2015年重庆中考各校录取分数线
- 格式:docx
- 大小:544.08 KB
- 文档页数:1
2013年重庆市联招分数线情况序号区县学校名称代码分数线1 市属中学市一中 1 6852 市属中学外国语学校 2 6743 市属中学南开中学 3 6884 市属中学西大附中 4 6775 南岸区广益中学 5 6516 渝中区求精中学 6 683.57 沙坪坝区市七中7 6388 市属中学市八中8 6839 巴南区清华中学9 62210 巴南区重庆实验中学10 643.511 南岸区市十一中11 668.512 合川区太和中学12 56313 北碚区兼善中学13 582.514 北碚区江北中学14 59915 合川区龙市中学15 563.516 合川区大石中学16 56317 南岸区辅仁中学17 58618 江北区市十八中18 66019 合川区云门中学19 56420 市属中学育才中学20 67421 巴南区鱼洞中学21 56322 巴南区大江中学22 56323 渝北区松树桥中学23 57324 渝北区暨华中学24 56325 渝北区南华中学25 565.526 渝北区渝北中学26 59827 渝中区市二十九中29 67128 渝中区市三十中30 586.529 大足区双桥中学31 56330 沙坪坝区市三十二中32 567.531 巴南区巴南中学34 56332 九龙坡区田家炳中学35 585.533 大渡口区市三十七中37 60134 永川区文理学院附中38 57835 璧山县来凤中学40 56436 市属中学巴蜀中学41 69137 渝中区市四十二中42 591.538 永川区永川中学43 626.539 永川区北山中学44 588.540 永川区萱花中学45 585.541 璧山县璧山中学46 56342 九龙坡区市47中“宏志班”47 668.543 北碚区市四十八中48 56344 万盛经开区万盛田家炳中学49 564.545 铜梁县铜梁中学50 631.546 铜梁县铜梁一中51 594.547 铜梁县铜梁二中52 56348 渝中区复旦中学53 629.549 合川区合川中学54 61450 合川区瑞山中学55 56351 巴南区木洞中学56 564.552 荣昌县荣昌中学57 604.553 九龙坡区渝高中学58 62554 沙坪坝区凤鸣山中学59 637.555 长寿区长寿中学60 56356 长寿区长寿一中61 56457 长寿区长寿二中62 56358 长寿区川维中学63 56359 长寿区长寿实验中学64 56360 大足区大足中学65 56361 渝中区市六十六中66 67062 大足区大足二中67 566.563 大足区大足一中68 563.564 荣昌县安富中学69 56365 沙坪坝区天星桥中学70 64866 沙坪坝区青木关中学71 579.567 渝北区华蓥中学72 566.568 荣昌县永荣中学73 56369 荣昌县仁义中学74 563.570 沙坪坝区大学城一中75 58371 江北区字水中学76 62572 江北区市二○三中学? 77 59173 渝北区经开育才中学78 56374 渝北区礼嘉中学79 564.575 九龙坡区杨家坪中学80 63876 九龙坡区铁路中学81 620.577 九龙坡区电厂中学82 563.578 九龙坡区渝西中学83 56379 南岸区南坪中学86 644.580 南岸区长生桥中学88 56381 南岸区第二外国语学校89 69182 渝北区两江中学96 56383 北碚区朝阳中学97 582.584 北碚区王朴中学98 56385 巴南区渝南田家炳中学99 563 :2012年重庆市中考首批录取分数线序号学校名称代码分数线1 市一中 1 6812 南开中学3 6833 市八中 8 6834 育才中学 20 6756 外国语学校 2 6757 西南大学附中 4 6768 求精中学 6 6759 市二十九中 29 66710 四十二中 42 61011 复旦中学 53 62812 市18中 18 66013 字水中学 76 631.514 市七中 7 66115 凤鸣山中学 59 634.516 青木关中学 71 611.517 市37中学 37 61718 铁路中学 81 636.519 杨家坪中学 80 629.520 渝西中学 83 57821 电厂中学 82 57822 渝高中学 58 61323 田家炳中学 35 57824 市十一中 11 67325 市南坪中学 86 649.526 广益中学 5 65127 第二外国语学校 89 683.528 辅仁中学 17 600.529 兼善中学 13 59030 江北中学 14 61031 朝阳中学 97 604.532 重庆市实验中学(巴县中学) 10 643.533 清华中学 9 62634 重庆市巴南中学(市34中学) 34 57835 渝北中学 26 60036 松树桥中学 23 57837 经开礼嘉中学 79 57838 长寿中学 60 58539 川维中学 63 57840 荣昌中学 57 61742 大足中学 65 621.543 永川中学 43 640.544 萱花中学 45 601.545 北山中学 44 610.546 文理学院附中 38 58347 合川中学 54 62348 璧山中学 46 600.549 铜梁中学 50 63150 铜梁一中 51 608.5。
就现在而言,以我对重庆主城区九区重点高中的了解,现在大致区分如下:一、市属重点中学:重庆南开、重庆一中、重庆巴蜀、外语校、重庆八中、重庆育才、西师附中。
二、市级重点中学:各主城区内最好的中学:渝中区:求精中学;江北区:重庆18中;南岸区:重庆11中;渝北区:渝北中学;北碚区:兼善中学;巴南区:巴县中学;九龙坡区:重庆铁路中学;沙坪坝区:重庆七中;大渡口区:重庆37中;三、市级重点中学:各主城区内第二名中学:渝中区:重庆29中;江北区:重庆字水中学;南岸区:二外;渝北区:松树桥中学;北碚区:朝阳中学和江北中学;巴南区:清华中学;九龙坡区:杨家坪中学;沙坪坝区:凤鸣山中学;大渡口区:无四、市级重点学:各主城区内第三名中学:渝中区:复旦中学和重庆42中;江北区:无;南岸区:广益中学和南坪中学;渝北区:暨华中学;北碚区:无;巴南区:无;九龙坡区:渝高中学、渝西中学和电厂中学;沙坪坝区:青木关中学;大渡口区:无。
以上只是不完全统计,不代表任何官方,只是个人的想法,不当之处,请多海量。
欢迎补充和提意见!!!附:2009年重庆主城九区重点高中中考录取分数线:1 重庆一中6982 南开中学6983 重庆八中6934 育才中学6795 巴蜀中学6986 外语学校6867 西师附中678 8 求精中学6739 二十九中643 10 四十二中590 11 复旦中学610 12 重庆18中658 13 字水中学631 14 重庆七中658 15 凤鸣山中学643 16 青木关中学627 17 重庆37中617 18 铁路中学655 19 杨家坪中学647 20 渝西中学590 21 电厂中学590 22 渝高中学621 23 重庆11中680 24 南坪中学622 25 广益中学620 26 二外语校665 27 兼善中学631 28 江北中学630 29 朝阳中学636 30 巴县中学666 31 清华中学646 32 渝北中学618 33 松树桥中学601 34 暨华中学591再附:08年主城九区重点中学录取分数线:1市一中708 2南开中学706 3市八中699 4育才中学690 5巴蜀中学703 6外国语学校696 7西师附中693 8求精中学684 9市二十九中652 10市四十二中590 11复旦中学628 12市18中671 13字水中学638 14市七中666 15凤鸣山中学664 16市37中学635 17铁路中学654 18杨家坪中学655 19渝西中学587 20电厂中学587 21渝高中学626 22市十一中684 23南坪中学630 24广益中学595 25第二外国语学校683 26兼善中学650 27江北中学648 28朝阳中学650 29巴县中学678 30清华中学655 31渝北中学653 32松树桥中学606 33暨华中学608。
2016年重庆中考各校录取分数线,分数线查询公布2016年重庆中考各校录取分数线,分数线查询公布1.今年我市职业学校录取总成绩780分(计算语文、数学、英语(含听力口语)、物理、化学、历史、地理、生物8门课)。
2.中职技校满额专业录取最低分。
青岛市2016年“3+4”本科录取线及市内三区普通高中学校录取线(第一次)一、“3+4”本科录取线1.“3+4”本科录取计算语文、数学、英语(含听力口语)、物理、化学、历史、地理、生物8门课,满分780分。
同分考生按照数学、物理、化学、语文、英语(含听力口语)、历史、地理、生物的顺序,依次比对成绩,优先顺序科目成绩高者优先录取。
2.“3+4”本科录取满额学校专业分数线学校代码学校名称专业名称计划数录取数录取分数线616A1青岛电子学校计算机应用4545608616A2青岛电子学校电气技术应用4545587.5617A1青岛旅游学校旅游服务与管理5050602.5643A1山东轻工工程学校数控技术应用4545585643A2山东轻工工程学校机电技术应用4545583643A3山东轻工工程学校模具制造技术4545565662A1青岛华夏职业教育中心学校会计4545611.5725A1青岛商务学校物流服务与管理4545591.5数学(83)说明:725A1物流服务与管理专业录取最低分591.5分,高于591.5分考生已经被该专业录取。
但591.5分有同分考生,超出招生计划,按照规定同分考生首先比较数学成绩,数学成绩高者优先录取,该专业录取的最后一名考生总分591.5分,其中数学成绩为83分。
760A1青岛外事服务职业学校进出口报关4545597.5762A1青岛交通职业学校汽车运用与维修4545565.5数学(79)物理(77.5)说明:762A1汽车运用与维修专业录取最低分565.5分,高于565.5分考生已经被该专业录取。
但565.5分有同分考生,超出招生计划,按照规定同分考生按照数学、物理的顺序,依次比对成绩,该专业录取的最后一名考生总分565.5分,其中数学成绩为79,物理成绩为77.5分。
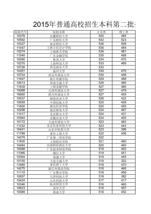
重庆市2015年普通高校招生录取信息表一提前批二贫困专项院校代号院校名称计划数录取数科类录取志愿录取最高分录取最低分1113北京印刷学院66理工类1志愿570.2451551.25011114北京石油化工学院66理工类1志愿588.2401561.22711121首都体育学院33理工类1志愿558.2331550.22111128北京物资学院77理工类1志愿585.2441574.23811143北京信息科技大学1414理工类1志愿583.2451572.22411148北京联合大学56理工类1志愿576.2491555.22611153中华女子学院2020理工类1志愿611.2691551.20511168中国劳动关系学院1313理工类1志愿585.2321546.23511173北京农学院33理工类1志愿570.2211551.22511204天津工业大学2121理工类1志愿584.2511573.23111205中国民航大学5252理工类1志愿613.2631572.22011206天津理工大学4142理工类1志愿584.2401562.23211209天津外国语大学88理工类1志愿588.2171574.23111216天津城建大学6565理工类1志愿595.2531552.22111251津职业技术师范大2424理工类1志愿555.2381527.21811254保定学院77理工类1志愿577.2361536.21611265天津商业大学33理工类1志愿569.2341551.21211267天津中医药大学22理工类1志愿575.2281539.22011270天津城建大学55理工类1志愿553.2211535.21511301河北工程大学3030理工类1志愿561.2141542.25911305河北师范大学1111理工类1志愿581.2271552.23411312北华航天工业学院2323理工类1志愿575.2691540.22911318河北金融学院1818理工类1志愿568.2321552.20011358河北医科大学1515理工类1志愿615.2431582.24711395河北中医学院1313理工类1志愿573.2371560.21711404山西农业大学6163理工类1志愿560.2241540.19511406山西大同大学2020理工类1志愿546.2171530.2201重庆市2015年普通高校招生录取信息表重庆2015年普招录取信息(本科二批理工类)2015-7-27 来源: 重庆招考信息网批次:本科第二批日期:2015-07-27 10:301434太原师范学院99理工类1志愿566.2261530.2301 1445晋中学院2020理工类1志愿543.2401527.2091 1446太原工业学院4040理工类1志愿555.2291534.2321 2108辽宁石油化工大学1515理工类1志愿575.2211540.2361 2109沈阳化工大学1010理工类1志愿579.2421549.2271 2110大连交通大学3032理工类1志愿578.2471566.2461 2113沈阳建筑大学1717理工类1志愿629.2621565.2431 2117辽宁医学院1515理工类1志愿586.2301569.2391 2129渤海大学22理工类1志愿549.2211546.2321 2130沈阳工程学院66理工类1志愿557.2381541.2381 2148沈阳大学22理工类1志愿556.2261554.2231 2178大连海洋大学1616理工类1志愿572.2541543.2401 2189沈阳医学院1313理工类1志愿589.2311573.2381 2207吉林农业大学2525理工类1志愿556.2391538.2151 2211长春师范大学1111理工类1志愿559.2461549.2271 2233吉林师范大学1010理工类1志愿559.2181537.2071 2246吉林医药学院2323理工类1志愿575.2411557.2151 2247吉林工商学院1011理工类1志愿556.2191540.2231 2256东北电力大学55理工类1志愿595.2511565.2151 2304黑龙江科技大学8080理工类1志愿562.2401538.2181 2306齐齐哈尔大学4747理工类1志愿574.2301534.2141 2340牡丹江医学院1717理工类1志愿578.2491560.2301 2352齐齐哈尔医学院2525理工类1志愿595.2491554.2311 3108上海电力学院2020理工类1志愿598.2431574.2281 3116上海体育学院34理工类1志愿572.2111536.1941 3121上海海关学院11理工类1志愿592.2331592.2331 3130上海第二工业大学1212理工类1志愿573.2371559.2341 3132上海海洋大学1414理工类1志愿577.2391563.2111 3133上海商学院1516理工类1志愿597.2491563.2241 3139上海工程技术大学4545理工类1志愿586.2531568.2371 3140上海政法学院66理工类1志愿574.2331569.2231 3141上海视觉艺术学院11理工类1志愿578.2621578.2621 3145上海电机学院3030理工类1志愿561.2281545.2331 3147上海立信会计学院1818理工类1志愿618.2721585.2341 3159上海应用技术学院4343理工类1志愿565.2331547.2241 3185上海海洋大学33理工类1志愿565.2221560.2441 3209常州大学66理工类1志愿575.2261558.2361 3212金陵科技学院1212理工类1志愿575.2441545.2451 3224淮阴工学院2020理工类1志愿552.2401534.2161 3227淮海工学院1616理工类1志愿557.2171534.2551 3228南京工程学院2121理工类1志愿589.2391566.2181 3230解放军理工大学55理工类1志愿600.2291579.2511 3261常熟理工学院2020理工类1志愿553.2141535.2321 3264盐城工学院55理工类1志愿549.2071541.2491 3265江苏理工学院1212理工类1志愿558.2621538.2421 3305浙江农林大学55理工类1志愿565.2251555.2231 3319嘉兴学院2121理工类1志愿567.2361538.20813320绍兴文理学院88理工类1志愿548.2301539.24313332宁波工程学院2025理工类1志愿563.2221542.21113335浙江海洋学院2022理工类1志愿573.2411544.22413349湖州师范学院66理工类1志愿545.2271538.23113403安徽工业大学3535理工类1志愿572.2321550.21113405安徽农业大学1818理工类1志愿561.2371546.24113406淮北师范大学1212理工类1志愿565.2361545.22113407安徽财经大学55理工类1志愿589.2531581.25613408安徽科技学院1515理工类1志愿551.2441534.25413414蚌埠学院1010理工类1志愿537.2331529.22213422安徽医科大学66理工类1志愿619.2491607.25913440安徽师范大学1011理工类1志愿582.2221552.20213505福建医科大学66理工类1志愿594.2611568.22413508莆田学院55理工类1志愿539.2111533.23513553三明学院44理工类1志愿531.2361527.21713554集美大学44理工类1志愿562.2381549.20513555泉州师范学院1212理工类1志愿561.2391530.21613569福建农林大学33理工类1志愿545.2101535.19513570厦门理工学院1616理工类1志愿565.2231540.22313605景德镇陶瓷学院1010理工类1志愿533.2161528.20713608赣南医学院2424理工类1志愿583.2451563.23413612井冈山大学66理工类1志愿542.2321529.22313616南昌工程学院1919理工类1志愿573.2441544.22313618宜春学院1010理工类1志愿556.2161528.22313629景德镇学院88理工类1志愿536.2191528.21813688江西理工大学77理工类1志愿550.2331536.21213707青岛农业大学1313理工类1志愿563.2601547.21813709临沂大学1212理工类1志愿567.2441544.24213713烟台大学1414理工类1志愿584.2321560.22513714山东交通学院2626理工类1志愿566.2381545.24413717潍坊学院1414理工类1志愿544.2361529.20913738济南大学88理工类1志愿574.2441554.23313742山东农业大学3232理工类1志愿573.2271546.19713745鲁东大学2121理工类1志愿558.2391546.21113781山东科技大学1818理工类1志愿578.2511567.24414101华北水利水电大学4545理工类1志愿579.2511559.24014104郑州轻工业学院2325理工类1志愿550.2141527.18714105河南工业大学4445理工类1志愿576.2551551.21414109河南中医学院66理工类1志愿569.2511551.24014110新乡医学院1414理工类1志愿604.2631568.22714114州航空工业管理学3838理工类1志愿585.2541538.20014115安阳工学院66理工类1志愿543.2251537.241128<, /TD>4142洛阳师范学院33理工类1志愿531.2511530.19314159郑州师范学院33理工类1志愿533.2241528.21714167河南工程学院1414理工类1志愿560.2331536.2251洛阳理工学院28理工类1志愿552.2381536.234141274168河南科技学院22理工类1志愿540.2231539.2471 4204武汉纺织大学88理工类1志愿561.2571548.2371 4205武汉轻工大学1515理工类1志愿576.2421557.2411 4206湖北工业大学1212理工类1志愿584.2391567.2401 4209湖北师范学院88理工类1志愿571.2411541.2381 4212湖北文理学院22理工类1志愿537.2301528.2121 4216湖北汽车工业学院1011理工类1志愿591.2391549.2461 4218湖北理工学院66理工类1志愿563.2561544.2231 4219湖北医药学院1011理工类1志愿593.2281575.2421 4246荆楚理工学院2323理工类1志愿550.2471535.2041 4304湖南农业大学1515理工类1志愿574.2431548.2041 4306湖南中医药大学1818理工类1志愿579.2441566.2371 4307湖南理工学院2121理工类1志愿574.2231555.2131 4311湖南科技学院78理工类1志愿550.2211541.2481 4312湖南商学院1212理工类1志愿580.2331562.2241 4313湖南工业大学8080理工类1志愿595.2591555.2391 4316湖南工程学院3434理工类1志愿566.2231546.1921 4318湖南城市学院1919理工类1志愿559.2271530.2221 4386长沙学院1818理工类1志愿554.2291543.2331 4392长沙师范学院44理工类1志愿548.2241536.2101 4398湖南第一师范学院1313理工类1志愿571.2221556.2271 4405广东海洋大学1011理工类1志愿569.2391557.2271 4409五邑大学99理工类1志愿575.2351544.2251 4410广东金融学院56理工类1志愿586.2421576.2411 4411广东石油化工学院1114理工类1志愿555.2361536.2141 4415京师范大学珠海分55理工类1志愿570.2241548.2231 4433惠州学院44理工类1志愿553.2251539.2021 4451广东药学院44理工类1志愿579.2401574.2411 4469广东财经大学33理工类1志愿588.2381586.2431 4504广西师范大学88理工类1志愿581.2411551.2411 4505河池学院55理工类1志愿529.2361527.1961 4525贺州学院34理工类1志愿533.2171528.2021 4552百色学院1010理工类1志愿534.2541529.2031 4555桂林医学院1010理工类1志愿573.2461568.2331 4566右江民族医学院1515理工类1志愿578.2241559.2191 4604海南师范大学2929理工类1志愿582.2471548.2201 5002重庆邮电大学439452理工类1志愿612.2661559.2441 5003重庆交通大学353360理工类1志愿589.2551565.2301 5012西南政法大学110110理工类1志愿598.2601570.2111 5077重庆师范大学145145理工类1志愿561.2441539.2151 5101成都医学院1010理工类1志愿615.2621586.2451 5105西南石油大学1818理工类1志愿577.2511572.2451 5120宜宾学院2020理工类1志愿555.2421536.2141 5123成都体育学院4648理工类1志愿563.2391530.2201 5126攀枝花学院1212理工类1志愿556.2401541.2271 5129西昌学院1515理工类1志愿553.2161531.2071 5137四川文理学院1010理工类1志愿565.2201545.22715138成都工业学院2222理工类1志愿560.2361550.2561 5139四川旅游学院66理工类1志愿554.2211527.1891 5151四川警察学院1010理工类1志愿567.2441553.2271 5180成都学院2222理工类1志愿588.2391549.2271 5182成都师范学院1515理工类1志愿561.2321543.2211 5204贵阳中医学院1616理工类1志愿607.2571561.2421 5205贵州师范大学55理工类1志愿555.2261548.1921 5215贵阳学院66理工类1志愿543.2521535.2391 5236铜仁学院2222理工类1志愿547.2231530.2081 5238州工程应用技术学44理工类1志愿543.2161532.2241 5241凯里学院33理工类1志愿535.2041527.2091 5250贵州财经大学1010理工类1志愿566.2421557.2291 5304西南林业大学6063理工类1志愿575.2411551.2431 5306云南师范大学55理工类1志愿561.2211547.2051 5307曲靖师范学院1112理工类1志愿543.2091528.2041 5309云南民族大学99理工类1志愿555.2251544.2251 5310玉溪师范学院66理工类1志愿531.2221527.1991 5318昆明学院1010理工类1志愿549.2421541.2121 5319文山学院44理工类1志愿535.2031528.2191 5334云南警官学院55理工类1志愿561.2451547.2271 5336保山学院22理工类1志愿553.2351547.2331 5351昆明医科大学1111理工类1志愿630.2671590.2441 5380云南农业大学11理工类1志愿527.2201527.2201 5401西藏大学4343理工类1志愿570.2381530.2641 6108西安石油大学1316理工类1志愿578.2421556.2171 6110西安工程大学1111理工类1志愿565.2351550.2351 6112延安大学2121理工类1志愿574.2421551.2201 6113渭南师范学院44理工类1志愿533.2031530.2041 6114西安外国语大学67理工类1志愿583.2151574.2271 6120西安邮电大学2323理工类1志愿583.2431567.2311 6122宝鸡文理学院78理工类1志愿534.2091530.2011 6129西安文理学院44理工类1志愿540.1941537.2381 6173陕西中医药大学1010理工类1志愿589.2291566.2271 6174榆林学院33理工类1志愿541.2371530.2181 6175安康学院44理工类1志愿534.1821530.2231 6206兰州财经大学2222理工类1志愿566.2101549.2081 6207西北民族大学4346理工类1志愿557.2401535.2061 6217西北师范大学2222理工类1志愿580.2491555.2131 6228西北民族大学6567理工类1志愿564.2361527.2271 6302青海民族大学1414理工类1志愿548.2291529.2221 6403北方民族大学3637理工类1志愿554.2271530.2201 6512新疆工程学院1818理工类1志愿548.2331527.2131 9909湖北警官学院66理工类1志愿550.2081545.2161 9910湖北经济学院77理工类1志愿571.2351553.2181 9927湖北工业大学34理工类1志愿551.2201537.2321三。
6月28日,成都中考重点线确定为650分,6月29日-7月2日,各个学校都在举办招生咨询会,下面是招生咨询会的反总表。
2015年成都市中考各普通高中录取分数线(汇总)石室天府中学班不交钱,540可以录,交三万左右,中分2万管3年500以下不考虑,2个国防生班(大致略低于560 )595。
成都市重点线以上但又未561分分6万,少一分300;490分以下原则上540分以上;分数540以上缴纳少部分分以上1.5万,530分以上2.3万530分;实验班(成都七中460+测试;高中预科班中考成绩+面试 咨询电话028—660006184.5万4万,500分的6万万;540分交3.5万;535分交4.5万;元;500-495起价3.6万,每分500元600以上 ;课改实验班万,530以上8万580竞赛实验班。
现场区外生价:58(区外生今天交费截止,区内生费用大),额满为止。
8:30一12:00带上中考分数单及《提分收27000元;589-585分收36000分为一等;600----609分为二3.6万元学费。
615分以上可录取并建实外学籍。
到校统招。
560承诺实验班,515可咨询0.7万);600-609免学费8.74万9600元。
本地生540不交钱,之后差10分交590分及以上元),585-589分的三年5000元,580-分收27000元;589-585分收36000574-570收63000元分为一等;600----609分为二3.6万元学费。
615分以上可录取并建实外学籍。
),额满为止。
8:30一12:00带上中考分数单及《提0.7万);600-609免学费8.74万各个学校都在举办招生咨询会,下面是招生咨询会的反馈高中录取分数线(汇总)分数线交3,530~网班;560复是否录取一分300;,每分500 0上1.8万,450大概355万;545 8万,每分9900108580 530免费,560 550分交(6月30 000;入实验班。
扫盲,中招考不上联招高中怎么办?这些普高不得不看1在中考来临之际,相信很多家长都在为给孩子填报志愿,选择就读学校而发愁。
选择学校是家长们的头等大事,而重庆学校数量较多,联招区内光市重点高中就67所,很多家长不知道应该如何选择。
尤其是如果孩子成绩达不到联招线,家长选择学校的时候就更纠结了,这时候,应该如何进行选择呢。
经常会看到中考交流群内家长讨论“未到联招线,如何进行高中学校的选择”,为了解答家长的疑惑,给到家长一定的参考意见,我们特地搜集了重庆市主城区几所非联招普高,供家长朋友们填报志愿时做参考。
相信各位家长都有了解过,重庆中考志愿填报是在中考结束后。
因此,在考后学生和家长第一时间应该做的就是进行分数的估计,然后结合近几年各学校的录取分数进行志愿填报。
2在上一讲中考政策 | 重庆联招招生计划背后的故事里面,我们讲到重庆9个主城区与7个其它区县的联招招生计划,2019年普通高中招生计划为19.5万人,市重点指标到校生2.8万人,联招中考共计招生4.8万人,其中统一录取约1.9万人,中职校招生计划12.2万,要想就读重庆市内联招高中必须达到重庆市联招最低送档线(即联招线)。
而每年各个学校的中考录取分数线出来前,中考最低联招录取分数线会提前出炉,比如2018年重庆中考最低联招录取线是543分,2017年重庆中考最低联招录取分数线是553分,2016年是542分, 2015年是570分。
这个分数线是什么意思呢?也就是说中考成绩上了联招最低录取分数线,孩子们才能填报联招学校,没有上最低录取分数线,就不能填报联招学校,如果达不到该线一般有四种办法:1、部分联招线附近的学校可以接收联招线下的学生,但需要缴纳一定的择校费,这部分学校较少也要参考具体中考分数,到时候可以具体咨询下。
2、选择联招线下的普通高中。
基本上每个区都有一些普通高中,他们的收分在联招线下,如果觉得孩子小还是需要多读书的可以考虑选择这种普高。
3、选择中职。
重庆前50名重点高中排名表重庆作为一个重要的教育中心,拥有众多优秀的高中学校。
在这里,我将为大家介绍一份重庆前50名重点高中排名表,并对排名靠前的几所学校进行简要介绍。
排名学校名称1 重庆南开中学2 重庆市第一中学3 重庆巴蜀中学4 重庆市第二中学5 重庆市第三中学6 重庆市第四中学7 重庆市第五中学8 重庆市第六中学9 重庆市第七中学10 重庆市第八中学11 重庆市第九中学12 重庆市第十中学13 重庆市第十一中学14 重庆市第十二中学15 重庆市第十三中学16 重庆市第十四中学18 重庆市第十六中学19 重庆市第十七中学20 重庆市第十八中学21 重庆市第十九中学22 重庆市第二十中学23 重庆市第二十一中学24 重庆市第二十二中学25 重庆市第二十三中学26 重庆市第二十四中学27 重庆市第二十五中学28 重庆市第二十六中学29 重庆市第二十七中学30 重庆市第二十八中学31 重庆市第二十九中学32 重庆市第三十中学33 重庆市第三十一中学34 重庆市第三十二中学35 重庆市第三十三中学36 重庆市第三十四中学37 重庆市第三十五中学38 重庆市第三十六中学40 重庆市第三十八中学41 重庆市第三十九中学42 重庆市第四十中学43 重庆市第四十一中学44 重庆市第四十二中学45 重庆市第四十三中学46 重庆市第四十四中学47 重庆市第四十五中学48 重庆市第四十六中学49 重庆市第四十七中学50 重庆市第四十八中学重庆南开中学位列重庆前50名重点高中排名榜首,是一所历史悠久、声誉卓著的学府。
学校注重学术研究,教师团队实力强大,拥有一流的教育资源。
学校致力于培养学生的综合素质,强调学术知识与实践能力的结合。
在国内外学术竞赛中屡获佳绩,是重庆市重点高中的典范。
重庆市第一中学位居第二名,也是一所享有盛誉的学府。
学校以严谨的学风和丰富的教育资源而著名,拥有一支高水平的教师队伍。
学校重视培养学生的创新能力和综合素质,注重学生的实践能力培养。
2016年重庆中考各校录取分数线,分数线查询公布2016年重庆中考各校录取分数线,分数线查询公布1.今年我市职业学校录取总成绩780分(计算语文、数学、英语(含听力口语)、物理、化学、历史、地理、生物8门课)。
2.中职技校满额专业录取最低分。
青岛市2016年“3+4”本科录取线及市内三区普通高中学校录取线(第一次)一、“3+4”本科录取线1.“3+4”本科录取计算语文、数学、英语(含听力口语)、物理、化学、历史、地理、生物8门课,满分780分。
同分考生按照数学、物理、化学、语文、英语(含听力口语)、历史、地理、生物的顺序,依次比对成绩,优先顺序科目成绩高者优先录取。
2.“3+4”本科录取满额学校专业分数线学校代码学校名称专业名称计划数录取数录取分数线616A1青岛电子学校计算机应用4545608616A2青岛电子学校电气技术应用4545587.5617A1青岛旅游学校旅游服务与管理5050602.5643A1山东轻工工程学校数控技术应用4545585643A2山东轻工工程学校机电技术应用4545583643A3山东轻工工程学校模具制造技术4545565662A1青岛华夏职业教育中心学校会计4545611.5725A1青岛商务学校物流服务与管理4545591.5数学(83)说明:725A1物流服务与管理专业录取最低分591.5分,高于591.5分考生已经被该专业录取。
但591.5分有同分考生,超出招生计划,按照规定同分考生首先比较数学成绩,数学成绩高者优先录取,该专业录取的最后一名考生总分591.5分,其中数学成绩为83分。
760A1青岛外事服务职业学校进出口报关4545597.5762A1青岛交通职业学校汽车运用与维修4545565.5数学(79)物理(77.5)说明:762A1汽车运用与维修专业录取最低分565.5分,高于565.5分考生已经被该专业录取。
但565.5分有同分考生,超出招生计划,按照规定同分考生按照数学、物理的顺序,依次比对成绩,该专业录取的最后一名考生总分565.5分,其中数学成绩为79,物理成绩为77.5分。