Book6unit4Reading-湖北省通山县第一中学高中英语选修六导学案
- 格式:docx
- 大小:74.15 KB
- 文档页数:4
Unit 4 Global Warmi ng Period 1 readi ngLear ning aims: 1. Know well the global warmi ng2. En able the stude nts to talk about differe nt sources of en ergy.I mportant point: Learning about effect the global warming brings human being.Difficult point: To improve the skills of readi ng.使用说明及学法指导:1.通过阅读课本P25-27,完成预习案。
2.完成时间:30分钟。
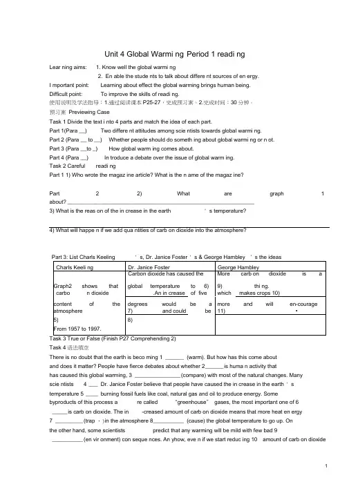
预习案Previewing CaseTask 1 Divide the text i nto 4 parts and match the idea of each part.Part 1(Para __) Two differe nt attitudes among scie ntists towards global warmi ng.Part 2 (Para __ to __) Whether people should do someth ing about global warmi ng or n ot.Part 3 (Para __to _) How global warm ing comes about.Part 4 (Para __) In troduce a debate over the issue of global warm ing.Task 2 Careful readi ngPart 1 1) Who wrote the magaz ine article? What is the n ame of the magaz ine?Part 2 2) What are graph 1 about? _____________________________________________________________3) What is the reas on of the in crease in the earth ' s temperature?4) What will happe n if we add qua ntities of carb on dioxide into the atmosphere?Task 3 True or False (Finish P27 Comprehending 2)Task 4语法填空There is no doubt that the earth is beco ming 1 ______ (warm). But how has this come aboutand does it matter? People have fierce debates about whether 2 ______ i s huma n activity thathas caused this global warming, 3 _______________ (compare) with most of the natural changes. Manyscie ntists 4 ___ Dr. Janice Foster believe that people have caused the in crease in the earth ' s temperature 5 ____ burning fossil fuels like coal, natural gas and oil to produce energy. Somebyproducts of this process a re called “greenhouse” gases, the most important one of 6_____ i s carb on dioxide. The in -creased amount of carb on dioxide means that more heat en ergy7 _________ (trap ・)in the atmosphere 8 __________ (cause) the global temperature to go up. Onthe other hand, some scientists predict that any warming will be mild with few bad 9__________ (en vir onment) con seque nces. An yhow, eve n if we start reduc ing 10 amount of carb on dioxideand other gree nhouse gases, the climate is going to keep on warm ing for decades or cen turies.探究案Exploring Case探究一Read and choose the best answer1. What's the main idea of the article?A. It talks about differe nt ideas of global warm ingB. It talks about the causes of globalwarmi ngC. It talks about the effects of global warmi ngD. all th e above2. In Para. 5 , “but it could be as high as 5 degrees ”here “ it ” refers to _________A. the dataB. the amount of global warmi ngC. the burning o f fossil fuelsD. the in creased carb on dioxide3. Which stateme nt is FALSE? ______A. During the 20th cen tury, the temperature in creased.B. Natural gas is s a byproduct of burning fossil fuelsC. Betwee n 1957 and 1997 Charls Keeli ng measured the amount of carb on dioxide in the atmosphere. \D. Some scientists think if the amount of greenhouse gases continues to rise, we will facea global catastrophe.4. From the article, we can infer that ______A. the earth has become warmer since early 20th cen turyB. the in creased carb on dioxide is the only reas on for global warmi ngC. some scie ntists thi nk the sea level will rise as a result of global warm ing.D. The issue of global warm ing will con ti nue to be discussed.探究二难句翻译1. There is no doubt that the earth is beco ming warmer and that i t is huma n activity thathas caused this global warm ing rather tha n a ran dom but n atural phe nomenon.2. All the scie ntists subscribe to the view that the in crease in the earth ' s temperature is due to the burning of fossil fuels like coal, n atural gas and oil to produce en ergy3. Without the ‘ greenhouse effect ' , the earth would be about thirty-three degrees Celsius cooler tha n it is.探究三Discussion :What are the effects of global warming? Please list effectsn egativeeffect: __________________________________________________________________________ positive 训练案Find these phrases in t he text1产生____________________ 2 毫无疑问____________________ 3 而不是________________________4赞同___________________ 5因为;由于 ___________________ 6 少量的气体______________________effect :7大量的_________________ 8容易被困___________________________________ 9上升___________________10导致___________________ 11 一方面,另一方面,. ___________________________12反对___________________ 13 更大范围的动物___________________________________14在大气中聚集____________________________________ 15持续变暖___________________________________ 16在未来的几十年和几个世纪内_________________________________3。
人教版高中英语选修6 全册导学案目录Unit 1 ArtUnit 2 PoemsUnit 3 A healthy lifeUnit 4 Global warmingUnit 5 The power of nature新课标人教版 Unit 1 Art 艺术核心词汇1.We may talk of beautiful things,but beauty itself is ____________(抽象的).2.He made an ____________(试图)to escape before he could be punished.3.The police are ____________(呼吁)to the public for information about the accident.4. The company is excellent,and its customers have ____________(信任)in the quality of its products.5.You made the wrong decision,and must face the ____________(后果)now. 6.What a ____________(巧合)that we were in the same hotel at the same time! 7.The purpose of new ____________(技术)is to make life easier,not to make it more difficult.8.New teaching methods have been____________(采用)to improve the result of education.9.It is ____________(典型的)of the young man to think of himself before others. 10.Earthquakes can’t be prevented,but they can be ____________(预测).11.As a rich businessman,he was thought to ____________ a great deal of ____________.(possess)12.用aim的适当形式填空(1)The trouble with Bill was that he never had a specific ____________in life.(2)Not knowing where to go,he wandered ____________on the street.(3)This activity is ____________ at improving the students’ability of listening and speaking.1.abstract 2.attempt 3.appealing 4.faith 5.consequences 6.coincidence 7.techniques 8.adopted 9.typical 10.predicted 11.possess;possession 12.(1)aim (2)aimless (3)aimed高频短语1.________________ 也;还;而且2.________________ 巧合地3.________________ 大量4.________________ 导致5.________________ 大量,许多6.________________ (可是)另一方面7.________________ 活着的;本人8.________________ 偏爱9.________________ (对某人)有吸引力;(使某人)感兴趣1.as well as2.by coincidence3.a great deal4.lead to5.scores of...6.on the other hand7.in the flesh8.have a preference for 9.appeal to重点句式1.By coincidence,oil paints were also developed at this time,which ________ the colours used in paintings look richer and deeper.巧合的是,这一时期油画颜料也得到了发展,使得画的颜色看上去更丰富、更深沉。
高中英语 Unit4 第1课时 reading学案新人教版选修6Warming Period1 reading Learning aims:1、Know well the global warming2、 Enable the students to talk about different sources of energy、Important point: Learning about effect the global warming brings human being、Difficult point: To improve the skills of reading、使用说明及学法指导:1、通过阅读课本P25-27,完成预习案。
2、完成时间:30分钟。
预习案 Previewing CaseTask1 Divide the text into4 parts and match the idea of each part、Part1(Para __)Two different attitudes among scientists towards global warming、 Part2 (Para __ to __)Whether people should do something about global warming or not、 Part3 (Para __to _)How global warming comes about、Part4 (Para __)Introduce a debate over the issue of global warming、Task2 Careful readingPart11)Who wrote the magazine article? What is the name of the magazine? ______________ _________________Part22) What are graph1about?___________________________________________________ ___________3)What is the reason of the increase in the earth’s temperature?_________________________________________________________ ________________________________4)What will happen if we add quantities of carbon dioxide into theatmosphere?______________________________________________ ___________________________________________Part3: List Charls Keelin g’s, Dr、Janice Foster’s & George Hambley ‘s the ideasCharls KeelingDr、 Janice Foster George HambleyGraph2 shows that carbon dioxide content of the atmosphere5)_________From1957 to1997、Carbon dioxide has caused the global temperature to6)________、 An increase of five degrees would bea7)_________ and could be8)______________、More carbon dioxide is a9)__________ thing,which makescrops10)__________ more and will en-courage11)______________________、Task3 True or False (Finish P27 Comprehending2)Task4 语法填空There is no doubt that the earth is becoming1 ________(warm)、 But how has this come about and does it matter? People have fierce debates about whether2 ______is human activitythat has caused this global warming,3 ___________ (compare)with most of the natural changes、 Many scientists4 _____Dr、 Janice Foster believe that people have caused the increase in the earth’s temperature5 ___ burning fossil fuels like coal, natural gas and oil to produce energy、 Some byproducts of this process are called “greenhouse” gases, the most important one of6 ______is carbon dioxide、 The increased amount of carbon dioxide means that more heat energy7 _________ (trap)in the atmosphere8 ________ (cause)the global temperature to go up、 On the other hand, some scientists predict that any warming will be mild with few bad9 ____________(environment)consequences、 Anyhow, even if we start reducing10____ amount of carbon dioxide and other greenhouse gases,the climate is going to keep on warming for decades or centuries、我的疑惑探究案 Exploring Case探究一Read and choose the best answer1、What’s the main idea of the article?A、 It talks about different ideas of global warmingB、 It talks about the causes of global warmingC、 It talks about the effects of global warmingD、 all the above2、 In Para、5 , “but it could be as high as5 degrees” here “it ” refers to _____A、 the dataB、 the amount of global warmingC、 the burning o f fossil fuelsD、 the increased carbon dioxide3、Which statement is FALSE? ________A、 During the20th century, the temperature increased、B、 Natural gas is s a byproduct of burning fossil fuelsC、 Between1957 and1997 Charls Keeling measured the amount of carbon dioxide in the atmosphere、 \D、 Some scientists think if the amount of greenhouse gases continues to rise, we will face a global catastrophe、4、From the article, we can infer that________A、 the earth has become warmer since early20th centuryB、 the increased carbon dioxide is the only reason for global warmingC、 some scientists think the sea level will rise as a result of global warming、D、 The issue of global warming will continue to be discussed、探究二难句翻译1、There is no doubt that the earth is becoming warmer and that it is human activity that has caused this global warming rather than a random but natural phenomenon、_________________________________________________________ _________________________________________________________ _________________________________________________________ _______2、 All the scientists subscribe to the view that the increase in the earth’s temperature is due to the burning of fossil fuels like coal, natural gas and oil to produceenergy___________________________________________________ _________________________________________________________ _________________________________________________________ _____________3、Without the ‘greenhouse effect’, the earth would be about thirty-three degrees Celsius cooler than it is、_________________________________________________________ ________________________________探究三Discussion :What are the effects of global warming? Please list effectsnegativeeffect:__________________________________________________ _________________________________________________________ _________________________________________________________ _positiveeffect :_________________________________________________ _________________________________________________________ _________________________________________________________ __训练案 Find these phrases in the text1 产生_________________2毫无疑问_________________3 而不是_________________4赞同 _________________5 因为;由于_________________6 少量的气体 _________________7 大量的_______________8 容易被困_______________________________9 上升 _________________10 导致 _________________11 一方面… 另一方面…、___________________________12 反对_________________13 更大范围的动物____________________________14 在大气中聚集____________________________15 持续变暖____________________________16 在未来的几年和几个世纪内____________________________。
江苏省新沂市第二中学高中英语《Unit 4 Reading (4)》教案新人教版选修6第(1)课时课题:书法---写字基本知识课型:新授课教学目标:1、初步掌握书写的姿势,了解钢笔书写的特点。
2、了解我国书法发展的历史。
3、掌握基本笔画的书写特点。
重点:基本笔画的书写。
难点:运笔的技法。
教学过程:一、了解书法的发展史及字体的分类:1、介绍我国书法的发展的历史。
2、介绍基本书体:颜、柳、赵、欧体,分类出示范本,边欣赏边讲解。
二、讲解书写的基本知识和要求:1、书写姿势:做到“三个一”:一拳、一尺、一寸(师及时指正)2、了解钢笔的性能:笔头富有弹性;选择出水顺畅的钢笔;及时地清洗钢笔;选择易溶解的钢笔墨水,一般要固定使用,不能参合使用。
换用墨水时,要清洗干净;不能将钢笔摔到地上,以免笔头折断。
三、基本笔画书写1、基本笔画包括:横、撇、竖、捺、点等。
2、教师边书写边讲解。
3、学生练习,教师指导。
(姿势正确)4、运笔的技法:起笔按,后稍提笔,在运笔的过程中要求做到平稳、流畅,末尾处回锋收笔或轻轻提笔,一个笔画的书写要求一气呵成。
在运笔中靠指力的轻重达到笔画粗细变化的效果,以求字的美观、大气。
5、学生练习,教师指导。
(发现问题及时指正)四、作业:完成一张基本笔画的练习。
板书设计:写字基本知识、一拳、一尺、一寸我的思考:通过导入让学生了解我国悠久的历史文化,激发学生学习兴趣。
这是书写的起步,让学生了解书写工具及保养的基本常识。
基本笔画书写是整个字书写的基础,必须认真书写。
课后反思:学生书写的姿势还有待进一步提高,要加强训练,基本笔画也要加强训练。
总第(2)课时课题:书写练习1课型:新授课教学目标:1、教会学生正确书写“杏花春雨江南”6个字。
2、使学生理解“杏花春雨江南”的意思,并用钢笔写出符合要求的的字。
重点:正确书写6个字。
难点:注意字的结构和笔画的书写。
教学过程:一、小结课堂内容,评价上次作业。
二、讲解新课:1、检查学生书写姿势和执笔动作(要求做到“三个一”)。
高中英语 Book 6Unit4 导学案新人教版选修6Period 1 Reading内容简析本节课的内容是人民教育出版社出版的NSE高中教材必修6第四单元的Pre-reading, Reading, Comprehension 部分,本单元的话题是全球变暖。
本节课是单元的阅读课,教材以说明文的文体呈现,教师可在充分利用教材资源的基础上,结合学生的实际情况设计教学活动,旨在帮助学生有效地掌握阅读技巧,形成有效地学习方法和阅读策略,同时了解说明文篇章结构和写作特点,为下一步进行说明文的写作教学做好准备。
目标聚焦一、知识目标1、初步理解、掌握课文中关于全球变暖方面的词语,学习分析课文中的长难句子,初步感知课文中出现的的本单元要学的语法现象。
2、利用已获取的信息发表自己对全球变暖问题的看法。
二、技能目标1、能理解文章主旨大意,获取信息、处理信息、进行推理判断和表达的能力。
2、形成分析篇章结构的能力,提升逻辑思维能力3、学会总结说明文文章主题的方法。
三、策略目标1、通过图片和标题预测文章内容;运用略读和找读策略迅速获取信息,并能够精读文章获取信息和分析信息。
2、能利用上下文猜测生词词义。
(四)情感态度目标了解全球变暖的危害和保护环境的重要性;增强节约能源保护环境的意识。
方法运用1、整体教学法2、体裁教学法3、导、读、练的教学模式学习流程Before class (课前自主学习,合作探究)Task 1 Vocabulary(词汇预习)Preview the new words of this text.【设计意图】通过预习词汇为下一步的阅读扫清生词障碍。
Task 2 Warming up(热身)Please look at the pictures on P25 and answer:1. What do we use energy for?2. Where does all this energy come from?3. Which energy sources are renewable and which are non-renewable?【设计意图】通过图片激发学生兴趣,引出本单元的话题:许多动物都处于危险之中,唤起学生的忧患意识,为后面的阅读做铺垫,帮助学生顺利完成报告阅读。
人教版,选修6 Unit 4 (Reading)教学设计THE EARTH IS BECOMING WARMER—DOES IT MATTER教学分析教学设计说明1、学生分析学生有强烈的求知欲和学习动机。
对全球变暖现象有着强烈的好奇和了解欲望。
大多数学生有较好地运用英语进行分析问题的能力,对自己的学习行为能作出较客观地评价。
学习风格:性格差异,学习风格各不相同,但都有自主、合作、探究的学习意识和能力,对学习行为具备一定的自我监控能力。
电脑知识:具备一定的电脑操作知识和网上查阅能力,这为完成课后作业提供技术保障。
2、策略设计资源策略设计:①有效的利用多媒体课件辅助课堂教学活动,丰富教学内容,提高学生的学习兴趣和课堂教学效率,充分体现现代化教学技术的优点。
②通过教师与同学等人力资源及图书馆、网络等非人力资源查找有关全球变暖的资料,从而开拓视野,形成开放的文化态度。
3、教学方法设计:主要采用任务型教学法、学生中心教学法和多媒体教学法。
学生强烈的好奇心,在可操作的真实有效任务的驱动下,让学生在任务完成过程中充分认识到人类在生存过程中如何科学地改造自然来减少对全球变暖的影响及体验合作学习的成就感。
4、教学设备:多媒体设备教学总结和反思1、通过本堂课的学习,帮助学生了解了全球变暖的原因和对环境和人类的影响,研究与探讨了减缓全球变暖趋势的措施和建议,激发和培养了学生环境保护意识。
2、本节课课文难度不大,易于学生理解。
但要注意把握好活动时间,确保学生在合作学习(讨论、交流)的气氛中既学习语言知识又得到情感教育。
3、教学过程中应注意词汇拓展,借助对文章内容的兴趣,进一步培养语言学习的兴趣,引导学生综合运用语言的能力。
参考目录:高中英语选修(6)教师教学用书(人教版,人民教育出版社)。
Book6 Unit 1 ArtReading A Short History of Western Painting【Learning goals】1. Talk about the art in the past, at present and in the f uture.2. Learn how to describe the art in the past, at present and in the future.3. Learn some words, phrases about arts.【使用说明】1. 15分钟阅读课本P1课文A Short History of Western Painting独立完成导学案。
⑴略读课文1遍,把握文章主旨大意,完成【预习探究】。
⑵跳读课文1遍,把握文章结构,完成【课内探究】。
⑶结合课后注释和课本翻译,找出并理解课文中重难点词组和句子。
2. 仍未解决的问题填写在学贵有疑中,留待课堂质疑解决。
【预习探究】Task1 Read the text quickly and complete the main idea of it.The text mainly tells us 1.______ of the major movements in 2.______ art over the centuries.Task2 Scan the text and then choose the best answer.( )1. The painters during the Middle Ages mainly ________.A. showed people as they really wereB. looked at their environment in new waysC. expressed their respect and love for natureD. represented religious themesClue: ___________________________________________________________[来源:Z+xx+]( )2. According to the text,the painters during the Renaissance ________.①adopted a more humanistic attitude to life ②discovered t he rules of perspective③developed oil paints ④broke away from the traditional style of paintingA. ①③④B. ②③④C. ①②④D. ①②③[来源:]Clue: ___________________________________________________________( )3. Who was first to use perspective in his paintings in 1428?A. Bondone.B. Roman and Greek painters.C. Masaccio.D. The Impressionists.Clue: ___________________________________________________________( )4. Which of the following is NOT true about Impression ism?A. It appeared in the early 20th century.B. It was the beginning of modern art.C. Its painters were the first ones to work outdoors.D. It was not accepted at first.Clue: ___________________________________________________________( )5. It can be inferred that classical Roman and Greek ideas were ________.A. imaginaryB. realisticC. ridiculousD. abstractClue: ___________________________________________________________【方法指导】跳读课文,培养快速寻找有效信息的能力。
高二英语选修6 Unit 4 Reading 教学设计The earth is becoming warmer --- but does it matter?一、教学设计意图《高中英语新课程标准》中讲到“高中英语课程要有利于学生优化英语学习方式,使他们通过观察、体验、探究等积极主动的学习方法,充分发挥自己的学习潜能,形成有效的学习策略,提高自主学习的能力;要有利于学生学会运用多种媒体和信息源,拓宽学习渠道并形成具有个性的学习方法和风格。
”本课基于以上标准旨在借助于多媒体开展以词汇预热、图片和视频导入、读法指导、文章大意阅读、捕捉信息阅读、信息加工阅读、总结回顾性阅读等环节引导学生分层次的进行任务型阅读以实现引导学生高效阅读并且形成阅读报刊杂志类文章的基本方法和技巧。
二、教学目标设计:本节内容为一节分层次性任务型阅读训练课,整体的教学目标在于引导学生在以下两方面有所思考和收获:一、培养学生对科普性文章阅读的自信心。
二、帮助学生获得阅读报刊杂志类文章的基本方法和技巧,即通过分层次地阅读方法以有效地把握文章主旨、分析和处理细节信息、总结段落大意进而分析文章篇章结构等方面的能力。
三、在阅读的基础上,引导学生去进行分层次性任务型写作练习。
三、教材内容及重点、难点分析:教学重点:一、加强学生把握文章主旨大意的阅读能力。
二、培养学生分析处理细节信息的能力。
教学难点:一、寻找,归纳或者总结各段落主题句,关键词或者所探讨主要问题。
二、对文章篇章结构进行整体分析。
四、教学背景分析教学内容分析(含本课时在本课次的教学定位分析):一、本节阅读课中全球变暖的话题属于生僻的科普类,其主要特点就是专业术语和词汇较多和长杂句较集中,这无疑使学生的阅读兴趣降低和阅读的难度增加。
二,本篇课文内容节选自报刊杂志,有着明确的层次划分,主题句或者关键词,这些信息能够帮助学生快速准确把握文章的主题信息和细节信息。
三,在本课话题难度大但结构清晰的基础上,所以阅读的目的主要定位在引导学生由浅入深,由框架到主体地去理解,分析和加工文章信息。
Unit 4 Global warming学情分析:教材分析本单元以Global warming 为主线,旨在通过单元教学使学生经过思考、学习,认识到全球变暖的起因和它所带来的种种后果。
同时鼓励学生进一步阐述地球所面临的其它严重问题,激发学生的环保意识。
引导学生运用所学语言、句式表达自己对这些现象的看法,培养他们为自己的观点辩论的能力,并能运用所学知识写一篇有关环境问题的论文。
教案一Warming Up, Pre-reading and ComprehendingTeaching goals1.Enable the students to talk about different sources of energy and express their own ideas about the use of energy.2. Enable the students to talk about the causes and effects of global warming.Step1.Warming upT: As we all know, we depend on energy to do many things in our daily life. Some people even say we could do nothing without energy. Do you aggree with me ?Then where does all the energy come from? Open your books and turn to page 25. Look at the pictures on this page. They may help you find out the answers.Step 2. Pre-readingLook at the picture of greenhouse on page25.What is it in the picture?☆Discuss the pre-reading part 1and 2.(Greenhouse gases: In the atmosphere surrounding the earth there are gases, which are called“greenhouse gases”, including carbon dioxide, methane and water vapor.)☆Then what do you think greenhouse gases do?(They trap heat from the sun and therefore warm the earth.)☆One of the effects is more and more carbon dioxide is being produced, which in turn increases thespeed of global warming. Does it matter? What’re your opinions? Next we’ll read an article “THEEARTH IS BECOMING W ARMER —BUT DOES IT MATTER?”Step3. Comprehending☆Look at the title can you guess the main topic of the article(Global warming/ the warming of the earth)Skimming:☆Read the passage quicklyHow many paragraphs does the reading text consist of? Please number them.According to the main idea of each part, match them in a right order.Part1 (1) Two different attitudes among scientists towards global warming.Part2 (2-5) How global warming comes about.Part3 (6) Introduce a discussion about global warming.Part4 (7) Leave us a question whether people should do something about global warming or not. ☆Can you match the logic order with each part? (Keys: BADC)A. Giving examples,using graphs, explanationB. Raising a questionC. Leaving a questionD Giving examples, making contrast☆Scanning: Finish the exercises 1(1,2) and 2(True or false)教案二Language points1. So how has this come about and does it matter?Can you tell me how the accident came about?With the use of electricity, great changes have come about.总结:come about发生, 造成, 相当于happen/take place/ occur to是不及物短语。
人教版新课标选修六Unit4Reading教案人教版新课标选修六第四单元教案参考Unit 4 Global warmingReadingTeaching goalsTarget languagewords and phrases:energy, light(v.), heat(v.), renewable, non-renewable, run out, compare, phenomenon,graph, fuel, trap, data, climate, catastrophe, consequence, range, per, glance, compareto, come about, fierce debate, result in, build up, keep onAbility goalsEnable the students to talk about different sources of energy.Enable the students to read the text, understand what it is about and talk about thecauses and effects of global warming.Teaching important difficult pointsEnable the students to get a better understanding of articles of this kind.Teaching aidsA projector and a blackboardTeaching proceduresStep 1 Warming upT:Now let’s look at a picture on the slide and answer the question below.What is the greenhouse made and used for?A greenhouse is made of glass and is used for growing plants, especially during coldweather.What’s greenhouse effect?Step 2 ScanningRead the text quickly and find the answer to the questions:1. Who wrote the magazine article? What is the name of the magazine?Sophie Armstrong, Earth Care.2. What are the names of the three scientists mentioned in the article?人教版新课标选修六第四单元教案参考Dr Janice Foster, Charles Keeling, George Hambley.3. What do they think about global warming? Do they agree with one another?They don't agree with each other.Dr. Janice Foster thinks the effects of global warming could be veryserious.George Hambley thinks global warming will be mild with few bad environmentalconsequences.Charles Keeling believes it is the burning of more and more fossil fuels that is resulting in a bigincrease in carbon dioxide.The first graph shows the temperature increase of one degree Fahrenheit between 1860to 2000.The second graph shows the carbon dioxide content in the atmosphere from 1957 to 1977.4. What are the two graphs about?The first graph shows the temperature increase of one degree Fahrenheit between 1860to 2022年. The second graph shows the carbon dioxide content in the atmosphere from 1957 to 1977.5. What is the main topic of the article?Global warming/ the warming of the earth.Step 3 SkimmingRead the passage carefully and judge whether the statements are true or false.1. The temperature last century didn’t increase much.2. Everyone believes that global warming is caused by the activities of humans.3. Janice Foster believes that global warming is caused b the burning fossil fuels.4. Natural gas is a greenhouse gas.5. Carbon dioxide is a byproduct of burning fossil fuels.6. People accept Charles Keeling’s data because he took accurate measurements.7. Flooding could be one of the effects of future global warming.8. George Hambley believes scientists are just guessing about the effects of globalwarming.9. George Hambley is worried about the effects of carbon dioxide onplant growth.10. It is clear what the effects of global warming will be.Keys: True: 3, 5, 6, 7, and 8 False: 1, 2, 4, 9, 10Step 4 Detailed readingRead the text carefully and try to find out how many parts we can divide the text into and find outthe main idea of each part.人教版新课标选修六第四单元教案参考Step 5 DebateGet into groups of six. Decide which three in your group are going to agree with thestatement and which three are going to disagree with the statement.Group A: We shall do something about global warming.Group B: We shall do nothing about global warming.Group A discuss why they agree with the statement; Group B discuss why theydisagree.Group A and B get together. Tell each other the reasons why agree or disagree withthe statement.Step 6 Homework1. Read the passage again and review the new words and expressions.2. Prepare the debate in groups.3. Surf the Internet for more information about global warming。
Unit 4 Global warmingT ext 1 The earth is becoming warmer---but does it matter?【Learning Aims】1.Read and learn about global warming2.Find out the main idea of each paragraph3.Read and understand detailed information4.Have a discussion about whether we should do something about global warming【使用说明与学法指导】自学:20分钟课前自学,严格按照要求充分预习课文。
要求:15分钟迅速默读文章一遍, 把握文章主旨大意,并分析篇章结构深入透彻理解课文,并对重难点进行勾画与标注完成【课前预习】。
10分钟【课内探究】。
15分钟对课文重难点短语及句子进行勾画与分析,完成【博观约取】。
【背景链接激活思维】1.What Causes Global W armin g?What is really causing the global warming and effects of global warming we're beginning tosee worldwide?是什么原因导致全球变暖?什么是真正导致全球变暖和全球变暖所带来的影响?我们开始看到世界.2.Serious Effects of Global W armingSerious Effects of Global W arming Already Have Begun, says IPCC.The effects of globalwarming in the 21st century and beyond are expected to be disastrous, according tothe.summary of a scientific report issued on April 6, 2007 by the world’s leading panel ofclimate change scientists. And many of those changes are already under way. no person onEarth will escape its consequences. The effects of global warming will be felt in every regionand at all levels of society. therefore, in some sense, this does become a global responsibility.全球变暖的严重影响。
高二英语导学选修六UNIT4 Reading1课题:Book6 Unit 4 Global warming Warming up& Reading 1I.Learning Aims:1.To talk about the effects of global warming in our life through PPT2.To master the key words, phrases and sentence structures.3.To improve reading skills of searching for special information.II.CONTENTS1.Natural disasters2.Warming up3.Fast reading4.Careful reading5.Summary6.HomeworkStep I Preparation (3mins)Ask students to think about the effects of global warming in our life and then show some through PPTStep II Warming up (5mins)A.What do yon know about the global warming?B.Have you ever seen a greenhouse? A green house is made of glass and is used for growing plants, especially during cold weather. The air inside is warm because the glass traps the heat from the sun and keeps it from escaping. This makes the greenhouse heat up and so the plants can grow throughout the cold period.C.In the atmosphere surrounding the earth there are gases called “greenhouse gases”. What do you think greenhouse gases do? Look the picture in the book and explain it to your partner.Step III. Fast reading (3mins)Choose the best answer according to the text1.What does the author probably agree?A.A lot remains to be found out the effects of global warmingB.We should do nothing about the global warmingC.Catatrophes will happen if the globe keeps on warmingD.Actually global warming is good for human beings2.What causes global warming according to Janice Foster?A.Burning fossil fuelsB. Green houseC. Water vapourD. Natural gas3.Who accurately measured the amount of carbon dioxide in the atmosphere from 1957 to 1997?A.Dr. Janice FosterB.FahrenheitC. Charles KeelingD.George Hambley4.What does George Hambley think more carbon dioxide to be?A.A bad thingB. A dangerous thingC. A comparative thingD. A positive thing Step IV. Careful reading (5 mins)A.Read the article carefully. Are these statements true or false? Tick the correct boxes. For each false statement, write a true one.1.The temperature in the last century did not seem to increase much2.Everyone believes that global warming is caused by the activities of humans.3.Janice Foster believes that she can measure the future global rise in temperature.4.The rise in carbon dioxide is causing a steady increase in global warming.5.George Hambley believes that global warming will do good rather than harm to theearth.6.It is clear what the effects of global warming will be.B.Self-learning- key phrases1.at random... ___________2.subscribe to ... ___________3.quantities of ... ___________4.be opposed of ... ___________5.glance at ... ___________e about ___________7.range from... to... ___________8.go up ___________9.result in... ___________10.result from... ___________11.As a result ___________12.even if ___________13.keep on ___________14.make/take measurements ___________15.take one’s measurement ___________16.build up ___________C.Self-learning - key sentencesThere is no doubt that the earth is becoming warmer (see Graph 1) and that it is human...(教材p26)毫无疑问,地球是在变暖(见表一),地球变暖是......There is no doubt that... “毫无疑问......”There is some doubt whether he will be elected.I don’t doubt that he comes from China.练习There is no doubt ________ the world climate has been changing in the recent years.There is doubt ________ the Dallas Mavericks will defeat the Washington Wizards in the next game.翻译毫无疑问,如果你坚持不懈,你会找到幸福和成功。
Unit4 写作课名师教学设计Module 6 Unit 4 Using Language--Writing教学设计1. 学情分析Learning situation:In BOOK6 UNIT4, although students have already learned some knowledge about global warming in the previous reading part, they still have some difficulties in expressing ideas on how to reduce global warming in their daily life. Besides, for the writing task, students have known something about how to write a letter of advice, but most of them still don’t know the structure of it clearly, which may cause some confusion in their writing. So they need more guidance and some proper help on how to give suggestions on such big a social problem--how to reduce global warming.2 重点难点Difficult points and important points:Students may have difficulty analyzing which key information should be included in the letter and how to make use of some good sentence-patterns of suggestions. So students may have difficulty using their own words for the output part.3 教学过程3.1 第一学时3.1.1教学目标Teaching goals:1. Language competences: Students will be able to(1)learn some new words in situations: global warming, carbon dioxide, the rise of the sea level, cause, make a difference, count.(2)learn the structure of a letter of advice.(3)learn how to express themselves by using proper sentence-patterns of suggestions.2. Learning competence:The class is based on the students-centered principle, so every student is encouraged to participate in all the steps of writing. The teacher is just a guide, who will adopt some skills to get students to think about one question in the whole class---how canwe write a letter of advice on a social problem well? After all these activities, students will be able to exchange their ideas and learn how to organize a letter of advice.3. Cognitive competence:Students will be able to think about the structure of this kind of letter critically and they will form a right attitude towards the problem of global warming, which will exert some positive effects in their daily life.4.1.2 学时重点与难点Difficult points and important points:Students may have difficulty in analyzing the key information before writing and failing to adopt some good ways to express their opinions.4.1.3 教学活动活动1【导入】Greetings&Lead inEnjoy a short video1. What is the video about? Global warming2. What are the main causes of global warming?It is human activities that have caused global warming, for example, human beings are putting too much carbon dioxide into the air and many people are still cutting down trees in the forests.As we have seen in this video, global warming has caused many disasters in the world. It has become so serious a problem that many people around the world are concerned about it. Are you concerned about it? What can we do to help? We may do some small things to call on more people to take action, for example, we can finish a task like this.【设计说明】: 在Greetings的环节明确本节课教学目标,本节课我们要学习写一封信。
人教版高中英语选修6Unit 4 Global warmingReading: The earth is becoming warmer—But Does it Matter Teaching aims:1)Learn the causes of global warming and different attitudes.2) Master the reading skills.3) Save energy and prevent the global warming.|Important point:understand the causes and effects of global warming Difficult point:how to write a meaningful passage about global warming Teaching methods:individual, pair work, group discussionTeaching aidsa computer, some slides, a projector【Teaching procedures:Step 1 Lead- in1 Play a game—wheel of fortune设计意图:激发学习兴趣, 为阅读课文做好铺垫2 play a video and answer two questions设计意图:提前预知课文内容以便更好理解Step 2 Skimming1 Structure of the passage—1 Introduction2 Body3 Conclusion2 Match the main idea of each partPart 1 (A) How has global warming come aboutPart 2 (B) List two different attitudes^Part 3 (C) Should we do anythingPart 4 (D) The earth is becoming warmer设计意图:整体把握文章结构,思路清晰,便于理解文章内容Step 3 Scanning2 The Outline of different opinionsDr Janice Foster Charles Keeling George Hambley |Part 1This article is from ________.A. a magazineB. the internetC. a bookIntroductionof Greenhouse gasesand Greenhouse effect Made accurate measurements of the amount of CO2 ' Predict the global warming will be mild and positiveStep 4 Careful readingPart 21. What’s graph 1 about2. What’s graph 2 about¥3 How does the global warming come aboutPart 3Step 5 Post-reading —discuss1 We should do something or nothing about global warming.2 What can we do to reduce the global warmingStep 6 WritingWrite a short passage about global warming (100-120 words)Step 7 SummaryStep 8 Homework1 Finish your writing about global warming.2 Search for more information about global warming on theInternet.。
Book 6 Unit 4 Global warmingReading: The earth is becoming warmer—but does it matter?【Learning Goals】1.Learn about global warming and develop reading ability .2.Talk about what we should do to prevent global warming.【课前预习自主研读】T ask 1Warming up① Make a list of the extreme weather events:_____________________________________________________________________________②Free talk: what has caused the extreme climate?_____________________________________________________________________________[来源学#科#网Z#X#X#K]T ask 2Fast reading: go through the article quickly and try to analyze the structure of it.Main ideas of each part and the methods of writing.Part1( ): Introduce a debate over____________________________________________.________________ a questionPart2( ): How ________________________comes about.Giving _________________________________Using _________________and__________________Part3( ): List _________________________among scientists towards global warming.Giving__________________________Making_________________________[来源学*科*网Z*X*X*K]Part4( ): It’s up to readers to_______ and________ whether people should do somethingabout global warming or not.___________________ a questionT ask3Detailed reading: read the article carefully and answer the following questions.1.How has global warming come about?cause of global warming__________________________2.What are the effects of global warming? Does it matter?[来源Z_x x_k C o m]Dr Janice Foster predicts:__________________________________________________________________________________________________________ It could be __________________. Her attitude:________________________________ activity(the burning of fossil fuels , like___________________________________________carbon dioxide, methane and water vapourwithout gases_____________________extra gasescause temperature to go upGeorge Hambley states: ___________________________________________________________________________________________________________ [来源学科网Z X X K]Human beings _______________________. His attitude:______________ 3.What are the two graphs about? (P26)The first graph shows____________________________________________________________ The second graph shows_________________________________________________________T ask 4 Summary writing( in 60 words or so)_____________________________________________________________________________ _____________________________________________________________________________ _____________________________________________________________________________ _____________________________________________________________________________ _____________________________________________________________________________ _____________________________________________________________________________ T ask 5 Group work ( Discussion:What can we do about global warming?)______________________________________________________________________________ ______________________________________________________________________________ ____________________________________________________________________________________________________________________________________________________________ _____________________________________________________________________________.【博观约取厚积薄发】T ask 6 Find out the following phrases in your textbook and remember them.1.发生,造成___________________________2.同意;赞成;订阅_____________________________3.大量的_______________________________4.上升;增长;升起______________________________ 5 .而不是_______________________________ 6 .导致_________________/由于____________________ 7. 反对做某事……______________________ 8.大体上;基本上________________________________ [来源学科网]9. 温室效应_____________________________ 10. 随意地_______________________________________ 11. 倾向于;往往做______________________ 12.用完;耗尽____________________________________ 13. 倾向于做/喜欢做……__________________ 14.(使)变热;(使)变暖________________________ 15. 结果____________________________________ 16 .因为;由于______________________________[来源学科网] 17.各种……________________________________ 18. 在…范围内变动________________________ 19.看一眼;一瞥____________________________ 20. 乍一看_________________________________ 21. 因为;由于_____________________________ 22. 一方面,另一方面_______________________[来源Z x x k C o m] 23. 低达/高达_______________________________ 24. 加强;增强;积累________________________ 25. 把…与…做比较_________________________ 26.与……相比_______________________________ [来源学科网Z X X K]27.持续;继续;保持________________________T ask7熟词生义(look up the following words in your dictionary ,translate them and give an exampl e.)1.So how has this come about and does it matter?matter: 词性____________ 词义______________________Y our example:______________________________________________________________。