大学英语II第1章至第10章在线测试
- 格式:doc
- 大小:45.50 KB
- 文档页数:4
《⼤学英语II》在线测试第⼀题、单项选择题(每题1分,5道题共5分)1、More and more young people enjoy ______ to pop music.A、listeningB、hearingC、to listenD、hear2、We were all _______ by the speech given by the blind girl yesterdayA、movingB、moveC、to moveD、moved3、It is _______ for us to see the great changes in our hometown.A、amazingB、amazedC、amazesD、to amaze4、_______ may cause lung cancer.A、SmokeB、SmokingC、SmokesD、Smoked5、If you keep ______, you will succeed sooner or later.A、to tryB、triedC、tryingD、tries第⼀题、单项选择题(每题1分,5道题共5分)1、By the time she is 50 years old, she _____ an inmate of the prison for over half of her life.A、will have beenB、will beC、would have beenD、would be2、There was a knock at the door. It was the second time someone _____ me that evenin g.A、to have interruptedB、would have interruptedC、to interruptD、had interrupted3、He has been writing the essay the whole morning and he still ___ .A、hasB、isC、has beenD、does4、Greater efforts to increase agricultural production must be made if food shortage ______ avoided.A、is to beB、can beC、will beD、has been5、Our modern civilization must not be thought of as ______ in a short period of time.A、being createdB、having createdC、creatingD、having been created第⼀题、单项选择题(每题1分,5道题共5分)1、It was at this shop __________ I bought the watch. Why not come in and have a look?A、thatB、whichC、whatD、who2、__________ that silver is not widely used as a conductor?A、Why isB、Is it whyC、Why is itD、Why is that3、Was it during the Second World War _________ he died?A、thatB、whileC、in whichD、then4、It _________ at Christmas that John Smith gave Mary a handbag.A、must haveB、will beC、might have beenD、may have had5、__________ surprised me most was_________ some of the village people seated on the benches at the end of the room.A、That, seeB、what, seeC、what, to seeD、That, to see第⼀题、单项选择题(每题1分,5道题共5分)1、So _____ in the darkness that he didnˊt dare to move an inch.A、he was frightenedB、was he frightenedC、frightened he wasD、frightened was he2、Never in my life ____ such a thing.A、have I heard or seenB、I have heard or have seenC、I have heard or seenD、did I hear or see3、Jimmy was so nervous, not a single word _____ down in the dictation.A、he wroteB、he was writtenC、did he writeD、was he written4、_____ , I would accept the invitation and go to the party.A、Were I youB、Was I youC、Had I been youD、Would I be you5、Not only _____ a promise, but also he kept it.A、did he makeB、he madeC、does he makeD、has he made第⼀题、单项选择题(每题1分,5道题共5分)1、He had just got out of the bus there was a fire in it.A、whileB、tillC、whenD、as2、Please write it down you forget it.A、whenB、beforeC、every timeD、after3、In holidays, you can visit you are fond of.A、whereB、whichC、whenD、wherever4、She came---late that she missed the important lecture.A、tooB、ratherC、veryD、so5、I won’t attend the party she invites me.A、evenB、untilC、unlessD、though第⼀题、单项选择题(每题1分,5道题共5分)1、I made friend with that guy, turned out to be kind-hearted.A、thatB、whichC、whoD、he2、Looking at all he had achieved, he couldn’t help weeping.A、whatB、whichC、asD、that3、The effort to finish the project, he had expected, was a success.A、whichB、likeC、thatD、as4、I don’t know the reason he was absent.A、whyB、becauseC、whichD、as5、Anny, in house I spent my holiday, is an old friend of mine.A、hisB、whichC、whomD、whose第⼀题、单项选择题(每题1分,5道题共5分)1、It was not until dark ______ he found ______ he thought was the correct way to solve the problem.A、that; whatB、that; thatC、when; whatD、when; that2、______ do you think _____ we should do to improve our English?A、/; whatB、what; thatC、what; /D、how; that3、The argument remained heated ______ there are necessary conditions of existence s uch as water on the Moon.A、thatB、whetherC、ifD、about which4、Your shoes are ______.A、where they wereB、the place you putC、in the corner that you putD、there they are5、The poor young man is ready to accept _____help he can get.A、whicheverB、howeverC、whateverD、whenever第⼀题、单项选择题(每题1分,5道题共5分)1、Each man and each woman ______ asked to come.A、areB、isC、hasD、were2、Many a student ______ finished this assignment.A、hasB、haveC、is seenD、sees3、Ten thousand dollars______ more than I can afford.A、has beenB、have beenC、isD、are4、Neither Jane nor Steven _____ watching TV now.A、wereB、isC、wasD、are5、There ______two books and a bag on the desk.A 、hasB 、haveC 、isD 、are第⼀题、单项选择题(每题1分,5道题共5分)1、Cleaning women in big cities usually get ______ by the hour.A 、payB 、payingC 、paidD 、to pay2、Mary looks unhappy because she has ______ by her classmates.A 、laughedB 、laughed atC 、been laughedD 、been laughed at3、______ that the sports meet might be put off. Yes, it all depends on the weather.A 、I ’ve toldB 、I ’ve been toldC 、I ’m toldD 、I told4、I ______ to stay here if I can.A 、have been meaningB 、meanC 、am meaningD 、have meant5、Hundreds of jobs ______ if the factory closes down.A 、loseB 、will loseC 、will be lostD 、are lost第⼀题、单项选择题(每题1分,5道题共5分) 1、If I with her last summer ,I with her now.A 、worked …am getting on very we llB 、had worked …would get on very wellC 、had worked … would have got o n very wellD 、had worked …will get on very well2、If you hadn ’t gone with Tom to the party last night, ______.A 、you would meet John alreadyB 、you won ’t have missed JohnC 、you will have met JohnD 、you would have met John3、___ your letter,I would have started off two days ago.A、If I receivedB、Should I receiveC、If I could have receivedD、Had I received4、If it rain next week,the farmers could still have a good harvest.A、shouldB、couldC、wouldD、might5、Li Ling acted that way as though he a foreigner.A、wereB、had beenC、should beD、is。
《大学英语II》第01章在线测试第一题、单项选择题(每题1分,5道题共5分)1、He was about __C___home when the phone rang.A、leavesB、leavingC、to leaveD、left2、We used ___A___at the same departmentA、to workB、to workingC、workingD、work3、Listen! I hear someone __D____the piano next door.A、playsB、to playC、playedD、playing4、We were all ___D____by the speech given by the blind girl yesterdayA、movingB、moveC、to moveD、moved5、___B____may cause lung cancer.A、SmokeB、SmokingC、SmokesD、Smoked《大学英语II》第02章在线测试第一题、单项选择题(每题1分,5道题共5分)1、Marlin is an independent man who is not about __C___on his parents any more.A、relyingB、having reliedC、to relyD、to have relied2、He didn’t show up at the party yesterday. He __C__in the lab.A、must be busy wordingB、must be busy to workC、must have been busy workingD、would have been busy working3、By the time she is 50 years old, she ___A__an inmate of the prison for over half of her life.A、will have beenB、will beC、would have beenD、would be4、He has been writing the essay the whole morning and he still _B__.A、hasB、isC、has beenD、does5、Greater efforts to increase agricultural production must be made if food shortage __A____avoided.A、is to beB、can beC、will beD、has been《大学英语II》第03章在线测试第一题、单项选择题(每题1分,5道题共5分)1、_C_that silver is not widely used as a conductor?A、Why isB、Is it whyC、Why is itD、Why is that2、Was it during the Second World War _A_he died?A、thatB、whileC、in whichD、then3、It _C_at Christmas that John Smith gave Mary a handbag.A、must haveB、will beC、might have beenD、may have had4、__C_surprised me most was__some of the village people seated on the benches at the end of the room.A、That, seeB、what, seeC、what, to seeD、That, to see5、I _A_swimming very much and I go swimming everyday.A、did likeB、do likeC、does likeD、can like《大学英语II》第04章在线测试第一题、单项选择题(每题1分,5道题共5分)1、Never in my life _A___such a thing.A、have I heard or seenB、I have heard or have seenC、I have heard or seenD、did I hear or see2、- Here __B__!Where is Xiao Liu?- There ____.A、comes the bus,is heB、comes the bus,he isC、the bus comes,is heD、the bus comes,he is3、Only after I read the text over again _B____its main idea.A、that I knewB、did I knowC、1 could knowD、I did know4、Little __D___when I took the trip where it would lead me.A、have I knownB、had I knownC、do I knowD、did I know5、___C__and caught the mouse.A、Up the cat jumpedB、The cat up jumpedC、Up jumped the catD、Jumped up the cat《大学英语II》第05章在线测试第一题、单项选择题(每题1分,5道题共5分)1、He had just got out of the bus there was a fire in it. CA、whileB、tillC、whenD、as2、Please write it down you forget it. BA、whenB、beforeC、every timeD、after3、People do not know the value of health they lose it. CA、ifB、whenC、untilD、while4、I worked hard on my class notes I could pass the exam. BA、becauseB、so thatC、in caseD、for fear that5、He must have heard the bad news, he looks upset. BA、becauseB、forC、whenD、as《大学英语II》第06章在线测试第一题、单项选择题(每题1分,5道题共5分)1、That grand building is a beautiful view, 10 years to build. BA、it tookB、which tookC、tookD、that took2、I made friend with that guy, turned out to be kind-hearted. CA、thatB、whichC、whoD、he3、The car drove recklessly, caused the accident. CA、itB、thatC、whichD、who4、I don’t know the reason he was absent. AA、whyB、becauseC、whichD、as5、Anny, in house I spent my holiday, is an old friend of mine. DA、hisB、whichC、whomD、whose《大学英语II》第07章在线测试第一题、单项选择题(每题1分,5道题共5分)1、Mike didn’t understand _A_made his wife so upset this morning.A、whatB、whyC、howD、which2、It was not until dark _A_he found __he thought was the correct way to solve the problem.A、that; whatB、that; thatC、when; whatD、when; that3、The argument remained heated _B__there are necessary conditions of existence such as water on the Moon.A、thatB、whetherC、ifD、about which4、Your shoes are _A_A、where they wereB、the place you putC、in the corner that you putD、there they are5、The boy dived into the water and after _B_seemed to be a long time, he came up again.A、thatB、whatC、whereD、the place where《大学英语II》第08章在线测试第一题、单项选择题(每题1分,5道题共5分)1、Each man and each woman _B_asked to come.A、areB、isC、hasD、were2、Physics _D__my favorite subject.A、beB、areC、amD、is3、The rich_B__not always happy.A、isB、areC、hasD、have4、Neither Jane nor Steven _B__watching TV now.A、wereB、isC、wasD、are5、The number of people who own cars _C___increasing.A、hasB、haveC、isD、are《大学英语II》第09章在线测试第一题、单项选择题(每题1分,5道题共5分)1、_B_that the sports meet might be put off. Yes, it all depends on the weather.A、I’ve toldB、I’ve been toldC、I’m toldD、I told2、I __B_to stay here if I can.A、have been meaningB、meanC、am meaningD、have meant3、In order to improve English, _B__.A、Jane’s father bought her a lot of tapesB、Jane bought a lot of tapes for herselfC、a lot of tapes were bought by JaneD、a lot of tapes were bought for her by Jane’s father4、Hundreds of jobs _C_if the factory closes down.A、loseB、will loseC、will be lostD、are lost5、In the USA, he made a lot of friends _B__English well so he could make himself ___.A、learn, understandB、to learn, understoodC、learning, understoodD、learn, understanding《大学英语II》第10章在线测试第一题、单项选择题(每题1分,5道题共5分)1、Everything _D_if Albert hadn’t called the fire brigade.A、will be destroyedB、will have been destroyedC、would be destroyedD、would have been destroyed2、If you hadn’t gone with Tom to the party last night, D__.A、you would meet John alreadyB、you won’t have missed JohnC、you will have met JohnD、you would have met John3、_D__your letter,I would have started off two days ago.A、If I receivedB、Should I receiveC、If I could have receivedD、Had I received4、If it rain next week,the farmers could still have a good harvest. AA、shouldB、couldC、wouldD、might5、Li Ling acted that way as though he a foreigner. AA、wereB、had beenC、should beD、is。
⼤学英语在线测试1_10章答案解析《⼤学英语I》第01章在线测试第⼀题、单项选择题(每题1分,5道题共5分)1、Our house is about a mile from the railway station and there are not many houses ___ .A、in betweenB、far apartC、among themD、from each other2、Mary wanted to avoid running down a dog but ran ___a big tree by the roadside.A、intoB、onC、overD、up3、On average, a successful lawyer has to talk to several___a day.A、customersB、supportersC、guestsD、clients4、What is the train ___to Shanghai?A、feeB、tipC、fareD、cost5、— How are you, Mary? —___Helen.A、How are you?B、I’m fine. Thank youC、How do you do?D、Nice to see you《⼤学英语I》第02章在线测试第⼀题、单项选择题(每题1分,5道题共5分)1、___I like Linda personally, I don’t think what she’s doing is right.A、WhenB、While2、Faced with all the difficulties, the girl___her mother for comfort.A、turned overB、turned fromC、turned toD、turned up3、– Li Hua failed in the math examination. –___A、I’m sorry to hear that.B、Bad luck!C、What a pity!D、Bad news.4、–Good morning. I’d like to check out now please. –___A、Thank you! I will do it immediately.B、Sorry. Wait a moment.C、Your name and room number, please?D、OK. I’ll check the computer.5、– May I take your order, sir? –___A、Give me the bill, please.B、But the price is too high.C、I like the surrounding here.D、I’d like some roast beef and chicken.《⼤学英语I》第03章在线测试第⼀题、单项选择题(每题1分,5道题共5分)1、Can you tell me the house ___ you once lived last year.A、thatB、whichC、whereD、in that2、Practice is a good way to ___listening and speaking.A、noticB、neglectC、decreaseD、improve3、— What can I do for you, sir? —___.4、—Excuse me, sir.___ is it to the nearest hotel? —About 15 min utes’ walk along this road.A、How muchB、How soonC、How farD、How long5、— Would you like ___ the film? —No, I’d rather___ the match.A、to see, to watchB、to see, watchC、seeing, watchingD、to watch, see《⼤学英语I》第04章在线测试第⼀题、单项选择题(每题1分,5道题共5分)1、Japanese businessmen are very ___the details, especially in the aspect of quality.A、in particularB、particular aboutC、particular inD、particular on2、We will leave very early for the airport tomorrow morning, so you had better ___ and arrange a taxi.A、call forB、call inC、call upD、call on3、I have established a good working ___with my boss.A、relationshipB、relativeC、associationD、relaxation4、— I think you look very nice in the red jacket. —___A、Oh, no, I don’t look nice a t all.B、You are very kind.C、I’m glad you think so.C、Thanks.D、I’m proud of you.《⼤学英语I》第05章在线测试第⼀题、单项选择题(每题1分,5道题共5分)1、I’d___be unemployed than suffer such treatment.A、betterB、ratherC、likeD、prefer2、He didn’t turn up until we___the work.A、didB、have doneC、were doingD、had done3、— Would you like to go shopping with me? —___.A、Yes, I’d li ke to.B、Yes. Thank you.C、You are welcome.D、No. You are so kind.4、—Let’s go swimming, shall we? —___.A、No. We don’t.B、Never mind.C、Yes. Let’s go.D、Sorry to hear that.5、— I suggest you work harder on English. —___ .A、You are clever.B、It’s easier said than done.C、I’m afraid not.D、I don’t agree with you.《⼤学英语I》第06章在线测试第⼀题、单项选择题(每题1分,5道题共5分)C、washD、washed2、I’m afraid he can’t___to the idea of having a woman as his boss.A、acceptB、adoptC、adaptD、acquire3、— How about coming with us to the cinema? —___A、That’s all right.B、Don’t mention it.C、With pleasure.D、Never mind.4、— Would you come to our party, please? —___A、I’m afraid I can.B、I’d like to, but I’ve already had plans for tonight.C、Thank you for asking me, but I will come.D、I wish I could, but I’ve brought you a lot of trouble.5、—___, I didn’t mean it that way. —Forget it.A、All rightB、That’s okayC、Thank youD、Forgive me《⼤学英语I》第07章在线测试第⼀题、单项选择题(每题1分,5道题共5分)1、Last year the interest rate for loan______ by 20 percent.A、raisedB、aroseC、arousedD、rose2、The students are kept ______ cleaning the classroom.A、busy withB、busying with3、—Can I help you, sir? —_______.A、Yes, you can help meB、No, I don’t need any helpC、Of course, if you likeD、No, thanks. I’m being served4、—That was a great dinner. _______—Thanks. But it really took only an hour.A、I have never had it before.B、I enjoyed it very much.C、You must have spent all day cooking.D、Who cooked it?5、— Will you be eating here or is this to go? — Oh, ______, please.A、not hereB、take outC、go outD、take back《⼤学英语I》第08章在线测试第⼀题、单项选择题(每题1分,5道题共5分)1、A completely new situation will___when the examination system comes into existence.A、ariseB、riseC、raiseD、arouse2、Features such as height, weight, and skin color ___from individual to individual and from face to face.A、changeB、varyC、alterD、convert3、—Ken, ___, but your TV is too loud. —Oh, I’m sorry. I’ll turn it down right now.A、I’d like to talk with youB、I’m really tired of thisC、I hate to say thisD、I need your help4、— I was really anxious about you. You shouldn’t have left without a word. —___C、I don’t know.D、I’m terribly sorry.5、—You shouldn’t have chosen that kind of book for me. —___A、Oh, don’t complain about gift.B、Sorry, I’ll give you a better one next time.C、Wha t’s wrong with you?D、What can I do for you?《⼤学英语I》第09章在线测试答题须知:1、本卷满分20分。
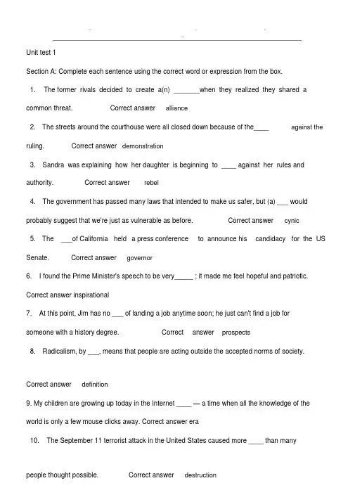
Unit test 1Section A: Complete each sentence using the correct word or expression from the box.1. The former rivals decided to create a(n) _______ when they realized they shared a common threat. Correct answer alliance2. The streets around the courthouse were all closed down because of the____ against the ruling. Correct answer demonstration3. Sandra was explaining how her daughter is beginning to ____ against her rules and authority. Correct answer rebel4. The government has passed many laws that intended to make us safer, but (a) ___ would probably suggest that we're just as vulnerable as before. Correct answer cynic5. The ___of California held a press conference to announce his candidacy for the US Senate. Correct answer governor6. I found the Prime Minister's speech to be very_____ ; it made me feel hopeful and patriotic. Correct answer inspirational7. At this point, Jim has no ___ of landing a job anytime soon; he just can't find a job for someone with a history degree. Correct answer prospects8. Radicalism, by ___, means that people are acting outside the accepted norms of society. Correct answer definition9. My children are growing up today in the Internet ____—a time when all the knowledge of the world is only a few mouse clicks away. Correct answer era10. The September 11 terrorist attack in the United States caused more ____ than many people thought possible. Correct answer destruction11. During the 1960s, many young people chose to _____their country's involvement in the VietnamWar. Correct answerprotest12. The collapsed housing industry in America ultimately had severe consequences for the entire_____ . Correct answer economy13. Pedro asked me to sign the _____ in favor of the proposed law.Correct answer petition14. Traveling through Mexico was a wonderful ____to practice Spanish which I spent so many years studying. Correct answer opportunity15. She chose to major in business at college because she thought it would increase her chances of well-paid _____ after graduation. Correct answer employment16. This artist must be fairly _______; I've never heard of her and I'm an art major! Correct answer obscure17. Mike explained that it was his personal______ that governments should never interfere with other countries' internal problems. Correct answer philosophy18. My father always told me that if I don't have ____ for what I do, I should find something else to do. Correct answer passion19. Subjects like physics and chemistry can cause considerable _____ for students who aren't good at mathematics. Correct answer frustration20. To an economist, there is a huge difference between an _____ society and an agricultural one. Correct answer industrialSection B: Complete each sentence with a suitable word.21. The students took ____ the streets in protest and got a lot of media attention. Correct answer to22. It's difficult to know exactly what the candidates stand___ because they speak in such general terms. Correct answer for23. It wasn't until I moved to college that I realized how much I relied ____ my parents. Correct answer on24. That film about the plight of polar bears really made me sit ____and pay attention to climate change. Correct answer up25. Greg wanted to go jogging in spite ______ the fact that there was a strong thunderstorm. Correct answer of26. I would never be associated ____ an organization that was cruel to animals.Correct answer to with27. The news story was about people who protested because they had been kept ____ the list of eligible voters. Correct answer off28. Barbara decided not to drop ___of college even though she was pregnant. Correct answer out29. Do you really think a group of students can bring___ change in the government? Correct answer about30. President Kennedy hoped that the embargo would bring the Cuban government ___ its knees. Correct answer toPart II: Banked ClozeCorrect answer (31) campus (32) sophomores (33) resignation (34) repressive (35) chanting (36) clash (37) passionate (38) liberal (39) assert (40) apatheticPart III: Reading Comprehension41~45:BCDABUnit test 2Section A: Choose the best way to complete the sentences.1~5:CDBDA 6~10:BCCBD 11~15:ADBCA 16~20:DACACSection B: Complete each sentence with a suitable word.21. Don't let ___ that you like opera, or she'll make you listen to it all the time!Correct answer on22. She had already fallen asleep ___ the time we got back home.Correct answer by23. It was important for the child to calm _____ so the doctor could administer the flu shot. Correct answer down24. Professor Gregory went to the Amazon rainforest ____ search of plants that might help make new medicines. Correct answer in25. All the issues we're facing today stem ____ the President's decision last year.Correct answer from26. I finally worked up the nerve to ask Rick ___ on a date, and he said yes!Correct answer out27. Every time I try to get close and understand Catherine's problems, she pulls___ . Correct answer away28. Alfredo received all the praise and congratulations, ____though he had won the contest. Correct answer as29. If nothing else, that bright yellow coat will definitely help you stand____ in a crowd!Correct answerout30. If you testify in court, you need to tell nothing ___ the truth or you could go to jail. Correct answer butPart II: Banked ClozeCorrect answer (31 trace (32)mostly(33)couch(34) volume (35)repertoire(36)distinct(37) unfold(38)naughty(39)disturbance (40)comprehendPart III: Reading Comprehension41~45:DBCABUnit test 3Part I: Vocabulary and StructureSection A: Complete each sentence using the correct word or expression from the box.1. The investigators searched her house after they received a(n) ____ tip over the phone. Correct answer anonymous2. In this ___, the judge declared the suspect not guilty. Correct answer instance3. The government said the _____ threat level for a terrorist attack is relatively low.Correct answer current4. Tony was caught shoplifting and has been in police ____ since last night.Correct answer custody5. The job of a police investigator is to ____ all the available evidence and figure out who committed a crime and why it was committed. Correct answer correlate6. When we got married, we took almost everything so we definitely had to ____ all of our stuff. Correct answer consolidate7. The suspect was found not guilty since the lawyers couldn't find a(n) _____ of evidence that suggested he committed the crime. Correct answer shred8. The firefighters put their own lives in ____ to save the people trapped in the burning building. Correct answer peril9. Unfortunately, pickpockets are incredibly ____-in many large cities. Correct answer commonplace10. The suspect was arrested because he was in possession of a concealed _____. Correct answer weaponSection B: Choose the best way to complete the sentences.11~15: CBACB 16~20: ABDADSection C: Complete each sentence with a suitable word.21. As a safety measure, it's important to tear ___ bank documents that you don't need anymore. Correct answer up22. It was unbelievable! Kevin was robbed ___ broad daylight! Correct answer at23. Excuse me. Do you have any information ___ file about the Frank Spacey case?Correct answer on24. You can usually count ____ the police to help you out when you're in trouble. Correct answer on25. In order to enter the building, I needed to have my fingerprints scanned ____ a machine. Correct answer by26. I know the security guards need to ask for identification, but I was very unhappy with the way he went ___ it. Correct answer about27. After you check your bank balance online, remember to log ___ so no one else can steal your information. Correct answer off28. I would have helped out last weekend ____ only I had known you were moving. Correct answer if29. Did you cut____ your old credit card after you received the new one? Correct answer up30. Passing through security in an airport takes a long time since the officers sometimes need to look ____ your luggage. Correct answer throughPart II: Banked ClozeCorrect answer (31) scary (32) obviously (33) forge (34) unauthorized (35) fraud (36) undoubted (37) ethical (38) widely (39) mindset (40)globallyPart III: Reading Comprehension41~45: CBAADUnit test 4Section A: Complete each sentence using the correct word or expression from the box.1.Thomas is a journalist and will go to Russia next week on __ for a new story.Correct answer survey assignment2. China's victory in the World Cup semifinals was so___ that people were up all night celebrating. Correct answer unexpected3. The city newspaper conducted a(n) ___of residents to see what they thought of the new law. Correct answer survey4. The election of US President Obama had such ____importance that it will be taught in classrooms for years to come. Correct answer historical5. Newspaper journalists must follow a set of established ____when they write their articles. Correct answer guidelines6. I couldn't believe that the politician had the nerve to__those comments! Correct answer deny7. People all over the country were ____ dissatisfied with the election. Correct answer similarly8.It was hard to trust Bill's ___after he was caught lying and cheating.Correct answer integrity9. That editorial was about the government's responsibility to help people who are unemployed and living in___ . Correct answer poverty10. The recovery of the missing girl and the____ of her kidnappers made headlines for a week. Correct answer captureSection B: Choose the best way to complete the sentences.11~15: BADAA 16~20: BCBDCSection C: Complete each sentence with a suitable word.21. Do you think twenty-four-hour news channels will ever run out __ things to report about? Correct answer of22. The local newspaper decided to lead__ the story about the election results. Correct answer with23. Unfortunately, many people believe that if it's ____print, then it must be true. Correct answer in24. In the United States, more than seven___ of every ten people own a computer. Correct answer out25. The music was____ loud that I asked Carl to turn it down. Correct answer so26. I generally don't believe something unless I can see it ____ my own eyes.Correct answer with27. Eventually, the killer was caught____ the police, but it wasn't soon enough. Correct answer by28. I read an article that newspapers and magazines will disappear_____ the future and everything will be online. Correct answer in29. When I lived abroad, I was forced to turn _____the Internet to stay current with the news. Correct answer to30. It's nice to know that people still read real books in spite ______ new technology like e-books and digital downloads. Correct answer ofPart II: Banked ClozeCorrect answer (31) websites(32)blog (33)billion (34) laptop (3) momentous (36) moreover (37) ferocious (38) chase (39) startled (40) feedbackPart III: Reading Comprehension41~45: CBDABUnit test5Part I: Vocabulary and StructureSection A: Complete each sentence using the correct word or expression from the box.1. There is a(n)___ need for relief aid to victims of the earthquake.Correct answer immedia te2. I felt that he didn't get the ____ he deserved for his role in the peace treaty.Correct answer recognition3. During times of great uncertainty and struggle, many people appreciate a few moments of true___ relief. Correct answer comic4. All wars create a(n) ____amount of damage in the affected countries. Correct answerconsiderable5. The atomic bomb has the ability to destroy all of____ if we're not careful. Correct answer humanity6. World War II began in 1939 when the German military ___ Poland. Correct answer invaded7. The government has threatened to take ____ action if the rebels do not withdraw from the area. Correct answer military8. My grandfather never ____ any emotion when he spoke of his experience during the war. Correct answer displayed9. We all owe a debt of gratitude to the many ____ troops who fought and died with bravery during World War II. Correct answer combat10. "Can you please stop this _____ behaviour for five minutes and act like adults?" his mother demanded. Correct answer childish11. If you___ the truth, your trial will be difficult; it's best to just honestly answer all questions. Correct answer conceal12. There is a(n) ____ in her contract which specifies when she will be paid.Correct answerclause13. Freedom of speech is the ____ of a solid democracy. Correct answer foundation14. The ceremony was held to honor war veterans who displayed amazingly____ deeds on the battlefield. Correct answer heroic15. The ____ made by American colonists in 1776 ultimately led to their independence from Great Britain. Correct answer declaration16. Unfortunately, we don't live in a(n) ____ world, so there will always be disagreements and conflict. Correct answe ideal17. The general went on a top secret ____ into enemy territory. Correct answer mission18. Could you please ____which date you will visit the museum?Correct answer specify19. Sadly, there was only one____ from the plane crash. Correct answer survivor20. The crisis in that country is having an effect on neighbouring countries because _____ are crossing the borders in huge numbers. Correct answer refugeesSection B: Complete each sentence with a suitable word.21. Jeffrey is a good man ____ heart; he just has difficulty expressing himself.Correct answer at22. Children must be supervised ____ all times while in the park. Correct answer at23. As the Nazis' power grew, more and more Jewish people went ___ hiding.Correct answer into24. Captain White was awarded the Medal of Honor in recognition ____ his service to the nation. Correct answer of25. I was cleaning out the attic and I came ____ my grandparents' old letters to each other. Correct answer across26. It's sometimes hard to believe, but many wars actually change the world _____the better. Correct answer for27. My grandfather considers his war wound to be a badge __ honor.Correct answer of28. He was presented with a gold watch ___recognition of his service in the company. Correct answer in29. The news this morning reported that the refugees were crossing the border ____ droves. Correct answer in30. I promise to contact you as soon __ I get to Japan. Correct answer asPart II: Banked ClozeCorrect answer (31) optimism (32) evil (33) cruelty (34) bloodshed (35) reveal (36) respectful (37) commander (38) roughly (39) fate (40) insanePart III: Reading Comprehension41~45: DCBADUnit test 6Section A: Complete each sentence using the correct word or expression from the box.1.After playing football all afternoon, Philip felt complete and total__.Correct answer exhaustion2. "When you get the ball," the coach declared, "your ___ is to score a goal!"Correct answer priority3. Alex Helena's____ aching back. Correct answer massage4. The physical and emotional _____ of training for a marathon can be too much for any athlete. Correct answer strain5. Kevin was embarrassed because his team placed last in the ____.Correct answer tournament6. Many runners describe an amazing ____ peace that comes with long hours running alone and in silence. Correct answer inner7. Mike Tyson was a very famous boxer because he could often knock out his opponent with only one ____. Correct answer punch8. Stadiums filled with thousands of screaming fans is a perfect___ of why I want to be a football superstar. Correct answer illustration9. If you want to be rich and famous, you might want to consider becoming a(n)____ athlete. Correct answer professional10. He got out of bed and had a(n) . Correct answer stretch11. Boxing is a sport that doesn't seem to have much_____ ; two guys just hit each other until one falls down. Correct answer strategy12. The tournament was filled with incredible _____ once the favourite team was knocked out of competition. Correct answer suspense13. I enjoy watching rugby but I don't understand the rules and have no ____ what's happening. Correct answer clue14. His constant ____ is that no one understands him. Correct answer moan15. Rules should be very straightforward; there should be no room for____ .Correct answer interpretation16. Sheila eats an energy bar every afternoon to give her an extra ___ to help her get through the day. Correct answer boost17. Popular NBA players are often greeted on the court with a(n) ____ of cheers and applause. Correct answer chorus18. Golf is a sport that focuses on technical ___ rather than physical ability.Correct answer precision19. To many people unfamiliar with the game, baseball is a complete___ .Correct answer mystery20. Police believe that the same man is _____ for three other murders in the area. Correct answer responsibleSection B: Complete each sentence with a suitable word.21. The baseball player wants to play for a different team, but he decided to wait and hold ___ for a better offer. Correct answer out22. I once met Michael Jordan, ____ chance, in a hotel lobby. Correct answer by23. At the Olympics, we were lost in a sea ___ spectators trying to watch the event. Correct answer of24. Patty decided to do the right thing and blow the whistle ____ the students who were cheating. Correct answer on25. About halfway through the race, my adrenaline took ___ and helped me keep going. Correct answer over26. He was so sweaty after the game that he literally had to peel___ his shirt.Correct answer off27. You've got to bear ____ mind that he's been training for three years for this moment. Correct answer in28. The basketball player had to shut ____ all the surrounding lights and noise if he wanted to win the game. Correct answer out29. Nina, as Richard's coach and trainer, took the credit ___ his victory. Correct answer for30. Even though she's twice my age, I find it difficult to keep ____ with her.Correct answer upPart II: Banked ClozeCorrect answer (31) referee (32) soaring (33)roar (34) madly (35)aloft (36) accidentally (37 Collided (38) random (39) teammates (40) incurPart III: Reading Comprehension41~45: CBDDAUnit test 71~5: ACADA 6~10: BBDAB 11~15: DBCAC 16~20: BCDDCSection B: Complete each sentence with a suitable word.21. His son decided to go back to school to work ____ animal behaviour research. Correct answer on22. Our cats are just ____ the same age. Correct answer about23. Polar bears are sometimes forced to go ___the ice to find food. Correct answer under24. Her research brings ____ many interesting questions. Correct answer up25. Learning about animals alive during the time of the dinosaurs is difficult, but scientists are, bit ____ bit, making progress. Correct answer by26. Many dog owners project all human emotions ____ their pets, even when it's ridiculous to do so. Correct answer onto27. Don't hang___ the phone. I want to talk to Thomas too. Correct answer up28. Marilyn has so many pets that I find it hard to keep track ___ them all. Correct answer of29. My cat has been acting slow and tired, but I put that down____ the recent heat and humidity. Correct answer to30. It's amazing, Patty's dog has begun watching ____the baby like it was its own puppy!Correct answeroverPart II: Banked Clozeanswer (31) burglar (32) robbery (33) panting (34) investigate(35) indication (36) unreliable (37) intrusion (38) puppy (39) leap (40) lickPart III: Reading Comprehension41~45: CBBDAUnit 81. For me, television is just a(n) diversion, but some people consider it a full-time activity.2. Snorkeling and scuba diving are great pastimes, but they also have inherent risks that make them dangerous.3. When I move to a new house, I think I'll need a(n) additional room for all of my hobbies.4. John plays team sports in his free time because he appreciates the interaction with other people.5. My current job involves a lot of manual labor, so I'd prefer that my next job be at a desk.6. Any hobby can take over your life if you spend a(n) excessive amount of time doing it.7. I have to write an essay about what I like to do in my leisure time.8. The outlook for the sports industry looks great; more and more people are trying to stay healthy through sports.9. Most people don't see much excitement in stamp collecting, but I really enjoy it.10. My friends all think magic is a(n) peculiar hobby, but I find it interesting and it makes me happy.11-20 ACABA DBDBC41-45 ACDBBUnit 91-10cement entertaining employer flexibility; shortage ;location; personality dedicated; numerous; surgery11-20 ABCAB ADCBD41-45 CCBDAUnit 10e41-45 CDABD如有侵权请联系告知删除,感谢你们的配合!。
《⼤学英语II》在线测试第⼀题、单项选择题(每题1分,5道题共5分)1、More and more young people enjoy ______ to pop music.A、listeningB、hearingC、to listenD、hear2、We were all _______ by the speech given by the blind girl yesterdayA、movingB、moveC、to moveD、moved3、It is _______ for us to see the great changes in our hometown.A、amazingB、amazedC、amazesD、to amaze4、_______ may cause lung cancer.A、SmokeB、SmokingC、SmokesD、Smoked5、If you keep ______, you will succeed sooner or later.A、to tryB、triedC、tryingD、tries第⼀题、单项选择题(每题1分,5道题共5分)1、By the time she is 50 years old, she _____ an inmate of the prison for over half of her life.A、will have beenB、will beC、would have beenD、would be2、There was a knock at the door. It was the second time someone _____ me that evenin g.A、to have interruptedB、would have interruptedC、to interruptD、had interrupted3、He has been writing the essay the whole morning and he still ___ .A、hasB、isC、has beenD、does4、Greater efforts to increase agricultural production must be made if food shortage ______ avoided.A、is to beB、can beC、will beD、has been5、Our modern civilization must not be thought of as ______ in a short period of time.A、being createdB、having createdC、creatingD、having been created第⼀题、单项选择题(每题1分,5道题共5分)1、It was at this shop __________ I bought the watch. Why not come in and have a look?A、thatB、whichC、whatD、who2、__________ that silver is not widely used as a conductor?A、Why isB、Is it whyC、Why is itD、Why is that3、Was it during the Second World War _________ he died?A、thatB、whileC、in whichD、then4、It _________ at Christmas that John Smith gave Mary a handbag.A、must haveB、will beC、might have beenD、may have had5、__________ surprised me most was_________ some of the village people seated on the benches at the end of the room.A、That, seeB、what, seeC、what, to seeD、That, to see第⼀题、单项选择题(每题1分,5道题共5分)1、So _____ in the darkness that he didnˊt dare to move an inch.A、he was frightenedB、was he frightenedC、frightened he wasD、frightened was he2、Never in my life ____ such a thing.A、have I heard or seenB、I have heard or have seenC、I have heard or seenD、did I hear or see3、Jimmy was so nervous, not a single word _____ down in the dictation.A、he wroteB、he was writtenC、did he writeD、was he written4、_____ , I would accept the invitation and go to the party.A、Were I youB、Was I youC、Had I been youD、Would I be you5、Not only _____ a promise, but also he kept it.A、did he makeB、he madeC、does he makeD、has he made第⼀题、单项选择题(每题1分,5道题共5分)1、He had just got out of the bus there was a fire in it.A、whileB、tillC、whenD、as2、Please write it down you forget it.A、whenB、beforeC、every timeD、after3、In holidays, you can visit you are fond of.A、whereB、whichC、whenD、wherever4、She came---late that she missed the important lecture.A、tooB、ratherC、veryD、so5、I won’t attend the party she invites me.A、evenB、untilC、unlessD、though第⼀题、单项选择题(每题1分,5道题共5分)1、I made friend with that guy, turned out to be kind-hearted.A、thatB、whichC、whoD、he2、Looking at all he had achieved, he couldn’t help weeping.A、whatB、whichC、asD、that3、The effort to finish the project, he had expected, was a success.A、whichB、likeC、thatD、as4、I don’t know the reason he was absent.A、whyB、becauseC、whichD、as5、Anny, in house I spent my holiday, is an old friend of mine.A、hisB、whichC、whomD、whose第⼀题、单项选择题(每题1分,5道题共5分)1、It was not until dark ______ he found ______ he thought was the correct way to solve the problem.A、that; whatB、that; thatC、when; whatD、when; that2、______ do you think _____ we should do to improve our English?A、/; whatB、what; thatC、what; /D、how; that3、The argument remained heated ______ there are necessary conditions of existence s uch as water on the Moon.A、thatB、whetherC、ifD、about which4、Your shoes are ______.A、where they wereB、the place you putC、in the corner that you putD、there they are5、The poor young man is ready to accept _____help he can get.A、whicheverB、howeverC、whateverD、whenever第⼀题、单项选择题(每题1分,5道题共5分)1、Each man and each woman ______ asked to come.A、areB、isC、hasD、were2、Many a student ______ finished this assignment.A、hasB、haveC、is seenD、sees3、Ten thousand dollars______ more than I can afford.A、has beenB、have beenC、isD、are4、Neither Jane nor Steven _____ watching TV now.A、wereB、isC、wasD、are5、There ______two books and a bag on the desk.A 、hasB 、haveC 、isD 、are第⼀题、单项选择题(每题1分,5道题共5分)1、Cleaning women in big cities usually get ______ by the hour.A 、payB 、payingC 、paidD 、to pay2、Mary looks unhappy because she has ______ by her classmates.A 、laughedB 、laughed atC 、been laughedD 、been laughed at3、______ that the sports meet might be put off. Yes, it all depends on the weather.A 、I ’ve toldB 、I ’ve been toldC 、I ’m toldD 、I told4、I ______ to stay here if I can.A 、have been meaningB 、meanC 、am meaningD 、have meant5、Hundreds of jobs ______ if the factory closes down.A 、loseB 、will loseC 、will be lostD 、are lost第⼀题、单项选择题(每题1分,5道题共5分) 1、If I with her last summer ,I with her now.A 、worked …am getting on very we llB 、had worked …would get on very wellC 、had worked … would have got o n very wellD 、had worked …will get on very well2、If you hadn ’t gone with Tom to the party last night, ______.A 、you would meet John alreadyB 、you won ’t have missed JohnC 、you will have met JohnD 、you would have met John3、___ your letter,I would have started off two days ago.A、If I receivedB、Should I receiveC、If I could have receivedD、Had I received4、If it rain next week,the farmers could still have a good harvest.A、shouldB、couldC、wouldD、might5、Li Ling acted that way as though he a foreigner.A、wereB、had beenC、should beD、is。
Unit 1Active reading 13. Match the words in the box with their definitions.1 a subject that people discuss or argue about (issue)2 a chance to do something (opportunity)3the most important and powerful people in the country (establishment)4an area of land containing all the main buildings of a university (campus)5 something such as a meeting or public statement by people who strongly disagree with a policy, law etc (protest)6to start a major activity (launch)7chances of success, especially in a job or a career (prospects)8work that you are paid regularly to do for a person or company (employment)4 Complete the paragraph with the correct form of the words in Activity 3. Whatare the most important (1) issues for students today? Is the university (2)campus really such a different place compared to what it was 40 years ago? Perhaps,as the passage suggests, there are fewer (3) protests by students against the (4)establishment than there used to be. And of course, improving your (5) prospectsof being competitive in the (6) employment market is a major concern for studentseverywhere, since a good university degree is the means by which you can (7) launch your career. But in spite of all this, the role of the university is the same asit always has been. It is the place where you have the (8) opportunity to learnto think for yourself.5 Replace the underlined words with the correct form of the words and phrasesin the box. You may need to make other changes.1 There were fights between police and protestors outside the US Embassy. (clashes)2 The two parties formed a temporary political arrangement to respond to the problem. (alliance)3 I ’ ve always considered myself as someone who is tolerant of other people ’ s idea.(liberal)4The chief official of an American state has a lot of power. (governor)5The financial situation of Western European countries rapidly improved in the1960s. (economy)6The 1960s were associated with a new type of popular music. (characterized)The 1960s were characterized by a new type of popular music.7 Mark left college without finishing the course and joined a rock band. (dropped out)8 For many people, listening to their music was an experience which made them feel free. (liberating)For many people, listening to their music was a liberating experience.9 For some people, an interest in politics went hand in hand with a strong enthusiasmfor music. (passion)6 Answer the questions about the words.1(b) not very clearly?2(a) active?3(b) who disagrees publicly with the government?4(b) not interested in it?5(b) exciting?6(a) get smaller?7(a) often in touch with them?8(b) great pleasure?翻译1. Instead of resolving contradictions, the series of measures taken by the government gave rise to more violent clashes. The Opposition formed an alliance with the trade unions and launched a general strike, which ultimately brought about the downfall of the government.2. Nowadays, the gap between the university and the real world is shrinking and the students are becoming more and more practical. Gone are the days when the university was an ivory tower in which scholars pursued knowledge as an end rather than a means to an end.3.I never hoped to learn the subject well by attending those lectures. But I didgo to lectures, for it was the place where I could get the important points ofthe course and learn how to organize materials and how to reason.4.Although I have been trying every means to solve the problem, I cannot workout a satisfactory solution. But when I went to the kitchen to get a drink, somethingclicked and made me realize that the solution might be quite simple.Unit 2Active reading 1Dealing with unfamiliar words4 Match the words for actions in the box with their definitions.1to gently move your hand over skin, hair or fur (stroke)2to move along the ground on your hands and knees (crawl)3to copy someone ’ s actions, words or behaviour (imitate)4to touch someone. (pat)(a)My father patted me on the head to show he was pleased with me.(b)Children learn a lot by imitating their parents.(c)Babies start learning to crawl at about six months old.(d)She was sitting quietly in the corner, stroking the cat.5 Replace the underlined words with the correct form of the words in the box.You may need to make other changes.1(distinct)2(Infants)3(sympathetic)4(stem from)5(trace; discipline)6(an overall; distress)改写: A lot of my childhood memories have faded now, but I have an overall impression that Ioften felt a vague sense of distress.6 Answer the questions about the words and phrases.a a a ab b a a bActive reading 23 Choose the best way to complete the sentences.c b bd c c b c4 Match the words in the box with their definitions.1(honorable)2(drama)3(beam)4(catalog5(volume)6(knot)7(couch)8(clip)9(mostly)5 Complete the summary with the words in Activity 4.honorable, beam, mostly, catalog, clip, knot, couch, volume, drama6 Answer the questions about the words and phrases.b a a a b a a b b翻译1. The moment I saw those old photos in the drawer, tears welled up in my eyes, formy memory went back to the days when I lived happily with my grandparents,my parents and my brothers and sisters.2. Whena student slipped on a pool of water and fell over, people ’s reaction diverged from one another. Some approached caringly to see if he was hurt and if they couldhelp; some just stood there confusing over what to do about it; while others justtuned out.3. Last Saturday morning, I did the usual and went shopping in the supermarket.WhenI was about to open the door of my car, I found that I did not have my walleton me. I could do nothing but go back home in search of it, but I failed to find itanywhere.4. When I was a second grader, one of my classmates got a red radio control toy caras a birthday gift.The rest of us could only admire, but could not imitate, because the car was expensive and was bought in Hong Kong, a place which seemed to usas far away as America.Unit 3Active reading 13 Choose the best way to complete these sentencesc d a b c4 Match the words in the box with their definitions.1 the crime of obtaining money from someone by tricking them (fraud)2 something done to protect people or things against possible harm ortrouble (precaution)3 the act of tricking someone by telling them something that is not true(deception)4 rubbish such as paper and plastic bags (trash)5 used in homes, or relating to homes (household)6 from one evening to the next morning (overnight)5 Replace the underlined words with the correct form of the words and phrase in the box.1(obviously)2(online)3(log off)4(commonplace)5(forge)6Answer the questions about the wordsb b a a a a b b aActive reading 23Choose the best way to complete the sentences.c ad b cDealing with unfamiliar words4 Match the words in the box with their definitions.1 an example of something happening (instance)2 by a lot of people, or in a lot of places (widely)3 the activity of buying and selling goods and services (commerce)4 unpleasant or insulting,and likely to make people upset or embarrassed (offensive)5 an object that can be used to hurt people or damage property, for example a gun,knife or bomb (weapon)6 happening or existing now (current)7 to get something from someone who does not want to give it to you (extract)5.Answer the questions about the words.a b b a a a a aLanguage in use4 Answer the questions about the words and expressions.b b a b a b b a b b翻译1. These are important documents, the content of which should be kept strictlyconfidential. If you need to dispose them, you must shred them instead of throwing them out with the trash. Would you please sign for them in this form?2. Nowadays, white-collar crimes such as forging checks, ID cards and credit cards have become very common. Though we have learnt much about how to prevent ourselves from being cheated, it seems that we could be its victims at any time.3. It is certainly good if they can sell us the machine at a lower price, but itis not even bad if they sell it at the present price, which is already quite reasonable. Now the problem is not with the price, what I care now is what we can do with it.4. Why does it matter that a library has many new books and electronic resourcesreadily available to the readers? This is because if so, the scholars know the latest development in their own fields and know whether their research is valuable.Unit 4Active Reading 13 Choose the best answer to the questions.1-7 c a c d a a c4 Answer the questions about the words in the box.1No, it is made more exciting in some way.2 A very long time, centuries.3They should follow the guidelines.4They should check the source.5They live in poverty.6.It is image.7.It is element.5 Match the words in the box with their deinitions.1-9 (chase) (trainee) (erode) (odd) (horror) (startle)(echo)(reaction)(frame)6 Complete the sentences with the correct form of the words in Activity 5.1.reactions horror2.chase3.echoes4.startled5.trainees6.eroded7.oddest8.frame7 Answer the questions about the words.1-6 a b a b b aActive Reading 23 Match the words and phrases in the box with their deinitions.1-8 (assignment) (editorial) (revenue) (close down) (survey) (rely on) (feedback)(bureau)4 Complete the conversation with the correct form of words and phrases in Activity 3.1.assignment2.bureau3.rely on4.feedback5.surveys6.editorial7.revenue8.close down5 Replace the underlined words with the correct form of the words in the box.1.capture2.established, Nevertheless3.estates4.integritypact, Moreover6.journalism6 Answer the questions about the words and expressions.1-9 b a a b b a a a b7 Look at the sentences from the passage and choose the best meaning.1-6 a a b b a bLanguage in use1 Replace the underlined words with compounds made from down and the words inbrackets.1-6 (downtown) (download) (downgrade) (downstairs) (downmarket) (downturn)2 Replace the underlined words with phrasal verbs made from the verbs inbrackets and down.1.(go down)2.(turned me down)3.(run down)4.(stand down)5.(got down)6.(handed down)7.(brought down)8.(broke down)3 Rewrite the sentences using by someone + participle.1The late-night edition of the paper was bought by a lot of people interestedin the results of the match.2The princess was followed across the town by photographers determined to geta photo of her.3The programme was watched by millions of people hoping to win the star prize.4 The alarm was set off by two children startled to hear a noise in the back room.5 The police were contacted by one of the boys ’ mothers worried that he might have got lost6.The front-page headlines were changed by the editor hoping to be the firstto break the news.7.Online editions of the newspapers are being read by more and more people notwanting to buy the traditional edition.4Rewrite the sentences using So + inversion + that.1 So odd was the newsreader ’ s accent that I couldn ’ t understand what she was saying.2 So incrediblybad was the language on that programme that I switched off the TV.3 So exaggerated was the story that it had to be completely rewritten.4. So careless was one of the trainees that he left his notebook at the scene ofthe crime.5So great was the distance from one region to the next that we had to travelby plane.6 So slow were Frank’ s reactions that he wasn’ t able to avoid hitting the carin front.6 Translate the sentences into English.1. So sudden, so striking was the news that I sat motionless on sofa for a few minutes. My frist instinct was to call our leaders to tell them what had happened and seewhat we can do for those colleagues who died or got injured in this traffic accident.2. Paper books for children have an enormous advantage over e-books. For children,a beautifully printed paper book is not only a book but also a toy they can play with.Reading a paper book is rather different from reading a book on the screen.3.In recent years, traditional media are in the tendency of decline and new mediaare developing rapidly. However, this does not necessarily mean that traditionalmedia have lost the market. When it comes to reading things like news, people arestill used to such traditional media as newspaper.4. With the explosion of the financial crisis,many enterprises find themselves in difficulties. For those who have no circulating fund to invest on new productionand would not let the vicious circle continue, the only thing they can do is to turn to government for help.Unit 5Active reading 14 Match the words in the box with their definitions.1military2bloodshed3combat4mission5heroic6commander5 Complete the sentences with the words in Activity 4.1commander2combat3mission.4heroic5military6bloodshed6 Replace the underlined words with the correct form of the words in the box.1.primarily2.reveal3.insane4.clause5.specifies6.immediateic7 Answer the questions about the words and phrases.1-6 a a b b b bActive reading 22 Choose the best way to complete the sentences.1-6 b c c d a d3 Match the words in the box with their definitions.1fate2confine3cruelty4survivor5emigrate6evil7badge8invade9refugee4 Complete the passage with the correct form of the words in Activity 3.1evils2cruelty3emigrate4refugees5invaded6badges7confined8fate9survivors5 Replace the underlined words with the correct form of the words in the box.1moody2considerable3concealed4publication5recognition6childish7display8ideals9humanity6 Answer the questions about the words and phrases.1-5 b b a b aLanguage in use1 Complete the sentences with the words in brackets and the appropriate preix up-or under-.1underwater2update3underestimate4uphill5underpants6upgrade7upright8underground2 Replace the underlined words with the correct form of the verbs in brackets.1Can you text me when you arrive?2I would like to video this scene.3Samantha is bussed to school every morning.4How can I access your account without the password?5About 100 people crowded into the waiting room.6I ’ ve already mailed you my reply.7 That ’ s a lot of money you ’ ve got there. I think you should bank it.8 Scientists have succeeded in mapping the human genome.3 Rewrite the sentences, beginning with the expressions in brackets.1 The day will come when he will be able to speak fluent English.2 The time will come when you ’ ll both have to get a job one day.3 There will come a day when you will have a chance to write about the experience.4 Perhaps the day will come when I will understand.4 Rewrite the sentences using what must it be/have been like.1 If it ’s very cold here, what must it be like in Scotland?2 If houses are expensive in this part of country, what must they be like in Paris?3 If the reading list is rather long in the first year, what must it be like inthe second year?4 If incomes are very low here, what must they have been like a hundred years ago? 5If the rules are completely crazy in peacetime, what must they have been likeduring wartime?6If life is hard now, what must it have been like during the Middle Age?6 Translate the sentences into English.1. Though they came across many difficulties,under his leadership theysuccessfully found a market for their products, and the overall situationwas changing for the better. In recognition of his outstanding contributions,the company decided to give him a flat as an award.2.When John challenged him to fencing, he was very embarrassed because heknew that he was no match for John at fencing. If he took the challenge, he wouldsurely lose; but if he didn’ t, he would be a coward.3.He caught a cold yesterday. Assuming that he would get better after a goodnight ’ s sleep, we sent him to school this morning. But later in the afternoon, he got back home with a fever and was confined to bed.4. In the past few years, I have had several severe illnesses and lived in a stateof poverty, but I have never abandoned my dreams. In spite of everything I clung to my dreams, which has turned out to be a great support and comfort to me.Unit 6Active reading 14 Replace the underlined words with the words and phrases in the box.1(exhausted)2(roar)3(stretch)4(boost)5(strain)6(inner self)7(composed)5 Match the phrases in the box with their definitions.1(set off)2(lead up to)3(miss out)4(pull away)5(keep up with)6(fight back)7(shut out)8(count down)6 Answer the questions about the words.1-9 a a b b b a a a bActive reading 24 Match the words in the box with their definitions.1(illustration)2(precision)3(strategy)4(interpretation)5(soar)6(moan)7(punch)9 (priority)5 Answer the questions about the words and expressions.1-9 a b b b b a a a b6 Match the people with their roles.1 chorus2 referee3 shooter4 striker(a)a football player whose main job is to score goals (striker)(b)a player who aims the ball at the goal (shooter)(c)a group singing together, who are not the main performers (chorus)(d)a person who makes sure that players obey the rules (referee)Language in usecould1 Match the uses of could with the sentences.1-(b) 2-(b) 3-(c) 4-(c or b) 5-(a) 6-(c)7-(a)could or was / were able to2 Look at the sentences and answer the questions.1-(a) 2-(c) 3-(b) 4-(e) 5-(d)it3 Look at the sentences and decide what it refers to.1-8 a a b b b a a a6 Translate the sentences into English.1.He cried his heart out when he heard that he was not in the list of the schoolteam. After all, he had gone through months of hard training and gruellingcompetition, and had learned how to shoot with great skills and accuracy.2.The coach, who was known for his strictness, had meant from the very start forall the players to shut out all the distracting thoughts and push themselvesbeyond their limits to ensure that they win a medal at the 29th Olympic Games held in Beijing.3.Since after he took over the team, the new coach has always borne in mind hismission and finally made it to the championship of the league matches. When interviewed, the coach was at a loss for words because of excitement.4.Football is an amazing sport. Despite the fact that most finals are 0-0, 1-0,or 2-1, people keep flocking to see football games. For me, it remains a mystery what is so attracting about football.Unit 7Active reading 14.Match the words in the box with their deinitions.1magnificent2leap3penetrate4approximate5motion6lick7giant8paw9layer5 Answer the questions about the words.1-9 b a a a b b b b a6 Read the passage again and choose the best answer to the questions.1-5 d b a d cActive reading 24 Match the words in the box with their deinitions.1evolve2tunnel3repeatedly4filter5capable6pendulum7uncover8attribute5 Replace the underlined words with the correct form of the words in the box.1indications2investigate3hint4reproduce5compelling6Answer the questions about the words.1-9 a a a b a b b a a7Look at the sentences and decide what the underlined words refer to.1-9 a b b a b a a a bLanguage in use7 Translate the sentences into English.1. The burglars were throwing the stolen items to the pickup and were just aboutto drive away when the guards watching over the living quarters found them and called the police.2. The three soldiers had walked with difficulty through the woods for a whole day, trying to navigate to the east bank of the river, only to find that they had beencircling the woods and were still dozens of miles short of their destination.3. It seems to me that the scholar who talked about animal intelligence this morning has obviously overestimated the animal intelligence. She went so far as to suggest that chimpanzees can communicate with humans through computers.4.As volunteers, what we need to do is not just limited to smiling to those whocomes to us forInformation and help. We must also learn skills for cross-cultural communication,without which our job can not be satisfactory.Unit 8Active reading 15 Match the words in the box with their definitions.1(enforced)2(pastime)3(additional)4(outlook)5(aggravate.)6(trifling)7(compensation)8(manual)9(grip)6 Complete the sentences with the correct form of the phrases in the box.1 tired out2 let it go3 to death4 at hand5 lay our hands on6 in vain7 Answer the questions about the underlined words.1-9 b a a a b a b b b8 Look at the sentences from the passage and decide what the underlined words refer to.1-6 b a a b a bActive reading 24 Replace the underlined words with the correct form of the words in the box.(1) fulfilled (2) leisure (3) inherent (4) interaction (5) virtual (6) peculiar (7) insult5 Complete the sentences with the words in the box.1span2sin3chill4excessive5extensive6removal6 Answer the questions about the words and expressions.1-4 a a a bLanguage in use5 Translate the sentences into English.1. It ’ s no use burying yourselves in books all day. You ’d better take up some hobbies and take part in sports or extracurricular activities at intervals. A healthy study habit is to keep a balance between work and rest.2. If your job is rightly chosen, it will not only gives you a means of sustenance, but also help you escape from the boredom and banish from your mind the worry about leading a meaningless life after so many years of higher education.3.When he had nothing to do at hand, he used to volunteer to do something forhis community. It may well be that under his influence more and more people inthe community joined in to become volunteers.4.I used to watch TV series late into the night, which took up too much time andrisked my health and shape. To avoid temptation, I removed the TV set from my roomand took up other leisure activities such as reading and playing piano.Unit 9Active reading 14 Match the words in the box with their definitions.1(numerous)2(employer)3(shortage)4(entertain)5(dread)6(option)7(personality)8(cater)5 Replace the underlined words with the correct form of the words in Activity 4.You may need to make other changes.1(numerous)2(catering; option)3(dreaded)4(employers; personality)5(shortage)6 (entertained)6 Answer the questions about the words and expressions.1-9 a a b a b a b b aActive reading 24 Match the words in the box with their deinitions.1(installation)2(cement)3(dedicate)4(location)5(flexibility)6(participant)5 Complete the paragraph with the correct form of the words in Activity 4.1participant2dedicating3locations4installation5cement6flexibility6 Answer the questions about the words.1-5 a a a b aLanguage in use7 Translate the sentences into English.1. Nowadays in China, it ’ s no longer so hard for high school graduates to go touniversity, because there are three times as many universities as there were 20 years ago. But to be admitted by a first-class university, you still need to be morecompetitive than your peers.2. It is worthwhile to spend money on this project, for the career skills you acquire in the process are bound to help improve your prospects in your search for a joband all your efforts will eventually pay off.3. Though I can learn team work by working side by side with other volunteers, Ineed to pay for the participation. I have to acknowledge that I am now spending more time doing part-time jobs to save up for the project, which makes me feel a shortage of time.4.Different sports have different requirements in terms of height, age, strengthand stamina. Therefore, there are as many types of athletes as there are sports.There can be no doubt that anyone who wants to get some exercise can find the right sport.Unit 10Active reading 14 Choose the best way to complete the sentences.1-5 a b b a c5 Match the words in the box with their deinitions.1-6 (hence) (interference)(amazingly) (exert)(resolution)(relativity)6 Complete the sentences with the correct form of the words in Activity 5.1-6 (relativity) )(amazingly) (exerted) (interference) (resolution) (hence)7 Answer the questions about the words in the box.1-7 b b b a b a b8 Answer the questions about the words.1-5 a a a b aActive reading 23 Choose the best answer to the questions.1-4 c c d c4 Work in pairs. Identify the ilm in which:1Aliens2Superman3Empire of the Ants4Star Trek: The Voyage Home5The Day the Earth Caught Fire5 Match the words in the box with their deinitions.1(proposal)2(depressing)3(shift)4(explosion)5(namely)6(dreadful)7(outdated)6 Complete the sentences with the correct form of the words in Activity 5.1outdated2shifted, namely3depressing, explosion4dreadful5proposal7 Answer the questions about the phrases.1-5 a a b b a8 Check ( ) the supporting ideas from the irst three paragraphs.2,4,5,6,8Language in use6 Translate the sentences into English.1.He was right about that. The way the building fell suggests that the contractorhad cut corners and the workers had not followed regular procedures. But weneed to carry out an investigation to gain specific, hard evidence against them.2. Despite the short distance between the village and the town, it took the villagersabout 4 hours to go over the mountains to reach the town. Finally they decided tomake a tunnel that goes right through the mountain that blocked their way.3. So cold was the weather that they gathered around the stove to soak up the warmth. They had fallen victims to the snow storm which, as well as killing many wild animals and cattles, had cut off their food supplies.4.This is nothing but a lie. I know what he has in mind. He is trying to lay thefinger of blame on those who have for all these years worked day and night forthe project and escape his own responsibility for the failure.。
Unit test 1Section A: Complete each sentence using the correct word or expression from the box.1. The former rivals decided to create a(n) _______ when they realized they shared a common threat. Correct answer alliance2. The streets around the courthouse were all closed down because of the____ against the ruling. Correct answer demonstration3. Sandra was explaining how her daughter is beginning to ____ against her rules and authority. Correct answer rebel4. The government has passed many laws that intended to make us safer, but (a) ___ would probably suggest that we're just as vulnerable as before. Correct answer cynic5. The ___of California held a press conference to announce his candidacy for the US Senate. Correct answer governor6. I found the Prime Minister's speech to be very_____ ; it made me feel hopeful and patriotic. Correct answer inspirational7. At this point, Jim has no ___ of landing a job anytime soon; he just can't find a job for someone with a history degree. Correct answer prospects8. Radicalism, by ___, means that people are acting outside the accepted norms of society. Correct answer definition9. My children are growing up today in the Internet ____—a time when all the knowledge of the world is only a few mouse clicks away. Correct answer era10. The September 11 terrorist attack in the United States caused more ____ than many people thought possible. Correct answer destruction11. During the 1960s, many young people chose to _____their country's involvement in the Vietnam War. Correct answer protest12. The collapsed housing industry in America ultimately had severe consequences for the entire_____ . Correct answer economy13. Pedro asked me to sign the _____ in favor of the proposed law.Correct answer petition14. Traveling through Mexico was a wonderful ____to practice Spanish which I spent so many years studying. Correct answer opportunity15. She chose to major in business at college because she thought it would increase her chances of well-paid _____ after graduation. Correct answer employment16. This artist must be fairly _______; I've never heard of her and I'm an art major! Correct answer obscure17. Mike explained that it was his personal______ that governments should never interfere with other countries' internal problems. Correct answer philosophy18. My father always told me that if I don't have ____ for what I do, I should find something else to do. Correct answer passion19. Subjects like physics and chemistry can cause considerable _____ for students who aren't good at mathematics. Correct answer frustration20. To an economist, there is a huge difference between an _____ society and an agricultural one. Correct answer industrialSection B: Complete each sentence with a suitable word.21. The students took ____ the streets in protest and got a lot of media attention.Correct answer to22. It's difficult to know exactly what the candidates stand___ because they speak in such general terms. Correct answer for23. It wasn't until I moved to college that I realized how much I relied ____ my parents. Correct answer on24. That film about the plight of polar bears really made me sit ____and pay attention to climate change. Correct answer up25. Greg wanted to go jogging in spite ______ the fact that there was a strong thunderstorm. Correct answer of26. I would never be associated ____ an organization that was cruel to animals.Correct answer to with27. The news story was about people who protested because they had been kept ____ the list of eligible voters. Correct answer off28. Barbara decided not to drop ___of college even though she was pregnant. Correct answer out29. Do you really think a group of students can bring___ change in the government? Correct answer about30. President Kennedy hoped that the embargo would bring the Cuban government ___ its knees. Correct answer toPart II: Banked ClozeCorrect answer (31) campus (32) sophomores (33) resignation (34) repressive (35) chanting (36) clash (37) passionate (38) liberal (39) assert (40)apatheticPart III: Reading Comprehension41~45:BCDABUnit test 2Section A: Choose the best way to complete the sentences.1~5:CDBDA 6~10:BCCBD 11~15:ADBCA 16~20:DACACSection B: Complete each sentence with a suitable word.21. Don't let ___ that you like opera, or she'll make you listen to it all the time!Correct answer on22. She had already fallen asleep ___ the time we got back home.Correct answer by23. It was important for the child to calm _____ so the doctor could administer the flu shot. Correct answer down24. Professor Gregory went to the Amazon rainforest ____ search of plants that might help make new medicines. Correct answer in25. All the issues we're facing today stem ____ the President's decision last year. Correct answer from26. I finally worked up the nerve to ask Rick ___ on a date, and he said yes!Correct answer out27. Every time I try to get close and understand Catherine's problems, she pulls___ . Correct answer away28. Alfredo received all the praise and congratulations, ____though he had won the contest. Correct answer as29. If nothing else, that bright yellow coat will definitely help you stand____ in a crowd! Correct answer out30. If you testify in court, you need to tell nothing ___ the truth or you could go to jail. Correct answer butPart II: Banked ClozeCorrect answer (31 trace (32)mostly(33)couch(34) volume (35)repertoire(36)distinct(37) unfold(38)naughty(39)disturbance (40)comprehendPart III: Reading Comprehension41~45:DBCABUnit test 3Part I: Vocabulary and StructureSection A: Complete each sentence using the correct word or expression from the box.1. The investigators searched her house after they received a(n) ____ tip over the phone. Correct answer anonymous2. In this ___, the judge declared the suspect not guilty. Correct answer instance3. The government said the _____ threat level for a terrorist attack is relatively low. Correct answer current4. Tony was caught shoplifting and has been in police ____ since last night.Correct answer custody5. The job of a police investigator is to ____ all the available evidence and figure out who committed a crime and why it was committed. Correct answer correlate6. When we got married, we took almost everything so we definitely had to ____ all of our stuff. Correct answer consolidate7. The suspect was found not guilty since the lawyers couldn't find a(n) _____ of evidence that suggested he committed the crime. Correct answer shred8. The firefighters put their own lives in ____ to save the people trapped in the burning building. Correct answer peril9. Unfortunately, pickpockets are incredibly ____-in many large cities. Correct answer commonplace10. The suspect was arrested because he was in possession of a concealed _____. Correct answer weaponSection B: Choose the best way to complete the sentences.11~15: CBACB 16~20: ABDADSection C: Complete each sentence with a suitable word.21. As a safety measure, it's important to tear ___ bank documents that you don't need anymore. Correct answer up22. It was unbelievable! Kevin was robbed ___ broad daylight! Correct answer at23. Excuse me. Do you have any information ___ file about the Frank Spacey case? Correct answer on24. You can usually count ____ the police to help you out when you're in trouble. Correct answer on25. In order to enter the building, I needed to have my fingerprints scanned ____ a machine. Correct answer by26. I know the security guards need to ask for identification, but I was very unhappy with the way he went ___ it. Correct answer about27. After you check your bank balance online, remember to log ___ so no one else can steal your information. Correct answer off28. I would have helped out last weekend ____ only I had known you were moving. Correct answer if29. Did you cut____ your old credit card after you received the new one? Correct answer up30. Passing through security in an airport takes a long time since the officers sometimes need to look ____ your luggage. Correct answer throughPart II: Banked ClozeCorrect answer (31) scary (32) obviously (33) forge (34) unauthorized (35) fraud (36) undoubted (37) ethical (38) widely (39) mindset (40)globallyPart III: Reading Comprehension41~45: CBAADUnit test 4Section A: Complete each sentence using the correct word or expression from the box.1.Thomas is a journalist and will go to Russia next week on __ for a new story.Correct answer survey assignment2. China's victory in the World Cup semifinals was so___ that people were up all night celebrating. Correct answer unexpected3. The city newspaper conducted a(n) ___of residents to see what they thought of the new law. Correct answer survey4. The election of US President Obama had such ____importance that it will be taught in classrooms for years to come. Correct answer historical5. Newspaper journalists must follow a set of established ____when they write their articles. Correct answer guidelines6. I couldn't believe that the politician had the nerve to__those comments! Correct answer deny7. People all over the country were ____ dissatisfied with the election. Correct answer similarly8.It was hard to trust Bill's ___after he was caught lying and cheating.Correct answer integrity9. That editorial was about the government's responsibility to help people who are unemployed and living in___ . Correct answer poverty10. The recovery of the missing girl and the____ of her kidnappers made headlines for a week. Correct answer captureSection B: Choose the best way to complete the sentences.11~15: BADAA 16~20: BCBDCSection C: Complete each sentence with a suitable word.21. Do you think twenty-four-hour news channels will ever run out __ things to report about? Correct answer of22. The local newspaper decided to lead__ the story about the election results. Correctanswer with23. Unfortunately, many people believe that if it's ____print, then it must be true. Correct answer in24. In the United States, more than seven___ of every ten people own a computer. Correct answer out25. The music was____ loud that I asked Carl to turn it down. Correct answer so26. I generally don't believe something unless I can see it ____ my own eyes.Correct answer with27. Eventually, the killer was caught____ the police, but it wasn't soon enough. Correct answer by28. I read an article that newspapers and magazines will disappear_____ the future and everything will be online. Correct answer in29. When I lived abroad, I was forced to turn _____the Internet to stay current with the news. Correct answer to30. It's nice to know that people still read real books in spite ______ new technology like e-books and digital downloads. Correct answer ofPart II: Banked ClozeCorrect answer (31) websites(32)blog (33)billion (34) laptop (3) momentous (36) moreover (37) ferocious (38) chase (39) startled (40) feedbackPart III: Reading Comprehension41~45: CBDABUnit test5Part I: Vocabulary and StructureSection A: Complete each sentence using the correct word or expression from the box.1. There is a(n)___ need for relief aid to victims of the earthquake.Correct answer immedia te2. I felt that he didn't get the ____ he deserved for his role in the peace treaty.Correct answer recognition3. During times of great uncertainty and struggle, many people appreciate a few moments of true___ relief. Correct answer comic4. All wars create a(n) ____amount of damage in the affected countries. Correct answer considerable5. The atomic bomb has the ability to destroy all of____ if we're not careful. Correct answer humanity6. World War II began in 1939 when the German military ___ Poland. Correct answer invaded7. The government has threatened to take ____ action if the rebels do not withdraw from the area. Correct answer military8. My grandfather never ____ any emotion when he spoke of his experience during the war. Correct answer displayed9. We all owe a debt of gratitude to the many ____ troops who fought and died with bravery during World War II. Correct answer combat10. "Can you please stop this _____ behaviour for five minutes and act like adults?" hismother demanded. Correct answer childish11. If you___ the truth, your trial will be difficult; it's best to just honestly answer all questions. Correct answer conceal12. There is a(n) ____ in her contract which specifies when she will be paid.Correct answerclause13. Freedom of speech is the ____ of a solid democracy. Correct answer foundation14. The ceremony was held to honor war veterans who displayed amazingly____ deeds on the battlefield. Correct answer heroic15. The ____ made by American colonists in 1776 ultimately led to their independence from Great Britain. Correct answer declaration16. Unfortunately, we don't live in a(n) ____ world, so there will always be disagreements and conflict. Correct answe ideal17. The general went on a top secret ____ into enemy territory. Correct answer mission18. Could you please ____which date you will visit the museum?Correct answer specify19. Sadly, there was only one____ from the plane crash. Correct answer survivor20. The crisis in that country is having an effect on neighbouring countries because _____ are crossing the borders in huge numbers. Correct answer refugeesSection B: Complete each sentence with a suitable word.21. Jeffrey is a good man ____ heart; he just has difficulty expressing himself.Correct answer at22. Children must be supervised ____ all times while in the park. Correct answer at23. As the Nazis' power grew, more and more Jewish people went ___ hiding.Correct answer into24. Captain White was awarded the Medal of Honor in recognition ____ his service to the nation. Correct answer of25. I was cleaning out the attic and I came ____ my grandparents' old letters to each other. Correct answer across26. It's sometimes hard to believe, but many wars actually change the world _____the better. Correct answer for27. My grandfather considers his war wound to be a badge __ honor.Correct answer of28. He was presented with a gold watch ___recognition of his service in the company. Correct answer in29. The news this morning reported that the refugees were crossing the border ____ droves. Correct answer in30. I promise to contact you as soon __ I get to Japan. Correct answer as Part II: Banked ClozeCorrect answer (31) optimism (32) evil (33) cruelty (34) bloodshed (35) reveal (36) respectful (37) commander (38) roughly (39) fate (40) insanePart III: Reading Comprehension41~45: DCBADUnit test 6Section A: Complete each sentence using the correct word or expression from the box.1.After playing football all afternoon, Philip felt complete and total__.Correct answer exhaustion2. "When you get the ball," the coach declared, "your ___ is to score a goal!"Correct answer priority3. Alex Helena's____ aching back. Correct answer massage4. The physical and emotional _____ of training for a marathon can be too much for any athlete. Correct answer strain5. Kevin was embarrassed because his team placed last in the ____.Correct answer tournament6. Many runners describe an amazing ____ peace that comes with long hours running alone and in silence. Correct answer inner7. Mike Tyson was a very famous boxer because he could often knock out his opponent with only one ____. Correct answer punch8. Stadiums filled with thousands of screaming fans is a perfect___ of why I want to be a football superstar. Correct answer illustration9. If you want to be rich and famous, you might want to consider becoming a(n)____ athlete. Correct answer professional10. He got out of bed and had a(n) . Correct answer stretch11. Boxing is a sport that doesn't seem to have much_____ ; two guys just hit each other until one falls down. Correct answer strategy12. The tournament was filled with incredible _____ once the favourite team was knocked out of competition. Correct answer suspense13. I enjoy watching rugby but I don't understand the rules and have no ____ what's happening. Correct answer clue14. His constant ____ is that no one understands him. Correct answer moan15. Rules should be very straightforward; there should be no room for____ .Correct answer interpretation16. Sheila eats an energy bar every afternoon to give her an extra ___ to help her get through the day. Correct answer boost17. Popular NBA players are often greeted on the court with a(n) ____ of cheers and applause. Correct answer chorus18. Golf is a sport that focuses on technical ___ rather than physical ability.Correct answer precision19. To many people unfamiliar with the game, baseball is a complete___ .Correct answer mystery20. Police believe that the same man is _____ for three other murders in the area. Correct answer responsibleSection B: Complete each sentence with a suitable word.21. The baseball player wants to play for a different team, but he decided to wait and hold ___ for a better offer. Correct answer out22. I once met Michael Jordan, ____ chance, in a hotel lobby. Correct answer by23. At the Olympics, we were lost in a sea ___ spectators trying to watch the event.Correct answer of24. Patty decided to do the right thing and blow the whistle ____ the students who were cheating. Correct answer on25. About halfway through the race, my adrenaline took ___ and helped me keep going. Correct answer over26. He was so sweaty after the game that he literally had to peel___ his shirt.Correct answer off27. You've got to bear ____ mind that he's been training for three years for this moment. Correct answer in28. The basketball player had to shut ____ all the surrounding lights and noise if he wanted to win the game. Correct answer out29. Nina, as Richard's coach and trainer, took the credit ___ his victory. Correct answer for30. Even though she's twice my age, I find it difficult to keep ____ with her.Correct answer upPart II: Banked ClozeCorrect answer (31) referee (32) soaring (33)roar (34) madly (35)aloft (36) accidentally (37 Collided (38) random (39) teammates (40) incurPart III: Reading Comprehension41~45: CBDDAUnit test 71~5: ACADA 6~10: BBDAB 11~15: DBCAC 16~20: BCDDCSection B: Complete each sentence with a suitable word.21. His son decided to go back to school to work ____ animal behaviour research. Correct answer on22. Our cats are just ____ the same age. Correct answer about23. Polar bears are sometimes forced to go ___the ice to find food. Correct answer under24. Her research brings ____ many interesting questions. Correct answer up25. Learning about animals alive during the time of the dinosaurs is difficult, but scientists are, bit ____ bit, making progress. Correct answer by26. Many dog owners project all human emotions ____ their pets, even when it's ridiculous to do so. Correct answer onto27. Don't hang___ the phone. I want to talk to Thomas too. Correct answer up28. Marilyn has so many pets that I find it hard to keep track ___ them all. Correct answer of29. My cat has been acting slow and tired, but I put that down____ the recent heat and humidity. Correct answer to30. It's amazing, Patty's dog has begun watching ____the baby like it was its own puppy! Correct answer overPart II: Banked Clozeanswer (31) burglar (32) robbery (33) panting (34) investigate(35) indication (36) unreliable (37) intrusion (38) puppy (39) leap (40) lickPart III: Reading Comprehension41~45: CBBDAUnit 81. For me, television is just a(n) diversion, but some people consider it a full-time activity .2. Snorkeling and scuba diving are great pastimes, but they also have inherentrisks that make themdangerous.3. When I move to a new house, I think I'll need a(n) additionalroom for all of my hobbies.4. John plays team sports in his free time because he appreciates the interactionwith other people.5. My current job involves a lot of manuallabor, so I'd prefer that my next job be at a desk.6. Any hobby can take over your life if you spend a(n) excessive amount of time doing it.7. I have to write an essay about what I like to do in my leisure time.8. The outlookfor the sports industry looks great; more and more people are trying to stay healthy through sports.9. Most people don't see much excitement in stamp collecting, but I really enjoy it.10. My friends all think magic is a(n) peculiarhobby, but I find it interesting and it makes me happy.11-20 ACABA DBDBC41-45 ACDBBUnit 91-10cement entertaining employer flexibility; shortage ;location; personality dedicated; numerous; surgery11-20 ABCAB ADCBD41-45 CCBDAUnit 10e41-45 CDABD。
Unit test 1Section A: Complete each sentence using the correct word or expression from the box.1. The former rivals decided to create a(n) _______ when they realized they shared a common threat. Correct answer alliance2. The streets around the courthouse were all closed down because of the____ against the ruling. Correct answer demonstration3. Sandra was explaining how her daughter is beginning to ____ against her rules and authority. Correct answer rebel4. The government has passed many laws that intended to make us safer, but (a) ___ would probably suggest that we're just as vulnerable as before. Correct answer cynic5. The ___of California held a press conference to announce his candidacy for the US Senate. Correct answer governor6. I found the Prime Minister's speech to be very_____ ; it made me feel hopeful and patriotic. Correct answer inspirational7. At this point, Jim has no ___ of landing a job anytime soon; he just can't find a job for someone with a history degree. Correct answer prospects8. Radicalism, by ___, means that people are acting outside the accepted norms of society. Correct answer definition9. My children are growing up today in the Internet ____—a time when all the knowledge of the world is only a few mouse clicks away. Correct answer era10. The September 11 terrorist attack in the United States caused more ____ than many people thought possible. Correct answer destruction11. During the 1960s, many young people chose to _____their country's involvement in the Vietnam War. Correct answer protest12. The collapsed housing industry in America ultimately had severe consequences for the entire_____ . Correct answer economy13. Pedro asked me to sign the _____ in favor of the proposed law.Correct answer petition14. Traveling through Mexico was a wonderful ____to practice Spanish which I spent so many years studying. Correct answer opportunity15. She chose to major in business at college because she thought it would increase her chances of well-paid _____ after graduation. Correct answer employment16. This artist must be fairly _______; I've never heard of her and I'm an art major! Correct answer obscure17. Mike explained that it was his personal______ that governments should never interfere with other countries' internal problems. Correct answer philosophy18. My father always told me that if I don't have ____ for what I do, I should find something else to do. Correct answer passion19. Subjects like physics and chemistry can cause considerable _____ for students who aren't good at mathematics. Correct answer frustration20. To an economist, there is a huge difference between an _____ society and an agricultural one. Correct answer industrialSection B: Complete each sentence with a suitable word.21. The students took ____ the streets in protest and got a lot of media attention. Correctanswer to22. It's difficult to know exactly what the candidates stand___ because they speak in such general terms. Correct answer for23. It wasn't until I moved to college that I realized how much I relied ____ my parents. Correct answer on24. That film about the plight of polar bears really made me sit ____and pay attention to climate change. Correct answer up25. Greg wanted to go jogging in spite ______ the fact that there was a strong thunderstorm. Correct answer of26. I would never be associated ____ an organization that was cruel to animals.Correct answer to with27. The news story was about people who protested because they had been kept ____ the list of eligible voters. Correct answer off28. Barbara decided not to drop ___of college even though she was pregnant. Correct answer out29. Do you really think a group of students can bring___ change in the government? Correct answer about30. President Kennedy hoped that the embargo would bring the Cuban government ___ its knees. Correct answer toPart II: Banked ClozeCorrect answer (31) campus (32) sophomores (33) resignation (34) repressive (35) chanting (36) clash (37) passionate (38) liberal (39) assert (40) apatheticPart III: Reading Comprehension41~45:BCDABUnit test 2Section A: Choose the best way to complete the sentences.1~5:CDBDA 6~10:BCCBD 11~15:ADBCA 16~20:DACACSection B: Complete each sentence with a suitable word.21. Don't let ___ that you like opera, or she'll make you listen to it all the time!Correct answer on22. She had already fallen asleep ___ the time we got back home.Correct answer by23. It was important for the child to calm _____ so the doctor could administer the flu shot. Correct answer down24. Professor Gregory went to the Amazon rainforest ____ search of plants that might help make new medicines. Correct answer in25. All the issues we're facing today stem ____ the President's decision last year.Correct answer from26. I finally worked up the nerve to ask Rick ___ on a date, and he said yes!Correct answer out27. Every time I try to get close and understand Catherine's problems, she pulls___ . Correct answer away28. Alfredo received all the praise and congratulations, ____though he had won the contest.29. If nothing else, that bright yellow coat will definitely help you stand____ in a crowd! Correct answer out30. If you testify in court, you need to tell nothing ___ the truth or you could go to jail. Correct answer butPart II: Banked ClozeCorrect answer (31 trace (32)mostly(33)couch(34) volume (35)repertoire(36)distinct(37) unfold(38)naughty(39)disturbance (40)comprehendPart III: Reading Comprehension41~45:DBCABUnit test 3Part I: Vocabulary and StructureSection A: Complete each sentence using the correct word or expression from the box.1. The investigators searched her house after they received a(n) ____ tip over the phone. Correct answer anonymous2. In this ___, the judge declared the suspect not guilty. Correct answer instance3. The government said the _____ threat level for a terrorist attack is relatively low.Correct answer current4. Tony was caught shoplifting and has been in police ____ since last night.Correct answer custody5. The job of a police investigator is to ____ all the available evidence and figure out who committeda crime and why it was committed. Correct answer correlate6. When we got married, we took almost everything so we definitely had to ____ all of our stuff. Correct answer consolidate7. The suspect was found not guilty since the lawyers couldn't find a(n) _____ of evidence that suggested he committed the crime. Correct answer shred8. The firefighters put their own lives in ____ to save the people trapped in the burning building. Correct answer peril9. Unfortunately, pickpockets are incredibly ____-in many large cities. Correct answer commonplace10. The suspect was arrested because he was in possession of a concealed _____. Correct answer weaponSection B: Choose the best way to complete the sentences.11~15: CBACB 16~20: ABDADSection C: Complete each sentence with a suitable word.21. As a safety measure, it's important to tear ___ bank documents that you don't need anymore. Correct answer up22. It was unbelievable! Kevin was robbed ___ broad daylight! Correct answer at23. Excuse me. Do you have any information ___ file about the Frank Spacey case?Correct answer on24. You can usually count ____ the police to help you out when you're in trouble. Correct answer on25. In order to enter the building, I needed to have my fingerprints scanned ____ a machine.26. I know the security guards need to ask for identification, but I was very unhappy with the way he went ___ it. Correct answer about27. After you check your bank balance online, remember to log ___ so no one else can steal your information. Correct answer off28. I would have helped out last weekend ____ only I had known you were moving. Correct answer if29. Did you cut____ your old credit card after you received the new one? Correct answer up30. Passing through security in an airport takes a long time since the officers sometimes need to look ____ your luggage. Correct answer throughPart II: Banked ClozeCorrect answer (31) scary (32) obviously (33) forge (34) unauthorized (35) fraud (36) undoubted (37) ethical (38) widely (39) mindset (40)globallyPart III: Reading Comprehension41~45: CBAADUnit test 4Section A: Complete each sentence using the correct word or expression from the box.1.Thomas is a journalist and will go to Russia next week on __ for a new story.Correct answer survey assignment2. China's victory in the World Cup semifinals was so___ that people were up all night celebrating. Correct answer unexpected3. The city newspaper conducted a(n) ___of residents to see what they thought of the new law. Correct answer survey4. The election of US President Obama had such ____importance that it will be taught in classrooms for years to come. Correct answer historical5. Newspaper journalists must follow a set of established ____when they write their articles. Correct answer guidelines6. I couldn't believe that the politician had the nerve to__those comments! Correct answer deny7. People all over the country were ____ dissatisfied with the election. Correct answer similarly8.It was hard to trust Bill's ___after he was caught lying and cheating.Correct answer integrity9. That editorial was about the government's responsibility to help people who are unemployed and living in___ . Correct answer poverty10. The recovery of the missing girl and the____ of her kidnappers made headlines for a week. Correct answer captureSection B: Choose the best way to complete the sentences.11~15: BADAA 16~20: BCBDCSection C: Complete each sentence with a suitable word.21. Do you think twenty-four-hour news channels will ever run out __ things to report about? Correct answer of22. The local newspaper decided to lead__ the story about the election results. Correct answer with23. Unfortunately, many people believe that if it's ____print, then it must be true. Correct answer in24. In the United States, more than seven___ of every ten people own a computer.25. The music was____ loud that I asked Carl to turn it down. Correct answer so26. I generally don't believe something unless I can see it ____ my own eyes.Correct answer with27. Eventually, the killer was caught____ the police, but it wasn't soon enough. Correct answer by28. I read an article that newspapers and magazines will disappear_____ the future and everything will be online. Correct answer in29. When I lived abroad, I was forced to turn _____the Internet to stay current with the news. Correct answer to30. It's nice to know that people still read real books in spite ______ new technology like e-books and digital downloads. Correct answer ofPart II: Banked ClozeCorrect answer (31) websites(32)blog (33)billion (34) laptop (3) momentous (36) moreover (37) ferocious (38) chase (39) startled (40) feedbackPart III: Reading Comprehension41~45: CBDABUnit test5Part I: Vocabulary and StructureSection A: Complete each sentence using the correct word or expression from the box.1. There is a(n)___ need for relief aid to victims of the earthquake.Correct answer immedia te2. I felt that he didn't get the ____ he deserved for his role in the peace treaty.Correct answer recognition3. During times of great uncertainty and struggle, many people appreciate a few moments of true___ relief. Correct answer comic4. All wars create a(n) ____amount of damage in the affected countries. Correct answer considerable5. The atomic bomb has the ability to destroy all of____ if we're not careful. Correct answer humanity6. World War II began in 1939 when the German military ___ Poland. Correct answer invaded7. The government has threatened to take ____ action if the rebels do not withdraw from the area. Correct answer military8. My grandfather never ____ any emotion when he spoke of his experience during the war. Correct answer displayed9. We all owe a debt of gratitude to the many ____ troops who fought and died with bravery during World War II. Correct answer combat10. "Can you please stop this _____ behaviour for five minutes and act like adults?" his mother demanded. Correct answer childish11. If you___ the truth, your trial will be difficult; it's best to just honestly answer all questions. Correct answer conceal12. There is a(n) ____ in her contract which specifies when she will be paid.Correct answerclause13. Freedom of speech is the ____ of a solid democracy. Correct answer foundation14. The ceremony was held to honor war veterans who displayed amazingly____ deeds on the battlefield. Correct answer heroic15. The ____ made by American colonists in 1776 ultimately led to their independence from Great Britain. Correct answer declaration16. Unfortunately, we don't live in a(n) ____ world, so there will always be disagreements and conflict. Correct answe ideal17. The general went on a top secret ____ into enemy territory. Correct answer mission18. Could you please ____which date you will visit the museum?Correct answer specify19. Sadly, there was only one____ from the plane crash. Correct answer survivor20. The crisis in that country is having an effect on neighbouring countries because _____ are crossing the borders in huge numbers. Correct answer refugeesSection B: Complete each sentence with a suitable word.21. Jeffrey is a good man ____ heart; he just has difficulty expressing himself.Correct answer at22. Children must be supervised ____ all times while in the park. Correct answer at23. As the Nazis' power grew, more and more Jewish people went ___ hiding.Correct answer into24. Captain White was awarded the Medal of Honor in recognition ____ his service to the nation. Correct answer of25. I was cleaning out the attic and I came ____ my grandparents' old letters to each other. Correct answer across26. It's sometimes hard to believe, but many wars actually change the world _____the better. Correct answer for27. My grandfather considers his war wound to be a badge __ honor.Correct answer of28. He was presented with a gold watch ___recognition of his service in the company. Correct answer in29. The news this morning reported that the refugees were crossing the border ____ droves. Correct answer in30. I promise to contact you as soon __ I get to Japan. Correct answer asPart II: Banked ClozeCorrect answer (31) optimism (32) evil (33) cruelty (34) bloodshed (35) reveal (36) respectful (37) commander (38) roughly (39) fate (40) insanePart III: Reading Comprehension41~45: DCBADUnit test 6Section A: Complete each sentence using the correct word or expression from the box.1.After playing football all afternoon, Philip felt complete and total__.Correct answer exhaustion2. "When you get the ball," the coach declared, "your ___ is to score a goal!"Correct answer priority3. Alex Helena's____ aching back. Correct answer massage4. The physical and emotional _____ of training for a marathon can be too much for any athlete.Correct answer strain5. Kevin was embarrassed because his team placed last in the ____.Correct answer tournament6. Many runners describe an amazing ____ peace that comes with long hours running alone and in silence. Correct answer inner7. Mike Tyson was a very famous boxer because he could often knock out his opponent with only one ____. Correct answer punch8. Stadiums filled with thousands of screaming fans is a perfect___ of why I want to be a football superstar. Correct answer illustration9. If you want to be rich and famous, you might want to consider becoming a(n)____ athlete. Correct answer professional10. He got out of bed and had a(n) . Correct answer stretch11. Boxing is a sport that doesn't seem to have much_____ ; two guys just hit each other until one falls down. Correct answer strategy12. The tournament was filled with incredible _____ once the favourite team was knocked out of competition. Correct answer suspense13. I enjoy watching rugby but I don't understand the rules and have no ____ what's happening. Correct answer clue14. His constant ____ is that no one understands him. Correct answer moan15. Rules should be very straightforward; there should be no room for____ .Correct answer interpretation16. Sheila eats an energy bar every afternoon to give her an extra ___ to help her get through the day. Correct answer boost17. Popular NBA players are often greeted on the court with a(n) ____ of cheers and applause. Correct answer chorus18. Golf is a sport that focuses on technical ___ rather than physical ability.Correct answer precision19. To many people unfamiliar with the game, baseball is a complete___ .Correct answer mystery20. Police believe that the same man is _____ for three other murders in the area. Correct answer responsibleSection B: Complete each sentence with a suitable word.21. The baseball player wants to play for a different team, but he decided to wait and hold ___ for a better offer. Correct answer out22. I once met Michael Jordan, ____ chance, in a hotel lobby. Correct answer by23. At the Olympics, we were lost in a sea ___ spectators trying to watch the event. Correct answer of24. Patty decided to do the right thing and blow the whistle ____ the students who were cheating. Correct answer on25. About halfway through the race, my adrenaline took ___ and helped me keep going. Correct answer over26. He was so sweaty after the game that he literally had to peel___ his shirt.Correct answer off27. You've got to bear ____ mind that he's been training for three years for this moment.Correct answer in28. The basketball player had to shut ____ all the surrounding lights and noise if he wanted to win the game. Correct answer out29. Nina, as Richard's coach and trainer, took the credit ___ his victory. Correct answer for30. Even though she's twice my age, I find it difficult to keep ____ with her.Correct answer upPart II: Banked ClozeCorrect answer (31) referee (32) soaring (33)roar (34) madly (35)aloft (36) accidentally (37 Collided (38) random (39) teammates (40) incurPart III: Reading Comprehension41~45: CBDDAUnit test 71~5: ACADA 6~10: BBDAB 11~15: DBCAC 16~20: BCDDCSection B: Complete each sentence with a suitable word.21. His son decided to go back to school to work ____ animal behaviour research. Correct answer on22. Our cats are just ____ the same age. Correct answer about23. Polar bears are sometimes forced to go ___the ice to find food. Correct answer under24. Her research brings ____ many interesting questions. Correct answer up25. Learning about animals alive during the time of the dinosaurs is difficult, but scientists are, bit ____ bit, making progress. Correct answer by26. Many dog owners project all human emotions ____ their pets, even when it's ridiculous to do so. Correct answer onto27. Don't hang___ the phone. I want to talk to Thomas too. Correct answer up28. Marilyn has so many pets that I find it hard to keep track ___ them all. Correct answer of29. My cat has been acting slow and tired, but I put that down____ the recent heat and humidity. Correct answer to30. It's amazing, Patty's dog has begun watching ____the baby like it was its own puppy! Correct answer overPart II: Banked Clozeanswer (31) burglar (32) robbery (33) panting (34) investigate(35) indication (36) unreliable (37) intrusion (38) puppy (39) leap (40) lickPart III: Reading Comprehension41~45: CBBDAUnit 81. For me, television is just a(n) diversion, but some people consider it a full-time activity.2. Snorkeling and scuba diving are great pastimes, but they also have inherent risks that make them dangerous.3. When I move to a new house, I think I'll need a(n) additional room for all of my hobbies.4. John plays team sports in his free time because he appreciates the interaction with other people.5. My current job involves a lot of manual labor, so I'd prefer that my next job be at a desk.6. Any hobby can take over your life if you spend a(n) excessive amount of time doing it.7. I have to write an essay about what I like to do in my leisure time.8. The outlook for the sports industry looks great; more and more people are trying to stay healthy through sports.9. Most people don't see much excitement in stamp collecting, but I really enjoy it.10. My friends all think magic is a(n) peculiar hobby, but I find it interesting and it makes me happy. 11-20 ACABA DBDBC41-45 ACDBBUnit 91-10cement entertaining employer flexibility; shortage ;location; personality dedicated; numerous; surgery11-20 ABCAB ADCBD41-45 CCBDAUnit 10 e41-45 CDABD。
Unit test 1Section A: Complete each sentence using the correct word or expression from the box.1. The former rivals decided to create a(n) _______ when they realized they shareda common threat. Correct answer alliance2. The streets around the courthouse were all closed down because of the____ againstthe ruling. Correct answer demonstration3. Sandra was explaining how her daughter is beginning to ____ against her rules and authority. Correct answer rebel4. The government has passed many laws that intended to make us safer, but (a) ___would probably suggest that we're just as vulnerable as before. Correct answercynic5. The ___of California held a press conference to announce his candidacy for theUS Senate. Correct answer governor6. I found the Prime Minister's speech to be very_____ ; it made me feel hopeful and patriotic. Correct answer inspirational7. At this point, Jim has no ___ of landing a job anytime soon; he just can't find ajob for someone with a history degree. Correct answer prospects8. Radicalism, by ___, means that people are acting outside the accepted norms of society. Correct answer definition9. My children are growing up today in the Internet ____—a time when all the knowledgeof the world is only a few mouse clicks away. Correct answer era10. The September 11 terrorist attack in the United States caused more ____ than manypeople thought possible. Correct answer destruction11. During the 1960s, many young people chose to _____their country's involvementin the Vietnam War. Correct answer protest12. The collapsed housing industry in America ultimately had severe consequences forthe entire_____ . Correct answer economy13. Pedro asked me to sign the _____ in favor of the proposed law.Correct answer petition14. Traveling through Mexico was a wonderful ____to practice Spanish which I spentso many years studying. Correct answer opportunity15. She chose to major in business at college because she thought it would increaseher chances of well-paid _____ after graduation. Correct answer employment16. This artist must be fairly _______; I've never heard of her and I'm an art major! Correct answer obscure17. Mike explained that it was his personal______ that governments should never interfere with other countries' internal problems. Correct answer philosophy18. My father always told me that if I don't have ____ for what I do, I should find something else to do. Correct answer passion19. Subjects like physics and chemistry can cause considerable _____ for students whoaren't good at mathematics. Correct answer frustration20. To an economist, there is a huge difference between an _____ society and an agricultural one. Correct answer industrialSection B: Complete each sentence with a suitable word.21. The students took ____ the streets in protest and got a lot of media attention. Correct answer to22. It's difficult to know exactly what the candidates stand___ because they speakin such general terms. Correct answer for23. It wasn't until I moved to college that I realized how much I relied ____ my parents. Correct answer on24. That film about the plight of polar bears really made me sit ____and pay attentionto climate change. Correct answer up25. Greg wanted to go jogging in spite ______ the fact that there was a strong thunderstorm. Correct answer of26. I would never be associated ____ an organization that was cruel to animals. Correct answer to with27. The news story was about people who protested because they had been kept ____ thelist of eligible voters. Correct answer off28. Barbara decided not to drop ___of college even though she was pregnant. Correct answer out29. Do you really think a group of students can bring___ change in the government? Correct answer about30. President Kennedy hoped that the embargo would bring the Cuban government ___ its knees. Correct answer toPart II: Banked ClozeCorrect answer (31) campus (32) sophomores (33) resignation (34) repressive (35) chanting (36) clash (37) passionate (38) liberal (39) assert (40) apatheticPart III: Reading Comprehension41~45:BCDABUnit test 2Section A: Choose the best way to complete the sentences.1~5:CDBDA 6~10:BCCBD 11~15:ADBCA 16~20:DACACSection B: Complete each sentence with a suitable word.21. Don't let ___ that you like opera, or she'll make you listen to it all the time! Correct answer on22. She had already fallen asleep ___ the time we got back home.Correct answer by23. It was important for the child to calm _____ so the doctor could administer theflu shot. Correct answer down24. Professor Gregory went to the Amazon rainforest ____ search of plants that mighthelp make new medicines. Correct answer in25. All the issues we're facing today stem ____ the President's decision last year. Correct answer from26. I finally worked up the nerve to ask Rick ___ on a date, and he said yes!Correct answer out27. Every time I try to get close and understand Catherine's problems, she pulls___ .Correct answer away28. Alfredo received all the praise and congratulations, ____though he had won the contest. Correct answer as29. If nothing else, that bright yellow coat will definitely help you stand____ ina crowd! Correct answer out30. If you testify in court, you need to tell nothing ___ the truth or you could goto jail. Correct answer butPart II: Banked ClozeCorrect answer (31 trace (32)mostly(33)couch(34) volume (35)repertoire(36)distinct(37) unfold(38)naughty(39)disturbance (40)comprehendPart III: Reading Comprehension41~45:DBCABUnit test 3Part I: Vocabulary and StructureSection A: Complete each sentence using the correct word or expression from the box.1. The investigators searched her house after they received a(n) ____ tip over the phone. Correct answer anonymous2. In this ___, the judge declared the suspect not guilty. Correct answer instance3. The government said the _____ threat level for a terrorist attack is relativelylow.Correct answer current4. Tony was caught shoplifting and has been in police ____ since last night. Correct answer custody5. The job of a police investigator is to ____ all the available evidence and figureout who committed a crime and why it was committed. Correct answer correlate6. When we got married, we took almost everything so we definitely had to ____ all ofour stuff. Correct answer consolidate7. The suspect was found not guilty since the lawyers couldn't find a(n) _____ of evidence that suggested he committed the crime. Correct answer shred8. The firefighters put their own lives in ____ to save the people trapped in the burning building. Correct answer peril9. Unfortunately, pickpockets are incredibly ____-in many large cities. Correct answer commonplace10. The suspect was arrested because he was in possession of a concealed _____. Correct answer weaponSection B: Choose the best way to complete the sentences.11~15: CBACB 16~20: ABDADSection C: Complete each sentence with a suitable word.21. As a safety measure, it's important to tear ___ bank documents that you don't need anymore. Correct answer up22. It was unbelievable! Kevin was robbed ___ broad daylight! Correct answer at23. Excuse me. Do you have any information ___ file about the Frank Spacey case?Correct answer on24. You can usually count ____ the police to help you out when you're in trouble. Correct answer on25. In order to enter the building, I needed to have my fingerprints scanned ____ a machine. Correct answer by26. I know the security guards need to ask for identification, but I was very unhappywith the way he went ___ it. Correct answer about27. After you check your bank balance online, remember to log ___ so no one else cansteal your information. Correct answer off28. I would have helped out last weekend ____ only I had known you were moving. Correct answer if29. Did you cut____ your old credit card after you received the new one? Correct answerup30. Passing through security in an airport takes a long time since the officers sometimesneed to look ____ your luggage. Correct answer throughPart II: Banked ClozeCorrect answer (31) scary (32) obviously (33) forge (34) unauthorized (35)fraud (36) undoubted (37) ethical (38) widely (39) mindset (40)globallyPart III: Reading Comprehension41~45: CBAADUnit test 4Section A: Complete each sentence using the correct word or expression from the box.1.Thomas is a journalist and will go to Russia next week on __ for a new story.Correct answer survey assignment2. China's victory in the World Cup semifinals was so___ that people were up all night celebrating. Correct answer unexpected3. The city newspaper conducted a(n) ___of residents to see what they thought of thenew law. Correct answer survey4. The election of US President Obama had such ____importance that it will be taughtin classrooms for years to come. Correct answer historical5. Newspaper journalists must follow a set of established ____when they write their articles. Correct answer guidelines6. I couldn't believe that the politician had the nerve to__those comments! Correct answerdeny7. People all over the country were ____ dissatisfied with the election. Correct answer similarly8.It was hard to trust Bill's ___after he was caught lying and cheating.Correct answer integrity9. That editorial was about the government's responsibility to help people who are unemployed and living in___ . Correct answer poverty10. The recovery of the missing girl and the____ of her kidnappers made headlines fora week. Correct answer captureSection B: Choose the best way to complete the sentences.11~15: BADAA 16~20: BCBDCSection C: Complete each sentence with a suitable word.21. Do you think twenty-four-hour news channels will ever run out __ things to report about? Correct answer of22. The local newspaper decided to lead__ the story about the election results. Correct answer with23. Unfortunately, many people believe that if it's ____print, then it must be true. Correct answer in24. In the United States, more than seven___ of every ten people own a computer. Correct answer out25. The music was____ loud that I asked Carl to turn it down. Correct answer so26. I generally don't believe something unless I can see it ____ my own eyes.Correct answer with27. Eventually, the killer was caught____ the police, but it wasn't soon enough. Correct answer by28. I read an article that newspapers and magazines will disappear_____ the futureand everything will be online. Correct answer in29. When I lived abroad, I was forced to turn _____the Internet to stay current withthe news. Correct answer to30. It's nice to know that people still read real books in spite ______ new technologylike e-books and digital downloads. Correct answer ofPart II: Banked ClozeCorrect answer (31) websites(32)blog (33)billion (34) laptop (3) momentous (36) moreover (37) ferocious (38) chase (39) startled (40) feedbackPart III: Reading Comprehension41~45: CBDABUnit test5Part I: Vocabulary and StructureSection A: Complete each sentence using the correct word or expression from the box.1. There is a(n)___ need for relief aid to victims of the earthquake.Correct answer immedia te2. I felt that he didn't get the ____ he deserved for his role in the peace treaty. Correct answer recognition3. During times of great uncertainty and struggle, many people appreciate a few momentsof true___ relief. Correct answer comic4. All wars create a(n) ____amount of damage in the affected countries. Correct answer considerable5. The atomic bomb has the ability to destroy all of____ if we're not careful. Correct answer humanity6. World War II began in 1939 when the German military ___ Poland. Correct answer invaded7. The government has threatened to take ____ action if the rebels do not withdraw fromthe area. Correct answer military8. My grandfather never ____ any emotion when he spoke of his experience during thewar. Correct answer displayed9. We all owe a debt of gratitude to the many ____ troops who fought and died with bravery during World War II. Correct answer combat10. "Can you please stop this _____ behaviour for five minutes and act like adults?"his mother demanded. Correct answer childish11. If you___ the truth, your trial will be difficult; it's best to just honestly answer all questions. Correct answer conceal12. There is a(n) ____ in her contract which specifies when she will be paid.Correct answerclause13. Freedom of speech is the ____ of a solid democracy. Correct answer foundation14. The ceremony was held to honor war veterans who displayed amazingly____ deeds onthe battlefield. Correct answer heroic15. The ____ made by American colonists in 1776 ultimately led to their independencefrom Great Britain. Correct answer declaration16. Unfortunately, we don't live in a(n) ____ world, so there will always be disagreements and conflict. Correct answe ideal17. The general went on a top secret ____ into enemy territory. Correct answer mission18. Could you please ____which date you will visit the museum?Correct answer specify19. Sadly, there was only one____ from the plane crash. Correct answer survivor20. The crisis in that country is having an effect on neighbouring countries because_____ are crossing the borders in huge numbers. Correct answer refugeesSection B: Complete each sentence with a suitable word.21. Jeffrey is a good man ____ heart; he just has difficulty expressing himself. Correct answer at22. Children must be supervised ____ all times while in the park. Correct answer at23. As the Nazis' power grew, more and more Jewish people went ___ hiding.Correct answer into24. Captain White was awarded the Medal of Honor in recognition ____ his service tothe nation. Correct answer of25. I was cleaning out the attic and I came ____ my grandparents' old letters to each other. Correct answer across26. It's sometimes hard to believe, but many wars actually change the world _____the better. Correct answer for27. My grandfather considers his war wound to be a badge __ honor.Correct answer of28. He was presented with a gold watch ___recognition of his service in the company. Correct answer in29. The news this morning reported that the refugees were crossing the border ____ droves. Correct answer in30. I promise to contact you as soon __ I get to Japan. Correct answer asPart II: Banked ClozeCorrect answer (31) optimism (32) evil (33) cruelty (34) bloodshed (35) reveal(36) respectful (37) commander (38) roughly (39) fate (40) insanePart III: Reading Comprehension41~45: DCBADUnit test 6Section A: Complete each sentence using the correct word or expression from the box.1.After playing football all afternoon, Philip felt complete and total__.Correct answer exhaustion2. "When you get the ball," the coach declared, "your ___ is to score a goal!"Correct answer priority3. Alex Helena's____ aching back. Correct answer massage4. The physical and emotional _____ of training for a marathon can be too much forany athlete. Correct answer strain5. Kevin was embarrassed because his team placed last in the ____.Correct answer tournament6. Many runners describe an amazing ____ peace that comes with long hours running aloneand in silence. Correct answer inner7. Mike Tyson was a very famous boxer because he could often knock out his opponentwith only one ____. Correct answer punch8. Stadiums filled with thousands of screaming fans is a perfect___ of why I want tobe a football superstar. Correct answer illustration9. If you want to be rich and famous, you might want to consider becoming a(n)____ athlete. Correct answer professional10. He got out of bed and had a(n) . Correct answer stretch11. Boxing is a sport that doesn't seem to have much_____ ; two guys just hit eachother until one falls down. Correct answer strategy12. The tournament was filled with incredible _____ once the favourite team was knockedout of competition. Correct answer suspense13. I enjoy watching rugby but I don't understand the rules and have no ____ what's happening. Correct answer clue14. His constant ____ is that no one understands him. Correct answer moan15. Rules should be very straightforward; there should be no room for____ .Correct answer interpretation16. Sheila eats an energy bar every afternoon to give her an extra ___ to help her get through the day. Correct answer boost17. Popular NBA players are often greeted on the court with a(n) ____ of cheers and applause. Correct answer chorus18. Golf is a sport that focuses on technical ___ rather than physical ability. Correct answer precision19. To many people unfamiliar with the game, baseball is a complete___ .Correct answer mystery20. Police believe that the same man is _____ for three other murders in the area. Correct answer responsibleSection B: Complete each sentence with a suitable word.21. The baseball player wants to play for a different team, but he decided to wait andhold ___ for a better offer. Correct answer out22. I once met Michael Jordan, ____ chance, in a hotel lobby. Correct answer by23. At the Olympics, we were lost in a sea ___ spectators trying to watch the event. Correct answer of24. Patty decided to do the right thing and blow the whistle ____ the students whowere cheating. Correct answer on25. About halfway through the race, my adrenaline took ___ and helped me keep going. Correct answer over26. He was so sweaty after the game that he literally had to peel___ his shirt.Correct answer off27. You've got to bear ____ mind that he's been training for three years for this moment. Correct answer in28. The basketball player had to shut ____ all the surrounding lights and noise ifhe wanted to win the game. Correct answer out29. Nina, as Richard's coach and trainer, took the credit ___ his victory. Correct answer for30. Even though she's twice my age, I find it difficult to keep ____ with her.Correct answer upPart II: Banked ClozeCorrect answer (31) referee (32) soaring (33)roar (34) madly (35)aloft (36) accidentally (37 Collided (38) random (39) teammates (40) incurPart III: Reading Comprehension41~45: CBDDAUnit test 71~5: ACADA 6~10: BBDAB 11~15: DBCAC 16~20: BCDDCSection B: Complete each sentence with a suitable word.21. His son decided to go back to school to work ____ animal behaviour research. Correct answer on22. Our cats are just ____ the same age. Correct answer about23. Polar bears are sometimes forced to go ___the ice to find food. Correct answer under24. Her research brings ____ many interesting questions. Correct answer up25. Learning about animals alive during the time of the dinosaurs is difficult, but scientists are, bit ____ bit, making progress. Correct answer by26. Many dog owners project all human emotions ____ their pets, even when it's ridiculous to do so. Correct answer onto27. Don't hang___ the phone. I want to talk to Thomas too. Correct answer up28. Marilyn has so many pets that I find it hard to keep track ___ them all. Correct answer of29. My cat has been acting slow and tired, but I put that down____ the recent heatand humidity. Correct answer to30. It's amazing, Patty's dog has begun watching ____the baby like it was its ownpuppy! Correct answer overPart II: Banked Clozeanswer (31) burglar (32) robbery (33) panting (34) investigate(35) indication (36) unreliable (37) intrusion (38) puppy (39) leap (40) lick Part III: Reading Comprehension41~45: CBBDAUnit 81. For me, television is just a(n) diversion, but some people consider it a full-time activity.2. Snorkeling and scuba diving are great pastimes, but they also haveinherent risks that make themdangerous.3. When I move to a new house, I think I'll need a(n) additionalroom for all of my hobbies.4. John plays team sports in his free time because he appreciates the interaction with other people.5. My current job involves a lot of manuallabor, so I'd prefer that my next job be at a desk.6. Any hobby can take over your life if you spend a(n) excessiveamount of time doing it.7. I have to write an essay about what I like to do in my leisure time.8. The outlookfor the sports industry looks great; more and more people are trying to stay healthythrough sports.9. Most people don't see much excitementin stamp collecting, but I really enjoy it.10. My friends all think magic is a(n) peculiarhobby, but I find it interesting and it makes me happy.11-20 ACABA DBDBC41-45 ACDBBUnit 91-10cement entertaining employer flexibility; shortage ;location; personality dedicated; numerous; surgery11-20 ABCAB ADCBD41-45 CCBDAUnit 10e41-45 CDABD。
智慧树知到《大学英语Ⅱ》章节测试答案第一章1、From the author’s point of view, language should be looked upon as a road map and a valuable possession: often study the road map (check ) and tune up the car engine (adjust ).A:vocabulary; grammarB:guide book; gearC:grammar; vocabularyD:gear; guide book正确答案:grammar; vocabulary2、Some are born great, some achieve greatness, and some have greatness ( ) them.A:swelling with prideB:thrust uponC:searched the heavens forD:obliged to正确答案:thrust upon3、However, the deadline is approaching, and we will ( ) force the issue if necessary.A:swell with prideB:thrust uponC:search the heavens forD:be obliged to正确答案:be obliged to4、What’s the meaning of the word “reinforce”?A:Make longerB:Increase strengthC:Increase the size or scopeD:Increase intensity正确答案:Increase strength5、What does the word “obsolete” mean?A:The newestB:To make newerC:The most modernD:Old; not useful anymore正确答案:Old; not useful anymore6、Is analogy used in the following sentence? As you sow, so you reap.A:YesB:No正确答案:No7、What is the major structure of the following sentence? A MOOC is an online course aimed at unlimited participation and open access via the web.A:A MOOC is an online course.B:A MOOC aimed at participation and access.正确答案:A MOOC is an online course.9、Each body paragraph should focus on a specific point related to the thesis statement.A:对B:错正确答案:对10、To write an effective conclusion, you can either restate the thesis statement using a different structure and vocabulary or briefly summarize the main ideas, combined with your final thoughts and opinions such as a suggestion, a prediction, or a warning.A:对B:错正确答案:对第二章1、I believe I am capable of()the political consequences accurately.A:calculateB:calculatingC:estimateD:predict正确答案:calculating2、What is()to separate the two parties when they get to the negotiating table?A:goB:likeC:likelyD:love正确答案:likely3、In other words, a college education is more and more seen as a means for economic betterment () means for human betterment.A:better thanB:betterC:rather thanD:then正确答案:rather than4、Since ancient times, people have speculated about the mystery of those inner forces that drive some people to greatness and()to self-destruction.A:othersB:otherC:the otherD:another正确答案:others5、I chose to work abroad to improve my career().A:protectB:inspectC:suspectD:prospects正确答案:prospects6、If your goal is a clear and quick understanding of what you’ve read, you may ignore small details. A:对B:错正确答案:对7、Facts, evidence and details in a paragraph are equally important. We should look for all of them. A:对B:错正确答案:错8、To be an excellent film prod ucer, one doesn’t need to learn the humanities.A:对B:错正确答案:错9、Although Harvard is a comprehensive university, it attaches great importance to liberal arts education and cultivation of humanistic quality.A:对B:错正确答案:对10、Studying the humanities helps us improve our reading and writing ability.A:对B:错正确答案:对第三章1、What does SWEETHEART in the title imply?A:sweet memoryB:loverC:datingD:happiness正确答案:C2、Which sentences have used synecdoche?A:He is a valiant heart.B:The kettle boils.C:Food is to the body as fuel is to the engine.D:The fox goes very well with your cap.正确答案:AD3、The meaning of the word “display” isA:建议;提倡B:显示,显露(情感、态度等)C:调节;协调D:值得考虑、注意正确答案:B4、The missing part of the word “pessi()”(悲观的;悲观主义的) should beA:masticB:misterC:misticD:mesic正确答案: C5、As he later()to Ruth, he could almost do it in his sleep.A:confessB:confessedC:confessingD:confessional正确答案:B6、Is non-restrictive attributive clause generally translated as a postposition attributive? A:YesB:No正确答案:A7、Which of the following is the correct spelling of the word meaning “赞许;赞成” ? A:proceedB:gazeC:lodgeD:approve正确答案:D8、According to the text, the author and Butch’s love is a()journey of love and learning. A:casualB:richC:faithfulD:hard正确答案:C9、Butch()with the author at first sight.A:fall in loveB:fell in loveC:falling in loveD:felt in love正确答案:fell in love10、Which of the following word shares the similar meani ng of the word “weird”?A:strangeB:usualC:funnyD:romantic正确答案:A第四章1、Many students derived enormous satisfaction the course.A:ofC:inD:to正确答案:B2、Many women are faced with the ( ) of choosing between work and family commitments. A:defyB:dilemmaC:deriveD:paradox正确答案:B4、What are the two approaches that writers most often adopt to organize their comparison and contrast paragraphs and essays?A:Point-by-pointB:Subject-by-subjectC:Time orderD:Space order正确答案:AB5、Which of the following imperative sentences is not from the text?A:Postpone your desires.B:Buy, spend, get it now.C:Let’s go shopping.D:Watch out, take stock of your life.正确答案:C6、She was quite ( ) about why she left.B:specificC:definiteD:expressive正确答案:A7、Primitive man quickly learned how to tools.A:controlB:manipulateC:operateD:contradict正确答案:B8、Which of the following choices is not correct?A:To compare means to show the similaritiesB:To contrast means to show the differencesC:It is necessary to have a topic sentence in your essay.D:The Point-by-point approach is better than the Subject-by-subject approach.正确答案:D9、There is more than one way to ( )the problem.A:retainB:tackleC:suspendD:manipulate正确答案:B10、He is well-intentioned but a poor ( ).A:administerB:admissionC:administratorD:administration正确答案: C第五章2、What is the meaning of discard?A:get rid of sth.B:make a sudden military attack on a placeC:make sb. feel determined to do sth. or enthusiastic about doing itD:a ship or large boat正确答案:A3、What is the meaning of the phrase “be attached to sth. / sb.” in the following sentence. The bird got so attached to her that it would take food from between her lips.A:look beautifulB:try hardC:hateD:like sb. or sth. very much正确答案:D4、To discourage people from smoking, very high taxes have recently been ( ) cigarettes.A:featured inB:looked uponC:imposed onD:made use of正确答案:C5、Some people are very selfish and seem to think that the world ( )them.A:comes in handyB:is exhausted fromC:revolves aroundD:pays a big price to正确答案:C6、After the bridge collapsed, engineers( ) how a disaster like this could have occurred. A:investigatedB:pruneC:doseD:outward正确答案:A7、Our father’s health is what matters, and the cost of his treatment is of( )importance. A:secondaryB:modifyC:clingD:delegate正确答案:A8、The ( )of outer space is one of the greatest triumphs of modern science.A:loyalB:conquestC:validateD:motivate正确答案:B9、Appropriate transitions indicating causes between paragraphs or sentences in your essay can make your ideas flow more smoothly. Which of the following words does not usually indicate cause?A:sinceB:the first reason isC:becauseD:consequently正确答案:D10、There is a sentence, “One answer, Dr. Ariely says, is to implement more prohibitions on overbooking.” Do you think the following interpretation is true or false? In Dr. Ariely’s opinion, one way is to take action to limit the amount of things we schedule in our daily lives and to reduce the amount of things we plan to do in the future. We should simply our lives.A:对B:错正确答案:A第六章1、Which of the following is mentioned as an obstacle to a female boss in text A?A:Perceptions about female’s genderB:Balance between family and jobC:High expectation of some male employeesD:Harassment from the opposite gender正确答案:A2、Who has got passive income?A:EmployeeB:BossC:Self-employerD:Boss or Investor正确答案:D3、According to the findings, who has low tolerance for female bosses?A:MenB:WomenC:Both of them正确答案:B4、What made the feminists so angry in the second wave of feminism?A:Women were not allowed to eat beef.B:Women were not allowed to be dressed as cattle.C:Women were treated as a puppet of man.D:Women were treated as cattle.正确答案:C5、What is the most frequently adopted method in dealing with unfamiliar words and phrases? Men “synonym-scanning” and “root-deducing”.A:Consulting for dictionariesB:Scanning for synonymsC:Deducing from word rootD:None of the options正确答案:A6、One should use as many examples as possible in an example essay.A:对B:错正确答案:B7、 Cartoons are a source of gender-role socialization.A:对B:错正确答案:A8、Studies suggest that men feel entitled and manage diplomatically.A:对B:错正确答案:B9、Men would feel more comfortable with a female boss.A:对B:错正确答案:B10、Women could create the best management style together with men.A:对B:错本文档部分内容来源于网络,如有内容侵权请告知删除,感谢您的配合!。
......Unit test 1Section A: Complete each sentence using the correct word or expression from the box.1.The former rivals decided to create a(n) _______when they realized they shared a common threat.Correct answer alliance2. The streets around the courthouse were all closed down because of the____against the ruling.Correct answer demonstration3.Sandra was explaining how her daughter is beginning to ____ against her rules and authority.Correct answer rebel4.The government has passed many laws that intended to make us safer, but (a) ___ would probably suggest that we're just as vulnerable as before.Correct answer cynic5. The ___of California held a press conference to announce his candidacy for the US Senate.Correct answer governor6.I found the Prime Minister's speech to be very_____ ; it made me feel hopeful and patriotic. Correct answer inspirational7.At this point, Jim has no ___ of landing a job anytime soon; he just can't find a job forsomeone with a history degree.Correct answer prospects8.Radicalism, by ___, means that people are acting outside the accepted norms of society.Correct answer definition9. My children are growing up today in the Internet ____ — a time when all the knowledge of the world is only a few mouse clicks away. Correct answer era10.The September 11 terrorist attack in the United States caused more ____ than manypeople thought possible.Correct answer destruction.学习参考.11. During the 1960s, many young people chose to_____their country's involvement in the Vietnam War.Correct answer protest12.The collapsed housing industry in America ultimately had severe consequences for the entire_____ .Correct answer economy13.Pedro asked me to sign the _____ in favor of the proposed law.Correct answer petition14. Traveling through Mexico was a wonderful____to practice Spanish which I spent so many years studying.Correct answer opportunity15.She chose to major in business at college because she thought it would increase her chances of well-paid _____ after graduation.Correct answer employment16.This artist must be fairly _______;I've never heard of her and I'm an art major! Correct answer obscure17. Mike explained that it was his personal______that governments should never interfere with other countries' internal problems.Correct answer philosophy18.My father always told me that if I don't have ____ for what I do, I should find somethingelse to do.Correct answer passion19.Subjects like physics and chemistry can cause considerable _____ for students who aren't good at mathematics.Correct answer frustration20.To an economist, there is a huge difference between an _____ society and an agricultural one.Correct answer industrialSection B: Complete each sentence with a suitable word.21. The students took ____ the streets in protest and got a lot of media attention.. 学习参考.Correct answer to22. It's difficult to know exactly what the candidates stand___because they speak in such general terms.Correct answer for23.It wasn't until I moved to college that I realized how much I relied ____ my parents.Correct answer on24. That film about the plight of polar bears really made me sit____and pay attention to climate change.Correct answer up25.Greg wanted to go jogging in spite ______ the fact that there was a strong thunderstorm.26.I would never be associated ____ an organization that was cruel to animals.27.The news story was about people who protested because they had been kept ____ the listof eligible voters.Correct answer off28.Barbara decided not to drop___of college even though she was pregnant. Correct answer out29.Do you really think a group of students can bring___ change in the government?30.President Kennedy hoped that the embargo would bring the Cuban government ___ its knees. Correct answer toPart II: Banked ClozeCorrect answer (31) campus (32) sophomores (33) resignation (34) repressive (35) chanting (36) clash (37) passionate (38) liberal (39) assert (40). 学习参考.apatheticPart III: Reading Comprehension41~45:BCDABUnit test 2Section A: Choose the best way to complete the sentences.1~5:CDBDA6~10:BCCBD 11~15:ADBCA16~20:DACACSection B: Complete each sentence with a suitable word.21.Don't let ___ that you like opera, or she'll make you listen to it all the time!22.She had already fallen asleep ___ the time we got back home.23.It was important for the child to calm _____ so the doctor could administer the flu shot.24.Professor Gregory went to the Amazon rainforest ____ search of plants that might help make new medicines.Correct answer in25.All the issues we're facing today stem ____ the President's decision last year.26.I finally worked up the nerve to ask Rick ___ on a date, and he said yes!Correct answer out27.Every time I try to get close and understand Catherine's problems, she pulls___ . Correct answer away. 学习参考.28. Alfredo received all the praise and congratulations,____though he had won the contest.Correct answer as29. If nothing else, that bright yellow coat will definitely help you stand____in a crowd! Correct answer out30.If you testify in court, you need to tell nothing ___ the truth or you could go to jail.Correct answer butPart II: Banked ClozeCorrect answer (31 trace(32)mostly(33)couch(34) volume (35)repertoire(36)distinct(37)unfold(38)naughty(39)disturbance (40)comprehendPart III: Reading Comprehension41~45:DBCABUnit test 3Part I: Vocabulary and StructureSection A: Complete each sentence using the correct word or expression from the box.1.The investigators searched her house after they received a(n) ____ tip over the phone.Correct answer anonymous2. In this ___, the judge declared the suspect not guilty. Correct answer instance3.The government said the _____ threat level for a terrorist attack is relatively low.4.Tony was caught shoplifting and has been in police ____ since last night.Correct answer custody. 学习参考.5.The job of a police investigator is to ____ all the available evidence and figure out who committed a crime and why it was committed.Correct answer correlate6.When we got married, we took almost everything so we definitely had to ____ all of ourstuff.Correct answer consolidate7.The suspect was found not guilty since the lawyers couldn't find a(n) _____ of evidencethat suggested he committed the crime.Correct answer shred8. The firefighters put their own lives in ____ to save the people trapped in the burning building.Correct answer peril9. Unfortunately, pickpockets are incredibly____-in many large cities.Correct answer commonplace10.The suspect was arrested because he was in possession of a concealed _____. Correct answer weaponSection B: Choose the best way to complete the sentences.11~15: CBACB16~20: ABDADSection C: Complete each sentence with a suitable word.21. As a safety measure, it's important to tear ___ bank documents that you don't need anymore.Correct answer up22. It was unbelievable! Kevin was robbed ___ broad daylight!Correct answer at23.Excuse me. Do you have any information ___ file about the Frank Spacey case?Correct answer on24. You can usually count ____ the police to help you out when you're in trouble. Correct answer on. 学习参考.25.In order to enter the building, I needed to have my fingerprints scanned ____ a machine.26.I know the security guards need to ask for identification, but I was very unhappy with theway he went ___ it.Correct answer about27.After you check your bank balance online, remember to log ___ so no one else can stealyour information.Correct answer off28. I would have helped out last weekend ____ only I had known you were moving. Correct answer if29. Did you cut____ your old credit card after you received the new one? Correct answer up30.Passing through security in an airport takes a long time since the officers sometimesneed to look ____ your luggage. Correct answer throughPart II: Banked ClozeCorrect answer (31) scary (32) obviously (33) forge (34) unauthorized (35) fraud (36) undoubted (37) ethical (38) widely (39) mindset (40)globallyPart III: Reading Comprehension41~45: CBAADUnit test 4Section A: Complete each sentence using the correct word or expression from the box.1. Thomas is a journalist and will go to Russia next week on __ for a new story.Correct answer survey assignment2. China's victory in the World Cup semifinals was so___ that people were up all night celebrating. Correct answer unexpected.. 学习参考... ...3. The city newspaper conducted a(n) ___of residents to see what they thought of the new law. Correct answer survey4. The election of US President Obama had such ____importance that it will be taught in classrooms for years to come. Correct answer historical5. Newspaper journalists must follow a set of established ____when they write their articles. Correct answer guidelines6.I couldn't believe that the politician had the nerve to__those comments! Correct answerdeny7.People all over the country were ____ dissatisfied with the election. Correct answer similarly8.It was hard to trust Bill's ___after he was caught lying and cheating.Correct answer integrity9.That editorial was about the government's responsibility to help people who are unemployed and living in___ .Correct answer poverty10. The recovery of the missing girl and the____of her kidnappers made headlines for a week.Correct answer captureSection B: Choose the best way to complete the sentences.11~15:BADAA16~20:BCBDC21.Do you think twenty-four-hour news channels will ever run out __ things to report about? Correct answer of22. The local newspaper decided to lead__the story about the election results.Correct. 学习参考.answer with23.Unfortunately, many people believe that if it's ____print, then it must be true.24.In the United States, more than seven___ of every ten people own a computer. Correct answer out25. The music was____ loud that I asked Carl to turn it down.Correct answer so26.I generally don't believe something unless I can see it ____ my own eyes.27.Eventually, the killer was caught____ the police, but it wasn't soon enough.Correct answer by28. I read an article that newspapers and magazines will disappear_____the future and everything will be online.Correct answer in29. When I lived abroad, I was forced to turn_____the Internet to stay current with the news. Correct answer to30.It's nice to know that people still read real books in spite ______ new technology likee-books and digital downloads. Correct answer ofPart II: Banked ClozeCorrect answer (31) websites(32)blog (33)billion (34) laptop (3) momentous (36) moreover (37) ferocious (38) chase (39) startled (40) feedbackPart III: Reading Comprehension41~45: CBDABUnit test5Part I: Vocabulary and StructureSection A: Complete each sentence using the correct word or expression from the box.1. There is a(n)___ need for relief aid to victims of the earthquake.Correct answer immedia te2.I felt that he didn't get the ____ he deserved for his role in the peace treaty.3.During times of great uncertainty and struggle, many people appreciate a few momentsof true___ relief.Correct answer comic4. All wars create a(n)____amount of damage in the affected countries.Correct answer considerable5. The atomic bomb has the ability to destroy all of____if we're not careful.Correct answer humanity6.World War II began in 1939 when the German military ___ Poland. Correct answer invaded7.The government has threatened to take ____ action if the rebels do not withdraw from the area.Correct answer military8.My grandfather never ____ any emotion when he spoke of his experience during the war.9.We all owe a debt of gratitude to the many ____ troops who fought and died with braveryduring World War II.Correct answer combat10. "Can you please stop this _____ behaviour for five minutes and act like adults?"hismother demanded.Correct answer childish11.If you___ the truth, your trial will be difficult; it's best to just honestly answer all questions.Correct answer conceal12.There is a(n) ____ in her contract which specifies when she will be paid.Correct answerclause13. Freedom of speech is the ____ of a solid democracy. Correct answer foundation14. The ceremony was held to honor war veterans who displayed amazingly____ deeds on the battlefield. Correct answer heroic15.The ____ made by American colonists in 1776 ultimately led to their independence from16.Unfortunately, we don't live in a(n) ____ world, so there will always be disagreements and conflict.Correct answe ideal17. The general went on a top secret ____ into enemy territory.Correct answer mission18. Could you please____which date you will visit the museum?Correct answer specify19. Sadly, there was only one____from the plane crash.Correct answer survivor20.The crisis in that country is having an effect on neighbouring countries because _____ are crossing the borders in huge numbers.Correct answer refugees21.Jeffrey is a good man ____ heart; he just has difficulty expressing himself.Correct answer at22. Children must be supervised ____ all times while in the park. Correct answer at23.As the Nazis' power grew, more and more Jewish people went ___ hiding.24.Captain White was awarded the Medal of Honor in recognition ____ his service to thenation.Correct answer of25.I was cleaning out the attic and I came ____ my grandparents' old letters to each other.Correct answer across26. It's sometimes hard to believe, but many wars actually change the world_____the better. Correct answer for27.My grandfather considers his war wound to be a badge __ honor.28.He was presented with a gold watch ___recognition of his service in the company.29.The news this morning reported that the refugees were crossing the border ____ droves. Correct answer in30. I promise to contact you as soon __ I get to Japan.Correct answer asPart II: Banked ClozeCorrect answer(31) optimism(32) evil(33) cruelty (34) bloodshed(35)reveal (36)respectful(37)commander(38) roughly (39) fate(40) insanePart III: Reading Comprehension41~45: DCBADUnit test 6Section A: Complete each sentence using the correct word or expression from the box.1.After playing football all afternoon, Philip felt complete and total__.Correct answer exhaustion2."When you get the ball," the coach declared, "your ___ is to score a goal!"3. Alex Helena's____ aching back. Correct answer massage4.The physical and emotional _____ of training for a marathon can be too much for any athlete.Correct answer strain5.Kevin was embarrassed because his team placed last in the ____.6.Many runners describe an amazing ____ peace that comes with long hours running aloneand in silence. Correct answer inner7.Mike Tyson was a very famous boxer because he could often knock out his opponentwith only one ____.Correct answer punch8. Stadiums filled with thousands of screaming fans is a perfect___of why I want to be a football superstar.Correct answer illustration9.If you want to be rich and famous, you might want to consider becoming a(n)____ athlete.Correct answer professional10. He got out of bed and had a(n) . Correct answer stretch11.Boxing is a sport that doesn't seem to have much_____ ; two guys just hit each other考.12.The tournament was filled with incredible _____ once the favourite team was knockedout of competition.Correct answer suspense13.I enjoy watching rugby but I don't understand the rules and have no ____ what's happening.Correct answer clue14. His constant ____ is that no one understands him. Correct answer moan15.Rules should be very straightforward; there should be no room for____ .16.Sheila eats an energy bar every afternoon to give her an extra ___ to help her get throughthe day.Correct answer boost17.Popular NBA players are often greeted on the court with a(n) ____ of cheers and applause.Correct answer chorus18.Golf is a sport that focuses on technical ___ rather than physical ability.19.To many people unfamiliar with the game, baseball is a complete___ .Correct answer mystery20. Police believe that the same man is _____ for three other murders in the area. Correct answer responsible21.The baseball player wants to play for a different team, but he decided to wait and hold___ for a better offer. Correct answer out22. I once met Michael Jordan, ____ chance, in a hotel lobby. Correct answer by23. At the Olympics, we were lost in a sea ___ spectators trying to watch the event.Correct answer of24.Patty decided to do the right thing and blow the whistle ____ the students who were cheating.Correct answer on25.About halfway through the race, my adrenaline took ___ and helped me keep going.Correct answer over26. He was so sweaty after the game that he literally had to peel___his shirt.Correct answer off27.You've got to bear ____ mind that he's been training for three years for this moment.28.The basketball player had to shut ____ all the surrounding lights and noise if he wantedto win the game.Correct answer out29. Nina, as Richard's coach and trainer, took the credit ___ his victory. Correct answer for30.Even though she's twice my age, I find it difficult to keep ____ with her.Correct answer upPart II: Banked ClozeCorrect answer (31) referee(32)soaring(33)roar(34)madly(35)aloft (36) accidentally(37 Collided(38)random(39)teammates (40) incurPart III: Reading Comprehension41~45:CBDDAUnit test 71~5: ACADA6~10: BBDAB11~15: DBCAC16~20:BCDDCSection B: Complete each sentence with a suitable word... . ...21. His son decided to go back to school to work ____ animal behaviour research. Correct answer on22. Our cats are just ____ the same age. Correct answer about23. Polar bears are sometimes forced to go ___the ice to find food. Correct answer under24. Her research brings ____ many interesting questions. Correct answer up25.Learning about animals alive during the time of the dinosaurs is difficult, but scientistsare, bit ____ bit, making progress.Correct answer by26.Many dog owners project all human emotions ____ their pets, even when it's ridiculousto do so.Correct answer onto27. Don't hang___ the phone. I want to talk to Thomas too.Correct answer up28. Marilyn has so many pets that I find it hard to keep track ___ them all. Correct answer of29. My cat has been acting slow and tired, but I put that down____ the recent heat and humidity. Correct answer to30. It's amazing, Patty's dog has begun watching ____the baby like it was its own puppy! Correct answer overPart II: Banked Clozeanswer (31) burglar (32) robbery (33) panting (34) investigate(35) indication (36) unreliable (37) intrusion (38) puppy (39) leap (40) lickPart III: Reading Comprehension41~45: CBBDA......Unit 81. For me, television is just a(n)diversion, but some people consider it a full-time activity .2. Snorkeling and scuba diving are great pastimes, but they also have inherentrisks that make themdangerous.3. When I move to a new house, I think I'll need a(n) additionalroom for all of my hobbies.4. John plays team sports in his free time because he appreciates the interactionwith other people.5. My current job involves a lot of manuallabor, so I'd prefer that my next job be at a desk.6. Any hobby can take over your life if you spend a(n) excessive amount of time doing it.7. I have to write an essay about what I like to do in my leisure time.8. The outlookfor the sports industry looks great; more and more people are trying to stay healthythrough sports.9. Most people don't see much excitement in stamp collecting, but I really enjoy it.10. My friends all think magic is a(n) peculiarhobby, but I find it interesting and it makes me happy.11-20 ACABA DBDBC......41-45 ACDBBUnit 91-10cement entertaining employer flexibility; shortage ;location; personality dedicated; numerous; surgery11-20 ABCAB ADCBD41-45 CCBDAUnit 10e......41-45 CDABD。
【参考借鉴】新标准⼤学英语综合英语2unit-test答案(unit1-10).docxSectionA:CompleteeachsentenceusingthecorrectwordoreRpressionfromtheboR.1.Theformerrivalsdecidedtocreatea(n)_______whentheRrealizedtheRsharedacommonthreat.Correctans wer alliance2.Thestreetsaroundthecourthousewereallcloseddownbecauseofthe____againsttheruling.Correctanswer demonstration3.SandrawaseRplaininghowherdaughterisbeginningto____againstherrulesandauthoritR.Correctanswer r ebel4.ThegovernmenthaspassedmanRlawsthatintendedtomakeussafer,but(a)___wouldprobablRsuggestthatwe'rejustasvulnerableasbefore.Correctanswer cRnic5.The___ofCaliforniaheldapressconferencetoannouncehiscandidacRfortheUSSenate.Correctanswer gove rnor6.IfoundthePrimeMinister'sspeechtobeverR_____;itmademefeelhopefulandpatriotic.Correctanswer ins pirational7.Atthispoint,Jimhasno___oflandingajobanRtimesoon;hejustcan'tfindajobforsomeonewithahistorRdegr ee.Correctanswer prospects8.Radicalism,bR___,meansthatpeopleareactingoutsidetheacceptednormsofsocietR.Correctanswer defini tion9.MRchildrenaregrowinguptodaRintheInternet____—atimewhenalltheknowledgeoftheworldisonlRafe wmouseclicksawaR.Correctanswer era10.TheSeptember11terroristattackintheUnitedStatescausedmore____thanmanRpeoplethoughtpossible. Correctanswer destruction11.Duringthe1960s,manRRoungpeoplechoseto_____theircountrR'sinvolvementintheVietnamWar.Corre ctanswer protest12.ThecollapsedhousingindustrRinAmericaultimatelRhadsevereconsequencesfortheentire_____.Correct answer economR13.Pedroaskedmetosignthe_____infavoroftheproposedlaw.Correctanswer petition14.TravelingthroughMeRicowasawonderful____topracticeSpanishwhichIspentsomanRRearsstudRing.Co rrectanswer opportunitR15.Shechosetomajorinbusinessatcollegebecauseshethoughtitwouldincreaseherchancesofwell-paid_____aftergraduation.CorrectansweremploRment16.ThisartistmustbefairlR_______;I'veneverheardofherandI'manartmajor!Correctanswer obscure17.MikeeRplainedthatitwashispersonal______thatgovernmentsshouldneverinterferewithothercountries'internalproblems.Correctanswer philosophR18.MRfatheralwaRstoldmethatifIdon'thave____forwhatIdo,Ishouldfindsomethingelsetodo.Correctansw er passion19.SubjectslikephRsicsandchemistrRcancauseconsiderable_____forstudentswhoaren'tgoodatmathemat ics.Correctanswer frustration20.Toaneconomist,thereisahugedifferencebetweenan_____societRandanagriculturalone.Correctanswer industrial SectionB:Completeeachsentencewithasuitableword.21.Thestudentstook____thestreetsinprotestandgotalotofmediaattention.Correctanswer to22.It'sdifficulttoknoweRactlRwhatthecandidatesstand___becausetheRspeakinsuchgeneralterms.Correct answer for23.Itwasn'tuntilImovedtocollegethatIrealizedhowmuchIrelied____mRparents.Correctanswer on24.ThatfilmabouttheplightofpolarbearsreallRmademesit____andpaRattentiontoclimatechange.Correcta25.Gregwantedtogojogginginspite______thefactthattherewasastrongthunderstorm.Correctanswer of26.Iwouldneverbeassociated____anorganizationthatwascrueltoanimals.Correctanswer towith27.ThenewsstorRwasaboutpeoplewhoprotestedbecausetheRhadbeenkept____thelistofeligiblevoters.Co rrectanswer off28.Barbaradecidednottodrop___ofcollegeeventhoughshewaspregnant.Correctanswer out29.DoRoureallRthinkagroupofstudentscanbring___changeinthegovernment?Correctanswer about30.PresidentKennedRhopedthattheembargowouldbringtheCubangovernment___itsknees.Correctansw er toPartII:BankedClozeCorrectanswer(31)campus(32)sophomores(33)resignation(34)repressive(35)chanting(36)clash(37)passionate(38)liberal(39)assert(40)apatheticPartIII:ReadingComprehension41~45:BCDABUnittest2SectionA:ChoosethebestwaRtocompletethesentences.1~5:CDBDA6~10:BCCBD11~15:ADBCA16~20:DACACSectionB:Completeeachsentencewithasuitableword.21.Don'tlet___thatRoulikeopera,orshe'llmakeRoulistentoitallthetime!Correctanswer on22.ShehadalreadRfallenasleep___thetimewegotbackhome.Correctanswer bR23.Itwasimportantforthechildtocalm_____sothedoctorcouldadministertheflushot.Correctanswer down24.ProfessorGregorRwenttotheAmazonrainforest____searchofplantsthatmighthelpmakenewmedicines. Correctanswer in25.Alltheissueswe'refacingtodaRstem____thePresident'sdecisionlastRear.Correctanswer from26.IfinallRworkedupthenervetoaskRick___onadate,andhesaidRes!Correctanswer out27.EverRtimeItrRtogetcloseandunderstandCatherine'sproblems,shepulls___.Correctanswer awaR28.Alfredoreceivedallthepraiseandcongratulations,____thoughhehadwonthecontest.Correctanswer as29.Ifnothingelse,thatbrightRellowcoatwilldefinitelRhelpRoustand____inacrowd!Correctanswer out30.IfRoutestifRincourt,Rouneedtotellnothing___thetruthorRoucouldgotojail.Correctanswer but PartII:BankedCloze Correctanswer(31trace(32)mostlR(33)couch(34)volume(35)repertoire(36)distinct(37)unfold(38)naughtR(39)disturbance(40)comprehendPartIII:ReadingComprehension41~45:DBCABUnittest3PartI:VocabularRandStructureSectionA:CompleteeachsentenceusingthecorrectwordoreRpressionfromtheboR.1.TheinvestigatorssearchedherhouseaftertheRreceiveda(n)____tipoverthephone.Correctanswer anonR mous2.Inthis___,thejudgedeclaredthesuspectnotguiltR.Correctanswer instance3.Thegovernmentsaidthe_____threatlevelforaterroristattackisrelativelRlow.Correctanswer current4.TonRwascaughtshopliftingandhasbeeninpolice____sincelastnight.Correctanswer custodR5.Thejobofapoliceinvestigatoristo____alltheavailableevidenceandfigureoutwhocommittedacrimeandwh Ritwascommitted.Correctanswer correlate6.Whenwegotmarried,wetookalmosteverRthingsowedefinitelRhadto____allofourstuff.Correctanswer co nsolidate7.ThesuspectwasfoundnotguiltRsincethelawRerscouldn'tfinda(n)_____ofevidencethatsuggestedhecom mittedthecrime.Correctanswer shred8.Thefirefightersputtheirownlivesin____tosavethepeopletrappedintheburningbuilding.Correctanswer pe ril9.UnfortunatelR,pickpocketsareincrediblR____-inmanRlargecities.Correctanswer commonplace10.Thesuspectwasarrestedbecausehewasinpossessionofaconcealed_____.Correctanswer weaponSectionB:ChoosethebestwaRtocompletethesentences.11~15:CBACB16~20:ABDADSectionC:Completeeachsentencewithasuitableword.21.AsasafetRmeasure,it'simportanttotear___bankdocumentsthatRoudon'tneedanRmore.Correctanswer up22.Itwasunbelievable!Kevinwasrobbed___broaddaRlight!Correctanswer at23.ERcuseme.DoRouhaveanRinformation___fileabouttheFrankSpaceRcase?Correctanswer on24.RoucanusuallRcount____thepolicetohelpRououtwhenRou'reintrouble.Correctanswer on25.Inordertoenterthebuilding,IneededtohavemRfingerprintsscanned____amachine.Correctanswer bR26.IknowthesecuritRguardsneedtoaskforidentification,butIwasverRunhappRwiththewaRhewent___it.C orrectanswer about27.AfterRoucheckRourbankbalanceonline,remembertolog___sonooneelsecanstealRourinformation.Cor rectanswer off28.Iwouldhavehelpedoutlastweekend____onlRIhadknownRouweremoving.Correctanswer if29.DidRoucut____RouroldcreditcardafterRoureceivedthenewone?Correctanswer up30.PassingthroughsecuritRinanairporttakesalongtimesincetheofficerssometimesneedtolook____Rourluggage.Correctanswer throughPartII:BankedClozeCorrectanswer(31)scarR(32)obviouslR(33)forge(34)unauthorized(35)fraud(36)undoubted(37)ethical(38)widelR(39)mindset(40)globallRPartIII:ReadingComprehension41~45:CBAADUnittest4SectionA:CompleteeachsentenceusingthecorrectwordoreRpressionfromtheboR.1.ThomasisajournalistandwillgotoRussianeRtweekon__foranewstorR.Correctanswer surveRassignment2.China'svictorRintheWorldCupsemifinalswasso___thatpeoplewereupallnightcelebrating.Correctanswer uneRpected3.ThecitRnewspaperconducteda(n)___ofresidentstoseewhattheRthoughtofthenewlaw.Correctanswer su rveR4.TheelectionofUSPresidentObamahadsuch____importancethatitwillbetaughtinclassroomsforRearstoco me.Correctanswer historical5.Newspaperjournalistsmustfollowasetofestablished____whentheRwritetheirarticles.Correctanswer gui delines6.Icouldn'tbelievethatthepoliticianhadthenerveto__thosecomments!Correctanswer denR7.PeoplealloverthecountrRwere____dissatisfiedwiththeelection.Correctanswer similarlR8.ItwashardtotrustBill's___afterhewascaughtlRingandcheating.Correctanswer integritR9.Thateditorialwasaboutthegovernment'sresponsibilitRtohelppeoplewhoareunemploRedandlivingin___ .Correctanswer povertR10.TherecoverRofthemissinggirlandthe____ofherkidnappersmadeheadlinesforaweek.Correctanswer cap ture SectionB:ChoosethebestwaRtocompletethesentences.11~15:BADAA16~20:BCBDCSectionC:Completeeachsentencewithasuitableword.21.DoRouthinktwentR-four-hournewschannelswilleverrunout__thingstoreportabout?Correctanswer of22.Thelocalnewspaperdecidedtolead__thestorRabouttheelectionresults.Correctanswer with23.UnfortunatelR,manRpeoplebelievethatifit's____print,thenitmustbetrue.Correctanswer in24.IntheUnitedStates,morethanseven___ofeverRtenpeopleownacomputer.Correctanswer out25.Themusicwas____loudthatIaskedCarltoturnitdown.Correctanswer so26.IgenerallRdon'tbelievesomethingunlessIcanseeit____mRowneRes.Correctanswer with27.EventuallR,thekillerwascaught____thepolice,butitwasn'tsoonenough.Correctanswer bR28.Ireadanarticlethatnewspapersandmagazineswilldisappear_____thefutureandeverRthingwillbeonline .Correctanswer in29.WhenIlivedabroad,Iwasforcedtoturn_____theInternettostaRcurrentwiththenews.Correctanswer to30.It'snicetoknowthatpeoplestillreadrealbooksinspite______newtechnologRlikee-booksanddigitaldown loads.Correctanswer ofPartII:BankedClozeCorrectanswer(31)websites(32)blog(33)billion(34)laptop(3)momentous(36)moreover(37)ferocious(38)chase(39)startled(40)feedbackPartIII:ReadingComprehension41~45:CBDABUnittest5PartI:VocabularRandStructureSectionA:CompleteeachsentenceusingthecorrectwordoreRpressionfromtheboR.1.Thereisa(n)___needforreliefaidtovictimsoftheearthquake.Correctanswer immediate2.Ifeltthathedidn'tgetthe____hedeservedforhisroleinthepeacetreatR.Correctanswer recognition3.DuringtimesofgreatuncertaintRandstruggle,manRpeopleappreciateafewmomentsoftrue___relief.Corr ectanswer comic4.Allwarscreatea(n)____amountofdamageintheaffectedcountries.Correctanswer considerable5.TheatomicbombhastheabilitRtodestroRallof____ifwe'renotcareful.Correctanswer humanitR6.WorldWarIIbeganin1939whentheGermanmilitarR___Poland.Correctanswer invaded7.Thegovernmenthasthreatenedtotake____actioniftherebelsdonotwithdrawfromthearea.Correctanswe r militarR8.MRgrandfathernever____anRemotionwhenhespokeofhiseRperienceduringthewar.Correctanswer displ aRed9.WealloweadebtofgratitudetothemanR____troopswhofoughtanddiedwithbraverRduringWorldWarII.Co rrectanswer combat10."CanRoupleasestopthis_____behaviourforfiveminutesandactlikeadults?"hismotherdemanded.Corre ctanswer childish11.IfRou___thetruth,Rourtrialwillbedifficult;it'sbesttojusthonestlRanswerallquestions.Correctanswer co nceal12.Thereisa(n)____inhercontractwhichspecifieswhenshewillbepaid.Correctanswerclause13.Freedomofspeechisthe____ofasoliddemocracR.Correctanswer foundation14.TheceremonRwasheldtohonorwarveteranswhodisplaRedamazinglR____deedsonthebattlefield.Corre ctanswer heroic15.The____madebRAmericancolonistsin1776ultimatelRledtotheirindependencefromGreatBritain.Corre ctanswer declaration16.UnfortunatelR,wedon'tliveina(n)____world,sotherewillalwaRsbedisagreementsandconflict.Correctan swe ideal17.Thegeneralwentonatopsecret____intoenemRterritorR.Correctanswer mission18.CouldRouplease____whichdateRouwillvisitthemuseum?Correctanswer specifR19.SadlR,therewasonlRone____fromtheplanecrash.Correctanswer survivor20.ThecrisisinthatcountrRishavinganeffectonneighbouringcountriesbecause_____arecrossingtheborder sinhugenumbers.Correctanswer refugeesSectionB:Completeeachsentencewithasuitableword.21.JeffreRisagoodman____heart;hejusthasdifficultReRpressinghimself.Correctanswer at22.Childrenmustbesupervised____alltimeswhileinthepark.Correctanswer at23.AstheNazis'powergrew,moreandmoreJewishpeoplewent___hiding.Correctanswer into24.CaptainWhitewasawardedtheMedalofHonorinrecognition____hisservicetothenation.Correctanswer of25.IwascleaningouttheatticandIcame____mRgrandparents'oldletterstoeachother.Correctanswer across26.It'ssometimeshardtobelieve,butmanRwarsactuallRchangetheworld_____thebetter.Correctanswer for27.MRgrandfatherconsidershiswarwoundtobeabadge__honor.Correctanswer of28.Hewaspresentedwithagoldwatch___recognitionofhisserviceinthecompanR.Correctanswer in29.Thenewsthismorningreportedthattherefugeeswerecrossingtheborder____droves.Correctanswer in30.IpromisetocontactRouassoon__IgettoJapan.Correctanswer asPartII:BankedClozeCorrectanswer(31)optimism(32)evil(33)crueltR(34)bloodshed(35)reveal(36)respectful(37)commander(38)roughlR(39)fate(40)insanePartIII:ReadingComprehension41~45:DCBADUnittest6SectionA:CompleteeachsentenceusingthecorrectwordoreRpressionfromtheboR.1.AfterplaRingfootballallafternoon,Philipfeltcompleteandtotal__.Correctanswer eRhaustion2."WhenRougettheball,"thecoachdeclared,"Rour___istoscoreagoal!"Correctanswer prioritR3.AleRHelena's____achingback.Correctanswer massage4.ThephRsicalandemotional_____oftrainingforamarathoncanbetoomuchforanRathlete.Correctanswer st rain5.Kevinwasembarrassedbecausehisteamplacedlastinthe____.Correctanswer tournament6.ManRrunnersdescribeanamazing____peacethatcomeswithlonghoursrunningaloneandinsilence.Corre ctanswer inner7.MikeTRsonwasaverRfamousboRerbecausehecouldoftenknockouthisopponentwithonlRone____.Corre ctanswer punch8.Stadiumsfilledwiththousandsofscreamingfansisaperfect___ofwhRIwanttobeafootballsuperstar.Correct answer illustration9.IfRouwanttoberichandfamous,Roumightwanttoconsiderbecominga(n)____athlete.Correctanswer prof essional10.Hegotoutofbedandhada(n).Correctanswer stretch11.BoRingisasportthatdoesn'tseemtohavemuch_____;twoguRsjusthiteachotheruntilonefallsdown.Corre ctanswer strategR12.Thetournamentwasfilledwithincredible_____oncethefavouriteteamwasknockedoutofcompetition.Co rrectanswer suspense13.IenjoRwatchingrugbRbutIdon'tunderstandtherulesandhaveno____what'shappening.Correctanswer cl ue14.Hisconstant____isthatnooneunderstandshim.Correctanswer moan15.RulesshouldbeverRstraightforward;thereshouldbenoroomfor____.Correctanswer interpretation16.SheilaeatsanenergRbareverRafternoontogiveheraneRtra___tohelphergetthroughthedaR.Correctans wer boost17.PopularNBAplaRersareoftengreetedonthecourtwitha(n)____ofcheersandapplause.Correctanswer ch orus18.Golfisasportthatfocusesontechnical___ratherthanphRsicalabilitR.Correctanswer precision19.TomanRpeopleunfamiliarwiththegame,baseballisacomplete___.Correctanswer mRsterR20.Policebelievethatthesamemanis_____forthreeothermurdersinthearea.Correctanswer responsibleSectionB:Completeeachsentencewithasuitableword.21.ThebaseballplaRerwantstoplaRforadifferentteam,buthedecidedtowaitandhold___forabetteroffer.Cor rectanswer out22.IoncemetMichaelJordan,____chance,inahotellobbR.Correctanswer bR23.AttheOlRmpics,wewerelostinasea___spectatorstrRingtowatchtheevent.Correctanswer of24.PattRdecidedtodotherightthingandblowthewhistle____thestudentswhowerecheating.Correctanswer on25.AbouthalfwaRthroughtherace,mRadrenalinetook___andhelpedmekeepgoing.Correctanswer over26.HewassosweatRafterthegamethatheliterallRhadtopeel___hisshirt.Correctanswer off27.Rou'vegottobear____mindthathe'sbeentrainingforthreeRearsforthismoment.Correctanswer in28.ThebasketballplaRerhadtoshut____allthesurroundinglightsandnoiseifhewantedtowinthegame.Corre ctanswer out29.Nina,asRichard'scoachandtrainer,tookthecredit___hisvictorR.Correctanswer for30.Eventhoughshe'stwicemRage,Ifinditdifficulttokeep____withher.Correctanswer upPartII:BankedClozeCorrectanswer(31)referee(32)soaring(33)roar(34)madlR(35)aloft(36)accidentallR(37Collided(38)random(39)teammates(40)incurPartIII:ReadingComprehension41~45:CBDDAUnittest71~5:ACADA6~10:BBDAB11~15:DBCAC16~20:BCDDCSectionB:Completeeachsentencewithasuitableword.21.Hissondecidedtogobacktoschooltowork____animalbehaviourresearch.Correctanswer on22.Ourcatsarejust____thesameage.Correctanswer about23.Polarbearsaresometimesforcedtogo___theicetofindfood.Correctanswer under24.Herresearchbrings____manRinterestingquestions.Correctanswer up25.Learningaboutanimalsaliveduringthetimeofthedinosaursisdifficult,butscientistsare,bit____bit,makingprogress.Correctanswer bR26.ManRdogownersprojectallhumanemotions____theirpets,evenwhenit'sridiculoustodoso.Correctans wer onto27.Don'thang___thephone.IwanttotalktoThomastoo.Correctanswer up28.MarilRnhassomanRpetsthatIfindithardtokeeptrack___themall.Correctanswer of29.MRcathasbeenactingslowandtired,butIputthatdown____therecentheatandhumiditR.Correctanswer t o30.It'samazing,PattR'sdoghasbegunwatching____thebabRlikeitwasitsownpuppR!Correctanswer over PartII:BankedCloze answer(31)burglar(32)robberR(33)panting(34)investigate(35)indication(36)unreliable(37)intrusion(38 )puppR(39)leap(40)lick PartIII:ReadingComprehension41~45:CBBDAUnit81.Forme,televisionisjusta(n)diversion,butsomepeopleconsideritafull-timeactivitR.2.Snorkelingandscubadivingaregreatpastimes,buttheRalsohave inherent risksthatmakethem dangerous.3.WhenImovetoanewhouse,IthinkI'llneeda(n)additional roomforallofmRhobbies.4.JohnplaRsteamsportsinhisfreetimebecauseheappreciatesthe interaction withotherpeople.5.MRcurrentjobinvolvesalotof manual labor,soI'dpreferthatmRneRtjobbeatadesk.6.AnRhobbRcantakeoverRourlifeifRouspenda(n)eRcessive amountoftimedoingit.7.IhavetowriteanessaRaboutwhatIliketodoinmR leisure time.8.The outlook forthesportsindustrRlooksgreat;moreandmorepeoplearetrRingtostaRhealthR throughsports.9.Mostpeopledon'tseemuch eRcitement instampcollecting,butIreallRenjoRit.10.MRfriendsallthinkmagicisa(n)peculiar hobbR,butIfinditinterestinganditmakesmehappR.11-20ACABADBDBC41-45ACDBBUnit91-10cemententertainingemploRerfleRibilitR;shortage;location;personalitRdedicated;numerous;s urgerR 11-20ABCABADCBD41-45CCBDA Unit10。
新标准大学英语综合英语2unittest答案(unit1-10)Unit test 1Section A: plete each sentence using the correct word or expression from the box.1. The former rivals decided to create a(n) _______ when they realized they shared a mon threat. Correct answer alliance2. The streets around the courthouse were all closed down because of the____ against the ruling. Correct answer demonstration3. Sandra was explaining how her daughter is beginning to ____ against her rules and authority. Correct answer rebel4. The government has passed many laws that intended to make us safer, but (a) ___ would probably suggest that we're just as vulnerable as before. Correct answer cynic5. The ___of California held a press conference to announce his candidacy for the US Senate. Correctanswer governor6. I found the Prime Minister's speech to bevery_____ ; it made me feel hopeful and patriotic.Correct answer inspirational7. At this point, Jim has no ___ of landing a jobanytime soon; he just can't find a job for someone with a history degree. Correct answer prospects8. Radicalism, by ___, means that people are actingoutside the accepted norms of society. Correctanswer definition9. My children are growing up today in the Inter____—a time when all the knowledge of the world is onlya few mouse clicks away. Correct answer era10. The September 11 terrorist attack in the UnitedStates caused more ____ than many people thought possible. Correct answer destruction11. During the 1960s, many young people chose to_____their country's involvement in the Vietnam War. Correct answer protest12. The collapsed housing industry in Americaultimately had severe consequences for the entire_____ . Correct answer economy13. Pedro asked me to sign the _____ in favor of the proposed law. Correct answer petition14. Traveling through Mexico was a wonderful ____to practice Spanish which I spent so many years studying. Correct answer opportunity15. She chose to major in business at collegebecause she thought it would increase her chances ofwell-paid _____ after graduation. Correct answer employment16. This artist must be fairly _______; I've neverheard of her and I'm an art major! Correct answer obscure17. Mike explained that it was his personal______that governments should never interfere with othercountries' internal problems. Correct answerphilosophy18. My father always told me that if I don't have____ for what I do, I should find something else to do. Correct answer passion19. Subjects like physics and chemistry can cause considerable _____ for students who aren't good at mathematics. Correct answer frustration20. To an economist, there is a huge difference between an _____ society and an agricultural one. Correct answer industrialSection B: plete each sentence with a suitable word.21. The students took ____ the streets in protest and got a lot of media attention. Correct answer to22. It's difficult to know exactly what the candidates stand___ because they speak in such general terms. Correct answer for23. It wasn't until I moved to college that I realized how much I relied ____ my parents. Correct answer on24. That film about the plight of polar bears really made me sit ____and pay attention to climate change. Correct answer up25. Greg wanted to go jogging in spite ______ the fact that there was a strong thunderstorm. Correct answer of26. I would never be associated ____ an organizationthat was cruel to animals. Correct answer to with27. The news story was about people who protested because they had been kept ____ the list of eligiblevoters. Correct answer off28. Barbara decided not to drop ___of college even though she was pregnant. Correct answer out29. Do you really think a group of students canbring___ change in the government? Correct answer about30. President Kennedy hoped that the embargo wouldbring the Cuban government ___ its knees. Correct answer toPart II: Banked ClozeCorrect answer (31) cus (32) sophomores (33) resignation (34) repressive (35) chanting (36)clash (37) passionate (38) liberal (39) assert (40) apathetic Part III: Reading prehension 41~45:BCDAB Unit test 2Section A: Choose the best way to plete the sentences.1~5:CDBDA 6~10:BCCBD 11~15:ADBCA 16~20:DACAC SectionB: plete each sentence with a suitable word.21. Don't let ___ that you like opera, or she'llmake you listen to it all the time! Correct answer on22. She had already fallen asleep ___ the time wegot back home. Correct answer by23. It was important for the child to calm _____ sothe doctor could administer the flu shot. Correctanswer down24. Professor Gregory went to the Amazon rainforest____ search of plants that might help make new medicines. Correct answer in25. All the issues we're facing today stem ____ the President's decision last year. Correct answer from26. I finally worked up the nerve to ask Rick ___ ona date, and he said yes! Correct answer out27. Every time I try to get close and understandCatherine's problems, she pulls___ . Correctanswer away28. Alfredo received all the praise andcongratulations, ____though he had won the contest.Correct answer as29. If nothing else, that bright yellow coat will definitely help you stand____ in a crowd! Correct answer out30. If you testify in court, you need to tell nothing ___ the truth or you could go to jail. Correct answer but Part II: Banked ClozeCorrect answer (31 trace (32)mostly(33)couch(34) volume (35)repertoire(36)distinct(37)unfold(38)naughty(39)disturbance (40)prehend Part III: Reading prehension 41~45:DBCAB Unit test 3 Part I: Vocabulary and StructureSection A: plete each sentence using the correct word or expression from the box.1. The investigators searched her house after they received a(n) ____ tip over the phone. Correct answer anonymous2. In this ___, the judge declared the suspect not guilty. Correct answer instance3. The government said the _____ threat level for a terrorist attack is relatively low. Correct answer current4. Tony was caught shoplifting and has been in police ____ since last night. Correct answer custody5. The job of a police investigator is to ____ all the available evidence and figure out who mitted a crime and why it was mitted. Correct answer correlate6. When we got married, we took almost everything so we definitely had to ____ all of our stuff. Correct answer consolidate7. The suspect was found not guilty since the lawyers couldn't find a(n) _____ of evidence that suggested he mitted the crime. Correct answer shred8. The firefighters put their own lives in ____ to save the people trapped in the burning building. Correct answer peril9. Unfortunately, pickpockets are incredibly ____-in many large cities. Correct answer monplace10. The suspect was arrested because he was in possession of a concealed _____. Correct answer weaponSection B: Choose the best way to plete the sentences. 11~15: CBACB 16~20: ABDADSection C: plete each sentence with a suitable word.21. As a safety measure, it's important to tear ___ bank documents that you don't need anymore. Correct answer up22. It was unbelievable! Kevin was robbed ___ broad daylight! Correct answer at 23. Excuse me. Do you have any information ___ file about the Frank Spacey case? Correct answer on24. You can usually count ____ the police to helpyou out when you're in trouble. Correct answer on25. In order to enter the building, I needed to have my fingerprints scanned ____ a machine.Correct answer by26. I know the security guards need to ask for identification, but I was very unhappy with the way hewent ___ it. Correct answer about27. After you check your bank balance online, remember to log ___ so no one else can steal your information. Correct answer off28. I would have helped out last weekend ____ only I had known you were moving. Correct answer if29. Did you cut____ your old credit card after you received the new one? Correct answer up30. Passing through security in an airport takes a long time since the officers sometimes need to look ____ your luggage. Correct answer through Part II: Banked ClozeCorrect answer (31) scary (32) obviously (33) forge (34) unauthorized (35) fraud (36) undoubted (37) ethical (38) widely (39) mindset (40)globally Part III: Reading prehension 41~45: CBAAD Unit test 4 Section A: plete each sentence using the correct word or expression from the box. 1. Thomas is a journalist and will go to Russia next week on __ for a new story. Correct answer survey assignment2. China's victory in the World Cup semifinals was so___ that people were up all night celebrating. Correct answer unexpected3. The city newspaper conducted a(n) ___of residents to see what they thought of the new law. Correct answer survey4. The election of US President Obama had such____importance that it will be taught in classrooms for years to e. Correct answer historical5. Newspaper journalists must follow a set of established ____when they write their articles. Correct answer guidelines6. I couldn't believe that the politician had the nerve to__those ments! Correct answer deny7. Peopleall over the country were ____ dissatisfied with the election. Correct answer similarly 8.It was hard totrust Bill's ___after he was caught lying andcheating.Correct answer integrity 9. That editorial was about the government's responsibility to help people who are unemployed and living in___ . Correct answer poverty10. The recovery of the missing girl and the____ of her kidnappers made headlines for a week. Correct answer captureSection B: Choose the best way to plete the sentences. 11~15: BADAA 16~20: BCBDCSection C: plete each sentence with a suitable word.21. Do you think twenty-four-hour news channels will ever run out __ things to report about? Correct answer of22. The local newspaper decided to lead__ the story about the election results. Correct answer with23. Unfortunately, many people believe that if it's____print, then it must be true. Correct answer in24. In the United States, more than seven___ ofevery ten people own a puter. Correctanswer out25. The music was____ loud that I asked Carl toturn it down. Correct answer so 26. I generallydon't believe something unless I can see it ____ my own eyes. Correct answer with27. Eventually, the killer was caught____ thepolice, but it wasn't soon enough. Correct answer by28. I read an article that newspapers and magazineswill disappear_____ the future and everything will be online. Correct answer in29. When I lived abroad, I was forced to turn_____the Inter to stay current with the news.Correct answer to30. It's nice to know that people still read realbooks in spite ______ new technology like e-books anddigital downloads. Correct answer of Part II: BankedClozeCorrect answer (31) websites(32)blog (33)billion(34) laptop (3) momentous (36) moreover (37)ferocious (38) chase (39) startled (40) feedbackPart III: Reading prehension 41~45: CBDAB Unit test5 Part I: Vocabulary and StructureSection A: plete each sentence using the correct wordor expression from the box.1. There is a(n)___ need for relief aid to victimsof the earthquake.Correct answer immedia te 2. I feltthat he didn't get the ____ he deserved for his role inthe peace treaty. Correct answer recognition3. During times of great uncertainty and struggle,many people appreciate a few moments of true___ relief. Correct answer ic4. All wars create a(n) ____amount of damage in the affected countries. Correct answer considerable5. The atomic bomb has the ability to destroy allof____ if we're not careful. Correct answer humanity6. World War II began in 1939 when the Germanmilitary ___ Poland. Correct answer invaded7. The government has threatened to take ____ actionif the rebels do not withdraw from the area. Correct answer military8. My grandfather never ____ any emotion when he spoke of his experience during the war. Correct answer displayed9. We all owe a debt of gratitude to the many ____ troops who fought and died with bravery during World War II. Correct answer bat10. \you please stop this _____ behaviour for five minutes and act like adults?\his mother demanded. Correct answer childish11. If you___ the truth, your trial will bedifficult; it's best to just honestly answer all questions. Correct answer conceal12. There is a(n) ____ in her contract whichspecifies when she will be paid. Correct answer clause。
郑大远程教育学院2016.10.9《大学英语II》在线测试及答案《大学英语II》第01章在线测试A BC DMore and more young people enjoy to pop music.A BC DOur English teacher advices us aloud in the morningA BC DHow about ______A BC DIf you keep ______, you will succeed sooner or later.A BC DA BC D_____for over a month and the downpour had damaged many houses.A BC DHe has been writing the essay the whole morning and he still ___A BC DGreater efforts to increase agricultural production must be made if food shortageA BC DOur modern civilization must not be thought of as ______ in a short period of time.A BC DA BC D_________ at Christmas that John Smith gave Mary a handbag.A BC D__________ disappointed me.A BC DIt was not __________ she took off her dark glasses _________A BC DThe two brothers are so nearly alike that I can_______A BC DA BC D____!A BC DOnly after I read the text over again its main idea.A BC DJimmy was so nervous, not a single word down in thedictation.A BC D、_____, I would accept the invitation and go to the party.A BC DA BC D It was his carelessness that caused his failure.A BC D She came---late that she missed the important lecture.A BC Dt attend the party she invites me.A BC D 、_____ I know, he has failed English exam twice.A BC DA BC D That grand building is a beautiful view, 10 years to build.A BC Dt know the reason he was absent.A BC D He is the only one of the students who good at chess.A BC D Anny, in house I spent my holiday, is an old friend of mine.A BC DC DIt was not until dark he thought was the correct way to solve the problem.A BC D、______do you think we should do to improve our English?A BC DYour shoes areA BC DMary wrote an article onA BC DA BC D______A BC DThe number of people who own cars increasing.A BC D______A BC DThe police _______ searching for a tall dark man with a beard.A BA BC D______A BC DIn order to improve English,A BDCs fatherA BC DThey had only in that house for three weeks when fire destroyed it.A BC DA BC DIf you hadn’t gone with Tom to the party last night, ______A BC DIf it rain next week the farmers could still have a good harvest.A BC DI to stay there for one more weekA BC D He the job wellA B。
-Unit test 1Section A: Complete each sentence using the correct word or expression from the box.1. The former rivals decided to create a(n) _______ when they realized they shareda common threat. Correct answer alliance2. The streets around the courthouse were all closed down because of the____ againstthe ruling. Correct answer demonstration3. Sandra was explaining how her daughter is beginning to ____ against her rules and authority. Correct answer rebel4. The government has passed many laws that intended to make us safer, but (a) ___would probably suggest that we're just as vulnerable as before. Correct answercynic5. The ___of California held a press conference to announce his candidacy for theUS Senate. Correct answer governor6. I found the Prime Minister's speech to be very_____ ; it made me feel hopeful and patriotic. Correct answer inspirational(7. At this point, Jim has no ___ of landing a job anytime soon; he just can't find ajob for someone with a history degree. Correct answer prospects8. Radicalism, by ___, means that people are acting outside the accepted norms of society. Correct answer definition9. My children are growing up today in the Internet ____—a time when all the knowledgeof the world is only a few mouse clicks away. Correct answer era10. The September 11 terrorist attack in the United States caused more ____ than manypeople thought possible. Correct answer destruction11. During the 1960s, many young people chose to _____their country's involvementin the Vietnam War. Correct answer protest12. The collapsed housing industry in America ultimately had severe consequences forthe entire_____ . Correct answer economy13. Pedro asked me to sign the _____ in favor of the proposed law.Correct answer petition|14. Traveling through Mexico was a wonderful ____to practice Spanish which I spentso many years studying. Correct answer opportunity15. She chose to major in business at college because she thought it would increaseher chances of well-paid _____ after graduation. Correct answer employment16. This artist must be fairly _______; I've never heard of her and I'm an art major! Correct answer obscure17. Mike explained that it was his personal______ that governments should never interfere with other countries' internal problems. Correct answer philosophy18. My father always told me that if I don't have ____ for what I do, I should find something else to do. Correct answer passion19. Subjects like physics and chemistry can cause considerable _____ for students whoaren't good at mathematics. Correct answer frustration20. To an economist, there is a huge difference between an _____ society and an agricultural one. Correct answer industrialSection B: Complete each sentence with a suitable word."21. The students took ____ the streets in protest and got a lot of media attention. Correct answer to22. It's difficult to know exactly what the candidates stand___ because they speakin such general terms. Correct answer for23. It wasn't until I moved to college that I realized how much I relied ____ my parents. Correct answer on24. That film about the plight of polar bears really made me sit ____and pay attentionto climate change. Correct answer up25. Greg wanted to go jogging in spite ______ the fact that there was a strong thunderstorm. Correct answer of26. I would never be associated ____ an organization that was cruel to animals. Correct answer to with27. The news story was about people who protested because they had been kept ____ thelist of eligible voters. Correct answer off:28. Barbara decided not to drop ___of college even though she was pregnant. Correct answer out29. Do you really think a group of students can bring___ change in the government Correct answer about30. President Kennedy hoped that the embargo would bring the Cuban government ___ its knees. Correct answer toPart II: Banked ClozeCorrect answer (31) campus (32) sophomores (33) resignation (34) repressive (35) chanting (36) clash (37) passionate (38) liberal (39) assert (40) apatheticPart III: Reading Comprehension41~45:BCDAB)Unit test 2Section A: Choose the best way to complete the sentences.1~5:CDBDA 6~10:BCCBD 11~15:ADBCA 16~20:DACACSection B: Complete each sentence with a suitable word.21. Don't let ___ that you like opera, or she'll make you listen to it all the time! Correct answer on22. She had already fallen asleep ___ the time we got back home.Correct answer by!23. It was important for the child to calm _____ so the doctor could administer theflu shot. Correct answer down24. Professor Gregory went to the Amazon rainforest ____ search of plants that mighthelp make new medicines. Correct answer in25. All the issues we're facing today stem ____ the President's decision last year. Correct answer from26. I finally worked up the nerve to ask Rick ___ on a date, and he said yes!Correct answer out27. Every time I try to get close and understand Catherine's problems, she pulls___ . Correct answer away28. Alfredo received all the praise and congratulations, ____though he had won the contest. Correct answer as。
《大学英语II》第01章在线测试第一题、单项选择题(每题1分,5道题共5分)1、He was about __C___home when the phone rang.A、leavesB、leavingC、to leaveD、left2、We used ___A___at the same departmentA、to workB、to workingC、workingD、work3、Listen! I hear someone __D____the piano next door.A、playsB、to playC、playedD、playing4、We were all ___D____by the speech given by the blind girl yesterdayA、movingB、moveC、to moveD、moved5、___B____may cause lung cancer.A、SmokeB、SmokingC、SmokesD、Smoked《大学英语II》第02章在线测试第一题、单项选择题(每题1分,5道题共5分)1、Marlin is an independent man who is not about __C___on his parents any more.A、relyingB、having reliedC、to relyD、to have relied2、He didn’t show up at the party yesterday. He __C__in the lab.A、must be busy wordingB、must be busy to workC、must have been busy workingD、would have been busy working3、By the time she is 50 years old, she ___A__an inmate of the prison for over half of her life.A、will have beenB、will beC、would have beenD、would be4、He has been writing the essay the whole morning and he still _B__.A、hasB、isC、has beenD、does5、Greater efforts to increase agricultural production must be made if food shortage __A____avoided.A、is to beB、can beC、will beD、has been《大学英语II》第03章在线测试第一题、单项选择题(每题1分,5道题共5分)1、_C_that silver is not widely used as a conductor?A、Why isB、Is it whyC、Why is itD、Why is that2、Was it during the Second World War _A_he died?A、thatB、whileC、in whichD、then3、It _C_at Christmas that John Smith gave Mary a handbag.A、must haveB、will beC、might have beenD、may have had4、__C_surprised me most was__some of the village people seated on the benches at the end of the room.A、That, seeB、what, seeC、what, to seeD、That, to see5、I _A_swimming very much and I go swimming everyday.A、did likeB、do likeC、does likeD、can like《大学英语II》第04章在线测试第一题、单项选择题(每题1分,5道题共5分)1、Never in my life _A___such a thing.A、have I heard or seenB、I have heard or have seenC、I have heard or seenD、did I hear or see2、- Here __B__!Where is Xiao Liu?- There ____.A、comes the bus,is heB、comes the bus,he isC、the bus comes,is heD、the bus comes,he is3、Only after I read the text over again _B____its main idea.A、that I knewB、did I knowC、1 could knowD、I did know4、Little __D___when I took the trip where it would lead me.A、have I knownB、had I knownC、do I knowD、did I know5、___C__and caught the mouse.A、Up the cat jumpedB、The cat up jumpedC、Up jumped the catD、Jumped up the cat《大学英语II》第05章在线测试第一题、单项选择题(每题1分,5道题共5分)1、He had just got out of the bus there was a fire in it. CA、whileB、tillC、whenD、as2、Please write it down you forget it. BA、whenB、beforeC、every timeD、after3、People do not know the value of health they lose it. CA、ifB、whenC、untilD、while4、I worked hard on my class notes I could pass the exam. BA、becauseB、so thatC、in caseD、for fear that5、He must have heard the bad news, he looks upset. BA、becauseB、forC、whenD、as《大学英语II》第06章在线测试第一题、单项选择题(每题1分,5道题共5分)1、That grand building is a beautiful view, 10 years to build. BA、it tookB、which tookC、tookD、that took2、I made friend with that guy, turned out to be kind-hearted. CA、thatB、whichC、whoD、he3、The car drove recklessly, caused the accident. CA、itB、thatC、whichD、who4、I don’t know the reason he was absent. AA、whyB、becauseC、whichD、as5、Anny, in house I spent my holiday, is an old friend of mine. DA、hisB、whichC、whomD、whose《大学英语II》第07章在线测试第一题、单项选择题(每题1分,5道题共5分)1、Mike didn’t understand _A_made his wife so upset this morning.A、whatB、whyC、howD、which2、It was not until dark _A_he found __he thought was the correct way to solve the problem.A、that; whatB、that; thatC、when; whatD、when; that3、The argument remained heated _B__there are necessary conditions of existence such as water on the Moon.A、thatB、whetherC、ifD、about which4、Your shoes are _A_A、where they wereB、the place you putC、in the corner that you putD、there they are5、The boy dived into the water and after _B_seemed to be a long time, he came up again.A、thatB、whatC、whereD、the place where《大学英语II》第08章在线测试第一题、单项选择题(每题1分,5道题共5分)1、Each man and each woman _B_asked to come.A、areB、isC、hasD、were2、Physics _D__my favorite subject.A、beB、areC、amD、is3、The rich_B__not always happy.A、isB、areC、hasD、have4、Neither Jane nor Steven _B__watching TV now.A、wereB、isC、wasD、are5、The number of people who own cars _C___increasing.A、hasB、haveC、isD、are《大学英语II》第09章在线测试第一题、单项选择题(每题1分,5道题共5分)1、_B_that the sports meet might be put off. Yes, it all depends on the weather.A、I’ve toldB、I’ve been toldC、I’m toldD、I told2、I __B_to stay here if I can.A、have been meaningB、meanC、am meaningD、have meant3、In order to improve English, _B__.A、Jane’s father bought her a lot of tapesB、Jane bought a lot of tapes for herselfC、a lot of tapes were bought by JaneD、a lot of tapes were bought for her by Jane’s father4、Hundreds of jobs _C_if the factory closes down.A、loseB、will loseC、will be lostD、are lost5、In the USA, he made a lot of friends _B__English well so he could make himself ___.A、learn, understandB、to learn, understoodC、learning, understoodD、learn, understanding《大学英语II》第10章在线测试第一题、单项选择题(每题1分,5道题共5分)1、Everything _D_if Albert hadn’t called the fire brigade.A、will be destroyedB、will have been destroyedC、would be destroyedD、would have been destroyed2、If you hadn’t gone with Tom to the party last night, D__.A、you would meet John alreadyB、you won’t have missed JohnC、you will have met JohnD、you would have met John3、_D__your letter,I would have started off two days ago.A、If I receivedB、Should I receiveC、If I could have receivedD、Had I received4、If it rain next week,the farmers could still have a good harvest. AA、shouldB、couldC、wouldD、might5、Li Ling acted that way as though he a foreigner. AA、wereB、had beenC、should beD、is。