随机变量的数字特征试题答案
- 格式:doc
- 大小:424.50 KB
- 文档页数:6
(完整版)概率论习题答案随机变量的数字特征第3章随机变量的数字特征1,在下列句⼦中随机地取⼀单词,以X 表⽰取到的单词所包含的字母个数,试写出X 的分布律并求)(X E .“They found Peking greatly changed ”解:根据题意,有1/5的可能性取到5个单词中的任意⼀个。
它们的字母数分别为4,5,6,7,7。
所以分布律为5/29)77654(51)(=++++=X E .2,在上述句⼦的29个字母中随机地取⼀个字母,以Y 表⽰取到的字母所在的单词所包含的字母数,写出Y 的分布律并求)(Y E 。
解:5个单词字母数还是4,5,6,7,7。
这时,字母数更多的单词更有可能被取到。
分布律为29/175)147665544(291)(=?+?+?+?=Y E .3,在⼀批12台电视机中有2台是次品,若在其中随即地取3台,求取到的电视机中包含的次品数的数学期望。
解:根据古典概率公式,取到的电视机中包含的次品数分别为0,1,2台的概率分别为1163123100==C C p , 229312210121==C C C p , 221312110222==C C C p 。
所以取到的电视机中包含的次品数的数学期望为)(21222112290116台=?+?+?=E 。
4,抛⼀颗骰⼦,若得6点则可抛第⼆次,此时得分为6+(第⼆次所抛的点数),否则得分就是第⼀次所抛的点数,不能再抛。
求所得分数的分布律,并求得分的数学期望。
解:根据题意,有1/6的概率得分超过6,⽽且得分为7的概率为两个1/6的乘积(第⼀次6点,第2次1点),其余类似;有5/6的概率得分⼩于6。
分布律为得分的数学期望为)(1249)121110987(361)54321(61点=++++++++++=E 。
5,(1)已知)(~X λπ,}6{}5{===X P X P ,求)(X E 。
(2)设随机变量X 的分布律为Λ,4,3,2,1,6}{22--===k k k X P π,问X 的数学期望是否存在?解:(1)根据)(~X λπ,可得}6{!6!5}5{65=====--X P e e X P λλλλ,因此计算得到6=λ,即)6(~X π。
第四章随机变量的数字特征试题答案一、 选择(每小题2分)1、设随机变量X 服从参数为2的泊松分布,则下列结论中正确的是(D ) A.E (X )=0.5,D (X )=0.5?B.E (X )=0.5,D (X )=0.25 C.E (X )=2,D (X )=4?D.E (X )=2,D (X )=22Y X -=,则34) A C 5A 6、)1=(C ) A .34?B .37C .323?D .326 7、设随机变量X 服从参数为3的泊松分布,)31,8(~B Y ,X 与Y 相互独立,则)43(--Y X D =(C )A .-13?B .15C .19?D .238、已知1)(=X D ,25)(=Y D ,XY ρ=0.4,则)(Y X D -=(B )A .6?B .22C .30?D .469、设)31,10(~B X,则)(X E =(C )A .31?B .1C .310?D .1010、设)3,1(~2N X ,则下列选项中,不成立的是(B )A.E (X )=1?B.D (X )=3?C.P (X=1)=0?D.P (X<1)=0.511A .C .12、XY ρ=(D 13x =(B)A .14、(C ) A.-15、为(A .C .21)(,41)(==X D X E ?D .41)(,21)(==X D X E 16、设二维随机变量(X ,Y )的分布律为则)(XY E =(B )A .91-?B .0 C .91?D .3117、已知随机变量X 服从参数为2的泊松分布,则随机变量X 的方差为(D ) A18,0.5),则A 19,则X A 20, 则21(B A C 22、设n X X X ,,,21 是来自总体),(2σμN 的样本,对任意的ε>0,样本均值X 所满足的切比雪夫不等式为(B ) A .{}22εσεμn n X P ≥<-?B .{}221εσεμn X P -≥<-C .{}221εσεμn X P -≤≥-?D .{}22εσεμn n X P ≤≥-23、设随机变量X 的μ=)(X E ,2)(σ=X D ,用切比雪夫不等式估计{}≥<-σ3)(X E X P (C )A .91?B .31C .98?D .124、设随机变量X 服从参数为0.5的指数分布,用切比雪夫不等式估计{}≤≥-32X P (C )A25A 1234且5x =710 67、设随机变量X 服从参数为3的指数分布,则)12(+X D =948、设二维随机变量);,;,(~),(222121ρσσμμN Y X ,且X 与Y 相互独立,则ρ=0 9、设随机变量序列 ,,,,21n X X X 独立同分布,且μ=)(i X E ,0)(2>=σi X D ,,2,1=i ,则对任意实数x ,⎪⎪⎭⎪⎪⎬⎫⎪⎪⎩⎪⎪⎨⎧>-∑=∞→x n n X P n i i n σμ1lim =)(1x Φ- 10、设随机变量X 具有分布51}{==k XP ,5,4,3,2,1=k ,则)(X E =3 11、设随机变量X 在区间(0,1)上服从均匀分布,Y=3X -2,则E?(?Y?)=-0.5 121314、3=,则cov(X 1516大于1724}=0.6826 附:18、-0.5,19的期望E?(Y)=4,D?(Y?)=9,又E?(XY?)=10,则X ,Y 的相关系数XY ρ=31 20、设随机变量X 服从二项分布31,3(B ,则)(2X E =35 三、计算:每小题5分1、某柜台做顾客调查,设每小时到达柜台的顾客数X 服从泊松分布,则)(~λP X ,若已知}2{}1{===X P XP ,且该柜台销售情况Y (千元),满足2212+=X Y。
考研数学一(随机变量的数字特征)模拟试卷5(题后含答案及解析) 题型有:1. 选择题 2. 填空题 3. 解答题选择题下列每题给出的四个选项中,只有一个选项符合题目要求。
1.若离散型随机变量X的概率分布为P{X=(一1)n2n}=,n=1,2,…,则E(X)=( )A.2。
B.0。
C.ln2。
D.不存在。
正确答案:D解析:依定义,E(X)=(一1)n2n(一1)n,而级数∣(一1)n∣=+∞,(一1)n不绝对收敛,故E(X)不存在。
故选D。
知识模块:随机变量的数字特征2.设随机变量X~E(1),记Y=max{X,1},则E(Y)=( )A.1。
B.1+e-1。
C.1一e-1。
D.e-1。
正确答案:B解析:根据随机变量函数的数学期望的定义,有E(Y)=E[max{X,1}]=∫-∞+∞max{x,1}f(x)dx,其中f(x)为指数分布X的密度函数,即f(x)=所以E(Y)=∫-∞+∞max{x,1}f(x)dx=∫-∞0max{x,1}.Odx+∫0+∞max{x,1}e-xdx =∫01e-xdx+∫1+∞xe-xdx=1一e-1+2e-1=1+e-1。
故选(B)。
知识模块:随机变量的数字特征3.一台仪器由5只不太可靠的元件组成,已知各元件是否出故障是独立的,且第k只元件出故障的概率为Pk=,则出故障的元件数的方差是( ) A.1.3。
B.1.2。
C.1.1。
D.1.0。
正确答案:C解析:由于每个元件出故障概率不同,故采用(0—1)分布,即Xk=k=1,2,…,5于是D(X1)=故有D(X)=1.1。
故选(C)。
知识模块:随机变量的数字特征4.已知随机变量X服从二项分布,E(X)=2.4,D(X)=1.44,则二项分布的参数n,p的值为( )A.n=4,P=0.6。
B.n=6,P=0.4。
C.n=8,P=0.3。
D.n=24,P=0.1。
正确答案:B解析:由已知,则E(X)=np,D(X)=np(1一p),即2.4×(1一p)=1.44=p=0.4,n=6。
习题4-11、设随机变量X 服从参数为p 的01-分布,求()E X 。
解:据题意知,X 的分布律为根据期望的定义,得()0(1)1E X p p p =⋅-+⋅=。
2、袋中有n 张卡片,记有号码1,2,,n 。
现从中有放回地抽出k 张卡片,求号码之和X 的数学期望。
解:设i X 表示第i 次取到的卡片的号码(1,2,,i k =),则12k X X X X =+++。
因为是有放回地抽出卡片,所以i X 之间相互独立。
所以第i 次抽到号码为m 的卡片的概率为1{},(1,2,,;1,2,,)i P X m m n i k n====,即i X 的分布律为1{},(1,2,,)i P X m m n n===, 所以11()(12)2i n E X n n+=+++=, 所以,1(1)()()2k k n E X E X X +=++=。
注:求复杂随机变量期望时可先引入若干个简单的随机变量,再根据期望的性质即可。
3、某产品的次品率为0.1,检验员每天检验4次。
每次随机地抽取10件产品进行检验,如果发现其中的次品数多于1,就去调整设备,以X 表示一天中调整设备的次数,试求()E X 。
(设诸产品是否是次品是相互独立的。
)解:令Y 表示一次抽检的10件产品的次品数,据题意知,~(10,0.1)Y b ,00101191010{1}1{0}{1}10.10.90.10.90.2639p P Y P Y P Y C C =>=-=-==--=,因此,~(4,0.2639)X b ,从而()40.2639 1.0556E X np ==⋅=。
注:此题必须先求出一天中调整设备的概率。
即p 值。
4、据统计,一位60岁的健康(一般体检未发生病症)者,在5年内仍然活着或自杀身亡的概率为p (01p <<,p 为已知),在五年内非自杀身亡的概率为1p -。
保险公司开办5年人寿保险,条件是参保者需缴纳人寿保费a 元(a 已知),若5年内非自杀死亡,保险公司赔偿b 元(b a >)。
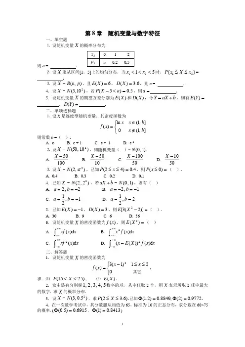
1 第8章 随机变量与数字特征一、填空题⒈ 设随机变量X 的概率分布为则a = . ⒉ 设X 服从区间[1,5]上的均匀分布,当5121<<<x x 时,}{21x X x P ≤≤= .⒊ 设),(~p n B X ,且6)(=X E ,6.3)(=X D ,则n = .4.设)10,5(~2N X ,若5.0)5(=<-a X P ,则a = .5. 设随机变量X 的期望方差分别为E X ()和D X (),令Y aX b =+,则有E Y ()= ,D Y ()= .二、单项选择题⒈ 设X 是连续型随机变量,其密度函数为 ⎩⎨⎧∉∈=],1(0],1(ln )(b x b x x x f 则常数b =( ).A . eB . e + 1C . e - 1D . e 2⒉ 设)10,50(~2N X ,则随机变量( )~)1,0(N . A .10050-X B . 1050-X C . 50100-X D . 5010-X ⒊ 设),2(~2σN X ,已知4.0)42(=≤≤x P ,则=≤)0(x P ( ). A . 0.4 B . 0.3 C . 0.2 D . 0.14. 已知X N ~(,)222,若aX b N +~(,)01,则有( )A . a b ==-22,B . a b =-=-21,C . a b ==-121, D . a b ==122, 5. 已知1)(-=X E ,3)(=X D ,则=-)]2(3[2X E ( ). A . 30 B . 9 C . 6 D . 366. 设随机变量X 的密度函数为f x (),则E X ()2=( )A .xf x x ()-∞+∞⎰d B . x f x x 2()-∞+∞⎰d C . xf x x 2()-∞+∞⎰d D . (())()x E X f x x --∞+∞⎰2d 三、解答题1.设随机变量X 的密度函数为f x x x ()()=-≤≤⎧⎨⎩311202其它, 求:⑴ P X (..)1525<<; ⑵ E X ().2.盒中装有分别标12345,,,,数字的球,从中任取2个,用X 表示所取2球中最大的数字. 求X 的概率分布.3.设)5.0,3(~2N X ,求)6.32(≤≤X P .已知9772.0)2(,8849.0)2.1(=Φ=Φ.4.在一次数学考试中,其分数服从均值为65,标准为10的正态分布,求分数在60~75的概率. (6915.0)5.0(=Φ,8413.0)1(=Φ)。
第3章随机变量的数字特征_答案_第3章随机变量的数字特征⼀.填空题1.(90-1-2)已知随机变量X 服从参数为2的泊松分布22{},0,1,2...!k P X k e k k ?===则随机变量32Z X =?的数学期望E (Z)= (4)解: ()()()()~(2), 2,32323224X P E X E Z E X E X ==?=?=×?=2.设随机变量X 的密度函数为+=0)(B Ax x f 则且其它,127)(,10=≤≤X E x A =_____,B =______. (1,1/2)解:1()112f x dx A B +∞∞=?+=∫, 7117()123212EX xf x dx A B +∞∞==?+=∫, 11,2A B ∴==3. (92-1-3)已知随机变量X 服从参数为1的指数分布, 则数学期望()2XE X e+= (4/3)解:()()()()222300, 011~(1), 1, , 330, 0x X x x x x e x X E E X f x E e e f x dx e e dx e x ?+∞+∞+∞∞?>=====?=?≤?∫∫ ()211/34/3X E X e ?+=+=4.(95-1-3)设X 表⽰10次独⽴重复射击命中⽬标的次数,每次射中⽬标的概率为0.4,则2x 的数学期望()2E X= (18.4)解:()()()()()()222~(10,0.4),100.44,(1)100.410.4 2.4, 2.4418.4X B E X D X np p E X D X E X =×==?=×?==+=+=5. (99-4-3)设~(),X P λ已知[(1)(2)]1E X X ??=,则λ= (1) 解:()()()()()222~(),,,X P E X D X E XD XE X λλλλλ===+=+,222[(1)(2)][132)]()3()2211E X X E X X E X E X λλλ??=?+=+=?+=?=?6. (95-4-3)设X 是随机变量,其概率密度为1,10()1, 010,x x f x x x +?≤≤??=?<≤,则⽅差DX 为 (1/6)解:()()00110123231100101111(1)(1)02323E X xf x dx x x dx x x dx x x x x +∞∞?==?++??=++?=∫∫∫()()0011012222343411001011111(1)(1)34346E X x f x dx x x dx x x dx x x x x +∞∞?==?++??=++?=∫∫∫()()()221/601/6D X E X E X =?=?=7.(90-4-3)设随机变量X 和Y 独⽴,~(3,1),~(2,1)X N Y N ?,则27, Z ~Z X Y =?+ (0,5)N 解:()()2()732270,()()4()145~(0,5)E Z E X E Y D Z D X D Y Z N =?+=??×+==+=+=∴8.设两个相互独⽴的随机变量X 和Y均服从(1,1/5)N ,若随机变量X aY ?满⾜条件2()[()]D X aY E X aY ?=?,则a = . (1) 解:()0,()()01101E X aY E X aE Y a a ??=??==?=9.(03-3-4) 随机变量 X 与Y 的相关系数为0.9,若0.4Z X =?则Y 与Z 的相关系数为 (0.9) 解:()()0.4,,cov(,)cov(,0.4)cov()cov(),Z X D Z D X Y Z Y X Y X X Y =?==?==,,0.9YZ ρ===10.(03-4-4)设随机变量X 和Y 的相关系数为0.5,2202EX EY EX EY ====,,试求2E X Y +()= (6) 解: 2202EX EY EX EY ====∵,,()()()222,D X E X E X ∴=?= ()()()222D Y E Y E Y =?=0.5,0 ()0.51XY XY EX EY E XY ρρ====?===222222)2()()2226E X Y E X XY Y E X E XY E Y +=++=++=++=()()(⼆.选择题1.(91-3-3)若随机变量X 与Y 的协⽅差()()()E XY E X E Y =,则下列结论必正确的是( ). 解B (A ) ()()()D XY D X D Y =; (B ) ()D X Y DX DY +=+; (C ) X 与Y 独⽴; (D ) X 与Y 不独⽴2.若随机变量X 与Y 的协⽅差(,)0Cov x y =,则下列结论必正确的是( ). 解C (A ) X 与Y 独⽴; (B )()()()D XY D X D Y =; (C )()D X Y DX DY +=+; (D )()D X Y DX DY ?=?.3.(90-4-3)已知()()~(,), 2.4, 1.44X B n p E X D X ==则,n p 的值( ). 解B (A )4,0.6n p ==; (B ) 6,0.4n p ==; (C ) 8,0.3n p ==; (D ) 24,0.1n p ==. 解:()()1.44, 2.4,1 1.44/2.40.60.4,6D X npq E X np q p p n =====?==?==4.(97-1-3)设两个相互独⽴的随机变量X 和Y 的⽅差为4和2,则随机变量32X Y ?的⽅差是( ) 解D (A) 8; (B)16; (C)28; (D)44 分析: ()329()4()944244D X Y D X D Y ?=+=×+×=5.(95-3-3)设随机变量X,Y 独⽴同分布,记,U X Y V X Y =?=+,则U 和V 必然( ) 解D (A )独⽴; (B)不独⽴; (C ) 相关系数不为0; (D )相关系数为0. 分析: X,Y 独⽴同分布,()(),D X D Y =cov(,)cov(,)cov(,)cov(,)cov(,)cov(,)()()00U V X Y X Y X X X Y Y X Y Y D X D Y ρ=?+=+??=?=?=6.(08-1,3,4-4) (0,1),(1,4),1XY X N Y N ρ=~~,则(). 解D (A)(21)1P Y X =??=. (B)(21)1P Y X =?=. (C)(21)1P Y X =?+=.(D)(21)1P Y X =+=. 分析:,1,0XY Y aX b a ρ=+=∴>,排除A,C,()0,()1,()101E X E Y EY aE X b a b b ===+?=?+?=∵,选D三.计算题 1. 设随机变量X 的分布函数()0, 10.2, 100.5, 011, 1x x F x x x,求EX ,DX (0.3,0.61)解:分析,由()F x 是离散型的分布函数,先求分布律(直接计算分段点的跳跃度(值差)即可)()10.210.50.3EX =?×+×=,()22210.210.50.7EX =?×+×=,2220.70.30.61DX EX E X =?=?=2. 若已知是分布函数()0, 10, 011, 1x F x x x x ?≤=≤,求EX ,DX (1/2,1/12)(思考:如何判别分布函数()F x 是离散型还是连续型?)解:分析,由()F x 是连续型的分布函数,先求导数,()1, 01'()0, x F x f x ≤其他,1120 011122EX x dx x =?==∫, 112230 011133EX x dx x =?==∫,2221113212DX EX E X ??=?=?=3.(89-4-3)设随机变量2123~(0,6),~(0,2),~(3)X U X N X P 相互独⽴,令32132X X X X +?=,求EX ,DX (12, 46) 解:12306 ()()2()3()2033122E X E X E X E X +=?+=×+×= 22123(60)()()4()9()42934612D X D X D X D X ?=++=+×+×=4、设[]~2,6X U ,对X 进⾏20次独⽴观测,Y 表⽰20次观测值中事件{}5X >发⽣的次数,求()2 YE (115/4).解:[]~2,6X U ,()1, [2,6]40, x f x ?∈?=其他,{} 6 511544P X dx >==∫.,据题意 (,)Y B n p ~,120,4n p == 1315205,5444EY np DY npq ==×===×=,()222153528E Y DY E Y =+=+= 5.(02-4-3) 已知随机向量(X ,Y )的联合分布律为,求,,(,),EX DX Cov X Y xy ρ (0.6,0.24,0,0)X -1 0 11/3 0.2 0.3 0.5解:0.6,EX =20.6,EX =220.60.360.24DX EX E X =?=?=,()10.1510.350.2EY =?×+×=(1,1)(1,1)()0.080.20.12E XY xy xy ?=×+×=, (,)0,0xy Cov X Y ρ=∴= 6、已知随机变量),(Y X 服从区域()}{,01,D x y x x y x =<解:依题意,()11, (,),0, x y Df x y d ?=∈?=其他(注意,函数区间利⽤⼆重积分计算)2222(,((,EX xf x EX x f DX EX E X EY yf x y +∞+∞∞∞+∞+∞∞∞+∞∞===?==∫∫∫∫∫()(,EXY xyf Cov X Y EXY +∞+∞∞∞==?∫∫∫7. (05-1,3,4-9)设⼆维随机变量 (X,Y) 的密度函数为()1,01,02,0,x y xf x y <<<其他 1)求边缘概率密度()X f x ,()Y f y . 2)判断X,Y 的独⽴性(补). 3)判断X,Y 的相关性(补解: 1) 01 x <<,()()20,12xX f x f x y dy dy x +∞∞===∫∫2, 01()0, X x x f x <02y <<,()()1/2,112Y y y f y f x y dx dx +∞∞===?∫∫,1, 02()20, Y yy f y ??<2) 显然(,)()()X Y f x y f x f y ≠?,X Y ∴,不独⽴.3) 121122002()(,)23E X xf x y dxdy xdxdy x y dx x dx +∞+∞∞∞=====∫∫∫∫∫∫, 1211222000012()(,)223xx E Y yf x y dxdy ydxdy y dx x dx +∞+∞∞∞=====∫∫∫∫∫∫1211223000011()(,)222xx E XY xyf x y dxdy xydxdy x y dx x dx +∞+∞∞∞=====∫∫∫∫∫∫显然(,)()()()0Cov X Y E XY E X E Y =?≠∴Y X ,相关.8. (07-1,3,4-11)设⼆维随机变量 (X,Y) 的密度函数为()2,01,01,0,x y x y f x y ??<<<其他1) 求{2}P X Y >, 2)判断X,Y 的独⽴性(补), 3)判断X,Y 的相关性(补) (7/24, 不独⽴.相关) 解1) ()1/220001{2}2(2)2x x P X Y x y dxdy y xy y dx >==∫∫∫1205157()822424x x dx =?=?=∫ 2)112001301()(,)(2)(2)22X x f x f x y dy x y dy y xy y x +∞∞≤≤==??=??=?∫∫,,3/2, 01()0, X x x f x ?≤≤?∴=??其他112001301,()(,)(2)(2)22Y y f y f x y dx x y dx x x xy y +∞∞≤≤==??=??=?∫∫3/2, 01()Y y y f y ?≤≤?∴=?显然(,)()()X Y f x y f x f y ≠?, X Y ∴,不独⽴3)1123003315()()()()24312X E X xf x dx x x dx x x +∞?∞==?=?=∫∫,1123003315()()()()24312Y E Y yf y dy y y dy y y +∞?∞==?=?=∫∫11111222320000011211()(,)(2)()()23326E XY xyf x y dxdy xy x y dxdy xy x y xy dx x x dx +∞+∞∞∞==??=??=?=∫∫∫∫∫∫ (,)()()()0Cov X Y E XY E X E Y =?≠X Y ∴,相关. 9.(94-1-6)设22~(1,3),~(0,4),X N Y N 且1,2XY ρ=?设32X YZ =+,1)求(),().E Z D Z 2)求XZ ρ,3)问X,Z 是否相互独⽴?为什么? (1/3, 0, 独⽴) 解:1) 22~(1,3),~(0,4),X N Y N 1,2XY ρ=?32X Y Z =+111()()()323E Z E X E Y ?=+= 1(,)3462Cov X Y ρ==?××=?,111111()(,)916(6)3943943D Z DX DY Cov X Y ∴=++=×+×+?=2)111111(,)(,)(,)()(,)9(6)032323232X Y Cov X Cov X X Cov X Y D X Cov X Y +=+=+=?+?=cov ,0XZ X Z ρ∴==3) X,Z 相互独⽴0XZ ρ?=(⼆维正态独⽴的充要条件)10.飞机场送客汽车载有20位乘客,离开机场后共有10个车站可以下车,若某个车站⽆⼈下车则该车站不停车。
滚动测试6随机变量的数字特征(解析版)一、选择题1.若随机变量)4.0,(~n B ξ,若20)(=ξE ,则n 的值为 )(A 25 )(B 50 )(C 20 )(D 40【解析】选)(B ∵)4.0,(~n B ξ50,204.0)(=∴==∴n n E ξ 2.关于标准正态分布)1,0(N 的概率密度函数221)(2x e x f -=π,下列说法不正确的是)(A )(x f 为偶函数 )(B )(x f 的最大值是π21)(C )(x f 在0>x 时是单调减函数,在0≤x 时是单调增函数)(D )(x f 关于1=x 对称【解析】选)(D ∵221)(2x e x f -=π,∵)(x f 是偶函数,图象关于0=x 对称,因此A 正确,D 错误,结合正态分布密度函数的图象可知C B ,正确.3.篮球运动员在比赛中每次罚球命中得1分,罚不中得0分,已知他命中的概率为0.8,则罚球一次得分ξ的均值是( ) )(A 0.2 )(B 0.8 )(C 1 )(D 0 【解析】选)(B 因为8.0)1(==ξP ,2.0)0(==ξP ,所以8.02.008.01)(=⨯+⨯=ξE 4.设随机变量ξ的分布列如右表:且6.1)(=ξE ,则b a -等于( ))(A 0.2 )(B 0.1 )(C -0.2 )(D -0.4【解析】选)(C 根据题意, ⎩⎨⎧=⨯+⨯++⨯=+++6.11.0321.0011.01.0b a b a 解得⎩⎨⎧==5.03.0b a 所以2.0-=-b a5.若随机变量m X P N X =≤)0(),4,1(~,则)20(<<X P 等于( ) )(A m 21- )(B 21m - )(C 221m - )(D m -1 【解析】选)(A 正态曲线关于μ=X 对称,当1=μ时,m x P 21)20(-=<<6. 已知X 的分布列为右表,则)(X D )等于( ))(A 0.7 )(B 0.61 )(C .-0.3 )(D 0【解析】选)(B ∵3.02.013.005.01)(-=⨯+⨯+⨯-=X E∵61.0338.0027.0245.02.0)3.01(3.0)3.00(5.0)3.01()(222=++=⨯++⨯++⨯+-=X D 7.已知)8,0(~2N ξ且4.0)02(=≤≤-ξP ,则)2(>ξP 等于( ) )(A 0.1 )(B 0.2 )(C 0.3 )(D 0.4【解析】选)(A 因为1)2()02()20()2(=-<+≤≤-+≤≤+>ξξξξP P P P ,)2()2(-<=>ξξP P ,)02()20(≤≤-=≤≤ξξP P ,所以1.0)]02(21[21)2(=≤≤--=>ξξP P 8.设掷1颗骰子的点数为X ,则( ))(A 25.3)(,5.3)(==X D X E )(B 1235)(,5.3)(==X D X E )(C 5.3)(,5.3)(==X D X E )(D 1635)(,5.3)(==X D X E 【解析】选)(B 解析:点数X的分布列如右表:5.3616615614613612611)(=⨯+⨯+⨯+⨯+⨯+⨯=X E123561)5.36(61)5.32(61)5.31()(222=⨯-+⋅⋅⋅+⨯-+⨯-=X D 9.袋中有7个球,其中有4个红球,3个黑球,从袋中任取3个球,以η表示取出的红球数,则)(ηE 为( ))(A3561 )(B 712 )(C 3522 )(D3518【解析】选)(B 随机变量η的取值分别为0,1,2,3,且351)0(3733===C C P η; 3512)1(372314===C C C P η;3518)2(371324===C C C P η;354)3(3734===C C P η, ∵712354335182351213510)(=⨯+⨯+⨯+⨯=ηE 10.随机变量)1,0(~N X ,则X 的数值落在),3()3,(+∞⋃--∞内的概率为( ))(A %6.4 )(B %2.0 )(C %26.0 )(D %3【解析】选)(C 先求)33(≤≤-X P ,再求数值落在),3()3,(+∞⋃--∞内的概率.9974.0)33()33()33(=+≤<-=≤<-=≤≤-σμσμX P X P X P 所以数值落在 ),3()3,(+∞⋃--∞内的概率为%26.00026.09974.01==-.11.工人制造机器零件尺寸在正常情况下,服从正态分布),(2σμN .在一次正常的试验中,取10000个零件时,不属于)3,3(σμσμ+-这个尺寸范围的零件个数可能为( ))(A 70个 )(B 100个 )(C 26个 )(D 60个【解析】选)(C 正态分布),(2σμN 落在)3,3(σμσμ+- 内的概率是9974.0,不在)3,3(σμσμ+-内的概率是0026.0,因此取10000个零件时,不在此范围内的零件个数可能是26个左右,12.某厂生产的零件直径)2.0,10(~2N ξ,今从该厂上、下午生产的零件中各随机取出一个,测得其外直径分别为cm 9.9和cm 3.9,则可认为( ))(A 上午生产情况未见异常现象,下午生产情况出现了异常现象)(B 上午生产情况出现了异常,而下午生产情况正常 )(C 上、下午生产情况均是正常)(D 上、下午生产情况均出现了异常现象【解析】选)(A σ3原则:)2.0310,2.0310(⨯+⨯-,即)6.10,4.9(9.9),6.10,4.9(∈,)6.10,4.9(3.9∉,所以,上午生产情况未见异常,下午生产情况出现了异常.13.在一次商业活动中,某人获利300元的概率为6.0,亏损100元的概率为4.0,此人在这样的一次商业活动中获利的均值是 。
第四章 随机变量的数字特征试题答案一、 选择(每小题2分)1、设随机变量X 服从参数为2的泊松分布,则下列结论中正确的是(D ) A. E (X )=0.5,D (X )=0.5? B. E (X )=0.5,D (X )=0.25 C. E (X )=2,D (X )=4? D. E (X )=2,D (X )=22、设随机变量X 与Y 相互独立,且X~N (1,4),Y~N (0,1),令Y X Z -=,则D(Z )=? (??C?) A. 1 ?B. 3 C. 5? D. 6? 3、已知D (X )=4,D (Y )=25,cov (X ,Y )=4,则XY ρ =(C ) A. 0.004? B. 0.04? C. 0.4? D. 44、设X ,Y 是任意随机变量,C 为常数,则下列各式中正确的是(?D ) A . D (X+Y )=D (X )+D (Y ) ?B . D (X+C )=D (X )+C C . D (X -Y )=D (X )-D (Y ) ?D . D (X -C )=D (X )5、设随机变量X 的分布函数为⎪⎪⎩⎪⎪⎨⎧≥<≤-<=4,142,122,0)(x x x x x F ,则E(X)=(D )A .31 ?B . 21 C .23?D . 3 6、设随机变量X 与Y 相互独立,且)61,36(~B X ,)31,12(~B Y ,则)1(+-Y X D =(C )A . 34 ?B . 37C . 323 ?D . 3267、设随机变量X 服从参数为3的泊松分布,)31,8(~B Y ,X 与Y 相互独立,则)43(--Y X D =(C )A . -13 ?B . 15C . 19 ?D . 238、已知1)(=X D ,25)(=Y D ,XY ρ=0.4,则)(Y X D -=(B ) A . 6 ?B . 22 C . 30 ?D . 469、设)31,10(~B X,则)(X E =(C )A . 31 ?B . 1C . 310 ?D . 1010、设)3,1(~2N X ,则下列选项中,不成立的是(B )A. E (X )=1?B. D (X )=3?C. P (X=1)=0?D. P (X<1)=0.5 11、设)(X E ,)(Y E ,)(X D ,)(Y D 及),cov(Y X 均存在,则)(Y X D -=(C )A .)(X D +)(Y D ?B . )(X D -)(Y DC .)(XD +)(Y D -2),cov(Y X ?D .)(X D +)(Y D +2),cov(Y X 12、设随机变量)21,10(~B X,)10,2(~N Y ,又14)(=XY E ,则X 与Y 的相关系数XY ρ=(D )A . -0.8 ?B . -0.16C . 0.16 ?D . 0.8 13、已知随机变量X 的分布律为25.025.012p P xX i-,且E (X )=1?,则常数x =( B)A . 2 ?B . 4C . 6 ?D . 814、设随机变量X 服从参数为2的指数分布,则随机变量X 的数学期望是(C ) A. -0.5 B. 0 C. 0.5 D. 215、已知随机变量X 的分布函数为F(x)=⎩⎨⎧>--otherx e x12,则X 的均值和方差分别为(?D ) A .4)(,2)(==X D X E ?B . 2)(,4)(==X D X E C .21)(,41)(==X D X E ?D .41)(,21)(==X D X E 16则)(XY E =(B ) A .91- ?B . 0 C . 91 ?D . 31 17、已知随机变量X 服从参数为2的泊松分布,则随机变量X 的方差为(D ) A . 2- ?B . 0 C .0.5 ?D 218、设随机变量X 与Y 相互独立,X 服从参数为2的指数分布,Y ~B(6,0.5),则E(X-Y)=( A)A .5.2- ?B . 0.5 C . 2 ?D . 519、设二维随机变量(X ,Y)的协方差cov(X ,Y)=61,且D(X)=4,D(Y)=9,则X 与Y 的相关系数XYρ为(?B ) A .2161 ?B . 361 C . 61 ?D . 1 20、设随机变量X 与Y 相互独立,且X ~N?(0,9),Y ~N?(0,1),令Z=X-2Y , 则D?(Z)=(D ) A . 5 ?B . 7 C . 11 ?D 13 21、设(X ,Y)为二维随机变量,且D?(X)>0,D?(Y)>0,则下列等式成立的是(B ) A . )()()(Y E X E XY E = ? B .)()(),cov(Y D X D Y X XY ⋅=ρC . )()()(YD X D Y X D +=+ ?D . ),cov(2)2,2cov(Y X Y X =22、设n X X X ,,,21Λ是来自总体),(2σμN 的样本,对任意的ε>0,样本均值X 所满足的切比雪夫不等式为(B )A . {}22εσεμn n X P ≥<- ?B .{}221εσεμn X P -≥<-C . {}221εσεμn X P -≤≥- ?D .{}22εσεμn n X P ≤≥-23、设随机变量X 的μ=)(X E ,2)(σ=X D ,用切比雪夫不等式估计{}≥<-σ3)(X E X P (C )A .91 ?B . 31 C . 98?D . 1 24、设随机变量 X 服从参数为0.5的指数分布,用切比雪夫不等式估计{}≤≥-32X P (C )A .91 ?B . 31 C . 94 ?D 21 25、已知随机变量X ~N(0,1),则随机变量Y=2X-1的方差为(D ) A . 1 ?B .2 C .3 ?D4 二、填空(每小题2分) 1、设X~)21,4(B ,则)(2X E =5 2、设E (X )=2,E (Y )=3,E (XY )=7,则cov (X ,Y )=1 3、已知随机变量X 满足1)(-=X E ,2)(2=X E ,则)(X D =1 4、设随机变量X ,Y 的分布列分别为 且X ,Y 相互独立,则E (XY )=2413-5、随机变量X 的所有可能取值为0和x ,且3.0}0{==X P ,1)(=X E ,则x =710 6、设随机变量X 的分布律为4.03.02.01.02101iP X -,则)(X D =17、设随机变量X 服从参数为3的指数分布,则)12(+X D =94 8、设二维随机变量);,;,(~),(222121ρσσμμN Y X ,且X 与Y 相互独立,则ρ=09、设随机变量序列ΛΛ,,,,21n X X X 独立同分布,且μ=)(i X E ,0)(2>=σi X D ,Λ,2,1=i ,则对任意实数x ,⎪⎪⎭⎪⎪⎬⎫⎪⎪⎩⎪⎪⎨⎧>-∑=∞→x n n X P n i i n σμ1lim =)(1x Φ-10、设随机变量X 具有分布51}{==k XP ,5,4,3,2,1=k ,则)(X E =3 11、设随机变量X 在区间(0,1)上服从均匀分布,Y=3X -2, 则E?(?Y?)=-0.5 12、已知随机变量X 的分布律为2.03.05.0501iP X -,则)}({X E X P <=0.813、已知E (X )= -1?,D (X )=3,则)23(2-X E =1014、设1X ,2X ,Y 均为随机变量,已知1),cov(1-=Y X ,3),cov(2=Y X ,则),2cov(21Y X X +=515、设)1,0(~N X ,)21,16(~B Y,且X ,Y 相互独立,则)2(Y X D +=816、将一枚均匀硬币连掷100次,则利用中心极限定理可知,正面出现的次数大于60的概率近似为0.0228 (附:Φ(2)=0.9772)17、设随机变量X?~?B (100,0.2),应用中心极限定理计算P{16?X ?24}=0.6826 附:Φ(1)=0.841318、设随机变量X ,Y 的期望和方差分别为E(X)=0.5,E(Y)=-0.5,D(X)=D(Y)=0.75,E(XY)=0,则X ,Y 的相关系数XY ρ=31 19、设随机变量X 的期望E?(X?)=2,方差D?(X?)=4,随机变量Y 的期望E?(Y)=4, D?(Y?)=9, 又E?(XY?)=10,则X ,Y 的相关系数XY ρ=31 20、设随机变量X 服从二项分布)31,3(B ,则)(2X E =35 三、计算:每小题5分1、某柜台做顾客调查,设每小时到达柜台的顾客数X 服从泊松分布,则)(~λP X ,若已知}2{}1{===X P X P ,且该柜台销售情况Y (千元),满足2212+=X Y 。
MPA公共管理硕士综合知识数学概率论(随机变量的数字特征)-试卷1(总分:56.00,做题时间:90分钟)一、数学部分(总题数:31,分数:56.00)1.选择题__________________________________________________________________________________________2.设连续型随机变量X的密度函数为p(x),则当( )时,∫-∞+∞ p(x)dx称其为随机变量X的数学期望.A.∫-∞+∞ xp(x)dx收敛B.p(x)为有界函数D.∫-∞+∞ xp(x)dx,绝对收敛√根据数学期望的定义求得.3.X为正态分布的随机变量,概率密度( ).A.2E(X 2 )一1=1B.2{D(X)+[E(X)] 2 }=6C.4E(X 2 )=4D.2[D(X)+1]一1=9 √根据正态分布的特点,有X~N(-1,4). 2[D(X)+1]一1=2×4+2—1=9.4.设离散型随机变量X仅取两个可能值:x 1和x 2,X取值x 1的概率为0.6,又知E(X)=1.4,D(X)=0.24,则X的分布律为( ).A.B. √C.D.因为随机变量X的全部值的概率之和等于1,所以X取x 2的概率为1--0.6=0.4.于是由题设E(X)=1.4,D(X)=0.24,则 E(X 2 )=D(X)+[E(X)] 2 =0.24+(1.4) 2 =2.2,由期望的定义有5.两个随机变量X和Y,若E(XY)=E(X).E(Y),则( ).A.D(XY)=D(X).D(Y)B.D(X+Y)=D(X)+D(Y) √C.X和Y独立D.X和Y不独立X与Y独立,X与Y互不相关,反之不真.E(XY)=E(X).E(Y)X与Y.6.一辆长途汽车送20名乘客到10个站,假设每一位乘客都等可能地在任一站下车,并且他们下车与否相互独立.长途汽车只有当有人要下车时才停车,则该长途汽车停车次数X的数学期望等于( ).A.1-0.9 20B.0.9 20C.1-0.1 20D.10×(1-0.9 20 ) √用A k表示“第k位乘客在第i站下车”,则因A 1,A 2,…,A 20相互独立,所以第i站无人下车(因此不需要停车)的概率为而 E(X i )=1-0.9 20,因此 E(X)=10×(1-0.9 20 ).7.设X的密度函数为一∞<x<+∞),则X的数学期望μ和标准差σ分别为( ).A.μ=2,σ=2B.μ=-2,σ=2√这是期望μ=一2,方差σ2 =2的正态分布的密度函数,所以有μ=一2,8.若随机变量X服从泊松分布,随机变量Y~B(3,0.6),并且P(X=0)=P(Y=1),则e -E(X)等于( ).A.0.255B.0.432C.0.096D.0.288 √1×0.6×0.4 2 =0.288.由P(X=0)=P(Y一1),得到e -E(X) =0.288.39.设一工人每月的收入服从指数分布,月平均收入500元.按规定月收入超过800元应缴个人所得税,设此工人在一年内各月的收入相互独立,又设此工人每年有X个月需缴个人所得税,则他平均每年需缴个人所得税的月份数为( ).A.e -1.6B.12e -1.6√C.e -400000D.12e -400000此工人月收入的概率密度函数为所以此工人需缴税的概率立的,故X~B(12,e -1.6 ),E(X)=12e -1.6.10.设随机变量X的密度函数为f(x)=则使P(X>a)=P(X<a)成立的常数a为( )A. √B.C.D.常数a必定满足0<a<1.因此 P(X>a)=∫a1 4x 3 dx=x 4 | a1 =1一a 4, P(X<a)=∫0a 4x 3 dx=a 4.由 1一a 4 =a 4,11.填空题__________________________________________________________________________________________ 12.随机变量X在[a,b]上服从均匀分布,已知X—E(X)=D(X).X,则a= 1。
考研数学一(随机变量的数字特征)模拟试卷2(题后含答案及解析) 题型有:1. 选择题 2. 填空题 3. 解答题选择题下列每题给出的四个选项中,只有一个选项符合题目要求。
1.设二维随机变量(X,Y)满足E(XY)=EXEY,则X与YA.相关.B.不相关.C.独立.D.不独立.正确答案:B解析:因E(XY)=EXEY,故Cov(X,Y)=E(XY)一EXEY=0,X与Y不相关,应选(B).知识模块:随机变量的数字特征2.将一枚硬币重复掷n次,以X和Y分别表示正面向上和反面向上的次数,则X和Y的相关系数等于A.一1.B.0.C.D.1正确答案:A解析:依题意,Y=n—X,故ρXY=-1.应选(A).一般来说,两个随机变量X与Y的相关系数ρXY满足|ρXY|≤1.若Y=aX+b,则当a>0时,ρXY=1,当a<0时,ρXY=-1.知识模块:随机变量的数字特征3.对于任意二随机变量X和Y,与命题“X和Y不相关”不等价的是A.EXY=EXEY.B.Cov(X,Y)=0.C.DXY=DXDY.D.D(X+Y)=DX+DY.正确答案:C解析:由于Cov(X,Y)=EXY—EXEY=0是“X和Y不相关”的充分必要条件,可见(A)与(B)等价.由D(X+Y)=DX+DY的充分必要条件是Coy(X,Y)=0,可见(B)与(D)等价.于是,“X和Y不相关”与(A),(B)和(D)等价.故应选(C).选项(C)不成立是明显的,为说明选项(C)不成立,只需举一反例.设X和Y同服从参数为p(0<p<1)的0-1分布且相互独立,从而X与Y不相关.易见DX=DY=p(1一p);乘积XY服从参数为p2的0-1分布:P{XY=1}=P{X=1,Y=1}=p2,p{ XY=0}=1一p2.因此DXY=P2(1一P2)≠P2(1一p)2=DXDY.知识模块:随机变量的数字特征4.假设随机变量x在区间[一1,1]上均匀分布,则U=arcsinX和V=arccosX 的相关系数等于A.一1.B.0.C.0.5.D.1正确答案:A解析:注意到U=arcsinX和V=arccosX满足下列关系:arcsinX=-arccosX,即U=-V+,由于U是V的线性函数,且其增减变化趋势恰恰相反,所以其相关系数ρ=-1.应选(A).知识模块:随机变量的数字特征5.设随机变量X1,X2,…,Xn(n>1)独立同分布,且方差σ2>0,记的相关系数为A.一1.B.0.C..D.1正确答案:B解析:由于Xi独立同分布,故DXi=σ2,D,Cov(X1,Xi)=0(i≠1),故应选(B).(注:容易计算D(X1一σ2.) 知识模块:随机变量的数字特征填空题6.两名射手各向自己的靶独立射击,直到有一次命中时该射手才(立即)停止射击.如果第i名射手每次命中概率为Pi(0<Pi<1,i=1,2),则两射手均停止射击时脱靶(未命中)总数的数学期望为___________.正确答案:解析:每位射手的射击只有两个基本结果:中与不中,因此两射手的每次射击都是一个伯努利试验.每位射手直到他有一次命中时方停止射击,因此此时的射击次数应服从几何分布;此时的射击次数一1=未击中的次数.以Xi表示第i 名射手首次命中时的脱靶数,则此时他的射击次数Xi+1服从参数为pi的几何分布,因此P{Xi=k}=(1一Pi)kPi,i=1,2,且E(Xi+1)=,i=1,2,于是EXi=E(Xi+1)-1=-1,两射手脱靶总数X=X1+X2的期望为EX=EX1+EX2=一2.知识模块:随机变量的数字特征7.将长度为£的棒随机折成两段,则较短段的数学期望为___________.正确答案:解析:设X为折点到左端点的距离,Y为较短段的长,则X~U(0,L),且知识模块:随机变量的数字特征8.设随机变量X和Y的相关系数为0.9,若Z=2X—1,则Y与Z的相关系数为___________.正确答案:0.9解析:Cov(Y,Z)=Cov(Y,2X一1)=2Cov(X,Y),DZ=D(2X一1)=4DX.Y 与Z的相关系数ρYZ为知识模块:随机变量的数字特征9.设随机变量X和Y的相关系数为0.5,EX=EY=0,EX2=EY2=2,则E(X+Y)2=___________.正确答案:6解析:DX=EX2一(EX)2=2,DY=2,Cov(X,y)=ρXY=1,E(X+Y)=EX+EY=0,E(X+Y)2=D(X+Y)+[E(X+Y)]2=D(X+Y)=DX+2Cov(X,Y)+DY=2+2+2=6.知识模块:随机变量的数字特征解答题解答应写出文字说明、证明过程或演算步骤。
概率论与数理统计第四章测试题第4章随机变量的数字特征⼀、选择题1.设两个相互独⽴的随机变量X 和Y 的⽅差分别为4和2,则随机变量3X-2Y 的⽅差是 (A) 8 (B) 16 (C) 28 (D) 442.若随机变量X 和Y 的协⽅差(),0Cov X Y =,则以下结论正确的是()(A) X 与Y 相互独⽴ (B) D(X+Y)=DX+DY(C) D(X-Y)=DX-DY (D) D(XY)=DXDY 3.设随机变量X 和Y 相互独⽴,且()()22 1122,,,XN Y N µσµσ,则2Z X Y =+()(A) ()221212,2N µµσσ++ (B) ()221212,N µµσσ++ (C) ()2212122,4N µµσσ++ (D) ()2212122,4N µµσσ--4.设⼆维随机变量(X,Y)服从⼆维正态分布,则随机变量ξ=X+Y 与η=X-Y 不相关的充要条件为(A) EX=EY (B) E(X 2)- (EX)2= E(Y 2)- (EY)2(C) E(X 2)= E(Y 2) (D) E(X 2)+(EX)2= E(Y 2)+ (EY)25.设X 、Y 是两个相互独⽴的随机变量且都服从于()0,1N ,则()max ,Z X Y =的数学期望()E Z =() (A)(B) 0 (C) (D) 6.设X 、Y 是相互独⽴且在()0,θ上服从于均匀分布的随机变量,则()min ,E X Y =()(A)2θ (B) θ (C) 3θ (D) 4θ7.设随机变量X 和Y 的⽅差存在且不等于0,则D(X+Y)=DX+DY 是X 和Y () (A) 不相关的充分条件,但不是必要条件 (B)独⽴的充分条件,但不是必要条件 (C) 不相关的充分必要条件 (D) 独⽴的充分必要条件 8.若离散型随机变量X 的分布列为(){ }()1121,2,2nnn P X n =-?==,则()E X =() (A) 2 (B) 0 (C) ln2 (D) 不存在9.将⼀枚硬币重复掷n 次,以X 和Y 分别表⽰正⾯向上和反⾯向上的次数,则X 和Y 的相关系数等于(A )-1 (B )0 (C )21 (D )110.设随机变量X 和Y 独⽴同分布,具有⽅差2σ>0,则随机变量U=X+Y 和V=X-Y (A )独⽴ (B) 不独⽴(C )相关 (D) 不相关11.随机变量X 的⽅差存在,且E(X)=µ,则对于任意常数C ,必有。
高二数学离散型随机变量的数字特征1.随机变量X 的分布列为 则X 的均值为( ) A.2 B.2.1C. 2.3D.随m 的变化而变化 答案:B2.已知离散型随机变量X 的概率分布列为 则其方差D (X )= A .1 B .0.6C .2.44D .2.4【答案】C【详解】解:∵分布列中出现的所有的概率之和等于1, ∴0.5+m +0.2=1解得m =0.3所以E (x )=1×0.5+3×0.3+5×0.2=2.4, 所以222D(x)(1 2.4)0.5(3 2.4)0.3(5 2.4)0.2 2.44=-⨯+-⨯+-⨯=. 故选:C .3.已知随机变量,X Y 满足Y aX b =+,且,a b 为正数,若()2,()8D X D Y ==,则( )A .2b =B .4a =C .2a =D .4b =【答案】C【分析】根据题中条件,由方差的性质列出方程求解,即可得出结果. 【详解】由方差的性质可得,2()()()D Y D X b X a a D +==, 因为()2,()8D X D Y ==,所以282a =, 又a 为正数,所以2a =. 故选:C.A .6B .9C .3D .47.袋中有10个大小相同得小球,其中记为0号的有4个,记为n 号的有n 个(321,,=n ),现从袋中任取一球,X 表示所取到的球的标号,则)(X E 等于( ) A. 2 B.23 C. 54 D. 57答案:D解析:X 所有可能的取值是:0,1,2,352)0(==X P ,101)1(==X P ,51)2(==X P ,103)3(==X P 5710335121011520)(=⨯+⨯+⨯+⨯=∴X E8.已知随机变量X 的分布列如表所示,且.(1)求的值;(2)若,求的值; (3)若,求的值.【解题思路】(1)利用离散型随机变量的分布列的性质以及期望和方差的计算公式即可求解; (2)利用方差的性质求解即可; (3)利用方差的性质求解即可. 【解答过程】(1)由题意可知,解得,又∵,解得.∴. (2)∵, ∴. (3)∵,∴. 9.在课外体育活动中,甲、乙两名同学进行投篮游戏,每人投3次,每投进一次得2分,否则得0分.已知甲每次投进的概率为,且每次投篮相互独立;乙第一次投篮,投进的概率为,从第二次投篮开始,若前一次投进,则该次投进的概率为,若前一次没有投进,则该次投进的概率为.X 0 1 x Pp(1)求甲3次投篮得4分的概率;(2)若乙3次投篮得分为,求的分布列和数学期望.【解题思路】(1)甲3次投篮得4分即2次中1次不中,根据每次中的概率即可求解;(2)由题意得,的所有可能取值为依次求出每种取值的概率,然后写出分布列,求出期望.【解答过程】(1)由题意得,甲3次投篮得4分即2次中1次不中,其概率.(2)由题意得,的所有可能取值为则,,,的分布列为0 2 4 6.。
考研数学一-概率论与数理统计随机变量的数字特征(一)(总分:88.01,做题时间:90分钟)一、选择题(总题数:28,分数:28.00)1.设随机变量X的二阶矩存在,则(A) EX2<EX. (B) EX2≥EX.(C) EX2<(EX)2. (D) EX2≥(EX)2.(分数:1.00)A.B.C.D. √解析:[解析] 由DX=EX2-(EX)2≥0,即知正确选项为(D).选项(A)、(B)对某些随机变量可能成立,对某些随机变量可能不成立.例如X服从参数为λ的泊松分布,则EX=DX=λ,EX2=DX+(EX)2=λ+λ2>λ=EX,选项(B)成立;如果X在(0,1)上服从均匀分布,则,,选项(A)成立.2.设X是随机变量,EX=μ,DX=σ2(σ>0),则对任意常数C,有(A) E(X-C)2=EX2-C2. (B) E(X-C)2=E(X-μ)2.(C) E(X-C)2<E(X-μ)2. (D) E(X-C)2≥E(X-μ)2.(分数:1.00)A.B.C.D. √解析:[解析]E(X-C)2≥E(X-μ)2,故选(D).当然我们也可以通过计算来证明:E(X-X)2=E[(X-μ)+(μ-C)]2=E[(X-μ)2+2(μ-C)(X-μ)+(μ-C)2]=E(X-μ)2+2(μ-C)(EX-μ)+(μ-C)2=E(X-μ)2+(μ-C)2≥E(X-μ)2.3.设随机变量X的期望、方差都存在,则对任意常数C,有(A) E(X-C)2<DX+E2(X-C). (B) E(X-C2)2>DX+E2(X-C).(C) E(X-C)2=DX+E2(X-C). (D) E(X-C)2=DX-E2(X-C).(分数:1.00)A.B.C. √D.解析:[解析] 由于DX=D(X-X)=E(X-C)2-E2(X-C),所以E(X-C)2=DX+E2(X-C),故选(C).4.设X为离散型随机变量,且p i=PX=a i(i=1,2,…),则X的期望EX存在的充分条件是(A) . (B)(C) (D)(分数:1.00)A.B.C.D. √解析:[解析] 由级数收敛的必要条件知,选项(A)或(B)不能选,否则(C)或(D)也成立.又收敛不能保证收敛(即EX存在),因此选项(C)不能选.所以应该选(D).下面我们证明:如果收敛,则收敛.事实上,由于,故已知,所以收敛,EX存在.5.假设X是连续型随机变量,其分布函数为F(x),如果X的期望EX存在,则当x→+∞时,1-F(x)的(A) 低阶无穷小. (B) 高阶无穷小.(C) 同阶但不等价无穷小. (D) 等价无穷小.(分数:1.00)A.B. √C.D.解析:[解析] 由题设,我们只能通过计算来确定正确选项.设X的密度函数为f(x),则EX存在,所以即1-F(x)的高阶无穷小(当x→+∞),故应选(B).6.假设X服从二项分布B(n,p),已知EX=2.4,DX=1.44,则n,p值分别为(A) 4;0.6. (B) 6;0.4. (C) 8;0.3. (D) 12;0.2.(分数:1.00)A.B. √C.D.解析:[解析] 由于X~B(n,p),所以p=0.4.故应选(B).求得n,p,从而确定正确选项.7.已知随机变量X的分布中含有若干个未知参数,如果仅对唯一的参数值才有EX=DX,则X必服从(A) 参数为(μ,σ2)的正态分布. (B) 参数为λ的指数分布.(C) 参数为λ的泊松分布. (D) 参数为a,b的[a,b]区间上的均匀分布.(分数:1.00)A.B. √C.D.解析:[解析] 直接由EX=DX来确定正确选项.如果X~N(μ,σ2),则EX=DXμ=σ2.参数(μ,σ2)不唯一.X~E(λ),则.参数λ唯一.X~P(λ),则EX=DXλ=λ.参数λ不唯一.X~U[a,b].参数a、b不唯一.因此正确选项是(B).8.将一枚硬币重复掷n次,以X和Y分别表示正面向上和反而向上的次数,则X和Y的相关系数等于(A) -1.(B) 0.(D) 1.(分数:1.00)A. √B.C.D.解析:[解析] 由题设知X+Y=n,Y=-X+n,故选择(A).事实上,X与Y的相关系数,cov(X,Y)=cov(X,-X+n)=-cov(X,X)=-DX,DY=D(-X+n)=DX,.所以选(A).9.设随机事件A与B互不相容,0<P(A) <1,0<P(B) <1,记X与Y的相关系数为ρ,则(A) ρ=0. (B) ρ=1. (C) ρ<0. (D) ρ>0.(分数:1.00)A.B.C. √D.解析:[解析] 选项(B)不能选,否则(D)必成立.因此我们的问题转化为确定X、Y相关系数ρ的符号,而它仅取决于cov(X,Y)=EXY-EXEY,由题设知AB=,因此所以 cov(X,Y)=-P(A)P(B)<0,ρ<0,故应选(C).10.设随机变量X与Y不相关且DX=DY≠0,则随机变量X与X+Y的相关系数ρ等于(A) -1. (B) 0.. (D) 1.(分数:1.00)A.B.C. √D.解析:[解析] 由题设cov(X,Y)=0,DX=DY,所以故应选(C).11.已知随机变量X与Y的相关系数为ρ,随机变量ξ=aX+b,η=cY+d(abcd≠0),则ξ与η的相关系数为(A) 0. (B) -p.(C) 当ac>0时为ρ. (D) 当bd>0时为ρ.(分数:1.00)A.B.C. √D.解析:[解析] 已知,所以ξ与η的相关系数为故应选(C).12.设随机变量X与Y的方差相等且不为零,则ξ=X+Y与η=X-Y相关系数为(A) -1. (B) 0.. (D) 1.(分数:1.00)A.B. √C.D.解析:[解析] 已知DX=DY≠0,所以cov(ξ,η)=cov(X+Y,X-Y)=cov(X,Y)-cov(X,Y)+cov(Y,X)-cov(Y,Y)=DX-DY=0,即X与Y相关系数为0,故应选(B).13.假设随机变量X,Y,Z两两不相关,方差相等且不为零,则X+Y与Y+Z的相关系数为(A) -1. (B) 0.. (D) 1.(分数:1.00)A.B.C. √D.解析:[解析] 已知cov(X,Y)=cov(X,Z)=cov(Y,Z)=0,DX=DY=DZ≠0,所以X+Y与Y+Z的相关系数为故应选(C).14.已知二维随机变量(X,Y)的联合密度为f(x,y)且满足条件f(x,y)=f(-x,y) 或 f(x,y)=-f(x,-y),则X与Y相关系数为(A) -1. (B) 0.. (D) 1.(分数:1.00)A.B. √C.D.解析:[解析] 依题意f(x,y)对每个变元都是偶函数,因此x(x,y)或yf(x,y)为奇函数,所以EXY=EXEY=0X与Y XY=0,故应选(B).15.设X,Y为随机变量,现有6个等式①E(X+Y)=EX+EY;②D(X+Y)=DX+DY;③D(X-Y)=DX+DY;④EXY=EX·EY;⑤D(XY)=DX·DY;⑥)cov(X,Y)=0.则上面与“X和Y不相关”等价的等式共有(A) 0个. (B) 2个. (C) 4个. (D) 6个.(分数:1.00)A.B.C. √D.解析:[解析] ①对任意随机变量都成立,②、③、④、⑥是X与Y不相关的充要条件,因此选(X).而⑤式DXY=E(XY)2-(EXY)2=DXDY并不能断言X与Y的相关性.16.假设随机变量X与Y的二阶矩都存在,则随机变量ξ=X+Y与η=X-Y不相关的充分必要条件是(A) EX=EY. (B) EX2=EY2.(C) EX2-E2X=EY2-E2Y. (D) EX2+E2X=EY2+E2Y.(分数:1.00)A.B.C. √D.解析:[解析] ξ与η不相关cov(ξ,η)=0cov(X+Y,X-Y)=DX-DY=0DX=DYEX2-E2X=EY2-E2Y,选择(C).17.已知(X,Y)服从二维正态分布,且EX=μ1,X与Y相关系数为ρ,则X+bY与X-bY,相互独立的充分必要条件是参数b(A) 可以取任意实数. (B) 等于p.(C) 等于σ1/σ2. (D) 等于μ1/μ2.(分数:1.00)__________________________________________________________________________________________ 解析:18.已知(X,Y)服从二维正态分布,且EX=μ1,EY=μ2,DX=DY=σ2,ξ=aX+bY,η=aX-bY(ab≠0),则ξ与η独立的充要条件是(A) a、b为任意实数. (B) a=b-1.(C) a2=62. (D) a=b+1.(分数:1.00)A.B.C. √D.解析:[解析] 由于对任意常数c,d(c、d不全为0),有cξ+dη=c(aX+bY)+d(aX-bY)=a(c+d)X+b(c-d)Y服从一维正态分布,所以(ξ,η)服从二维正态分布.因此ξ与η独立ξ与η不相关cov(ξ,η)=0cov(aX+bY,aX-bY)=a2cov(X,X)+abcov(Y,X)-abcov(X,Y)-b2cov(Y,Y)=a2DX-b2DY=σ2(a2-b2)=0a2=b2.故应选(C).19.设X与Y都是服从正态分布的随机变量,则X与Y不相关是X与Y独立的(A) 充分必要条件. (B) 充分非必要条件.(C) 必要非充分条件. (D) 非必要非充分条件.(分数:1.00)A.B.C. √D.解析:[解析] X与Y都服从正态分布并不意味着(X,Y)服从二维正态分布,因此X与Y不相关仅仅是独立的必要条件而不充分,所以选(C).20.假设(X,Y)服从二维正态分布,且EX=μ1,EY=μ2,DX=DY=σ2,X与Y不相关,则下列四对随机变量中相互独立的是(A) X与X+Y. (B) X与X-Y.(C) X+Y与X-Y. (D) 2X+Y与X-Y.(分数:1.00)A.B.C. √D.解析:[解析] 由题设知各选项中的二个随机变量其联合分布都是二维正态分布,因此它们相互独立等价于不相关.又cov(X,Y)=0,DX=DY=σ2,所以 cov(X,X±Y)=DX=σ2≠0,cov(X+Y,X-Y)=DX-DY=0,cov(2X+Y,X-Y)=2DX-DY=σ≠0.故应选(C).21.已知随机变量X在[-1,1]上服从均匀分布,Y=X3,则X与Y(A) 不相关且相互独立. (B) 不相关且相互不独立.(C) 相关且相互独立. (D) 相关且相互不独立.(分数:1.00)A.B.C.D. √解析:[解析] 由于Y=X3,因此Y与X不独立,但又有某种线性相依的关系,即Y与X相关,所以选择(D).事实上,已知EXY≠EX·EY,因此X与Y相关.下面证明Y=X3与X不独立.X与Y=X3相互独立,y∈R有P{X≤x,Y≤y}=P{X≤x}P{Y≤y},即P{X≤x,X3≤y}=P{X≤x}P{X3≤y}.取,则,故而所以故X与Y=X3不独立.22.假设随机变量X与Y相互独立且有非零的方差,则(A) 3X+1与4Y-2相关. (B) X+Y与X-Y不相关.(C) X+Y与2Y+1相互独立. (D) e X与2Y+1相互独立.(分数:1.00)A.B.C.D. √解析:[解析] 由于X与Y相互独立,由独立性质知e X与2Y+1相互独立,所以选(D).下面我们对各选项逐一加以验证.由于X与Y相互独立,所以cov(X,Y)=0.(A):cov(3X+1,4Y-2)=12cov(X,Y)=0,3X+1与4Y-2不相关,选项(A)不成立.(B):cov(X+Y,X-Y)=cov(X,X)-cov(X,Y)+cov(Y,X)-cov(Y,Y)选项(B)不成立.(C):cov(X+Y,2Y+1)=2cov(X,Y)+2cov(Y,Y)=2DY≠0,X+Y与2Y+1相关,因而不独立,选项(C)不成立.(D):x,y∈R,如果x>0,则=P{e X≤x}P{2Y+1≤y}.如果x≤0,则P{e X≤x}=0.P{e X≤x,2Y+1≤y}=0=P{e X≤x}P{2Y+1≤y},所以e X与2Y+1相互独立,选项(D)成立.23.设X,Y为随机变量,其期望与方差都存在,则下列与PX=Y=1不等价的是,有P|X-Y|≥ε=0.(B) EX=EY,DX=DY.(C) EX=EY,D(Y-X)=0.(D) EX=EY,EX2=EY2,X与Y的相关系数为1.(分数:1.00)A.B. √C.D.解析:[解析] 从四个选项中我们可以看到选项(B)是EX=EY,DX=DY,而这并不意味着X与Y以概率1相等即P{x=Y}=1,所以选(B).下面我们证明其他三个选项都与P{X=Y}=1等价.(A):P{X=Y}=1P{X≠Y}=0.,有{|X-Y|≥ε}{X≠Y}P{|X-Y|≥ε}=0.反之,如果,P{|X-Y|≥ε}=0,则由.选项(A)成立.(C):EX=EY,D(Y-X)=0E(Y-X)=0,D(Y-X)=0P{Y-X=E(Y-X)}=1即P{Y-X=0}=P{Y=X}=1.选项(C)成立.(D):EX=EY,EX2=EY2,X与Y相关系数ρXY=1,EX=EY,EX2=EY2,P{y=aX+b}=1,其中,b=EY-aEX=0.从而{Y=X}=1.反之若ρXY=1,且,EX2=EY2,ρXY=1,所以(D)成立.24.设随机变量X1和X2不相关,且DX1=DX2=σ2≠0,令X=X1+aX2,Y=X1+bX2(ab≠0),如果X与Y不相关,则(A) a与b可以是任意实数. (B) a=b.(C) ab=-1. (D) ab=1.(分数:1.00)A.B.C. √D.解析:[解析] 已知cov(X1,X2)=0且DX1=DX2=σ2≠0,所以X与Y不相关cov(X,Y)=0cov(X1+aX2,Xl+bX2)=DX1+abDX2=σ2(1+ab)=0ab=-1,选(C).25.设X是连续型随机变量且方差存在,则对任意常数C和ε>0,必有(A)(B)(C)(分数:1.00)A.B.C. √D.解析:[解析] 各个选项左式全为P{|X-C|≥ε},因此希望通过计算选出正确选项.设X的密度函数为f(x),则故应选(C).26.设随机变量X的方差DX存在,并且有则一定有(A) DX=2.(B) DX≠2.(C) (D)(分数:1.00)A.B.C.D. √解析:[解析] 由题设P{|X-EX|≥3}≤,可得故应选(D).27.设事件A在每次试验中发生的概率都是p,将此试验独立重复进行n次.X表示n次试验中A发生的次数,Y表示n次试验中A发生的次数,则下面结论不成立的是(A) D(X+Y)=0.(B) D(X-Y)=0.(C) PX=k=PY=n-k(k=0,1,…,n).(D) X~B(n,p),Y~B(n,1-p).(分数:1.00)A.B. √C.D.解析:[解析] 依题意X~B(n,p),Y~B(n,1-p),X+Y=n,所以选项(A)、(C)、(D)都成立,不成立的是(B).事实上,Y=-X+n,又DX=np(1-p),DY=n(1-p)p,所以 D(X-Y)=DX+DY-2cov(X,Y)=2np(1-p)+2np(1-p)=4np(1-p).28.已知试验E1为:每次试验事件A发生的概率都是p(0<p<1),将此试验独立重复进行n次,以X1表示在这n次试验中A发生的次数;试验E2为:第i次试验事件A发生的概率为p i(0<p i<1,i=1,2,…),将此试验独立进行n次,以X2表示在这n次试验中A,则(A) EX1<EX2. (B) EX1=EX2.(C) EX1>EX2. (D) 以上结论都不对.(分数:1.00)A.B. √C.D.解析:[解析] 依题意X1~B(n,p),.对试验E2而言,如果记故应选(B).二、填空题(总题数:17,分数:20.00)29.设随机变量X1,X2,X3相互独立,其中X1服从区间[0,6]上的均匀分布,X2服从正态分布N(0,22),X3服从参数为3的泊松分布,则D(X1-2X2+3X3)=______.(分数:1.00)填空项1:__________________ (正确答案:46)解析:[解析]D(X1-2X2+3X3)=DX1+4DX2+9DX3=3+4×4+9×3=46.30.设随机变量X和Y独立同服从正态分 N(0,1/2),则D|X-Y|=______.(分数:1.00)填空项1:__________________解析:[解析] 易见,E(X-Y)=0,D(X-Y)=1,故U=X-Y~N(0,1).因此E|U|2=EU2=DU+(EU)2=1.31.设X服从参数为2的指数分布,则E(X+e-X)=______.(分数:1.00)填空项1:__________________解析:[解析] 由指数分布的数学期望知EX=1/2,又于是32.设随机变量X和Y的联合概率分布为则X2和Y2的协方差cov(X2,Y2)=______.(分数:1.00)填空项1:__________________ (正确答案:-0.02)解析:[解析] 由题设可知,EX2=0.60,EY2=0.50,EX2EY2=0.30,又EX2Y2=P{X=1,Y=-1}+P{X=1,Y=1}=0.28,于是 cov(X2,Y2)=EX2Y2-EX2EY2=-0.02.33.以X表示接连10次独立重复射击命中目标的次数,已知每次射击命中目标的概率为0.4,则EX2= 1.(分数:1.00)填空项1:__________________ (正确答案:18.4)解析:[解析] 由题设知,10次独立重复射击命中目标的次数X服从参数为(10,0.4)的二项分布.因此,EX=4,DX=2.4.于是EX2=DX+(EX)2=18.4.34.设对某一种商品的需求量X(件)是一随机变量,其概率分布为则期望需求量为______.(分数:1.00)填空项1:__________________解析:[解析] 由数学期望的定义,可知期望需求量为35.假设无线电测距仪无系统误差,其测量的随机误差服从正态分布.已知随机测量的绝对误差以概率0.95不大于20米,则随机测量误差的标准差σ=______.(分数:1.00)填空项1:__________________ (正确答案:10.20)解析:[解析] 由题设条件“无系统误差”知,测量误差X服从正态分布N(0,σ2),所以由可知36.100次独立重复试验成功次数的标准差的最大值等于 1.(分数:1.00)填空项1:__________________ (正确答案:5)解析:[解析] 设每次试验成功的概率为p,则100次独立重复试验成功的次数X服从参数为(100,p)的二项分布,故DX=100p(1-p).易见,当p=0.5时,p(1-p)取最大值.这时DX=100pq=100×0.25=25,因此,标准差的最大值等于5。
第四章、随机变量的数字特征检测题一、单项选择题,在每小题列出的四个备选项中只有一个是符合题目要求的,请将其代码填写在表格中。
错选、多选或未选均无分。
1.设离散随机变量X 的分布列为,则D (X )=( )A.0.21B.0.6C.0.84D.1.22.设随机变量X ~B (30,61),则E (X )=( ) A.61B. 65C. 625 D.53.已知随机变量X 和Y 相互独立,且它们分别在区间[-1,3]和[2,4]上服从均匀分布,则E(XY)=( ) A. 3B. 6C. 10D. 124.设二维随机向量(X,Y )~N(μ1,μ2,ρσσ,,2221),则下列结论中错误..的是( ) A.X~N (21,1σμ),Y~N (222,σμ)B.X 与Y 相互独立的充分必要条件是ρ=0C.E (X+Y )=21μ+μD.D (X+Y )=2221σ+σ5.设随机变量X ,Y 都服从区间[0,1]上的均匀分布,则E (X+Y )=( ) A.61B.21 C.1D.26.设X 为随机变量,其方差存在,c 为任意非零常数,则下列等式中正确的是( )A.D(X+c)=D(X)B.D(X+c)=D(X)+cC.D(X-c)=D(X)-cD.D(cX)=cD(X)7.设E (X )=E (Y )=2,Cov(X,Y)=,61-则E (XY )=( ) A.61-B.623C.4D.625 8.设随机变量X ~U(0,2),又设Y=e -2X ,则E(Y)=( ). A. 21(1-e -4) B.41(1-e -4) C.41D. -41e -4 9.设(X ,Y )为二维连续随机向量,则X 与Y 不相关...的充分必要条件是( ) A .X 与Y 相互独立B .E (X +Y )=E (X )+E (Y )C .E (XY )=E (X )E (Y )D .(X ,Y )~N (μ1,μ2,21σ,22σ,0)10.设二维随机向量(X ,Y )~N (1,1,4,9,21),则Cov (X ,Y )=( ) A .21 B .3 C .18D .3611.已知二维随机向量(X ,Y )的联合分布列为( )则E (X )= A .0.6 B .0.9 C .1D .1.612.设随机变量X 与Y 相互独立,且它们分别在区间[-1,3]和[2,4]上服从均匀分布,则E (XY )=( )A.1B.2C.3D.413.设随机变量X 服从参数为2的泊松分布,则下列结论中正确的是( ) A.E (X )=0.5,D (X )=0.5 B.E (X )=0.5,D (X )=0.25 C.E (X )=2,D (X )=4D.E (X )=2,D (X )=214.设随机变量X 与Y 相互独立,且X ~N (1,4),Y ~N (0,1),令Z=X -Y ,则E (Z 2)=( )A.1B.4C.5D.615.已知D (X )=4,D (Y )=25,Cov (X ,Y )=4,则ρXY =()A.0.004B.0.04C.0.4D.416.设随机变量X~N (1,22),Y~N (1,2),已知X 与Y 相互独立,则3X-2Y 的方差为( ) A .8 B .16 C .28D .44二、填空题,不写解答过程,将正确的答案写在每小题的空格内。
第四章 随机变量的数字特征试题答案一、选择(每小题2分)1、设随机变量X 服从参数为2的泊松分布,则下列结论中正确的是(D ) A. E (X )=,D (X )=? B. E (X )=,D (X )=C. E (X )=2,D (X )=4?D. E (X )=2,D (X )=2 2、设随机变量X 与Y 相互独立,且X~N (1,4),Y~N (0,1),令Y X Z -=,则D (Z )=? (??C?)A. 1 ?B. 3C. 5?D. 6? 3、已知D (X )=4,D (Y )=25,cov (X ,Y )=4,则XY ρ =(C ) A. 0.004? B. ? C. ? D. 44、设X ,Y 是任意随机变量,C 为常数,则下列各式中正确的是(?D ) A . D (X+Y )=D (X )+D (Y ) ?B . D (X+C )=D (X )+C C . D (X-Y )=D (X )-D (Y ) ?D . D (X-C )=D (X )5、设随机变量X 的分布函数为⎪⎪⎩⎪⎪⎨⎧≥<≤-<=4,142,122,0)(x x x x x F ,则E(X)=(D )A .31 ?B . 21 C .23?D . 3 6、设随机变量X 与Y 相互独立,且)61,36(~B X ,)31,12(~B Y ,则)1(+-Y X D =(C )A . 34 ?B . 37C . 323 ?D . 3267、设随机变量X 服从参数为3的泊松分布,)31,8(~B Y ,X 与Y 相互独立,则)43(--Y X D =(C )A . -13 ?B . 15C . 19 ?D . 23 8、已知1)(=X D ,25)(=Y D ,XY ρ=,则)(Y X D -=(B ) A . 6 ?B . 22 C . 30 ?D . 46 9、设)31,10(~B X ,则)(X E =(C ) A .31 ?B . 1 C . 310?D . 10 10、设)3,1(~2N X ,则下列选项中,不成立的是(B )A. E (X )=1?B. D (X )=3?C. P (X=1)=0?D. P (X<1)= 11、设)(X E ,)(Y E ,)(X D ,)(Y D 及),cov(Y X 均存在,则)(Y X D -=(C ) A . )(X D +)(Y D ?B . )(X D -)(Y DC .)(XD +)(Y D -2),cov(Y X ?D .)(X D +)(Y D +2),cov(Y X12、设随机变量)21,10(~B X ,)10,2(~N Y ,又14)(=XY E ,则X 与Y 的相关系数XY ρ=(D ) A . ?B . -0.16 C . ?D . 13、已知随机变量X 的分布律为25.025.012p P xX i-,且E (X )=1?,则常数x =( B)A . 2 ?B . 4C . 6 ?D . 814、设随机变量X 服从参数为2的指数分布,则随机变量X 的数学期望是(C ) A. B. 0 C. D. 215、已知随机变量X 的分布函数为F(x)=⎩⎨⎧>--otherx e x12,则X 的均值和方差分别为(?D ) A .4)(,2)(==X D X E ?B . 2)(,4)(==X D X E C .21)(,41)(==X D X E ?D .41)(,21)(==X D X E 16、设二维随机变量(X ,Y )的分布律为则)(XY E =(B ) A . 91-?B . 0 C . 91 ?D . 31 17、已知随机变量X 服从参数为2的泊松分布,则随机变量X 的方差为(D )A . 2- ?B . 0C . ?D 218、设随机变量X 与Y 相互独立,X 服从参数为2的指数分布,Y ~B(6,,则E(X-Y)=( A) A . 5.2- ?B . 0.5 C . 2 ?D . 5 19、设二维随机变量(X ,Y)的协方差cov(X ,Y)=61,且D(X)=4,D(Y)=9,则X 与Y 的相关系数XY ρ为(?B ) A .2161 ?B . 361 C . 61 ?D . 1 20、设随机变量X 与Y 相互独立,且X ~N?(0,9),Y ~N?(0,1),令Z=X-2Y , 则D?(Z)=(D ) A . 5 ?B . 7 C . 11 ?D 13 21、设(X ,Y)为二维随机变量,且D?(X)>0,D?(Y)>0,则下列等式成立的是(B ) A . )()()(Y E X E XY E = ? B . )()(),cov(Y D X D Y X XY ⋅=ρC . )()()(YD X D Y X D +=+ ?D . ),cov(2)2,2cov(Y X Y X =22、设n X X X ,,,21Λ是来自总体),(2σμN 的样本,对任意的ε>0,样本均值X 所满足的切比雪夫不等式为(B ) A . {}22εσεμn n X P ≥<- ?B . {}221εσεμn X P -≥<- C . {}221εσεμn X P -≤≥- ?D .{}22εσεμn n X P ≤≥-23、设随机变量X 的μ=)(X E ,2)(σ=X D ,用切比雪夫不等式估计{}≥<-σ3)(X E X P (C )A .91 ?B . 31 C . 98?D . 1 24、设随机变量 X 服从参数为的指数分布,用切比雪夫不等式估计{}≤≥-32X P (C ) A .91 ?B . 31 C . 94 ?D 21 25、已知随机变量X ~N(0,1),则随机变量Y=2X-1的方差为(D ) A . 1 ?B .2 C .3 ?D4 二、填空(每小题2分) 1、设X~)21,4(B ,则)(2X E =52、设E (X )=2,E (Y )=3,E (XY )=7,则cov (X ,Y )=13、已知随机变量X 满足1)(-=X E ,2)(2=X E ,则)(X D =1 4、设随机变量X ,Y 的分布列分别为216131321iP X414121101iP Y - 且X ,Y 相互独立,则E (XY )= 2413-5、随机变量X 的所有可能取值为0和x ,且3.0}0{==X P ,1)(=X E ,则x =710 6、设随机变量X 的分布律为4.03.02.01.02101iP X -,则)(X D =17、设随机变量X 服从参数为3的指数分布,则)12(+X D =948、设二维随机变量);,;,(~),(222121ρσσμμN Y X ,且X 与Y 相互独立,则ρ=0 9、设随机变量序列ΛΛ,,,,21n X X X 独立同分布,且μ=)(i X E ,0)(2>=σi X D ,Λ,2,1=i ,则对任意实数x ,⎪⎪⎭⎪⎪⎬⎫⎪⎪⎩⎪⎪⎨⎧>-∑=∞→x n n X P n i i n σμ1lim =)(1x Φ-10、设随机变量X 具有分布51}{==k X P ,5,4,3,2,1=k ,则)(X E =3 11、设随机变量X 在区间(0,1)上服从均匀分布,Y=3X-2, 则E?(?Y?)= 12、已知随机变量X 的分布律为2.03.05.0501iP X -,则)}({X E X P <=13、已知E (X )= -1?,D (X )=3,则)23(2-X E =1014、设1X ,2X ,Y 均为随机变量,已知1),cov(1-=Y X ,3),cov(2=Y X ,则),2cov(21Y X X +=515、设)1,0(~N X ,)21,16(~B Y ,且X ,Y 相互独立,则)2(Y X D +=816、将一枚均匀硬币连掷100次,则利用中心极限定理可知,正面出现的次数大于60的概率近似为 (附:Φ(2)=) 17、设随机变量X?~?B (100,),应用中心极限定理计算P{16?X?24}= 附:Φ(1)=18、设随机变量X ,Y 的期望和方差分别为E(X)=,E(Y)=,D(X)=D(Y)=,E(XY)=0,则X ,Y 的相关系数XY ρ=31 19、设随机变量X 的期望E?(X?)=2,方差D?(X?)=4,随机变量Y 的期望E?(Y)=4, D?(Y?)=9, 又E?(XY?)=10,则X ,Y 的相关系数XY ρ=3120、设随机变量X 服从二项分布)31,3(B ,则)(2X E =35 三、计算:每小题5分1、某柜台做顾客调查,设每小时到达柜台的顾客数X 服从泊松分布,则)(~λP X ,若已知}2{}1{===X P X P ,且该柜台销售情况Y (千元),满足2212+=X Y 。
试求:(1)参数λ的值。
(2)一小时内至少有一个顾客光临的概率 (3)该柜台每小时的平均销售情况E (Y ) 解:(1)因为 X 服从泊松分布,则 !}{k e k X P k λλ-==,0;,2,1,0>=λΛk ,又因为 }2{}1{===X P X P所以!2!121λλλλ--=e e ,2=λ所以 !2}{2k e k X P k -==,0;,2,1,0>=λΛk(2)2201!021}0{1}1{---=-==-=≥e e X P X P 所以 一小时内至少有一个顾客光临的概率为21--e 。
(3)因为 X 服从泊松分布,则2)(==λX E ,2)(==λX D , 所以 622)]([)()(222=+=+=X E X D X E2)(21)221()(22+=+=X E X E Y E =52621=+⨯所以该柜台每小时的平均销售情况E (Y )=52、设),(Y X 的密度函数为⎩⎨⎧<<<<--=othery x y x y x f ,010,10,2),(求:)(X E ,)(Y E ,)(X D ,)(Y D ,),cov(Y X ,),(Y X ρ解:)(X E =⎰⎰=--1010125)2(dy y x x dx , )(Y E =⎰⎰=--1010125)2(dy y x y dx)(XY E =⎰⎰=--101061)2(dy y x xy dx , )(2X E =⎰⎰=--10102123)2(dy y x x dx)(2Y E =⎰⎰=--10102123)2(dy y x y dx ,)(X D =14411)125(123))(()(222=-=-X E X E )(Y D =14411)125(123))(()(222=-=-Y E Y E),cov(Y X =144112512561)()()(-=⨯-=-Y E X E XY E ),(Y X ρ=)()(),cov(Y D X D Y X =1111441114411441-=-。