机械设计基础第10章 轮系(课后答案)
- 格式:doc
- 大小:180.00 KB
- 文档页数:6
机械设计基础课后题答案1-1至1-4解机构运动简图如下图所示。
图 1.11 题1-1解图图1.12 题1-2解图图1.13 题1-3解图图1.14 题1-4解图1-5 解1-6 解1-7 解1-8 解1-9 解1-10 解1-11 解1-12 解1-13解该导杆机构的全部瞬心如图所示,构件1、3的角速比为:1-14解该正切机构的全部瞬心如图所示,构件3的速度为:,方向垂直向上。
1-15解要求轮1与轮2的角速度之比,首先确定轮1、轮2和机架4三个构件的三个瞬心,即,和,如图所示。
则:,轮2与轮1的转向相反。
1-16解(1)图a中的构件组合的自由度为:自由度为零,为一刚性桁架,所以构件之间不能产生相对运动。
(2)图b中的CD 杆是虚约束,去掉与否不影响机构的运动。
故图b中机构的自由度为:所以构件之间能产生相对运动。
题2-1答: a ),且最短杆为机架,因此是双曲柄机构。
b ),且最短杆的邻边为机架,因此是曲柄摇杆机构。
c ),不满足杆长条件,因此是双摇杆机构。
d ),且最短杆的对边为机架,因此是双摇杆机构。
题2-2解: 要想成为转动导杆机构,则要求与均为周转副。
( 1 )当为周转副时,要求能通过两次与机架共线的位置。
见图2-15 中位置和。
在中,直角边小于斜边,故有:(极限情况取等号);在中,直角边小于斜边,故有:(极限情况取等号)。
综合这二者,要求即可。
( 2 )当为周转副时,要求能通过两次与机架共线的位置。
见图2-15 中位置和。
在位置时,从线段来看,要能绕过点要求:(极限情况取等号);在位置时,因为导杆是无限长的,故没有过多条件限制。
( 3 )综合( 1 )、( 2 )两点可知,图示偏置导杆机构成为转动导杆机构的条件是:题2-3 见图 2.16 。
图2.16题2-4解: (1 )由公式,并带入已知数据列方程有:因此空回行程所需时间;(2 )因为曲柄空回行程用时,转过的角度为,因此其转速为:转/ 分钟题2-5解: ( 1 )由题意踏板在水平位置上下摆动,就是曲柄摇杆机构中摇杆的极限位置,此时曲柄与连杆处于两次共线位置。
第11章 蜗杆传动11.1 蜗杆传动的特点及使用条件是什么?答:蜗杆传动的特点是:结构紧凑,传动比大。
一般在传递动力时,10~80i =;分度传动时只传递运动,i 可达1 000;传动平稳,无噪声;传动效率低;蜗轮一般用青铜制造,造价高;蜗杆传动可实现自锁。
使用条件:蜗杆传动用于空间交错(90)轴的传动。
用于传动比大,要求结构紧凑的传动,传递功率一般小于50kW 。
11.2 蜗杆传动的传动比如何计算?能否用分度圆直径之比表示传动比?为什么?答:蜗杆传动的传动比可用齿数的反比来计算,即1221i n n z z ==;不能用分度圆直径之比表示传动比,因为蜗杆的分度圆直径11d mq mz =≠。
11.3 与齿轮传动相比较,蜗杆传动的失效形式有何特点?为什么?答:蜗杆传动的失效形式与齿轮传动类似,有点蚀、弯曲折断、磨损及胶合。
但蜗杆传动中蜗轮轮齿的胶合、磨损要比齿轮传动严重得多。
这是因为蜗杆传动啮合齿面间的相对滑动速度大,发热严重,润滑油易变稀。
当散热不良时,闭式传动易发生胶合。
在开式传动及润滑油不清洁的闭式传动中,轮齿磨损较快。
11.4 何谓蜗杆传动的中间平面?中间平面上的参数在蜗杆传动中有何重要意义? 答:蜗杆传动的中间平面是通过蜗杆轴线且垂直于蜗轮轴线的平面。
中间平面上的参数是标准值,蜗杆传动的几何尺寸计算是在中间平面计算的。
在设计、制造中,皆以中间平面上的参数和尺寸为基准。
11.5 试述蜗杆直径系数的意义,为何要引入蜗杆直径系数q ?答:蜗杆直径系数的意义是:蜗杆的分度圆直径与模数的比值,即1q d m =。
引入蜗杆直径系数是为了减少滚刀的数量并有利于标准化。
对每个模数的蜗杆分度圆直径作了限制,规定了1~4个标准值,则蜗杆直径系数也就对应地有1~4个标准值。
11.6 何谓蜗杆传动的相对滑动速度?它对蜗杆传动有何影响?答:蜗杆传动的相对滑动速度是由于轴交角90∑=,蜗杆与蜗轮啮合传动时,在轮齿节点处,蜗杆的圆周速度1v 和蜗轮的圆周速度2v 也成90夹角,所以蜗杆与蜗轮啮合传动时,齿廓间沿蜗杆齿面螺旋线方向有较大的相对滑动速度s v ,其大小为s 1cos v v λ==。
机械设计基础课后习题答案第三版课后答案(1-18章全) 完整版机械设计基础课后习题答案第三版高等教育出版社目录第1章机械设计概述1第2章摩擦、磨损及润滑概述 3第3章平面机构的结构分析12第4章平面连杆机构16第5章凸轮机构 36第6章间歇运动机构46第7章螺纹连接与螺旋传动48第8章带传动60第9章链传动73第10章齿轮传动80第11章蜗杆传动112第12章齿轮系124第13章机械传动设计131第14章轴和轴毂连接133第15章轴承138第16章其他常用零、部件152第17章机械的平衡与调速156第18章机械设计CAD简介163机械设计概述机械设计过程通常分为哪几个阶段?各阶段的主要内容是什么?答:机械设计过程通常可分为以下几个阶段:1.产品规划主要工作是提出设计任务和明确设计要求。
2.方案设计在满足设计任务书中设计具体要求的前提下,由设计人员构思出多种可行方案并进行分析比较,从中优选出一种功能满足要求、工作性能可靠、结构设计可靠、结构设计可行、成本低廉的方案。
3.技术设计完成总体设计、部件设计、零件设计等。
4.制造及试验制造出样机、试用、修改、鉴定。
常见的失效形式有哪几种?答:断裂,过量变形,表面失效,破坏正常工作条件引起的失效等几种。
什么叫工作能力?计算准则是如何得出的?答:工作能力为指零件在一定的工作条件下抵抗可能出现的失效的能力。
对于载荷而言称为承载能力。
根据不同的失效原因建立起来的工作能力判定条件。
标准化的重要意义是什么?答:标准化的重要意义可使零件、部件的种类减少,简化生产管理过程,降低成本,保证产品的质量,缩短生产周期。
第2章摩擦、磨损及润滑概述按摩擦副表面间的润滑状态,摩擦可分为哪几类?各有何特点?答:摩擦副可分为四类:干摩擦、液体摩擦、边界摩擦和混合摩擦。
干摩擦的特点是两物体间无任何润滑剂和保护膜,摩擦系数及摩擦阻力最大,磨损最严重,在接触区内出现了粘着和梨刨现象。
液体摩擦的特点是两摩擦表面不直接接触,被液体油膜完全隔开,摩擦系数极小,摩擦是在液体的分子间进行的,称为液体润滑。
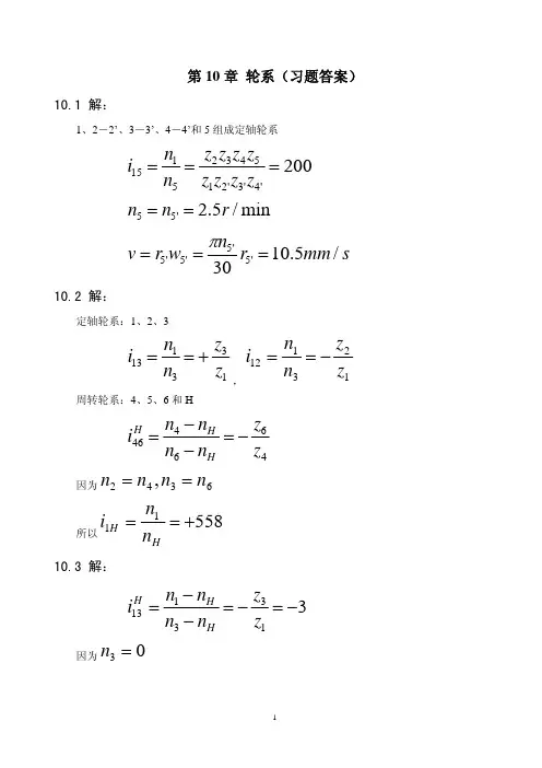
`习题复习10-1.在图10-15轮系中,已知Z1=15,Z2=25,Z3=15,Z4=30,Z5=15,Z6=30,求的大小和方向。
i16 解:的方向如右图所示:i1 6n1 Z 2 * Z 4 * Z 6 i16 = = n6 Z1 * Z 3 * Z 5==25 * 30 * 30 15 *15 *1520 3习题复习10-2.图10-16轮系中,各齿轮为标准齿轮、标准安装,已知齿轮1、2、3的齿数分别为Z1、Z2、Z3,求模数相同时的Z4及i14 。
解:由已知条件知:a12 = m ( z1 + z 2 ) m ( z 3 + z 4 ) = = a34 2 2∴z4 = z1 + z2 + z31z2 z4 z ( z + z + z3 ) i14 = ( − 1) =− 2 1 2 z1 z3 zz1 32 z1 z3 + z1 z2 + z2 =− z1 z3习题复习10-4.图10-18所示为NGW型行星齿轮减速器,Z1=20、Z2=31、Z3=82,n1=960r/min,求i1H 和n H 。
解:H n1 − nH Z 2 Z3 82 i13 = = (− )( ) = − n3 − nH Z1 Z 2 20将n1 = 960r / min, n3 = 0代入上式得960 − nH 82 =− −nH 20 960 * 20 则nH = = 188.24 r / min 82 + 20i1 H n1 960 = = = 5.1 n H 188.2411-1.按载荷分类,轴有哪几种类型?它们各承受什么载荷?答:根据所承受载荷的不同,轴可分为转轴、传动轴和心轴三类。
转轴既承受转矩又承受弯矩;传动轴主要承受转矩,不承受或承受很小的弯矩;心轴只承受弯矩而不承受转矩。
习题复习11-2.若轴的强度不足或刚度不足时,可分别采取哪些措施?答:轴的强度不足时通常采取以下两种方式提高强度:(1)减小轴的应力集中多数转轴在变应力作用下工作,易发生疲劳破坏,所以,轴肩处应有较大的过渡圆角;轴的直径变化应尽可能小;当靠轴肩定位零件的圆角半径过小时,可采用内凹圆角或加装隔离环;键槽端部与轴肩的距离不宜过小,以免损伤轴肩处的过渡圆角和增加重叠应力集中源的数量;尽可能避免在轴上受载较大的轴段切制螺纹。
习题与参考答案一、单项选择题(从给出的A 、B 、C 、D 中选一个答案)1 带传动是依靠 B 来传递运动和功率的。
A. 带与带轮接触面之间的正压力B. 带与带轮接触面之间的摩擦力C. 带的紧边拉力D. 带的松边拉力2 带张紧的目的是 D 。
A. 减轻带的弹性滑动B. 提高带的寿命C. 改变带的运动方向D. 使带具有一定的初拉力3 与链传动相比较,带传动的优点是 A 。
A. 工作平稳,基本无噪声B. 承载能力大C. 传动效率高D. 使用寿命长4 与平带传动相比较,V 带传动的优点是 D 。
A. 传动效率高B. 带的寿命长C. 带的价格便宜D. 承载能力大5 选取V 带型号,主要取决于 A 。
A. 带传递的功率和小带轮转速B. 带的线速度C. 带的紧边拉力D. 带的松边拉力6 V 带传动中,小带轮直径的选取取决于 C 。
A. 传动比B. 带的线速度C. 带的型号D. 带传递的功率7 中心距一定的带传动,小带轮上包角的大小主要由 D 决定。
A. 小带轮直径B. 大带轮直径C. 两带轮直径之和D. 两带轮直径之差8 两带轮直径一定时,减小中心距将引起 D 。
A. 带的弹性滑动加剧B. 带传动效率降低C. 带工作噪声增大D. 小带轮上的包角减小9 带传动的中心距过大时,会导致 D 。
A. 带的寿命缩短B. 带的弹性滑动加剧C. 带的工作噪声增大D. 带在工作时出现颤动10 若忽略离心力影响时,刚开始打滑前,带传动传递的极限有效拉力Felim 与初拉力F 0之间的关系为 C 。
A. Felim )1/(20-=ααv f v f e e F B. F elim )1/()1(20-+=ααv f v f e e F C. F elim )1/()1(20+-=ααv f v f e e F D. F elim ααv f v f e e F /)1(20+=11 设计V 带传动时,为防止 A ,应限制小带轮的最小直径。
机械设计基础1-5至1-12 指出(题1-5图~1-12图)机构运动简图中的复合铰链、局部自由度和虚约束,计算各机构的自由度,并判断是否具有确定的运动。
1-5 解 F =H L P P n --23=18263-⨯-⨯=11-6 解F =H L P P n --23=111283-⨯-⨯=11-7 解F =H L P P n --23=011283-⨯-⨯=21-8 解F =H L P P n --23=18263-⨯-⨯=11-9 解F =H L P P n --23=24243-⨯-⨯=21-10 解F =H L P P n --23=212293-⨯-⨯=11-11 解F =H L P P n --23=24243-⨯-⨯=21-12 解F =H L P P n --23=03233-⨯-⨯=32-1 试根据题2-1图所标注的尺寸判断下列铰链四杆机构是曲柄摇杆机构、双曲柄机构还是双摇杆机构。
题2-1图答 : a )160907015011040=+<=+,且最短杆为机架,因此是双曲柄机构。
b )1707010016512045=+<=+,且最短杆的邻边为机架,因此是曲柄摇杆机构。
c )132627016010060=+>=+,不满足杆长条件,因此是双摇杆机构。
d )1909010015010050=+<=+,且最短杆的对边为机架,因此是双摇杆机构。
2-3 画出题2-3图所示个机构的传动角和压力角。
图中标注箭头的构件为原动件。
题2-3图解:2-5 设计一脚踏轧棉机的曲柄摇杆机构,如题2-5图所示,要求踏板CD 在水平位置上下各摆10度,且500CD l mm =,1000AD l mm =。
(1)试用图解法求曲柄AB 和连杆BC 的长度;(2)用式(2-6)和式(2-6)’计算此机构的最小传动角。
题2-5图解 : ( 1 )由题意踏板CD 在水平位置上下摆动 10,就是曲柄摇杆机构中摇杆的极限位置,此时曲柄与连杆处于两次共线位置。
机械设计基础复习大纲2011、4、3第1章绪论掌握:机器的特征:人为的实物组合、各实物间具有确定的相对运动、有机械能参与或作机械功机器的组成:驱动部分+传动部分+执行部分了解:机器、机构、机械、常用机构、通用零件、标准件、专用零件和部件的概念课程内容、性质、特点和任务第2章机械设计概述了解:与机械设计有关的一些基础理论与技术,机器的功能分析、功能原理设计,机械设计的基本要求和一般程序、机械运动系统方案设计的基本要求和一般程序、机械零件设计的基本要求和一般程序,机械设计的类型和常用的设计方法第3章机械运动设计与分析基础知识掌握:构件的定义(运动单元体)、分类(机架、主动件、从动件)构件与零件(加工、制造单元体)的区别平面运动副的定义、分类(低幅:转动副、移动副;高副:平面滚滑副)各运动副的运动特征、几何特征、表示符号及位置机构运动简图的画法(注意标出比例尺、主动件、机架和必要的尺寸)机构自由度的定义(具有独立运动的数目)平面运动副引入的约束数(低幅:引入2个约束;高副:引入1个约束)平面机构自由度计算(F=3n-2P5-P4)应用自由度计算公式时的注意事项(复合铰链、局部自由度、虚约束、公共约束)机构具有确定运动的条件(机构主动件数等于机构的自由度)速度瞬心定义(绝对速度相等的瞬时重合点)瞬心分类:绝对瞬心(绝对速度相等且为零的瞬时重合点,位于绝对速度的垂线上)相对瞬心(绝对速度相等但不为零的瞬时重合点,位于相对速度的垂线上)速度瞬心的数目:K=N(N—1)/2速度瞬心的求法:观察法:转动副位于转动中心;移动副位于垂直于导轨的无穷远;高副位于过接触点的公法线上三心定理:互作平面平行运动的三个构件共有三个瞬心,且位于同一直线上用速度瞬心求解构件的速度(关键找到三个速度瞬心,建立同速点方程,然后求解)了解:运动链的定义及其分类(闭式链:单环链、多环链;开式链)运动链成为机构的条件(具有一个机架、具有足够的主动件)机动示意图(不按比例)与机构运动简图的区别第6章平面连杆机构掌握:平面连杆机构组成(构件+低副;各构件互作平行平面运动)──低副机构平面连杆的基本型式(平面四杆机构)、平面四杆机构的基本型式(铰链四杆机构)铰链四杆机构组成(四构件+四转动副)铰链四杆机构各构件名称(机架、连杆、连架杆、曲柄、摇杆、固定铰链、活动铰链)铰链四杆机构的分类:曲柄摇杆机构、双曲柄机构、双摇杆机构铰链四杆机构的变异方法:改变构件长度、改变机架(倒置)铰链四杆机构的运动特性:曲柄存在条件:①最长杆长度+最短杆长度≤其余两杆长度之和②连架杆与机架中有一杆为四杆中之最短杆曲柄摇杆机构的极限位置(曲柄与连杆共线位置)曲柄摇杆机构的极位夹角θ(两极限位置时曲柄所夹锐角)曲柄摇杆机构的急回特性及行程速比系数平面四杆机构的运动连续性铰链四杆机构的传力特性:压力角α:不计摩擦、重力、惯性力时从动件受力方向与受力点速度方向间所夹锐角传动角γ:压力角的余角许用压力角[]︒=40α~︒50、许用传动角[]︒=50γ~︒40曲柄摇杆机构最小传动角位置(曲柄与机架共线的两位置中的一个)死点位置:传动角为零的位置(︒=0γ)实现给定连杆二个或三个位置的设计实现给定行程速比系数的四杆机构设计:曲柄摇杆、曲柄滑块和摆动导杆机构了解:连杆机构的特点、铰链四杆机构以及变异后机构的特点及应用、死点(止点)位置的应用和渡过 基本设计命题:实现给定的运动要求:连杆有限位置、连架杆对应角位移、轨迹满足各种附加要求:曲柄存在条件、运动连续条件、传力及其他条件实验法设计实现给定连杆轨迹的四杆机构,解析法设计实现给定两连架杆对应位置的四杆机构第7章 凸轮机构掌握:凸轮机构的组成(凸轮+从动件+机架)──高副机构凸轮机构的分类:按凸轮分类:平面凸轮(盘形凸轮、移动凸轮),空间凸轮按从动件分类:端部形状:尖端、滚子、平底、曲面运动形式:移动、摆动安装方式:对心、偏置按锁合方式分类:力锁合、形锁合基圆(理论廓线上最小向径所作的圆)、理论廓线、实际廓线、行程从动件运动规律(升程、回程、远休止、近休止)刚性冲击(硬冲:速度突变,加速度无穷大)、柔性冲击(软冲:加速度突变)运动规律特点:等速运动规律:速度为常数、始末两点存在硬冲、用于低速等加速等减速:加速度为常数、始末中三点存在软冲、不宜用于高速余弦加速度:停─升─停型:始末两点存在软冲、不宜用于高速升─降─升型:无冲击、可用于高速正弦加速度:无冲击、可用于高速反转法绘制凸轮廓线的方法:对心或偏置尖端移动从动件,对心或偏置滚子移动从动件滚子半径的选择、基圆半径的确定、运动失真及其解决的方法了解:凸轮机构的特点、凸轮机构的应用、凸轮机构的一般命名原则四种运动规律的推导方法和位移曲线的画法运动规律的基本形式:停─升─停;停─升─降─停;升─降─升运动规律的选择原则,平底从动件凸轮廓线的绘制方法及运动失真的解决方法机构自锁、偏置对压力角的影响,压力角α、许用压力角[]α、临界压力角c α三者关系:[]c ααα<≤max第8章 齿轮传动掌握:齿轮机构的组成(主动齿轮+从动齿轮+机架)──高副机构圆形齿轮机构分类:平行轴:直齿圆柱齿轮机构(外啮合、内啮合、齿轮齿条)斜齿圆柱齿轮机构(外啮合、内啮合、齿轮齿条)人字齿轮机构相交轴:圆锥齿轮机构(直齿、斜齿、曲齿)相错轴:螺旋齿轮机构、蜗轮蜗杆机构齿廓啮合基本定律(两轮的传动比等于公法线割连心线线段长度之反比)定传动比条件、节点、节圆、共轭齿廓渐开线的形成、特点及方程一对渐开线齿廓啮合特性:定传动比特性、啮合角和啮合线保持不变、可分性渐开线齿轮各部分名称:齿数、模数、压力角、顶隙、分度圆、基圆、齿顶圆、齿根圆齿顶高、齿根高、齿全高、齿距(周节)、齿厚、齿槽宽标准直齿圆柱齿轮的基本参数:齿数z 、模数m 、压力角α(︒20)齿顶高系数*a h (1.0、0.8)、顶隙系数*c (0。
第十章 齿轮传动10.1渐开线性质有哪些?答:(1)发生线在基圆上滚过的长度等于基圆上被滚过的弧长,即 NK NA=。
(2)因为发生线在基圆上作纯滚动,所以它与基圆的切点N 就是渐开线上K 点的瞬时速度中心,发生线NK 就是渐开线在K 点的法线,同时它也是基圆在N 点的切线。
(3)切点N 是渐开线上K 点的曲率中心,NK 是渐开线上K 点的曲率半径。
离基圆越近,曲率半径越少。
(4)渐开线的形状取决于基圆的大小。
基圆越大,渐开线越平直。
当基圆半径无穷大时,渐开线为直线。
(5)基圆内无渐开线。
10.2何谓齿轮中的分度圆?何谓节圆?二者的直径是否一定相等或一定不相等?答:分度圆为人为定的一个圆。
该圆上的模数为标准值,并且该圆上的压力角也为标准值。
节圆为啮合传动时,以两轮心为圆心,圆心至节点p 的距离为半径所作的圆。
标准齿轮采用标准安装时,节圆与分度圆是相重合的;而采用非标准安装,则节圆与分度圆是不重合的。
对于变位齿轮传动,虽然齿轮的分度圆是不变的,但与节圆是否重合,应根据具体的传动情况所决定。
10.3在加工变位齿轮时,是齿轮上的分度圆与齿条插刀上的节线相切作纯滚动,还是齿轮上的节圆与齿条插刀上的分度线相切作纯滚动?答:是齿轮上的分度圆与齿条插刀上的节线相切。
10.4为了使安装中心距大于标准中心距,可用以下三种方法:(1)应用渐开线齿轮中心距的可分性。
(2)用变位修正的直齿轮传动。
(3)用标准斜齿轮传动。
试比较这三种方法的优劣。
答:(1)此方法简易可行,但平稳性降低,为有侧隙啮合,所以冲击、振动、噪声会加剧。
(2)采用变位齿轮传动,因a a '>,所以应采用正传动。
可使传动机构更加紧凑,提高抗弯强度和齿面接触强度,提高耐磨性,但互换性变差,齿顶变尖,重合度下降也较多。
(3)采用标准斜齿轮传动,结构紧凑,且进入啮合和脱离啮合是一个逐渐的过程,传动平稳,冲击、噪声小,而斜齿轮传动的重合度比直齿轮大,所以传动平稳性好。
机械设计基础之轮系详解在机械工程中,轮系的设计与使用至关重要。
轮系主要由一系列相互啮合的齿轮组成,通过齿轮的旋转运动,可以实现动力的传输、速度的改变、方向的转换等功能。
本文将详细解析轮系的基本概念、类型及设计要点。
一、轮系的类型根据齿轮轴线的相对位置,轮系可以分为两大类:平面轮系和空间轮系。
1、平面轮系:所有齿轮的轴线都在同一平面内。
这种类型的轮系在机械设计中最为常见,包括定轴轮系、周转轮系和混合轮系。
2、空间轮系:齿轮的轴线不在同一平面内,而是相互交错。
这种类型的轮系相对复杂,包括差动轮系和行星轮系。
二、定轴轮系定轴轮系是最简单的轮系类型,所有齿轮的轴线都固定在同一轴线上。
这种轮系的主要功能是通过齿轮的旋转实现动力的传输和速度的改变。
定轴轮系的传动比可以根据齿轮的齿数和转速计算得出。
三、周转轮系周转轮系的齿轮轴线可以绕着其他齿轮的轴线旋转。
这种轮系的主要功能是通过齿轮的旋转实现动力的传输和速度的改变,同时还能实现方向的转换。
周转轮系的传动比可以根据齿轮的齿数和转速计算得出。
四、混合轮系混合轮系是定轴轮系和周转轮系的组合。
这种轮系的优点是可以实现更复杂的运动和动力传输,同时具有较高的传动效率。
混合轮系的传动比可以根据定轴轮系和周转轮系的传动比计算得出。
五、差动轮系差动轮系是一种空间轮系,其特点是两个齿轮的轴线可以不在同一平面内。
这种轮系的主要功能是通过齿轮的旋转实现动力的传输和速度的改变,同时还能实现方向的转换。
差动轮系的传动比可以根据齿轮的齿数和转速计算得出。
六、行星轮系行星轮系是一种空间轮系,其特点是至少有一个齿轮的轴线可以绕着其他齿轮的轴线旋转。
这种轮系的主要功能是通过齿轮的旋转实现动力的传输和速度的改变,同时还能实现方向的转换。
行星轮系的传动比可以根据齿轮的齿数和转速计算得出。
七、设计要点在设计和使用轮系时,需要考虑以下几点:1、传动比:根据实际需求选择合适的传动比,以保证轮系的传动效率和稳定性。
第10章轮系前面我们己经讨论了一对齿轮传动及蜗杆传动的应用和设计问题,然而实际的现代机械传动,运动形式往往很复杂。
由于主动轴与从动轴的距离较远,或要求较大传动比,或要求在传动过程中实现变速和变向等原因,仅用一对齿轮传动或蜗杆传动往往是不够的, 而是需要采用一系列相互啮合的齿轮组成的传动系统将主动轴的运动传给从动轴。
这种由一系列相互啮合的齿轮(包括蜗杆、蜗轮)组成的传动系统称为齿轮系,简称轮系。
本章重点讨论各种类型齿轮系传动比的计算方法,并简要分析各齿轮系的功能和应用。
10.1 轮系的分类组成轮系的齿轮可以是圆柱齿轮、圆锥齿轮或蜗杆蜗轮。
如果全部齿轮的轴线都互相平行,这样的轮系称为平面轮系;如果轮系中各轮的轴线并不都是相互平行的,则称为空间轮系。
再者,通常根据轮系运动时各个齿轮的轴线在空间的位置是否都是固定的,而将轮系分为两大类:定轴轮系和周转轮系。
10.1.1定轴轮系在传动时所有齿轮的回转轴线固定不变的轮系,称为定轴轮系。
定轴轮系是最基本的轮系,应用很广。
由轴线互相平行的圆柱齿轮组成的定轴齿轮系,称为平面定轴轮系,如图10.1所示。
a)b)图10.1 平面定轴齿轮系包含有圆锥齿轮、螺旋齿轮、蜗杆蜗轮等空间齿轮的定轴轮系,称为空间定轴轮系,如图10.2所示。
图10.2 空间定轴轮系10.1.2 周转轮系轮系在运动过程中,若有一个或一个以上的齿轮除绕自身轴线自转外,其轴线又绕另一个齿轮的固定轴线转动,则称为周转轮系,也叫动轴轮系。
如图10.3所示。
a) 周转轮系结构图b)差动轮系c)行星轮系图10.3周转轮系其中齿轮2的轴线不固定,它一方面绕着自身的几何轴线O2旋转,同时O2轴线,又随构件H绕轴线O H公转。
分析周转轮系的结构组成,可知它由下列几种构件所组成:1.行星轮:当轮系运转时,一方面绕着自己的轴线回转(称自转),另一方面其轴线又绕着另一齿轮的固定轴线回转(称公转)的齿轮称行星轮,如图10.3中的齿轮2。
机械设计基础课程形成性考核作业(一)第 1 章静力分析基础1.取分别体画受力图时, CEF 力的指向可以假定, ABDG 力的指向不能假定;A. 光滑面约束力B. 柔体约束力C.铰链约束力D. 活动铰链反力E.固定端约束力F.固定端约束力偶矩G.正压力2.列平稳方程求解平面任意力系时,坐标轴选在 B 的方向上,使投影方程简便;矩心应选在_FG_点上, 使力矩方程简便;A.与已知力垂直B.与未知力垂直C.与未知力平行D.任意E.已知力作用点F.未知力作用点G.两未知力交点H.任意点3.画出图示各结构中AB 构件的受力图;4.如下列图吊杆中A,B,C 均为铰链连接,已知主动力F=40kN,AB =BC=2m, =30 ,求两吊杆的受力的大小;解: 受力分析如下图列力平稳方程 :Fx 0又由于 AB=BCF A sin F C sinF A F CFy 02 F A sin FF2 sin F F 40KNA B 第 2 章 常用机构概述1.机构具有确定运动的条件就是什么 .答: 当机构的原动件数等于自由度数时 , 机构具有确定的运动2.什么就是运动副?什么就是高副?什么就是低副?答: 使两个构件直接接触并产生肯定相对运动的联接 ,称为运动副;以点接触或线接触的运动副称为高副 ,以面接触的运动副称为低副;3.运算以下机构的自由度 ,并指出复合铰链,局部自由度与虚约束;(1) n=7,P L=10,P H=0 (2)n=5,P L=7,P H=0F 3n 2 PP H F 3n 2 P L P HL37210 352711C 处为复合铰链(3) n=7,P L =10,P H=0 (4) n=7,P L=9,P H=1F 3n 2 PP H F 3n 2 P L P HL37210 3 7 29112E,E ’有一处为虚约束 F 为局部自由度C 处为复合铰链第 3 章平面连杆机构1.对于铰链四杆机构,当满意杆长之与的条件时,如取_C_ 为机架,将得到双曲柄机构;A.最长杆B. 与最短杆相邻的构件C.最短杆D. 与最短杆相对的构件2.依据尺寸与机架判定铰链四杆机构的类型;a)双曲柄机构b) 曲柄摇杆机构c) 双摇杆机构d) 双摇杆机构3.在图示铰链四杆机构中,已知,l BC=150mm ,l C D=120mm, l AD =100mm,AD 为机架; 如想得到双曲柄机构,求l AB 的最小值;解: 要得到双曲柄机构,因此AD 杆必需为最短杆;如AB 为最长杆,就AB ≥BC=150mm如BC 为最长杆,由杆长条件得:l l BC l l CDAD ABl l l BC l CD 130mmAB ADl因此的最小值为130mmAB4.画出各机构的压力角传动角;箭头标注的构件为原动件;.如下图:第 4 章凸轮机构1.凸轮主要由凸轮, 推杆与机架三个基本构件组成;2.凸轮机构从动件的形式有尖顶_从动件,_滚子_从动件与_平底从动件;3.按凸轮的外形可分为盘形_凸轮,_圆柱_凸轮与曲面凸轮;R=25mm, 凸轮轴心到圆盘中心的距离4. 已知图示凸轮机构的偏心圆盘的半径L=15mm , 滚子半径r T=5mm;试求:(1)凸轮的基圆半径R O=解:(1) R0R L r T25 15 515mm(2)22(4) S( R r T ) L(R L) r T(2)画出图示机构的压力角(3)推杆的最大行程H=?(3) H L R r T R025 15 5 15 30mm(4)图示位置从动件的位移S=?22S (R r) L(R L) r TT第 5 章其她常用机构1.常用的间歇运动机构有棘轮机构,_槽轮机构_与_不完全齿机构_等几种;2.螺纹的旋向有_左旋与_右旋_,牙形有_三角形_,_矩形_,_梯形_,与_锯齿形_;3.螺纹的导程S 与线数n 及螺距P 之间的关系就是什么?答:导程S:在同一螺纹线上相邻两螺纹牙之间距离;线数n: 在同一圆柱面上制造螺纹线的数目;螺距p: 相邻两螺纹牙平行侧面间的轴向距离;S np因此机械设计基础课程形成性考核作业(二)第六章构件内力分析1.什么就是构件的强度?什么就是构件的刚度?强度就是构件抗击破坏的才能,满意强度要求就是指在外力作用下构件不发生破坏;刚度就是构件抗击变形的才能,满意刚度要求就是指在外力作用下构件的弹性变形量不超过答应的限度;2.画出图示各杆的轴力图,并运算最大轴力N max;N max 40KN 最大轴力 N max 3P最大轴力 3.画出图示圆轴的扭矩图 ,已知 M A =5kN · m,M B =2kN · m ;4.画出图示各梁的剪力图与弯矩图 ,并运算最大 Q max 与 M max ;(a)(1) 解 :求支反力M0 4 R B M 2 F0 AM0 4 RA M 2 F0BR A kN R B kN由Y 0 得知支反力运算无误;由几何关系我们得知求出几个重要点的剪力与弯矩值我们就可以画处图像;下面我们开头求在以下几处的剪力值:A 点左截面, Q 0在A 点右截面, Q R A kN在C 点左截面, Q R A在kNC 点右截面, Q R B在kNB 点左截面, Q R B在kNB 点右截面, Q 0在画出剪力图, 如下图:同理我们依据几何关系求处几处弯矩值:在A 点, M0M C R A2M R A2MC右在D 点, M0画出弯矩图, 如下图:Qmax M M最大max(b)解:此题解法与上个题步骤基本相同,我们也可以用另外一种方法解题,下面我们用另外一种解法进行求解:求支反力M0 4 RB 2q 2 0AM0 4 RA 2q 20BR A10 kN R B10 kNY 0 得知由支反力运算无误;由于各段受力情形不同可以分段求解AC 段Q RA10 KNM R A x 10xCD 段:Q RAq(x 1) 20 10 x22 M RAx q( x 1) / 2 10 x 5( x 1) DB 段:Q RA2q 10KNM R A x 2q( x 2) 10x 40依据上面所求函数我们画剪力与弯矩图如下Q max 10KN M 15KN M最大 max (c)解: 求支反力lq 2 3 4 2M 0 R B l l qa 0A ql 2 14 2 M 0 R A l qa l 0B 2 2 1 8 qa l 3 8 qa l R A ql R B ql Y 0 得知 支反力运算无误;由依据几何关系我们知道剪力图 AC 为一水平直线 ,CB 为一条斜线 ,我们求出关键的点就可以画出线图;A 点稍左 , Q在 21 ql8qa l A 点稍右 , Q在 R A2ql 2 3 8qa l在 B 点稍左 , QR A ql B 点稍右 , Q在 依据上面数值可做剪力图;依据几何关系 ,AC 段没有载荷作用 ,弯矩图为一条斜直线 ;在 C 点有集中力偶 , 弯矩图有突变 , CB 段有均布载荷作用 ,弯矩图就是一条抛物线;为了做弯矩图,只需求出梁在下面各截面处的弯矩值:M 0在点 A,2l2 1 16 qa2 2ql在 C 点左截面MR A2l 21 16 qa22qa2ql在 C 点右截面MR AM 0在点 B,此外由剪力图知道 ,在 CB 段内有一截面的剪力为零 , 这个截面的弯矩就是梁 CB 段内弯矩的极值; 即该点的剪力 Q D =0,令点 D 的坐标为 x,, 即:Q D R A q( x l / 2) 0得25 8alxl 此点的弯矩值为 :2q( x l / 2)2 2M R A x qaD 491283 8qa 2l22 ql qa 2依据上面数值可做剪力图弯矩图如下:243 8qa l91283 8qa 2l22 最大 Q m axql M maxql qa KNKN , M2第 7 章 构件的强度与刚度 1.在作低碳钢的拉伸试验时 ,整个拉伸过程大致可分为四个阶段, 依次为 _弹性阶段 _,屈服阶段 _, 强 化阶段 ,_缩径断裂阶段 _;2.通常塑性材料的极限应力取 _屈服极限 _, 脆性材料的极限应力取 _强度极限 _;3.如图 7-35 所示变截面杆 AC, 在 A , B 两处分别受到 50kN 与 140kN 的力的作用 ,材料 E =200GPa ;试 求:(1) 画出轴力图 ;(2) 求各段正应力 ;(3)求总变形量;解:(1)3FA 50 10100MPa(2)AB 段15 10213F A 90 10 10 90MPaBC 段 21022103103F l 50 200 1000 500N 1 1 l (缩短 )(3)AB 段 :1EA 1 3 90 101000F l N 2 2 l (伸长 )BC 段23200 10 EA 10002ll 1l 2(缩短) 4.一矩形截面梁 ,承担载荷 F=10KN, 材料的许用应力 [ ]=160MPa, 试确定横截面尺寸;解: 求支反力;M 0 R A 2 F 1 0 B M 0R B 2 F 1 0 AR A 5 K N R B5KNM 5 K N mmaxMW5KN bh6m max2666 b 5 10 6 5 10 ( 2b) 24b31065 1061606 5 46 b336mm34 截面宽 b = 36mm 高 h =2b =72mm5.如下列图的圆形横截面的梁 ,承担载荷 F = 10kN,M = 20kN · m,梁长 a = 2m, 材料的许用应力 [ σ ] =160MPa,试求 :(1)梁 A ,B 端的约束力 ; (2)画出剪力图与弯矩图 ;(3)如 d =70mm,校核梁的强度;解:(1) 求约束力M 0 R A 4 F 2 M 0B M 0R B 4 F 2 M 0AR A10 KNR B(2)画剪力图 ,弯矩图 :106M20max 594 M Pa(3) >3W 7032所以此梁担心全;机械设计基础课程形成性考核作业(三)第8 章齿轮传动1.渐开线齿廓外形取决于_C_直径大小;A.节圆B. 分度圆C.基圆D. 齿顶圆2.对于标准直齿圆柱齿轮,打算齿廓外形的基本参数就是_齿数_,_ 压力角_,_变位系数_;3.标准外啮合斜齿轮传动的正确啮合条件就是:两齿轮的_法面_模数与_法面压力角_都相等,齿轮的_螺旋_角相等,旋向相反;4.采纳展成法加工正常齿齿轮时,不发生根切的最少齿数就是_17_5.一对齿轮啮合时,两齿轮的 C _始终相切;A.分度圆B.基圆C.节圆D.齿根圆6.已知一标准渐开线直齿圆柱齿轮,其齿顶圆直径d a1=77,5mm, 齿数z1=29;现要求设计一个大齿轮与其相啮合,传动的安装中心距a=145mm,试运算这个大齿轮的主要尺寸;(分度圆直径d2,齿顶圆直径d a2,齿根圆直径d f2,基圆直径d b2)d解:a1 (z12ha*) mma m( zz2 ) / 21z287mmd 2mz287d a 2 ( z 2 2ha*) m d f 2 ( z 22ha * 2c*)d bd 2 cos7.两级平行轴斜齿圆柱齿轮传动如下列图 ,高速级 m n = 3mm, 1= 15° Z 2 = 51;低速级 m n = 5mm,Z 3= 17试问 :(1)低速级斜齿轮旋向如何挑选才能使中间轴上两齿轮轴向力的方向相反 .低速级斜齿轮旋向为左旋 ,才能使中间轴上两齿轮轴向力相反 (2)低速级齿轮取多大螺旋角2 才能使中间轴的轴向力相互抵消.F t 2tgF t 3 tg 122T II d 2 2T II d 3F t 2 F t 3tgcostg 2 cos2T II d 22T IId 3112tgtg→12m n 2 Z 2m n3 Z 3sinm n3 Z 31sin2m n 2 Z 28, 27°28.单级闭式直齿圆柱齿轮传动 ,已知小齿轮材料为 45 钢, 调质处理 ,大齿轮材料为 ZG45, 正火处理 ,已知传 递功率 P l =4kW,n 1=720r/min, m = 4mm,z l =25,z 2 =73,b 1=84mm,b 2=78mm, 双向运转 ,齿轮在轴上对称布置 ,中 等冲击 ,电动机驱动;试校核此齿轮传动的强度;解:小齿选用 45 号钢 ,轮调质处理 ,查表硬度 220HBS 大齿轮 ZG45 硬度 180HBC190 M Pa 140 M Pa 查表得F lim 1 F lim 2555MPa470 M PaH lim 1 H lim 2查表得 : S HS F555 470 Hlin 1S HHlin 2S HM PaH H 12190140Flin 1S FFlin 2S FM Pa100MPaF F 12运算转矩 :4 72064T 1105.3 10 N mm由于原动机为电动机 ,中等冲击 , 对称布置 ,故得 K= 1,2由于就是闭式齿轮 , 我们先较核齿面接触疲惫强度 , 我们按标准中心距进行较核 :z 2 z 173 25am( z 1z 2 ) / 2 196mmu3KT 1 (u 1) M Pa∴355( 安全 )H2ub 2 a下面 , 我们再较核齿根弯曲疲惫强度; 查表得 :Y FS1Y FS 2Y FS1Y FS 21 z12 z2F F 2KT 1Y FS1b 2 m z 1M Pa< 100 < ( 安全) F12第 9 章 蜗杆传动 1.为什么将蜗杆分度圆直径d l 规定为蜗杆传动中的标准参数?为便于加工蜗轮刀具的标准化, 一般将蜗杆的分度圆直径规定为标准值;2.为什么蜗杆的传动比 i 只能表达为 i = z 2/z 1 ,却不能以 i = d 2/d 1 来表示? 由于蜗轮蜗杆传动的传动比与蜗杆的直径无关;3.图示的各蜗杆传动均以蜗杆为主动件;试标出图中未注明的蜗轮或蜗杆的转向及旋向,并画出蜗杆与蜗轮受力的作用点与三个分力的方向;(a) (b)(a)(b)第 10 章作业题1.图示所示轮系 ,已知 Z 1=18, Z 2=20, Z 2'=25, Z 3=25, Z 3'=2, Z 4 =40,求该轮系的传动比 , 并判定蜗轮 4 的转向;z 2 z 3 z 4 z 1 z 2 ' z 3 '20 18 25 25 40 222解:i =转向 : 逆时针2.在图示轮系中 ,已知 z 1, z 2, z 2', z 3, z 4, z 4', z 5, z 5',z 6; 求传动比 i 16;z 2 z 3 z 4 z 5 z 6 z 1 z 2 ' z 3 z 4 ' z 5 '解: i 16z 115, z 225, z 215, z 330, z 315, z 430, z 42 3. 如 图 所 示 的 轮 系 , 已 知 ( 右60, z 5 20, m 4mm , 500r / min z 5n 1 旋) 如 ,求齿条 6 线速度 v 的大小与方向;解:n 1 n 5z 2 z 3 z 4 z 5 z 1 z 2 ' z 3 ' z 4 'i200n 1 in/ min5d 5' n 5 1000mz 5' n 5 v 60.0105m / s s60 60 10004.图示行星轮系 ,已知 Z 1 = Z 2’= 41,Z 2 = Z 3 = 39,试运算传动比i H1;解:z 2 z 3 z 1 z 2' n 1 n 3n H n H1521 1681H i130 ),由于轮 3 为固定轮 (即 n 3z 2 z 3 z 1 z 2 'n 1 n H 39 41 39 41160 1681H13i 1 i 11= 1Hi H11 / i 1H机械设计基础课程形成性考核平常作业(四)第 11 章 带传动1.带传动产生弹性滑动与打滑的缘由就是什么.对传动各有什么影响 .由于带就是弹性体 ,带紧边与松边拉力不同 , 由于带的弹性变形量的变化而引起的带与带轮间的相对滑 动;打滑就是带传递的圆周力大于带能传递的最大有效圆周力 ,引起的带在带轮上全面滑动的;弹性滑动将引起 :(1)降低传动效率 ;(2)从动轮的圆周速度低于主动轮 ,造成传动比误差 ;(3)带的磨损 ;(4)发热使带温度上升;打滑造成带的磨损加剧 ,无法传递动力 ,致使传动失效; 2.试分析增速带传动工作时 ,其最大应力在哪里 . 带紧边刚绕出小带轮处3.V 带传动 n 1=1450r/min, f v =0 ,51,包角 =150 °,预紧力 F 0=360N ;试问 : 1)该传动所能传递的最大有效拉力就是多少 .2)如 d 1=100mm, 其传递的最大转矩为多少 .3)如传动的效率为 0,95,弹性滑动忽视不计 ,从动轮输出功率为多少 .fe1 1N解:(1) F2F maxe fFd 1 2180.7 1002(2) T9035d 1n 11000 (3) v 7.6m / s60 P Fv k W第 12 章 联 接1.一般平键的截面尺寸 b ×h 按_轴径 _选取 ,长度 L 按 轮毂的长度 确定;2.花键联接的主要类型有 _矩形 _花键, _渐开线 _花键与 _三角形 _花键;3.为什么多数螺纹联接工作前均要预紧?如何掌握预紧力?螺纹联接的主要防松方法有哪些?预紧的目的就是为了增加联接的刚性,紧密性与防松才能;用测力矩扳手与定力矩扳手机械防松 摩擦防松 其她防松第 13 章 轴1.按轴的受力分类 ,轴可以分为 _心轴 轴, 转轴 _与_传动轴 _;2.请判定图示四个轴中 ,哪一个轴的结构有错误 ,显现的就是什么错误 ,应如何改正;a) b) c) d)C 轴承无法拆卸 ,应将轴肩高度低于轴承内圈第 14 章 轴 承1.写出以下轴承代号表示的内容 ,说明该轴承适用的场合;7208,32314,6310/ P5,7210B,N22222.如下列图,轴的两端用两个角接触球轴承7207C 正装;常温下工作;工作中有中等冲击;转速n=1800r/min, 两轴承的径向载荷分别就是Fr I=3400N,Fr II =1050N,轴的轴向载荷Fa=870N, 方向指向轴承2,试确定哪个轴承危急,并运算出危急轴承的寿命;解: S1R13400 2312 NS221050 714 N2312 870 >714NS1F a∴左边轴承被放松, 右边轴承被压紧;A1S12312 N A2S1F a3182 NA1 R123123400A2R231281050e>e 通过查表x11y10x2y2∴P 1x1R1Y1A13400KN∴P2x2R2Y2A2C 30500KN P 2 大 , 我们用它运算 查表得 f p 6 10 f t C ) L ( =1060(h)10h 60n f p P 第 15 章 联轴器与离合器联轴器与离合器的主要功用与区分就是什么 .答: 联轴器与离合器主要都就是用来联接两轴并传递扭矩,用联轴器联接的两根轴 ,只有机器停止运转后 , 经过拆卸才能分别 ,而用离合器联接的两根轴在运转过程中能随时依据需要结合或分别;。
第十章 联接
10-1 螺纹的主要类型有哪几种?
[解] 类型:矩形螺纹、三角螺纹(普通)、梯形螺纹和锯齿螺纹。
10-2 螺纹联接的种类有哪些?
[解] 类型:螺栓联接、双头螺柱联接、螺钉联接和紧定螺钉连接。
10-3螺纹的主要参数有哪几种?
[解] 螺纹的主要参数:(1)大径d (D );(2)小径d 1(D 1);(3)中径d 2(D 2);(4)螺距p ;
(5)导程s ;(6)螺纹升角;(7)牙型;(8)牙型斜角;(9)螺纹牙的工作高度h 。
螺距和导程的关系: s=np ; 单线时相等。
10-4 螺纹联接常用的防松方法有哪几种?它们防松的原理是怎么样的?
[解] 防松方法:摩擦防松、机械防松、破坏纹副的防松。
防松原理都是防止螺旋副相对转
动。
10-5受拉伸载荷作用的紧螺栓联接中,为什么总载荷不是预紧力和拉伸载荷之和?
[解] 因为螺栓和被联接件都是弹性体。
10-6 螺纹副的效率与哪些因素有关?为什么多线螺纹多用于传动,普通三角螺纹主要用于联接,而梯形、矩形、锯齿形螺纹主要用于传动?
[解] 与线数、螺距和当量摩擦角有关。
因数越多,效率越高。
当量摩擦角v ρ,在摩擦系数一定的情况下,牙型斜角β越大,则当量摩擦角v ρ越大,效率越低,自锁性能越好,所以在螺旋传动中,为了提高效率,采用牙型斜角β小的螺纹,如矩形螺纹、梯形螺旋传动中,为了提高效率,采用了提高自锁性能,应采用牙型斜角大的螺纹,如三角形螺纹。
10-7 螺纹副的自锁条件是什么?
[解] 螺纹副的自锁条件为 v λρ≤。
机械设计基础习题参考答案机械设计基础课程组编武汉科技大学机械自动化学院第2章 平面机构的自由度和速度分析2-1画运动简图。
134522-2 图2-38所示为一简易冲床的初拟设计方案。
设计者的思路是:动力由齿轮1输入,使轴A 连续回转;而固装在轴A 上的凸轮2与杠杆3组成的凸轮机构将使冲头4上下运动以达到冲压的目的。
试绘出其机构运动简图,分析其运动是否确定,并提出修改措施。
43512 运动产生干涉解答:原机构自由度F=3⨯3- 2 ⨯4-1 = 0,不合理 , 改为以下几种结构均可:2-3 试计算图2-42所示凸轮—连杆组合机构的自由度。
b)a)A EMDFELKJIFBCCDBA解答:a) n=7; P l =9; P h =2,F=3⨯7-2 ⨯9-2 =1 L 处存在局部自由度,D 处存在虚约束b) n=5; P l =6; P h =2,F=3⨯5-2 ⨯6-2 =1 E 、B 处存在局部自由度,F 、C 处存在虚约束 2-4 试计算图2-43所示齿轮—连杆组合机构的自由度。
BDCA(a)CDBA(b) 解答:a) n=4; P l =5; P h =1,F=3⨯4-2 ⨯5-1=1 A 处存在复合铰链b) n=6; P l =7; P h =3,F=3⨯6-2 ⨯7-3=1 B 、C 、D 处存在复合铰链2-5 先计算如图所示平面机构的自由度。
并指出图中的复合铰链、局部自由度和虚约束。
ABCDE解答: a) n=7; P l =10; P h =0,F=3⨯7-2 ⨯10 = 1C 处存在复合铰链。
b) n=7; P l =10; P h =0,F=3⨯7-2 ⨯10 = 1BDECAc) n=3; P l =3; P h =2,F=3⨯3 -2 ⨯3-2 = 1 D 处存在局部自由度。
d) n=4; P l =5; P h =1,F=3⨯4 -2 ⨯5-1 = 1A BCDEFGG'HA BDCEFGHIJe) n=6; P l=8; P h=1,F=3⨯6 -2 ⨯8-1 = 1 B处存在局部自由度,G、G'处存在虚约束。
10-1 自行车链传动的主动大链轮齿数:z 1=48,小链轮齿数z 2=18,车轮直径为28英寸(D=711.2 mm)。
试问:(1)自行车为什么采用升速传动?能不能采用带传动?为什么?(2)自行车行走1 km 时,车轮和大链轮各要转几圈?答:(1)自行车转动轮转速较低,因此采用升速传动。
不能。
带传动多用于整个传动链中的高速段,一般用于电动机与减速装置之间,并且带传动容易出现打滑现象,因此不能采用带传动。
(2)需要车轮转n 2转,则10000002.71122=⨯=ππn n D n 2=447.8转48181221===z z n n i n 1=167.9转10-2 如图题10-2所示为水泥磨传动简图。
已知:磨机4直径D=950mm ,磨机长度L=3000mm ,电动机功率P=30kW ,电动机转速n=730r/min ,磨机转速n 4=35r/min ,V 带传动2传动比i=2.78。
试分析如果将开式齿轮传动3改成下列传动之一有何利弊?为什么?(1)链传动;(2)V 带传动;(3)蜗杆传动;(4)闭式直齿圆柱齿轮传动。
答:(1)链传动:若选用链传动对轴的作用力较小;传递的功率较大,低速时能传递较大的圆周力;可在温度较高、淋水、淋油、日晒等恶劣环境下工作。
但工作传动中有一定的动载荷和冲击,传动平稳性差;工作时有噪声。
(2)带传动:带传动比较平稳,但不能保证准确的传动比,多用于整个传动链中的高速级。
如果过载,带与带轮之间会产生相对滑动,出现打滑现象,带传动失效。
(3)蜗杆传动:蜗杆传动具有结构紧凑、传动比大,传动平稳、噪声较小等优点。
但为了减摩耐磨,蜗轮齿圈常用贵重的青铜材料,成本较高。
(4)闭式齿轮传动:润滑与保护条件好,多用于重要场合。
习题10-2图本资料由百万课件网收集。
机械设计基础课后习题答案第10章第一篇:机械设计基础课后习题答案第10章10-1证明当升角与当量摩擦角符合时,螺纹副具有自锁性。
当时,螺纹副的效率所以具有自锁性的螺纹副用于螺旋传动时,其效率必小于 50%。
10-2解由教材表10-1、表10-2查得,粗牙,螺距,中径螺纹升角,细牙,螺距,中径螺纹升角对于相同公称直径的粗牙螺纹和细牙螺纹中,细牙螺纹的升角较小,更易实现自锁。
10-3解查教材表10-1得粗牙螺距中径小径螺纹升角普通螺纹的牙侧角,螺纹间的摩擦系数当量摩擦角拧紧力矩由公式可得预紧力拉应力查教材表 9-1得 35钢的屈服极限拧紧所产生的拉应力已远远超过了材料的屈服极限,螺栓将损坏。
10-4解(1)升角当量摩擦角工作台稳定上升时的效率:(2)稳定上升时加于螺杆上的力矩(3)螺杆的转速螺杆的功率(4)因速下降,该梯形螺旋副不具有自锁性,欲使工作台在载荷作用下等需制动装置。
其制动力矩为10-5解查教材表9-1得 Q235的屈服极限,查教材表 10-6得,当控制预紧力时,取安全系数由许用应力查教材表 10-1得的小径由公式得预紧力由题图可知,螺钉个数,取可靠性系数牵曳力10-6解此联接是利用旋转中间零件使两端螺杆受到拉伸,故螺杆受到拉扭组合变形。
查教材表9-1得,拉杆材料Q275的屈服极限,取安全系数,拉杆材料的许用应力所需拉杆最小直径查教材表 10-1,选用螺纹()。
10-7解查教材表 9-1得,螺栓35钢的屈服极限,查教材表 10-6、10-7得螺栓的许用应力查教材表 10-1得,的小径螺栓所能承受的最大预紧力所需的螺栓预紧拉力则施加于杠杆端部作用力的最大值10-8解在横向工作载荷作用下,螺栓杆与孔壁之间无间隙,螺栓杆和被联接件接触表面受到挤压;在联接接合面处螺栓杆则受剪切。
假设螺栓杆与孔壁表面上的压力分布是均匀的,且这种联接的预紧力很小,可不考虑预紧力和螺纹摩擦力矩的影响。
挤压强度验算公式为:其中;为螺栓杆直径。