定义域为(0,+∞),∴f ′(x )=1-a x 2-2x =x 2-2x -a x 2. ①当Δ=4+4a ≤0,即a ≤-1时,得x 2-2x -a ≥0,则f ′(x )≥0.∴函数f (x )在(0,+∞)上单调递增.②当Δ=4+4a >0,即a >-1时,令f ′(x )=0,得x 2-2x -a =0,解得x 1=1-1+a ,x 2=1+1+a >0.(ⅰ)若-1<a ≤0,则x 1=1-1+a ≥0,∵x ∈(0,+∞),∴f (x )在(0,1-1+a ),(1+1+a ,+∞)上单调递增,在(1-1+a ,1+1+a )上单调递减.(ⅱ)若a >0,则x 1<0,当x ∈(0,1+1+a )时,f ′(x )<0,当x ∈(1+1+a ,+∞)时,f ′(x )>0,∴函数f (x )在区间(0,1+1+a )上单调递减,在区间(1+1+a ,+∞)上单调递增.。
吉林省吉林市桦甸市第四中学2016-2017学年度下学期导数与单调性训练题及答案1、若函数bxxxf+-=334)(有三个单调区间,则b的取值范围是。
2、若函数)(3xxay-=的递减区间为⎪⎪⎭⎫⎝⎛-33,33,则a的取值范围是()A.a>0 B.-1<a<0 C.a>1 D.0<a<13、设函数)(xfy=是偶函数,若曲线)(xfy=在点(1,f(1))处的切线的斜率为1,则该曲线在点(-1,f(-1))处的切线的斜率为()A.1 B.-1 C.不存在D.24、已知函数axxxxf22131)(23++-=在⎪⎭⎫⎝⎛+∞,32上存在单调增区间,则a的取值范围是。
5、)(xf是定义在R上的偶函数,当0<x时,0)()(<'•+xfxxf,且0)4(=-f,则不等式0)(>xxf的解集是()A.),4()0,4(+∞- B.)4,0()0,4(-C.),4()4,(+∞--∞ D.)4,0()4,(--∞6、定义在R上的可导函数)(xf,已知)(xfey'=的图象如图所示,则)(xfy=的增区间是( )A.)1,(-∞ B.)2,(-∞C.)1,0( D.)2,1(7、已知e为自然对数的底数,则函数y=xe x的单调递增区间是( )A.[-1,+∞) B.(-∞,-1] C.[1,+∞) D.(-∞,1]8、已知函数f(x)=12x3+ax+4,则“a>0”是“f(x)在R上单调递增”的( )A.充分不必要条件B.必要不充分条件C.充要条件D.既不充分也不必要条件9、如果函数f(x)的导函数f′(x)的图像如图所示,那么函数f(x)的图像最有可能的是( )10、函数f(x)在定义域R内可导,若f(x)=f(2-x),且当x∈(-∞,1)时,(x-1)f′(x)<0,设a=f(0),b=f(12),c=f(3),则( )xyO1212A .a<b<cB .c<a<bC .c<b<aD .b<c<a11、已知函数f(x)(x ∈R)的图像上任一点(x 0,y 0)处的切线方程为y -y 0=(x 0-2)(x 02-1)(x -x 0),那么函数f(x)的单调减区间是( )A .[-1,+∞)B .(-∞,2]C .(-∞,-1)和(1,2)D .[2,+∞)12、已知函数y =f(x)的图像是下列四个图像之一,且其导函数y =f ′(x)的图像如图所示,则该函数的图像是( )13、设函数f ′(x)是奇函数f(x)(x ∈R)的导函数,f(-1)=0,当x>0时,xf ′(x)-f(x)<0,则使得f(x)>0成立的x 的取值范围是( )A .(-∞,-1)∪(0,1)B .(-1,0)∪(1,+∞)C .(-∞,-1)∪(-1,0)D .(0,1)∪(1,+∞)14、已知函数f(x)的导函数为f ′(x)=5+cosx ,x ∈(-1,1),且f(0)=0,若f(1-x)+f(1-x 2)<0,则实数x 的取值范围为________.15、若函数f(x)的定义域为R ,且满足f(2)=2,f ′(x)>1,则不等式f(x)-x>0的解集为________. 16、已知函数f(x)=kx 3+3(k -1)x 2-k 2+1(k>0)的单调递减区间是(0,4).(1)实数k 的值为________; (2)若在(0,4)上为减函数,则实数k 的取值范围是________.17、若函数1)(23+++=mx x x x f 是R 上的单调函数,求实数m 的取值范围。
导数单调性一、单选题1.函数的递增区间为()A.B.C.D.2.已知,,且成立,则下列不等式不可能成立的是()A.B.C.D.3.已知,,,则a,b,c的大小关系是()A.B.C.D.4.函数的图象大致为()A.B.C.D.5.已知函数,若在上的最大值为4,则在上的最小值为()A.-4B.C.-1D.26.已知函数,则的最大值的最小值是()A.B.C.1D.27.已知各项均为正数的数列满足,,其前n项和为,则下列关于数列的叙述错误的是()A.B.C.D.二、多选题8.已知函数,方程有两个不等实根,则下列选项正确的是()A.点是函数的零点B.,,使C.是的极大值点D.的取值范围是9.已知函数,则()A.是偶函数B.存在实数使得,C.在上单调递增D.存在极值点三、填空题10.已知定义在R上的函数的导函数,且,则实数的取值范围为__________. 11.函数的最大值为______.四、解答题12.已知函数,.(1)若,求的单调区间;(2)若关于x的不等式恒成立,求实数a的取值范围.13.己知函数.(1)当时,求的单调区间.(2)存在,使得成立,求整数的最小值.14.已知函数.(1)当时,求的单调区间;(2)若,不等式恒成立,求实数a的取值范围.15.求下列函数的单调区间:(1)f(x)=x2-ln x;(2)f(x)=x+(b>0).16.用导数证明:(1)在区间上是增函数;(2)在区间上是减函数.17.证明:(1)函数在定义域上是减函数;(2)函数在区间上是增函数.18.确定下列函数的单调区间:(1);(2).19.设函数.(1)若,求函数的单调区间;(2)若函数有两个不同的零点,求实数的取值范围.20.已知函数.(1)当时,求曲线在点处的切线方程;(2)当时,设,求函数的单调区间. 21.试确定函数的单调区间.22.已知函数.(1)若,求证:函数在R上单调递增;(2)若关于x的不等式恒成立,求实数m的最小值.23.已知函数,,均为不足近似值.(1)当时,判断函数的单调性;(2)证明:当时,不等式恒成立.24.已知函数其中.(1)当时,求函数的单调区间;(2)当时,函数有两个零点,,满足,证明.25.已知函数.(1)若,讨论的单调性;(2)若,是函数的两个不同的零点,证明:.26.已知函数,.(1)求的单调区间;(2)证明:;(3)若不等式对任意的都成立(其中是自然对数的底数).求的最大值.27.已知函数.(1)若,求函数的单调区间;(2)若,求证:.参考数据:.28.已知函数,.(1)若,求函数的单调区间;(2)若,且,证明:.29.已知函数的图象曲线C满足以下两个特性:①过点存在两条直线与曲线C相切;②曲线C上有A,B两点,其横坐标分别为,,且满足两点在曲线C上等高.请完成以下两个问题.(1)求实数t的取值范围;(2)若,且,求k值.30.已知函数,其中.(1)当时,求函数的单调性;(2)若对,不等式在上恒成立,求的取值范围.参考答案1.2.3.4.5.6.7.8.9.10.11.12.13.14.15.16.17.18.19.20.21.22.23.24.25.26.27.28.29.30.第11页共11页。
2.2.1导数与函数的单调性基础巩固题:1.函数f(x)=21++x ax 在区间(-2,+∞)上为增函数,那么实数a 的取值范围为( ) A.0<a<21 B.a<-1或a>21 C.a>21D.a>-2答案:C 解析:∵f(x)=a+221+-x a 在(-2,+∞)递增,∴1-2a<0,即a>21.2.已知函数f (x )=x 2+2x +a ln x ,若函数f (x )在(0,1)上单调,则实数a 的取值范围是( )A .a ≥0B .a <-4C .a ≥0或a ≤-4D .a >0或a <-4答案:C 解析:∵f ′(x )=2x +2+ax ,f (x )在(0,1)上单调, ∴f ′(x )≥0或f ′(x )≤0在(0,1)上恒成立,即2x 2+2x +a ≥0或2x 2+2x +a ≤0在(0,1)上恒成立, 所以a ≥-(2x 2+2x )或a ≤-(2x 2+2x )在(0,1)上恒成立.记g (x )=-(2x 2+2x ),0<x <1,可知-4<g (x )<0, ∴a ≥0或a ≤-4,故选C.3.函数f (x )=x +9x 的单调区间为________.答案:(-3,0),(0,3) 解析:f ′(x )=1-9x 2=x 2-9x2,令f ′(x )<0,解得-3<x <0或0<x <3,故单调减区间为(-3,0)和(0,3).4 函数32x x y -=的单调增区间为 ,单调减区间为___________________答案:2(0,)3 ; 2(,0),(,)3-∞+∞ 解析: '22320,0,3y x x x x =-+===或 5.确定下列函数的单调区间:(1)y =x 3-9x 2+24x (2)y =3x -x 3 (1)解:y ′=(x 3-9x 2+24x )′=3x 2-18x +24=3(x -2)(x -4) 令3(x -2)(x -4)>0,解得x >4或x <2.∴y =x 3-9x 2+24x 的单调增区间是(4,+∞)和(-∞,2) 令3(x -2)(x -4)<0,解得2<x <4.∴y =x 3-9x 2+24x 的单调减区间是(2,4)(2)解:y ′=(3x -x 3)′=3-3x 2=-3(x 2-1)=-3(x +1)(x -1) 令-3(x +1)(x -1)>0,解得-1<x <1. ∴y =3x -x 3的单调增区间是(-1,1).令-3(x +1)(x -1)<0,解得x >1或x <-1.∴y =3x -x 3的单调减区间是(-∞,-1)和(1,+∞) 6.函数y =ln(x 2-x -2)的单调递减区间为__________.[答案] (-∞,-1) [解析] 函数y =ln(x 2-x -2)的定义域为(2,+∞)∪(-∞,-1),令f (x )=x 2-x -2,f ′(x )=2x -1<0,得x <12,∴函数y =ln(x 2-x -2)的单调减区间为(-∞,-1)7.已知y =13x 3+bx 2+(b +2)x +3在R 上不是单调增函数,则b 的范围为________.[答案] b <-1或b >2 [解析] 若y ′=x 2+2bx +b +2≥0恒成立,则Δ=4b 2-4(b +2)≤0,∴-1≤b ≤2,由题意b <-1或b >2.8.已知x ∈R,求证:e x ≥x +1.证明:设f (x )=e x -x -1,则f ′(x )=e x -1.∴当x =0时,f ′(x )=0,f (x )=0.当x >0时,f ′(x )>0,∴f (x )在(0,+∞)上是增函数.∴f (x )>f (0)=0. 当x <0时,f ′(x )<0,f (x )在(-∞,0)上是减函数,∴f (x )>f (0)=0.9.已知函数y =x +x1,试讨论出此函数的单调区间. 解:y ′=(x +x 1)′=1-1·x -2=222)1)(1(1x x x x x -+=- 令2)1)(1(xx x -+>0. 解得x >1或x <-1.∴y =x +x 1的单调增区间;是(-∞,-1)和(1,+∞).令2)1)(1(xx x -+<0,解得-1<x <0或0<x <1. ∴y =x +x1的单调减区间是(-1,0)和(0,1)10.已知函数32()f x x bx cx d =+++的图象过点P (0,2),且在点M (-1,f (-1))处的切线方程为076=+-y x .(Ⅰ)求函数y=f(x)的解析式;(Ⅱ)求函数y=f(x)的单调区间. 解:(Ⅰ)由f(x)的图象经过P (0,2),知d=2, 所以,2)(23+++=cx bx x x f .23)(2c bx x x f ++=' 由在M(-1,f(-1))处的切线方程是76=+-y x , 知.6)1(,1)1(,07)1(6=-'=-=+---f f f 即{{326,23,12 1.0,3.b c b c b c b c b c -+=-=-∴-+-+=-===-即解得 故所求的解析式是 .233)(23+--=x x x x f (Ⅱ)22()36 3.3630,f x x x x x '=----=令2210.x x --=即 解得 .21,2121+=-=x x当;0)(,21,21>'+>-<x f x x 时或 当.0)(,2121<'+<<-x f x 时故)21,()(--∞在x f 内是增函数,在)21,21(+-内是减函数,在),21(+∞+内是增函数. 点拨:本题考查函数的单调性、导数的应用等知识,考查运用数学知识分析问题和解决问题的能力.11.已知函数f(x)=x 3-21x 2+bx+c.(1)若f(x)在(-∞,+∞)上是增函数,求b 的取值范围;解 (1))(x f '=3x 2-x+b,因f(x)在(-∞,+∞)上是增函数,则)(x f '≥0.即3x 2-x+b≥0,∴b≥x -3x 2在(-∞,+∞)恒成立.设g(x)=x-3x 2.当x=61时,g(x)max =121,∴b≥121. 12.已知函数f(x)=x(x-1)(x-a)在(2,+∞)上是增函数,试确定实数a 的取值范围.解 f(x)=x(x-1)(x-a)=x 3-(a+1)x 2+ax ∴)(x f '=3x 2-2(a+1)x+a 要使函数f(x)=x(x-1)(x-a)在(2,+∞)上是增函数,只需)(x f '=3x 2-2(a+1)x+a 在(2,+∞)上满足)(x f '≥0即可.∵)(x f '=3x 2-2(a+1)x+a 的对称轴是x=31+a ,∴a 的取值应满足:⎪⎩⎪⎨⎧≥'≤+0(2)231f a 或⎪⎪⎩⎪⎪⎨⎧≥+'>+0)31(231a f a 解得:a≤38.∴a 的取值范围是a≤38.13.已知函数 232()4()3f x x ax x x R =+-∈在区间[]1,1-上是增函数,求实数a 的取值范围.解:'2()422f x ax x =+-,因为()f x 在区间[]1,1-上是增函数,所以'()0f x ≥对[]1,1x ∈-恒成立,即220x ax --≤对[]1,1x ∈-恒成立,解之得:11a -≤≤所以实数a 的取值范围为[]1,1-.点拨:已知函数的单调性求参数的取值范围是一种常见的题型,常利用导数与函数单调性关系:即“若函数单调递增,则'()0f x ≥;若函数单调递减,则'()0f x ≤”来求解,注意此时公式中的等号不能省略,否则漏解.14.已知函数d ax bx x x f +++=23)(的图象过点P (0,2),且在点M (-1,)1(-f )处的切线方程076=+-y x ,(1)求函数)(x f y =的解析式;(2)求函数)(x f y =的单调区间。
导数及函数单调性班级班级 姓名姓名1.下列求导运算正确的是(.下列求导运算正确的是( )''22'2'3111.()1 B.(log )ln 2.(3)3log .(cos )2sin x x A x x x x x C e D x x x x+=+===-2.已知32'()32,(1)4, f x ax x f a =++-=若则的值等于()19101613. B. C. D.3333A3.若曲线y =f (x )在点(x 0, f (x 0))处的切线方程为2x -y +1=0,则(,则( )A .f ’(x 0)>0 B .f ’(x 0)<0 C .f ’(x 0)=0 D .f ’(x 0)不存在不存在4.下列函数中,在x =0处的导数不等于零的是处的导数不等于零的是 ( )A .)1(x x y -=B .xe x y -+= C .y=l n (1-x 2) D.x e x y ×=2 5.若y =32x lg (1-co s2x ),则x y ¢为 ( )A .4·9x [2ln 3lg (1-co s2x )+lge ·co t x ] B . 4·9x[2ln 3lg (1-co s2x )+lg 10·co t x ] C . 2·9x[ln 3·lg (1-co s2x )+lge ·co t x ] D . 以上皆非以上皆非6. (05湖北卷)在函数x x y 83-=的图象上,其切线的倾斜角小于4p的点中,坐标为整数的点的个数是数的点的个数是 ( ) A .3 B .2 C .1 D .0 7.设()f x ¢是函数()f x 的导函数的导函数,,()y f x ¢=图象如下左图图象如下左图,,则()y f x =图象最有可能是图象最有可能是 ( ))8.若函数1)(23+++=mx x x x f 是R 上的单调函数,则实数m 的取值范围是(的取值范围是( )A .),31(+¥B .)31,(-¥C .),31[+¥D .]31,(-¥9. 已知抛物线y 2=2px (p >0)与一个定点M (p ,p ),则抛物线上与M 点的距离最小的点为( ) A.(0,0) B.(2p,p ) C.(p p 2,2) D.(p p 332,2) 1010.函数.函数f(x)=x(x -1)(x -2)·…·(x -100)在0x =处的导数值(处的导数值( )A.0 B.2100 C.200 D.100!O 1 2 y xy=f /(x)O1 2 yxO 12 yxO1 2 yx O 12 yxA B C D 1111.若.若f ′(x 0)=2,k x f k x f k 2)()(lim000--® =_________.12.设函数),,())()(()(是两两不等的常数c b a c x b x a x x f ---=,则)()(b f ba f a ¢+¢ =¢+)(c f c . .13.设P 点是曲线3233+-=x x y 上的任意一点,P 点处切线倾斜角为a ,则角a 的取值范围是______________。
函数的单调性与导数选择题1、函数f(x)=xlnx的单调递增区间是( )A(01) B(1+∞)C D【解析】选D因为f(x)=xlnx(x>0)所以f′(x)=lnx+1令f′(x)>0得lnx+1>0即x>所以函数f(x)的单调递增区间是2、下列函数中在(0+∞)内为增函数的是( )Ay=sinx By=xe2Cy=x3-x Dy=lnx-x【解析】选B对于Ay=sinx在(0+∞)内有增有减对于By′=(xe2)′=e2>0故y=xe2在(0+∞)内是增函数;对于Cy′=3x2-1=3当x∈时y′<0;故y=x3-x在上是减函数对于Dy′=-1=当x∈(1+∞)时y′<0故y=lnx-x在(1+∞)上是减函数3、(2016·临沂高二检测)已知函数y=f(x)的图象是如图四个图象之一且其导函数y=f′(x)的图象如图所示则该函数的图象是( )【解析】选B由函数y=f(x)的导函数y=f′(x)的图象知f(x)的图象是上升的且先由“平缓”变“陡峭”再由“陡峭”变“平缓”观察图象可得B正确4、若f(x)=e<a<b则( )Af(a)>f(b) Bf(a)=f(b)Cf(a)<f(b) Df(a)f(b)>1【解题指南】先判断f(x)的单调性再比较f(a)与f(b)的大小【解析】选A因为f′(x)==当x∈(e+∞)时1-lnx<0所以f′(x)<0所以f(x)在(e+∞)内为单调递减函数故f(a)>f(b)5、(2016·烟台高二检测)若a>0且f(x)=x3-ax在B(-11]C(-11) D上是单调函数求a的取值范围【解析】f′(x)=(2x-2a)e x+(x2-2ax)e x=e x令f′(x)=0即x2+2(1-a)x-2a=0解得x1=a-1-x2=a-1+其中x1<x2当x变化时f′(x)f(x)的变化情况见下表:x (-∞x1) x1(x1x2) x2(x2+∞) f′(x) + 0 - 0 +f(x) ↗↘↗因为a≥0所以x1<-1x2≥0f(x)在(x1x2)上单调递减由此可得f(x)在上是单调函数的充要条件为x2≥1即a-1+≥1解得a≥故所求a的取值范围为10(2016·青岛高二检测)已知函数y=f(x)=x3+bx2+cx+d的图象经过点P(02)且在点M(-1f(-1))处的切线方程为6x-y+7=0(1)求函数y=f(x)的解析式(2)求函数y=f(x)的单调区间【解析】(1)由y=f(x)的图象经过点P(02)知d=2所以f(x)=x3+bx2+cx+2f′(x)=3x2+2bx+c由在点M(-1f(-1))处的切线方程为6x-y+7=0知-6-f(-1)+7=0即f(-1)=1f′(-1)=6所以即解得b=c=-3故所求的解析式是y=f(x)=x3-3x2-3x+2(2)f′(x)=3x2-6x-3令f′(x)>0得x<1-或x>1+;令f′(x)<0得1-<x<1+故f(x)=x3-3x2-3x+2的单调递增区间为(-∞1-)和(1++∞)单调递减区间为(1-1+)1已知对任意实数x有f(-x)=-f(x)g(-x)=g(x)且当x>0时有f′(x)>0g′(x)>0则当x<0时有( )Af′(x)>0g′(x)>0 Bf′(x)>0g′(x)<0Cf′(x)<0g′(x)>0 Df′(x)<0g′(x)<0【解析】选B由题知f(x)是奇函数g(x)是偶函数根据奇偶函数图象特点知当x<0时f(x)的单调性与x>0时相同g(x)的单调性与x>0时恰好相反因此当x<0时有f′(x)>0g′(x)<0 2(2016·南昌高二检测)设f(x)g(x)分别是定义在R上的奇函数和偶函数当x<0时f′(x)g(x)+f(x)g′(x)>0且g(-3)=0则不等式f(x)g(x)<0的解集是( )A(-30)∪(3+∞) B(-30)∪(03)C(-∞-3)∪(3+∞) D(-∞-3)∪(03)【解析】选D因为′=f′(x)g(x)+f(x)g′(x)所以当x<0时′>0所以f(x)·g(x)在(-∞0)上是增函数又g(-3)=0所以f(-3)g(-3)=0所以当x∈(-∞-3)时f(x)g(x)<0;当x∈(-30)时f(x)g(x)>0又因为f(x)g(x)分别是定义在R上的奇函数和偶函数所以f(x)g(x)在R上是奇函数其图象关于原点对称所以当x∈(03)时f(x)g(x)<0综上选D【补偿训练】(2015·全国卷Ⅱ)设函数f′(x)是奇函数f(x)(x∈R)的导函数f(-1)=0当x>0时xf′(x)-f(x)<0则使得f(x)>0成立的x的取值范围是( )A(-∞-1)∪(01) B(-10)∪(1+∞)C(-∞-1)∪(-10) D(01)∪(1+∞)【解析】选A记函数g(x)=则g′(x)=因为当x>0时xf′(x)-f(x)<0故当x>0时g′(x)<0所以g(x)在(0+∞)上单调递减;又因为函数f(x)(x∈R)是奇函数故函数g(x)是偶函数所以g(x)在(-∞0)上单调递增且g(-1)=g(1)=0当0<x<1时g(x)>0则f(x)>0;当x<-1时g(x)<0则f(x)>0综上所述使得f(x)>0成立的x的取值范围是(-∞-1)∪ (01)二、填空题(每小题5分共10分)3(2016·泰安模拟)如果函数f(x)=2x2-lnx在定义域内的一个子区间(k-1k+1)上不是单调函数那么实数k的取值范围是【解析】显然函数f(x)的定义域为(0+∞)y′=4x-=由y′>0得函数f(x)的单调递增区间为;由y′<0得函数f(x)的单调递减区间为由于函数在区间(k-1k+1)上不是单调函数所以解得1≤k<答案:4(2016·盐城高二检测)若函数f(x)=(mx-1)e x在(0+∞)上单调递增则实数m的取值范围是【解析】因为f′(x)=(mx+m-1)e x由题意得f′(x)≥0在(0+∞)上恒成立令g(x)=mx+m-1则解得m≥1答案:令f′(x)=0得x1=1x2=a-1因为f(x)在(14)内为减函数所以当x∈(14)时f′(x)≤0;因为f(x)在(6+∞)内为增函数所以当x∈(6+∞)时f′(x)≥0所以4≤a-1≤6解得5≤a≤7所以实数a的取值范围为方法二:f′(x)=x2-ax+a-1因为f(x)在(14)内为减函数所以当x∈(14)时f′(x)≤0;因为f(x)在(6+∞)内为增函数所以当x∈(6+∞)时f′(x)≥0所以即解得5≤a≤7所以实数a的取值范围为6(2015·驻马店高二检测)已知函数f(x)=(ax2+x-1)e x其中e是自然对数的底数a∈R(1)若a=1求曲线f(x)在点(1f(1))处的切线方程(2)若a=-1求f(x)的单调区间【解析】(1)因为f(x)=(x2+x-1)e x所以f′(x)=(2x+1)e x+(x2+x-1)e x=(x2+3x)e x所以曲线f(x)在点(1f(1))处的切线斜率为k=f′(1)=4e又因为f(1)=e所以所求切线方程为y-e=4e(x-1)即4ex-y-3e=0(2)f(x)=(-x2+x-1)e x因为f′(x)=-x(x+1)e x令f′(x)<0得x<-1或x>0f′(x)>0得-1<x<0所以f(x)的减区间为(-∞-1)(0+∞)增区间为(-10)关闭Word文档返回原板块。
高中数学函数的单一性与导数测试题(附答案)选修 2-21.3.1 函数的单一性与导数一、选择题1.设 f(x) =ax3+ bx2+ cx+d(a0),则 f(x) 为 R 上增函数的充要条件是 ()A .b2- 4ac0 B.b0, c0C.b=0,c D . b2- 3ac0[答案] D[ 分析 ]∵a0,f(x)为增函数,f(x) =3ax2+ 2bx+ c0 恒建立,=(2b)2- 43ac= 4b2- 12ac0, b2-3ac0.2.(2009 广东文, 8)函数 f(x) = (x- 3)ex 的单一递加区间是() A .(-, 2) B. (0,3)C.(1,4) D . (2,+ )[答案] D[ 分析 ]考察导数的简单应用.f(x) =(x- 3)ex+ (x- 3)(ex) = (x- 2)ex,令 f(x)0 ,解得 x2,应选 D.3.已知函数y= f(x)(xR) 上任一点 (x0, f(x0)) 处的切线斜率k =(x0 -2)(x0 + 1)2,则该函数的单一递减区间为 ()A .[-1,+ ) B.(-, 2]C.(-,- 1)和 (1,2) D . [2,+ )[答案]B[ 分析 ]令k0得x02,由导数的几何意义可知,函数的单一减区间为 (-, 2] .4.已知函数y=xf(x) 的图象如图 (1)所示 (此中 f(x) 是函数 f(x)的导函数 ),下边四个图象中,y= f(x) 的图象大概是 ()[答案] C[ 分析 ]当01时xf(x)0f(x)0 ,故 y=f(x) 在 (0,1)上为减函数当 x1 时 xf(x)0 ,f(x)0 ,故 y= f(x) 在(1,+ )上为增函数,所以否认 A、B、D 应选 C.5.函数 y=xsinx + cosx, x(-)的单一增区间是()A. -,- 2 和 0,2B.- 2, 0 和 0,2C.-,- 2,D.- 2,0 和[答案]A[ 分析 ] y=xcosx,当- x2 时,cosx0, y=xcosx0 ,当 02 时, cosx0,y= xcosx0.6.以下命题建立的是 ()A .若 f(x) 在 (a,b)内是增函数,则对任何 x(a,b),都有 f(x)0B.若在 (a, b)内对任何x 都有 f(x)0 ,则 f(x) 在 (a, b)上是增函数C.若 f(x) 在 (a, b)内是单一函数,则f(x) 必存在D .若 f(x) 在 (a, b)上都存在,则f(x) 必为单一函数[答案]B[ 分析 ]若f(x)在(a,b)内是增函数,则f(x)0 ,故 A 错; f(x)在(a,b)内是单一函数与 f(x) 能否存在无必定联系,故 C 错;f(x) =2 在 (a, b)上的导数为f(x) = 0 存在,但f(x) 无单一性,故D错.7. (2019 福建理, 11)已知对随意实数 x ,有 f( - x) =- f(x) ,g(-x) = g(x) ,且 x0 时, f(x)0 ,g(x)0 ,则 x0 时 () A .f(x)0 ,g(x) B . f(x)0 , g(x)0C.f(x)0 ,g(x) D . f(x)0 , g(x)0[答案 ]B[分析 ]f(x) 为奇函数, g(x) 为偶函数,奇 (偶 )函数在对于原点对称的两个区间上单一性同样(反 ),x0 时, f(x)0 ,g(x)0. 8. f(x) 是定义在 (0,+ )上的非负可导函数,且知足xf(x) +f(x)0 ,对随意正数 a、 b,若 ab,则必有 ()A .af(a)f(b)B . bf(b)f(a)C.af(b)bf(a) D .bf(a)af(b)[答案 ]C[分析 ]∵xf(x) + f(x)0 ,且 x0 ,f(x)0 ,f(x) -f(x)x ,即 f(x) 在(0,+ )上是减函数,又 0< a< b, af(b)bf(a) .9.对于 R 上可导的随意函数f(x) ,若知足 (x -1)f(x)0 ,则必有()A .f(0) + f(2)2f(1)B . f(0) + f(2)2f(1)C.f(0) + f(2)2f(1) D . f(0) + f(2)2f(1)[答案] C[ 分析 ]由(x-1)f(x)0得f(x)在[1,+)上单一递加,在(-,1] 上单一递减或f(x) 恒为常数,故 f(0) + f(2)2f(1) .故应选 C.10.(2019 江西理, 12)如图,一个正五角星薄片( 其对称轴与水面垂直 )匀速地升出水面,记t时辰五角星露出水面部分的图形面积为S(t)(S(0) =0),则导函数y= S(t)的图像大概为[答案]A[ 分析 ]由图象知,五角星露出水面的面积的变化率是增减增减,此中恰露出一个角时变化不连续,应选 A.二、填空题11.已知 y =13x3 + bx2+ (b+ 2)x+ 3 在 R 上不是单一增函数,则 b 的范围为 ________.[ 答案 ] b-1 或 b2[ 分析 ]若y=x2+2bx+b+20恒建立,则=4b2-4(b+2)0,-12,由题意 b<- 1 或 b>2.12.已知函数f(x) =ax- lnx ,若 f(x) > 1 在区间 (1,+ )内恒建立,实数 a 的取值范围为 ________.[ 答案 ] a1[ 分析 ]由已知a>1+lnxx在区间(1,+)内恒建立.设 g(x) = 1+ lnxx ,则 g(x) =- lnxx2 < 0(x> 1),g(x) = 1+ lnxx 在区间 (1,+ )内单一递减,g(x) < g(1),∵g(1)= 1,1+ lnxx < 1 在区间 (1,+ )内恒建立,a1.13.函数 y=ln(x2 - x-2)的单一递减区间为__________.[答案 ] (-,- 1)[ 分析 ]函数y=ln(x2-x-2)的定义域为(2,+)(-,-1),令 f(x) = x2-x - 2, f(x) = 2x-10,得 x12 ,函数 y= ln(x2 -x- 2)的单一减区间为 (-,- 1).14.若函数y= x3 - ax2+ 4 在 (0,2)内单一递减,则实数 a 的取值范围是 ____________ .[答案 ] [3,+ )[ 分析 ] y=3x2 - 2ax,由题意知3x2- 2ax0 在区间 (0,2) 内恒建立,即 a32x 在区间 (0,2)上恒建立, a3.三、解答题15.设函数 f(x) =x3- 3ax2+ 3bx 的图象与直线12x +y- 1=0 相切于点 (1,- 11).(1)求 a、 b 的值;(2)议论函数f(x) 的单一性.[ 分析 ] (1)求导得 f(x) = 3x2-6ax+3b.因为 f(x) 的图象与直线12x+y - 1=0 相切于点 (1,- 11),所以 f(1) =- 11,f(1) =- 12,即 1- 3a+3b=- 113-6a+3b=- 12,解得 a= 1,b=- 3.(2)由 a= 1, b=- 3 得f(x) =3x2- 6ax+3b= 3(x2- 2x- 3)=3(x +1)(x - 3).令 f(x)0 ,解得 x -1 或 x3;又令 f(x)0 ,解得- 13.所以当 x(-,- 1)时, f(x) 是增函数;当x(3 ,+)时,f(x) 也是增函数;当 x( - 1,3)时, f(x) 是减函数.16.求证:方程x- 12sinx= 0 只有一个根x= 0.[ 证明 ]设f(x)=x-12sinx,x(-,+),则 f(x) = 1-12cosx> 0,f(x) 在(-,+ )上是单一递加函数.而当 x= 0 时, f(x) = 0,方程 x- 12sinx =0 有独一的根x= 0.17.已知函数y= ax 与 y=- bx 在(0,+ )上都是减函数,试确立函数 y=ax3+ bx2+ 5 的单一区间.[ 剖析 ] 可先由函数 y=ax 与 y=- bx 的单一性确立 a、b 的取值范围,再依据 a、 b 的取值范围去确立 y= ax3+ bx2+ 5 的单一区间.[ 分析 ]∵函数y=ax与y=-bx在(0,+)上都是减函数,a <0,b<0.由 y= ax3+bx2+ 5 得 y= 3ax2+ 2bx.令 y> 0,得 3ax2+ 2bx>0,- 2b3a< x< 0.当 x- 2b3a, 0 时,函数为增函数.令 y< 0,即 3ax2+ 2bx<0,x<- 2b3a,或 x> 0.在-,- 2b3a,(0,+ )上时,函数为减函数.18. (2019 新课标全国文,21)设函数 f(x) =x(ex - 1)- ax2.(1)若 a= 12,求 f(x) 的单一区间;(2)若当 x0 时 f(x)0 ,求 a 的取值范围.[ 分析 ] (1)a=12 时, f(x) =x(ex - 1)-12x2,f(x) =ex- 1+ xex- x= (ex- 1)(x + 1).当 x( -,- 1)时, f(x)0 ;当 x(- 1,0)时, f(x)0 ;当 x(0 ,+ )时, f(x)0.故 f(x) 在 (-,- 1], [0,+ )上单一递加,在[ -1,0] 上单一递减.(2)f(x) = x(ex - 1- ax).令 g(x) = ex- 1- ax,则 g(x) =ex- a.若 a1,则当 x(0,+ )时, g(x)0 , g(x) 为增函数,而 g(0)= 0,进而当 x0 时 g(x)0 ,即 f(x)0.教师范读的是阅读教课中不行缺乏的部分,我常采纳范读,让少儿学习、模拟。
函数单调性测试题及答案一、选择题1. 函数 \( f(x) = -x^2 + 2x \) 在区间 (-∞, 1] 上是单调递增的,那么在区间[1, +∞) 上是单调递减的,这种说法是否正确?A. 正确B. 错误2. 函数 \( g(x) = 3x^3 - 2x^2 + x \) 的导数 \( g'(x) \) 为:A. \( 9x^2 - 4x + 1 \)B. \( 9x^2 + 4x + 1 \)C. \( -9x^2 + 4x - 1 \)D. \( -9x^2 - 4x - 1 \)3. 如果 \( h(x) \) 是一个在区间(0, +∞) 上单调递增的函数,且\( h(2) = 4 \),那么 \( h(4) \) 一定:A. 大于 4B. 等于 4C. 小于 4D. 无法确定二、填空题4. 函数 \( f(x) = x^3 - 6x^2 + 9x + 2 \) 的导数 \( f'(x) \)为 \( ________ \)。
5. 若 \( k \) 为正常数,函数 \( y = kx \) 在整个定义域上是单调递增的,那么 \( k \) 的取值范围是 \( ________ \)。
三、解答题6. 已知函数 \( f(x) = \frac{2}{x} \),请讨论其在区间 (-∞, 0) 和(0, +∞) 上的单调性,并证明。
7. 函数 \( g(x) = x^4 - 4x^3 + 4x^2 \),请找出其在定义域上的极值点,并判断其单调性。
四、证明题8. 证明函数 \( h(x) = x^3 - 3x \) 在区间 (-∞, 1) 上是单调递减的。
答案:1. A2. A3. A4. \( f'(x) = 3x^2 - 12x + 9 \)5. \( k > 0 \)6. 函数 \( f(x) = \frac{2}{x} \) 在区间 (-∞, 0) 上单调递增,在区间(0, +∞) 上单调递减。
高二数学函数的单调性与导数试题答案及解析1.已知函数(Ⅰ)求的单调区间;(Ⅱ)求上的最值.【答案】解:(I)令得若则,故在上是增函数,在上是增函数若则,故在上是减函数。
3分(II)。
6分【解析】本试题主要是考查了导数在研究函数中的运用。
(1)求解导数,利用导数的正负来判定函数的单调增减区间(2)在第一问的基础上可知在上是增函数,在上是增函数因此在上先减后增,则可知函数的最值。
2.设函数,且为的极值点.(Ⅰ) 若为的极大值点,求的单调区间(用表示);(Ⅱ)若恰有两解,求实数的取值范围.【答案】解:,又所以且,。
2分(I)因为为的极大值点,所以当时,;当时,;当时,所以的递增区间为,;递减区间为.。
4分(II)①若,则在上递减,在上递增恰有两解,则,即,所以;②若,则,因为,则,从而只有一解;③若,则,, 则只有一解.综上,使恰有两解的的范围为.。
10分【解析】本试题主要是考查了导数在研究函数中的运用。
(1)因为为的极大值点,则可以得到参数b,c的关系式,并利用导数求解的单调区间,(2)因为的递增区间为,;递减区间为,那么对于参数c进行讨论,进而分析函数图像与x轴的位置关系。
3.(Ⅰ)设函数,证明:当时,;(Ⅱ)从编号1到100的100张卡片中每次随机抽取一张,然后放回,用这种方式连续抽取20次,设抽得的20个号码互不相同的概率为。
证明:。
注:可用(Ⅰ)的结论。
【答案】解:(Ⅰ)。
1分当时,,所以为增函数,又,因此当时,。
3分(Ⅱ)。
5分又,,…,所以。
6分由(Ⅰ)知,当时,,因此。
7分在此式中令,则即。
8分所以。
9分【解析】本试题主要是考查了导数在研究函数中的运用。
利用导数的符号判定单调性得到最值证明不等式恒成立。
同时利用函数的最值结论来分析证明不等式的综合运用。
4.设函数,,则的最大值为____________,最小值为_________。
【答案】【解析】解:因为,利用导数符号与函数单调性关系可知道f(x)的最大值,最小值分别为5.设函数,其中。
m(x + n}f(x) - lnx T g(x) = --------- m > 0)1 •设函数x T .(1)当m= l|时,函数¥訂(刈与¥ =創刈在"1处的切线互相垂直,求n的值;(2)若函数¥“仪卜創对在定义域内不单调,求m-n的取值范围;2a 3K xf(T 他M f(—) < 0(3)是否存在正实数使得x 2a 对任意正实数K恒成立?若存在,求出满足条件的实数;若不存在,请说明理由.2•已知函数fW = (^ + l)lnx-ax + 3f aG R,g(x)是f闵的导函数,*为自然对数的底数.(1)讨论:的单调性;(2)当白X时,证明:寓(3)当白X时,判断函数f凶零点的个数,并说明理由.bf(«) = + ) + blnx3.已知函数x(其中,忆b€R).(1)当b = Y时,若f")在其定义域内为单调函数,求臼的取值范围;(2)当::八」时,是否存在实数H,使得当’■ ■时,不等式卜心■冷恒成立,如果存在,求b的取值范围,如果不存在,说明理由(其中电是自然对数的底数,“ 2一7182旷).4 •已知函数gW = x2 + ln(x + a)|,其中臼为常数.(1)讨论函数•的单调性;S(Xj) +g(x?) x t +x z(2)若或叮存在两个极值点叫*刈,求证:无论实数臼取什么值都有 2 £ 2 .5 .已知函数肛"油盧2)(玄为常数)是实数集"上的奇函数,函数屮“用刈卡商帥是区间Il上的减函数.(1)求的值;(2)若恥;-「:在卜G 及所在的取值范围上恒成立,求的取值范围;Irx ?=x -2e* + m(3)讨论关于丸的方程f⑷的根的个数.6 •已知函数f x ax ln x, F x e x ax,其中x 0, a 0.(1)若f x和F x在区间0,ln3上具有相同的单调性,求实数a的取值范围;(2) 若a最小值.1,二,且函数g x eax 1 xe 2 ax f x的最小值为M,求M的7.已知函数 f (x) e x m In x .(1)如x1是函数f(x)的极值点,求实数m的值并讨论的单调性 f (x);(2) 若x x。
函数的单调性练习题(含答案)函数的单调性练习一、选择题:1.在区间(0,+∞)上不是增函数的函数是()A.y=2x+1 B.y=3x2+1 2D.y=2x2+x+1C.y=x2.函数f(x)=4x2-mx+5在区间[-2,+∞]上是增函数,在区间(-∞,-2)上是减函数,则f(1)等于()A.-7 B.1C.17 D.253.函数f(x)在区间(-2,3)上是增函数,则y=f(x +5)的递增区间是()A.(3,8) B.(-7,-2)C.(-2,3) D.(0,5)- - 2- -34.函数f (x )=21++x ax 在区间(-2,+∞)上单调递增,则实数a 的取值范围是 ( )A .(0,21)B .( 21,+∞)C .(-2,+∞)D .(-∞,-1)∪(1,+∞)5.已知函数f (x )在区间[a ,b ]上单调,且f (a )f (b )<0,则方程f (x )=0在区间[a ,b ]内( ) A .至少有一实根B .至多有一实根C .没有实根D .必有唯一的实根6.已知函数f (x )=8+2x -x 2,如果g (x )=f ( 2-x 2),那么函数g (x )( )A .在区间(-1,0)上是减函数B .在区间(0,1)上是减函数C .在区间(-2,0)上是增函数D .在区间(0,2)上是增函数7.已知函数f (x )是R 上的增函数,A(0,-1)、B(3,1)是其图象上的两点,那么不等式|f(x+1)|<1的解集的补集是()A.(-1,2)B.(1,4)C.(-∞,-1)∪[4,+∞)D.(-∞,-1)∪[2,+∞)8.已知定义域为R的函数f(x)在区间(-∞,5)上单调递减,对任意实数t,都有f(5+t)=f(5-t),那么下列式子一定成立的是()A.f(-1)<f(9)<f(13) B.f(13)<f(9)<f(-1)C.f(9)<f(-1)<f(13) D.f(13)<f(-1)<f(9)9.函数)gxx==和的递增区间依次是f-xx(x2(())||()A.]1,-∞(-∞0,(],B.),1[],(+∞-∞0,C.]1,,0[+∞,1[),+∞(),+∞D),0[-∞- - 410.已知函数()()2212=+-+在区间(]4,∞-上是减函数,f x x a x则实数a的取值范围是()A.a≤3 B.a≥-3 C.a≤5D.a≥311.已知f(x)在区间(-∞,+∞)上是增函数,a、b∈R 且a+b≤0,则下列不等式中正确的是()A.f(a)+f(b)≤-f(a)+f(b)]B.f(a)+f(b)≤f(-a)+f(-b)C.f(a)+f(b)≥-f(a)+f(b)]D.f(a)+f(b)≥f(-a)+f(-b)12.定义在R上的函数y=f(x)在(-∞,2)上是增函数,且y=f(x+2)图象的对称轴是x=0,则()A.f(-1)<f(3) B.f (0)>f(3) C.f(-1)=f (-3) D.f(2)<f(3)二、填空题:13.函数y=(x-1)-2的减区间是___ _.14.函数y=x-2x-1+2的值域为__- - 5___.15、设()=是R上的减函数,则()3y f x=-的单调递y f x减区间为.16、函数f(x) = ax2+4(a+1)x-3在[2,+∞]上递减,则a的取值范围是__ .三、解答题:x) = 17.f(x)是定义在( 0,+∞)上的增函数,且f(yf(x)-f(y)(1)求f(1)的值.1) <(2)若f(6)= 1,解不等式f( x+3 )-f(x2 .18.函数f(x)=-x3+1在R上是否具有单调性?如果具有单调性,它在R上是增函数还是减- - 6函数?试证明你的结论.19.试讨论函数f(x)=2-在区间[-1,1]上的1x单调性.20.设函数f(x)=12+x-ax,(a>0),试确定:当a取什么值时,函数f(x)在0,+∞)上为单调函数.- - 721.已知f(x)是定义在(-2,2)上的减函数,并且f(m-1)-f(1-2m)>0,求实数m的取值范围.22.已知函数f(x)=xa xx++22,x∈[1,+∞]- - 8- -9(1)当a =21时,求函数f (x )的最小值; (2)若对任意x ∈[1,+∞),f (x )>0恒成立,试求实数a 的取值范围.参考答案一、选择题: CDBBD ADCCA BA 二、填空题:13. (1,+∞), 14. (-∞,3),15.[)3,+∞,⎥⎦⎤⎝⎛-∞-21,三、解答题:17.解析:①在等式中0≠=y x 令,则f (1)=0.②在等式中令x=36,y=6则.2)6(2)36(),6()36()636(==∴-=f f f f f- -10故原不等式为:),36()1()3(f xf x f <-+即f [x (x +3)]<f (36),又f (x )在(0,+∞)上为增函数, 故不等式等价于:.23153036)3(00103-<<⇒⎪⎪⎩⎪⎪⎨⎧<+<>>+x x x xx18.解析: f (x )在R 上具有单调性,且是单调减函数,证明如下:设x 1、x 2∈(-∞,+∞), x 1<x 2 ,则f (x 1)=-x 13+1, f (x 2)=-x 23+1.f (x 1)-f (x 2)=x 23-x 13=(x 2-x 1)(x 12+x 1x 2+x 22)=(x 2-x 1)[(x 1+22x )2+43x 22].∵x 1<x 2,∴x 2-x 1>0而(x 1+22x )2+43x 22>0,∴f (x 1)>f (x 2).∴函数f (x )=-x 3+1在(-∞,+∞)上是减函数.19.解析: 设x 1、x 2∈-1,1]且x 1<x 2,即-1≤x 1<x 2≤1. f (x 1)-f (x 2)=211x --221x -=2221222111)1()1(x x x x -+----=2221121211))((x x x x x x -+-+-∵x 2-x 1>0,222111x x -+->0,∴当x 1>0,x 2>0时,x 1+x 2>0,那么f (x 1)>f (x 2).当x 1<0,x 2<0时,x 1+x 2<0,那么f (x 1)<f (x 2). 故f (x )=21x -在区间[-1,0]上是增函数,f (x )=21x -在区间[0,1]上是减函数.20.解析:任取x 1、x 2∈0,+)∞且x 1<x 2,则f (x 1)-f (x 2)=121+x -122+x -a (x 1-x 2)=1122212221+++-x x x x -a (x 1-x 2)=(x 1-x 2)(11222121++++x x x x -a )(1)当a ≥1时,∵11222121++++x x x x <1,又∵x 1-x 2<0,∴f (x 1)-f (x 2)>0,即f (x 1)>f (x 2)∴a ≥1时,函数f (x )在区间[0,+∞)上为减函数.(2)当0<a <1时,在区间[0,+∞]上存在x 1=0,x 2=212aa -,满足f (x 1)=f (x 2)=1∴0<a <1时,f (x )在[0,+)∞上不是单调函数注: ①判断单调性常规思路为定义法; ②变形过程中11222121++++x x x x <1利用了121+x >|x 1|≥x 1;122+x >x 2;③从a 的范围看还须讨论0<a <1时f (x )的单调性,这也是数学严谨性的体现. 21.解析: ∵f (x )在(-2,2)上是减函数 ∴由f (m -1)-f (1-2m )>0,得f (m -1)>f (1-2m ) ∴⎪⎪⎪⎩⎪⎪⎪⎨⎧<<<-<<-⎪⎩⎪⎨⎧-<-<-<-<-<-32232131211,2212212m m m m m m m 即 解得3221<<-m ,∴m 的取值范围是(-32,21) 22.解析: (1)当a =21时,f (x )=x +x21+2,x ∈1,+∞)设x 2>x 1≥1,则f (x 2)-f (x 1)=x 2+1122121x x x --=(x 2-x 1)+21212x x x x -=(x 2-x 1)(1-2121x x )∵x 2>x 1≥1,∴x 2-x 1>0,1-2121x x >0,则f (x 2)>f (x 1)可知f (x )在[1,+∞)上是增函数.∴f (x )在区间[1,+∞)上的最小值为f (1)=27. (2)在区间[1,+∞)上,f (x )=xax x ++22>0恒成立⇔x 2+2x +a >0恒成立设y =x 2+2x +a ,x ∈1,+∞),由y =(x +1)2+a -1可知其在[1,+∞)上是增函数, 当x =1时,y min =3+a ,于是当且仅当y min =3+a >0时函数f (x )>0恒成立.故a >-3.。
函数单调性与导数练习题
一、选择题
1.下列说法正确的是
A.当f ′(x 0)=0时,则f (x 0)为f (x )的极大值
B.当f ′(x 0)=0时,则f (x 0)为f (x )的极小值
C.当f ′(x 0)=0时,则f (x 0)为f (x )的极值
D.当f (x 0)为函数f (x )的极值且f ′(x 0)存在时,则有f ′(x 0)=0 2.下列四个函数,在x =0处取得极值的函数是
①y =x 3 ②y =x 2+1 ③y =|x | ④y =2x
A.①②
B.②③
C.③④
D.①③
3.函数y =
2
)
13(1
-x 的导数是 A.
3)13(6-x B.2)13(6-x C.-3)13(6-x D.-2
)13(6
-x
4.函数y =sin 3(3x +
4π
)的导数为 A.3sin 2(3x +4π)cos(3x +4π) B.9sin 2(3x +4π)cos(3x +4π
)
C.9sin 2(3x +4π)
D.-9sin 2(3x +4π)cos(3x +4
π
)
5.设f (x )=ax 3+bx 2+cx +d (a >0),则f (x )为R 上增函数的充要条件是( ) A .b 2-4ac >0 B .b >0,c >0 C .b =0,c >0
D .b 2-3ac <0
6.函数f (x )=(x -3)e x 的单调递增区间是( )
A .(-∞,2)
B .(0,3)
C .(1,4)
D .(2,+∞)
7.已知函数y =f (x )(x ∈R)上任一点(x 0,f (x 0))处的切线斜率
k =(x 0-2)(x 0+1)2, 则 该函数的单调递减区间为( )
A .[-1,+∞)
B .(-∞,2]
C .(-∞,-1)和(1,2)
D .[2,+∞)
8.已知函数y=xf′(x)的图象如图(1)所示(其中f′(x)是函数f(x)的导函数),下面四个图象中,y=f(x)的图象大致是( )
9.已知对任意实数x,有f(-x)=-f(x),g(-x)=g(x),且x>0时,f′(x)>0,
g′(x)>0,则x<0时( )
A.f′(x)>0,g′(x)>0 B.f′(x)>0,g′(x)<0 C.f′(x)<0,g′(x)>0 D.f′(x)<0,g′(x)<0
10 .f(x)是定义在(0,+∞)上的非负可导函数,且满足xf′(x)+f(x)≤0,对
任意正数a、b,若a<b,则必有( )
A.af(a)≤f(b) B.bf(b)≤f(a)
C.af(b)≤bf(a) D.bf(a)≤af(b)
11.对于R上可导的任意函数f(x),若满足(x-1)f′(x)≥0,则必有( )
A.f(0)+f(2)<2f(1) B.f(0)+f(2)≤2f(1)
C.f(0)+f(2)≥2f(1) D.f(0)+f(2)>2f(1)
12.曲线y=1
3
x3+x在点
⎝
⎛
⎭
⎪
⎫
1,
4
3
处的切线与坐标轴围成的三角形面积为( )
A.1
9 B.
2
9
C.
1
3
D.
2
3
二、填空题
13.函数f (x )=x +9
x 的单调减区间为________.
14.曲线(3ln 1)y x x =+在点(1,1)处的切线方程为_______.
15.函数f (x )=x +2cos x 在⎣
⎢⎡
⎦⎥⎤0,π2上取最大值时,x 的值为_______.
16.已知函数f (x )=ax -ln x ,若f (x )>1在区间(1,+∞)内恒成立,实数a 的取值范围为________.
三、解答题
17.设函数f (x )=x 3-3ax 2+3bx 的图象与直线12x +y -1=0相 切于点(1,-11).(1)求a 、b 的值 (2)讨论函数f (x )的单调性.
18.已知函数f (x )=x 3+ax 2+bx +c ,当x =-1时,取得极大值7;当x =3 时,取得极小值.求这个极小值及a 、b 、c 的值.
19.若函数3211
()(1)132
f x x ax a x =-+-+在区间(1,4)内为减函数,在区间(6,)+∞
上为增函数,试求实数a 的取值范围.
20.已知函数)(ln )(R a x a x x f ∈-=
(1)当2=a 时,求曲线)(x f y =在点))1(,1(f A 处的切线方程; (2)求函数)(x f 的极值
函数单调性与导数练习题答案
1--5 DBCBD 6--10 DBCBC 11--12 CA 13:(-3,0) ,(0,3) 14: 4x -y -3=0 15:
6
π
16: 1a ≥ 17:[解析] (1)求导得f ′(x )=3x 2-6ax +3b .
由于f (x )的图象与直线12x +y -1=0相切于点(1,-11),f (1)=-11,f ′(1)=-12,
即⎩⎪⎨⎪⎧
1-3a +3b =-11
3-6a +3b =-12
,解得a =1,b =-3. (2)由a =1,b =-3得
f ′(x )=3x 2-6ax +3b =3(x 2-2x -3) =3(x +1)(x -3).
令f ′(x )>0,解得x <-1或x >3;又令f ′(x )<0,解得-1<x <3.
所以当x ∈(-∞,-1)时,f (x )是增函数; 当x ∈(3,+∞)时,f (x )也是增函数; 当x ∈(-1,3)时,f (x )是减函数.
18.解:f ′(x )=3x 2+2ax +b .
据题意,-1,3是方程3x 2+2ax +b =0的两个根,由韦达定理得
⎪⎪⎩
⎪⎪⎨
⎧
=⨯--=+-3313231b a ∴a =-3,b =-9,∴f (x )=x 3-3x 2-9x +c ∵f (-1)=7,∴c =2,极小值f (3)=33-3×32-9×3+2=-25 ∴极小值为-25,a =-3,b =-9,c =2.
19解:2()1(1)[(1)]f x x ax a x x a '=-+-=---, 令()0f x '=得1x =或1x a =-,
∴当(1,4)x ∈时,()0f x '≤,当(6,)x ∈+∞时,()0f x '≥, ∴416a ≤-≤,∴57a ≤≤. 20解:(1)X+Y -2=0。