图书管理系统E-R图、数据流、关系模式
- 格式:doc
- 大小:149.51 KB
- 文档页数:10
1.采购部查询库存信息及用户需求,若商品的库存量不能满足用户的需要,则编制相应的采购订货单,并交送给供应商提出订货请求。
供应商按订单要求发货给该公司采购部,并附上采购收货单。
公司检验人员在验货后,发现货物不合格,将货物退回供应商,如果合格则送交库房。
库房管理员再进一步审核货物是否合格,如果合格则登记流水帐和库存帐目,如果不合格则交由主管审核后退回供应商。
画出物资订货的业务流程图。
(共10分)2.在盘点管理流程中,库管员首先编制盘存报表并提交给仓库主管,仓库主管查询库存清单和盘点流水账,然后根据盘点规定进行审核,如果合格则提交合格盘存报表递交给库管员,由库管员更新库存清单和盘点流水账。
如果不合格则由仓库主观返回不合格盘存报表给库管员重新查询数据进行盘点。
根据以上情况画出业务流程图和数据流程图。
(共15分)3.“进书”主要指新书的验收、分类编号、填写、审核、入库。
主要过程:书商将采购单和新书送采购员;采购员验收,如果不合格就退回,合格就送编目员;编目员按照国家标准进行的分类编号,填写包括书名,书号,作者、出版社等基本信息的入库单;库管员验收入库单和新书,如果合格就入库,并更新入库台帐;如果不合格就退回。
“售书”的流程:顾客选定书籍后,收银员进行收费和开收费单,并更新销售台帐。
顾客凭收费单可以将图书带离书店,书店保安审核合格后,放行,否则将让顾客到收银员处缴费。
画出“进书”和“售书”的数据流程图。
进书业务流程:书商采购单/新书采购员入库单退书单编目员合格新图书库管员入库单入库台帐进书数据流程:F3.2不合格采购单售书业务流程:售书数据流程:4.背景:若库房里的货品由于自然或其他原因而破损,且不可用的,需进行报损处理,即这些货品清除出库房。
具体报损流程如下:由库房相关人员定期按库存计划编制需要对货物进行报损处理的报损清单,交给主管确认、审核。
主管审核后确定清单上的货品必须报损,则进行报损处理,并根据报损清单登记流水帐,同时修改库存台帐;若报损单上的货品不符合报损要求,则将报损单退回库房。
系统需求分析1.1需求分析(负责人:陈酒)1.1.1可行性分析1、技术可行性:此网上书店系统可以运行于windows xp,win 7,windows vista操作系统.对系统要求只需要装有IIS即可.对计算机的硬件配置没有太高要求,现在的个人电脑完全可以满足。
数据库运用简单易学的Access来实现.在网站设计方面,运用XHTML、CSS 样式、JSP等知识,利用PhotoShop图像处理工具及Dreamweaver CS5制作出合理生动的网页.2、经济可行性:此系统可以运行于现在市场上出售的各种个人电脑,系统成本主要集中在系统的开发上.当系统投入运行后,可以实现在网上卖书和租书功能。
所带来的效益远远大于系统软件的开发成本,在经济上是完全可行。
3、操作可行性:界面设计充分考虑浏览用户的习惯,图书信息浏览、会员注册登录、租书、购书等功能操作方便。
而且所有网页设计清新、简洁、合理,不会让用户感到视觉疲劳,可操作性很强。
1.1.2项目意义分析随着网络技术的发展,越来越多的人喜欢在网上宣传自己的产品,喜欢网上购物。
图书产品从其外部特征来看,品种繁多,实体书店或其它图书发行者无法有足够大的店面来展示所有品种;单价不高,在网络信用还存在缺失的环境下能造成的损失较小,读者也乐于尝试在线购买。
所以网上书店网站也在互联网上纷纷出现.就网上书店而言,由于网络已经覆盖全球,信息量大而独具优势。
售书的理念也很简单,就是读者可以自己寻找自己喜爱的书为替读者找寻他们想要的书。
对于读者来说,网上书店近在咫尺,并且永不下班关门,读者可以随时随地自由地查询和订购图书,读者无需亲临书店,一档一档地找,一本一本地翻,只要坐在电脑前,开机上网即可买到所需书籍,而且读者的挑选余地也大多了,检索也很方便,同时还减少了购书过程中的支出,另外应当看到图书选购必得翻阅详看,耗时费力,特别是热衷购书者,几乎都是奋力开拓事业者和苦心求学深造者,时间对他们而言无比宝贵,网上购书节省了大量时间,这对于那些没有时间经常逛传统书店或其住所离传统书店较远的读者来说,具有实际意义。
图书馆管理系统E-R图(总24页)本页仅作为文档封面,使用时可以删除This document is for reference only-rar21year.March要:图书管理系统是智能办公系统(IOA)的重要组成部分,因此,图书管理系统也以方便、快捷的优点正慢慢地进入人们的生活,将传统的图书管理方式彻底的解脱出来,提高效率,减轻工作人员以往繁忙的工作,减小出错的概率,使读者可以花更多的时间在选择书和看书上。
从而使人们有更多时间来获取信息、了解信息、掌握信息。
其开发主要包括后台数据库的建立和维护以及前端应用程序的开发两个方面。
采用SQL Server2005数据库作为后台数据库、Visual C#编程语言作为前台开发工具,通过对数据库技术进行了较深入的学习和应用,主要完成书目检索、读者管理、借阅管理、图书管理、用户维护、系统维护等系统功能。
系统运行结果证明,本文所设计的图书管理系统可以满足学生和教师借阅者、图书管理员两方面的需要,达到了设计要求。
关键词:图书管理;系统设计;信息;;SQLServer20051 引言随着计算机及网络技术的飞速发展,Internet/Intranet应用在全球范围内日益普及,当今社会正快速向信息化社会前进,信息系统的作用也越来越大。
图书馆在正常运营中总是面对大量的读者信息,书籍信息以及由两者相互作用产生的借书信息,还书信息。
因此图书管理信息化是发展的必然趋势。
用结构化系统分析与设计的方法,建立一套有效的图书信息管理系统,可以减轻工作,将工作科学化、规范化,提高了图书馆信息管理的工作质量因此根据图书馆目前实际的管理情况开发一套图书管理系统是十分必要的。
1.1 图书管理的现状一直以来人们使用传统的人工方式管理图书馆的日常工作,对于图书馆的借书和还书过程,想必大家都已很熟悉。
在计算机尚未在图书管理系统广泛使用之前,借书和还书过程主要依靠手工。
一个最典型的手工处理还书过程就是:读者将要借的书和借阅证交给工作人员,工作人员将每本书上附带的描述书的信息的卡片和读者的借阅证放在一个小格栏里,并在借阅证和每本书贴的借阅条上填写借阅信息。
数据库课程设计--图书馆管理系统数据库系统概论课程设计设计题目:图书管理系统学院:计算机信息与科学学院专业:计算机科学与技术学号:20110514323姓名:刘静指导教师:潘林森目录1.引言 .................................. 错误!未定义书签。
2. 需求分析阶段......................... 错误!未定义书签。
2.1任务概述(目标)………………………………………..错误!未定义书签。
2.2数据需求:..................................3 概念设计阶段.......................... 错误!未定义书签。
3.1 任务与目标……………………………………….错误!未定义书签。
3.2 各阶段的结果…………………………………………3.3各E-R图中联系的属性4.逻辑设计阶段 (12)4.1逻辑设计的任务和目标 (12)4.2数据组织 (12)4.2.1将E-R图转换为关系模型 (12)4.2.2模型优化 ............................................. 错误!未定义书签。
4.3具体的基本E-R图向关系模型转化5.物理设计阶段 (15)5.1物理设计阶段的目标与任务 (15)5.2数据存储方面 (15)5.3系统功能模块 (16)5.3.1 读者基本信息的查询和更新模块 (16)5.3.2 图书基本信息的查询和更新模块 (16)6.数据库实施阶段 (17)6.1建立数据库、数据表、视图、索引 (17)6.1.1 建立数据库 (17)6.1.2 建立数据表 (17)6.1.3 建立视图 (21)6.1.4 建立索引 (23)6.1.5 建立触发器 (23)6.2数据入库............................................................. 错误!未定义书签。
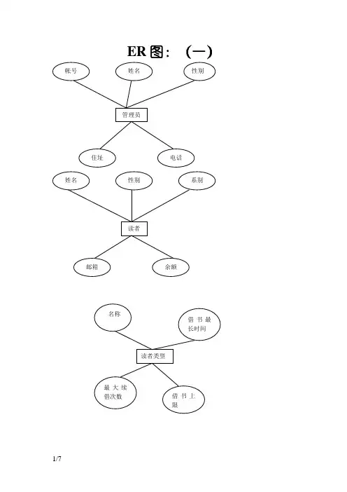
ER图:(一)
数据流图:
关系模式:
管理员(管理员账号,姓名,性别,电话,住址)
账号信息(账号,密码,账号类型)
读者(读者账号,读者类型,是否可用,姓名,性别,系别,班级,邮箱,余额)
读者类型(读者类型,借书上限,借书最大时间,最大续借次数)
书籍(条形码,ISBN,书籍状态,书架编号,损坏程度)
某类书籍(ISBN,书名,作者,主题,社,页数,价格,书籍类型编号,日期,库存量,在馆数量)
书籍类型(书籍类型编号,书籍类型)
书架(书架编号,条形码,阅览室编号)
阅览室(阅览室编号,阅览室名称,阅览室位置)
读者借阅表(读者账号,条形码,借出日期,续借次数)
读者归还表(读者账号,条形码,借出日期,实际归还日期,续借次数)。
数据库系统概论课程设计报告2011年05月28 日目录引言 (1)第一章系统分析 (1)功能需求 (2)待开发系统功能 (2)第二章系统功能概要设计 (2)系统主要功能模块设计 (2)系统处理流程分析 (3)系统接口设计 (4)外部接口 (4)内部接口 (5)第三章系统数据库设计 (5)系统数据库分析 (5)系统关系表 (6)数据字典 (6)数据项 (6)数据结构 (7)数据流表 (8)数据存储 (8)处理过程 (9)第四章概念结构设计 (9)用户管理模块 (9)图书管理模块 (10)图书销售管理模块 (11)查询管理模块 (12)报表查询管理模块 (13)数据管理模块 (14)图书销售管理系统E-R图 (15)第五章逻辑结构设计 (16)与系统E-R图对应的关系模式 (16)试题所对应的关系模式 (16)联系所对应的关系模式 (16)关系模式优化处理 (17)第六章物理结构设计 (18)系统数据处理特点 (18)系统数据存储选择 (18)第七章数据库的实施和维护 (18)数据库的实施 (19)致谢 (20)引言随着计算机的普及书店规模的不断扩大,传统的图书销售管理方法,都是通过人工统计和计算的管理方式进行的.这样的管理方法不但费时费力,也容易产生计算上的错误和疏漏;计算机技术的全面普及,打破了书店管理的传统管理方法,提高了管理效率的同时,克服了传统管理方法中易产生的问题,使管理员能够有序的、全面的对图书销售和库存进行管理.通过图书销售管理系统可以解决书店管理中遇到的各种问题,该图书销售管理系统分析了市场需求和实际需要,利用Microsoft Visual Studio 2008连接SQL数据库的方式,实现了书店的图书销售等一系列管理,该系统具有处理图书录入、图书销售及管理、图书查询、报表查询等功能.第一章系统分析功能需求:本系统是根据书店的实际需求而开发的,要求稳定、可靠的实现图书销售的自动化管理,通过本系统可以达到以下目标:a、用户管理:对系统所有用户的相关信息进行管理.b、图书管理:对图书信息进行添加以及编辑,对图书基本信息的录入及编辑包括图书类别、图书进价、图书售价、图书出版社、图书折扣、图书作者等.c、图书销售管理:对图书的销售信息进行动态添加并实现对图书库存量的动态修改等,所添加的图书销售信息包括图书的售价、折扣、销售日期.d、查询管理:用户根据实际需要对图书、图书销售、图书库存等信息分类查询.e、报表查询:系统用户可以通过对时间段的选择来查看该段时间内图书的销售情况,以便于做出更为合理的销售计划、提高效益.f、数据管理:为了防止系统用户的误操作,用户可以根据自己的需要对图书信息、销售数据等进行备份等操作.待开发软件功能:通过以上的系统目标分析,根据以上系统所要满足的功能,设计出了图书销售管理系统的主要功能模块图,如图所示.图图书销售管理系统的系统功能图第二章系统功能概要设计该图书销售管理系统是根据书店的情况结合实际需求而开发的,完全能够帮助书店实现高效、准确的图书销售自动化管理.系统主要功能模块设计:结合前面对系统功能的分析,以及Microsoft Visual Studio 2008开发环境的特点,得到如下图所示的系统功能模块图:图图书销售管理系统主要功能模块图系统各个模块功能分配如下:1用户管理模块:系统用户根据权限进行系统登录并对相关用户信息进行管理;2图书管理模块:对图书的各种信息、类别进行录入、管理;3图书销售管理模块:对图书的各种销售信息进行录入、管理;4查询管理模块:对各种信息进行统计、查询;5报表查询管理模块:对销售完的图书进行统计、查询;6数据管理功能模块:对系统相关数据进行操作.系统处理流程分析:1系统启动,用户根据自己的身份选择登录用户类型并进行身份验证根据用户输入的登录信息与数据库中的信息进行比对;2登录成功后,进入系统主界面;3系统初始化,导入数据库;4登录成功的用户根据自己的权限级别进行相应的功能选择并进行操作;5退出系统.系统具体处理流程如图所示:系统接口设计:外部接口1 用户界面:采用GUI图形用户界面,含菜单、图片控件、Button按钮、文本框等元素.2 软件接口:系统运行于Microsoft Visual Studio 2008 开发环境下.3 硬件接口:运行于PC机上.内部接口1用户管理模块M1:由相应事件驱动消息激活,完成用户登陆功能,之后进入消息循环状态,对相关用户信息进行操作.2图书管理模块:由相应事件驱动消息激活,完成图书信息管理,之后进入消息循环状态.3图书销售管理模块M3:由相应事件驱动消息激活,完成图书销售以及销售信息管理,之后进入消息循环状态.4查询管理模块M4:由相应事件驱动消息激活,完成对图书相关信息的查询功能,之后进入消息循环状态.5报表查询管理模块M5:由相应事件驱动消息激活,完成图书销售报表查询,之后进入消息循环状态.6数据管理模块M6:由相应事件驱动消息激活,对系统相关数据进行操作,之后进入消息循环状态.第三章系统数据库设计系统数据库分析:通过对图书销售管理系统的功能分析我们已知道,图书销售管理系统具有处理图书录入、图书销售、销售统计、查询库存等功能,通过该系统能够帮助用户迅速准确的对已销售图书和剩余库存图书进行统计和销售数据的汇总工作,以此来提高书店的管理效率以及实际操作过程中的准确性.因此,在该系统的后台就必须得有一个强大的数据库作为其功能的支持.SQLStructured Query Language作为一门结构化查询语言,是关系数据库的标准语言,也是一个通用的、功能极强的关系数据库语言.当前,几乎所有关系数据库管理系统软件都支持SQL,而许多的软件厂商也对SQL的基本命令集进行了不同程度的扩充和修改,使用户在对其功能的使用上更加的容易.所以,在图书销售管理系统的数据库使用上就选择SQL数据库.系统关系表:在对图书销售管理系统的功能模块进行了设计的基础上,要使其能够稳定、可靠的实现图书销售的自动化管理,就必须建立关系型数据表,具体关系表如下:1用户信息Users:UserID用户账号、Password用户密码、Quanxian用户权限;2 图书信息BookInfo:BookID图书编号、BookName图书名称、CategoryID图书类别编号、Author图书作者、Publisher图书出版社、PublisherDate图书出版日期、Purchase图书进价、Price图书售价、StockNumber图书库存数量、Discount图书折扣、Barcode图书条形码;3 图书类别信息CategoryInfo:CategoryID图书类别编号、CategoryName图书类别名;4图书销售信息SakeDetails:SaleID销售编号、BookID图书编号、RealSalePrice 销售价格、SaleNuber销售数量、SaleDate销售日期.在系统的实际运行中,使用系统的有三个权限级别的用户,分别是顾客、一般用户员工、数据库管理员DBA,作为游客仅能进入系统查看有限的图书信息.因此,作为顾客在数据库中没有相关信息记录.数据库管理员对图书销售管理系统拥有绝对的控制权,而一般用户对系统的控制权有限.数据库管理员能够动态的添加、删除一般用户且能够根据实际情况对一般用户的信息进行修改.在数据库管理员登录的系统的同时,一般用户不能进入到系统;相反,在一般用户进入系统后,数据库管理员也不能进入系统.数据字典:根据系统需求分析,利用表格方式设计出了以下数据字典:数据项数据字典的数据项如下表所示:数据结构数据字典的数据结构如下表:数据流表数据字典的数据流如下表所示:数据存储数据字典的数据存储如下表所示:处理过程数据字典的处理过程如下表所示:第四章概念结构设计经过前面的系统功能需求分析,确定了该图书销售管理系统由用户管理、图书管理、图书类别、查询管理以及销售报表等几大功能模块组成.下面给出各个功能模块的分析及分E-R图的设计及对其进行的各项调整.用户管理模块:经过小组成员对图书销售管理系统的功能分析得出,该系统对用户的设置类型为两种,一种是系统管理员也即数据库管理员DBA,另一种用户即图书销售管理系统的一般用户操作员,该图书销售系统的管理员为一个,一般用户操作员为多个.2种用户对系统的功能控制权限不同,具体如下:A、管理员:对系统的一般用户进行信息添加、删除,一个系统管理员可以对多个一般用户的信息进行管理;对图书信息进行登记、修改,对图书类别信息进行添加、修改,对图书的各种信息进行查询以及销售报表的查询.B、操作员:对自己的用户信息进行修改、对图书的销售进行管理、登记,对图书肚饿各种信息进行查询.图书管理模块:图书管理模块的设计是对图书的各种相关信息以及图书的类别信息进行添加、修改等操作,图书信息的添加有系统管理员操作.A、图书信息:每一种图书对应着一个图书类别,图书与图书类别之间是多对一的关系.B、图书类别信息:一种图书类别由多种不同的图书,图书类别与图书之间是一对多的关系.C、一个管理员可以添加多种图书,图书与管理员之间是多对一的关系,;一个管理员可以添加多种图书类别信息,图书类别与管理员之间是多对一的关系.图图书管理E-R图图书销售管理模块:图书销售管理模块的功能比较单一,其主要功能是让一般用户操作员实现对图书销售信息的动态添加,以便于系统用户根据图书的销售情况对图书的销售进行预测,更好的做好图书销售的调整计划.A、图书销售信息:每本图书的销售只能由一个操作员来完成,不同图书的销售可以由不同的操作员来完成添加,图书的销售与操作员之间是多对多的关系.B、一般用户操作员:每个操作员可以销售多本不同的图书,操作员与图书销售之间是多对多的关图图书销售管理模块E-R图系.查询管理模块:查询管理模块的设计使得系统管理员能够动态的根据需要查询各类图书信息以及图书库存信息,能够更好的方便用户对图书做出管理,提高工作效率.该管理模块分为三个部分即:图书查询、分类查询、库存查询.图书查询是根据用户输入的图书名或者图书条形码查找图书的相关信息;分类查询是根据用户输入的图书类别名查找该类别下的所有图书;图书库存查询是根据用户输入的图书编号查找该编号对应的图书名以及图书数量.A、图书查询:该查询涉及到的关系表为X表,该查询操作只能同时由一个用户来完成管理员、操作员,每个系统用户都可以进行查询,该查询与用户之间是多对多的关系.B、分类查询:该查询涉及到的关系表位Y表,该查询操作只能同时由一个用户来完成管理员、操作员,每个系统用户都可以进行查询,该查询与用户之间是多对一的关系.C、库存查询:该查询涉及到的关系表位Z表,该查询操作只能同时由一个用户来完成管理员、操作员,每个系统用户都可以进行查询,该查询与用户之间是多对一的关系.D、用户:这里的用户包括管理员和一般用户操作员,涉及到用户表U,用户可以一次根据查询种类进行多种图书的查询,用户与这三种查询之间是多对多的关系.图查询管理模块E-R图报表查询管理模块:报表查询管理模块的设计使得管理员能够更为方便的查看、打印各类图书的销售统计情况.该查询模块分为三个查询部分,系统管理员可以根据自己的实际需要选择相应的报表查询种类查看图书销售的统计信息,具体即为:日度报表查询、月度报表查询、年度报表查询三类.三类报表查询都是根据系统管理员输入的相关销售时间段来查看在该时间段内所有的图书销售统计情况.报表查询涉及到的关系表为S表,所涉及到的属性为S表的所有属性,即为:SaleID、BookID、RealSalePrice、SaleNuber、SaleDate.再者系统管理员可以对销售报表按日度、月度、年度三类来查询,而销售报表只能够被系统管理员所查询.所以,系统管理员与报表之间是一对多的关系.数据管理模块:图书销售管理系统设计中数据管理模块的设计是为了便于系统用户能够备份系统中的图书信息、图书类别信息、图书销售信息、用户信息等数据以及恢复被系统用户误操作所删除的相关信息,该模块功能的实现主要依靠U、B、S、C四个关系数据表.图书销售管理系统E-R图:管理员UserID、Password、Quanxian;操作员UserID、Password、Quanxian;图书BookID、CategoryID 、BookName、Author、Publisher、PublishDate、Purchase、Price、StockNumber、Discount、Barcode;图书类别CategoryID、CategoryName;图书销售SaleID、BookID、RealSalePrice、SaleNuber、SaleDate;图书查询BookID、CategoryID 、BookName、Author、Publisher、PublishDate、Price、StockNumber、Discount、Barcode;分类查询CategoryName、BookName;库存查询BookID、BookName、StockNumber;销售报表SaleID、BookID、RealSalePrice、SaleNuber、SaleDate.图图书销售管理系统E-R图第五章逻辑结构设计与系统E-R图对应的关系模式:实体所对应的关系模式管理员UserID、Password、Quanxian;操作员UserID、Password、Quanxian;图书BookID、CategoryID 、BookName、Author、Publisher、PublishDate、Purchase、Price、StockNumber、Discount、Barcode;图书类别CategoryID、CategoryName;图书销售SaleID、BookID、RealSalePrice、SaleNuber、SaleDate;图书查询BookID、CategoryID 、BookName、Author、Publisher、PublishDate、Price、StockNumber、Discount、Barcode;分类查询CategoryName、BookName;库存查询BookID、BookName、StockNumber;销售报表SaleID、BookID、RealSalePrice、SaleNuber、SaleDate.说明:1、下加横线部分表示关系的码;2、以上关系的详细内容说明请参照概念结构设计中的具体内容;3、上面的各个关系对概念结构设计中的部分相关内容了作了修改,主要加了各个实体之间的联系.联系所对应的关系模式:1把操作员与图书销售之间的n:m的销售联系转化为相应的关系模式如下:销售SaleID、BookID、RealSalePrice、SaleNuber、SaleDate;2把用户与图书查询之间的n:m的查询联系转化为相应的关系模式如下:查询BookID、CategoryID、BookName、Author、Publisher、PublishDate、Price、StockNumber、Discount、Barcode;3把用户与分类查询之间的n:m的查询联系转化为相应的关系模式如下:查询CategoryName、BookName;4把用户与库存查询之间的n:m的查询联系转化为相应的关系模式如下:查询BookID、BookName、StockNumber;5其他联系处理说明如下:管理员与操作员之间的1:n联系与用户关系合并;管理员与图书之间的1:n联系与图书关系合并;管理员与图书类别之间的1:n联系与图书类别关系合并;管理员与销售报表之间的1:n联系与销售关系合并.关系模式优化处理:按照数据依赖对关系模式进行逐一分析,并进行极小化处理:管理员UserID、Password、QuanxianBCNF;操作员UserID、Password、QuanxianBCNF;图书BookID、CategoryID 、BookName、Author、Publisher、PublishDate、Purchase、Price、StockNumber、Discount、BarcodeBCNF;图书类别CategoryID、CategoryNameBCNF;图书销售SaleID、BookID、RealSalePrice、SaleNuber、SaleDateBCNF;图书查询BookID、CategoryID 、BookName、Author、Publisher、PublishDate、Price、StockNumber、Discount、BarcodeBCNF;优化说明:删除了图书进价,图书进价在这里只能对系统管理员开放,而一般用户操作员是看不到图书进价.分类查询CategoryName、BookNameBCNF;优化说明:图书信息表中留下了图书名,图书类别表中只选取了图书类别名,两个表中的其他属性在这里都没有选取.库存查询BookID、BookName、StockNumberBCNF;优化说明:选取图书信息表中的图书编号和图书名以及其中的图书库存量等属性,其他属性在这里联系不强就没有选取.销售报表SaleID、BookID、RealSalePrice、SaleNuber、SaleDateBCNF.第六章物理结构设计系统数据处理特点:通过对图书销售管理系统的分析可知,该系统中具有以下的特点:1图书销售管理模块、库存查询功能在图书的销售中需要被经常使用,而且数据的更新速度比较快;2各个部门之间信息共享较多,例如图书信息、销售信息等;但是系统中的用户信息不共享;3在该图书销售管理系统中系统的一般用户操作员只完成对图书的销售外,其他系统使用权有限;而该系统的管理员对系统的使用权极大的高于一般用户操作员,这也体现了系统管理员的重要性.系统数据存储选择:为了提高系统性能,现根据应用情况将数据按照易变部分和稳定部分、经常存取部分和存取频率较低的部分分别在两个磁盘上存放.同时,考虑到本系统是多用户的,为了提高效率,数据库的备份的数据和日志文件将保存在磁带中.经常存取部分:图书信息BookID、BookName、CategoryID、Author、Publisher、PublishDate、Purchase、Price、StockNumber、Discount、Barcode;销售信息SaleID、BookID、RealSalePrice、SaleNuber、SaleDate;顾客顾客编号、级别、姓名、年龄、性别、证件号码、证件名称、所选项目、备注;存取频率较低的部分:用户信息UserID、Password、Quanxian;图书类别CategoryID、CategoryName;第七章数据库的实施数据库系统设计的根本目的,是为用户提供一个能够实际运行的系统,并保证该系统的稳定和高效.要做到这点,还有两项工作,就是数据库的实施、运行和数据库的维护.数据库的实施:在进行了数据库概念结构设计和物理结构设计之后,设计人员用DBMS提供的数据定义语言和其他实用程序将数据库逻辑设计和物理设计结果严格描述出来,成为DBMS 可以接受的源代码,再经过调试产生目标模式.然后就可以组织数据入库了.数据库实施主要包括以下工作:1用DDL定义数据库结构确定了数据库的逻辑结构与物理结构后,就可以用所选用的DBMS提供的数据定义语言DDL来严格描述数据库结构.2数据装载数据库结构建立好后,就可以向数据库中装载数据了.组织数据装载入库是数据库实施阶段最主要的工作.对于数据量不是很大的小型系统,可以用人式方法完成数据的入库,其步骤为:a. 筛选数据.需要装入数据库中的数据通常都分散在各个部门的数据文件或原始凭证中,所以首先必须把需要入库的数据筛选出来.b.转换数据格式.筛选出来的需要入库的数据,其格式往往不符合数据库要求,还需要进行转换.这种转换有时可能很复杂.c.输入数据.将转换好的数据输入计算机中.d.校验数据检查输入的数据是否有误.3编制与调试应用程序数据库应用程序的设计应该与数据设计并行进行.在数据库实施阶段,当数据库结构建立好后,就可以开始编制与调试数据库的应用程序,也就是说,编制与调试应用程序是与组织数据入库同步进行的.调试应用程序时由于数据入库尚未完成,可先使用模拟数据.4数据库试运行应用程序调试完成,并且已有一小部分数据入库后,就可以开始数据库的试运行.数据库试运行也称为联合调试,其主要工作包括:a、功能测试:即实际运行应用程序,执行对数据库的各种操作,测试应用程序的各种功能.b、性能测试:即测量系统的性能指标,分析是否符合设计目标.致谢在这次数据库系统概论的课程设计过程中,我们小组选择了图书销售管理系统的设计与实现.该系统能够顺利的完成,得益于老师的悉心指导和同学的帮助.更重要的是老师帮我们解决了许多技术上的难题,以至于我们能够将图书销售管理系统的功能做得尽可能的完善.在这其中,此次课程设计的指导老师唐春玲老师对我们的帮助尤为重要,在整个图书销售管理系统功能模块的设计与实现过程中,每当我们遇到无法通过自己的努力而解决的难题时,就会向唐老师寻求帮助,而唐老师每次不管忙或闲,总会抽时间为我们分析问题,找出解决问题的办法.在唐老师的指导过程中,她渊博的知识、开阔的视野和敏锐的思维给了我们深深的启迪,使我们不仅了解到许多新知识、开阔了视野,更提高了自身的数据库设计能力.另外,感谢老师给我们提供这样一个课程设计的机会,使我们在学得专业知识的基础上能够自己动手并独立地完成数据库的设计与开发,使我们能够更多的学习一些实践应用知识,增强实际操作和动手应用能力.最后,我再一次感谢在整个课程设计期间,在各个方面给予我们帮助的老师和同学,正是因为有了你们的帮助,才使我们的课程设计得以顺利完成.。
---------------------------------------------------------------最新资料推荐------------------------------------------------------ E-R模型转换为关系模型示例0、试述采用 E-R 方法进行数据库概念设计的过程。
答:采用 E-R 方法进行数据库概念设计,可以分成 3 步进行:首先设计局部 E-R 模式,然后把各局部 E-R 模式综合成一个全局的 E-R 模式,最后对全局 E-R 模式进行优化,得到最终的E-R模式,即概念模式。
1、某大学实现学分制,学生可根据自己情况选课。
每名学生可同时选修多门课程,每门课程可由多位教师主讲;每位教师可讲授多门课程。
其不完整的 E-R 图如图 1 所示。
(1)指出学生与课程的联系类型。
(2)指出课程与教师的联系类型。
(3)若每名学生有一位教师指导,每个教师指导多名学生,则学生与教师是如何联系?(4)在原 E-R 图上补画教师与学生的联系,并完善 E-R 图。
答:(1)(2)(3)(4)学生与课程联系类型是多对多联系。
课程与教师的联系类型是多对多联系。
学生与教师的联系类型是一对多联系。
完善本题 E-R 图的结果如图 2 所示。
1 / 16学生课程教师图 6.11 图 1 一个 E-R图图 6.12 完善后的 E-R图图 2 学生课程教师指导讲授选修mnmmn1 2、将如图 3 所示的 E-R 图转换为关系模式,菱形框中的属性自己确定。
答:本题的 E-R 图转换为如下的关系模式:单位(单位号,地址,电话)职工(职工号,姓名,性别,年龄,单位号)单位号职工号单位号地址年龄姓名电话性别单位职工D-E1m图 6.13 图 3 一个 E-R图 3、假定一个部门的数据库包括以下信息:(1)职工的信息:职工号、姓名、地址和所在部门。
(2)部门的信息:部门所有职工、部门名、经理和销售的产品。
摘要数据库原理及应用课程设计是软件工程专业集中实践性环节之一,是学习完《数据库原理及应用》课程后进行的一次全面的综合练习。
其目的在于加深对数据库基础理论和基本知识的理解,掌握使用数据库进行软件设计的基本方法,提高运用数据库解决实际问题的能力,最终实现对于给定的应用环境,构造最优的数据库模式,建立数据库及其应用系统,使之能够有效地存储数据,满足各种用户的应用需求(信息要求和处理要求)。
数据库及其应用系统是具有管理功能的计算机系统,而数据库原理及应用课程设计在开发应用程序中至关重要,合理的数据表结构不尽有利于软件的快速开发,而且有利于以后对软件的维护.目前,我国的科技水平高速发展,计算机作为今天使用最广的现代化工具已深入到各个领域,并且正在成为未来社会——信息社会的重要支柱。
在这样的大背景下,现代图书馆的管理方式,资源建设等方面都发生了重大变化,这种变化表现在图书馆工作,管理和服务平台发生的变化,图书馆不再是传统的手工操作,人工管理,而是全面实行计算机管理。
一个简单的图书管理系统包括图书馆内书籍的信息、学校在校学生的信息以及学生的借阅信息。
系统在IBMDB2平台上用SQL语言来编写实现。
此系统功能分为面向学生和面向管理员两部分,其中学生可以进行借阅、续借、归还和查询书籍等操作,管理员可以完成书籍和学生的增加,删除和修改以及对学生,借阅、续借、归还的确认.关键词:SQL语言;数据库设计;图书管理系统目录1需求分析........................................................1 1.1需求分析过程..................................................1 1.2数据字典......................................................2 2概念模式设计....................................................3 2.1实体..........................................................3 2。
E-R图:
数据流图:
关系模式:
管理员(管理员账号,姓名,性别,电话,住址)
账号信息(账号,密码,账号类型)
读者(读者账号,读者类型,是否可用,姓名,性别,系别,班级,邮箱,余额)
读者类型(读者类型,借书上限,借书最大时间,最大续借次数)书籍(条形码,ISBN,书籍状态,书架编号,损坏程度)
某类书籍(ISBN,书名,作者,主题,出版社,页数,价格,书籍类型编号,出版日期,库存量,在馆数量)
书籍类型(书籍类型编号,书籍类型)
书架(书架编号,条形码,阅览室编号)
阅览室(阅览室编号,阅览室名称,阅览室位置)
读者借阅表(读者账号,条形码,借出日期,续借次数)
读者归还表(读者账号,条形码,借出日期,实际归还日期,续借次数)
数据库字段定义说明:(可根据这个编写数据项)。
.系统内部框架及数据字典1.1 信息分类及相互关系中国人民大学图书馆信息系统是围绕学校图书馆的各项业务活动而建立的,其中涉及的信息大体上可以分为四类:业务过程信息、读者信息、费用信息和管理信息。
其中业务过程信息是指完成业务所产生的过程控制信息,如借阅信息、书刊出入库信息等,都是局部信息;读者信息是指在读者整个在校期间需要在整个系统范围内共享的信息,是基本信息;管理信息是由基本信息和业务过程信息加工得到的,如读者流动情况、书刊平均借阅天数、效率分析等,是派生信息。
读者借阅活动和各类信息之间的关系1.2 贯穿系统的两条信息线集成各局部系统的重要目标是确保整个系统不随着局部系统的改变而改变,不随着新系统的加入而发生大的变化.找出图书馆信息系统的内在联系,确立好各局部系统之间的接口,是实现这一目标的前提.贯穿整个图书馆信息系统有两条信息线:读者信息线和费用信息线。
以此为框架来构造和集成整个系统. 证件信息包括读者主索引、借阅记录等等;费用信息包括在各个环节发生的各类费用及消耗成本等。
这两条信息线在系统中体现为具体的数据结构,它独立于各局部系统而存在。
从整体的、发展的角度来构筑好这一基础框架是本系统数据结构的核心。
2. 各子系统的数据流程图及数据字典2.1财务管理子系统功能:负责全馆财务、物资采购及发放、安全保卫及卫生清洁等工作.其中财务管理包括:全馆人员工资、奖金发放及经费管理.流程:审 批准 / 不批准 需配置及初始化的表:账务登记表2功能:组织和管理藏书.组织和管理藏书:根据藏书的不同类型、内容、性质和使用价值进行合理的组织编目、科学的分类,根据借阅的需求拟更新藏书建议目录,负责馆藏剔旧处理,根据实际情况及时更新书刊信息;用户定义的完整性约束要求类别和借阅者的填入值必须有效,即必须是存在的值。
2.3 读者管理子系统功能:更新和查询读者信息、办理借阅证件. 流程:证件管理子系统:需配置及初始化的表: 注:上表中有用户定义的完整性约束条件的字段如下:性别要求只能取"男"或”女”两者之一; 年龄取值域为1~55;系别的取值要求必须是本校存在的系; 借书本数的最大值是3.2.4 人事管理子系统功能:全馆人员调动、组织管理、考勤以及工资报表的制定. 流程:段一 任务:根据需求分析的结果:数据流图和数据字典来设计出图书馆得分E-R 图和基本E —R 图,为下一步的逻辑设计阶段提供素材。
长沙理工大学《程序设计实践》课程设计报告邹松林学院计通学院专业计算机科学与技术班级计算机03-05 学号27学生姓名邹松林指导教师卢曼莎课程成绩完成日期2006年9月20号图书馆管理系统数据库分析与设计学生姓名:邹松林指导老师:卢曼莎摘要:图书信息管理系统主要由读者信息管理模块,图书信息管理模块,借阅信息管理模块,系统信息管理模块等组成。
其中又各自分成读者注册,证件修改,用户注销,图书查询,操作记录等子模块。
在设计本系统过程中,我们第一步由自顶而下的需求分析概括设计出系统总模块的数据流图,再设计个子模块的相应数据流图,列出数据流信息及数据字典;第二步概念设计在需求分析基础上用E-R图表示出数据及相互间联系,采用先作子图,再合并成初步E-R图,进行修改和重构后得到基本E-R图;第三步逻辑设计,在SQL Server的设计环境下把图书馆管理系统E-R图转化为成逻辑数据模型表示的逻辑模式,同时实现数据模型的优化和数据模式的规范化;第四步进行物理设计设计数据的内模式,确定数据的存储结构,存取路径,存储空间分配等等,具体形式为表,视图,索引的建立。
关键字:数据库,SQL语言,MS SQL Server,图书管理1 需求分析用户的需求具体体现在各种信息的提供、保存、更新和查询,这就要求数据库结构能充分满足各种信息的输入和输出。
收集基本数据,数据结构以及数据处理的流程,为后面的具体设计打下基础。
在仔细分析调查有关图书馆管理信息需求的基础上,我们主要考虑以下几个方面的需求:1) 用户需求:图书用户要求计算机系统和SQL Server所工作的范围;2) 应用资源:数据库应用的平台包括物理平台和图书等;3) 应用质量和可靠性要求:包括操作人员素质和系统的纠错能力等1.1 项目名称:图书馆信息管理系统1.2 项目背景和内容概要对图书馆管理信息系统进行详细地分析后,我们将系统分为以下几个模块:借阅管理模块、借书证信息管理模块、图书信息管理模块、系统管理模块。
【关键字】实验实验题目:图书管理系统实验目的:近年来,随着图书馆规模的不断扩大,图书数量也相应的增加,有关图书的各种信息量也成倍的增加,面对着庞大的信息量,传统的人工方式管理的记录中我们可以发现这样的问题:(1)检索速度慢、效率低。
因为图书馆的藏书种类多、数量多,将藏书准确地分门别类,快速检索,手工进行非常困难往往是终于查到了书的信息,馆中没有此书或已被别人借走。
图书馆的规模越大,这个问题越突出。
(2)借书、还书工作量大。
借书、还书频率越大,说明图书馆的作用越大,然而随之而来的大量的借书、还书登记、实存图书的更新以及借出图书超期、遗失等的处理,其工作量之大,往往是人工操作所难以胜任的。
而且经常会出现这样那样的差错。
(3)图书统计工作难、藏书更新不能及时完成。
图书馆的图书应根据科学技术的发展和教学工作的需要及时添加和更新,然而由于藏书数量及图书种类越来越多,加上自然损耗,人为破坏,使图书的统计工作难以及时完成,藏书的更新也就很难有针对性地进行,藏书的知识结构得不到良好地控制。
因此必须制定一套合理、有效、规范和实用的图书管理系统,对图书资料进行集中统一的管理。
系统开发的总的设计目标是实现图书管理的系统化、规范化和自动化,实现对图书资料的集中统一的管理。
使图书管理者便于对图书和读者的管理。
本系统主要实现对图书馆信息的管理,主要功能为管理有关读者、图书、借阅、查询、删除和管理员的信息等。
使用该系统之后,图书馆管理人员可以管理读者的登记、图书的购入、借出、归还以及注销等;还可以查询某位读者、某本图书的借阅情况,对当前借阅情况给出一些统计,给出统计表格,以全面掌握图书的流通情况。
实验设计方案:1.目标分析为了更深一步的学习数据库的知识,自己可以把理论知识应用到实际上的设计中去,具体所要完成的任务如下:1)结合实际情况进行分析,写出需求分析;2)根据需求分析设计出所需的界面;3)为界面和控件设计具体的功能实现函数;4)运行测试程序,调试并纠正运行的错误以及一些设计缺陷;5)调试无误,运行,并测试具体的项目功能。
概念模型设计数据需要表述的信息有以下几种:(1)读者信息(2)图书信息(3)借书信息(4)还书信息图书管理系统的概括层次读者管理局部应用的分E-R图图书管理系统全局应用E-R图[逻辑设计](从理论‘E/R模型’到理论‘关系模型’的整理转换) 通过E/R模型到关系模型的转化,可以得到如下关系模式:图书管理局部应用的关系模式:图书管理员实体集转换为关系:图书管理员(ID号,姓名,密码,账号)图书信息实体集转换为关系:(图书编号,图书类别编号,图书名称,作者,价格)图书实体集转换为关系:(图书编号,图书类别编号,图书名称,作者,价格,内容简介)查询联系转换为关系:(ID号,图书编号,图书作者,图书书名,图书类别,图书信息)购入联系转换为关系:(ID号,图书编号,购入日期,购入编号,出版社编号,图书价格)读者管理局部应用的关系模式:读者实体集转换为关系:(读者编号,读者类别,读者姓名,读者姓别,出生日期,证件号码,联系电话)读者借阅信息实体转换为关系:(读者编号,已借阅图书数量,可借书数量,借阅日期,读者状态)借阅卡挂失实体转换为关系:(卡号,持卡人姓名,卡类别)超期/丢失罚款联系转换为关系:(ID号,图书编号,操作员编号,丢失/损坏日期,是否注消)管理联系转换为关系:()借阅管理局部应用的关系模式:过期罚款管理实体集转换为关系:(图书编号,读者编号,过期天数,罚款金额)图书丢失/损坏管理实体集转换为关系:(图书编号,操作员编号,丢失/损坏日期,是否注消)读者实体集转换为关系:(读者编号,读者类别,读者姓名,证件号码)图书管理员实体集转换为关系:(ID号,姓名,密码,账号)借阅联系转换为关系:(ID号,读者编号,图书编号,读者编号,借阅时间,应还日期,续借日期,续借次数,图书价格)还书联系转换为关系:(ID号,图书编号,读者编号,操作员编号,还书日期,还书数目,)。
创作编号:
GB8878185555334563BT9125XW
创作者:凤呜大王* E-R图:
创作编号:
GB8878185555334563BT9125XW
创作者: 凤呜大王*
数据流图:
关系模式:
管理员(管理员账号,姓名,性别,电话,住址)
账号信息(账号,密码,账号类型)
读者(读者账号,读者类型,是否可用,姓名,性别,系别,班级,邮箱,余额)
读者类型(读者类型,借书上限,借书最大时间,最大续借次数)书籍(条形码,ISBN,书籍状态,书架编号,损坏程度)
某类书籍(ISBN,书名,作者,主题,出版社,页数,价格,书籍类型编号,出版日期,库存量,在馆数量)
书籍类型(书籍类型编号,书籍类型)
书架(书架编号,条形码,阅览室编号)
阅览室(阅览室编号,阅览室名称,阅览室位置)
读者借阅表(读者账号,条形码,借出日期,续借次数)
读者归还表(读者账号,条形码,借出日期,实际归还日期,续借次数)
数据库字段定义说明:(可根据这个编写数据项)
创作编号:
GB8878185555334563BT9125XW
创作者:凤呜大王*。