2020中考数学 计算基础专题练习(含答案)
- 格式:docx
- 大小:169.02 KB
- 文档页数:7
2020中考数学一轮复习基础达标训练题:代数式2(附答案)1.下列运算中,正确的是( )A .235325x x x +=B .336x x x ⋅=C .235()x x =D .33()ab a b = 2.已知:当x=2时,多项式x 4﹣bx 2+c 的值为2016,当x=﹣2时,多项式x 4﹣bx 2+c 的值为( )A .-2016B .-2015C .2016D .20153.计算(-a)3·(-a)2的结果是( )A .a 5B .-a 5C .a 6D .-a 64.下列运算中,正确的是 ( )A .x 2+5x 2=6x 4B .x 326·x x =C .236()x x =D .33()xy xy = 5.下列各式能用平方差公式计算的 ( )A .(-3a -b )(-3a +b )B .(-3a +b )(3a -b )C .(3a +b )(-3a -b )D .(3a +b )(a -b ) 6.3n .(-9).3n +2的计算结果是 ( )A .-32n -2B .-3n +4C .-32n +4D .-3n +67.某工厂第一年生产b 件产品,第二年比第一年增产了30%,则第二年生产产品的件数为( )A .0.3bB .bC .1.3bD .2.3b8.下列计算正确的是( )A .3a +2b =5abB .4m 2n -2mn 2 =2mnC .5y 2 -3y 2 =2D .-12x +7x =-5x9.计算()24a a -∙的值为( )A .6aB .-6aC .-8aD .8a 10.已知2223,21A a a B a a =-=--,当4a =-时,A B -等于( )A .8B .9C .-9D .-711.计算:2299.3100.7(100______)(100______)__________________⨯=-+=-=.12.若a 、b 互为倒数,c 、d 互为相反数,则223c d ab +-()=_______13.计算:()()2a b b a --=_____(结果用幂的形式表示).14.若710x y -与415m x y -是同类项,则m 的值为_______.15.___________·3ab 2c=-18a 3b 7c ;计算a (a -b )+b (a-b )=_________.16.已知x 2-y 2=-5,则代数式(x+y)3•(x -y)3的值为_______.17.计算:(-a)5÷(-a)=_________.18.如下一组数:13715--591733,,,,请用你发现的规律,猜想第2018个数为_______. 19.若x =2m ,则将y =1+4m +1,则用含x 的代数式表示y 为______________________. 20.计算x 7÷x 4的结果为________.21.同学们都知道:|3﹣(﹣2)|表示3与﹣2之差的绝对值,实际上也可理解为3与﹣2两数在数轴上所对应的两点之间的距离.请你借助数轴进行以下探索:(1)数轴上表示x 与3的两点之间的距离可以表示为 .(2)如果|x ﹣3|=5,则x= .(3)同理|x+2|+|x ﹣1|表示数轴上有理数x 所对应的点到﹣2和1所对应的点的距离之和,请你找出所有符合条件的整数x ,使得|x+2|+|x ﹣1|=3,这样的整数是 .(4)由以上探索猜想对于任何有理数x ,|x+3|+|x ﹣6|是否有最小值?如果有,直接写出最小值;如果没有,说明理由.22.已知代数式533ax bx x c +++,当0x =时,该代数式的值为-1.(1)求c 的值。
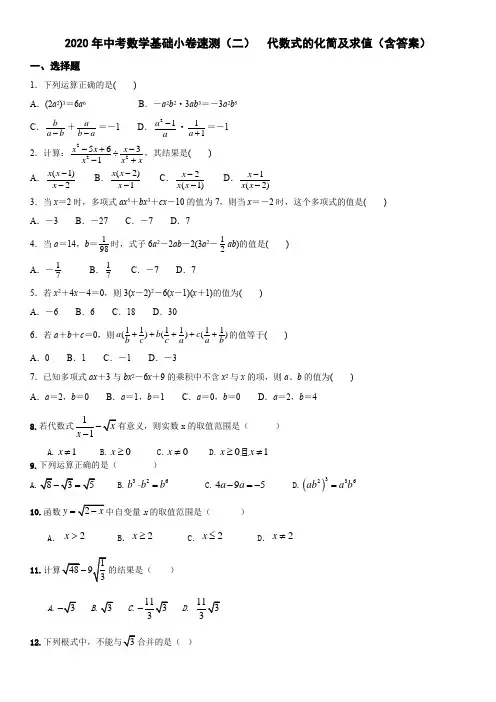
2020年中考数学基础小卷速测(二) 代数式的化简及求值(含答案)一、选择题1.下列运算正确的是( )A .(2a 2)3=6a 6B .-a 2b 2·3ab 3=-3a 2b 5C .ba b -+ab a -=-1 D .21a a -·11a +=-12.计算:2225631x x x x x x -+-÷-+,其结果是( )A .(1)2x x x --B .(2)1x xx -- C .2(1)x x x -- D .1(2)x x x --3.当x =2时,多项式ax 5+bx 3+cx -10的值为7,则当x =-2时,这个多项式的值是() A .-3 B .-27 C .-7 D .74.当a =14,b =198时,式子6a 2-2ab -2(3a 2-12ab )的值是( )A .-17 B .17 C .-7 D .75.若x 2+4x -4=0,则3(x -2)2-6(x -1)(x +1)的值为( )A .-6B .6C .18D .306.若a +b +c =0,则111111()()()a b c b c c a a b +++++的值等于( )A .0B .1C .-1D .-37.已知多项式ax +3与bx 2-6x +9的乘积中不含x 2与x 的项,则a 、b 的值为( )A .a =2,b =0B .a =1,b =1C .a =0,b =0D .a =2,b =48.若代数式11x --x 的取值范围是( )A.1x ≠B.0x ≥C.0x ≠D.01x x ≥≠且9.下列运算正确的是( )= B.326b b b ⋅= C.495a a -=- D.()3236ab a b =10.函数y =x 的取值范围是( )A . 2x >B .2x ≥C .2x ≤D .2x ≠11. )A.B C . D12. )二、填空题13.若(2a+3b)2=(2a-3b)2+A,则A=______.14.计算:(m-2n+3)(m+2n-3)=________.15.化简:(23aa-+93a-)÷3aa+=______.16.已知x2+x-5=0,则代数式(x-1)2-x(x-3)+(x+2)(x-2)的值为______.17.若1(21)(21)n n-+=2121a bn n+-+,对任意自然数n都成立,则a=______,b=______;计算:m=113⨯+1 35⨯+157⨯+…+11921⨯=______.三、解答题18.已知x,y满足方程组52,25 1.x yx y-=-⎧⎨+=-⎩①②求代数式(x-y)2-(x+2y)(x-2y)的值.19.先化简,再求值:(x+y)(x-y)-(4x3y-8xy3)÷2xy,其中x=-1,y.20.先化简,再求值:(a+1-451aa--)÷(11a--22a a-),其中a=-1.21.先化简(22221x xx+--2221x xx x--+)÷1xx+,然后解答下列问题:(1)当x=3时,求原代数式的值;(2)原代数式的值能等于-1吗?为什么?参考答案1.C2.B3.B[解析]依题意,得25a+23b+2c-10=7.即25a+23b+2c=17.当x=-2时,原式=-25a-23b-2c-10=-(25a+23b+2c)-10=-17-10=-27.故选B.4.A[解析]原式=6a2-2ab-6a2+ab=-ab.当a=14,b=198时,原式=-14×198=-17.故选A.5.B[解析]原式=3(x2-4x+4)-6(x2-1)=3x2-12x+12-6x2+6=-3x2-12x+18=-3(x2+4x)+18.∵x2+4x-4=0,∴x2+4x=4.原式=-3×4+18=6.故选B.6.D [解析]原式=a cb++a bc++b ca+=bb-+cc-+aa-=-37.D [解析](ax+3)(bx2-6x+9)=abx3-6ax2+9ax+3bx2-18x+27=abx3-(6a-3b)x2+(9a-18)x+27.依题意可得630,9180.a ba-=⎧⎨-=⎩解得2,4.ab=⎧⎨=⎩8.D9.D10.C11.B12.C13.24ab14.m2-4n2+12n-915.a[解析]原式=(23aa--93a-)÷3aa+=293aa--÷3aa+=(a+3)·3aa+=a.16.2[解析]原式=x2-2x+1-x2+3x+x2-4=x2+x-3.因为x2+x-5=0,所以x2+x=5.所以原式=5-3=2.17.12,-12;1021[解析]∵1(21)(21)n n-+=2121a bn n+-+=(21)(21)(21)(21)a nb nn n++--+=2()()(21)(21)a b n a bn n++--+,∴对任意自然数n,等式2(a+b)n+a-b=1都成立.∴0,1.a ba b+=⎧⎨-=⎩解得a=12,b=-12.∴m=12(1-13+13-15+…+119-121)=12(1-121)=1021.18.解:原式=x2-2xy+y2-x2+4y2=-2xy+5y2.①+②得:3x =-3,即x =-1.把x =-1代入①,求得y =15. 所以原式=-2×(-1)×15+5×(15)2 =25+15=35. 19.解:原式=x 2-y 2-2x 2+4y 2=-x 2+3y 2.当x =-1,y 时,原式=-1+1=0. 20.解:原式=21(45)1a a a ----÷2(1)a a a --=2(2)1a a --·(1)2a a a --=a 2-2a .当a =-1时,原式=(-1)2-2×(-1)=3.21.解:(1)原式=[2(1)(1)(1)x x x x +-+-2(1)(1)x x x --]•1x x + =(21x x --1x x -)•1x x + =1x x -•1x x + =11x x +-. 当x =3时,原式=3131+-=2; (2)如果11x x +-=-1,那么x +1=-x +1. 解得x =0.当x =0时,除式1x x +=0,原式无意义. 故原代数式的值不能等于-1.。
2020中考数学专题练习:平行四边形(解析版)【例题1】如图,在?ABCD中,用直尺和圆规作∠BAD的平分线AG,若AD=5,DE=6,则AG的长是()A.6 B.8 C.10 D.12【分析】连接EG,由作图可知AD=AE,根据等腰三角形的性质可知AG是DE 的垂直平分线,由平行四边形的性质可得出CD∥AB,故可得出∠2=∠3,据此可知AD=DG,由等腰三角形的性质可知OA=AG,利用勾股定理求出OA的长即可.【解答】解:连接EG,∵由作图可知AD=AE,AG是∠BAD的平分线,∴∠1=∠2,∴AG⊥DE,OD=DE=3.∵四边形ABCD是平行四边形,∴CD∥AB,∴∠2=∠3,∴∠1=∠3,∴AD=DG.∵AG⊥DE,∴OA=AG.在Rt△AOD中,OA===4,∴AG=2AO=8.故选B.【例题2】如图,在?ABCD中,点O是边BC的中点,连接DO并延长,交AB 延长线于点E,连接BD,EC.(1)求证:四边形BECD是平行四边形;(2)若∠A=50°,则当∠BOD=100°时,四边形BECD是矩形.【分析】(1)由AAS证明△BOE≌△COD,得出OE=OD,即可得出结论;(2)由平行四边形的性质得出∠BCD=∠A=50°,由三角形的外角性质求出∠ODC=∠BCD,得出OC=OD,证出DE=BC,即可得出结论.【解答】(1)证明:∵四边形ABCD为平行四边形,∴AB∥DC,AB=CD,∴∠OEB=∠ODC,又∵O为BC的中点,∴BO=CO,在△BOE和△COD中,,∴△BOE≌△COD(AAS);∴OE=OD,∴四边形BECD是平行四边形;(2)解:若∠A=50°,则当∠BOD=100°时,四边形BECD是矩形.理由如下:∵四边形ABCD是平行四边形,∴∠BCD=∠A=50°,∵∠BOD=∠BCD+∠ODC,∴∠ODC=100°﹣50°=50°=∠BCD,∴OC=OD,∵BO=CO,OD=OE,∴DE=BC,∵四边形BECD是平行四边形,∴四边形BECD是矩形;故答案为:100.【例题3】定义:有一组邻边相等,并且它们的夹角是直角的凸四边形叫做等腰直角四边形.(1)如图1,等腰直角四边形ABCD,AB=BC,∠ABC=90°,①若AB=CD=1,AB∥CD,求对角线BD的长.②若AC⊥BD,求证:AD=CD,(2)如图2,在矩形ABCD中,AB=5,BC=9,点P是对角线BD上一点,且BP=2PD,过点P作直线分别交边AD,BC于点E,F,使四边形ABFE是等腰直角四边形,求AE的长.【分析】(1)①只要证明四边形ABCD是正方形即可解决问题;②只要证明△ABD≌△CBD,即可解决问题;(2)若EF⊥BC,则AE≠EF,BF≠EF,推出四边形ABFE表示等腰直角四边形,不符合条件.若EF与BC不垂直,①当AE=AB时,如图2中,此时四边形ABFE是等腰直角四边形,②当BF=AB时,如图3中,此时四边形ABFE是等腰直角四边形,分别求解即可;【解答】解:(1)①∵AB=AC=1,AB∥CD,∴S四边形ABCD是平行四边形,∵AB=BC,∴四边形ABCD是菱形,∵∠ABC=90°,∴四边形ABCD是正方形,∴BD=AC==.(2)如图1中,连接AC、BD.∵AB=BC,AC⊥BD,∴∠ABD=∠CBD,∵BD=BD,∴△ABD≌△CBD,∴AD=CD.(2)若EF⊥BC,则AE≠EF,BF≠EF,∴四边形ABFE表示等腰直角四边形,不符合条件.若EF与BC不垂直,①当AE=AB时,如图2中,此时四边形ABFE是等腰直角四边形,∴AE=AB=5.②当BF=AB时,如图3中,此时四边形ABFE是等腰直角四边形,∴BF=AB=5,∵DE∥BF,∴DE:BF=PD:PB=1:2,∴DE=2.5,∴AE=9﹣2.5=6.5,综上所述,满足条件的AE的长为5或6.5.【例题4】在直角坐标系中,过原点O及点A(8,0),C(0,6)作矩形OABC、连结OB,点D为OB的中点,点E是线段AB上的动点,连结DE,作DF⊥DE,交OA于点F,连结EF.已知点E从A点出发,以每秒1个单位长度的速度在线段AB上移动,设移动时间为t秒.(1)如图1,当t=3时,求DF的长.(2)如图2,当点E在线段AB上移动的过程中,∠DEF的大小是否发生变化?如果变化,请说明理由;如果不变,请求出tan∠DEF的值.(3)连结AD,当AD将△DEF分成的两部分的面积之比为1:2时,求相应的t的值.【分析】(1)当t=3时,点E为AB的中点,由三角形中位线定理得出DE∥OA,DE=OA=4,再由矩形的性质证出DE⊥AB,得出∠OAB=∠DEA=90°,证出四边形DFAE是矩形,得出DF=AE=3即可;(2)作DM⊥OA于M,DN⊥AB于N,证明四边形DMAN是矩形,得出∠MDN=90°,DM∥AB,DN∥OA,由平行线得出比例式,=,由三角形中位线定理得出DM=AB=3,DN=OA=4,证明△DMF∽△DNE,得出=,再由三角函数定义即可得出答案;(3)作作DM⊥OA于M,DN⊥AB于N,若AD将△DEF的面积分成1:2的两部分,设AD交EF于点G,则点G为EF的三等分点;①当点E到达中点之前时,NE=3﹣t,由△DMF∽△DNE得:MF=(3﹣t),求出AF=4+MF=﹣t+,得出G(,t),求出直线AD的解析式为y=﹣x+6,把G(,t)代入即可求出t的值;②当点E越过中点之后,NE=t﹣3,由△DMF∽△DNE得:MF=(t﹣3),求出AF=4﹣MF=﹣t+,得出G(,t),代入直线AD的解析式y=﹣x+6求出t的值即可.【解答】解:(1)当t=3时,点E为AB的中点,∵A(8,0),C(0,6),∴OA=8,OC=6,∵点D为OB的中点,∴DE∥OA,DE=OA=4,∵四边形OABC是矩形,∴OA⊥AB,∴DE⊥AB,∴∠OAB=∠DEA=90°,又∵DF⊥DE,∴∠EDF=90°,∴四边形DFAE是矩形,∴DF=AE=3;(2)∠DEF的大小不变;理由如下:作DM⊥OA于M,DN⊥AB于N,如图2所示:∵四边形OABC是矩形,∴OA⊥AB,∴四边形DMAN是矩形,∴∠MDN=90°,DM∥AB,DN∥OA,∴,=,∵点D为OB的中点,∴M、N分别是OA、AB的中点,∴DM=AB=3,DN=OA=4,∵∠EDF=90°,∴∠FDM=∠EDN,又∵∠DMF=∠DNE=90°,∴△DMF∽△DNE,∴=,∵∠EDF=90°,∴tan∠DEF==;(3)作DM⊥OA于M,DN⊥AB于N,若AD将△DEF的面积分成1:2的两部分,设AD交EF于点G,则点G为EF的三等分点;①当点E到达中点之前时,如图3所示,NE=3﹣t,由△DMF∽△DNE得:MF=(3﹣t),∴AF=4+MF=﹣t+,∵点G为EF的三等分点,∴G(,t),设直线AD的解析式为y=kx+b,把A(8,0),D(4,3)代入得:,解得:,∴直线AD的解析式为y=﹣x+6,把G(,t)代入得:t=;②当点E越过中点之后,如图4所示,NE=t﹣3,由△DMF∽△DNE得:MF=(t﹣3),∴AF=4﹣MF=﹣t+,∵点G为EF的三等分点,∴G(,t),代入直线AD的解析式y=﹣x+6得:t=;综上所述,当AD将△DEF分成的两部分的面积之比为1:2时,t的值为或巩固练习一、选择题:1.在平行四边形ABCD中,∠A的平分线把BC边分成长度是3和4的两部分,则平行四边形ABCD周长是()A.22 B.20 C.22或20 D.18【分析】根据AE平分∠BAD及AD∥BC可得出AB=BE,BC=BE+EC,从而根据AB、AD的长可求出平行四边形的周长.【解答】解:在平行四边形ABCD中,AD∥BC,则∠DAE=∠AEB.∵AE平分∠BAD,∴∠BAE=∠DAE,∴∠BAE=∠BEA,∴AB=BE,BC=BE+EC,①当BE=3,EC=4时,平行四边形ABCD的周长为:2(AB+AD)=2(3+3+4)=20.②当BE=4,EC=3时,平行四边形ABCD的周长为:2(AB+AD)=2(4+4+3)=22.故选:C.【点评】本题考查平行四边形的性质、等腰三角形的判定;根据题意判断出AB=BE是解答本题的关键.2.如图,矩形纸片ABCD中,AD=4cm,把纸片沿直线AC折叠,点B落在E处,AE交DC于点O,若AO=5cm,则AB的长为()A.6cm B.7cm C.8cm D.9cm【分析】根据折叠前后角相等可证AO=CO,在直角三角形ADO中,运用勾股定理求得DO,再根据线段的和差关系求解即可.【解答】解:根据折叠前后角相等可知∠BAC=∠EAC,∵四边形ABCD是矩形,∴AB∥CD,∴∠BAC=∠ACD,∴∠EAC=∠EAC,∴AO=CO=5cm,在直角三角形ADO中,DO==3cm,AB=CD=DO+CO=3+5=8cm.故选:C.3.如图,在正方形ABCD中,△BPC是等边三角形,BP、CP的延长线分别交AD于点E、F,连接BD、DP,BD与CF相交于点H,给出下列结论:①BE=2AE;②△DFP∽△BPH;③△PFD∽△PDB;④DP2=PHPC其中正确的是()A.①②③④B.②③C.①②④D.①③④【分析】由正方形的性质和相似三角形的判定与性质,即可得出结论.【解答】解:∵△BPC是等边三角形,∴BP=PC=BC,∠PBC=∠PCB=∠BPC=60°,在正方形ABCD中,∵AB=BC=CD,∠A=∠ADC=∠BCD=90°∴∠ABE=∠DCF=30°,∴BE=2AE;故①正确;∵PC=CD,∠PCD=30°,∴∠PDC=75°,∴∠FDP=15°,∵∠DBA=45°,∴∠PBD=15°,∴∠FDP=∠PBD,∵∠DFP=∠BPC=60°,∴△DFP∽△BPH;故②正确;∵∠FDP=∠PBD=15°,∠ADB=45°,∴∠PDB=30°,而∠DFP=60°,∴∠PFD≠∠PDB,∴△PFD与△PDB不会相似;故③错误;∵∠PDH=∠PCD=30°,∠DPH=∠DPC,∴△DPH∽△CPD,∴,∴DP2=PHPC,故④正确;故选C.【点评】本题考查的正方形的性质,等边三角形的性质以及相似三角形的判定和性质,解答此题的关键是熟练掌握性质和定理.4.如图,四边形ABCD是边长为1的正方形,E,F为BD所在直线上的两点,若AE=,∠EAF=135°,则下列结论正确的是()A.DE=1 B.tan∠AFO=C.AF=D.四边形AFCE的面积为【分析】根据正方形的性质求出AO的长,用勾股定理求出EO的长,然后由∠MAN=135°及∠BAD=90°可以得到相似三角形,根据相似三角形的性质求出BF 的长,再一一计算即可判断.【解答】解:∵四边形ABCD是正方形,∴AB=CB=CD=AD=1,AC⊥BD,∠ADO=∠ABO=45°,∴OD=OB=OA=,∠ABF=∠ADE=135°,在Rt△AEO中,EO===,∴DE=,故A错误.∵∠EAF=135°,∠BAD=90°,∴∠BAF+∠DAE=45°,∵∠ADO=∠DAE+∠AED=45°,∴∠BAF=∠AED,∴△ABF∽△EDA,∴=,∴=,∴BF=,在Rt△AOF中,AF===,故C正确,tan∠AFO===,故B错误,∴S四边形AECF=?AC?EF=××=,故D错误,故选C.5.如图,在边长为4的正方形ABCD中,E、F是AD边上的两个动点,且AE=FD,连接BE、CF、BD,CF与BD交于点G,连接AG交BE于点H,连接DH,下列结论正确的个数是()①△ABG∽△FDG ②HD平分∠EHG ③AG⊥BE ④S△HDG:S△HBG=tan∠DAG ⑤线段DH的最小值是2﹣2.A.2 B.3 C.4 D.5【分析】首先证明△ABE≌△DCF,△ADG≌△CDG(SAS),△AGB≌△CGB,利用全等三角形的性质,等高模型、三边关系一一判断即可.【解答】解:∵四边形ABCD是正方形,∴AB=CD,∠BAD=∠ADC=90°,∠ADB=∠CDB=45°,在△ABE和△DCF中,,∴△ABE≌△DCF(SAS),∴∠ABE=∠DCF,在△ADG和△CDG中,,∴△ADG≌△CDG(SAS),∴∠DAG=∠DCF,∴∠ABE=∠DAG,∵∠DAG+∠BAH=90°,∴∠BAE+∠BAH=90°,∴∠AHB=90°,∴AG⊥BE,故③正确,同法可证:△AGB≌△CGB,∵DF∥CB,∴△CBG∽△FDG,∴△ABG∽△FDG,故①正确,∵S△HDG:S△HBG=DG:BG=DF:BC=DF:CD=tan∠FCD,又∵∠DAG=∠FCD,∴S△HDG:S△HBG=tan∠FCD,tan∠DAG,故④正确取AB的中点O,连接OD、OH,∵正方形的边长为4,∴AO=OH=×4=2,由勾股定理得,OD==2,由三角形的三边关系得,O、D、H三点共线时,DH最小,DH最小=2﹣2.无法证明DH平分∠EHG,故②错误,故①③④⑤正确,故选C.二、填空题:6.如图,在?ABCD中,对角线AC、BD相交于点O,点E是AB的中点,OE=5cm,则AD的长是10cm.【分析】根据平行四边形的性质,可得出点O平分BD,则OE是三角形ABD 的中位线,则AD=2OE,继而求出答案.【解答】解:∵四边形ABCD为平行四边形,∴BO=DO,∵点E是AB的中点,∴OE为△ABD的中位线,∴AD=2OE,∵OE=5cm,∴AD=10cm.故答案为:10.7.如图,已知菱形ABCD的周长为16,面积为8,E为AB的中点,若P为对角线BD上一动点,则EP+AP的最小值为2.【分析】如图作CE′⊥AB于E′,甲BD于P′,连接AC、AP′.首先证明E′与E 重合,因为A、C关于BD对称,所以当P与P′重合时,PA′+P′E的值最小,由此求出CE即可解决问题.【解答】解:如图作CE′⊥AB于E′,甲BD于P′,连接AC、AP′.∵已知菱形ABCD的周长为16,面积为8,∴AB=BC=4,ABCE′=8,∴CE′=2,在Rt△BCE′中,BE′==2,∵BE=EA=2,∴E与E′重合,∵四边形ABCD是菱形,∴BD垂直平分AC,∴A、C关于BD对称,∴当P与P′重合时,PA′+P′E的值最小,最小值为CE的长=2,故答案为2.【点评】本题考查轴对称﹣最短问题、菱形的性质等知识,解题的关键是学会添加常用辅助线,本题的突破点是证明CE是△ABC的高,学会利用对称解决最短问题.8.四边形ABCD是菱形,∠BAD=60°,AB=6,对角线AC与BD相交于点O,点E在AC上,若OE=,则CE的长为4或2.【分析】由菱形的性质证出△ABD是等边三角形,得出BD=AB=6,OB=BD=3,由勾股定理得出OC=OA==3,即可得出答案.【解答】解:∵四边形ABCD是菱形,∴AB=AD=6,AC⊥BD,OB=OD,OA=OC,∵∠BAD=60°,∴△ABD是等边三角形,∴BD=AB=6,∴OB=BD=3,∴OC=OA==3,∴AC=2OA=6,∵点E在AC上,OE=,∴CE=OC+或CE=OC﹣,∴CE=4或CE=2;故答案为:4或2.9. 如图,在菱形ABCD中,∠ABC=120°,AB=10cm,点P是这个菱形内部或边上的一点.若以P,B,C为顶点的三角形是等腰三角形,则P,A(P,A两点不重合)两点间的最短距离为10﹣10cm.【分析】分三种情形讨论①若以边BC为底.②若以边PB为底.③若以边PC 为底.分别求出PD的最小值,即可判断.【解答】解:连接BD,在菱形ABCD中,∵∠ABC=120°,AB=BC=AD=CD=10,∴∠A=∠C=60°,∴△ABD,△BCD都是等边三角形,①若以边BC为底,则BC垂直平分线上(在菱形的边及其内部)的点满足题意,此时就转化为了“直线外一点与直线上所有点连线的线段中垂线段最短”,即当点P与点D重合时,PA最小,最小值PA=10;②若以边PB为底,∠PCB为顶角时,以点C为圆心,BC长为半径作圆,与AC 相交于一点,则弧BD(除点B外)上的所有点都满足△PBC是等腰三角形,当点P在AC上时,AP最小,最小值为10﹣10;③若以边PC为底,∠PBC为顶角,以点B为圆心,BC为半径作圆,则弧AC 上的点A与点D均满足△PBC为等腰三角形,当点P与点A重合时,PA最小,显然不满足题意,故此种情况不存在;综上所述,PD的最小值为10﹣10(cm);故答案为:10﹣1.10.如图,正方形ABCD和正方形CEFG边长分别为a和b,正方形CEFG绕点C旋转,给出下列结论:①BE=DG;②BE⊥DG;③DE2+BG2=2a2+b2,其中正确结论是①②③(填序号)【分析】由四边形ABCD与四边形EFGC都为正方形,得到四条边相等,四个角为直角,利用SAS得到三角形BCE与三角形DCG全等,利用全等三角形对应边相等即可得到BE=DG,利用全等三角形对应角相等得到∠1=∠2,利用等角的余角相等及直角的定义得到∠BOD为直角,利用勾股定理求出所求式子的值即可.【解答】解:设BE,DG交于O,∵四边形ABCD和EFGC都为正方形,∴BC=CD,CE=CG,∠BCD=∠ECG=90°,∴∠BCE+∠DCE=∠ECG+∠DCE=90°+∠DCE,即∠BCE=∠DCG,在△BCE和△DCG中,,∴△BCE≌△DCG(SAS),∴BE=DG,∴∠1=∠2,∵∠1+∠4=∠3+∠1=90°,∴∠2+∠3=90°,∴∠BOC=90°,∴BE⊥DG;故①②正确;连接BD,EG,如图所示,∴DO2+BO2=BD2=BC2+CD2=2a2,EO2+OG2=EG2=CG2+CE2=b2,则BG2+DE2=DO2+BO2+EO2+OG2=2a2+b2,故③正确.故答案为:①②③.三、解答题:1.如图,四边形ABCD中,AC,BD相交于点O,O是AC的中点,AD∥BC,AC=8,BD=6,.(1)求证:四边形ABCD是平行四边形;(2)若AC⊥BD,求?ABCD的面积.【分析】(1)由已知条件易证△AOD≌△COB,由此可得OD=OB,进而可证明四边形ABCD是平行四边形;(2)由(1)和已知条件可证明四边形ABCD是菱形,由菱形的面积公式即可得解.【解答】解:(1)∵O是AC的中点,∴OA=OC,∵AD∥BC,∴∠ADO=∠CBO,在△AOD和△COB中,,∴△AOD≌△COB,∴OD=OB,∴四边形ABCD是平行四边形;(2)∵四边形ABCD是平行四边形,AC⊥BD,∴四边形ABCD是菱形,∴?ABCD的面积=AC?BD=24.2.如图,在平行四边形ABCD中,边AB的垂直平分线交AD于点E,交CB的延长线于点F,连接AF,BE.(1)求证:△AGE≌△BGF;(2)试判断四边形AFBE的形状,并说明理由.【分析】(1)由平行四边形的性质得出AD∥BC,得出∠AEG=∠BFG,由AAS 证明△AGE≌△BGF即可;(2)由全等三角形的性质得出AE=BF,由AD∥BC,证出四边形AFBE是平行四边形,再根据EF⊥AB,即可得出结论.【解答】(1)证明:∵四边形ABCD是平行四边形,∴AD∥BC,∴∠AEG=∠BFG,∵EF垂直平分AB,∴AG=BG,在△AGEH和△BGF中,,∴△AGE≌△BGF(AAS);(2)解:四边形AFBE是菱形,理由如下:∵△AGE≌△BGF,∴AE=BF,∵AD∥BC,∴四边形AFBE是平行四边形,又∵EF⊥AB,∴四边形AFBE是菱形.3.如图,已知正方形ABCD的边长为4,点P是AB边上的一个动点,连接CP,过点P作PC的垂线交AD于点E,以PE为边作正方形PEFG,顶点G在线段PC上,对角线EG、PF相交于点O.(1)若AP=1,则AE=;(2)①求证:点O一定在△APE的外接圆上;②当点P从点A运动到点B时,点O也随之运动,求点O经过的路径长;(3)在点P从点A到点B的运动过程中,△APE的外接圆的圆心也随之运动,求该圆心到AB边的距离的最大值.【分析】(1)由正方形的性质得出∠A=∠B=∠EPG=90°,PF⊥EG,AB=BC=4,∠OEP=45°,由角的互余关系证出∠AEP=∠PBC,得出△APE∽△BCP,得出对应边成比例即可求出AE的长;(2)①A、P、O、E四点共圆,即可得出结论;②连接OA、AC,由光杆司令求出AC=4,由圆周角定理得出∠OAP=∠OEP=45°,周长点O在AC上,当P运动到点B时,O为AC的中点,即可得出答案;(3)设△APE的外接圆的圆心为M,作MN⊥AB于N,由三角形中位线定理得出MN=AE,设AP=x,则BP=4﹣x,由相似三角形的对应边成比例求出AE=x ﹣x2=﹣(x﹣2)2+1,由二次函数的最大值求出AE的最大值为1,得出MN 的最大值=即可.【解答】(1)解:∵四边形ABCD、四边形PEFG是正方形,∴∠A=∠B=∠EPG=90°,PF⊥EG,AB=BC=4,∠OEP=45°,∴∠AEP+∠APE=90°,∠BPC+∠APE=90°,∴∠AEP=∠PBC,∴△APE∽△BCP,∴,即,解得:AE=;故答案为:;(2)①证明:∵PF⊥EG,∴∠EOF=90°,∴∠EOF+∠A=180°,∴A、P、O、E四点共圆,∴点O一定在△APE的外接圆上;②解:连接OA、AC,如图1所示:∵四边形ABCD是正方形,∴∠B=90°,∠BAC=45°,∴AC==4,∵A、P、O、E四点共圆,∴∠OAP=∠OEP=45°,∴点O在AC上,当P运动到点B时,O为AC的中点,OA=AC=2,即点O经过的路径长为2;(3)解:设△APE的外接圆的圆心为M,作MN⊥AB于N,如图2所示:则MN∥AE,∵ME=MP,∴AN=PN,∴MN=AE,设AP=x,则BP=4﹣x,由(1)得:△APE∽△BCP,∴,即,解得:AE=x﹣x2=﹣(x﹣2)2+1,∴x=2时,AE的最大值为1,此时MN的值最大=×1=,即△APE的圆心到AB边的距离的最大值为.4.【探索发现】如图①,是一张直角三角形纸片,∠B=60°,小明想从中剪出一个以∠B为内角且面积最大的矩形,经过多次操作发现,当沿着中位线DE、EF剪下时,所得的矩形的面积最大,随后,他通过证明验证了其正确性,并得出:矩形的最大面积与原三角形面积的比值为.【拓展应用】如图②,在△ABC中,BC=a,BC边上的高AD=h,矩形PQMN的顶点P、N 分别在边AB、AC上,顶点Q、M在边BC上,则矩形PQMN面积的最大值为.(用含a,h的代数式表示)【灵活应用】如图③,有一块“缺角矩形”ABCDE,AB=32,BC=40,AE=20,CD=16,小明从中剪出了一个面积最大的矩形(∠B为所剪出矩形的内角),求该矩形的面积.【实际应用】如图④,现有一块四边形的木板余料ABCD,经测量AB=50cm,BC=108cm,CD=60cm,且tanB=tanC=,木匠徐师傅从这块余料中裁出了顶点M、N在边BC上且面积最大的矩形PQMN,求该矩形的面积.【分析】【探索发现】:由中位线知EF=BC、ED=AB、由=可得;【拓展应用】:由△APN∽△ABC知=,可得PN=a﹣PQ,设PQ=x,由S矩形PQMN=PQ?PN═﹣(x﹣)2+,据此可得;【灵活应用】:添加如图1辅助线,取BF中点I,FG的中点K,由矩形性质知AE=EH20、CD=DH=16,分别证△AEF≌△HED、△CDG≌△HDE得AF=DH=16、CG=HE=20,从而判断出中位线IK的两端点在线段AB和DE上,利用【探索发现】结论解答即可;【实际应用】:延长BA、CD交于点E,过点E作EH⊥BC于点H,由tanB=tanC 知EB=EC、BH=CH=54,EH=BH=72,继而求得BE=CE=90,可判断中位线PQ的两端点在线段AB、CD上,利用【拓展应用】结论解答可得.【解答】解:【探索发现】∵EF、ED为△ABC中位线,∴ED∥AB,EF∥BC,EF=BC,ED=AB,又∠B=90°,∴四边形FEDB是矩形,则===,故答案为:;【拓展应用】∵PN∥BC,∴△APN∽△ABC,∴=,即=,∴PN=a﹣PQ,设PQ=x,则S矩形PQMN=PQ?PN=x(a﹣x)=﹣x2+ax=﹣(x﹣)2+,∴当PQ=时,S矩形PQMN最大值为,故答案为:;【灵活应用】如图1,延长BA、DE交于点F,延长BC、ED交于点G,延长AE、CD交于点H,取BF中点I,FG的中点K,由题意知四边形ABCH是矩形,∵AB=32,BC=40,AE=20,CD=16,∴EH=20、DH=16,∴AE=EH、CD=DH,在△AEF和△HED中,∵,∴△AEF≌△HED(ASA),∴AF=DH=16,同理△CDG≌△HDE,∴BI==24,∵BI=24<32,∴中位线IK的两端点在线段AB和DE上,过点K作KL⊥BC于点L,由【探索发现】知矩形的最大面积为×BG?BF=×(40+20)×(32+16)=720,答:该矩形的面积为720;【实际应用】如图2,延长BA、CD交于点E,过点E作EH⊥BC于点H,∵tanB=tanC=,∴∠B=∠C,∴EB=EC,∵BC=108cm,且EH⊥BC,∴BH=CH=BC=54cm,∵tanB==,∴EH=BH=×54=72cm,在Rt△BHE中,BE==90cm,∵AB=50cm,∴AE=40cm,∴BE的中点Q在线段AB上,∵CD=60cm,∴CE的中点P在线段CD上,∴中位线PQ的两端点在线段AB、CD上,由【拓展应用】知,矩形PQMN的最大面积为BC?EH=1944cm2,答:该矩形的面积为1944cm2.。
2020中考数学三轮复习专题训练:方程应用题1.某单位在疫情期间用3000元购进A、B两种口罩1100个,购买A种口罩与购买B种口罩的费用相同,且A种口罩的单价是B种口罩单价的1.2倍;(1)求A,B两种口罩的单价各是多少元?(2)若计划用不超过7000元的资金再次购进A、B两种口罩共2600个,已知A、B两种口罩的进价不变,求A种口罩最多能购进多少个?解:(1)设B口罩的单价为x元/个,则A口罩单价为1.2x元/个,根据题意,得:+=1100,解得:x=2.5,经检验,x=2.5是原方程的解,且符合题意,则1.2x=3.答:A口罩单价为3元/个,B口罩单价为2.5元/个.(2)设购进A口罩m个,则购进B口罩(2600﹣m)个,依题意,得:3m+2.5(2600﹣m)≤7000,解得:m≤1000.答:A种口罩最多能购进1000个.2.为美化校园,某校需补栽甲、乙两种花苗.经咨询,每株甲种花苗比每株乙种花苗贵5元.已知购买相同数量的甲、乙两种花苗,所用费用分别是100元、50元.求甲、乙两种花苗的单价.解:设乙种花苗的单价为x元,则甲种花苗的单价为(x+5)元.由题意可列方程,解得x=5.经检验,x=5是原分式方程的解,x+5=10.答:甲种花苗的单价为10元、乙种花苗的单价为5元.3.某手机店老板到电子批发市场选购A、B两种型号的手机,A型手机比B型手机每套进价高200元,同样用6000元采购A型、B型手机时,B型手机比A型手机多1台.(1)求A、B两种手机进价分别为多少元?(2)该A型手机每台售价为1800元,B型手机每台售价为1500元,手机店老板决定,购进B型手机的数量比购进A型手机的数量的2倍少3台,两种手机全部售完后,总获利超过12800元,问最少购进A型手机多少台?解:(1)设A型手机进价为x元,则B型手机进价为(x﹣200)元,由题意得:+1=解得:x1=1200,x2=﹣1000(不合题意,舍去),经检验:x=1200是原分式方程的解,x﹣200=1200﹣200=1000,答:A、B两种手机进价分别为1200元、1000元;(2)设购进A型手机a台,则购进B型手机(2a﹣3)台,由题意得:(1800﹣1200)a+(1500﹣1000)(2a﹣3)>12800,解得:a>10,答:至少购进A型手机的数量是11台.4.某工程队接到任务通知,需要修建一段长1800米的道路,按原计划完成总任务的后,为了让道路尽快投入使用,工程队将工作效率提高了50%,一共用了10小时完成任务.(1)按原计划完成总任务的时,已修建道路多少米?(2)求原计划每小时修建道路多少米?解:(1)按原计划完成总任务的时,已抢修道路为1800×=600(米),答:按原计划完成总任务的时,已修建道路600米;(2)设原计划每小时抢修道路x米,根据题意得:+=10,解得:x=140,经检验:x=140是原方程的解.答:原计划每小时抢修道路140米.5.随着云南旅游业的飞速发展,西双版纳原生态的村寨生活、节日活动、民俗仪式深深吸引了很多游客前来观赏.小明和小张假期从昆明去西双版纳游玩,昆明到西双版纳的乘车距离约为540km,小明开小轿车自驾游,小张乘坐大巴车,小明比小张晚出发3小时,最后两车同时到达西双版纳.已知小轿车的速度是大巴车速度的1.5倍.那么小轿车和大巴车的速度各是多少?解:设大巴车的速度为x千米/小时,则小轿车的速度为1.5x千米/小时,依题意,得:﹣=3,解得:x=60,经检验,x=60是原方程的解,且符合题意,∴1.5x=90.答:小轿车的速度为90千米/小时,大巴车的速度为60千米/小时.6.《九章算术》是我国古代第一部数学专著,此专著中有这样一道题:今有共买鹅,人出九,盈十一;人出六,不足十六,问人数、鹅价几何?这道题的意思是:今有若干人共买一只鹅,若每人出9文钱,则多出11文钱;若每人出6文钱,则相差16文钱,求买鹅的人数和这只鹅的价格.解:设买鹅的人数有x人,则这头鹅价格为(9x﹣11)文,根据题意得:9x﹣11=6x+16,解得:x=9,价格为:9×9﹣11=70(文),答:买鹅的人数有9人,鹅的价格为70文.7.新冠肺炎疫情期间,某小区计划购买甲、乙两种品牌的消毒剂,乙品牌消毒剂每瓶的价格比甲品牌消毒剂每瓶价格的3倍少50元,已知用300元购买甲品牌消毒剂的数量与用400元购买乙品牌消毒剂的数量相同.(1)求甲、乙两种品牌消毒剂每瓶的价格各是多少元?(2)若该小区从超市一次性购买甲、乙两种品牌的消毒剂共40瓶,且总费用为1400元,求购买了多少瓶乙品牌消毒剂?解:(1)设甲品牌消毒剂每瓶的价格为x元;乙品牌消毒剂每瓶的价格为(3x﹣50)元,由题意得:=,解得:x=30,经检验,x=30是原方程的解且符合实际意义,3x﹣5═40,答:甲品牌消毒剂每瓶的价格为30元;乙品牌消毒剂每瓶的价格为40元;(2)设购买甲种品牌的消毒剂y瓶,则购买乙种品牌的消毒剂(40﹣y)瓶,由题意得:30y+40(40﹣y)=1400,解得:y=20,∴40﹣y=40﹣20=20,答:购买了20瓶乙品牌消毒剂.8.滴滴快车是一种便捷的出行工具,计价规则如表:计费项目里程费时长费远途费单价1.8元/公里0.3元/分钟0.8元/公里注:车费由里程费、时长费、远途费三部分构成,其中里程费按行车的实际里程计算:时长费按行车的实际时间计算;远途费的收取方式为:行车里程7公里以内(含7公里)不收远途费,超过7公里的,超出部分每公里加收0.8元.小明与小亮各自乘坐滴滴快车,到同一地点约见,已知到达约见地点时他们的实际行车里程分别为6公里与8.5公里.设小明乘车时间为x分钟,小亮乘车时间为y 分钟.(1)则小明乘车费为(0.3x+10.8)元(用含x的代数式表示),小亮乘车费为(0.3y+16.5)元(用含y的代数式表示);(2)若小明比小亮少支付3元钱,问小明与小亮的乘车时间哪个多?多几分钟?(3)在(2)的条件下,已知乘车时间较少的人先到达约见地点等候,等候时间是他自己乘车时间的一半,且比另一人乘车时间的少2分钟,问他俩谁先出发?先出发多少分钟?解:(1)小明乘车费为(0.3x+10.8)元(用含x的代数式表示),小亮乘车费为(0.3y+16.5)元.故答案为(0.3x+10.8),(0.3y+16.5).(2)由题意:10.8+0.3x+3=16.5+0.3y,∴x﹣y=9,∴小明比小亮的乘车时间多,多9分钟.(3)由(2)可知:小亮乘车时间为y分钟,小明乘车时间为(y+9)分钟.由题意:=﹣2,解得y=6.∴小明的乘车时间为6+9=15(分钟),小亮等候的时间为=3(分钟),∴小明比小亮先出发,先出发的时间=15﹣6﹣3=6(分钟),答:明比小亮先出发,先出发6分钟.9.某校开展校园艺术节系列活动,派小明到文体超市购买若干个文具袋作为奖品.这种文具袋标价每个10元,请认真阅读结账时老板与小明的对话图片,解决下面两个问题:(1)求小明原计划购买文具袋多少个?(2)学校决定,再次购买钢笔和签字笔共50支作为补充奖品,其中钢笔标价每支8元,签字笔标价每支6元.经过沟通,这次老板给予8折优惠,合计272元.问小明购买了钢笔和签字笔各多少支?解:(1)设小明原计划购买文具袋x个,则实际购买了(x+1)个,由题意得:10(x+1)×0.85=10x﹣17.解得:x=17;答:小明原计划购买文具袋17个;(2)设小明可购买钢笔y支,则购买签字笔(50﹣y)支,由题意得:[8y+6(50﹣y)]×80%=272,解得:y=20,则:50﹣x=30.答:小明购买了钢笔20支,签字笔30支.10.某工地有72m2的墙面需要粉刷.若安排4名一级技工粉刷若干天,结果还剩12m2墙面未能刷完;同样时间内安排6名二级技工去粉刷,则刚好全部刷完.已知每名一级技工比二级技工一天多粉刷3m2墙面.设每一名一级技工一天粉刷墙面xm2.(1)每名二级技工一天粉刷墙面(x﹣3)m2(用含x的式子表示);(2)求每名一级技工、二级技工一天分别能粉刷多少m2墙面?(3)每名一级技工一天的施工费是300元,每名二级技工一天的施工费是200元.若另一工地有540m2的墙面需要粉刷,要求一天完工且施工总费用不超过10600元,则至少需要 5 名二级技工(直接写出结果).解:(1)由题意得,每名二级技工一天粉刷墙面(x﹣3)m2;故答案为:(x﹣3)(2)依题意列方程:=;解得x=15,经检验x=15是原方程的解,即每名一级技工和二级技工一天分别能粉刷15m2、12m2墙面;(3)设需要m名一级技工,需要n名二级技工,根据题意得,,解得:n≥5,答:至少需要5名二级技工,故答案为:5.11.仙桃是遂宁市某地的特色时令水果.仙桃一上市,水果店的老板用2400元购进一批仙桃,很快售完;老板又用3700元购进第二批仙桃,所购件数是第一批的倍,但进价比第一批每件多了5元.(1)第一批仙桃每件进价是多少元?(2)老板以每件225元的价格销售第二批仙桃,售出80%后,为了尽快售完,剩下的决定打折促销.要使得第二批仙桃的销售利润不少于440元,剩余的仙桃每件售价至少打几折?(利润=售价﹣进价)解:(1)设第一批仙桃每件进价x元,则,解得x=180.经检验,x=180是原方程的根.答:第一批仙桃每件进价为180元;(2)设剩余的仙桃每件售价打y折.可得×0.1y﹣3700≥440,解得y≥6.答:剩余的仙桃每件售价至少打6折.12.某周日,珂铭和小雪从新天地小区门口同时出发,沿同一条路线去离该小区1800米的少年宫参加活动,为响应节能环保,绿色出行的号召,两人步行,已知珂铭的速度是小雪的速度的1.2倍,结果珂铭比小雪早6分钟到达.(1)求小雪的速度;(2)活动结東后返回,珂铭与小雪的速度均与原来相同,若小雪计划比珂铭至少提前6分钟回到小区,则小雪至少要比珂铭提前多长时间出发?解:设小雪的速度是x米/分钟,则珂铭速度是1.2x米/分钟,依题意得:,解得:x=50,经检验x=50是原方程的解,答:小雪的速度是50米/分钟.(2)1.2×50=60(米/分钟),1800÷50=36(分钟),1800÷60=30(分钟),设小雪比珂铭提前a分钟出发,根据题意得,a+30﹣36≥6,解得a≥12,答:小雪至少要比珂铭提前出发12分钟.13.进人冬季,空调再次迎来销售旺季,某商场用75000元购进一批空调,该空调供不应求,商家又用135000元购进第二批这种空调,所购数量比第一批购进数量多15台,但单价是第一批的1.2倍.(1)该商场购进第一批空调的单价多少元?(2)若两批空调按相同的标价出售,春节将近,还剩下15台空调未出售,为减少库存回笼资金,商家决定最后的15台空调按九折出售,如果两批空调全部售完利润率不低于40%(不考虑其他因素),那么每件空调的标价至少多少元?解:(1)设商场购进第一批空调的单价是x元,根据题意得:1.2x(+15)=135000,解得:x=2500,经检验,x=2500是原方程的解,答:商场购进第一批空调的单价是2500元,(2)设每件空调的标价y元,第一批空调的数量为:=30(台),第二批空调的数量为:30+15=45(台),这两批空调的数量为:30+45=75(台),根据题意得:(75﹣15)y+15×90%y﹣75000﹣135000≥(75000+135000)×40%,解得:y≥4000,答:每件空调的标价至少4000元.14.为支援困山区,某学校爱心活动小组准备用筹集的资金购买A、B两种型号的学习用品.已知B型学习用品的单价比A型学习用品的单价多10元,用180元购买B型学习用品与用120元购买A型学习用品的件数相同.(1)求A,B两种学习用品的单价各是多少元;(2)若购买A、B两种学习用品共1000件,且总费用不超过28000元,则最多购买B型学习用品多少件?解:(1)设A型学习用品的单价为x元,则B型学习用品的单价为(x+10)元,由题意得:=,解得:x=20,经检验x=20是原分式方程的根,且符合实际,则x+10=30.答:A型学习用品的单价为20元,B型学习用品的单价为30元.(2)设购买B型学习用品y件,则购买A型学习用品(1000﹣y)件,由题意得:20(1000﹣y)+30y≤28000,解得:y≤800.答:最多购买B型学习用品800件.15.为准备趣味跳绳比赛,王老师花100元买了若干条跳绳,已知商店里的跳绳规格与价格如下表:规格A型B型C型跳绳长度(米) 4 8 12价格(元/条) 4 6 9(1)若购买了三种跳绳,其中B型跳绳和C型跳绳的条数同样多,且所有跳绳的总长度为120米,求购买A型跳绳的条数;(2)若购买的A型跳绳有13条,则购买的所有跳绳的总长度为多少米?解:(1)设购买的A型跳绳x条,B型跳绳和C型跳绳的条数为y条,可得:,可得:,答:购买A型跳绳的条数为10条;(2)当购买的A型跳绳有13条,设B型跳绳和C型跳绳的条数为a条,可得:,解得:a≤3.2,∵a>0,且为整数,∴a=3最大,所以购买的所有跳绳的总长度为13×4+8×3+12×3=112.答:购买的所有跳绳的总长度为112米.16.一个两位自然数,其个位数字大于十位数字.现将其个位数字与十位数字调换位置,得到一个新数,且原数与新数的平均数为33.(1)求原数的最小值;(2)若原数的平方与新数的差为534,求原数与新数之积.解:(1)设原两位数的个位数字为x,十位数字为y,(x>y),则原两位数是(10y+x),新两位数为(10x+y),根据题意得,(10y+x)+(10x+y)=33×2,∴x+y=6,∵x、y均为正整数,x>y,∴x=5,y=1或x=4,y=2,∴原数的最小值15;(2)由(1)知,原数与新数可能为15与51,或24与42,∵242﹣42=534,∴24×42=1008.17.小叶爸爸开了一家茶叶专卖店,包装设计专业华业的小叶为他爸设计了一款用长方形厚纸片(厚度不计)做长方体茶叶包装盒(如图),阴影部分是栽剪掉的部分,沿图中实线折叠做成的长方体纸盒的上下底面是正方形,有三处长方形形状的“接口”用来折叠后粘贴或封盖.(1)若小叶用长40cm,宽34cm的长方形厚纸片,恰好能做成一个符合要求的包装盒,盒高是盒底边长的2.5倍,三处“接口”的宽度相等.则该茶叶盒的容积是多少?((2)小叶爸爸的茶叶专卖店以每盒150元购进批茶叶,按进价增加20%作为售价,第一个月由于包装粗糙,只售出不到一半但超过三分之一的量;第二个月采用了小叶的包装后,马上售完了余下的茶叶,但成不增如了每盒5元,售价仍不变,已知在整个买卖过程中共盈利1500元,求这批茶叶共进了多少盒?解:(1)设“接口”宽度为xcm,盒底边长为ycm,由题意得:,解得.∴8×2.5=20cm,20×8×8=1280cm3答:该茶叶盒的容积是1280cm3.(2)设第一个月销售了m盒茶叶,第二个月销售了n盒茶叶,由题意得:150×20%×m+(150×20%﹣5)n=1500,化简得:6m+5n=300.∵m、n为正整数,由上式知m为5的倍数,且m<n<2m,∴或,∴m+n=56或55盒.答:这批茶叶共进了56或55盒.18.美术小组共有30名同学,准备到文具店购买铅笔和橡皮.如果全组每人各买2枝铅笔和1块橡皮,那么需按零售价购买,共支付60元;如果全组每人各买3枝铅笔和2块橡皮,那么可按批发价购买,共支付81元.已知1枝铅笔的批发价比零售价低0.1元,1块橡皮的批发价比零售价低0.2元.这家文具店的铅笔和橡皮的批发价各是多少?解:设铅笔批发价是x元,橡皮的批发价是y元,则铅笔零售价是(x+0.1)元,橡皮的零售价是(y+0.2)元,由题意可得:解得:答:铅笔批发价是0.5元,橡皮的批发价是0.6元.19.期中考试即将结束,为了表彰优秀,李老师用W元钱购买奖品,若以3支钢笔和4本笔记本为一份奖品,则可买60份奖品;若以4支钢笔和7本笔记本为一份奖品,则可以买40份奖品.设钢笔单价为x元/支,笔记本单价为y元/本.(1)请用y的代数式表示x;(2)若用这W元钱全部购买笔记本,总共可以买几本?(3)若李老师用这钱恰好买75份同样的奖品,可以选择a支钢笔和b本笔记本作为一份奖品(两种奖品都要有),请求出所有可能的a,b的值.解:(1)依题意,得:60×(3x+4y)=40×(4x+7y),∴x=2y.(2)60×(3x+4y)÷y=60×(3×2y+4y)÷y=600.答:总共可以买600本.(3)依题意,得:75×(ax+by)=60×(3x+4y),∴b=8﹣2a.∵a,b均为正整数,∴,,.20.为了“迎国庆,向祖国母亲献礼”,某建筑公司承建了修筑一段公路的任务,指派甲、乙两队合作,18天可以完成,共需施工费126000元;如果甲、乙两队单独完成此项工程,乙队所用时间是甲队的1.5倍,乙队每天的施工费比甲队每天的施工费少1000元.(1)甲、乙两队单独完成此项工程,各需多少天?(2)为了尽快完成这项工程任务,甲、乙两队通过技术革新提高了速度,同时,甲队每天的施工费提高了a%,乙队每天的施工费提高了2a%,已知两队合作12天后,由甲队再单独做2天就完成了这项工程任务,且所需施工费比计划少了21200元.①分别求出甲、乙两队每天的施工费用;②求a的值.解:(1)设甲公司单独完成此项工程需x天,根据题意可得:,解得:x=30,检验,知x=30符合题意,∴1.5x=45,答:甲公司单独完成此项工程需30天,乙公司单独完成此项工程需45天;(2)①设甲公司技术革新前每天的施工费用是y元,那么乙公司技术革新前每天的施工费用是(y﹣1000)元,则由题意可得:(y+y﹣1000)×18=126000,解得:y=4000,∴y﹣1000=3000,答:技术革新前,甲公司每天的施工费用是4000元,乙公司每天的施工费用是3000元;②4000×14×(1+a%)+3000×12×(1+2a%)=126000﹣21200,解得:a=10.答:a的值是10.。
2020中考数学一轮复习基础达标训练题1:实数(附答案)1.下面计算正确的是( )A 4=±B .–3÷3×3=–3C .–3–3=0D .1331-÷=2.若定义运算a ⊗b =|2a –b |,则2⊗[(–5)⊗(–7)]的值是( )A .1B .7C .13D .253.下列说法中:①一个数的算术平方根一定是正数;②100的算术平方根是10,记为=10;③(-6)2的算术平方根是6;④a 2的算术平方根是a.正确的有( )A .1个B .2个C .3个D .4个4.在3,0,﹣2 )A .3B .0C .﹣2 D5.25的平方根是( )A .5B .-5C .±5D .6.无理数﹣3在( )A .2和3之间B .3和4之间C .4和5之间D .5和6之间7.在实数3,14159 2.010010001(1与1之间依次多一个0),π,227中,无理数有( )A .1个B .2个C .3个D .4个8.化简A .5-B .1C .D .19.春节晚会上,电工师傅在礼堂四周挂了一圈只有绿、黄、蓝、红四种颜色的小彩灯,其排列规律为:绿黄黄红蓝红红绿黄黄红蓝红红绿黄黄红蓝红红……,那么,第2010个小彩灯的颜色是( )A .绿色B .黄色C .红色D .蓝色10.若实数m 、n 满足 20m -=,且m 、n 恰好是等腰△ABC 的两条边的边长,则△ABC 的周长是 ( )A .12B .10C .8D .611.32-的绝对值是______, ______的倒数是13 ______.12.若2a -(c +4)2=0,则a +b +c 的平方根是________.13 3.843,===_______14.若实数a 、b 满足20a +=,则a b=_____. 15.如图,程序框图的算法思路源于我国古代数学名著《九章算术》中的“更相减损术”,执行程序框图,如果输入a ,b 的值分别为3,9,那么输出a 的值为________.16.已知一个正数x 的两个平方根是1a +和3a -,则a =_______,x =______.17.若a ﹣3有平方根,则实数a 的取值范围是_____.18.若的平方根为,则=_______.19.36的平方根是______,81的算术平方根是______.20____.21.化简:(15- ; (2--22.求下列各式的值:(1;(2);(3)(4);(5(6233-,00.3,227, 1.732-,π2-,3+,0.1010010001整数{ };分数{ };正数{ };负数{ };有理数{ };无理数{ }24.()1计算:021(2018)9()3-⨯-.()2化简:()()22a a a +-- ()1a +.25.计算:(﹣2)2﹣(2)0+2•tan45°26.已知,我们把任意形如:t abcba =的五位自然数(其中c a b =+,19a ≤≤,08b ≤≤)称之为喜马拉雅数,例如:在自然数32523中,325+=,所以32523就是一个喜马拉雅数.并规定:能被自然数n 整除的最大的喜马拉雅数记为()F n ,能被自然数n 整除的最小的喜马拉雅数记为()I n .(1)求证:任意一个喜马拉雅数都能被3整除;(2)求()3+(8)F I 的值.27.已知a 的整数部分,b 是它的小数部分,求(﹣a )3+(b+2)2的值.参考答案1.B【解析】试题解析:4,=故错误.B.133333 3.3-÷⨯=-⨯⨯=-正确.C.336,--=-故错误.D.111133.339﹣÷=⨯=故错误.故选B.2.A【解析】【分析】根据题目中的运算规则a⊗b=|2a–b|依次计算即可.【详解】根据题中的新定义得:原式=2⊗3=1,故选A.【点睛】本题是一道新定义问题的计算题,考查了对新知识的理解应用能力,比较简单.3.A【解析】试题分析:①0的算术平方根是0,故此项错误;②100的算术平方根是10=10,故此项错误;③(-6)2=36,36的算术平方根是6,即(-6)2的算术平方根是6,故此项正确;④当a<0时,a2的算术平方根是-a,故错误.所以正确的只有1个.故选A.4.C【解析】【分析】根据正数都大于0,负数都小于0,正数大于一切负数直接解答即可.【详解】因为正数大于负数,两个负数比较大小,绝对值较大的数反而较小,所以203-<<<,-,故选C.所以最小的数是2【点睛】此题主要考查了实数的大小比较的基本方法:正数都大于0,负数都小于0,正数大于一切负数.5.C【解析】分析:根据平方根的定义即可解答.=±.详解:25的平方根为:5故选:C.点睛:本题考查了平方根的定义.注意和算术平方根区分开.6.B【解析】【分析】首先得出【详解】∵∴6<7,∴无理数在3和4之间.故选B.【点睛】此题主要考查了估算无理数的大小,正确得出无理数的取值范围是解题关键.7.A【解析】=4,无理数有:π,共1个.故选A.点睛:本题考查了无理数的知识,解答本题的关键是熟练掌握无理数的三种形式:①开方开不尽的数,②无限不循环小数,③含有π的数.8.C【解析】===3,==故选C.9.A【解析】【分析】观察发现,每七个为一个循环,而2010=7×287+1,而第一个是绿色.【详解】∵2010=7×287+1,∴第2010个彩灯的颜色是绿色.故选A.【点睛】本题是一道找规律的题目,要求学生通过观察,分析、归纳发现其中的规律,并应用发现的规律解决问题.此类题主要是发现几个一循环的规律,然后根据规律进行分析.10.B【解析】【分析】根据绝对值和二次根式的非负性得m、n的值,再分情况讨论:①若腰为2,底为4,由三角形两边之和大于第三边,舍去;②若腰为4,底为2,再由三角形周长公式计算即可.【详解】由题意得:m-2=0,n-4=0,∴m=2,n=4,又∵m、n恰好是等腰△ABC的两条边的边长,①若腰为2,底为4,此时不能构成三角形,舍去,②若腰为4,底为2,则周长为:4+4+2=10,故选B.【点睛】本题考查了非负数的性质以及等腰三角形的性质,根据非负数的性质求出m、n的值是解题的关键.11.32, 3, 2 【解析】【分析】根据绝对值的性质、倒数的定义及算术平方根的定义即可得出结论.【详解】解:(1)3322-=;(2)13的倒数是3;4=,4的算术平方根是2; 故答案为:(1).32;(2)3;(3)2. 【点睛】 本题考查了绝对值的性质、倒数的定义及算术平方根的定义.易错点:对于带根号实数求平方根(算术平方根)要注意,先化简根号,再求平方根(算术平方根).12.±1【解析】【分析】根据非负数的性质列式求出a 、b 、c 的值,然后代入进行计算求出a+b+c 的值,再根据平方根的定义求解即可.【详解】∵│a -()4c +2=0∴a-2=0,b-3=0,c+4=0∴a=2,b=3,c=-4∴a+b+c=1∴a+b+c 的平方根=±1.故答案为±1. 【点睛】本题考查了算术平方根与非负数,解题的关键是能熟练的掌握非负数的性质与平方根的定义.13.0.1215【解析】【分析】根据被开方数小数点向左平移两位,算术平方根的小数点向左平移一位可得答案.【详解】1.215,,故答案为:0.1215.【点睛】此题主要考查了算术平方根,掌握小数点的平移规律是解题关键.14.﹣1 2【解析】根据题意得:a+2=0,b-4=0,解得:a=-2,b=4,则ab=﹣12.故答案是﹣12.15.3【解析】【分析】由循环结构的特点,先判断,再执行,分别计算出当前的a,b的值,即可得到结论.【详解】由a=3,b=9,不满足a>b,则b变为9−3=6,不满足a>b,则b变为6−3=3,由a=b=3,则输出的a=3.故答案为3.【点睛】本题考查了程序框图,解题的关键是根据程序框图进行运算.16.1 4【解析】解:根据题意,得:a+1+(a﹣3)=0,解得:a=1.则x=(1+1)2=4.故答案为:1,4.点睛:本题考查了平方根的性质:正数有两个平方根,且它们互为相反数;负数没有平方根;0的平方根是0.17.a≥3.【解析】【分析】根据平方根的定义列出不等式计算即可.【详解】a-≥根据题意,得30.a≥解得: 3.a≥故答案为 3.【点睛】考查平方根的定义,正数有两个平方根,它们互为相反数,0的平方根是0,负数没有平方根.18.2【解析】【分析】根据平方根的定义列方程求解即可.【详解】由题意得,2a-1=3,解得a=2.故答案为:2.【点睛】本题考查了平方根,熟记概念是解题的关键.19.±6 9.【解析】∵(±6)2=36,∴36的平方根是±6;∵92=81,∴81的算术平方根是9.20.9.【解析】,∵(±9)2=81,∴81的算术平方根是9.故答案为:9.21.(1)1(2)【解析】试题分析:(1)根据二次根式的乘法法则运算;(2)先把各二次根式化为最简二次根式,然后合并即可.试题解析:(1)原式5=6−5=1;(2)原式−=−22.(1)15;(2)-0.02;(3)72±;(4)-0.1;(5)0.7;(6)9. 【解析】试题分析:根据算术平方根的定义可知,因为15的平方等于225,所以225的算术平方根等于15;把1124化成假分数为494,因为72的平方等于494,所以1124的平方根等于±72;因为0.02的平方等于0.0004,所以0.0004的负的平方根为-0.02;根据二次根式的性质可得0.10.1=-=-0.9=9==. 请在此填写本题解析!解:(1 =15;(2) =-0.02;(3) 72==±;(4) =-|0.1|=-0.1;(5) =0.9-0.2=0.7;(6)9==.点睛:本题考查了平方根和算术平方根的意义,如果个一个数x 的平方等于a ,即x 2=a ,那么这个数x 叫做a 的平方根.正数a 有两个平方根,它们互为相反数;0的平方根是0;负数没有平方根.一般地,如果一个正数x 的平方等于a ,即x 2=a ,那么这个正数x 叫做a 的算术平方根,正数a 有一个正的算术平方根, 0的算术平方根是0,负数没有算术平方根. 23.见解析.【解析】【分析】根据实数的分类进行解答:0⎧⎧⎪⎪⎨⎪⎪⎪⎨⎩⎪⎧⎪⎨⎪⎩⎩正有理数有理数负无理数正无理数无理数负无理数,或实数0⎧⎪⎨⎪⎩正实数.负实数 【详解】解:整数集合{-3,0,,…}; 分数集合220.3,, 1.732,7⎧⎫-⎨⎬⎩⎭; 正数集合227,30.101 001 000 1…(每两个1之间依次增加一个0),…};负数集合π3,,2⎧⎫---⎨⎬⎩⎭;有理数集合223,0,0.3,,7⎧⎫--⎨⎬⎩⎭;无理数集合()π,3102⎫-+⎬⎭每两个之间依次增加一个,【点睛】本题考查的是实数的分类,解题关键是熟记定义.24.(1)(2)4a --【解析】【分析】 ()1根据零指数幂、二次根式的化简等计算法则求解;()2利用多项式乘多项式以及单项式乘多项式的计算法则求解.【详解】()1解:原式1199=+⨯= ()2解:原式224a a a =--- 4a =--.【点睛】本题考查了平方差公式,实数的运算,零指数幂等知识点,解题的关键是熟练掌握运算法则即可.25.5.【解析】【分析】按顺序分别进行平方运算、0指数幂运算、代入特殊角的三角函数值,然后再按运算顺序进行计算即可.【详解】(﹣2)2﹣(20+2•tan45°=4﹣1+2×1=3+2=5.【点睛】本题考查了实数的运算,涉及了0指数幂、特殊角的三角函数值等,熟练掌握相关的运算法则是解题的关键.26.(1)答案见解析;(2)112221.【解析】分析:(1)根据喜马拉雅数的定义求出各个数位上的数字之和;(2)根据能被自然数8整除的最小的喜马拉雅数记为()8I 的整除的特征,与各数位上的数字的特点求得I (8).详解:(1)各数位数字之和为:a +b +c +b +a =2a +2b +c =2a +2b +(a +b )=3(a +b ).∵a ,b 是整数,∴a +b 是整数.∴任意一个喜马拉雅数都能被3整除(2)根据题意得:F (3)=90909.I (8)=()10101111088ab a b aba b ++==1263a +139b -328a b +, ∵喜马拉雅数能被8整除,∴3a +2b 能被8整除.∵19a ≤≤,08b ≤≤,19a b ≤≤+,∴33227a b ≤≤+.∴3a +2b =8或16或24.则I (8)=21312.∴F (3)+I (8)=90909+21312=112221.点睛:新定义题是历年的热点题,它的实质是一种规定,规定某种运算方式,规定某个概念的特征性质,然后要求按照规定去计算.求值,解决此类问题,关键是要正确理解新定义的运算的意义,本题的头关键是抓住喜马拉雅数的特征. 27.-1.【解析】【分析】的范围,确定a ,b 的值,再代入代数式即可解答.【详解】解:∵23,∴a=2,﹣2,∴(﹣a )3+(b+2)2=(﹣2)3+﹣2+2)2=﹣8+7=﹣1.【点睛】的范围.。
提分专练 数与式的运算|类型1| 实数的运算1.计算:|1-√2|+2-2-122+(√2-1)0.2.计算:12-1-√2cos45°+3×(2007-π)0.3.计算:(-1)2019+√83-13-2+√2sin45°.4.[2019·扬州高邮一模] 计算:|1-√3|+3tan30°-(π-3)0+-13-1.-1.5.[2019·南充]计算:(1-π)0+|√2-√3|-√12+√2|类型2|整式的化简求值6.[2019·常州]如果a-b-2=0,那么代数式1+2a-2b的值是.时,代数式x2+2xy+y2的值是.7.[2019·金华]当x=1,y=-138.[2019·常德]若x2+x=1,则3x4+3x3+3x+1的值为.9.化简:(1)(a-b)2+a(2b-a);(2)(a+b)(a-b)-a(a-b).10.[2019·淮安]计算:ab(3a-2b)+2ab2.11.已知a-b=√2,求(a-2)2+b(b-2a)+4(a-1)的值.12.[2019·吉林]先化简,再求值:(a-1)2+a(a+2),其中a=√2.13.若x+y=3,且(x+3)(y+3)=20.(1)求xy的值;(2)求x2+3xy+y2的值.|类型3|分式的化简求值14.[2019·大连]计算:2a-1÷2a-4a2-1+12-a.15.[2019·黄石]先化简,再求值:(3x+2+x-2)÷x2-2x+1x+2,其中|x|=2.16.[2019·荆门]先化简,再求值:a+ba-b 2·2a-2b3a+3b-4a2a2-b2÷3ab,其中a=√3,b=√2.17.[2019·遂宁]先化简,再求值:a2-2ab+b2a2-b2÷a2-aba-2a+b,其中a,b满足(a-2)2+√b+1=0.18.[2019·娄底]先化简,再求值:a2-2ab+b2a-b ÷1b-1a.其中a=√2-1,b=√2+1.【参考答案】1.解:原式=√2-1+14−14+1=√2. 2.解:原式=2-√2×√22+3×1=2-1+3=4. 3.解:(-1)2019+√83-13-2+√2sin45° =-1+2-9+√2×√22 =-7. 4.解:|1-√3|+3tan30°-(π-3)0+-13-1=√3-1+3×√33-1-3=√3-1+√3-1-3=2√3-5. 5.解:原式=1+√3−√2-2√3+√2=1-√3.6.57.498.4 [解析]3x 4+3x 3+3x +1=3x 2(x 2+x )+3x +1=3x 2+3x +1=3(x 2+x )+1=4.9.解:(1)原式=a 2-2ab +b 2+2ab -a 2=b 2.(2)原式=a 2-b 2-a 2+ab=-b 2+ab.10.解:ab (3a -2b )+2ab 2=3a 2b -2ab 2+2ab 2=3a 2b.11.解:原式=a 2-4a +4+b 2-2ab +4a -4=a 2-2ab +b 2=(a -b )2,当a -b=√2时,原式=(√2)2=2.12.解:原式=a 2-2a +1+a 2+2a=2a 2+1,当a=√2时,原式=2×(√2)2+1=2×2+1=5.13.解:(1)∵(x +3)(y +3)=20,∴xy +3x +3y +9=20,即xy +3(x +y )=11. 将x +y=3代入上式,得xy +9=11,∴xy=2.(2)当xy=2,x +y=3时,原式=(x +y )2+xy=32+2=9+2=11.14.解:原式=2a -1×(a -1)(a+1)2(a -2)−1a -2=a+1a -2−1a -2=a a -2.15.解:原式=x 2-1x+2÷(x -1)2x+2=(x+1)(x -1)x+2·x+2(x -1)2=x+1x -1. ∵|x|=2,∴x=±2, 由分式有意义的条件可知:x=2,∴原式=3.16.解:原式=2(a+b )3(a -b )−4ab 3(a+b )(a -b )=2(a+b )2-4ab 3(a+b )(a -b )=2(a 2+b 2)3(a+b )(a -b ). 当a=√3,b=√2时,原式=3(√3+√2)(√3-√2)=103. 17.解:原式=(a -b )2(a+b )(a -b )÷a (a -b )a −2a+b =a -ba+b ×1a -b −2a+b =-1a+b . ∵(a -2)2+√b +1=0,∴a=2,b=-1, ∴原式=-1.18.解:a 2-2ab+b 2a -b ÷1b −1a =(a -b )2a -b ÷a -bab=(a -b )·ab a -b=ab.当a=√2-1,b=√2+1时,原式=(√2-1)×(√2+1)=1.。
相似三角形50题、选择题:一1.如图,DE∥BC,在下列比例式中,不能成立的是()= D.= B.== C.A.2.如图,点D、E分别为△ABC的边AB、AC上的中点,则△ADE的面积与四边形BCED的面积的比为()1:.1:.1:3 C.14 D2 BA.1:( )4.5cm,那么它们的相似比为3.两个相似多边形一组对应边分别为3cm,,则BE:EC=()BDF4.如图,是平行四边形ABCD对角线上的点,BF:FD=1:3( )相似的是15.如图,小正方形的边长均为,则图中三角形(阴影部分)与△ABCA. D C B...6.下列各组数中,成比例的是()A.-7,-5,14,5B.-6,-8,3,4C.3,5,9,12D.2,3,6,127.如图,铁路道口的栏杆短臂长1m,长臂长16m.当短臂端点下降0.5m时,长臂端点升高(杆的宽度忽略不计)()A.4mB.6mC.8mD.12m8.下列四组图形中,一定相似的是( )A.正方形与矩形B.正方形与菱形C.菱形与菱形D.正五边形与正五边形9.如图所示,在?ABCD中,BE交AC,CD于G,F,交AD的延长线于E,则图中的相似三角形有()对对 C.5 D.6对 A.3对 B.4)的长为(AB于点E,则DE 垂直平分,中,∠10.如图,在△ABCACB=90°,AC=8AB=10,DEAC交3..A.6 B5 C.4 D的长等于(,则,已知:是位似图形,位似比为与△如图,△11.ABCDEF23AB=4DE )A.6B.5C.9D.12.如图,正方形ABCD的边长为4cm,动点P、Q同时从点A出发,以1cm/s的速度分别沿A→B →C和A→D20(y与xy(单位:cm),则)→C的路径向点C运动,设运动时间为x(单位:s,四边形PBDQ的面积为( ))之间函数关系可以用图象表示为x≤8≤C. B.A.D.13.如图,矩形ABCD中,AB=3,BC=4,动点P从A点出发,按A→B→C的方向在AB和BC上移动,记PA=x,点D到直线PA的距离为y,则y关于x的函数图象大致是( ). CA.. B D.14.如图,△ABC与△DEA是两个全等的等腰直角三角形,∠BAC=∠D=90°,BC分别与AD、AE相交于点F、G.图中共有n对三角形相似(相似比不等于1),则n的值是()A.2B.3C.4D.5ACBD,xABCD15.如图,正方形的两边BC,AB分别在平面直角坐标系的轴,y轴的////与正方形正方形正半轴上//////ABCD与正方形DCB,的中点是以ABCDACO为中心的位似图形已知AC=3A则正方形(1,2),的坐标为A若点,( )的相似比是 D. C. B. A.16.如图,三个正六边形全等,其中成位似图形关系的有()A.4对B.1对C.2对D.3对的重心,那么的值为() AMN都是等边三角形,点M是△ABC17.如图,△ABC和△C.A.D. B.18.将一副三角尺(在Rt△ABC中,∠ACB=90°,∠B=60°,在Rt△EDF中,∠EDF=90°,∠E=45°)如图摆放,点D为AB的中点,DE交AC于点P,DF经过点C,将△EDF绕点D顺时针方向旋转α(0°<α<60°),DE′交AC,则的值为()BCDF′交于点N 于点M,D. A. C. B.19.如图,在△ABC中,∠ACB=90°,∠A=30°,BC=1.P是AB边上一动点,PD⊥AC于点D,点E在P 的右侧,且PE=1,连结CE.P从点A出发,沿AB方向运动,当E到达点B时,P停止运动.在整个运动过程中,阴影部分面积S+S )的大小变化情况是(21.A.一直不变B.一直减小C.一直增大D.先减小后增大20.如图,在⊙O中,AB是直径,点D是⊙O上一点,点C是弧AD的中点,弦CE⊥AB于点E,过点D 的切线交EC的延长线于点G,连接AD,分别交CE、CB于点P、Q,连接AC.给出下列结论:①∠DAC=∠ABC;②AD=CB;③2=AE?AB;⑤CB∥GD,其中正确的结论是()点P是△ACQ的外心;④ACA.①③⑤B.②④⑤C.①②⑤D.①③④、填空题:二21.若△ABC与△ABC的相似比为2:3,△ABC与△ABC的相似比为2:3,那么△ABC与△ABC的相似比221212111212为22.如图,(1)若AE:AB=________,则△ABC∽△AEF;(2)若∠E=_______,则△ABC∽△AEF.□的值为________.于点Q. 则交相交于点,BDO,P是BC边中点,APBD23.如图,在中,对角线ABCDAC,则C中,已知A∽△B=6,若△ABCABBABC=5AB=3ABC24.在△中,已知,。
2020中考数学试卷(解析版)一、选择题:本大题共12小题,在每小题给出的四个选项中,只有一项是正确的,请把正确的选项选出来.每小题选对得3分,选错、不选或选出的答案超过一个均计零分1.(3分)的倒数是()A.﹣2 B.﹣ C.2 D.【分析】根据倒数的定义,直接解答即可.【解答】解:的倒数是﹣2.故选:A.【点评】主要考查倒数的概念及性质.倒数的定义:若两个数的乘积是1,我们就称这两个数互为倒数.2.(3分)下列计算,正确的是()A.a5+a5=a10B.a3÷a﹣1=a2C.a•2a2=2a4D.(﹣a2)3=﹣a6【分析】根据合并同类项法则、同底数幂的除法法则、幂的乘方法则、单项式乘单项式的运算法则计算,判断即可.【解答】解:a5+a5=2a5,A错误;a3÷a﹣1=a3﹣(﹣1)=a4,B错误;a•2a2=2a3,C错误;(﹣a2)3=﹣a6,D正确,故选:D.【点评】本题考查的是合并同类项、同底数幂的除法、幂的乘方、单项式乘单项式,掌握它们的运算法则是解题的关键.3.(3分)已知直线m∥n,将一块含30°角的直角三角板ABC按如图方式放置(∠ABC=30°),其中A,B两点分别落在直线m,n上,若∠1=20°,则∠2的度数为()A.20°B.30°C.45°D.50°【分析】根据平行线的性质即可得到结论.【解答】解:∵直线m∥n,∴∠2=∠ABC+∠1=30°+20°=50°,故选:D.【点评】本题考查了平行线的性质,熟练掌握平行线的性质是解题的关键.4.(3分)实数a,b,c,d在数轴上的位置如图所示,下列关系式不正确的是()A.|a|>|b|B.|ac|=ac C.b<d D.c+d>0【分析】本题利用实数与数轴的对应关系结合实数的运算法则计算即可解答.【解答】解:从a、b、c、d在数轴上的位置可知:a<b<0,d>c>1;A、|a|>|b|,故选项正确;B、a、c异号,则|ac|=﹣ac,故选项错误;C、b<d,故选项正确;D、d>c>1,则a+d>0,故选项正确.故选:B.【点评】此题主要考查了数轴的知识:从原点向右为正数,向左为负数.右边的数大于左边的数.5.(3分)如图,直线l是一次函数y=kx+b的图象,若点A(3,m)在直线l上,则m的值是()A.﹣5 B.C.D.7【分析】待定系数法求出直线解析式,再将点A代入求解可得.【解答】解:将(﹣2,0)、(0,1)代入,得:解得:,∴y=x+1,将点A(3,m)代入,得:+1=m,即m=,故选:C.【点评】本题主要考查直线上点的坐标特点,熟练掌握待定系数法求函数解析式是解题的关键.6.(3分)如图,将边长为3a的正方形沿虚线剪成两块正方形和两块长方形.若拿掉边长2b的小正方形后,再将剩下的三块拼成一块矩形,则这块矩形较长的边长为()A.3a+2b B.3a+4b C.6a+2b D.6a+4b【分析】观察图形可知,这块矩形较长的边长=边长为3a的正方形的边长﹣边长2b的小正方形的边长+边长2b的小正方形的边长的2倍,依此计算即可求解.【解答】解:依题意有3a﹣2b+2b×2=3a﹣2b+4b=3a+2b.故这块矩形较长的边长为3a+2b.故选:A.【点评】考查了列代数式,关键是得到这块矩形较长的边长与两个正方形边长的关系.7.(3分)在平面直角坐标系中,将点A(﹣1,﹣2)向右平移3个单位长度得到点B,则点B关于x轴的对称点B′的坐标为()A.(﹣3,﹣2)B.(2,2) C.(﹣2,2)D.(2,﹣2)【分析】首先根据横坐标右移加,左移减可得B点坐标,然后再根据关于x轴对称点的坐标特点:横坐标不变,纵坐标符号改变可得答案.【解答】解:点A(﹣1,﹣2)向右平移3个单位长度得到的B的坐标为(﹣1+3,﹣2),即(2,﹣2),则点B关于x轴的对称点B′的坐标是(2,2),故选:B.【点评】此题主要考查了坐标与图形变化﹣平移,以及关于x轴对称点的坐标,关键是掌握点的坐标变化规律.8.(3分)如图,AB是⊙O的直径,弦CD交AB于点P,AP=2,BP=6,∠APC=30°,则CD的长为()A. B.2 C.2D.8【分析】作OH⊥CD于H,连结OC,如图,根据垂径定理由OH⊥CD得到HC=HD,再利用AP=2,BP=6可计算出半径OA=4,则OP=OA﹣AP=2,接着在Rt△OPH中根据含30度的直角三角形的性质计算出OH=OP=1,然后在Rt△OHC中利用勾股定理计算出CH=,所以CD=2CH=2.【解答】解:作OH⊥CD于H,连结OC,如图,∵OH⊥CD,∴HC=HD,∵AP=2,BP=6,∴AB=8,∴OA=4,∴OP=OA﹣AP=2,在Rt△OPH中,∵∠OPH=30°,∴∠POH=60°,∴OH=OP=1,在Rt△OHC中,∵OC=4,OH=1,∴CH==,∴CD=2CH=2.故选:C.【点评】本题考查了垂径定理:垂直于弦的直径平分这条弦,并且平分弦所对的两条弧.也考查了勾股定理以及含30度的直角三角形的性质.9.(3分)如图是二次函数y=ax2+bx+c图象的一部分,且过点A(3,0),二次函数图象的对称轴是直线x=1,下列结论正确的是()A.b2<4ac B.ac>0 C.2a﹣b=0 D.a﹣b+c=0【分析】根据抛物线与x轴有两个交点有b2﹣4ac>0可对A进行判断;由抛物线开口向上得a>0,由抛物线与y轴的交点在x轴下方得c<0,则可对B进行判断;根据抛物线的对称轴是x=1对C选项进行判断;根据抛物线的对称性得到抛物线与x轴的另一个交点为(﹣1,0),所以a﹣b+c=0,则可对D选项进行判断.【解答】解:∵抛物线与x轴有两个交点,∴b2﹣4ac>0,即b2>4ac,所以A选项错误;∵抛物线开口向上,∴a>0,∵抛物线与y轴的交点在x轴下方,∴c<0,∴ac<0,所以B选项错误;∵二次函数图象的对称轴是直线x=1,∴﹣=1,∴2a+b=0,所以C选项错误;∵抛物线过点A(3,0),二次函数图象的对称轴是x=1,∴抛物线与x轴的另一个交点为(﹣1,0),∴a﹣b+c=0,所以D选项正确;故选:D.【点评】本题考查了二次函数的图象与系数的关系:二次函数y=ax2+bx+c(a≠0)的图象为抛物线,当a>0,抛物线开口向上;对称轴为直线x=﹣;抛物线与y轴的交点坐标为(0,c);当b2﹣4ac>0,抛物线与x轴有两个交点;当b2﹣4ac=0,抛物线与x轴有一个交点;当b2﹣4ac<0,抛物线与x轴没有交点.10.(3分)如图是由8个全等的矩形组成的大正方形,线段AB的端点都在小矩形的顶点上,如果点P是某个小矩形的顶点,连接PA、PB,那么使△ABP为等腰直角三角形的点P的个数是()A.2个 B.3个 C.4个 D.5个【分析】根据等腰直角三角形的判定即可得到结论.【解答】解:如图所示,使△ABP为等腰直角三角形的点P的个数是3,故选:B.【点评】本题考查了等腰直角三角形的判定,正确的找出符合条件的点P是解题的关键.11.(3分)如图,在矩形ABCD中,点E是边BC的中点,AE⊥BD,垂足为F,则tan∠BDE的值是()A.B.C.D.【分析】证明△BEF∽△DAF,得出EF=AF,EF=AE,由矩形的对称性得:AE=DE,得出EF=DE,设EF=x,则DE=3x,由勾股定理求出DF==2x,再由三角函数定义即可得出答案.【解答】解:∵四边形ABCD是矩形,∴AD=BC,AD∥BC,∵点E是边BC的中点,∴BE=BC=AD,∴△BEF∽△DAF,∴=,∴EF=AF,∴EF=AE,∵点E是边BC的中点,∴由矩形的对称性得:AE=DE,∴EF=DE,设EF=x,则DE=3x,∴DF==2x,∴tan∠BDE===;故选:A.【点评】本题考查了相似三角形的判定和性质,矩形的性质,三角函数等知识;熟练掌握矩形的性质,证明三角形相似是解决问题的关键.12.(3分)如图,在Rt△ABC中,∠ACB=90°,CD⊥AB,垂足为D,AF平分∠CAB,交CD于点E,交CB于点F.若AC=3,AB=5,则CE的长为()A.B.C.D.【分析】根据三角形的内角和定理得出∠CAF+∠CFA=90°,∠FAD+∠AED=90°,根据角平分线和对顶角相等得出∠CEF=∠CFE,即可得出EC=FC,再利用相似三角形的判定与性质得出答案.【解答】解:过点F作FG⊥AB于点G,∵∠ACB=90°,CD⊥AB,∴∠CDA=90°,∴∠CAF+∠CFA=90°,∠FAD+∠AED=90°,∵AF平分∠CAB,∴∠CAF=∠FAD,∴∠CFA=∠AED=∠CEF,∴CE=CF,∵AF平分∠CAB,∠ACF=∠AGF=90°,∴FC=FG,∵∠B=∠B,∠FGB=∠ACB=90°,∴△BFG∽△BAC,∴=,∵AC=3,AB=5,∠ACB=90°,∴BC=4,∴=,∵FC=FG,∴=,解得:FC=,即CE的长为.故选:A.【点评】本题考查了直角三角形性质、等腰三角形的性质和判定,三角形的内角和定理以及相似三角形的判定与性质等知识,关键是推出∠CEF=∠CFE.二、填空题:本大题共6小题,满分24分,只填写最后结果,每小题填对得4分13.(4分)若二元一次方程组的解为,则a﹣b=.【分析】把x、y的值代入方程组,再将两式相加即可求出a﹣b的值.【解答】解:将代入方程组,得:,①+②,得:4a﹣4b=7,则a﹣b=,故答案为:.【点评】本题考查二元一次方程组的解,解题的关键是观察两方程的系数,从而求出a﹣b的值,本题属于基础题型.14.(4分)如图,某商店营业大厅自动扶梯AB的倾斜角为31°,AB的长为12米,则大厅两层之间的高度为 6.18米.(结果保留两个有效数字)【参考数据;sin31°=0.515,cos31°=0.857,tan31°=0.601】【分析】根据题意和锐角三角函数可以求得BC的长,从而可以解答本题.【解答】解:在Rt△ABC中,∵∠ACB=90°,∴BC=AB•sin∠BAC=12×0.515=6.18(米),答:大厅两层之间的距离BC的长约为6.18米.故答案为:6.18.【点评】本题考查解直角三角形的应用,解答本题的关键是明确题意,找出所求问题需要的条件,利用锐角三角函数和数形结合的思想解答.15.(4分)我国南宋著名数学家秦九韶在他的著作《数书九章》一书中,给出了著名的秦九韶公式,也叫三斜求积公式,即如果一个三角形的三边长分别为a,b,c,则该三角形的面积为S=.现已知△ABC的三边长分别为1,2,,则△ABC的面积为1.【分析】根据题目中的面积公式可以求得△ABC的三边长分别为1,2,的面积,从而可以解答本题.【解答】解:∵S=,∴△ABC的三边长分别为1,2,,则△ABC的面积为:S==1,故答案为:1.【点评】本题考查二次根式的应用,解答本题的关键是明确题意,利用题目中的面积公式解答.16.(4分)如图,在正方形ABCD中,AD=2,把边BC绕点B逆时针旋转30°得到线段BP,连接AP并延长交CD于点E,连接PC,则三角形PCE的面积为9﹣5.【分析】根据旋转的思想得PB=BC=AB,∠PBC=30°,推出△ABP是等边三角形,得到∠BAP=60°,AP=AB=2,解直角三角形得到CE=2﹣2,PE=4﹣2,过P 作PF⊥CD于F,于是得到结论.【解答】解:∵四边形ABCD是正方形,∴∠ABC=90°,∵把边BC绕点B逆时针旋转30°得到线段BP,∴PB=BC=AB,∠PBC=30°,∴∠ABP=60°,∴△ABP是等边三角形,∴∠BAP=60°,AP=AB=2,∵AD=2,∴AE=4,DE=2,∴CE=2﹣2,PE=4﹣2,过P作PF⊥CD于F,∴PF=PE=2﹣3,∴三角形PCE的面积=CE•PF=×(2﹣2)×(2﹣3)=9﹣5,故答案为:9﹣5.【点评】本题考查了旋转的性质,正方形的性质,等边三角形的判定和性质,解直角三角形,正确的作出辅助线是解题的关键.17.(4分)如图1,点P从△ABC的顶点B出发,沿B→C→A匀速运动到点A,图2是点P运动时,线段BP的长度y随时间x变化的关系图象,其中M为曲线部分的最低点,则△ABC的面积是12.【分析】根据图象可知点P在BC上运动时,此时BP不断增大,而从C向A运动时,BP先变小后变大,从而可求出BC与AC的长度.【解答】解:根据图象可知点P在BC上运动时,此时BP不断增大,由图象可知:点P从B向C运动时,BP的最大值为5,即BC=5,由于M是曲线部分的最低点,∴此时BP最小,即BP⊥AC,BP=4,∴由勾股定理可知:PC=3,由于图象的曲线部分是轴对称图形,∴PA=3,∴AC=6,∴△ABC 的面积为:×4×6=12故答案为:12【点评】本题考查动点问题的函数图象,解题的关键是注意结合图象求出BC与AC的长度,本题属于中等题型.18.(4分)将从1开始的连续自然数按以下规律排列:第1行1第2行234第3行98765第4行1111213141516第2222221115543210987行…则2018在第45行.【分析】通过观察可得第n行最大一个数为n2,由此估算2018所在的行数,进一步推算得出答案即可.【解答】解:∵442=1936,452=2025,∴2018在第45行.故答案为:45.【点评】本题考查了数字的变化规律,解题的关键是通过观察,分析、归纳并发现其中的规律,并应用发现的规律解决问题.三、解答题:本大题共7小题,满分60分.解答时,要写出必要的文字说明、证明过程或演算步骤19.(8分)计算:|﹣2|+sin60°﹣﹣(﹣1)2+2﹣2【分析】根据特殊角的三角函数值、负整数指数幂的意义和绝对值的意义计算.【解答】解:原式=2﹣+﹣3﹣+=﹣.【点评】本题考查了实数的运算:实数的运算和在有理数范围内一样,值得一提的是,实数既可以进行加、减、乘、除、乘方运算,又可以进行开方运算,其中正实数可以开平方.20.(8分)如图,在4×4的方格纸中,△ABC的三个顶点都在格点上.(1)在图1中,画出一个与△ABC成中心对称的格点三角形;(2)在图2中,画出一个与△ABC成轴对称且与△ABC有公共边的格点三角形;(3)在图3中,画出△ABC绕着点C按顺时针方向旋转90°后的三角形.【分析】(1)根据中心对称的性质即可作出图形;(2)根据轴对称的性质即可作出图形;(3)根据旋转的性质即可求出图形.【解答】解:(1)如图所示,△DCE为所求作(2)如图所示,△ACD为所求作(3)如图所示△ECD为所求作【点评】本题考查图形变换,解题的关键是正确理解图形变换的性质,本题属于基础题型.21.(8分)如图,一次函数y=kx+b(k、b为常数,k≠0)的图象与x轴、y轴分别交于A、B两点,且与反比例函数y=(n为常数,且n≠0)的图象在第二象限交于点C.CD⊥x轴,垂足为D,若OB=2OA=3OD=12.(1)求一次函数与反比例函数的解析式;(2)记两函数图象的另一个交点为E,求△CDE的面积;(3)直接写出不等式kx+b≤的解集.【分析】(1)根据三角形相似,可求出点C坐标,可得一次函数和反比例函数解析式;(2)联立解析式,可求交点坐标;(3)根据数形结合,将不等式转化为一次函数和反比例函数图象关系.【解答】解:(1)由已知,OA=6,OB=12,OD=4∵CD⊥x轴∴OB∥CD∴△ABO∽△ACD∴∴∴CD=20∴点C坐标为(﹣4,20)∴n=xy=﹣80∴反比例函数解析式为:y=﹣把点A(6,0),B(0,12)代入y=kx+b得:解得:∴一次函数解析式为:y=﹣2x+12(2)当﹣=﹣2x+12时,解得x1=10,x2=﹣4当x=10时,y=﹣8∴点E坐标为(10,﹣8)∴S△CDE =S△CDA+S△EDA=(3)不等式kx+b≤,从函数图象上看,表示一次函数图象不低于反比例函数图象∴由图象得,x≥10,或﹣4≤x<0【点评】本题考查了应用待定系数法求一次函数和反比例函数解析式以及用函数的观点通过函数图象解不等式.22.(8分)现今“微信运动”被越来越多的人关注和喜爱,某兴趣小组随机调查了我市50名教师某日“微信运动”中的步数情况进行统计整理,绘制了如下的统计图表(不完整):步数频数频率0≤x<40008a4000≤x<8000150.38000≤x<1200012b12000≤x<16000c0.216000≤x<2000030.0620000≤x<24000d0.04请根据以上信息,解答下列问题:(1)写出a,b,c,d的值并补全频数分布直方图;(2)本市约有37800名教师,用调查的样本数据估计日行走步数超过12000步(包含12000步)的教师有多少名?(3)若在50名被调查的教师中,选取日行走步数超过16000步(包含16000步的两名教师与大家分享心得,求被选取的两名教师恰好都在20000步(包含20000步)以上的概率.【分析】(1)根据频率=频数÷总数可得答案;(2)用样本中超过12000步(包含12000步)的频率之和乘以总人数可得答案;(3)画树状图列出所有等可能结果,根据概率公式求解可得.【解答】解:(1)a=8÷50=0.16,b=12÷50=0.24,c=50×0.2=10,d=50×0.04=2,补全频数分布直方图如下:(2)37800×(0.2+0.06+0.04)=11340,答:估计日行走步数超过12000步(包含12000步)的教师有11340名;(3)设16000≤x<20000的3名教师分别为A、B、C,20000≤x<24000的2名教师分别为X、Y,画树状图如下:由树状图可知,被选取的两名教师恰好都在20000步(包含20000步)以上的概率为=.【点评】此题考查了频率分布直方图,用到的知识点是频率=频数÷总数,用样本估计整体让整体×样本的百分比,读懂统计表,运用数形结合思想来解决由统计图形式给出的数学实际问题是本题的关键.23.(8分)如图,在Rt△ACB中,∠C=90°,AC=3cm,BC=4cm,以BC为直径作⊙O交AB于点D.(1)求线段AD的长度;(2)点E是线段AC上的一点,试问:当点E在什么位置时,直线ED与⊙O相切?请说明理由.【分析】(1)由勾股定理易求得AB的长;可连接CD,由圆周角定理知CD⊥AB,易知△ACD∽△ABC,可得关于AC、AD、AB的比例关系式,即可求出AD的长.(2)当ED与⊙O相切时,由切线长定理知EC=ED,则∠ECD=∠EDC,那么∠A 和∠DEC就是等角的余角,由此可证得AE=DE,即E是AC的中点.在证明时,可连接OD,证OD⊥DE即可.【解答】解:(1)在Rt△ACB中,∵AC=3cm,BC=4cm,∠ACB=90°,∴AB=5cm;连接CD,∵BC为直径,∴∠ADC=∠BDC=90°;∵∠A=∠A,∠ADC=∠ACB,∴Rt△ADC∽Rt△ACB;∴,∴;(2)当点E是AC的中点时,ED与⊙O相切;证明:连接OD,∵DE是Rt△ADC的中线;∴ED=EC,∴∠EDC=∠ECD;∵OC=OD,∴∠ODC=∠OCD;∴∠EDO=∠EDC+∠ODC=∠ECD+∠OCD=∠ACB=90°;∴ED⊥OD,∴ED与⊙O相切.【点评】此题综合考查了圆周角定理、相似三角形的判定和性质、直角三角形的性质、切线的判定等知识.24.(10分)如图,将矩形ABCD沿AF折叠,使点D落在BC边的点E处,过点E作EG∥CD交AF于点G,连接DG.(1)求证:四边形EFDG是菱形;(2)探究线段EG、GF、AF之间的数量关系,并说明理由;(3)若AG=6,EG=2,求BE的长.【分析】(1)先依据翻折的性质和平行线的性质证明∠DGF=∠DFG,从而得到GD=DF,接下来依据翻折的性质可证明DG=GE=DF=EF;(2)连接DE,交AF于点O.由菱形的性质可知GF⊥DE,OG=OF=GF,接下来,证明△DOF∽△ADF,由相似三角形的性质可证明DF2=FO•AF,于是可得到GE、AF、FG的数量关系;(3)过点G作GH⊥DC,垂足为H.利用(2)的结论可求得FG=4,然后再△ADF 中依据勾股定理可求得AD的长,然后再证明△FGH∽△FAD,利用相似三角形的性质可求得GH的长,最后依据BE=AD﹣GH求解即可.【解答】解:(1)证明:∵GE∥DF,∴∠EGF=∠DFG.∵由翻折的性质可知:GD=GE,DF=EF,∠DGF=∠EGF,∴∠DGF=∠DFG.∴GD=DF.∴DG=GE=DF=EF.∴四边形EFDG为菱形.(2)EG2=GF•AF.理由:如图1所示:连接DE,交AF于点O.∵四边形EFDG为菱形,∴GF⊥DE,OG=OF=GF.∵∠DOF=∠ADF=90°,∠OFD=∠DFA,∴△DOF∽△ADF.∴,即DF2=FO•AF.∵FO=GF,DF=EG,∴EG2=GF•AF.(3)如图2所示:过点G作GH⊥DC,垂足为H.∵EG2=GF•AF,AG=6,EG=2,∴20=FG(FG+6),整理得:FG2+6FG﹣40=0.解得:FG=4,FG=﹣10(舍去).∵DF=GE=2,AF=10,∴AD==4.∵GH⊥DC,AD⊥DC,∴GH∥AD.∴△FGH∽△FAD.∴,即=.∴GH=.∴BE=AD﹣GH=4﹣=.【点评】本题主要考查的是四边形与三角形的综合应用,解答本题主要应用了矩形的性质、菱形的判定和性质、相似三角形的性质和判定、勾股定理的应用,利用相似三角形的性质得到DF2=FO•AF是解题答问题(2)的关键,依据相似三角形的性质求得GH的长是解答问题(3)的关键.25.(10分)如图1,已知二次函数y=ax2+x+c(a≠0)的图象与y轴交于点A (0,4),与x轴交于点B、C,点C坐标为(8,0),连接AB、AC.(1)请直接写出二次函数y=ax2+x+c的表达式;(2)判断△ABC的形状,并说明理由;(3)若点N在x轴上运动,当以点A、N、C为顶点的三角形是等腰三角形时,请写出此时点N的坐标;(4)如图2,若点N 在线段BC 上运动(不与点B 、C 重合),过点N 作NM ∥AC ,交AB 于点M ,当△AMN 面积最大时,求此时点N 的坐标.【分析】(1)根据待定系数法即可求得;(2)根据抛物线的解析式求得B 的坐标,然后根据勾股定理分别求得AB 2=20,AC 2=80,BC10,然后根据勾股定理的逆定理即可证得△ABC 是直角三角形.(3)分别以A 、C 两点为圆心,AC 长为半径画弧,与x 轴交于三个点,由AC 的垂直平分线与x 轴交于一个点,即可求得点N 的坐标;(4)设点N 的坐标为(n ,0),则BN=n +2,过M 点作MD ⊥x 轴于点D ,根据三角形相似对应边成比例求得MD=(n +2),然后根据S △AMN =S △ABN ﹣S △BMN 得出关于n 的二次函数,根据函数解析式求得即可.【解答】解:(1)∵二次函数y=ax 2+x +c 的图象与y 轴交于点A (0,4),与x 轴交于点B 、C ,点C 坐标为(8,0), ∴, 解得. ∴抛物线表达式:y=﹣x 2+x +4;(2)△ABC 是直角三角形.令y=0,则﹣x 2+x +4=0,解得x 1=8,x 2=﹣2,∴点B 的坐标为(﹣2,0),由已知可得,在Rt △ABO 中AB 2=BO 2+AO 2=22+42=20,在Rt △AOC 中AC 2=AO 2+CO 2=42+82=80,又∵BC=OB +OC=2+8=10,∴在△ABC 中AB 2+AC 2=20+80=102=BC 2∴△ABC 是直角三角形.(3)∵A (0,4),C (8,0),∴AC==4,①以A 为圆心,以AC 长为半径作圆,交x 轴于N ,此时N 的坐标为(﹣8,0), ②以C 为圆心,以AC 长为半径作圆,交x 轴于N ,此时N 的坐标为(8﹣4,0)或(8+4,0) ③作AC 的垂直平分线,交x 轴于N ,此时N 的坐标为(3,0),综上,若点N 在x 轴上运动,当以点A 、N 、C 为顶点的三角形是等腰三角形时,点N 的坐标分别为(﹣8,0)、(8﹣4,0)、(3,0)、(8+4,0).(4)如图,设点N 的坐标为(n ,0),则BN=n +2,过M 点作MD ⊥x 轴于点D ,∴MD ∥OA ,∴△BMD ∽△BAO , ∴=,∵MN ∥AC ∴=, ∴=,∵OA=4,BC=10,BN=n +2∴MD=(n +2),∵S △AMN =S △ABN ﹣S △BMN=BN•OA﹣BN•MD=(n+2)×4﹣×(n+2)2=﹣(n﹣3)2+5,当n=3时,△AMN面积最大是5,∴N点坐标为(3,0).∴当△AMN面积最大时,N点坐标为(3,0).【点评】本题是二次函数的综合题,解(1)的关键是待定系数法求解析式,解(2)的关键是勾股定理和逆定理,解(3)的关键是等腰三角形的性质,解(4)的关键是三角形相似的判定和性质以及函数的最值等.。
2020届中考数学基础题提分讲练专题19 以三角形为背景的证明与计算考点分析【例1】(2019·山东中考真题)如图,已知等边ABC ∆,CD AB ⊥于D ,AF AC ⊥,E 为线段CD 上一点,且CE AF =,连接BE ,BF ,EG BF ⊥于G ,连接DG .(1)求证:BE BF =;(2)试说明DG 与AF 的位置关系和数量关系.【答案】(1)详见解析;(2)2AF GD =,//AF DG ,理由详见解析. 【解析】(1)∵ABC ∆是等边三角形,AB AC BC ∴==,60BAC ACB ABC ∠=∠=∠=︒,∵CD AB ⊥,AC BC =, ∴BD AD =,30BCD ∠=︒, ∵AF AC ⊥,90FAC ∴∠=︒,30FAB FAC BAC ∴∠=∠-∠=︒,FAB ECB ∴∠=∠,且AB BC =,AF CE =,()ABF CBE SAS ∴∆∆≌,BF BE ∴=,(2)2AF GD =,//AF DG .理由如下: 连接EF , ∵ABF CBE ∆∆≌ ∴ABF CBE ∠=∠, ∵60ABE EBC ∠+∠=︒, ∴60ABE ABF ∠+∠=︒, ∵BE BF =,BEF ∴∆是等边三角形,∵GE BF ⊥,BG FG ∴=,且BD AD =, 2AF GD ∴=,//AF DG .【点睛】本题考查了全等三角形的判定和性质,等边三角形的判定和性质,三角形中位线定理,熟练运用三角形中位线定理是本题的关键.【例2】(2019·山东中考真题)小圆同学对图形旋转前后的线段之间、角之间的关系进行了拓展探究.(一)猜测探究在ABC ∆中,AB AC =,M 是平面内任意一点,将线段AM 绕点A 按顺时针方向旋转与BAC ∠相等的角度,得到线段AN ,连接NB .(1)如图1,若M 是线段BC 上的任意一点,请直接写出NAB ∠与MAC ∠的数量关系是 ,NB 与MC 的数量关系是 ;(2)如图2,点E 是AB 延长线上点,若M 是CBE ∠内部射线BD 上任意一点,连接MC ,(1)中结论是否仍然成立?若成立,请给予证明,若不成立,请说明理由. (二)拓展应用如图3,在111A B C ∆中,118A B =,11160A B C ∠=o ,11175B A C ∠=o,P 是11B C 上的任意点,连接1A P ,将1A P 绕点1A 按顺时针方向旋转75o ,得到线段1A Q ,连接1B Q .求线段1B Q 长度的最小值.【答案】(一)(1)结论:NAB MAC ∠=∠,BN MC =.理由见解析;(2)如图2中,①中结论仍然成立.理由见解析;(二)1QB 的最小值为4342-. 【解析】(一)(1)结论:NAB MAC ∠=∠,BN MC =. 理由:如图1中,∵MAN CAB ∠=∠,∴NAB BAM BAM MAC ∠+∠=∠+∠, ∴NAB MAC ∠=∠, ∵AB AC =,AN AM =, ∴NAB ∆≌MAC ∆(SAS ), ∴BN CM =.故答案为NAB MAC ∠=∠,BNCM =.(2)如图2中,①中结论仍然成立.理由:∵MAN CAB ∠=∠,∴NAB BAM BAM MAC ∠+∠=∠+∠, ∴NAB MAC ∠=∠, ∵AB AC =,AN AM =, ∴NAB ∆≌MAC ∆(SAS ), ∴BN CM =.(二)如图3中,在11A C 上截取11A N A Q =,连接PN ,作11NH B C ⊥于H ,作111A M B C ⊥于M .∵1111C A B PAQ ∠=∠, ∴111QA B PA N ∠=∠, ∵11A A A P =,11A B AN =, ∴11QA B ∆≌1PA N ∆(SAS ), ∴1B Q PN =,∴当PN 的值最小时,1QB 的值最小,在11Rt A B M ∆中,∵1160A B M ∠=o,118A B =,∴111sin6043AM A B =•=o , ∵1111111753045MAC B AC B A M ∠=∠-∠=-=ooo, ∴1146AC =,∴1111468NC AC A N =-=-, 在1Rt NHC ∆,∵145C ∠=o, ∴4342NH =-,根据垂线段最短可知,当点P 与H 重合时,PN 的值最小, ∴1QB 的最小值为4342-. 【点睛】本题属于几何变换综合题,考查了全等三角形的判定和性质,等腰三角形的性质,解直角三角形,垂线段最短等知识,解题的关键是学会添加常用辅助线,构造全等三角形解决问题,学会利用垂线段最短解决最值问题,属于中考压轴题.考点集训1.(2019·湖北中考真题)如图,在ABC ∆中,D 是BC 边上的一点,AB DB =,BE 平分ABC ∠,交AC 边于点E ,连接DE .(1)求证:ABE DBE ∆≅∆;(2)若100A ∠=︒,50C ∠=︒,求AEB ∠的度数. 【答案】(1)见解析;(2)65︒ 【解析】(1)证明:BE Q 平分ABC ∠,∴ABE DBE∠∠=,在ABE∆和DBE∆中,AB DBABE DBEBE BE=⎧⎪∠=∠⎨⎪=⎩,∴()ABE DBE SAS∆≅∆;(2)Q100A∠=︒,50C∠=︒,∴30ABC∠=︒,Q BE平分ABC∠,∴1152ABE DBE ABC∠∠∠︒===,在ABE∆中,1801801001565AEB A ABE∠=︒∠∠=︒︒︒=︒----.【点睛】本题考查了全等三角形的判定与性质、角平分线的定义、三角形内角和定理;熟练掌握三角形内角和定理和角平分线定义,证明三角形全等是解题的关键.2.(2019·浙江中考真题)如图,在△ABC中,AD是BC边上的中线,E是AB边上一点,过点C作CF∥AB 交ED的延长线于点F,(1)求证:△BDE≌△CDF;(2)当AD⊥BC,AE=1,CF=2时,求AC的长.【答案】(1)见解析;(2)3AC=.【解析】解:(1)∵CF AB∥,∴B FCD BED F∠=∠∠=∠,.∵AD是BC边上的中线,∴BD CD=,∴BDE CDFV V≌.(2)∵BDE CDFV V≌,∴2BE CF==,∴123AB AE BE=+=+=.∵AD BC BD CD ⊥=,, ∴3AC AB ==. 【点睛】本题考查了全等三角形的判定和性质,平行线的性质,熟练掌握全等三角形的判定和性质是解题的关键. 3.(2019·天津)在Rt △ABC 中,∠A=90°,AC=AB=4,D ,E 分别是边AB ,AC 的中点.若等腰Rt △ADE 绕点A 逆时针旋转,得到等腰RtRt △AD 1E 1,设旋转角为α(0<α≤180°),记直线BD 1与CE 1的交点为P . (1)如图1,当α=90°时,线段BD 1的长等于 ,线段CE 1的长等于 ;(直接填写结果)(2)如图2,当α=135°时,求证:BD 1=CE 1 ,且BD 1⊥CE 1 ;(3)求点P 到AB 所在直线的距离的最大值.(直接写出结果) 【答案】(1)BD 1=5CE 1=5(2)见解析;(3)3【解析】解:(1)解:∵∠A=90°,AC=AB=4,D ,E 分别是边AB ,AC 的中点, ∴AE=AD=2,∵等腰Rt △ADE 绕点A 逆时针旋转,得到等腰Rt △AD 1E 1,设旋转角为α(0<α≤180°), ∴当α=90°时,AE 1=2,∠E 1AE=90°,2222114225,4225BD E C ∴=+==+=(2)证明:当α=135°时,如下图:由旋转可知∠D 1AB=E 1AC=135° 又AB=AC ,AD 1=AE 1, ∴△D 1AB ≌ △E 1AC ∴BD 1=CE 1且 ∠D 1BA=E 1CA设直线BD 1与AC 交于点F ,有∠BFA=∠CFP ∴∠CPF=∠FAB=90°, ∴BD 1⊥CE 1;(3)解:如图3,作PG ⊥AB ,交AB 所在直线于点G ,∵D 1,E 1在以A 为圆心,AD 为半径的圆上,当BD 1所在直线与⊙A 相切时,直线BD 1与CE 1的交点P 到直线AB 的距离最大, 此时四边形AD 1PE 1是正方形,PD 1=2,则2214223BD =-=,故∠ABP=30°, 则223PB =+故点P 到AB 所在直线的距离的最大值为:13PG =考点:旋转变换,直角三角形,勾股定理,三角形全等,正方形的性质4.(2019·江西初二期末)(1)如图(1),已知:在△ABC 中,∠BAC =90°,AB=AC ,直线m 经过点A ,BD ⊥直线m, CE⊥直线m,垂足分别为点D、E.证明:DE=BD+CE.(2)如图(2),将(1)中的条件改为:在△ABC中,AB=AC,D、A、E三点都在直线m上,并且有∠BDA=∠AEC=∠BAC=α,其中α为任意锐角或钝角.请问结论DE=BD+CE是否成立?如成立,请你给出证明;若不成立,请说明理由.(3)拓展与应用:如图(3),D、E是D、A、E三点所在直线m上的两动点(D、A、E三点互不重合),点F为∠BAC平分线上的一点,且△ABF和△ACF均为等边三角形,连接BD、CE,若∠BDA=∠AEC=∠BAC,试判断△DEF的形状.【答案】(1)见解析(2)成立(3)△DEF为等边三角形【解析】解:(1)证明:∵BD⊥直线m,CE⊥直线m,∴∠BDA=∠CEA=900.∵∠BAC=900,∴∠BAD+∠CAE=900.∵∠BAD+∠ABD=900,∴∠CAE=∠ABD.又AB="AC" ,∴△ADB≌△CEA(AAS).∴AE=BD,AD=CE.∴DE="AE+AD=" BD+CE.(2)成立.证明如下:∵∠BDA =∠BAC=α,∴∠DBA+∠BAD=∠BAD +∠CAE=1800—α.∴∠DBA=∠CAE.∵∠BDA=∠AEC=α,AB=AC,∴△ADB≌△CEA(AAS).∴AE=BD,AD=CE.∴DE=AE+AD=BD+CE.(3)△DEF为等边三角形.理由如下:由(2)知,△ADB≌△CEA,BD=AE,∠DBA =∠CAE,∵△ABF和△ACF均为等边三角形,∴∠ABF=∠CAF=600.∴∠DBA+∠ABF=∠CAE+∠CAF.∴∠DBF=∠FAE.∵BF=AF,∴△DBF≌△EAF(AAS).∴DF=EF,∠BFD=∠AFE.∴∠DFE=∠DFA+∠AFE=∠DFA+∠BFD=600.∴△DEF为等边三角形.(1)因为DE=DA+AE ,故由AAS 证△ADB ≌△CEA ,得出DA=EC ,AE=BD ,从而证得DE=BD+CE . (2)成立,仍然通过证明△ADB ≌△CEA ,得出BD=AE ,AD=CE ,所以DE=DA+AE=EC+BD .(3)由△ADB ≌△CEA 得BD=AE ,∠DBA =∠CAE ,由△ABF 和△ACF 均等边三角形,得∠ABF=∠CAF=600,FB=FA ,所以∠DBA+∠ABF=∠CAE+∠CAF ,即∠DBF=∠FAE ,所以△DBF ≌△EAF ,所以FD=FE ,∠BFD=∠AFE ,再根据∠DFE=∠DFA+∠AFE=∠DFA+∠BFD=600得到△DEF 是等边三角形.5.(2019·贵州中考真题)(1)如图①,在四边形ABCD 中,AB CD ∥,点E 是BC 的中点,若AE 是BAD ∠的平分线,试判断AB ,AD ,DC 之间的等量关系.解决此问题可以用如下方法:延长AE 交DC 的延长线于点F ,易证AEB FEC ∆∆≌得到AB FC =,从而把AB ,AD ,DC 转化在一个三角形中即可判断.AB ,AD ,DC 之间的等量关系________;(2)问题探究:如图②,在四边形ABCD 中,AB CD ∥,AF 与DC 的延长线交于点F ,点E 是BC 的中点,若AE 是BAF ∠的平分线,试探究AB ,AF ,CF 之间的等量关系,并证明你的结论.【答案】(1)AD AB DC =+;(2)AB AF CF =+,理由详见解析. 【解析】解:(1)AD AB DC =+.理由如下:如图①,∵AE 是BAD ∠的平分线,∴DAE BAE ∠=∠ ∵AB DC P ,∴F BAE ∠=∠,∴DAF F ∠=∠,∴AD DF =. ∵点E 是BC 的中点,∴CE BE =, 又∵F BAE ∠=∠,AEB CEF ∠=∠ ∴CEF ∆≌BEA ∆(AAS ),∴AB CF =. ∴AD CD CF CD AB =+=+. 故答案为:AD AB DC =+. (2)AB AF CF =+.理由如下:如图②,延长AE 交DF 的延长线于点G .∵AB DC P ,∴BAE G ∠=∠, 又∵BE CE =,AEB GEC ∠=∠, ∴AEB ∆≌GEC ∆(AAS ),∴AB GC =, ∵AE 是BAF ∠的平分线,∴BAG FAG ∠=∠, ∵BAG G ∠=∠,∴FAG G ∠=∠,∴FA FG =, ∵CG CF FG =+,∴AB AF CF =+. 【点睛】本题考查了全等三角形的判定和性质、平行线的性质、角平分线的定义和等角对等边等知识,添加恰当辅助线构造全等三角形是解本题的关键.6.(2019·江苏初二期中)如图,△ABC 中,AB=AC ,点E ,F 在边BC 上,BE=CF ,点D 在AF 的延长线上,AD=AC ,(1)求证:△ABE ≌△ACF ;(2)若∠BAE=30°,则∠ADC= °.【答案】(1)证明见解析;(2)75. 【解析】 (1)∵AB=AC , ∴∠B=∠ACF , 在△ABE 和△ACF 中,AB ACB ACFBE CF=⎧⎪∠=∠⎨⎪=⎩,∴△ABE≌△ACF(SAS);(2)∵△ABE≌△ACF,∠BAE=30°,∴∠CAF=∠BAE=30°,∵AD=AC,∴∠ADC=∠ACD,∴∠ADC=280013︒-︒=75°,故答案为75.【点睛】本题考查了全等三角形的判定与性质、等腰三角形的性质,熟练掌握相关性质与定理是解题的关键. 7.(2019·江苏中考真题)如图,ABC△中,点E在BC边上,AE AB=,将线段AC绕点A旋转到AF的位置,使得CAF BAE∠=∠,连接EF,EF与AC交于点G(1)求证:EF BC=;(2)若65ABC∠=︒,28ACB∠=︒,求FGC∠的度数.【答案】(1)证明见解析;(2)78°.【解析】(1)CAF BAE∠=∠QBAC EAF∴∠=∠AE AB AC AF==Q,()BAC EAF SAS∴△≌△EF BC∴=(2)65AB AE ABC =∠=︒Q , 18065250BAE ∴∠=︒-︒⨯=︒ 50FAG ∴∠=︒ BAC EAF Q △≌△ 28F C ∴∠=∠=︒ 502878FGC ∴∠=︒+︒=︒ 【点睛】本题主要考查全等三角形证明与性质,等腰三角形性质,旋转性质等知识点,比较简单,基础知识扎实是解题关键8.(2019·江苏中考真题)如图,在△ABC 中,AB=AC,点D 、E 分别在AB 、AC 上,BD=CE ,BE 、CD 相交于点0;求证:(1)DBC ECB ∆≅∆ (2)OB OC =【答案】(1)见解析;(2)见解析. 【解析】 (1)∵AB=AC , ∴∠ECB=∠DBC , 在DBC ECB ∆∆与中BD CE DBC ECB BC CB =⎧⎪∠=∠⎨⎪=⎩, ∴ DBC ECB ∆≅∆; (2)由(1) DBC ECB ∆≅∆, ∴∠DCB=∠EBC ,∴OB=OC. 【点睛】本题考查了全等三角形的判定与性质,等腰三角形的性质与判定,熟练掌握全等三角形的判定定理与性质定理是解题的关键.9.(2019·江苏中考真题)如图,ABC ∆中,90C =o ∠,4AC =,8BC =.(1)用直尺和圆规作AB 的垂直平分线;(保留作图痕迹,不要求写作法) (2)若(1)中所作的垂直平分线交BC 于点D ,求BD 的长. 【答案】(1)详见解析;(2)5BD =. 【解析】(1)如图直线MN 即为所求.(2)∵MN 垂直平分线段AB ,∴DA DB =, 设DA DB x ==,在Rt ACD ∆中,∵222AD AC CD =+,∴()22248x x =+-, 解得5x =,∴5BD =. 【点睛】本题考查作图﹣基本作图,线段的垂直平分线的性质等知识,解题的关键是熟练掌握基本知识,属于中考常考题型.10.(2019·湖北初二期中)(问题提出)如图①,已知△ABC 是等边三角形,点E 在线段AB 上,点D 在直线BC 上,且ED=EC ,将△BCE 绕点C 顺时针旋转60°至△ACF 连接EF试证明:AB=DB+AF(类比探究)(1)如图②,如果点E在线段AB的延长线上,其他条件不变,线段AB,DB,AF之间又有怎样的数量关系?请说明理由(2)如果点E在线段BA的延长线上,其他条件不变,请在图③的基础上将图形补充完整,并写出AB,DB,AF之间的数量关系,不必说明理由.【答案】证明见解析;(1)AB=BD﹣AF;(2)AF=AB+BD.【解析】(1)证明:DE=CE=CF,△BCE由旋转60°得△ACF,∴∠ECF=60°,BE=AF,CE=CF,∴△CEF是等边三角形,∴EF=CE,∴DE=EF,∠CAF=∠BAC=60°,∴∠EAF=∠BAC+∠CAF=120°,∵∠DBE=120°,∴∠EAF=∠DBE,又∵A,E,C,F四点共圆,∴∠AEF=∠ACF,又∵ED=DC,∴∠D=∠BCE,∠BCE=∠ACF,∴∠D=∠AEF,∴△EDB≌FEA,∴BD=AF,AB=AE+BF,∴AB=BD+AF.类比探究(1)DE=CE=CF,△BCE由旋转60°得△ACF,∴∠ECF=60°,BE=AF,CE=CF,∴△CEF是等边三角形,∴EF=CE,∴DE=EF,∠EFC=∠BAC=60°,∠EFC=∠FGC+∠FCG,∠BAC=∠FGC+∠FEA,∴∠FCG=∠FEA,又∠FCG=∠EAD∠D=∠EAD,∴∠D=∠FEA,由旋转知∠CBE=∠CAF=120°,∴∠DBE=∠FAE=60°∴△DEB≌△EFA,∴BD=AE,EB=AF,∴BD=FA+AB.即AB=BD-AF.(2)AF=BD+AB(或AB=AF-BD)如图③,,ED=EC=CF,∵△BCE绕点C顺时针旋转60°至△ACF,∴∠ECF=60°,BE=AF ,EC=CF ,BC=AC , ∴△CEF 是等边三角形, ∴EF=EC , 又∵ED=EC , ∴ED=EF , ∵AB=AC ,BC=AC , ∴△ABC 是等边三角形, ∴∠ABC=60°, 又∵∠CBE=∠CAF , ∴∠CAF=60°,∴∠EAF=180°-∠CAF-∠BAC =180°-60°-60° =60°∴∠DBE=∠EAF ; ∵ED=EC , ∴∠ECD=∠EDC ,∴∠BDE=∠ECD+∠DEC=∠EDC+∠DEC , 又∵∠EDC=∠EBC+∠BED ,∴∠BDE=∠EBC+∠BED+∠DEC=60°+∠BEC , ∵∠AEF=∠CEF+∠BEC=60°+∠BEC , ∴∠BDE=∠AEF , 在△EDB 和△FEA 中,DBE EAF BDE AEF ED EF ∠∠⎧⎪∠∠⎨⎪⎩=== ∴△EDB ≌△FEA (AAS ), ∴BD=AE ,EB=AF , ∵BE=AB+AE , ∴AF=AB+BD ,即AB ,DB ,AF 之间的数量关系是:AF=AB+BD .考点:旋转变化,等边三角形,三角形全等,11.(2019·浙江中考真题)如图,在ABC △中,AC AB BC <<.⑴已知线段AB 的垂直平分线与BC 边交于点P ,连结AP ,求证:2APC B ??;⑵以点B 为圆心,线段AB 的长为半径画弧,与BC 边交于点Q ,连结AQ ,若3AQC B ??,求B Ð的度数.【答案】(1)见解析;(2)∠B=36°. 【解析】(1)证明:因为点P 在AB 的垂直平分线上, 所以PA=PB , 所以∠PAB=∠B ,所以∠APC=∠PAB+∠B=2∠B. (2)根据题意,得BQ=BA , 所以∠BAQ=∠BQA , 设∠B=x ,所以∠AQC=∠B+∠BAQ=3x , 所以∠BAQ=∠BQA=2x , 在△ABQ 中,x+2x+2x=180°, 解得x=36°,即∠B=36°. 【点睛】本题考查垂直平分线的性质、等腰三角形的性质,解题的关键是掌握垂直平分线的性质、等腰三角形的性质.12.(2019·山东初三)(1)操作发现:如图①,小明画了一个等腰三角形ABC ,其中AB =AC ,在△ABC 的外侧分别以AB ,AC 为腰作了两个等腰直角三角形ABD ,ACE ,分别取BD ,CE ,BC 的中点M ,N ,G ,连接GM ,GN .小明发现了:线段GM 与GN 的数量关系是__________;位置关系是__________. (2)类比思考:如图②,小明在此基础上进行了深入思考.把等腰三角形ABC换为一般的锐角三角形,其中AB>AC,其它条件不变,小明发现的上述结论还成立吗?请说明理由.(3)深入研究:如图③,小明在(2)的基础上,又作了进一步的探究.向△ABC的内侧分别作等腰直角三角形ABD,ACE,其它条件不变,试判断△GMN的形状,并给与证明.【答案】(1)MG=NG;MG⊥NG;(2)成立,MG=NG,MG⊥NG;(3)答案见解析【解析】(1)连接BE,CD相交于H,如图1,∵△ABD和△ACE都是等腰直角三角形,∴AB=AD,AC=AE,∠BAD=∠CAE=90°∴∠CAD=∠BAE,∴△ACD≌△AEB(SAS),∴CD=BE,∠ADC=∠ABE,∴∠BDC+∠DBH=∠BDC+∠ABD+∠ABE=∠BDC+∠ABD+∠ADC=∠ADB+∠ABD=90°,∴∠BHD=90°,∴CD⊥BE,∵点M,G分别是BD,BC的中点,∴MG∥CD且MG=12CD,同理:NG∥BE且NG=12 BE,∴MG=NG,MG⊥NG,(2)连接CD,BE,相交于H,如图2,同(1)的方法得,MG=NG,MG⊥NG;(3)连接EB,DC并延长相交于点H,如图3.同(1)的方法得,MG=NG,同(1)的方法得,△ABE≌△ADC,∴∠AEB=∠ACD,∴∠CEH+∠ECH=∠AEH﹣∠AEC+180°﹣∠ACD﹣∠ACE=∠ACD﹣45°+180°﹣∠ACD﹣45°=90°,∴∠DHE=90°,同(1)的方法得,MG⊥NG.∴△GMN是等腰直角三角形.点睛:此题是三角形综合题,主要考查等腰直角三角形的性质,全等三角形的判定和性质,平行线的判定和性质,三角形的中位线定理,正确作出辅助线用类比的思想解决问题是解本题的关键.13.(2019·山东)(提出问题)(1)如图1,在等边△ABC中,点M是BC上的任意一点(不含端点B、C),连结AM,以AM为边作等边△AMN,连结CN.求证:∠ABC=∠ACN.(类比探究)(2)如图2,在等边△ABC中,点M是BC延长线上的任意一点(不含端点C),其它条件不变,(1)中结论∠ABC=∠ACN还成立吗?请说明理由.(拓展延伸)(3)如图3,在等腰△ABC中,BA=BC,点M是BC上的任意一点(不含端点B、C),连结AM,以AM为边作等腰△AMN,使顶角∠AMN=∠ABC.连结CN.试探究∠ABC与∠ACN的数量关系,并说明理由.【答案】见解析【解析】解:(1)证明:∵△ABC、△AMN是等边三角形,∴AB=AC,AM=AN,∠BAC=∠MAN=60°.∴∠BAM=∠CAN.∵在△BAM和△CAN中,AB AC{BAM CAN? AM AN=∠=∠=,∴△BAM≌△CAN(SAS).∴∠ABC=∠ACN.(2)结论∠ABC=∠ACN仍成立.理由如下:∵△ABC、△AMN是等边三角形,∴AB=AC,AM=AN,∠BAC=∠MAN=60°.∴∠BAM=∠CAN.∵在△BAM和△CAN中,AB AC{BAM CAN? AM AN=∠=∠=,∴△BAM≌△CAN(SAS).∴∠ABC=∠ACN.(3)∠ABC=∠ACN.理由如下:∵BA=BC,MA=MN,顶角∠ABC=∠AMN,∴底角∠BAC=∠MAN.∴△ABC∽△AMN.∴AB ACAM AN=.又∵∠BAM=∠BAC﹣∠MAC,∠CAN=∠MAN﹣∠MAC,∴∠BAM=∠CAN.∴△BAM∽△CAN.∴∠ABC=∠ACN.14.(2019·辽宁中考真题)如图,是具有公共边AB的两个直角三角形,其中,AC=BC,∠ACB=∠ADB=90°.(1)如图1,若延长DA到点E,使AE=BD,连接CD,CE.①求证:CD=CE,CD⊥CE;②求证:AD+BD=2CD;(2)若△ABC与△ABD位置如图2所示,请直接写出线段AD,BD,CD的数量关系.【答案】(1)①证明见解析;②证明见解析;2CD.【解析】(1)证明:①在四边形ADBC中,∠DAC+∠DBC+∠ADB+∠ACB=360°,∵∠ADB+∠ACB=180°,∴∠DAC+∠DBC=180°,∵∠EAC+∠DAC=180°,∴∠DBC=∠EAC,∵BD=AE,BC=AC,∴△BCD≌△ACE(SAS),∴CD=CE,∠BCD=∠ACE,∵∠BCD+∠DCA=90°,∴∠ACE+∠DCA=90°,∴∠DCE=90°,∴CD⊥CE;②∵CD=CE,CD⊥CE,∴△CDE是等腰直角三角形,∴2CD,∵DE=AD+AE,AE=BD,∴DE=AD+BD,∴2;(2)解:2CD;理由:如图2,在AD上截取AE=BD,连接CE,∵AC=BC,∠ACB=90°,∴∠BAC=∠ABC=45°,∵∠ADB=90°,∴∠CBD=90°-∠BAD-∠ABC=90°-∠BAD-45°=45°-∠BAD,∵∠CAE=∠BAC-∠BAD=45°-∠BAD,∴∠CBD=∠CAE,∵BD=AE,BC=AC,∴△CBD≌△CAE(SAS),∴CD=CE,∠BCD=∠ACE,∵∠ACE+∠BCE=∠ACB=90°,∴∠BCD+∠BCE=90°,即∠DCE=90°,∴DE=222CD=2CD,CD CE=2∵DE=AD-AE=AD-BD,∴AD-BD=2CD.【点睛】本题考查了等腰直角三角形的判定和性质,全等三角形的判定和性质,勾股定理,正确的作出辅助线是解题的关键.。
2020中考数学一轮复习基础达标训练题:代数式1(附答案)1.下列运算正确的是( )A .()()3442354ab ab a b -⋅-=B .()223125315x x x ⋅=C .()()3270.1610b b -⋅-=- D .()12101012n n ⎛⎫⨯⨯= ⎪⎝⎭ 2.计算2xy·(-12x²y²z) ·(-333x y )的结果是( ) A .663x y z B .-663x y z C .553x y z D .-553x y z 3.下列各式中正确的是( )A .a 3=|a 3|B .a 3=(﹣a )3C .﹣a 2=|﹣a 2|D .a 2=(﹣a )2 4.下面是小林做的4道作业题:(1)2ab+3ab =5ab ;(2)2ab ﹣3ab =﹣ab ;(3)2ab ﹣3ab =6ab ;(4)2ab÷3ab =23.做对一题得2分,则他共得到( ) A .2分 B .4分 C .6分 D .8分5.a 4÷a 2•a 的结果是( )A .a 7B .a 3C .a 2D .a6.若多项式2x +3y+3的值为8,则多项式6x +9y+8的值为( )A .23B .11C .15D .1 7.计算(-32)2018×(23)2019的结果为( ) A .23 B .32 C .23- D .32- 8.已知单项式143a x y +与232b y x --是同类项,则下列单项式中,与它们是同类项的是( )A .345b x y --B .43b x yC .4a x yD .1a b x y +- 9.下列运算正确的是( )A .2223x 4x 12x ⋅=B .358x x x +=C .43x x x ÷=D .527(x )x = 10.下列各式中,计算正确的是( )A .326a a a =B .325a a a +=C .632a a a ÷=D .326()a a = 11.若单项式 2x 2y m-1与﹣13x n y 3是同类项,则 mn 的值是_______. 12.x 与y 的平方和的倒数,用代数式表示为_____.13.若x 2=-是关于x 的一元二次方程2ax bx 60-+=的一个根,则代数式20182a b --的值为______.14.若a+b =2017,c+d =﹣1,则(a ﹣2c )﹣(2d ﹣b )=_______。
2020年中考数学复习专题练:《二元一次方程组实际应用》1.某超市投入1380元资金购进甲、乙两种矿泉水共50箱,矿泉水的成本价和销售价如表所示:类别类别//单价成本价(元成本价(元//箱)销售价(元销售价(元//箱)甲24 36 乙33 48(1)该超市购进甲、乙两种矿泉水各多少箱?(2)全部售完50箱矿泉水,该超市共获得利润多少元?2.如图,长青化工厂与A 、B 两地有公路、铁路相连.这家工厂从A 地购买一批每吨2000元的原料运回工厂,制成每吨5000元的产品运到B 地,已知公路运价为2元/(吨•千米),铁路运价为1.5元/(吨•千米),且这两次运输共支出公路运输费14000元,铁路运输费87000元.求:(1)该工厂从A 地购买了多少吨原料?制成运往B 地的产品多少吨?(2)这批产品的销售款比原料费与运输费的和多多少元?3.“两果问价”问题出自我国古代算书《四元玉鉴》,原题如下:九百九十九文钱,甜果苦果买一千,甜果九个十一文,苦果七个四文钱,试问甜苦果几个?又问各该几个钱?将题目译成白话文,内容如下:九百九十九文钱买了甜果和苦果共一千个,已知十一文钱可买九个甜果,四文钱可买七个苦果,那么甜果、苦果各买了多少个?买甜果和苦果各需要多少文钱?4.学校订做校服,要求在规定期限内完成.若按服装厂原来生产能力,每天可生产这种校服150套,则在期限内只能完成校服数量的;现服装厂改进设备,每天可生产这种校服200套,则可提前1天完成,且多生产25套,求原规定期限多少天?订做校服数量多少套?5.为建设资源节约型、环境友好型社会,切实做好节能减排工作,某市决定对居民家庭用电实行“阶梯电价”.电力公司规定居民家庭每月用电量在80千瓦时以下(含80千瓦时),11千瓦时俗称1度,实行“基本电价”;当居民家庭月用电量超过80千瓦时,超时),过部分实行“提高电价”.已知小张家2017年2月份用电100千瓦时,上缴电费68元;3月份用电120千瓦时,上缴电费88元.若7月份小张家预计用电130千瓦时,请预算小张家7月份应上缴的电费.6.与经典同行,与好书相伴.近期,我校开展了“图书漂流活动”初年级小主人委员会的同学自愿整理图书.若俩个男生和一个女生共整理160本.一个男生和两个女生共整理170本.(1)男生和女生每人各整理多少本图书?(2)如果小主人委员会有12个男生和8个女生,他们恰好能整理完所有图书,请问这些图书一共有多少本?7.某专卖店有A、B两种商品,已知在打折前,买60件A商品和30件B商品共用了1080元,买50件A商品和10件B商品共用了840元,A、B两种商品打相同折以后,某人买500件A商品和450件B商品一共花了7840元,请你计算A、B商品打了多少折?8.云南民族村位于云南省昆明市西南郊的滇池之畔,是反映和展示云南25个少数民族社会文化风情的窗口.某校为让学生了解家乡,热爱家乡,亲近自然,增强学生集体观念和团体意识,特组织七年级师生春游云南民族村,已知师生共有762人,准备了49座和37座两种客车共18辆,刚好满座,求49座和37座客车各有几辆?9.甲、乙二人都以不变的速度在环形路上跑步,如果同时同地出发,反向而行,每隔2min 相遇一次,如果同时同地出发,同向而行,每隔10min 相遇一次,已知甲比乙跑得快,环形跑道每圈400米,甲、乙二人每分钟各跑多少米?1010.某公司准备组织一批工人到某市参观学习,原计划租用.某公司准备组织一批工人到某市参观学习,原计划租用35座客车若干辆,但有5人没有座位;若租用同样数量的40座客车,则有一辆车空15个座位,且其余客车恰好坐满.已知35座客车租金为180元/辆,辆,4040座客车租金为200元/辆.(1)问这一批工人的人数是多少?原计划租用多少辆35座客车?(2)若租用同一种车,要求是每位工人都有座位,应该怎样租用车才合算?1111..在某体育用品商店,购买3根跳绳和6个毽子共用72元,购买5根跳绳和20个毽子共用160元.(1)跳绳、毽子的单价各是多少元?(2)该店在“五•四”青年节期间开展促销活动,所有商品按同样的折数打折销售.节日期间购买10根跳绳和10个毽子只需180元,该店的商品按原价的几折销售?1212.如表是小丽在某路口统计.如表是小丽在某路口统计20分钟各种车辆通过情况的记录表,其中空格处的字迹已模糊.糊.电瓶车 公交车 货车 小轿车 合计(车流总量)(第一时段)8:5050~~9:00m 86 161 (第二时段)9:0000~~9:107n m n 99合计 30 185 (1)根据表格信息,在表格中填写第一时段电瓶车和货车的数量.(2)在第二时段内,电瓶车和公交车的车辆数之和恰好是第二时段车流总量的一半,且两个时段的电瓶车总数为170辆.①求m ,n 的值.②因为第二时段内车流总量较多,造成了交通拥堵现象,据估计,该时段内,每增加1辆公交车,可减少8辆小轿车和5辆电瓶年,若要使得第二时段和第一时段的车流总量最接近,则应增加几辆公交车?1313..5G 网络,是最新一代蜂窝移动通信技术,其数据传输速率远高于以前的蜂窝网络,最高可达10Gbit /s ,比4G 快100倍.倍.55G 手机也成为生活、工作不可缺少的移动设备,某电商公司销售两种5G 手机,已知售出5部A 型手机,3部B 型手机的销售额为51000元;售出3部A 型手机,型手机,22部B 型手机的销售额为31500元. (1)求A 型手机和B 型手机的售价分别是多少元;(2)该电商公司在3月实行“满减促销”活动,活动方案为:单部手机满3000元减500元,满5000元减1500元(每部手机只能参加最高满减活动),结果3月A 型手机的销量是B 型手机的,4月该电商公司加大促销活动力度,每部A 型手机按照3月满减后的售价再降a %,销量比3月增加2a %;每部B 型手机按照满减后的售价再降a %,销量比3月销量增加a %,结果4月的销售总额比3月的销售总额多a %,求a 的值.1414.江海化工厂计划生产甲、乙两种季节性产品,在春季中,甲种产品售价.江海化工厂计划生产甲、乙两种季节性产品,在春季中,甲种产品售价5万元万元//件,乙种产品售价3万元万元//件,生产这两种产品需要A 、B 两种原料,生产甲产品需要A 种原料4吨/件,B 种原料2吨/件,生产乙产品需要A 种原料3吨/件,B 种原料1吨/件,每个季节该厂能获得A 种原料120吨,B 种原料50吨.(1)如何安排生产,才能恰好使两种原料全部用完?此时总产值是多少万元?(2)在夏季中甲种产品售价上涨10%10%,而乙种产品下降,而乙种产品下降10%10%,要求甲种产品比乙种产品,要求甲种产品比乙种产品多生产15件,如何安排甲、乙两种产品,使总产值是131.7万元.1515..为了改善寄宿制学校学生的居住条件,为了改善寄宿制学校学生的居住条件,某市财政局准备给部分学校加装空调.某市财政局准备给部分学校加装空调.某市财政局准备给部分学校加装空调.经市场调经市场调研发现:购买1台A 种型号的空调和2台B 种型导的空调共需资金6400元;购买2台A 型空调和3台B 型空调共需资金10600元.(1)求A ,B 两种型号的空调单价各是多少元;(2)现计划购进A ,B 两种型号的空调共200台,其中A 型空调为m (m ≤7575)台,并且)台,并且要求公司15日内(含15日)完成安装调试.公司承诺:若A 型空调不大于75台,则A 型空调一定能保证15天内完成安装与调试,同时B 型空调每天可以完成10台的安装与调试;价格方面,当购买A 型空调不少于60台时,公司给予A 型空调7折优惠;当购买B 型空调大于140台时,公司给予B 型空调8折优惠.若既能保证如期完成安装调试又能使花费资金少,应购买A ,B 两种型号的空调各多少台?1616..位于红星路济宁师专旧址的济宁学院附中红星校区将于近期开始动工,原计划在年内拆除旧校舍与建造新校舍共12万平方米,万平方米,为建设一座园林式的校园,为建设一座园林式的校园,为建设一座园林式的校园,在实施中调整拆建计在实施中调整拆建计划,新建面积减少10%10%,拆除面积增加,拆除面积增加10%10%,结果拆除和新建总面积不变.根据协议,施,结果拆除和新建总面积不变.根据协议,施工方免费拆除旧校舍,但建造新校舍每平米需要1500元,校园环境建设每平方米需要600元.(1)求原计划拆、建的面积各多少平方米?(2)若把实际的拆、建工程中节余的资金的30%30%用来增加校园环境建设,可建设多少平用来增加校园环境建设,可建设多少平方米?1717.某体育用品商店一共购进.某体育用品商店一共购进20个篮球和排球,进价和售价如下表所示,全部销售完后共获得利润260元;(1)列方程组求解:商店购进篮球和排球各多少个?(2)销售6个排球的利润与销售几个篮球的利润相等?篮球 排球 进价(元进价(元//个)80 50 售价(元售价(元//个)95 601818.学校书法兴趣小组准备到文具店购买.学校书法兴趣小组准备到文具店购买A ,B 两种类型的毛笔,文具店的销售方法是:一次性购买A 型毛笔不超过20支时,按零售价销售;超过20支时,超过部分每支比零售价低0.4元,其余部分仍按零售价销售.一次性购买B 型毛笔都按零售价销售.(1)如果一个小组共有10名同学,若每人各买1支A 型毛笔和1支B 型毛笔,共支付50元;若每人各买2支A 型毛笔和1支B 型毛笔,共支付70元.这家文具店的A ,B 两种类型毛笔的零售价各是多少?(2)为了促销,该文具店对A 型毛笔除了原来的销售方法外,同时又推出了一种新的销售方法:无论购买多少支,一律按原零售价(即(售方法:无论购买多少支,一律按原零售价(即(11)中所求得的A 型毛笔的零售价)的90%90%出售.现要一次性购买出售.现要一次性购买A 型毛笔a 支,在新的销售方法和原来的销售方法中,应选择哪种方法购买花钱较少?并说明理由.1919.某校七、八年级师生开展“一日游”活动,已知七年级师生共.某校七、八年级师生开展“一日游”活动,已知七年级师生共300人,八年级师生共220人.(1)已知七年级教师比八年级教师多6人,七年级学生比八年级学生多37%37%,求七年级,求七年级教师与学生各有多少人;(2)参现某景点时、需要乘船游玩,现有A 、B 两种型号的游船,A 型船的座位数是B 型船的1.5倍,若七年级师生全部乘坐A 型船若干艘,刚好坐满,八年级全部乘坐B 型船,要比七年级乘坐的A 型船多一艘且空20个座位,问:①A 、B 两种游船每艘分别有多少个座位;②若两个年级的师生联合租船,且每艘游船恰好全部坐满,请写出所有的租船方案.2020..(1)某校组织初一年级师生共720人出去春游,学校打算租用旅游公司的大巴车接送,现有甲、乙、丙三种车型供选择,每辆车的运载能力和运费如下表所示:(假设每辆车满载)车型甲 乙 丙 汽车运载量(人汽车运载量(人//辆)30 48 60 汽车运费(元汽车运费(元//辆) 400 500 600(1)若只租用甲、乙两种车型来接送,需运费8200元,问分别需甲、乙两种车型各几辆?(2)为了节省运费,学校打算用甲、乙、丙三种车型同时参与接送,已知它们的总辆为14辆,你能分别求出三种车型的辆数吗?此时的运费又是多少元?参考答案 1.解:(.解:(11)设该超市购进甲种矿泉水x 箱,乙种矿泉水y 箱, 依题意,得:,解得:. 答:该超市购进甲种矿泉水30箱,乙种矿泉水20箱.(2)()(363636﹣﹣2424)×)×)×30+30+30+((4848﹣﹣3333)×)×)×202020==660660(元).(元).答:全部售完50箱矿泉水,该超市共获得利润660元. 2.解:(.解:(11)设该工厂从A 地购买了x 吨原料,制成运往B 地的产品y 吨, 依题意,得:,解得:. 答:该工厂从A 地购买了300吨原料,制成运往B 地的产品200吨.(2)50005000××200200﹣﹣20002000××300300﹣﹣1400014000﹣﹣8700087000==299000299000(元).(元). 答:这批产品的销售款比原料费与运输费的和多299000元.3.解:设甜果买了x 个,苦果买了y 个,依题意,得:,解得:, ∴x =803803,,y =196196.. 答:甜果买了657个,需要803文钱;苦果买了343个,需要196文钱.4.解:设原规定期限为x 天,订做校服数量为y 套,依题意,得:,解得:.答:原规定期限为18天,订做校服数量为3375套.5.解:设“基本电价”为x 元/千瓦时,“提高电价”为y 元/千瓦时,依题意,得:,解得:, 8080××0.6+0.6+((130130﹣﹣8080)×)×)×11=9898(元).(元).答:预计小张家7月份应上缴的电费98元. 6.解:(.解:(11)设男生每人整理x 本图书,女生每人整理y 本图书,依题意,得:,解得:. 答:男生每人整理50本图书,女生每人整理60本图书.(2)1212××50+850+8××6060==10801080(本).(本).答:这些图书一共有1080本. 7.解:设打折前A 商品的单价为x 元/件,B 商品的单价为y 元/件,依题意,得:,解得:, 1616××500+4500+4××450450==98009800(元),(元),=0.80.8..答:A 、B 商品打了八折.8.解:设49座客车有x 辆,辆,3737座客车有y 辆,依题意,得:,解得:. 答:答:4949座客车有8辆,辆,3737座客车有10辆.9.解:设甲每分钟跑x 米,乙每分钟跑y 米,依题意,得:,解得:. 答:甲每分钟跑120米,乙每分钟跑80米.1010.解:(.解:(.解:(11)设这一批工人的人数是x 人,原计划租用y 辆35座客车,依题意,得:,解得:.答:这一批工人的人数是145人,原计划租用4辆35座客车.(2)租用35座客车的要5辆车,费用为:辆车,费用为:180180180××5=900900(元);(元);租用40座客车的要4辆车,费用为:辆车,费用为:200200200××4=800800(元).(元).∵900900>>800800,,∴选择租用40座客车的才合算.1111.解:(.解:(.解:(11)设跳绳的单价为x 元,毽子的单价为y 元,依题意,得:,解得:.答:跳绳的单价为16元,毽子的单价为4元.(2)设该店的商品按原价的m 折销售, 依题意,得:(依题意,得:(161616××10+410+4××1010)×)×=180180,,解得:m =9.答:该店的商品按原价的9折销售.1212..解:(1)根据表格信息得,第一时段电瓶车和货车的数量分别为:(45+n ﹣m )辆,(30﹣n )辆;故答案为:故答案为:45+45+n ﹣m ,3030﹣﹣n ;(2)①根据题意得,,解得:;②设应增加x 辆公交车,根据题意得,根据题意得,77×1616﹣﹣5x +3+x +16+99+16+99﹣﹣8x =161161,,解得:x =5,答:要使得第二时段和第一时段的车流总量最接近,则应增加6辆公交车.1313.解:(.解:(.解:(11)设每部A 型号手机的售价为x 元,每部B 型号手机的售价为y 元. 由题意,得,解得:,答:A 型手机和B 型手机的售价分别是7500元和4500元; (2)设3月B 型手机的销量是m 部,则A 型手机的销量是m 部,根据题意得,根据题意得,[[(75007500﹣﹣15001500)×()×()×(11﹣a %)][m (1+2a %)]+[]+[((45004500﹣﹣500500)×()×()×(11﹣a %)][m •(1+a %)]=[m (75007500﹣﹣15001500))+m (45004500﹣﹣500500))](1+a %),解得:a =30或a =0(不合题意舍去),答:a 的值为3030..1414.解:(.解:(.解:(11)设应安排生产x 件甲种产品,y 件乙种产品,依题意,得:, 解得:, 所以所以 5 5x +3y =135135..答:答:应安排生产应安排生产15件甲种产品,件甲种产品,2020件乙种产品,件乙种产品,才能恰好使两种原料全部用完,才能恰好使两种原料全部用完,才能恰好使两种原料全部用完,此时总此时总产值是135万元.(2)设生产乙种产品m 件,则生产甲种产品(m +15+15)件,)件,依题意,得:依题意,得:55×(×(1+10%1+10%1+10%)()(m +15+15))+3+3×(×(×(11﹣10%10%))m =131.7131.7,,解得:m =6,∴m +15+15==2121(件).(件).答:生产乙种产品6件,则生产甲种产品21件,使总产值是131.7万元.1515.解:(.解:(.解:(11)设购买A 型号的空调单价是x 元,购买B 型号的空调单价是y 元, 根据题意得:,解得:. 答:购买1台A 型空调单价需要2000元,购买1台B 型空调单价需要2200元.(2)根据题意得:A 型空调为m (m ≤7575)台,)台,B 型空调为(型空调为(200200200﹣﹣m )台,≤1515,,m ≥5050,,当5050≤≤m <60时,购买空调总资金w 1=2000m +2200+2200((200200﹣﹣m )×)×0.80.80.8==240m +352000+352000,, ∵240240>>0,∴w 1随m 的增大而增大,∴当m =50时,最少资金为364000元;当6060≤≤m ≤75时,购买空调总资金w 2=20002000××0.7m +2200+2200((200200﹣﹣m )=﹣)=﹣800800m +440000+440000,, ∵﹣∵﹣800800800<<0,∴w 2随m 的增大而减小,∴当m =75时,最少资金为380000元;∵364000364000<<380000380000,,∴当m =50时,购买资金最小,且能保证如期完成安装调试,此时应购买A 种型号的空调是50台,B 种型号的空调150台. 1616.解:(.解:(.解:(11)设原计划拆的面积是x 平方米,建的面积是y 平方米,依题意有,解得. 故原计划拆的面积是60000平方米,建的面积是60000平方米;(2)设在实际的拆、建工程中节余的资金的30%30%用来建设用来建设m 平方米,依题意有600m =15001500××6000060000××10%10%××30%30%,,解得m =45004500..故可建设4500平方米. 1717.解:(.解:(.解:(11)设购进篮球x 个,购进排球y 个,由题意得,,解得:. 答:购进篮球12个,购进排球8个.(2)由表格可得,销售一个篮球利润为15元,销售一个排球利润为10元, 则销售6个排球的利润为:个排球的利润为:6060元,6060÷÷1515==4(个),答:销售6个排球的利润与销售4个篮球的利润相等;1818.解:(.解:(.解:(11)设这家文具店的A 型毛笔零售价为每支x 元,B 型毛笔的零售价为每支y 元,由题意得:,解得:,答:这家文具店A 型毛笔的零售价为每支2元,B 型毛笔的零售价为每支3元;(2)如果按原来的销售方法购买a 支A 型毛笔共需m 元则m =2020××2+2+((a ﹣2020)×()×()×(22﹣0.40.4)=)=)=1.61.6a +8+8,,如果按新的销售方法购买a 支A 型毛笔共需n 元.则n =a ×2×90%90%==1.8a ,于是n ﹣m =1.8a ﹣(﹣(1.61.6a +8+8)=)=)=0.20.2a ﹣8,①当a ≤20时,显然按新的销售方法购买花钱少;②∵②∵202020<<a <4040,,∴0.2a <8,∴n ﹣m <0,∴当2020<<a <40时,按新的销售方法购买花钱少;③∵a =4040,,∴n ﹣m =0,∴当a =40时,两种销售方法购买花钱一样多;④∵a >4040,,∴0.2a >8,∴n ﹣m >0,∴当a >40时,按原来的销售方法购买花钱少.1919.解:(.解:(.解:(11)设八年级教师有x 人,学生有y 人,依题意,得:,解得:, ∴x +6+6==2626,(,(,(1+37%1+37%1+37%))y =274274..答:七年级教师有26人,学生有274人.(2)①设B 型船每艘有m 个座位,则A 型船每艘有1.5m 个座位,依题意,得:﹣=1, 解得:m =4040,,经检验,m =40是原分式方程的解,且符合题意,∴1.5m =6060..答:A 型船每艘有60个座位,B 型船每艘有40个座位.②设需租用A 型船a 艘,租用B 型船b 艘,依题意,得:依题意,得:6060a +40b =300+220300+220,, ∴b =1313﹣﹣a .又∵a ,b 均为非负整数,∴,,,,,∴共有5种租船方案,方案1:租用13艘B 型船;方案2:租用2艘A 型船,型船,1010艘B 型船;方案3:租用4艘A 型船,型船,77艘B 型船;方案4:租用6艘A 型船,型船,44艘B 型船;方案5:租用8艘A 型船,型船,11艘B 型船.2020.解:(.解:(.解:(11)设需要甲种车型x 辆,乙种车型y 辆,根据题意得:,解得:.答:需要甲种车型8辆,乙种车型10辆.(2)设需要甲种车型m 辆,乙种车型n 辆,则需要丙种车型(辆,则需要丙种车型(141414﹣﹣m ﹣n )辆, 根据题意得:根据题意得:3030m +48n +60+60((1414﹣﹣m ﹣n )=)=720720720,,∴m =4﹣n .∵m 、n 为正整数,∴当n =5时,m =2,1414﹣﹣m ﹣n =7,此时运费为400400××2+5002+500××5+6005+600××7=75007500(元);(元);当n =10时,m =0,不合题意舍去.答:安排的三种车型的辆数为甲种车型2辆,乙种车型5辆,丙种车型7辆,此时的运费是7500元.。
正多边形与圆及圆中有关计算一、学习目标1.了解正多边形的概念及正多边形与圆的关系,并会进行有关计算;2.会用弧长公式、扇形面积公式、圆锥侧面积公式计算有关问题;3.体会方程思想和转化思想.二、题型训练题型一、正多边形与圆【例题1】如图,等边△ABC和正方形ADEF都内接于⊙O,则AD:AB=()A.22∶3B.2∶3C.23∶2D.3∶2【例题2】如图,在边长为2cm的正六边形ABCDEF中,点P在BC上,则△PEF的面积为cm2.【例题3】如图,A、B、C、D、E是⊙O上的5等分点,连接AC、CE、EB、BD、DA,得到一个五角星图形和五边形MNFGH.(1)计算∠CAD的度数;(2)连接AE,证明:AE=ME;(3)求证:ME2=BM·BE.【题小结】转化思想,正多边形转化为等腰三角形或直角三角形、三角形面积的转化、相等的线段之间的转化.借题发挥:1.10个大小相同的正六边形按如图所示方式紧密排列在同一平面内,A、B、C、D、E、O均是正六边形的顶点.则点O是下列哪个三角形的外心()A.△AED B.△ABD C.△BCD D.△ACD2.如图,工人师傅用扳手拧形状为正六边形的螺帽,现测得扳手的开口宽度b=3cm,则螺帽边长a=cm.借题发挥1借题发挥2ab借题发挥3例题3例题1例题23.如图,A 、B 、C 、D 为一个正多边形的顶点,O 为正多边形的中心,若∠ADB =18°,则这个正多边形的边数为 . 题型二、圆中与弧长、面积有关的计算 【例题4】如图,六边形ABCDEF 是正六边形,曲线F A 1B 1C 1D 1E 1F 1…叫做“正六边形的渐开线”,⌒FA 1,⌒A 1B 1,⌒B 1C 1,⌒C 1D 1,⌒D 1E 1,⌒E 1F 1,…的圆心依次按A ,B ,C ,D ,E ,F 循环,且每段弧所对的圆心角均为正六边形的一个外角.当AB =1时,曲线F A 1B 1C 1D 1E 1F 1的长度是 .【例题5】在△ABC 中,已知∠ABC =90°,∠BAC =30°,BC =1.如图所示,将△ABC 绕点A 按逆时针方向旋转90°后得到△AB ′C ′.则图中阴影部分面积为( )A .π4B .π-32C .π-34D .3π2【题小结】弄清旋转的本质,把不规则图形的面积转化为规则图形的面积.借题发挥:1.如图,半径为10的扇形AOB 中,∠AOB =90°,C 为⌒AB 上一点,CD ⊥OA ,CE ⊥OB ,垂足分别为D 、E .若∠CDE 为36°,则图中阴影部分的面积为( )A .10πB .9πC .8πD .6π 2.若一个扇形的圆心角为60°,面积为π6cm 2,则这个扇形的弧长为 cm (结果保留π). 3.如图,AB 是⊙O 的弦,C 是⊙O 外一点,OC ⊥OA ,CO 交AB 于点P ,交⊙O 于点D ,且CP =CB .(1)判断直线BC 与⊙O 的位置关系,并说明理由;(2)若∠A =30°,OP =1,求图中阴影部分的面积.题型三、与圆锥有关的计算【例题6】已知圆锥的底面半径为1cm ,高为3cm ,则它的侧面展开图的面积为= cm 2.【例题7】已知圆锥的底面圆的半径是2.5,母线长是9,其侧面展开图的圆心角是 度.【题小结】转化及方程思想:立体图形与平面图形的相互转化,由圆锥有关的公式列出方程解决问题. 借题发挥: 例题4 借题发挥1 例题5 借题发挥3A B C'C B'。
知识像烛光,能照亮一个人,也能照亮无数的人。
--培根中考数学专题综合应用题——方程+不等式+函数模型1.为落实“绿水青山就是金山银山”的发展理念,某市政府部门招标一工程队负责在山下修建一座水库的土方施工任务.该工程队有A,B 两种型号的挖掘机,已知3 台A 型和5 台B 型挖掘机同时施工一小时挖土165 立方米;4 台A 型和7 台B 型挖掘机同时施工一小时挖土225 立方米.每台A 型挖掘机一小时的施工费用为300 元,每台B 型挖掘机一小时的施工费用为180 元.(1)分别求每台A 型,B 型挖掘机一小时挖土多少立方米?(2)若不同数量的A型和B 型挖掘机共12 台同时施工4 小时,至少完成1080 立方米的挖土量,且总费用不超过12 960 元.问施工时有哪几种调配方案,并指出哪种调配方案的施工费用最低,最低费用是多少元?2.快递公司为提高快递分拣的速度,决定购买机器人代替人工分拣.已知购买甲型机器人1 台,乙型机器人2 台,共需14 万元;购买甲型机器人2 台,乙型机器人3 台,共需24 万元.(1)求甲、乙两种型号的机器人每台的价格各是多少万元;(2)已知甲型和乙型机器人每台每小时分拣快递分别是1 200 件和1 000 件,该公司计划购买这两种型号的机器人共8 台,总费用不超过41 万元,并且使这8 台机器人每小时分拣快递件数总和不少于8 300 件,则该公司有哪几种购买方案?哪个方案费用最低,最低费用是多少万元?3.文美书店决定用不多于20 000 元购进甲、乙两种图书共1 200 本进行销售.甲、乙两种图书的进价分别为每本20 元、14 元,甲种图书每本的售价是乙种图书每本售价的1.4 倍,若用1 680 元在文美书店可购买甲种图书的本数比用1 400 元购买乙种图书的本数少10 本.(1)甲、乙两种图书的售价分别为每本多少元?(2)书店为了让利读者,决定甲种图书售价每本降低3 元,乙种图书售价每本降低2 元,问书店应如何进货才能获得最大利润?(购进的两种图书全部销售完)4.某网店销售甲、乙两种羽毛球,已知甲种羽毛球每筒的售价比乙种羽毛球多15元,王老师从该网店购买了2 筒甲种羽毛球和3 筒乙种羽毛球,其花费255 元.(1)该网店甲、乙两种羽毛球每筒的售价各是多少元?(2)根据消费者需求,该网店决定用不超过8 780 元购进甲、乙两种羽毛球共200 筒,且甲种羽毛球的数量大于乙种羽毛球数量的35,已知甲种羽毛球每筒的进价为50 元,乙种羽毛球每筒的进价为40 元.①若设购进甲种羽毛球m 筒,则该网店有哪几种进货方案?②若所购进羽毛球均可全部售出,请求出网店所获利润W(元)与甲种羽毛球进货量m(筒)之间的函数关系式,并说明当m 为何值时所获利润最大?最大利润是多少?5.经过一年多的精准帮扶,小明家的网络商店(简称网店)将红枣、小米等优质特产迅速销往全国.小明家网店中红枣和小米这两种商品的相关信息如下表:根据上表提供的信息,解答下列问题:(1)已知今年前五个月,小明家网店销售上表中规格的红枣和小米共3000 kg,获得利润4.2 万元,求这前五个月小明家网店销售这种规格的红枣多少袋;(2)根据之前的销售情况,估计今年6 月到10 月这后五个月,小明家网店还能销售上表中规格的红枣和小米共2 000 kg,其中,这种规格的红枣的销,销售这种售量不低于600 kg.假设这后五个月,销售这种规格的红枣为x(kg)规格的红枣和小米获得的总利润为y(元),求出y 与x 之间的函数关系式,并求这后五个月,小明家网店销售这种规格的红枣和小米至少获得总利润多少元.综合应用题——方程+不等式模型6.“绿水青山就是金山银山”.为保护生态环境,A,B 两村准备各自清理所属区域养鱼网箱和捕鱼网箱,每村参加清理的人数及总开支如下表:(1)若两村清理同类渔具的人均支出费用一样,求清理养鱼网箱和捕鱼网箱的人均支出费用各是多少元;(2)在人均支出费用不变的情况下,为节约开支,两村准备抽调40 人共同清理养鱼网箱和捕鱼网箱,要使总支出不超过102 000 元,且清理养鱼网箱人数小于清理捕鱼网箱人数,则有哪几种分配清理人员方案?7.为提高市民的环保意识,倡导“节能减排,绿色出行”,某市计划在城区投放一批“共享单车”,这批单车分为A,B 两种不同款型,其中A 型车单价400 元,B 型车单价320 元.(1)今年年初,“共享单车”试点投放在某市中心城区正式启动.投放A,B 两种款型的单车共100 辆,总价值36 800 元.试问本次试点投放的A 型车与B 型车各多少辆?(2)试点投放活动得到了广大市民的认可,该市决定将此项公益活动在整个城区全面铺开.按照试点投放中A,B 两车型的数量比进行投放,且投资总价值不低于184 万元.请问城区10 万人口平均每100 人至少享有A 型车与B 型车各多少辆?8.某游泳馆每年夏季推出两种游泳付费方式.方式一:先购买会员证,每张会员证100 元,只限本人当年使用,凭证游泳每次再付费5 元;方式二:不购买会员证,每次游泳付费9 元.设小明计划今年夏季游泳次数为x(x 为正整数).(3)根据题意,填写下表:(4)若小明计划今年夏季游泳的总费用为270 元,选择哪种付费方式,他游泳的次数比较多?(5)当x>20 时,小明选择哪种付费方式更合算?并说明理由.9.小明同学三次到某超市购买A,B 两种商品,其中仅有一次是有折扣的.购买数量及消费金额如下表:解答下列问题:(3)第次购买有折扣;(4)求A,B 两种商品的原价;(5)若购买A,B 两种商品的折扣数相同,求折扣数;(6)小明同学再次购买A,B 两种商品共10 件,在(3)中折扣数的前提下,消费金额不超过200 元,求至少购买A 商品多少件.10.在美丽乡村建设中,某县通过政府投入进行村级道路硬化和道路拓宽改造.(1)原计划今年1 至5 月,村级道路硬化和道路拓宽的里程数共50 千米,其中道路硬化的里程数至少是道路拓宽的里程数的 4 倍,那么,原计划今年1 至5 月,道路硬化的里程数至少是多少千米?(2)到今年5 月底,道路硬化和道路拓宽的里程数刚好按原计划完成,且道路硬化的里程数正好是原计划的最小值.2017 年通过政府投入780 万元进行村级道路硬化和道路拓宽的里程数共45 千米,每千米的道路硬化和道路拓宽的经费之比为1:2,且里程数之比为2:1.为加快美丽乡村建设,政府决定加大投入.经测算:从今年6 月起至年底,如果政府投入经费在2017 年的基础上增加10a%(a>0),并全部用于道路硬化和道路拓宽,而每千米道路硬化、道路拓宽的费用也在2017 年的基础上分别增加a%,5a%,那么道路硬化和道路拓宽的里程数将会在今年1 至5 月的基础上分别增加5a%,8a%,求a 的值.图象类应用题11.某市制米厂接到加工大米任务,要求5 天内加工完220 吨大米,制米厂安排甲、乙两车间共同完成加工任务,乙车间加工中途停工一段时间维修设备,然后改变加工效率继续加工,直到与甲车间同时完成加工任务为止.设甲、乙两车间各自加工大米数量y(吨)与甲车间加工时间x(天)之间的关系如图1 所示;未加工大米w(吨)与甲加工时间x(天)之间的关系如图2 所示,请结合图象回答下列问题:(1)甲车间每天加工大米吨,a= ;(2)求乙车间维修设备后,乙车间加工大米数量y(吨)与x(天)之间函数关系式;(3)若55 吨大米恰好装满一节车厢,那么加工多长时间装满第一节车厢?再加工多长时间恰好装满第二节车厢?12.某班级同学从学校出发去扎龙自然保护区研学旅行,一部分乘坐大客车先出发,余下的几人20 min 后乘坐小轿车沿同一路线出行.大客车中途停车等候,小轿车赶上来之后,大客车以出发时速度的10继续行驶,小轿车保持原速度7不变.小轿车司机因路线不熟错过了景点入口,在驶过景点入口6 km 时,原路提速返回,恰好与大客车同时到达景点入口.两车距学校的路程s(单位:km)和行驶时间t(单位:min)之间的函数关系如图所示:请结合图象解决下面问题:(3)学校到景点的路程为km,大客车途中停留了min,a= ;(4)在小轿车司机驶过景点入口时,大客车离景点入口还有多远?(5)小轿车司机到达景点入口时发现本路段限速80 km/h,请你帮助小轿车司机计算折返时是否超速?(6)若大客车一直以出发时的速度行驶,中途不再停车,那么小轿车折返后到达景点入口,需等待分钟,大客车才能到达景点入口.13.小明从家出发,沿一条直道跑步,经过一段时间原路返回,刚好在第16 min 回到家中.设小明出发第t min 时的速度为v m/min,离家的距离为s m.v 与t 之间的函数关系如图所.示(图中的空心圈表示不包含这一点)(6)小明出发第2 min 时离家的距离为m;(7)当2<t≤5 时,求s 与t 之间的函数表达式;(8)画出s 与t 之间的函数图象.14.某校机器人兴趣小组在如图1 所示的矩形场地上开展训练.机器人从点A 出发,在矩形ABCD 边上沿着A→B→C→D 的方向匀速移动,到达点D 时停止移动.已知机器人的速度为1 个单位长度/s,移动至拐角处调整方向需要1 s(即在B,C 处拐弯时分别用时1 s).设机器人所用时间为t(s)时,其所在位置用点P 表示,P 到对角线BD 的距离(即垂线段PQ 的长)为d 个单位长度,其中d 与t 的函数图象如图2 所示.(7)求AB,BC 的长;(8)如图2,点M,N 分别在线段EF,GH 上,线段MN 平行于横轴,M,N 的横坐标分别为t1,t2,设机器人用了t1(s)到达点P1 处,用了t2(s)到达点P2 .若CP1+CP2=7,求t1,t2 的值.处(见图1)15.随着新农村的建设和旧城的改造,我们的家园越来越美丽,小明家附近广场中央新修了个圆形喷水池,在水池中心竖直安装了一根高为2 米的喷水管,它喷出的抛物线形水柱在与池中心的水平距离为1 米处达到最高,水柱落地处离池中心3 米.(1)请你建立适当的平面直角坐标系,并求出水柱抛物线的函数解析式;(2)求出水柱的最大高度是多少?16.某游乐园有一个直径为16 米的圆形喷水池,喷水池的周边有一圈喷水头,喷出的水柱为抛物线,在距水池中心3 米处达到最高,高度为5 米,且各方向喷出的水柱恰好在喷水池中心的装饰物处汇合.如图所示,以水平方向为x 轴,喷水池中心为原点建立直角坐标系.(1)求水柱所在抛物线(第一象限部分)的函数表达式;(2)王师傅在喷水池内维修设备期间,喷水管意外喷水,为了不被淋湿,身高1.8 米的王师傅站.立.时必须在离水池中心多少米以内?(3)经检修评估,游乐园决定对喷水设施做如下设计改进:在喷出水柱的形状不变的前提下,把水池的直径扩大到32 米,各方向喷出的水柱仍在喷水池中心保留的原装饰物(高度不变)处汇合,请探究扩建改造后喷水池水柱的最大高度.⎩函数类应用题17.我市某乡镇在“精准扶贫”活动中销售一农产品,经分析发现月销售量 y (万⎧x + 4(1≤ x ≤ 8,x 为整数)件)与月份 x (月)的关系为: y = ⎨−x + 20(9 ≤ x ≤12 ,x品的利润 z (元)与月份 x (月)的关系如下表:,每件产 为整数)(1)请你根据表格求出每件产品利润 z (元)与月份 x (月)的关系式; (2)若月利润 w (万元)=当月销售量 y (万件)×当月每件产品的利润 z (元),求月利润 w (万元)与月份 x (月)的关系式;(3)当 x 为何值时,月利润 w 有最大值,最大值为多少?18.为了美化环境,建设宜居成都,我市准备在一个广场上种植甲、乙两种花卉.经市场调查,甲种花卉的种植费用y(元)与种植面积x(m2)之间的函数关系如图所示,乙种花卉的种植费用为每平方米100 元.(1)直接写出当0≤x≤300 和x>300 时,y 与x 的函数关系式;(2)广场上甲、乙两种花卉的种植面积共1 200 m2,若甲种花卉的种植面积不少于200 m2,且不超过乙种花卉种植面积的2 倍,那么应该怎样分配甲、乙两种花卉的种植面积才能使种植总费用最少?最少总费用为多少元?19.某厂按用户的月需求量x(件)完成一种产品的生产,其中x>0.每件的售价为18 万元,每件的成本y(万元)是基础价与浮动价的和,其中基础价保持不变,浮动价与月需求量x(件)成反比.经市场调研发现,月需求量x 与月份n(n 为整数,1≤n≤12)符合关系式x=2n2-2kn+9(k+3)(k 为常数),且得到了表中的数据:(1)求y 与x 满足的关系式,请说明一件产品的利润能否是12 万元;(2)求k,并推断是否存在某个月既无盈利也不亏损;(3)在这一年12 个月中,若第m 个月和第(m+1)个月的利润相差最大,求m.20.某广告公司设计一幅周长为16 米的矩形广告牌,广告设计费为每平方米2 000元,设矩形一边长为x,面积为S 平方米.(1)求S 与x 之间的函数关系式,并写出自变量x 的取值范围;(2)设计费能达到24 000 元吗?为什么?(3)当x 是多少米时,设计费最多?最多是多少元?21.某公司投入研发费用80 万元(80 万元只计入第一年成本),成功研发出一种产品.公司按订单生产(产量=销售量),第一年该产品正式投产后,生产成本为6 元/件.此产品年销售量y(万/件)与售价x(元/件)之间满足函数关系式y=-x+26.(1)求这种产品第一年的利润W1(万/元)与售价x(元/件)满足的函数关系式;(2)该产品第一年的利润为20 万元,那么该产品第一年的售价是多少?(3)第二年,该公司将第一年的利润20 万元(20 万元只计入第二年成本)再次投入研发,使产品的生产成本降为5 元/件.为保持市场占有率,公司规定第二年产品售价不超过第一年的售价,另外受产能限制,销售量无法超过12 万件.请计算该公司第二年的利润W2 至少为多少万元.22.某市计划在十二年内通过公租房建设,解决低收入人群的住房问题.已知前7 年,每年竣工投入使用的公租房面积y(单位:百万平方米)与时间x(第x 年)的关系构成一次函数(1≤x≤7 且x 为整数),且第一和第三年竣工投(1)已知第6 年竣工投入使用的公租房面积可解决20 万人的住房问题,如果人均住房面积,最后一年要比第6 年提高20%,那么最后一年竣工投入使用的公租房面积可解决多少万人的住房问题?(2)受物价上涨等因素的影响,已知这12 年中,每年竣工投入使用的公租房的租金各不相同,且第一年,一年38 元/m2,第二年,一年40 元/m2,第三年,一年42 元/m2,第四年,一年44 元/m2……以此类推.分析说明每平方米的年租金和时间能否构成函数,如果能,直接写出函数解析式;(3)在(2)的条件下,假设每年的公租房当年全部出租完,写出这12 年中每年竣工投入使用的公租房的年租金W 关于时间x 的函数解析式,并求出W 的最大值(单位:亿元).如果在W 取得最大值的这一年,老张租用了58 m2 的房子,计算老张这一年应交付的租金.23.如图,公交车行驶在笔直的公路上,这条路上有A,B,C,D 四个站点,每相邻两站之间的距离为5 千米,从A 站开往D 站的车称为上行车,从D 站开往A 站的车称为下行车.第一班上行车、下行车分别从A 站、D 站同时发车,相向而行,且以后上行车、下行车每隔10 分钟分别在A,D 站同时发一班车,乘客只能到站点上、下车(上、下车的时间忽略不计),上行车、下行车的速度均为30 千米/小时.(1)问第一班上行车到B 站、第一班下行车到C 站分别用时多少?(2)若第一班上行车行驶时间为t 小时,第一班上行车与第一班下行车之间的距离为s 千米,求s 与t 的函数关系式;,刚好遇(3)一乘客前往A 站办事,他在B,C 两站间的P 处(不含B,C 站)到上行车,BP=x 千米,此时,接到通知,必须在35 分钟内赶到,他可选择走到B 站或走到C 站乘下行车前往A 站.若乘客的步行速度是5 千米/ 小时,求x 满足的条件.第一部分参考答案:1、2、3、4、5、第二部分参考答案:1、2、3、4、5、第三部分参考答案:1、2、3、4、5、6、第四部分参考答案:1、2、3、4、5、6、7、。
2020年中考数学复习专题练:《分式方程实际应用》1.在抗击“新冠肺炎”战役中,某公司接到转产生产1440万个医用防护口罩补充防疫一线需要的任务,临时改造了甲、乙两条流水生产线.试产时甲生产线每天的产能(每天的生产的数量)是乙生产线的2倍,各生产80万个,甲比乙少用了2天.(1)求甲、乙两条生产线每天的产能各是多少?(2)若甲、乙两条生产线每天的运行成本分别是1.2万元和0.5万元,要使完成这批任务总运行成本不超过40万元,则至少应安排乙生产线生产多少天?(3)正式开工满负荷生产3天后,通过技术革新,甲生产线的日产能提高了50%,乙生产线的日产能翻了一番.再满负荷生产13天能否完成任务?2.某口罩生产厂在春节期间接到紧急任务,要求几天内生产出70万只口罩,为了战胜疫情,口罩厂工人愿意奉献自己的休息时间来完成这项任务,厂长决定开足全厂口罩生产线进行生产,结果每天比原来多生产3万只,而且提前了3天完成了任务,问原来要求几天完成这项紧急任务?3.在我县创建“生态保护示范县”活动中,某社区计划对面积为3600m2的区域进行绿化,经投标由甲、乙两个工程队来完成,已知甲队每天能完成绿化的面积是乙队每天能完成绿化面积的2倍.如果两队各自独立完成面积为600m2区域的绿化时,甲队比乙队少用6天,求甲,乙两工程队每天各能完成多少面积的绿化?4.九年级(1)班学生周末从学校出发到某实践基地,实践基地距学校150千米,一部分学生乘慢车先行,出发30分钟后,另一部分学生乘快车前往,结果他们同时到达实践基地.已知快车的速度是慢车速度的1.2倍.求慢车与快车的速度各是多少?5.某服装加工厂甲、乙两个车间共同加工一款休闲装,且每人每天加工的件数相同,甲车间比乙车间少10人,甲车间每天加工服装400件,乙车间每天加工服装600件.(1)求甲、乙两车间各有多少人;(2)甲车间更新了设备,平均每人每天加工的件数比原来多了10件,乙车间的加工效率不变,在两个车间总人数不变的情况下,加工厂计划从乙车间调出一部分人到甲车间,使每天两个车间加工的总数不少于1314件,求至少要从乙车间调出多少人到甲车间.6.某公司需要采购A、B两种笔记本,A种笔记本的单价高出B种笔记本的单价10元,并且花费300元购买A种笔记本和花费100元购买B种笔记本的数量相等.(1)求A种笔记本和B种笔记本的单价各是多少元;(2)该公司准备采购A、B两种笔记本共80本,若A种笔记本的数量不少于60本,并且采购A、B两种笔记本的总费用不高于1100元,那么该公司有种购买方案.7.哈市红十字预计在2019年儿童节前为郊区某小学发放学习用品,联系某工厂加工学习用品.机器每小时加工产品的数量比手工每小时加工产品的数量的2倍多9件,若加工1800件这样的产品,机器加工所用的时间是手工加工所用时间的倍.(1)求手工每小时加工产品的数量;(2)经过调查该小学的小学生的总数不超过1332名,每名小学生分发两个学习用品,工厂领导打算在两天内(48小时)完成任务,打算以机器加工为主,同时人工也参与加工(人工与机器加工不能同时进行),为了保证按时完成加工任务,人工至多加工多少小时?8.甲、乙两个筑路队共同承担一段一级路的施工任务,甲队单独施工完成此项任务比乙队单独施工完成此项任务多用15天.且甲队单独施工60天和乙队单独施工40天的工作量相同.(1)甲、乙两队单独完成此项任务各需多少天?(2)若甲、乙两队共同工作了4天后,乙队因设备检修停止施工,由甲队单独继续施工,为了不影响工程进度,甲队的工作效率提高到原来的2倍,要使甲队总的工作量不少于乙队的工作量的2倍,那么甲队至少再单独施工多少天?9.为维护市区的生态环境,政府决定对市区周边水域的水质进行改善,这项工程由甲、乙两个工程队承包,乙工程队单独施工140天后甲工程队加入,甲、乙两个工程队合作40天后,共完成总工程的,且甲工程队每天的施工量是乙工程队的3倍.(1)求甲工程队单独完成这项工程需要多少天?(2)若要求乙工程队施工工期不超过300天,则甲工程队至少要施工多少天?10.某工程队承接一铁路工程,在挖掘一条500米长的隧道时,为了尽快完成,实际施工时每天挖掘的长度是原计划的1.5倍,结果提前了25天完成了其中300米的隧道挖掘任务.(1)求实际每天挖掘多少米?(2)由于气候等原因,需要进一步缩短工期,要求完成整条隧道不超过70天,那么为了完成剩下的任务,在实际每天挖掘长度的基础上,至少每天还应多挖掘多少米?11.节能又环保的油电混合动力汽车,既可以用油做动力行驶,也可以用电做动力行驶.比亚迪油电混合动力汽车从甲地行驶到乙地,若完全用油做动力行驶,则费用为96元;若完全用电做动力行驶,则费用为36元.已知汽车行驶中每千米用油费用比用电费用多0.5元.(1)求:汽车行驶中每千米用电费用是多少元?甲乙两地的距离是多少千米?(2)若汽车从甲地到乙地采用油电混合动力行驶,且所需费用不超过50元,则至少需要用电行驶多少千米?12.某商店用1000元人民币购进水果销售,过了一段时间又用2800元购进这种水果,所购数量是第一次购进数量的2倍,但每千克的价格比第一次购进的贵了2元.(1)求该商店第一次购进水果多少千克?(2)该商店两次购进的水果按照相同的标价销售一段时间后,将最后剩下的100千克按照标价的半价出售.售完全部水果后,利润不低于1700元,则最初每千克水果的标价至少是多少?13.某校为美化校园,计划对面积为1100m2的区域进行绿化,安排甲、乙两个工程队完成.已知甲队每天能完成绿化的面积是乙队每天能完成绿化的面积的2倍,并且在独立完成面积为200m2区域的绿化时,甲队比乙队少用4天.(1)求甲、乙两工程队每天能完成绿化的面积分别是多少m2?(2)若学校每天需付给甲队的绿化费用为0.35万元,乙队为0.25万元,要使这次的绿化总费用不超过8万元,至少应安排甲队工作多少天?14.某体育用品商场预测某品牌运动服能够畅销,用32000元购进了一批这种运动服,上市后很快脱销,商场又用68000元购进第二批这种运动服,所购数量是第一批购进数量的2倍,但每套进价多了10元.(1)该商场第一次购进这种运动服多少套?(2)如果这两批运动服每套的售价相同,且全部售完后总利润率不低于20%,那么每套售价至少是多少元?(利润率=×100%.)15.某周日,珂铭和小雪从新天地小区门口同时出发,沿同一条路线去离该小区1800米的少年宫参加活动,为响应节能环保,绿色出行的号召,两人步行,已知珂铭的速度是小雪的速度的1.2倍,结果珂铭比小雪早6分钟到达.(1)求小雪的速度;(2)活动结東后返回,珂铭与小雪的速度均与原来相同,若小雪计划比珂铭至少提前6分钟回到小区,则小雪至少要比珂铭提前多长时间出发?16.一项工程,甲队单独完成比乙队单独完成少用8天,甲队单独做3天的工作乙队单独做需要5天.(1)甲、乙两队单独完成此项工程各需几天?(2)甲队每施工一天则需付给甲队工程款5.5万元,乙队每施工一天则需付给乙队工程款3万元.该工程先由甲、乙两队合作若干天后,再由乙队完成剩下的工程.若要求完成此项工程的工程款不超过65万元,则甲、乙两队最多合作多少天?17.八(1)班为了配合学校体育文化月活动的开展,同学们从捐助的班费中拿出一部分钱来购买羽毛球拍和跳绳.已知购买一副羽毛球拍比购买一根跳绳多20元.若用200元购买羽毛球拍和用80元购买跳绳,则购买羽毛球拍的副数是购买跳绳根数的一半.(1)求购买一副羽毛球拍、一根跳绳各需多少元?(2)双11期间,商店老板给予优惠,购买一副羽毛球拍赠送一根跳绳,如果八(1)班需要的跳绳根数比羽毛球拍的副数的2倍还多10,且该班购买羽毛球拍和跳绳的总费用不超过350元,那么八(1)班最多可购买多少副羽毛球拍?18.国庆70华诞期间,各超市购物市民络绎不绝,呈现浓浓节日气氛.“百姓超市”用320元购进一批葡萄,上市后很快脱销,该超市又用680元购进第二批葡萄,所购数量是第一批购进数量的2倍,但进价每市斤多了0.2元.(1)该超市第一批购进这种葡萄多少市斤?(2)如果这两次购进的葡萄售价相同,且全部售完后总利润不低于20%,那么每市斤葡萄的售价应该至少定为多少元?19.在开任公路改建工程中,某工程段将由甲,乙两个工程队共同施工完成,据调查得知,甲,乙两队单独完成这项工程所需天数之比为2:3,若先由甲,乙两队合作30天,剩下的工程再由乙队做15天完成.(1)求甲、乙两队单独完成这项工程各需多少天?(2)此项工程由两队合作施工,甲队共做了m天,乙队共做了n天完成.已知甲队每天的施工费为15万元,乙队每天的施工费用为8万元,若工程预算的总费用不超过840万元,甲队工作的天数与乙队工作的天数之和不超过80天,请问甲、乙两队各工作多少天,完成此项工程总费用最少?最少费用是多少?20.某学校计划选购A、B两种图书.已知A种图书每本价格是B种图书每本价格的2.5倍,用1200元单独购买A种图书比用1500元单独购买B种图书要少25本.(1)A、B两种图书每本价格分别为多少元?(2)如果该学校计划购买B种图书的本数比购买A种图书本数的2倍多8本,且用于购买A、B两种图书的总经费不超过1164元,那么该学校最多可以购买多少本B种图书?参考答案1.解:(1)设乙条生产线每天的产能是x万个,则甲条生产线每天的产能是2x万个,依题意有﹣=2,解得x=20,经检验,x=20是原方程的解,2x=2×20=40,故甲条生产线每天的产能是40万个,乙条生产线每天的产能是20万个;(2)设安排乙生产线生产y天,依题意有0.5y+1.2×≤40,解得y≥32.故至少应安排乙生产线生产32天;(3)(40+20)×3+[40×(1+50%)+20×2]×13=180+1300=1480(万个),1440万个<1480万个,故再满负荷生产13天能完成任务.2.解:设原来每天生产x万只口罩,则实际每天生产(x+3)万只口罩,依题意,得:﹣=3,解得:x=7,经检验,x=7是原分式方程的解,且符合题意,∴==10.答:原来要求10天完成这项紧急任务.3.解:设乙工程队每天能完成xm2的绿化,则甲工程队每天能完成2xm2的绿化,依题意,得:﹣=6,解得:x=50,经检验,x=50是原方程的解,且符合题意,∴2x=100.答:甲工程队每天能完成100m2的绿化,乙工程队每天能完成50m2的绿化.4.解:设慢车与快车的速是xkm/h,则快车的速度是1.2xkm/h,根据题意得﹣=,解得:x=50,检验:经检验x=50是原方程的根,答:慢车速度为50千米/小时,快车速度为60千米/小时.5.解:(1)设甲车间有x人,乙车间有(x+10)人,则:,解得:x=20,经检验:x=20是原分式方程的解.答:甲车间有20人,乙车间有30人.(2)设从乙车间调a人到甲车间;则:,解得:a≥11.4.因为a为正整数,所以a的最小值为12.答:从乙车间至少调12人到甲车间.6.解:(1)设A种笔记本的单价是x元,则B种笔记本的单价是(x﹣10)元,根据题意得,=,解得:x=15,经检验:x=15是原方程的根,∴x﹣10=5,答:A种笔记本和B种笔记本的单价各是15元和5元;(2)设该公司准备采购A种笔记本a本,采购B种笔记本(80﹣a)本,根据题意得,15a+5(80﹣a)≤1100,解得:a≤70,∵A种笔记本的数量不少于60本,∴60≤a≤70,(a为正整数),∴该公司有11种购买方案.故答案为:11.7.解:(1)设手工每小时加工产品x件,则机器每小时加工产品(2x+9)件,根据题意,得:×=,解得x=27,经检验:x=27是原分式方程的解,答:手工每小时加工产品27件;(2)设人工要加工a小时,根据题意,得:27a+(2×27+9)(48﹣a)≥2×1332,解得a≤10,答:人工至多加工10小时.8.解:(1)设乙队单独完成此项任务需x天,则甲队单独完成此项任务需(x+15)天根据题意得经检验x=30是原方程的解,则x+15=45(天)答:甲队单独完成此项任务需45天,乙队单独完成此项任务需30天.(2)解:设甲队再单独施工y天,依题意,得,解得y≥4.答:甲队至少再单独施工4天.9.解:(1)设甲工程队单独完成这项工程需要x天,则甲每天的施工量为,乙每天的施工量为,由题意得140×+40(+)=∴+=∴x=200经检验x=200是原方程的解,且符合问题的实际意义.答:甲工程队单独完成这项工程需要200天.(2)由(1)可知,乙工程队单独完成这项工程需要3×200=600天设甲工程队至少要施工y天,由题意得≤300∴y≥199答:甲工程队至少要施工199天.10.解:(1)设原计划每天挖掘x米,则实际每天挖掘1.5x米,根据题意得:﹣=25,解得x=4.经检验,x=4是原分式方程的解,且符合题意,则1.5x=6答:实际每天挖掘6米.(2)设每天还应多挖掘y米,由题意,得(70﹣)(6+y)≥500﹣300,解得y≥4.答:每天还应多挖掘4米.11.解:(1)设汽车行驶中每千米用电费用是x元,则每千米用油费用为(x+0.5)元,可得:=,解得:x=0.3,经检验x=0.3是原方程的解,∴汽车行驶中每千米用电费用是0.3元,甲、乙两地的距离是36÷0.3=120(千米);(2)汽车行驶中每千米用油费用为0.3+0.5=0.8(元),设汽车用电行驶ykm,可得:0.3y+0.8(120﹣y)≤50,解得:y≥92,所以至少需要用电行驶92千米.12.解:(1)设第一次购进水果x千克,依题意可列方程:.解得x=200.经检验:x=200是原方程的解.答:第一次购进水果200千克;(2)由(1)可知,二次共购进水果600千克,设最初水果标价为y元,依题意可列不等式:500y+100×﹣3800≥1700.解得y≥10.答:最初每千克水果标价至少为10元.13.解:(1)设乙工程队每天能完成绿化的面积是x(m2),根据题意得:﹣=4,解得:x=25,经检验x=25是原方程的解,则甲工程队每天能完成绿化的面积是25×2=50(m2),答:甲、乙两工程队每天能完成绿化的面积分别是50m2、25m2;(2)设应安排甲队工作y天,根据题意得:0.35y+×0.25≤8,解得:y≥20,答:至少应安排甲队工作20天.14.解:(1)设该商场第一次购进这种运动服x套,第二次购进2x套,由题意得,﹣=10,解得:x=200,经检验:x=200是原分式方程的解,且符合题意,答:该商场第一次购进200套;(2)设每套售价是y元,两批运动服总数:200+400=600由题意得:600y﹣32000﹣68000≥(32000+68000)×20%,解得:y≥200,答:每套售价至少是200元.15.解:设小雪的速度是x米/分钟,则珂铭速度是1.2x米/分钟,依题意得:,解得:x=50,经检验x=50是原方程的解,答:小雪的速度是50米/分钟.(2)1.2×50=60(米/分钟),1800÷50=36(分钟),1800÷60=30(分钟),设小雪比珂铭提前a分钟出发,根据题意得,a+30﹣36≥6,解得a≥12,答:小雪至少要比珂铭提前出发12分钟.16.解:(1)设甲队单独完成此项工程需x天,乙队单独完成此项工程需(x+8)天根据题意得:=解得x=12经检验x=12是原方程的解当x=12时,x+8=20答:甲队单独完成此项工程需12天,乙队单独完成此项工程需20天.(2)设甲乙两队合作m天,根据题意得:5.5m+×3≤65,解得m≤10;又∵(+)m≤1,∴m≤7.5,∴甲乙两队最多合作7天.答:甲乙两队最多合作7天.17.解:(1)设购买一副羽毛球拍需要x元,则购买一根跳绳需要(x﹣20)元,依题意,得:=×,解得:x=25,经检验,x=25是原方程的解,且符合题意,∴x﹣20=5.答:购买一副羽毛球拍需要25元,购买一根跳绳需要5元.(2)设八(1)班购买m副羽毛球拍,则购买(2m+10)根跳绳,依题意,得:25m+5(2m+10﹣m)≤350,解得:m≤10.答:八(1)班最多可购买10副羽毛球拍.18.解:(1)设该超市第一批购进这种葡萄x市斤,则第二批购进这种葡萄2x市斤,依题意,得:﹣=0.2,解得:x=100,经检验,x=100是原分式方程的解,且符合题意.答:该超市第一批购进这种葡萄100市斤.(2)设每市斤葡萄的售价应该定为y元,依题意,得:(100+100×2)y﹣320﹣680≥(320+680)×20%,解得:y≥4.答:每市斤葡萄的售价应该至少定为4元.19.解:(1)设甲工程队单独完成这项工程需要2x天,则乙工程队单独完成这项工程需要3x天,依题意,得:+=1,解得:x=30,经检验,x=30是原方程的解,且符合题意,∴2x=60,3x=90.答:甲工程队单独完成这项工程需要60天,乙工程队单独完成这项工程需要90天.(2)由题意,得:+=1,∴n=90﹣m.设施工总费用为w万元,则w=15m+8n=15m+8×(90﹣m)=3m+720.∵两队施工的天数之和不超过80天,工程预算的总费用不超过840万元,∴,∴20≤m≤40.∵15>0,∴w值随m值的增大而增大,∴当m=20时,完成此项工程总费用最少,此时n=90﹣m=60,w=780万元.答:甲、乙两队各工作20,60天,完成此项工程总费用最少,最少费用是780万元.20.解:(1)设B种图书每本价格为x元,则A种图书每本价格为2.5x元,依题意,得:﹣=25,解得:x=40.8,经检验,x=40.8是原方程的解,且符合题意,∴2.5x=102.答:A种图书每本价格为102元,B种图书每本价格为40.8元.(2)设购买y本A种图书,则购买(2y+8)本B种图书,依题意,得:102y+40.8(2y+8)≤1164,解得:y≤4.∵y为整数,∴y的最大值为4,∴(2y+8)的最大值为16.答:该学校最多可以购买16本B种图书.。
2020中考数学 计算基础专题练习(含答案)
一、单选题(共有7道小题)
1.下列运算正确的是( )
A .21-=
a a B .22+=a
b ab C .()347=a a D .235()()--=-a a a g
2.关于x 的分式方程11
m x =-+的解是负数,则m 的取值范围是( ) A .1m >- B .10m m >-≠且
C .1m ≥-
D .10m m ≥-≠且
3.关于x 的方程的解是( ) A . B . C . D .
4.下列计算正确的是( )
A .2242a a a +=
B .4961x x x =-+
C .()326328x y x y =--
D .632a a a ÷= 5.
若2a b ab +==,则22a b +的值为( )
A. 6
B. 4
C.
6.解分式方程
22311x x x ++=--时,去分母后变形正确的为( )
A.()()2231x x ++=-
B.()2231x x +=--
C.()223x -+=
D.()()2231x x -+=- 7.若1m n -=-,则()222m n m n --+的值是( )
A .3
B .2
C .1
D .-1
二、多选题(共有1道小题) 8.()()5353p p ---= ;
三、填空题(共有8道小题)
9.分解因式:22
31212a ab b -+
=__________. 10.计算:327232a a a a ⋅-÷= .
12.小明上周三在超市恰好用10元钱买了几袋牛奶,周日再去买时,恰遇超市搞优惠酬宾活动,同样的牛奶,每袋比上周三便宜0.5元,结果小明只比上次多用了2元钱,却比上次多211
x =-4x =3x =2x =1x =
买了2袋牛奶,设他上周三买了x 袋牛奶,则根据题意列方程为 。
13.分解因式:249x -= .
14.因式分解:()()24224______x x x -+=-
15.若关于x 的方程
15102x m x x -=--无解,则m = . 16.46a a ⋅= ;
四、计算题(共有3道小题)
17.先化简,再求值:34211x x x x x --⎛
⎫-÷ ⎪--⎝⎭,其中x =12
.
18.因式分解:32
3612a m a m am --+
19.先化简,再求值:2221122a ab b a b b a -+⎛⎫÷- ⎪-⎝⎭
,其中1a =,1b =。
五、解答题(共有6道小题)
20.化简2222221
211x x x x x x x x x ⎛⎫+--÷ ⎪--++⎝⎭;并解答:
(1)当1x =+
(2)原代数式的值能等于-1吗?为什么?
21.先化简,再求值:
21111x x x ⎛⎫÷+ ⎪--⎝⎭
,其中1x =.
22.先化简,再求值:221b
a b b a a -÷⎪⎭⎫
⎝⎛--,其中13+=a ,13-=b
23.解不等式组3645110
2x x x x -≤⎧⎪++⎨<⎪⎩,并求出它的整数解,再化简代数式22332139x x x x x x x +-⎛⎫⋅- ⎪-++-⎝⎭
,从上述整数解中选择一个合适的数,求此代数式的值.
24.阅读下列题目的解题过程:
已知a 、b 、c 为△ABC 的三边,且满足222244-=
-
a c
b
c a b ,试判断△ABC 的形状. 解:∵()222244-=
-
a c
b
c a b A ∴()2222222()()()-=+-
c a b a b a b B ∴()222=
+c a b C ∴△ABC 是直角三角形
问:(1)上述解题过程,从哪一步开始出现错误?请写出该步的代号: ;
(2)错误的原因为: ;
(3)本题正确的结论为: .
25.如图:大正方形的边长为a ,小正方形的边长为b ,利用此图证明平方差公式.
参考答案
一、单选题(共有7道小题)
1.D .
2.B
3.B
4.C.
5.B
6.D
7.A
二、多选题(共有1道小题)
8.2
925p -
三、填空题(共有8道小题) 9.()232a b -
10.5a
11.9a 12.10120.5=2
x x -+ 13.()()2323x x +-
14.4,2
15.8
16.10a
四、计算题(共有3道小题)
17.解:34211
x x x x x --⎛
⎫-÷ ⎪--⎝⎭ =(1)(34)112
x x x x x x ------g =2342
x x x x --+- =2
(1)2
x x -- =x -2,
当x =12时,原式=12-2=-32
. 18.()
2324am a a -+-
19.
)1122
2ab == 五、解答题(共有6道小题) 20.解:(1)2222221211
x x x x x x x x x ⎛⎫+--÷ ⎪--++⎝⎭ 22(1)(1)1(1)(1)(1)x x x x x x x x x
⎡⎤+-+=-⋅⎢⎥-+-⎣⎦ 11x x x x
+=⋅- 11
x x +=-
当1x =
原式111x x +====- (2)若原式110x x +=
=-,可得1x =- 但当1x =-时,原式无意义。
综上,原式的值不可能为-1
21.()()
()()
111111
=111
1
x
x x x x x
x x x x x -+÷+---⋅+-=+
当1x =
时, 原式
2== 22.解:原式=22a a b a b a b a b b --⎛⎫-⋅ ⎪--⎝⎭
=()()a b a b b a b b
+-⋅- =a+b 当13+=a ,13-=b 时,
原式
=
)
)
11+=23.解:解不等式3x -6≤x ,得:x ≤3, 解不等式451102
x x ++<,得:x >0, 则不等式组的解集为0<x ≤3,
所以不等式组的整数解为1、2、3,
原式=()(
)()()()2233333331x x x x x x x x x ⎡⎤+---⎢⎥+-+--⎣⎦g =
()()()()()2133331x x x x x x --++--g =11
x -, ∵x ≠±3、1,
∴x =2,
则原式=1.
24.解:(1)由题目中的解答步骤可得,
错误步骤的代号为:C ,
故答案为:C ;
(2)错误的原因为:没有考虑a =b 的情况,
故答案为:没有考虑a =b 的情况;
(3)本题正确的结论为:△ABC 是等腰三角形或直角三角形, 故答案为:△ABC 是等腰三角形或直角三角形.
25.解:根据题意大正方形的面积-小正方形的面积=22a b -, 四个等腰梯形的面积=()111422
2a b a b ⎛⎫+-⨯ ⎪⎝⎭()()a b a b =+-, 故()()22a b a b a b -=+-.。