分数加减法简便计算大全
- 格式:doc
- 大小:72.00 KB
- 文档页数:30
5年级下册分数加减法的简便计算题一、概述1. 本文将介绍针对五年级下册学生的分数加减法的简便计算方法,帮助学生更好地掌握这一部分的知识。
2. 分数加减法是数学学习中的重要内容,对于学生来说也是一个较为困难的部分,因此需要采用简便的方法进行计算。
二、分数的加法1. 分子相同的分数相加:只需将分子相加,分母保持不变。
2. 例如:1/4 + 2/4 = (1+2)/4 = 3/43. 分母不同的分数相加:先通分,然后将分子相加,分母保持不变。
4. 例如:1/3 + 1/6 = (2/6) + (1/6) = 3/6 = 1/2三、分数的减法1. 分子相同的分数相减:只需将分子相减,分母保持不变。
2. 例如:5/8 - 2/8 = (5-2)/8 = 3/83. 分母不同的分数相减:先通分,然后将分子相减,分母保持不变。
4. 例如:3/5 - 1/4 = (12/20) - (5/20) = 7/20四、分数的混合运算1. 分数的混合运算即包括加法和减法,需要按照顺序进行计算。
2. 例如:2/3 + 1/6 - 1/4 = (8/12) + (2/12) - (3/12) = 7/12五、应用题1. 小明有1/3块巧克力,小红有1/4块巧克力,他们俩共有多少块巧克力?2. 解答:1/3 + 1/4 = (4/12) + (3/12) = 7/12,所以他们俩共有7/12块巧克力。
3. 小华有5/6块巧克力,小明比小华少1/3块巧克力,小明有多少块巧克力?4. 解答:5/6 - 1/3 = (5/6) - (2/6) = 3/6 = 1/2,所以小明有1/2块巧克力。
六、结语1. 通过本文的介绍,相信大家对于五年级下册分数加减法的简便计算方法有了更深入的了解。
2. 分数加减法是数学学习中的重要内容,掌握简便的计算方法可以帮助学生更好地应对这一部分的知识。
七、带有分数的实际问题1. 分数加减法在日常生活中也经常会出现,例如在烘培中需要按照食谱中的分数配料,或者在出游时需要计算运输时间等等。
五年级下分数加减法递等式题目(要简便计算题哦),100道题1. 10-5=?2. 9+7=?3. 17-5=?4. 12+5=?5. 8-4=?6. 15+6=?7. 13-7=?8. 6+7=?9. 17-9=?10. 14+6=?11. 5-3=?12. 9+8=?14. 10+2=?15. 4-2=?16. 6+5=?17. 12-9=?18. 15+7=?19. 16-4=?20. 7+8=?21. 14-5=?22. 10+3=?23. 9-3=?24. 8+4=?25. 12-6=?26. 17+4=?27. 13-4=?29. 11-6=?30. 15+3=?31. 10-3=?32. 8+6=?33. 5-4=?34. 12+4=?35. 7-2=?36. 16+5=?37. 13-5=?38. 15-7=?39. 9+5=?40. 11+3=?41. 4-3=?42. 8+7=?44. 17+3=?45. 10-2=?46. 6+4=?47. 11-5=?48. 12+6=?49. 13-6=?50. 17-7=?51. 5-2=?52. 9+6=?53. 16-3=?54. 14+4=?55. 7-3=?56. 10+5=?57. 15-5=?59. 11-3=?60. 17+6=?61. 6-3=?62. 12+7=?63. 14-6=?64. 9-1=?65. 15+4=?66. 10-4=?67. 8+3=?68. 13-7=?69. 11+2=?70. 16-5=?71. 4-1=?72. 7+5=?74. 10+4=?75. 17-8=?76. 6+3=?77. 12-4=?78. 11+5=?79. 9-5=?80. 14+5=?81. 3-2=?82. 8+6=?83. 16-7=?84. 13+4=?85. 17-9=?86. 5+2=?87. 10-5=?89. 12-5=?90. 15+5=?91. 11-4=?92. 6+2=?93. 14-7=?94. 9+4=?95. 17-10=?96. 4+3=?97. 13-8=?98. 16+4=?99. 8-4=?100. 11+6=?二、解题方法1. 五年级下分数加减法递等式题目,解题的基本思路是:读懂题意,把问题中的数字当作是一个等式,左边的等式和右边的等式相等,再把题目中的数字按照加减法的规律,一步步完成计算。
带分数的简便运算
带分数是由整数部分和分数部分组成的数,它可以表示比整数大但小于下一个整数的数。
带分数在数学运算中也是常见的,我们可以通过一些简便的方法进行带分数的加、减、乘、除运算。
一、带分数的加减法
带分数的加减法可以分为两个步骤进行:
1. 将带分数转化为真分数:
带分数 x = a + b/c (a为整数部分,b为分子,c为分母)
将带分数转化为真分数的公式为 x = (a*c + b)/c。
2. 进行真分数的加减运算:
对于真分数加减运算,需要找到它们的公共分母。
找到公共分母后,将分子进行
加减操作,而分母不变。
举例说明:
例1:计算 3 2/3 + 1 1/6。
将带分数转化为真分数:
3 2/3 = (3*3 + 2)/3 = 11/3;
1 1/6 = (1*6 + 1)/6 = 7/6。
找到公共分母后进行减法运算:
37/8 - 19/8 = (37 - 19)/8 = 18/8 = 2 1/4。
所以,4 5/8 - 2 3/8 = 2 1/4。
1. 将带分数转化为真分数。
2. 进行真分数的乘除运算。
带分数的加减乘除运算可以通过转化为真分数,然后进行相应的分数运算来进行简便
的计算。
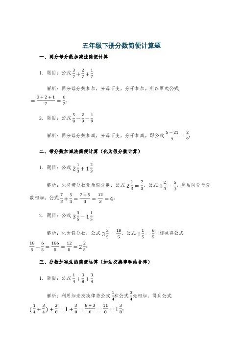
五年级下册分数简便计算题
一、同分母分数加减法简便计算
1. 题目:公式
解析:同分母分数相加,分母不变,分子相加。
所以原式公式。
2. 题目:公式
解析:同分母分数相减,分母不变,分子相减。
即公式。
二、带分数加减法简便计算(化为假分数计算)
1. 题目:公式
解析:先将带分数化为假分数,公式,公式。
然后同分母分数相加,公式。
2. 题目:公式
解析:化为假分数,公式,公式。
相减得公式。
三、分数加减法的简便运算(加法交换律和结合律)
1. 题目:公式
解析:利用加法交换律将公式和公式先相加,得到公式。
2. 题目:公式
解析:利用加法交换律和结合律,公式。
四、分数乘法简便计算(乘法交换律、结合律和分配律)
1. 题目:公式
解析:利用乘法交换律,先计算公式得1,再乘以公式,结果为公式。
2. 题目:公式
解析:利用乘法交换律和结合律,先算公式得公式,再乘以公式,结果为公式。
3. 题目:公式
解析:利用乘法分配律,公式。
分数的加减法一、同分母的分数加减法知识点:在计算同分母的分数加减法中,分母不变,直接用分子相加减。
注意:在计算同分母的分数加减法中,得数如果不是最简分数,我们必须将得数约分,使它成为最简分数。
例题一5654+=510564=+=2 注意:因为510不是最简分数,所以得约分,10和5的最大公因数是5,所以分子和分母同时除以5,最后得数是2. 例题二1059105109=-=-注意:因为104不是最简分数,必须约分,因为4和10的最大公因数是2,所以分子和分母同时除以2,最后的数是52知识点回顾:如何将一个不是最简的分数化为最简?(将一个非最简分数化为最简,我们就是将这个分数进行约分,一直约到分子和分母互质为止。
所以要将一个分数进行约分,我们必须找到分子和分母的最大公因数,然后用分子和分母同时除以他们的最大公因数。
)专项练习一:同分母的分数加减法的专项练习 一、计算715 - 215 712 - 112 1 - 916 911 - 71138 + 38 16 + 16 314 +314 34 + 34二、连线19 + 49 2 7377+145 +15 1 8987+47 + 67 137 11511141+ 18 +78 2911 9392+2411 +511 59 2121+三、判断对错,并改正(1)47 +37 = 714 (2)6 - 57- 37=577 -57 -37=527 -37=517四、应用题 (1)一根铁丝长710 米,比另一根铁丝长310米,了;另一根铁丝长多少米?ABA B AB B A B A ±±=±或11(2)3天修一条路,第一天修了全长的112 ,第二天修了全长的512,第三天修了全长的几分之几?二、异分母的分数加减法。
在异分母的分数加减法中,可分为三种情况。
分别是分母是互质关系、分母是倍数关系、分母是一般关系(即非互质也非倍数) 例:A 代表一个分数的分母,B 代表另一个分数的分母,分母是倍数关系)(即分子都为的倍数)是或的倍数)是(、,分母互质)即分子都为或、1(1111)2(1(11)1(AB A B A B A B A B B A ABAB AB B A B A ±±=±±±=±)3(、A 和B 是一般关系,就找到A 和B 的最小公倍数,进行通分,再加减。
分数加减法简便计算大全一、同分母分数的加法和减法1.分子相加、分母不变:当两个分数的分母相同时,加减法可以直接将分子相加或相减,分母保持不变即可。
例如:3/5+2/5=5/5=1(已经是最简分数)4/7-2/7=2/72.扩分后相加、分母相同:当两个分数的分母不同但可以通过扩分使得分母相同时,我们可以先将分数扩分,使得分母相同后再相加。
例如:1/3+1/4=4/12+3/12=7/123.通分后相加:当两个分数的分母不同而且无法通过扩分使得分母相同时,我们需要将它们通分后再相加。
通分的方法是找到它们最小公倍数作为新的分母,并将两个分数的分子按比例乘以扩大后的倍数。
例如:2/3+1/4=8/12+3/12=11/122/5-1/3=6/15-5/15=1/15二、分数的加法和减法1.整数和分数相加减:将整数看作分母为1的分数,然后用上述方法进行计算。
例如:2+1/3=6/3+1/3=7/32.带分数的加法和减法:将带分数转换为假分数,再用上述方法进行计算。
例如:11/2+22/3=3/2+8/3=9/6+16/6=25/631/4-13/8=13/4-11/8=26/8-11/8=15/8三、分数的合并与分解1.分数的合并:当有多个分数需要相加时,可以先合并同类项,再进行后续计算。
例如:1/2+1/4+1/8=4/8+2/8+1/8=7/82.分数的分解:当需要减去一个分数时,我们可以将减法转化为加法,先找到减数的相反数,再进行相加。
例如:2/3-5/12=2/3+(-5/12)=8/12+(-5/12)=3/12四、分数的简化1.分子分母同时除以最大公约数:将分子和分母都除以它们的最大公约数,将分数化简为最简分数。
8/12=(8÷4)/(12÷4)=2/3五、分数的加减混合运算1.先化为同分母:将分数、整数和带分数统一化为假分数或带分数,再按照对应的加减法进行计算。
例如:21/3-1/4+3/8=7/3-1/4+3/8=56/24-6/24+9/24=59/242.先计算乘除法:将分数和整数按照乘除法的优先级先进行计算,再进行加减法。
100题分数加减法(有答案)100题分数加减法(有答案)1. 1/2 + 1/3 = 5/62. 3/4 - 1/5 = 11/203. 2/3 + 4/5 = 22/154. 7/10 - 1/3 = 17/305. 2/5 + 3/8 = 31/406. 4/7 - 2/9 = 22/637. 3/8 + 1/6 = 11/248. 5/6 - 1/4 = 1/39. 2/5 + 7/12 = 29/3010. 1/3 - 1/9 = 2/9在这个分数加减法练习中,我们将解决一系列的分数加减法题目。
下面是一百道题目,每一道题都附有答案供您核对。
11. 3/4 + 2/3 = 17/1212. 5/7 - 1/6 = 29/4213. 1/2 + 3/4 = 5/414. 2/5 - 1/3 = 1/1515. 3/8 + 2/5 = 31/4017. 1/4 + 1/6 = 5/1218. 4/5 - 2/9 = 26/4519. 1/3 + 1/8 = 11/2420. 5/6 - 1/4 = 1/321. 1/2 + 1/3 = 5/622. 3/4 - 1/5 = 11/2023. 2/3 + 4/5 = 22/1524. 7/10 - 1/3 = 17/3025. 2/5 + 3/8 = 31/4026. 4/7 - 2/9 = 22/6327. 3/8 + 1/6 = 11/2428. 5/6 - 1/4 = 1/329. 2/5 + 7/12 = 29/3030. 1/3 - 1/9 = 2/9在这一组题目中,我们需要计算分数的加法和减法。
分数加减法是数学中的基础概念之一,通过练习可以提高我们的计算能力。
31. 3/4 + 2/3 = 17/1232. 5/7 - 1/6 = 29/4234. 2/5 - 1/3 = 1/1535. 3/8 + 2/5 = 31/4036. 6/7 - 3/4 = 9/2837. 1/4 + 1/6 = 5/1238. 4/5 - 2/9 = 26/4539. 1/3 + 1/8 = 11/2440. 5/6 - 1/4 = 1/3在这一组题目中,我们再次进行分数的加法和减法练习。