《1.2 函数及其表示(2)》测试题
- 格式:docx
- 大小:48.66 KB
- 文档页数:5
1.2函数及其表示随堂练习试卷及答案一、选择题(共8小题;共40分)1. 给定映射f x,y→x+2y,x−2y,在映射f下4,3的原象为 A. 3,4B. 4,3C. 72,14D. 14,722. 设函数f x=x2+1,x≤1,2x,x>1.则f f3等于 A. 15B. 3 C. 23D. 1393. 函数y=2−2+4x的值域是 A. 2,+∞B. 0,2C. 0,4D. −∞,24. 若函数f x满足关系式f x+2f1x=3x,则f2的值为 A. 1B. −1C. −32D. 325. 已知定点A4,0,曲线C:y=x2,x≤012x,x>0,P是曲线C上的动点,当△POA时等腰三角形时,符合条件的点P个数是 A. 1B. 2C. 3D. 46. 若函数f x=x2,x≥0,x,x<0,φx=x,x≥0,−x2,x<0,则当x<0时,fφx为 A. −xB. −x2C. xD. x27. 设函数f x= ax2+bx+c a<0的定义域为D,若所有点 s,f t s,t∈D构成一个正方形区域,则a的值为 ( )A. −2B. −4C. −8D. 不能确定8. 已知f1,1=1,f m,n∈N∗(m、n∈N∗),且对任意m、n∈N∗都有:①f m,n+1=f m,n+2;②f m+1,1=2f m,1.给出以下三个结论:(1)f1,5=9;(2)f5,1=16;(3)f5,6=26.其中正确的个数为 ( )A. 3B. 2C. 1D. 0二、填空题(共4小题;共20分)9. 函数y=123x−1−18的定义域是.10. 若f x=3x−10,g x=4x+m,且f g x=g f x,则m的值是 .11. 定义两种运算:a⊕b=2−b2,a⊗b=a−b2,则函数f x=2⊕xx⊕2−2的解析式为.12. 已知集合A到集合B=2,3,4,5的映射f:x→y=∣x∣−1,且集合B中至少有一个元素在集合A中没有原象,则集合A中最多有个元素.三、解答题(共5小题;共65分)13. 某企业生产某种产品时的能耗y与产品件数x之间的关系式为:y=ax+bx.且当x=2时,y=100;当x=7时,y=35.且此产品生产件数不超过20件.Ⅰ写出函数y关于x的解析式;Ⅱ用列表法表示此函数,并画出图象.14. 已知A=a,b,c,B=−1,0,1,映射f:A→B满足f a+f b=f c,求映射f:A→B的个数.15. 求下列函数的定义域.Ⅰy=+Ⅱy=x+2+xx2−3x−10.16. 如图,动点P从边长为4的正方形ABCD的顶点B开始,顺次经C、D、A绕周界运动,用x表示点P的行程,y表示△APB的面积,求函数y=f x的解析式.17. 已知f x=x2−1,g x=x−1,x>0 2−x,x<0.Ⅰ求f g2和g f2的值;Ⅱ求f g x和g f x的解析式.答案第一部分1. C2. D3. B4. B5. D6. B7. B8. A第二部分9. x∣x≤4310. −1511. f x=−4−x2x−2≤x<0或0<x≤212. 6第三部分13. (1)将x=2,y=100,x=7,y=35代入y=ax+bx中,得2a+b2=100,7a+b7=35⇒4a+b=200,49a+b=245⇒a=1,b=196.所以所求函数解析式为y=x+196xx∈N,0<x≤20.(2)当x∈1,2,3,4,5,⋯,20时,列表:\(\begin{array}{|c|c|c|c|c|c|c|c|c|c|c|}\hlinex&1&2&3&4&5&6&7&8&9&10\\\hline y&197&100&68.3&53&44.2&38.7&35&32.5&30.8&29.6\\\hline \space&\space&\space&\space&\space&\space&\space&\space&\space&\space&\space\\\hlinex&11&12&13&14&15&16&17&18&19&20\\\hliney&28.8&28.3&28.1&28&28.1&28.25&28.5&28.9&29.3&29.8\\\hline\end{array}\)依据上表,画出函数 \(y\)的图象如图所示,是由 \(20\)个点构成的点列.14. (i)当A中三个元素都对应0时,则f a+f b=0+0=0=f c,有一个映射;(ii)当A中的三个元素对应B中的两个时,满足f a+f b=f c的映射有4个,分别为1+0= 1;0+1=1;−1+0=−1;0+−1=−1;(iii)当A中的三个元素对应B中的三个元素时,有两个映射,分别是−1+1=0;1+−1= 0.因此满足题设条件的映射有7个.15. (1)由x+8≥0,3−x≥0,得−8≤x≤3.所以定义域为−8,3.(2)由x+2≥0,x2−3x−10≠0,解得x≥−2x+2x−5≠0⇒x≥−2,x≠−2,x≠5,即−2<x<5或x>5.所以原函数的定义域为−2,5∪5,+∞.16. 当点P在BC上运动,即0≤x≤4时,y=12×4x=2x;当点P在CD上运动,即4<x≤8时,y=12×4×4=8;当点P在DA上运动,即8<x≤12时,y=12×4×12−x=24−2x.综上可知,f x=2x,0≤x≤4 8,4<x≤8 24-2x,8<x≤1217. (1)由已知,g2=1,f2=3,所以f g2=f1=0,g f2=g3=2.(2)当x>0时,g x=x−1,故f g x=x−12−1=x2−2x;当x<0时,g x=2−x,故f g x=2−x2−1=x2−4x+3;所以f g x=x2−2x,x>0 x2−4x+3,x<0,当x>1或x<−1时,f x>0,故g f x=f x−1=x2−2;当−1<x<1时,f x<0,故g f x=2−f x=3−x2,所以g f x=x2−2,x>1或x<−1 3−x2,−1<x<1.。
1.2函数及其表示训练试题(含答案和解释)
5 主动成长
夯基达标
1 下列各组函数是否表示同一个函数?
(1)f(x)=x,g(x)=(x)2;
(2)f1(x)=(x+2)2,f2(x)=|x+2|;
(3)f(x)=x2-2x-1,g(t)=t2-2t-1;
(4)=x,=
思路解析定义域和对应法则是确定函数的两个基本要素,两个函数是否相同取决于定义域和对应法则是否分别相同
答案(1)f(x)=x的定义域为R,g(x)=()2的定义域为{x|x≥0},两函数的定义域不同,所以不是同一个函数(2)f1(x)= =|x+2|,它与f2(x)=|x+2|的对应法则与定义域均相同,所以是同一个函数
(3)两函数的对应法则和定义域相同,而函数与表示函数的字母无关,所以表示同一函数
(4)两个函数,其中一个是分段函数,它的定义域为R,不管s >0,s<0,s=0都有=s,对应法则和=x相同因此这两个函数定义域和对应法则都相同,所以它们是相同的函数
2 已知函数f(x)=x2-2x-3的定义域为F,g(x)= 的定义域为G,那么集合F、G的关系是( )
A F=G
B F G
c G F
D F∪G=G
思路解析函数的定义域是使函数思路分析式有意义的自变量的值。
1.2函数及其表示练习题一.选择题1 函数)23(,32)(-≠+=x x cx x f 满足,)]([x x f f =则常数c 等于( ) A 3 B 3- C 33-或 D 35-或2. 已知)0(1)]([,21)(22≠-=-=x xx x g f x x g ,那么)21(f 等于( ) A 15 B 1C 3D 303.函数2y =的值域是( )A [2,2]-B [1,2]C [0,2] D[]4 已知2211()11x x f x x--=++,则()f x 的解析式为( )A21x x + B 212x x+- C 212x x + D 21x x+-5.设()f x 是R 上的任意函数,则下列叙述正确的是 ( )(A)()()f x f x -是奇函数 (B)()()f x f x -是奇函数 (C) ()()f x f x --是偶函数 (D) ()()f x f x +-是偶函数6. 下列图中,画在同一坐标系中,函数bx ax y +=2与)0,0(≠≠+=b a b ax y 函数的图象只可能是 ( )7.已知二次函数)0()(2>++=a a x x x f ,若0)(<m f ,则)1(+m f 的值为( )A .正数B .负数C .0D .符号与a 有关 8. 已知)(x f 的定义域为)2,1[-,则|)(|x f 的定义域为 ( ) A .)2,1[-B .]1,1[-C .)2,2(-D .)2,2[-9. 已知在x 克%a 的盐水中,加入y 克%b 的盐水,浓度变为%c ,将y 表示成x 的函数关系式 ( )A .x bc ac y --=B .x c b a c y --=C .x a c b c y --=D .x ac cb y --= 10.已知f 满足f (ab )=f (a )+ f (b),且f (2)=p ,q f =)3(那么)72(f 等于 ( )A .q p +B .q p 23+C .q p 32+D .23q p +11. (2010陕西文数)某学校要招开学生代表大会,规定各班每10人推选一名代表,当各班人数除以10的余数大于..6.时再增选一名代表.那么,各班可推选代表人数y 与该班人数x 之间的函数关系用取整函数y =[x ]([x ]表示不大于x 的最大整数)可以表示为(A )y =[10x] (B )y =[310x +] (C )y =[410x +](D )y =[510x +]12.(2009海口模拟)已知函数()()2113,f x x x =+≤≤则A .()()12202f x x x -=+≤≤B .()()12124f x x x -=-+≤≤C .()()12202f x x x -=-≤≤D .()()12104f x x x -=-≤≤ 13.(2009江西理)函数ln 1x y +=的定义域为A .()4,1--B .4,1-C .()1,1-D .(1,1]-14.(2008山东)设函数()221, 1,2, 1,x x f x x x x ⎧-≤⎪=⎨+->⎪⎩则()12f f ⎛⎫⎪ ⎪⎝⎭的值为 A .1516B .2716-C .89 D.1815.(2008陕西) 定义在R 上的函数()f x 满足()()()()()2,,12f x y f x f y xy x y R f +=++∈=则()3f -等于( )A. 2B. 3C. 6 D .916.(2009福建)下列函数中与函数y =有相同定义域的是 ( ) A .()ln f x x = B 。
1.2 函数及其表示 同步测试一、选择题1、设集合A={x|x ∈Z 且-10≤x≤-1},B={x|x ∈N 且x≤5},则A ∪B 中的元素个数是( )A 、11B 、10C 、16D 、152、函数()y f x =的图象与直线1x =的公共点数目是( )A. 1B. 0C. 0或1D. 1或23、若集合M={y|y=2-x } ,P={y|y=1-x } ,则M∩P 等于( )A 、{y|y >1}B 、{y|y≥1}C 、{y|y >0}D 、{y|y≥0}4、已知22(1)()(12)2(2)x x f x x x x x +≤-⎧⎪=-<<⎨⎪≥⎩,若()3f x =,则x 的值是( )A. 1B. 1或32C. 1,32或3±D. 35、若()y f x =的定义域是[]0,2,则函数()()121f x f x ++-的定义域是 ( )A.[]1,1- B.1,12⎡⎤⎢⎥⎣⎦ C.13,22⎡⎤⎢⎥⎣⎦ D.10,2⎡⎤⎢⎥⎣⎦6、函数222(03)()6(20)x x x f x x x x ⎧-≤≤⎪=⎨+-≤≤⎪⎩的值域是( ) A .R B .[)9,-+∞ C .[]8,1- D .[]9,1-7、设函数111y x =+的定义域为M ,值域为N ,那么 ( )A 、{0},{0}M x x N y y =≠=≠B 、{0},{}M x x N y y R =≠=∈C 、{01,0}M x x x x =<≠->且或,{0011}N y y y y =<<<>或或D 、{1100}M x x x x =<--<<>或或, {0}N y y =≠二、填空题1、 设⎩⎨⎧<+≥-=)10()],6([)10(,2)(x x f f x x x f 则)5(f 的值为_________。
【师说高中全程复习构想】(新课标)2015届高考数学 1.2 函数及其表示练习一、选择题1.(2014·嘉兴调研)设集合M={x|-2≤x≤2},N={y|0≤y≤2},给出下列四个图形,其中能表示以集合M为定义域,N为值域的函数关系的是( )A. B. C. D.解析:利用函数的定义,要求定义域内的任一变量都有唯一的函数值与之对应,A 中函数的定义域是[-2,0),C 中任一x ∈[-2,2)对应的值不唯一,D 中的值域不是N ,故选B. 答案:B2.已知f :x→-sinx 是集合A(A ⊆[0,2π])到集合B ={0,12}的一个映射,则集合A 中的元素个数最多有( )A .4个B .5个C .6个D .7个解析:由-sinx =0,得sinx =0.又x ∈[0,2π],故x =0或π或2π;由-sinx =12,得sinx =-12.又x ∈[0,2π],故x =7π6或11π6.选B. 答案:B3.已知f(x +1)=-f(x),且f(x)=⎩⎪⎨⎪⎧ 1-1<x <0,00≤x≤1,则f(3)=( )A .-1B .0C .1D .1或0解析:f(3)=-f(2)=f(1)=0,故选B.答案:B4.若f(x)对于任意实数x 恒有2f(x)-f(-x)=3x +1,则f(x)=( )A .x -1B .x +1C .2x +1D .3x +3解析:在2f(x)-f(-x)=3x +1①将①中x 换为-x ,则有2f(-x)-f(x)=-3x +1②①×2+②得3f(x)=3x +3,∴f(x)=x +1.答案:B5.图中的图象所表示的函数的解析式为( )A .y =32|x -1| (0≤x≤2) B .y =32-32|x -1| (0≤x≤2) C .y =32-|x -1| (0≤x≤2) D .y =1-|x -1| (0≤x≤2)解析:取x =1,则y =32,只有B 、C 满足.取x =0,则y =0,在B 、C 中只有B 满足,所以选B.答案:B6.某学校要召开学生代表大会,规定各班每10人推选一名代表,当各班人数除以10的余数大于6时再增选一名代表.那么,各班可推选代表人数y 与该班人数x 之间的函数关系用取整函数y =[x]([x]表示不大于x 的最大整数)可以表示为( )A .y =[x 10]B .y =[x +310] C .y =[x +410] D .y =[x +510] 解析:当各班人数除以10的余数大于6时再增选一名代表,可以看作先用该班人数除以10再用这个余数与3相加,若和大于等于10就增选一名代表,将二者合并便得到推选代表人数y 与该班人数x 之间的函数关系,用取整函数y =[x]([x]表示不大于x 的最大整数)可以表示为y =[x +310]. 答案:B二、填空题7.已知f ⎝ ⎛⎭⎪⎫x -1x =x2+1x2,则函数f(3)=________. 解析:∵f ⎝ ⎛⎭⎪⎫x -1x =x2+1x2=⎝ ⎛⎭⎪⎫x -1x 2+2, ∴f(x)=x2+2,∴f(3)=32+2=11.答案:118.(2014·荆州质检)设f(x)=⎩⎪⎨⎪⎧ lgx ,x >0,10x ,x≤0,则f[f(-2)]=__________. 解析:因为f(x)=⎩⎪⎨⎪⎧ lgx ,x >0,10x ,x≤0,又-2<0,∴f(-2)=10-2,10-2>0,f(10-2)=lg10-2=-2.答案:-29.设函数f(x)=⎩⎪⎨⎪⎧ x ,x≥0,⎝ ⎛⎭⎪⎫12x ,x <0,则f[f(-4)]=________.解析:f[f(-4)]=f(24)=24=4.答案:4三、解答题10.二次函数f(x)满足f(x +1)-f(x)=2x ,且f(0)=1.(1)求f(x)的解析式;(2)解不等式f(x)>2x +5.解析:(1)设二次函数f(x)=ax2+bx +c(a≠0).∵f(0)=1,∴c =1.把f(x)的表达式代入f(x +1)-f(x)=2x ,有a(x +1)2+b (x +1)+1-(ax2+bx +1)=2x.∴2ax +a +b =2x.∴a =1,b =-1.∴f(x )=x2-x +1.(2)由x2-x +1>2x +5,即x2-3x -4>0,解得x >4或x <-1.故原不等式解集为{x|x >4或x <-1}.11.函数f(x)对一切函数x 、y 均有f(x +y)-f(y)=x(x +2y +1)成立,且f(1)=0,(1)求f(0)的值;(2)试确定函数f(x)的解析式.解析:(1)令x =1,y =0,得f(1)-f(0)=2.又∵f(1)=0,∴f(0)=-2.(2)令y =0,则f(x)-f(0)=x(x +1),由(1)知,f(x)=x(x +1)+f(0)=x(x +1)-2=x2+x -2.12.已知函数f(x)=⎩⎪⎨⎪⎧ cx +1, 0<x <c2-x c2+1, c≤x<1)满足f(c2)=98.(1)求常数c 的值;(2)解不等式f(x)>28+1.解析:(1)因为0<c <1,所以c2<c ,由f(c2)=98,即c3+1=98,c =12.(2)由(1)得f(x)=⎩⎪⎨⎪⎧ 12x +1,0<x <122-4x +1,12≤x<1由f(x)>28+1得,当0<x <12时,解得24<x <12,当12≤x<1时,解得12≤x<58,所以f(x)>28+1的解集为{x|24<x <58}.。
2021年高中数学 1.2函数及其表示检测题(含解析)新人教版必修1一、填空题1.设函数f (x )=⎩⎨⎧1-x 2,x ≤1,x 2+x -2,x >1,则=________.解析 本题主要考查分段函数问题.正确利用分段函数来进行分段求值. ∵f (2)=4,∴=f ⎝ ⎛⎭⎪⎫14=1-116=1516.答案15162. 若函数f (x )=⎩⎨⎧2x,x <0,-2-x,x >0,则函数y =f (f (x ))的值域是________.解析 当x <0时,f (x )=2x∈(0,1),故y =f (f (x ))=-2-f (x )∈⎝⎛⎭⎪⎫-1,-12; 当x >0时,f (x )=-2-x ∈(-1,0),故y =f (f (x ))=2f (x )∈⎝ ⎛⎭⎪⎫12,1,从而原函数的值域为⎝ ⎛⎭⎪⎫-1,-12∪⎝ ⎛⎭⎪⎫12,1. 答案 ∪⎝ ⎛⎭⎪⎫12,1 3.设函数f (x )=⎩⎪⎨⎪⎧1-12xx ≥0,1xx <0,若f (a )=a ,则实数a 的值是________.解析 当a ≥0时,1-12a =a ,所以a =23.当a <0时,1a=a ,所以a =-1.答案23或-1 4.设集合M ={x |0≤x ≤2},N ={y |0≤y ≤2},那么下面的4个图形中,能表示集合M 到集合N 的函数关系的序号有________.解析 由映射的定义,要使函数在定义域上都有图象,并且一个x 对应着一个y ,据此排除①④,③中值域为{y |0≤y ≤3}不合题意. 答案 ②5.下列函数中与函数y =x 相同的是_______. ①;② ;③; ④ 解析 因为所以应天②. 答案 ②6.已知f ⎝ ⎛⎭⎪⎫x -1x =x 2+1x2,则f (3)=________.解析 ∵f ⎝⎛⎭⎪⎫x -1x =⎝ ⎛⎭⎪⎫x -1x2+2,∴f (x )=x 2+2(x ∈R ),∴f (3)=32+2=11. 答案 117.已知实数a ≠0,函数f (x )=⎩⎪⎨⎪⎧2x +a ,x <1,-x -2a ,x ≥1,若f (1-a )=f (1+a ),则a 的值为________.解析 当1-a <1,即a >0时,a +1>1,由f (1-a )=f (1+a ),得2(1-a )+a =-(1+a )-2a ,解得a =-32(舍去).当1-a >1,即a <0时,a +1<1,由f (1-a )=f (1+a ),得2(1+a )+a =-(1-a )-2a ,解得a =-34.答案 -348.若f (x )=1log122x +1,则f (x )的定义域为________.解析 因为log 12(2x +1)>0,所以0<2x +1<1,解得-12<x <0.答案 ⎝ ⎛⎭⎪⎫-12,09.设函数f (x )=若f (-3)=f (0),f (-1)=-2,则关于x 的方程f (x)=x 的解的个数为______. 解析 由f(-3)=f(0),f(-1)=-2可得b=3,c=0,从而方程f(x)=x 等价于 或 解得到x=0或x=-2,从而得方程f(x)=x 的解的个数为3.答案 310.对实数a 和b ,定义运算“⊗”:a ⊗b =⎩⎪⎨⎪⎧a ,a -b ≤1,b ,a -b >1.设函数f (x )=(x 2-2)⊗(x -1),x ∈R .若函数y =f (x )-c 的图象与x 轴恰有两个公共点,则实数c 的取值范围是________.解析 当(x 2-2)-(x -1)≤1时,-1≤x ≤2,所以f (x )=⎩⎪⎨⎪⎧x 2-2,-1≤x ≤2,x -1,x <-1或x >2, f (x )的图象如图所示.y =f (x )-c 的图象与x 轴恰有两个公共点,即方程f (x )=c 恰有两个解,由图象可知当c ∈(-2, -1]∪(1,2]时满足条件. 答案 (-2,-1]∪(1,2]11.对于使-x 2+2x ≤M 成立的所有常数M 中,我们把M 的最小值1叫做-x 2+2x 的上确界,若a ,b ∈R +,且a +b =1,则-12a -2b的上确界为________. 解析 因为a ,b ∈R +,a +b =1,所以12a +2b =(a +b )·⎝ ⎛⎭⎪⎫12a +2b =52+2a b +b 2a ≥52+22a b ·b2a=52+2=92,所以-12a -2b ≤-92,所以-12a -2b 的上确界为-92. 答案 -9212.设函数f (x )对于任意实数x 满足条件f (x +2)=1f x,若f (1)=-5,则f (f (5))的值为________. 解析 令x =1,f (3)=1f 1=-15.由f (x +2)=1f x得f (x +4)=1fx +2=f (x ), 所以f (5)=f (1)=-5,则f (f (5))=f (-5)=f (-1) =1f-1+2=1f 1=-15.答案 -1513.设f (x )=lg2+x 2-x ,则f ⎝ ⎛⎭⎪⎫x 2+f ⎝ ⎛⎭⎪⎫2x 的定义域为________. 解析 f (x )=lg 2+x 2-x 有意义,则2+x2-x>0,即(x +2)(x -2)<0,∴-2<x <2.对f ⎝ ⎛⎭⎪⎫x 2+f ⎝ ⎛⎭⎪⎫2x 有意义,则⎩⎪⎨⎪⎧-2<x2<2,-2<2x <2⇒⎩⎪⎨⎪⎧-4<x <4,x <-1或x >1.∴-4<x <-1,或1<x <4. 答案 (-4,-1)∪(1,4) 二、解答题14.已知函数f (x )=log 2⎝⎛⎭⎪⎫x +3x-a 的定义域为A ,值域为B .(1)当a =4时,求集合A ;(2)当B =R 时,求实数a 的取值范围.解析 (1)当a =4时,由x +3x -4=x 2-4x +3x =x -1x -3x>0,解得0<x <1或x >3,故A ={x |0<x <1或x >3}.(2)若B =R ,只有u =x +3x-a 可取到一切正实数,则x >0及u min ≤0,∴u min =23-a ≤0.解得a ≥2 3.实数a 的取值范围为[23,+∞). 15.已知函数f (x )=2a +1a -1a 2x,常数a >0.(1)设m ·n >0,证明:函数f (x )在[m ,n ]上单调递增;(2)设0<m <n 且f (x )的定义域和值域都是[m ,n ],求常数a 的取值范围. 解析 (1)证明 任取x 1,x 2∈[m ,n ],且x 1<x 2,则 f (x 1)-f (x 2)=1a 2·x 1-x 2x 1x 2.因为x 1<x 2,x 1,x 2∈[m ,n ],所以x 1x 2>0,即f (x 1)<f (x 2),故f (x )在[m ,n ]上单调递增. (2) 因为f (x )在[m ,n ]上单调递增,f (x )的定义域、值域都是[m ,n ]⇔f (m )=m ,f (n )=n ,即m ,n 是方程2a +1a-1a 2x=x 的两个不等的正根⇔a 2x 2-(2a 2+a )x +1=0有两个不等的正根. 所以Δ=(2a 2+a )2-4a 2>0,2a 2+aa2>0⇒a >12.即常数a 的取值范围是⎝ ⎛⎭⎪⎫12,+∞. 16.已知函数f (x )=⎩⎪⎨⎪⎧1+1x x >1,x 2+1-1≤x ≤1,2x +3x <-1.(1)求f ⎝ ⎛⎭⎪⎫1-12-1,f (f (f (-2)))的值; (2)求f (3x -1);(3)若f (a )=32,求a 的值.解析 (1)∵1-12-1=1-(2+1)=-2<-1,∴f ⎝⎛⎭⎪⎫1-12-1=f (-2)=-22+3,又∵f (-2)=-1,f (f (-2))=f (-1)=2,∴f (f (f (-2)))=f (2)=1+12=32.(2)若3x -1>1,即x >23,则f (3x -1)=1+13x -1=3x3x -1;若-1≤3x -1≤1,即0≤x ≤23,则f (3x -1)=(3x -1)2+1=9x 2-6x +2; 若3x -1<-1,即x <0,则f (3x -1)=2(3x -1)+3=6x +1.∴f (3x -1)=⎩⎪⎨⎪⎧3x 3x -1⎝ ⎛⎭⎪⎫x >23,9x 2-6x +2⎝⎛⎭⎪⎫0≤x ≤23,6x +1x <0.(3)∵f (a )=32,∴a >1或-1≤a ≤1.当a >1时,有1+1a =32,∴a =2;当-1≤a ≤1时,有a 2+1=32,∴a =±22.∴a =2或±22. 17.已知函数f (x )=a x-24-a x-1(a >0且a ≠1). (1)求函数f (x )的定义域、值域;(2)求实数a 的取值范围,使得函数f (x )满足:当定义域为[1,+∞)时,f (x )≥0恒成立. 解析 (1)由4-a x≥0,即a x≤4,当0<a<1时,x≥log a4,当a>1时,x≤log a4,故f(x)的定义域为:当a>1时,为(-∞,log a4],当0<a<1时,为[log a4,+∞).令t=4-a x,则t∈[0,2),所以y=4-t2-2t-1=4-(t+1)2.当t∈[0,2)时,y=4-(t+1)2是减函数,所以函数的值域为(-5,3].(2)由(1)知,若a>1,f(x)是增函数,当x∈[1,+∞)时,f(x)≥f(1)=a-24-a-1,由于f(x)≥0恒成立,∴a-24-a-1≥0,解得3≤a≤4.若0<a<1,f(x)在[1,+∞)上是减函数,f(x)max=a-1-24-a<0,即f(x)≥0不成立.综上知,当3≤a≤4时,在[1,+∞)上f(x)≥0恒成立.18.据气象中心观察和预测:发生于M地的沙尘暴一直向正南方向移动,其移动速度v(k m/h)与时间t(h)的函数图象如图所示,过线段OC上一点T(t,0)作横轴的垂线l,梯形OABC在直线l左侧部分的面积即为t(h)内沙尘暴所经过的路程s(k m).(1)当t=4时,求s的值;(2)将s随t变化的规律用数学关系式表示出来;(3)若N城位于M地正南方向,且距M地650 k m,试判断这场沙尘暴是否会侵袭到N城,如果会,在沙尘暴发生后多长时间它将侵袭到N城?如果不会,请说明理由.解析(1)由图象可知;当t=4时,v=3×4=12,所以s=12×4×12=24.(2)当0≤t≤10时,s=12·t·3t=32t2当10<t≤20时,s=12×10×30+30(t-10)=30t-150;当20<t≤35时,s=12×10×30+10×30+(t-20)×30-12×(t-20)×2(t-20)=-t2+70t-550.综上可知s =⎩⎪⎨⎪⎧32t 2, t ∈[0,10],30t -150, t ∈10,20],-t 2+70t -550, t ∈20,35].(3)当t ∈[0,10]时,s max =32×102=150<650.当t ∈(10,20]时,s max =30×20-150=450<650. 当t ∈(20,35]时,令-t 2+70t -550=650.解得t 1=30,t 2=40,0<t ≤35故t =30,所以沙尘暴发生30 h 后将侵袭到N 城.$ 4C| -,31415 7AB7窷g 32924 809C 肜30691 77E3 矣31500 7B0C 笌。
1.2函数及其表示测试题一. 选择题1. 设集合A={ x ∣0≤x ≤2},B={ y ∣1≤y ≤2},下图中能表示从集合A 到集合B 的映射的是( )A. B. C. D.2. 若f(x)=,则方程f(4x)=x 的根为( ) xx 1-A. B. - C.2 D. -2 21213. 定义运算x ※y=,若(2-m )※(2m-1)=2-m ,则m 的取值范围为{)()(y x x y x y ≤>( ) A.(-∞,1) B.(-∞,1]C.(1,∞)D. [1,∞)4. 向高为H 的水瓶中注水,注满为止。
如果注水量V 与水深h 的函数关系的图象如右图所示,那么水瓶的形状是( )A. B. C. D.5. 已知f(x)=,则f(3)=( ){)6(4)6)(2(≥-<+x x x x f A.1 B.2 C.3 D.4二. 填空题 1. 函数f(x)= 的定义域为 。
xx 3+2. 已知a 、b 为常数,若f(x)=+4x+3,f(ax+b)=+10x+24,则x 2x 25a-b= 。
3. 已知函数f(x),g(x)分别由下表给出 x 1 2 3 g(x) 32 1 则f[g(1)]的值为 ;满足f[g(x)]>g[f(x)]的x 的值为 。
4. 已知函数f(x)对任意实数x 都满足条件f(x+1)=,若f(1)=-5,则)(1x f f(11)= 。
5. 设函数f(x)=,若f(a)>a ,则实数a 的取值范围是 。
{)1(!21)1(3≤+>+-x x x x 三. 解答题1. 据报道,我国目前已成为世界上受荒漠化危害最严重的国家之一,图(1)表示我国土地沙化总面积在上个世纪五六十年代、七八十年代、九十年代的变化情况。
由图中的相关信息,可将上述有关年代中,我国年平均土地沙化面积在图(2)中图示为:2. 《中华人民共和国个人所得税法》规定,公民全月工资、薪金所得不超过800x 1 23 f(x) 13 1元的部分不必纳税,超过800元的部分为全月应纳税所得额。
2014年高中数学 1.2.2 函数的表示法第2课时同步测试(含解析,含尖子生题库)新人教A 版必修1(本栏目内容,在学生用书中以独立形式分册装订!)一、选择题(每小题5分,共20分)1.如图中所示的对应:其中构成映射的个数为( )A .3B .4C .5D .6解析: 无象、不答案: 2.已知函数y =⎩⎪⎨⎪⎧x 2+1 (x ≤0)-2x (x >0),使函数值为5的x 的值是( ) A .-2或2 B .2或-52C .-2D .2或-2或-52解析: 若x ≤0,则x 2+1=5解得x =-2或x =2(舍去)若x >0,则-2x =5,∴x =-52(舍去), 综上x =-2.答案: C3.已知映射f :A →B ,即对任意a ∈A ,f :a →|a |.其中集合A ={-3,-2,-1,2,3,4},集合B 中的元素都是A 中元素在映射f 下的对应元素,则集合B 中元素的个数是( )A .7B .6C .5D .4解析: |-3|=|3|,|-2|=|2|,|-1|=1,|4|=4,且集合元素具有互异性,故B 中共有4个元素,∴B ={1,2,3,4}.答案: D4.已知f (x )=⎩⎪⎨⎪⎧x -5 (x ≥6)f (x +2) (x <6),则f (3)为( ) A .3 B .2C .4D .5解析: f (3)=f (3+2)=f (5),f (5)=f (5+2)=f (7),∴f (7)=7-5=2.故f (3)=2.答案: B二、填空题(每小题5分,共10分)5.f (x )=⎩⎪⎨⎪⎧3x +2,x <1x 2+ax ,x ≥1,若f (f (0))=4a ,则实数a =________. 解析: ∵f (x )=⎩⎪⎨⎪⎧3x +2 x <1x 2+ax x ≥1, ∴f (0)=2,∴f (f (0))=f (2)=4+2a ,∴4+2a =4a ,∴a =2.答案: 26.已知集合A 中元素(x ,y )在映射f 下对应B 中元素(x +y ,x -y ),则B 中元素(4,-2)在A 中对应的元素为________.解析: 由题意知⎩⎪⎨⎪⎧ x +y =4x -y =-2∴⎩⎪⎨⎪⎧ x =1y =3 答案: (1,3)三、解答题(每小题10分,共20分)7.已知f (x )=⎩⎪⎨⎪⎧ x 2, -1≤x ≤11, x >1或x <-1, (1)画出f (x )的图象;(2)求f (x )的定义域和值域.解析: (1)利用描点法,作出f (x )的图象,如图所示.(2)由条件知,函数f (x )的定义域为R .由图象知,当-1≤x ≤1时,f (x )=x 2的值域为[0,1],当x >1或x <-1时,f (x )=1,所以f (x )的值域为[0,1].8.如图所示,函数f (x )的图象是折线段ABC ,其中A 、B 、C的坐标分别为(0,4),(2,0),(6,4).(1)求f (f (0))的值;(2)求函数f (x )的解析式.解析: (1)直接由图中观察,可得f (f (0))=f (4)=2.(2)设线段AB 所对应的函数解析式为y =kx +b ,将⎩⎪⎨⎪⎧ x =0,y =4与⎩⎪⎨⎪⎧ x =2,y =0代入,得⎩⎪⎨⎪⎧ 4=b ,0=2k +b .∴⎩⎪⎨⎪⎧ b =4,k =-2. ∴y =-2x +4(0≤x ≤2).同理,线段BC 所对应的函数解析式为y =x -2(2≤x ≤6).∴f (x )=⎩⎪⎨⎪⎧-2x +4, 0≤x ≤2,x -2, 2<x ≤6. 尖子生题库☆☆☆9.(10分)“水”这个曾经被人认为取之不尽,用之不竭的资源,竟然到了严重制约我国经济发展,严重影响人民生活的程度.因为缺水,每年给我国工业造成的损失达2 000亿元,给我国农业造成的损失达1 500亿元,严重缺水困扰全国三分之二的城市.为了节约用水,某市打算出台一项水费政策,规定每季度每人用水量不超过5吨时,每吨水费1.2元,若超过5吨而不超过6吨时,超过的部分的水费按原价的200%收费,若超过6吨而不超过7吨时,超过部分的水费按原价的400%收费,如果某人本季度实际用水量为x (x ≤7)吨,试计算本季度他应交的水费y .(单位:元)解析: 由题意知,当0<x ≤5时,y =1.2x ,当5<x ≤6时,y =1.2×5+(x -5)×1.2×2=2.4x -6.当6<x ≤7时,y =1.2×5+(6-5)×1.2×2+(x -6)×1.2×4=4.8x -20.4.所以y =⎩⎪⎨⎪⎧ 1.2x (0<x ≤5)2.4x -6 (5<x ≤6)4.8x -20.4 (6<x ≤7).。
【高中数学】《1.2 函数及其表示(2)》测试题【高中数学】《1.2函数及其表示(2)》测试题一、多项选择题1.设函数,则().a、 b.3c。
D考查目的:主要考查分段函数函数值求法.回答:D解析:∵,∴,∴,故答案选d.2.在以下函数组中,同一函数用()a.,b.,c、,d考查目的:主要考查对函数概念的理解.两个函数相同,则这两个函数的定义域和对应关系均要相同.回答:C解析:a、b选项错,是因为两个函数的定义域不相同;d选项错,是因为两个函数的对应关系不相同.3.函数的图像如图所示。
关于函数的以下说明:①函数的定义域是;② 函数的取值范围为;③对于某一函数值,可能有两个自变量的值与之对应.正确的说法是()a.0个b.1个c.2个d.3个测试目的:本题主要测试对函数概念的理解和对区间符号的理解答案:c分析:从图中可以看出,函数的定义域是[,所以① 不正确,② 和③ 是正确的,所以C二、填空题4.如图所示,函数的图像为曲线OAB,其中点o、a和B的坐标分别为(o、o)、(1、2)、(3、1),则的值等于考查目的:主要考查用图象表示函数关系以及求函数值.回答:2解析:由图可知,,,∴.5.如果函数已知,实数的值等于考查目的:主要考查分段函数的函数值的求法.答复:解析:∵,∴,∴,∴,∴只能有,. 高中地理;6.在同一平面直角坐标系中,函数和的图象关于直线对称.的图象是由两条线段组成的折线(如图),则函数的表达式为.目的:主要研究函数的表示方法:解析法和图像法,以及分段函数的表示答案:.分析:图像上的三个点(-2,0),(0,1),(1,3),其中点()相对于直线是对称的,((0,-2),(1,0),(3,1)分别相对于直线是对称的三、解答题7.已知的定义字段是考查目的:主要考查函数的解析式的求法.一定要注意函数的定义域.答复:解析:,令,则,且,∴,那就是8.某省两相近重要城市之间人员交流频繁,为了缓解交通压力,特修一条专用铁路,用一列火车作为交通车,已知该车每次拖4节车厢,一日能来回16次,如果每次拖7节车厢,则每日能来回10次.(1)如果每天往返的次数是车头拖曳的汽车数量的函数,则求出该函数的解析公式;⑵在⑴的条件下,每节车厢能载乘客110人,问这列火车每天来回多少次才能使运营人数最多?并求出每天最多运营人数.测试的目的是在实际问题中找到函数的解析公式和二次函数的最大值解析:⑴设每日来回次,每次挂节车厢,,由题意知,当时,当时,∴,解得,∴;(2)它每天往返一次,每次都挂汽车。
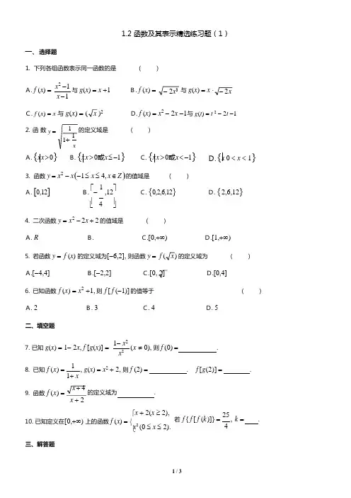
1 1+ 1x⎩1.2 函数及其表示精选练习题(1)一、选择题⒈ 下列各组函数表示同一函数的是( )A. f (x ) = x 2 -1x -1与 g (x ) = x +1B. f (x ) =与 g (x ) = x ⋅C. f (x ) = x 与 g (x ) = (x )2D. f (x ) = x 2 - 2x -1与 g (t ) = t 2 - 2t -1⒉ 函 数 y =的定义域是 ()A.{x x > 0}B.{x x > 0或x ≤ -1}C.{x x > 0或x < -1}D.{x 0 < x < 1}⒊ 函数 y = x 2 - x (-1 ≤ x ≤ 4, x ∈ Z )的值域是()A.[0,12]B.⎡- 1 ,12⎤C. {0,2,6,12} D. {2,6,12}⎣⎢ 4 ⎥⎦4. 二次函数 y = x 2 - 2x + 2 的值域是( )A. RB.C.[0,+∞)D.[1,+∞)5. 若函数 y =f (x ) 的定义域为[-6,2], 则函数 y = f ( x ) 的定义域为()A.[-4,4]B.[-2,2]C.[0, 2]D.[0,4]6. 已知函数 f (x ) = x 2 +1, 则 f [ f (-1)] 的值等于()A. 2B. 3 C. 4D. 5二、填空题7. 已知 g (x ) = 1- 2x , f [g (x )] = 1- x 2x 2(x ≠ 0), 则 f (0) =.8. 已知 f (x ) = 11+ x, g (x ) = x 2 + 2, 则 f (2) =.f [g (2)] =.9. 函数 f (x ) =x + 4 的定义域为 .x + 2⎧x + 2(x ≥ 2), 10. 已知定义在[0,+∞) 上的函数 f (x ) = ⎨x 2 (0 ≤ x ≤ 2).若 f { f [ f (k )]} = 25, k = .4三、解答题- 2x 3 - 2x3⎨ ⎩⎨f [ f (x + 6)],(x < 10) 11.已知函数 f (x ) = x 2 + 2x - 3, 求 f (2), f (- 12.画出函数 f (x ) = 2x -1 的图像.2), f (a ) 的值.1.2 函数及其表示练习题(2)一、选择题1. 函数 y = f (x ) 的图象与直线 x = 1 的公共点数目是()A. 1B.C.0 或1 D. 1或2⎧x + 2(x ≤ -1) 2. 已知 f (x ) = ⎪x 2(-1 < x < 2) ,若 f (x ) = 3 ,则 x 的值是()⎪2x (x ≥ 2)A. 1B. 1或323. 为了得到函数 y = C. 1, 3或±D.2f (-2x ) 的图象,可以把函数 y =f (1- 2x ) 的图象适当平移,这个平移是()A. 沿 x 轴向右平移1个单位C. 沿 x 轴向左平移1个单位B. 沿D. 沿x 轴向右平移 12 x 轴向左平移 12个单位个单位4. 设 f (x ) = ⎧x - 2,(x ≥ 10)⎩则 f (5) 的值为( )A.10 B. 11 C. 12D.13二、填空题5. 函 数 y =x - 2 x 2 - 4的定义域 .6. 若二次函数 y = ax 2 + bx + c 的图象与 x 轴交于 A (-2, 0), B (4, 0) ,且函数的最大值为9 , 则这个二次函数的表达式是.(x -1)07. 函数 y = 的定义域是.x - x8. 函数 f (x ) = x 2 + x - 1的最小值是.三、解答题39. 求函数 f (x )= 的定义域.10. 求函数 y =的值域.11. 已知函数 f (x ) = ax 2 - 2ax + 3 - b (a > 0) 在[1, 3] 有最大值5 和最小值2 ,求 a 、b 的值.x +1x 2 + x + 1。
高中数学必修一1.2函数及其表示练习题及答案一:单项选择题: (共10题,每小题5分,共50分)1. 函数()y f x =的图象与直线1x =的公共点数目是( )A 1B 0C 0或1D 1或22. 为了得到函数(2)y f x =-的图象,可以把函数(12)y f x =-的图象适当平移,这个平移是( )A 沿x 轴向右平移1个单位 B 沿x 轴向右平移12个单位C 沿x 轴向左平移1个单位D 沿x 轴向左平移12个单位3. 已知集合{}{}421,2,3,,4,7,,3A k B a a a ==+,且*,,a N x A y B ∈∈∈使B 中元素31y x =+和A 中的元素x 对应,则,a k 的值分别为( )A 2,3 B 3,4 C 3,5 D 2,54. 判断下列各组中的两个函数是同一函数的为( ) ⑴3)5)(3(1+-+=x x x y ,52-=x y ;⑵111-+=x x y ,)1)(1(2-+=x x y ; ⑶x x f =)(,2)(x x g =;⑷()f x =()F x = ⑸21)52()(-=x x f ,52)(2-=x x fA ⑴、⑵B ⑵、⑶C ⑷D ⑶、⑸5. 设⎩⎨⎧<+≥-=)10()],6([)10(,2)(x x f f x x x f 则)5(f 的值为( )A 10 B 11 C 12 D 13 6. 函数f (x )=的定义域是( )A .-∞,0]B .[0,+∞C .(-∞,0)D .(-∞,+∞)7. 若函数f(x) = + 2x+ log 2x 的值域是 {3, -1, 5 + , 20},则其定义域是( ) (A) {0,1,2,4} (B) {,1,2,4} (C) {,2,4} (D) {,1,2,4,8}8.反函数是( ) A. B. C. D.9. 若任取x 1,x 2∈[a ,b ],且x 1≠x 2,都有成立,则称f (x ) 是[a ,b ]上的凸函数。
1.2 函数及其表示一、选择题1、下列集合A 到集合B 的对应f 是映射的是 ( ) A 、{}{}1,0,1,1,0,1,A B f =-=-:A 中的数平方; B 、{}{}f B A ,1,0,1,1,0-==:A 中的数开方; C 、,,A Z B Q f ==:A 中的数取倒数; D 、,,A R B R f +==:A 中的数取绝对值;2、设集合A=R ,集合B=R +,则从集合A 到集合B 的映射只可能是( ) A 、x y x f =→: B 、 x y x f =→:C 、 x y x f -=→3:D 、)1(log :2x y x f +=→3、已知集合A={1,2,3},集合B={4,5,6},映射B A f →:,且满足1的象是4,则这样的映射有( )A 2个B 4个C 8个D 9个4、设集合}21|{≤≤=x x A ,}41|{≤≤=y y B ,则下述对应法则f 中,不能构成A 到B 的映射的是( )A 、2:x y x f =→B 、23:-=→x y x fC 、4:+-=→x y x fD 、24:x y x f -=→5、函数y =ax 2+a 与y =xa(a ≠0)在同一坐标系中的图象可能是( )6、直角梯形OABC 中AB ∥OC 、AB=1、直线t x l =:截该梯形所得位于l 则函数S=)(t f 的图像大致为( ) 7、若)(x f 的定义域为[0,1],则)2(+x f 的定义域为( ) A 、[0,1] B 、[2,3] C 、[-2,-1] D 、无法确定二、填空题8、给定映射:(,)(2,)f x y x y xy →+,点11(,)66-的原象是__________________。
9、设函数3,(10)()((5)),(10)x x f x f f x x -≥⎧=⎨+<⎩,则(5)f =_______________________。
1.2 函数及其表示一、选择题1、设集合A ={x |0≤x ≤6},B ={y |0≤y ≤2},从A 到B 的对应法则f 不是映射的是( )A 、f :x →y =21x B 、f :x →y =31x C 、f :x →y =41xD 、f :x →y =61x2、设M ={x |-2≤x ≤2},N ={y |0≤y ≤2},函数f (x )的定义域为M ,值域为N ,则f (x )的图象可以是( )3、在映射中B A f →:,},|),{(R y x y x B A ∈==,且),(),(:y x y x y x f +-→,则与A 中的元素)2,1(-对应的B 中的元素为( )A 、)1,3(-B 、)3,1(C 、)3,1(--D 、)1,3(4、下列各组函数)()(x g x f 与的图象相同的是( ) A 、2)()(,)(x x g x x f == B 、22)1()(,)(+==x x g x x fC 、0)(,1)(x x g x f ==D 、⎩⎨⎧-==x xx g x x f )(|,|)( )0()0(<≥x x5、若{}21,,0,,b a a a b a ⎧⎫=+⎨⎬⎩⎭,则20052005ab +的值为( )A 、0B 、1C 、1-D 、1或1-6、如下图可作为函数)(x f =的图像的是( )BCD7、若:f A B →能构成映射,下列说法正确的有 ( )(1)A 中的任一元素在B 中必须有像且唯一;(2)B 中的多个元素可以在A 中有相同的原像;(3)B 中的元素可以在A 中无原像;(4)像的集合就是集合B 。
A 、1个B 、2个C 、3个D 、4个二、填空题8、设函数f (x )=⎩⎨⎧≤,<,+)2(2)2(22x x x x 则f (-4)=____,又知f (0x )=8,则0x =____9、如图,有一块边长为a 的正方形铁皮,将其四个角各截去一个边长为x 的小正方形,然后折成一个无盖的盒子,写出体积V 以x 为自变量的函数式是_____,这个函数的定义域为_______10、给定映射f :(x ,y )→(x ,x +y ),在映射f 下象(2,3)的原象是(a ,b ),则函数f (x )=ax 2+bx 的顶点坐标是________11、设22 (1)() (12)2 (2)x x f x x x x x +-⎧⎪=-<<⎨⎪⎩≤≥,若()3f x =,则x=____________。
1.2 函数及其表示1、判断下列对应:f A B →是否是从集合A到集合B的函数: (1){},0,:,:;A R B x R x f x x f A B ==∈>→→ (2)*,,:1,:.A N B N f x x f A B ==→-→(3){}20,,:,:.A x R x B R f x x f A B =∈>=→→2、已知函数()()()3,10,,85,10,x x f x x N f f f x x -≥⎧⎪=∈=⎨+<⎡⎤⎪⎣⎦⎩其中则 ( )A.2B.4C.6D.73、已知,则()(){}2,0,,0,30,0.x x f x x f f f x π⎧>⎪==-⎡⎤⎨⎣⎦⎪<⎩那么的值等于( )A.0B.πC.2xD.94、已知函数()11xf x x+=-的定义域为A,函数()y f f x =⎡⎤⎣⎦的定义域为B,则( ) A.AB B =B.A B 豣C.A B =D.AB B =5、已知函数()()()538,210,2f x x ax bx f f =+++-=且那么等于( )A.-18B.6C.-10D.106、若()y f x =的定义域是[]0,2,则函数()()121f x f x ++-的定义域是 ( ) A.[]1,1-B.1,12⎡⎤⎢⎥⎣⎦C.13,22⎡⎤⎢⎥⎣⎦D.10,2⎡⎤⎢⎥⎣⎦7、函数1y x x =++的值域为_____________________.8、已知()f x 是一次函数,且满足()()3121217,f x f x x +--=+求()f x .9、设函数()f x 的定义域为R,且对,,x y R ∈恒有()()(),f x y f x f y =+若()83,f f==则( ) A.12-B.1C.12D.1410.对于定义在R上的函数()f x ,如果存在实数0,x 使()00,f x x =那么0x 叫做函数()f x 的一个不动点.已知函数()221f x x ax =++不存在不动点,那么a 的取值范围的( )A.13,22⎛⎫⎪⎝⎭B.31,22⎛⎫-⎪⎝⎭ C.()1,1-D.()(),11,-∞-+∞11.在国内投寄平信,每封信不超过20克重付邮资80分,超过20克重而不超过40克重付邮资160分,将每封信的应付邮资(分)表示为信重()040x x <≤克的函数,其表达式为()f x =________12.函数()312f x ax a =+-在()1,1-存在0x ,使()00f x =,则a 的取值范围是( )A.11,5⎛⎫- ⎪⎝⎭B.1,5⎛⎫+∞ ⎪⎝⎭C.()1,1,5⎛⎫-∞-+∞ ⎪⎝⎭D.(),1-∞-13.在交通拥挤及事故多发地段,为了确保交通安全,规定在此地段内,车距d 是车速v(公里/小时)的平方与车身长s (米)的积的正比例函数,且最小车距不得小于车身长的一半.现假定车速为50公里/小时时,车距恰好等于车身上,试写出d 关于v 的函数关系式(其中s 为常数).参考答案。
高中数学 1.2.2 函数及其表示水平测试 新人教A 版必修11.函数y =1x 2+2的值域为( )A .RB .{y|y≥12}C .{y|y≤12}D .{y|0<y≤12}2.若二次函数y =ax 2+bx +c 的图象与x 轴交于A(-2,0),B(4,0)两点,且函数的最大值为9,则这个二次函数的表达式是________________.课堂巩固1.一个面积为100 cm 2的等腰梯形,上底长为x cm ,下底长为上底长的3倍,则把它的高y 表示成x 的函数为( )A .y =50x(x >0)B .y =100x(x >0)C .y =50x (x >0)D .y =100x(x >0)2.(2009全国重点中学领航卷,7)为悼念四川汶川地震中遇难同胞,在全国哀悼日第一天,某校升旗仪式中,先把国旗匀速升至旗杆顶部,停顿3秒钟后再把国旗匀速下落至旗杆中部.能正确反映这一过程中,国旗上升的高度h(米)与升旗时间t(秒)的函数关系的大致图象是〔设国旗的起始位置为h =0(米)〕…( )3.(2009山东滨州高一期末测试,8)某单位为鼓励职工节约用水,作出了如下规定:每位职工每月用水不超过10立方米的,按每立方米m 元收费;用水超过10立方米的,超过部分按每立方米2m 元收费.某职工某月缴水费16m 元,则该职工这个月实际用水为( )A .13立方米B .14立方米C .18立方米D .26立方米4.设f(x)=⎩⎪⎨⎪⎧2x +2, -1≤x<0,-12x , 0<x<2,3, x≥2,则f{f[f(-34)]}的值为________,f(x)的定义域是________.5.设函数f(x)满足f(x)+2f(1x)=x(x≠0),求f(x).6.用长为l 的铁丝弯成下部为矩形,上部为半圆形的框架(如右图).若矩形底边长为2x ,求此框架围成的面积y 与x 的函数关系式,并指出其定义域.1.设集合A ={x|0≤x≤6},B ={y|0≤y≤2},则从A 到B 的对应法则f 不是映射的是( )A .f :x→y=12xB .f :x→y=13xC .f :x→y=14xD .f :x→y=16x2.(2009浙江台州一模,文8)已知函数f(x)=⎩⎪⎨⎪⎧x -3,x>0,x 2,x≤0.若f(a)=f(4),则实数a 等于……( )A .4B .1或-1C .-1或4D .1,-1或43.(2008山东高考,文5)设函数f(x)=⎩⎪⎨⎪⎧1-x 2,x≤1,x 2+x -2,x>1,则f[1f(2)]的值为… ( )A.1516 B .-2716 C.89D .184.在函数y =|x|(x∈[-1,1])的图象上有一点P(t ,|t|),此函数与x 轴、直线x =-1及x =t 围成图形(如图阴影部分)的面积为S ,则S 与t 的函数关系图可表示为( )5.2008年北京成功举办了第29届奥运会,中国取得了51金、21银、28铜的骄人成绩.下表为北京奥运会官方票务网站公布的几种球类比赛的门票价格,某球迷赛前准备用12 000元预定15比赛项目 票价(元/场) 男篮 1 000 足球 800 乒乓球 500若在准备资金允许的范围内和总票数不变的前提下,这个球迷想预定上表中三种球类门票,其中足球门票数与乒乓球门票数相同,且足球门票的费用不超过男篮门票的费用,则可以预订男篮门票数为( )A .2B .3C .4D .56.已知函数f(x)的图象如右图所示,则f(x)的解析式是________.7.设函数f(x)=⎩⎪⎨⎪⎧2,x >0,x 2+bx +c ,x≤0.若f(-4)=f(0),f(-2)=-2,则f(x)的解析式f(x)=__________.8.已知集合A 中的元素(x ,y)在映射f 的作用下与集合B 中的元素(x +y 2,x -y2)相对应,则与B 中的元素(0,3)相对应的A 中的元素是________.答案与解析1.2.2 函数的表示法课前预习1.D 令u =x 2+2,则u≥2.借助反比例函数y =1u 的图象,易得0<y≤12.2.y =-(x +2)(x -4) 设y =a(x +2)(x -4),对称轴x =1,当x =1时,y max =-9a =9,a =-1. 课堂巩固1.C 由x +3x2·y=100,得2xy =100.∴y=50x (x >0).2.B 国旗的运动规律是:匀速升至旗杆顶部——停顿3秒——国旗匀速下落至旗杆中部.对应的图象为B.3.A 该单位职工每月应缴水费y 与实际用水量x 满足的关系式为y =⎩⎪⎨⎪⎧mx ,0≤x≤10,mx -10m ,x>10.由y =16m ,可知x>10.令2mx -10m =16m ,得x =13(立方米). 4.32 {x|x≥-1且x≠0} ∵-1<-34<0,∴f(-34)=2×(-34)+2=12.而0<12<2,∴f(12)=-12×12=-14.∵-1<-14<0,∴f(-14)=2×(-14)+2=32.因此f{f[f(-34)]}=32.函数f(x)的定义域为{x|-1≤x<0}∪{x|0<x <2}∪{x|x≥2}={x|x≥-1且x≠0}.5.解:∵f(x)+2f(1x)=x ,①以1x 代换x 得f(1x )+2f(x)=1x.② 解①②组成的方程组得f(x)=23x -x3.6.解:由题意知此框架围成的面积是由一个矩形和一个半圆组成的图形的面积,而矩形的长AB =2x ,宽设为a ,则有2x +2a +πx=l ,即a =l 2-π2x -x ,半圆的直径为2x ,半径为x.所以y =πx 22+(l 2-π2x -x)·2x=-(2+π2)x 2+lx.根据实际意义知l 2-π2x -x >0,因x >0,解得0<x <l 2+π,即函数y =-(2+π2)x2+lx 的定义域是{x|0<x <l2+π}.课后检测1.A 对于答案A ,当A 中的元素x =6时,在B 中没有元素与之对应.2.C 由题意,得f(4)=4-3=1.当a>0时,由a -3=1,得a =4;当a≤0时,由a 2=1,得a =-1.综上可知,a =-1或4.3.A ∵f(2)=22+2-2=4,∴1f(2)=14.∴f(14)=1-(14)2=1516,即f[1f(2)]=1516.4.B 当t<0时,S =12-t 22,所以图象是开口向下的抛物线,顶点坐标是(0,12);当t>0时,S =12+t 22,开口是向上的抛物线,顶点坐标是(0,12).所以B 满足要求.5.D 设足球门票数与乒乓球门票数都预定n(n∈N *)张,则男篮门票数为(15-2n)张, 得⎩⎪⎨⎪⎧800n +500n +1 000(15-2n)≤12 000,800n≤1 000(15-2n), 解得427≤n≤5514.由n∈N *,可得n =5,15-2n =5.6.f(x)=⎩⎪⎨⎪⎧x +1, -1≤x<0,-x , 0≤x≤1 提示:∵f(x)的图象是由两条线段组成,∴由一次函数解析式的求法可得.7.⎩⎪⎨⎪⎧ 2,x >0,x 2+4x +2,x≤0 由题意,得⎩⎪⎨⎪⎧16-4b +c =c 4-2b +c =-2⇒⎩⎪⎨⎪⎧b =4,c =2,∴f(x)=⎩⎪⎨⎪⎧2,x >0,x 2+4x +2,x≤0.8.(3,-3) 由题意得x +y 2=0,x -y2=3,解得x =3,y =-3,即与元素(0,3)相对应的元素是(3,-3).。
《1.2 函数及其表示(2)》测试题
一、选择题
1.设函数,则( ).
A. B.3 C. D.
考查目的:主要考查分段函数函数值求法.
答案:D.
解析:∵,∴,∴,故答案选D.
2.下列各组函数中,表示同一函数的是( ).
A.,
B.,
C.,
D.,
考查目的:主要考查对函数概念的理解.两个函数相同,则这两个函数的定义域和对应关系均要相同.
答案:C
解析:A、B选项错,是因为两个函数的定义域不相同;D选项错,是因为两个函数的对应关系不相同.
3.函数的图象如图所示,对于下列关于函数说法:
①函数的定义域是;
②函数的值域是;
③对于某一函数值,可能有两个自变量的值与之对应.
其中说法正确的有( ).
A.0个
B.1个
C.2个
D.3个
考查目的:本题主要考查对函数概念的理解以及对区间符号的认识.
答案:C
解析:从图可知,函数的定义域是[,所以①不正确,②、③说法正确,故选C.
二、填空题
4.如图,函数的图像是曲线OAB,其中点O、A、B的坐标分别为(O,O),(1,2),(3,1),则的值等于.
考查目的:主要考查用图象表示函数关系以及求函数值.
答案:2
解析:由图可知,,,∴.
5.已知函数,,则实数的值等于.
考查目的:主要考查分段函数的函数值的求法.
答案:.
解析:∵,∴,∴,∴,∴只能有,.
6.在同一平面直角坐标系中,函数和的图象关于直线对称.
的图象是由两条线段组成的折线(如图),则函数的表达式为.
考查目的:主要考查函数的表示法:解析法与图像法,分段函数的表示.
答案:.
解析:点()关于直线对称的点为(),∴的图象上的三点(-2,0),(0,1),(1,3)关于直线对称的点分别为(0,-2),(1,0),(3,1),∴函数
.
三、解答题
7.已知的定义域是,求的表达式.
考查目的:主要考查函数的解析式的求法.一定要注意函数的定义域.
答案:.
解析:,令,则,且,∴,即,则.
8.某省两相近重要城市之间人员交流频繁,为了缓解交通压力,特修一条专用铁路,用一列火车作为交通车,已知该车每次拖4节车厢,一日能来回16次,如果每次拖7节车厢,则每日能来回10次.
⑴若每日来回的次数是车头每次拖挂车厢节数的一次函数,求此一次函数解析式;
⑵在⑴的条件下,每节车厢能载乘客110人,问这列火车每天来回多少次才能使运营人数最多?并求出每天最多运营人数.
考查目的:主要考查实际问题中求函数解析式、二次函数求最值.
解析:⑴设每日来回次,每次挂节车厢,,由题意知,当时,当时,∴,解得,∴;
⑵设每日来回次,每次挂节车厢,由题意知,每日挂车厢最多时,营运人数最多,设每日营运节车厢,则,∴当时,,此时,则每日最多运营人数为110×72=7920(人),即这列火车每天来回12次,才能使运营人数最多,每天最多运营人数为7920.。