安徽省蚌埠田家炳中学、蚌埠五中2020-2021学年高一上学期期中考试数学试题 Word版含答案
- 格式:docx
- 大小:392.11 KB
- 文档页数:12
蚌埠田家炳中学2020-2021学年10月月考试卷高一数学考试时间:120分钟 试卷分值:150分一、选择题(每小题5分,共60分)1.集合{}|13A x Z x =∈-<<中的元素个数是( ) A.1B.2C.3D.42.集合(){},21|x y y x =-表示( ) A. 方程21y x =-B. 点(),x yC. 平面直角坐标系中的所有点组成的集合D. 函数21y x =-图象上的所有点组成的集合 3.不等式210x -≥的解集用区间可表示为( )A.1,2⎛⎫-∞ ⎪⎝⎭B.1,2⎛⎤-∞ ⎥⎝⎦C.1,2⎛⎫+∞ ⎪⎝⎭D.1,2⎡⎫+∞⎪⎢⎣⎭4.“()210x x -=”是“0x =”的( ) A.充分不必要条件 B.必要不充分条件C.充分必要条件D.既不充分也不必要条件 5.使3x >成立的一个充分条件是( ) A.4x >B.0x >C.2x >D.2x <6.命题“20,0x x x ∀>-≤”的否定是( ) A.20,0x x x ∃>-≤B.20,0x x x ∃>->C.20,0x x x ∀>->D.20,0x x x ∀≤->7.设集合M ={x |x 2+2x =0,x ∈R },N ={x |x 2-2x =0,x ∈R },则M ∪N 等于( )A .{0}B .{0,2}C .{-2,0}D .{-2,0,2} 8.若,,,a b c R a b ∈>,则下列不等式成立的是( ) A.11a b< B.22a b > C.2b a a b+≥ D.()()2211a c b c +>+ 9.已知0,0x y >>,且191x y+=,则xy 的最小值为 ( ) A.100 B.81 C.36 D.910.函数16(0)y x x x=++>的最小值为( ) A.6B.7C.8D.911.不等式21()()0x x >+-的解集是( ) A.{|21}x x x <->或 B.{|12}x x x <->或 C.{|21}x x -<<D.{|12}x x -<<12.不等式2(2)(2)10a x a x -+-+>对一切R x ∈恒成立,则实数a 的取值范围是( ) A.[)2,6 B.(2,6) C.(],2(6,)-∞⋃+∞D.(,2)(6,)-∞⋃+∞二、填空题(每小题5分,共20分)13..若[],31a a -为一确定区间,则a 的取值范围是__________. 14.设集合A ={x ,y },B ={4,x 2},若A =B ,则x +y =________. 15.已知集合A ={x |0≤x ≤5},B ={x |2≤x <5},则∁A B =________. 16.不等式2620x x -+≤-的解集是_______________.三、解答题(写出必要的计算步骤、解答过程,只写最后结果的不得分,共70分) 17.(10分)(1)0a b <<,求证:b a a b < (2)已知11,a b a b><,求证:0ab >18.(12分)已知二次函数当x =4时有最小值-3,且它的图象与x 轴两交点间的距离为6,(1)求这个二次函数的解析式. (2)画出这个函数的图象19.(12分)设A ={x |x 2-8x +15=0},B ={x |ax -1=0}.(1)若a =15,试判定集合A 与B 的关系;(2)若B ⊆A ,求实数a 组成的集合C .20.(12分)已知集合A ={x |-1≤x ≤3},集合B ={x |m -2≤x ≤m +2,x ∈R }.(1)若A ∩B ={x |0≤x ≤3},求实数m 的值;(2)若A ∩(∁R B )=A ,求实数m 的取值范围.21.(12分)已知集合A ={x |1<x <3},B ={x |2m <x <1-m }.(1)当m =-1时,求A ∪B ;(2)若A ∪B =B ,求实数m 的取值范围; (3)若A ∩B =∅,求实数m 的取值范围.22.(12分)已知不等式ax 2-3x +2>0的解集为{x |x <1或x >b }.(1)求a 、b 的值;(2)解关于x 的不等式x 2-b (a +c )x +4c >0.三、选择题(每小题5分,共60分) 1. C 2 D 3 D 4. B 5. A 6 B 7.D 8. D 9. C 10 C 11 C 12. A四、填空题(每小题5分,共20分)13.1,2⎛⎫+∞ ⎪⎝⎭14.4,或5,或20 15.{x |0≤x <2,或x =5}162132x x x ⎧⎫≤-≥⎨⎬⎩⎭或 四、解答题(写出必要的计算步骤、解答过程,只写最后结果的不得分,共70分) 23.(10分)证明(1)由于22()()b a b a b a b a a b ab ab-+--== 0a b <<,000b a b a ab ∴+<->>,,()()0b a b a ab +-∴<,故b aa b < 5分(2) 11a b <,110a b ∴-<,即0b a ab -<而a b >,0b a ∴-<,0ab ∴> 10分24.(12分)(1)解∵抛物线与x 轴的两个交点坐标是(1,0)与(7,0),∴设二次函数的解析式为y =a (x -1)·(x -7),把顶点(4,-3)代入,得-3=a (4-1)(4-7),解得a =13.∴二次函数解析式为y =13(x -1)(x -7),即y =13x 2-83x +73.:∵抛物线的顶点坐标为(4,-3),且过点(1,0), ∴设二次函数解析式为y =a (x -4)2-3. 将(1,0)代入,得0=a (1-4)2-3,解得a =13.∴二次函数的解析式为y =13(x -4)2-3,即y =13x 2-83x +73. 6分(2)图象略。
安徽省蚌埠田家炳中学、五中2020届高三数学上学期期中试题理考试时间:120分钟试卷分值: 150分一、选择题(本大题共12小题,共60.0分),,则等于( 1. 已知全集, 集合 )A. B.C. D.)”的否定是 ( 2.命题“对 , ,, A. B.D., C.,下列说法错误的是( ) 3.若,则”的逆否命题是“A. 命题“若,则” B. ”的充分不必要条件”是““pq均为假命题C. 若、为假命题,则pp :题D. 命非则得”,:“使,”“,,已知函数满足且,当4.),则 ( ,时D. C.B.A.的递减区间为( 5.) 函数 D.C.B.A.的图象是( 6.函数 )则等于( ,且 )7.,已知 D.A.C.B.为了得到函数的图象,可以将函数8.的图象个单位个单位A. 向左平移B. 向右平移- 1 -向左平移个单位D. C. 向右平移个单位 ?????????????,xy?f sin?xx,yx(,9.分别是函数如图,),?0???0????S?x?x,,的图象??mS图象大致是()则与两条直线()的两个交点,记mm?y??y0m???:ll:??12在中,若,则此三角形为10.( )A. 等边三角形B. 等腰三角形C. 直角三角形D. 等腰直角三角形方程,,则方程的根的个数11.,已知函数是D. 5B. 3A. 2 C. 4是1为首项,2是1为首项,2为公比的等比数列,设为公差的等差数列12.,已知数列n, ),则当时,( ,的最大值是C. 11B. 10 D. 12A. 9二、填空题(本大题共4小题,共20.0分)已知函数,若,则______ .13.,若______14.则.n取最大,是等差数列其公差则当项和记为15.已知,且,其前,,.值时的______若定义在16. ,,满足是奇函数现给出下列4个论断:上的函数的周期函数;是周期为的图象关于点对称;4是偶函数;的图象经过点其中正确论断的序号是_______________请填上所有正确论断的序号三、解答题(本大题共6小题,共72.0分),,17.其中.已知x ,若求的取值范围;为真且,m的取值范围.是求实数,的充分不必要条件若- 2 -2xxffgxxx 1(,且是二次函数,当)∈[-18.已知(1,2])=-,-3时,(的最小值为)fxgxfx)的表达式.为奇函数,求函数)+(( )(已知函数,.19.的单调区间;求函数间区数单位得到函,求把若在向右平移个上的最小值和最大值.已知数列是公比为2的等比数列,且,,成等差数列.20.求数列的通项公式;n ,的前记求数列.项和- 3 -ABCabc ,已知,, 所对的边分别为.21.,在中内角, ,证明:;A 的大小. ,若求角的面积,, 已知数列中22.求,;求证:是等比数列,并求的通项公式;满足,数列的前n项和为数列,若不等式求的取值范围.,对一切恒成立- 4 -- 5 -2019-2020学年度第一学期期中考试试卷高三数学(理)答案和解析ABCADAB 6. 4. 7. 1. 5. 2. 3.ABCCD11. 8. 10. 9. 12.14.2/3 15. 13.8 16. ①②③解:17. 解得,;所以由,又.,, ,解得因为所以当所以.为真,都为真, ,时又由是的充分不必,其逆,否命题为要条件,即,即: , 所以由, ,18. 解:设 ,则223c??bx?)?(a??c(a?0)1)xf(x)?g(xf()?axx?bx为奇函数,3c?a??g(x)1,?f(x),对称轴,2b3xx)???bx?f(x??2b时,为[-1,2](1)当上为减函数,4b????2,)xf(2的最小值为1??34?2b?f(x)?f(2)?b??3此时无解?b?4?b?2时(2)当即2,1????22bb?b??2213)f(x????f()?,min242,此时3?22)f(x?xx??b??22,b b?2时,为[-1,2]上为增函数时,即(3)当1???)xf(2的最小值为1????)(?fxf(1)4b- 6 -2?3x?3(x)?xf?3,??b22?3x?x)?x3f(综上所述,或3?2?2(fx)?xx解:,19.,令,,得,,的单调增区间为,;可得函数令,,得,,的单调减区间为,;可得函数若把函数的图像向右平移个单位,得到函数的图像,,,.在区间上的最小值为,最大值为1.故由题意可得解:, 20.即, 解得:,的通项公式为;数列,.21. 解:证明:,,,,,B是三角形中的内角,,,,或,不合实际或,- 7 -即原题得证.的面积解:, ,,, 又,,或.,, 或解:.22. 证明:得, 由又, 即,是以为首项,3为公比的等比数列.即. ,,,,两式相减得,,对一切恒成立,n则,,若为偶数,n则,为奇数,若,,即的取值范围为.- 8 -。
安徽省蚌埠市高一上学期数学期中考试试卷姓名:________ 班级:________ 成绩:________一、选择题 (共12题;共24分)1. (2分) (2015高一下·兰考期中) 集合A={α|α=kπ+ ,k∈Z}与集合B={α|α=2kπ± ,k∈Z}的关系是()A . A=BB . A⊆BC . B⊆AD . 以上都不对2. (2分)已知集合,则下列不正确的是()A .B .C .D .3. (2分) (2016高一上·晋江期中) 下列四组函数中表示同一个函数的是()A . f(x)=|x|与B . f(x)=x0与g(x)=1C . 与D . 与4. (2分)函数的定义域是()A . (0,2]B . (1,2]C .D .5. (2分)(2019·广东模拟) 下列函数为偶函数的是()A .B .C .D .6. (2分)设集合,,则()A .B .C .D .7. (2分) (2017高一上·定州期末) 已知函数f(x)=a2﹣x(a>0且a≠1),当x>2时,f(x)>1,则f(x)在R上()A . 是增函数B . 是减函数C . 当x>2时是增函数,当x<2时是减函数D . 当x>2时是减函数,当x<2时是增函数8. (2分) (2018高三上·汕头期中) 函数的图象大致是()A .B .C .D .9. (2分)已知函数的定义域是,则实数取值范围是()A .B .C .D .10. (2分) (2018高二下·衡阳期末) 设,,,则()A .B .C .D .11. (2分) (2020高一上·石景山期末) 下列函数中,既是偶函数又在区间(0,+∞)上单调递减的是()A .B .C .D .12. (2分) (2016高一上·河北期中) 定义在R上的奇函数f(x),满足f()=0,且在(0,+∞)上单调递减,则xf(x)>0的解集为()A .B .C .D .二、填空题 (共4题;共4分)13. (1分) (2019高二上·德惠期中) 函数在处的切线方程是,则________.14. (1分) (2017高三上·邯郸模拟) 若log2(log3x)=log3(log2y)=2,则x+y=________.15. (1分)幂函数y=(m2﹣m+1)x5m﹣3在x∈(0,+∞)时为减函数,则m的值为________16. (1分) (2019高一上·郏县期中) 设函数的最大值为,最小值为,那么 ________三、解答题 (共7题;共65分)17. (10分) (2019高一上·吴忠期中) 已知:函数是上的增函数,且过和两点,集合,关于的不等式的解集为 .(1)求集合A;(2)求使成立的实数的取值范围.18. (10分) (2019高一上·高台期中) 已知对数函数f(x)=(m2–m–1)logm+1x.(1)求m的值;(2)求f(27).19. (10分) (2016高一上·南京期中) 设集合A={x|y=log2(x﹣1)},B={y|y=﹣x2+2x﹣2,x∈R}(1)求集合A,B;(2)若集合C={x|2x+a<0},且满足B∪C=C,求实数a的取值范围.20. (15分) (2016高一上·荔湾期中) 已知二次函数(,,均为实数),满足,对于任意实数都有恒成立.(1)求 f ( 1 ) 的值.(2)求的解析式.(3)当时,讨论函数在上的最大值.21. (5分)如图,已知四边形ABCD是矩形,AB=1,BC=2,P D⊥平面ABCD,且PD=3,PB的中点E,求异面直线AE与PC所成角的大小.(用反三角表示)22. (10分) (2016高一上·南昌期中) 计算:(1) 0.027 ﹣(﹣)﹣2+256 ﹣3﹣1+(﹣1)0;(2).23. (5分)设函数y=f(x)在[﹣3,3]上是奇函数,且对任意x,y都有f(x+y)=f(x)+f(y),当x>0时,f(x)<0,f(1)=﹣2:(Ⅰ)求f(2)的值;(Ⅱ)判断f(x)的单调性,并证明你的结论;(Ⅲ)求不等式f(x﹣1)>4的解集.参考答案一、选择题 (共12题;共24分)1-1、2-1、3-1、4-1、5-1、6-1、7-1、8-1、9-1、10-1、11-1、12-1、二、填空题 (共4题;共4分)13-1、14-1、15-1、16-1、三、解答题 (共7题;共65分) 17-1、17-2、18-1、18-2、19-1、19-2、20-1、20-2、20-3、21-1、22-1、22-2、23-1、第11 页共11 页。
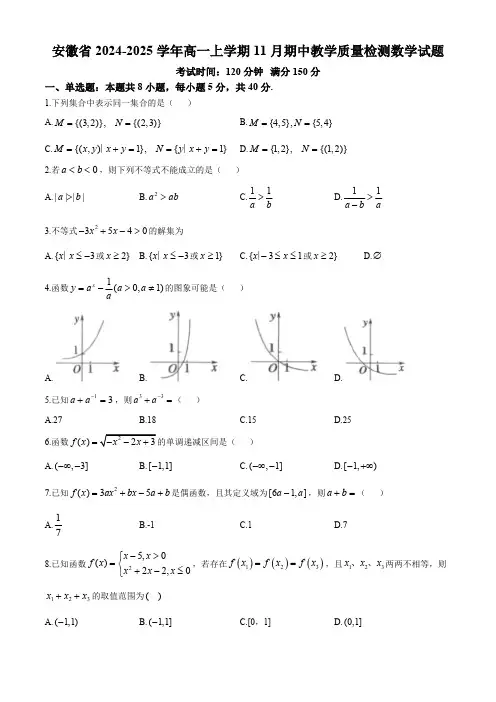
安徽省2024-2025学年高一上学期11月期中教学质量检测数学试题考试时间:120分钟满分150分一、单选题:本题共8小题,每小题5分,共40分.1.下列集合中表示同一集合的是()A. B.C. D.2.若,则下列不等式不能成立的是()A. B.C. D.3.不等式的解集为A.或B.或C.或D.4.函数的图象可能是()A. B. C. D.5.已知,则()A.27B.18C.15D.256.函数的单调递减区间是()A. B. C. D.7.已知是偶函数,且其定义域为,则()A. B.-1 C.1 D.78.已知函数,若存在,且两两不相等,则的取值范围为A. B. C.[0,1] D.{(3,2)},{(2,3)}M N=={4,5},{5,4}M N=={(,)1},{1}M x y x y N y x y=+==+=∣∣{1,2},{(1,2)}M N==a b<<||||a b>2a ab>11a b>11a b a>-23540x x-+->{3x x≤-∣2}x≥{3x x≤-∣1}x≥{31x x-≤≤∣2}x≥∅1(0,1)xy a a aa=->≠13a a-+=33a a-+=()f x=(,3]-∞-[1,1]-(,1]-∞-[1,)-+∞2()35f x ax bx a b=+-+[61,]a a-a b+=1725,0()22,0x xf xx x x->⎧=⎨+-≤⎩()()()123f x f x f x==123x x x、、123x x x++()(1,1)-(1,1]-(0,1]二、多选题:本题共3小题,共18分.9.(多选)下列说法正确的有( )A.命题,则B.“”是“”成立的充分条件C.命题,则D.“”是“”的必要条件10.若正实数a ,b 满足,则下列说法正确的是( )A.ab 有最大值C.有最小值4 D.11.对于函数的定义域中任意的,当时,如下结论正确的是( )A. B.C.D.三、填空题:本题共3小题,每小题5分,共15分.12.命题“对任意,都有”的否定是_______________.13.已知,求函数的最小值是_______________.14.已知是上的增函数,则实数的取值范围是_______________.四、解答题:本题共5小题,共77分.15.(本小题13分)已知集合,集合.(1)求;(2)设集合,且,求实数的取值范围.16.(本小题15分)已知二次函数.(1)若的解集为,求a ,b 的值;(2)若f (x )在区间上单调递增,求的取值范围.:,(0,1),2p x y x y ∀∈+<0000:,(0,1),2p x y x y ⌝∃∈+≥1,1a b >>1ab >2:,0p x R x ∀∈>2:,0p x R x ⌝∃∈<5a <3a <1a b +=14+11a b+22a b +()f x ()1212,x x x x ≠()2xf x =()()()1212f x x f x f x +=⋅()()()1212f x x f x f x ⋅=+()()12120f x f x x x ->-()()121222f x f x x x f ++⎛⎫<⎪⎝⎭x R ∈20x ≥54x >14245y x x =-+-2,1()4,12x a x f x a x x ⎧->⎪=⎨⎛⎫-≤ ⎪⎪⎝⎭⎩R a {22}A xx =-∣……{1}B x x =>∣()R B A ⋂ð{6}M xa x a =<<+∣A M M ⋃=a 2()3()f x x ax a R =--∈()0f x <{3}xx b -<<∣[2,)-+∞a17.(本小题15分)如图,某人计划用篱笆围成一个一边靠墙(墙的长度没有限制)的矩形菜园.设菜园的长为x m ,宽为y m.(1)若菜园面积为18m 2,则当x ,y 为何值时,可使所用篱笆总长最小?并求出最小值.(2)若使用的篱笆总长度为16m ,则当x ,y 为何值时,可使菜园面积最大?并求出最大值.18.(本小题17分)已知函数在上是偶函数,当时,,(1)求函数在上的解析式;(2)求单调递增区间和单调递减区间;(3)求在的值域.19.(本小题17分)已知函数对任意实数x ,y 恒有,且当时,,又.(1)判断的奇偶性;(2)求证:是上的减函数并求函数在区间上的最大值;(3)若对任意,不等式恒成立,求的取值范围.()f x R 0x (2)()23f x x x =+-()f x R ()f x ()f x [4,4]-()f x ()()()f x y f x f y +=+0x >()0f x <(1)2f =-()f x ()f x R ()f x [3,3]-x R ∈()23()4f axf x <+a高一期中考试数学参考答案1.B2.D3.D4.D5.B6.B7.A8.D 7.A 8.D9.ABD 10.AC 11.ACD12.存在,使得13.514.[4,8)14.解:(1)由已知,又,所以;(2)因为,所以,又,所以,解得.所以的取值集合为.16.解:(1)的解集为,和是方程的两根,由根与系数关系得:;.(2)的对称轴为且在区间上单调递增,;.17.解:(1)由已知可得,而篱笆总长为;又因为,当且仅当时,即时等号成立所以菜园的长为6m ,宽为3m 时,可使所用篱笆总长最小,最小值为12;0x R ∈200x ≤{1}R B x x =≤∣ð{22}A x x =-∣……(){21}R B A xx ⋂=-∣......ðA M M ⋃=A M ⊆{22},{6}A x x M x a x a =-=<<+∣∣ (62)2a a +>⎧⎨<-⎩42a -<<-a {42}a a -<<-∣()0f x < {3}x x b -<<∣3∴-b 230x ax --=∴3,33b a b -+=-⨯=-2,1a b ∴=-=()f x 2ax =()f x [2,)-+∞22a∴≤-4a ∴≤-18xy =2L x y =+212x y +≥=2x y =6,3x y ==x y(2)由已知得,而菜园面积为,则,当且仅当即时取等号,菜园的长为8m ,宽为4m 时,可使菜园面积最大,最大值为32.18.解:(1)当时,,函数是偶函数,当时,,.(2)由(1)可画出函数在上的图像,如图所示,则的单调递增区间为和,单调递减区间为和.(3)由函数的定义域为,由(2)中所作函数图象可知,当或时,取得最小值,当或时,取得最大值,故函数的值域.19.(1)解:取,则,,取,则,216x y +=S xy =2112232222x y S xy x y +⎛⎫==⋅⋅≤⋅= ⎪⎝⎭2x y =8,4x y ==∴x y 0x (2)()23f x x x =+- ()y f x =0x >20,()()23x f x f x x x -<∴=-=--22230()230x x x f x x x x ⎧+-∴=⎨-->⎩…()y f x =R ()f x (1,0)-(1,)+∞(,1)-∞-(0,1)()y f x =[4,4]-1x =1x =-(1)(1)4f f =-=-4x =4x =-(4)(4)5f f =-=()f x [4,5]-0x y ==(00)2(0)f f +=(0)0f ∴=y x =-()()()f x x f x f x -=+-对任意恒成立,为奇函数.(2)证明:任取且,则,,又为奇函数,.故为上的减函数;为上的减函数,在区间上的最大值为,,故在上的最大值为6.(3)解:为奇函数,且,整理原式得,即可得,而在上是减函数,所以即恒成立,①当时不成立,②当时,有且,即,解得.故的取值范围为.()()f x f x ∴-=-x R ∈()f x ∴12,(,)x x ∈-∞+∞12x x <()()()2121210,0x x f x f x f x x ->+-=-<()()21f x f x ∴<--()f x ()()12f x f x ∴>()f x R ()f x R ()f x ∴[3,3]-(3)f -(3)3(1)236,(3)(3)6f f f f ==-⨯=-∴-=-=()f x [3,3]-()f x (2)(2)2(1)4f f f -=-=-=()22()()(2)f ax f x f x f +-<+-()2(2)()(2)f axf x f x f +-<+-()22(2)f ax x f x -<-()f x R 222ax x x ->-2320ax x -+>0a =0a ≠0a >0< 0980a a >⎧⎨-<⎩98a >a 9,8⎛⎫+∞ ⎪⎝⎭。
2020-2021学年蚌埠市田家炳中学高三上学期期中数学试卷(理科)一、单选题(本大题共12小题,共60.0分)1.不等式x2+2x−3≤0的解是()A. (−∞,−3]B. [1,+∞)C. [−3,1]D. (−∞,−3]∪[1,+∞)2.如图,平面α与平面β交于直线l,A,C是平面α内不同的两点,B,D是平面β内不同的两点,且A,B,C,D不在直线l上,M,N分别是线段AB,CD的中点,下列命题中正确的个数为()①若AB与CD相交,且直线AC平行于l时,则直线BD与l也平行;②若AB,CD是异面直线时,则直线MN可能与l平行;③若AB,CD是异面直线时,则不存在异于AB,CD的直线同时与直线AC,MN,BD都相交;④M,N两点可能重合,但此时直线AC与l不可能相交A. 0B. 1C. 2D. 33.下列命题中,假命题的个数为().①对所有正数,;②不存在实数,使且;③存在实数,使得且;④,A. B. C. D.4.下列函数中,既是偶函数又在区间(−∞,0)上单调递增的是()A. y=e−xB. y=x−2C. y=lnxD. y=|x|5.函数f(x)=ax2+(a−3)x+1在区间[−1,+∞)上是递减的,则实数a的取值范围是()A. [−3,0)B. (−∞,−3]C. [−2,0]D. [−3,0]6. 已知f(x)是定义在R 上的奇函数,且当x >0时f(x)={log 2x,0<x ≤16f(x −8),x >16,则f(f(−24))=( )A. −4B. −2C. 2D. 4 7. 为了得到函数y =sin3x +cos3x 图象,可将函数y =√2sin3x 图象( ) A. 向左平移π12个单位 B. 向右平移π12个单位 C. 向右平移π4个单位D. 向左平移π4个单位 8. 函数f(x)=2sin(ωx +ϕ)(ω>0,−π2<ϕ<π2)的部分图象如图所示,则ω,φ的值分别是( )A. 2,−π3B. 2,−π6C. 12,π3D. 12,π69. 把函数f(x)=sin(ωx +π6)(ω>0)的图象向右平移π6个单位后得到函数g(x)的图象,函数g(x)图象的一条对称轴为直线x =−π6,若函数f(x)在[π6,π3]上单调递减,则ω的取值为( ) A. 2 B. 3 C. 4 D. 510. 若过点P(1,0),Q(2,0),R(4,0),S(8,0)作四条直线构成一个正方形,则该正方形的面积不可能等于( )A. 1617B. 365C. 265D. 1965311. 已知定义在R 上的函数f(x)满足条件f(x −2)=f(x),且函数y =f(x +1)为偶函数.当x ∈[0,1]时,f(x)=2x −1,则方程f(x)−12=0在[−1,2]上的实根之和为( ) A. 4 B. 3C. 2+log 23D. 3−log 23 12. 已知各项均为正数的等比数列{},,则的值为( ) A. 16 B. 32 C. 48 D. 64二、单空题(本大题共4小题,共20.0分)13. 对任意实数组x 1,x 2,…,x n ,记它们中最小的数为f(x 1,x 2,…,x n ),给出下述结论:①函数y=f(4x,2−3x)的图象为一条直线;②函数y=f(x,2−x)的最大值等于1;③函数y=f(x2+2x,x2−2x)一定为偶函数;④对a>0,b>0,f(a,b,1a2+b2)的最大值为312.其中,正确命题的序号有______ .14.已知角α的顶点与原点重合,始边与x轴的正半轴重合,终边与单位圆的交点坐标为(3√1010,√1010),则cos2α=______ .15.已知等比数列{a n}的前n项和为S n,且S1,S3,2a3成等差数列,则公比q=______.16.已知函数f(x)是定义在上的奇函数,且当x>0时,f(x)=2x−1,则f(f(−1))的值为.三、解答题(本大题共6小题,共70.0分)17.已知命题p:∃x∈R使x2−2x+a2=0;命题q:∀x∈R,都有ax2−ax+1>0.若p∧(¬q)是真命题,求实数a的取值范围.18.已知函数f(x)=x2+4ax+2a+6.(1)若函数的值域为[0,+∞),求a的值;(2)若f(x)≥0恒成立,求g(a)=−a⋅|a+3|+2的值域.19.已知函数f(x)=Asin(ωx+φ),(ω>0,0<φ<π2)的部分图象如图所示.(1)求f(x)的解析式.(2)将函数y=f(x)的图象上所有点的纵坐标不变,横坐标缩为原来的12,再将所得函数图象向右平移π6个单位,得到函数y=g(x)的图象,求g(x)的单调递增区间.(3)若关于x的方程g(x)−m+2=0在x∈[−π2,5π12]上有两个实根,求实数m的取值范围.20.已知等比数列{a n}中,a1=3,a4=24,(1)求数列{a n}的通项公式;(2)设等差数列{b n}中,b2=a2,b9=a5,求数列{b n}的前n项和S n.21.已知tanα、tanβ是方程x2−4x−2=0的两个实根,求:cos2(α+β)+2sin(α+β)cos(α+β)−3sin2(α+β)的值.22.已知函数f(x)=x2+|x+1−a|,其中a为实常数.(Ⅰ)判断f(x)在[−12,12]上的单调性;(Ⅱ)若存在x∈R,使不等式f(x)≤2|x−a|成立,求a的取值范围.【答案与解析】1.答案:C解析:解:不等式x2+2x−3≤0可化为(x+3)(x−1)≤0,解得−3≤x≤1;∴不等式的解集是[−3,1].故选:C.把不等式x2+2x−3≤0化为(x+3)(x−1)≤0,求出解集即可.本题考查了不等式的解法与应用问题,解题时应按照解一元二次不等式的基本步骤进行解答即可,是基础题.2.答案:C解析:解:对于①,因为AB与CD相交,则A、B、C、D四点共面,记为平面γ,且λ∩β=BD,λ∩α=AC,由AC//l,可得AC//β,由线面平行的性质可得AC//BD,可得BD//l,①正确;对于②,当AB,CD是异面直线时,MN不可能与l平行;证明如下,若MN//l,则过M作CD的平行线EF,分别交α,β于E、F,如图1所示;可得M为EF中点,△BMF≌△AME,可得AE//BF,且AE=FB,这与题设矛盾,②错误;对于③,当AB、CD是异面直线时,能存在异于AB,CD的直线同时与直线AC,MN,BD都相交,如果过点M的直线与CD相交的直线,∴③错误;对于④,若M,N两点可能重合,则AC//BD,所以AC//l,此时直线AC与直线l不可能相交,④正确;综上,正确的命题序号是①④.故选:C.①当AB与CD相交,直线AC平行于l时,直线BD可以与l平行;②AB,CD是异面直线时,MN不可能与l平行;。
安徽省蚌埠市高一上学期数学期中考试试卷姓名:________ 班级:________ 成绩:________一、单选题 (共12题;共24分)1. (2分)是虚数单位,则()A .B .C . 1D .2. (2分) (2018高二下·虎林期末) 已知全集 ,集合则()A .B .C .D .3. (2分)(2018·自贡模拟) 若(其中为虚数单位),则复数的虚部是()A .B .C .D . 24. (2分)数列的一个通项公式为()A .B .C .D .5. (2分) (2020高一上·林芝期末) 函数的图象经过点,则的值为()A .B . 3C . 9D . 816. (2分) (2019高一上·龙江期中) 设,,,则,,的大小关系是().A .B .C .D .7. (2分) (2019高一上·龙江期中) 已知函数,则的值为()A .B .C .D .8. (2分) (2019高一上·龙江期中) 函数的定义域为()A . (-5,+∞)B . [-5,+∞C . (-5,0)D . (-2,0)9. (2分) (2019高一上·龙江期中) 如果函数且的图象经过第一、二、四象限,不经过第三象限,那么一定有()A . 且B . 且C . 且D . 且10. (2分)已知2a=5b=M,且+=2,则M的值是()A . 20B . 2C .D . 40011. (2分) (2019高一上·龙江期中) 设函数的定义域为D,若函数满足条件:存在,使在上的值域为,则称为“倍缩函数”,若函数为“倍缩函数”,则实数的取值范围是()A .B .C .D .12. (2分) (2018高一上·广东期末) 已知函数的图象与函数(,)的图象交于点,如果,那么a的取值范围是()A .B .C .D .二、填空题 (共3题;共7分)13. (1分)数列{an}是首项为1,公差为3的等差数列,如果an=2 014,则序号n=________.14. (1分) (2019高一上·龙江期中) 函数y= 的值域是________.15. (5分) (2019高一上·龙江期中) 已知函数,对于任意的,恒成立,则的取值范围是________.三、解答题 (共7题;共65分)16. (5分) (2016高一下·河源期末) 已知数列{an}是公比不为1的等比数列,a1=1,且a1 , a3 , a2成等差数列.(1)求数列{an}的通项;(2)若数列{an}的前n项和为Sn ,试求Sn的最大值.17. (10分)(2017·武邑模拟) 在等差数列{an}中,a2+a7=﹣23,a3+a8=﹣29(1)求数列{an}的通项公式;(2)设数列{an+bn}是首项为1,公比为2的等比数列,求{bn}的前n项和Sn .18. (10分)函数是定义在(﹣1,1)上的奇函数,且.(1)确定函数的解析式;(2)证明函数f(x)在(﹣1,1)上是增函数;(3)解不等式f(t﹣1)+f(t)<0.19. (10分)已知函数y=f(x),x∈D,如果对于定义域D内的任意实数x,对于给定的非零常数m,总存在非零常数T,恒有f(x+T)>mf(x)成立,则称函数f(x)是D上的m级类增周期函数,周期为T,若恒有f(x+T)=mf(x)成立,则称函数f(x)是D上的m级类周期函数,周期为T.(1)已知函数f(x)=﹣x2+ax是[3,+∞)上的周期为1的2级类增周期函数,求实数a的取值范围;(2)已知T=1,y=f(x)是[0,+∞)上的m级类周期函数,且y=f(x)是[0,+∞)上的单调增函数,当x∈[0,1)时,f(x)=2x ,求实数m的取值范围.20. (10分) (2019高一上·龙江期中) 已知函数是定义在上的单调递增函数,满足且.(1)求的值;(2)若满足 ,求的取值范围.21. (10分)已知定义域为的函数是奇函数.(1)求的值;(2)判断并证明函数的单调性.22. (10分) (2019高一上·龙江期中) 已知函数有如下性质:如果常数,那么该函数在上是减函数,在上是增函数.(1)已知函数,利用上述性质,求函数的单调区间和值域;(2)已知函数=和函数,若对任意,总存在,使得 (x2)=成立,求实数的值.参考答案一、单选题 (共12题;共24分)1-1、2-1、3-1、4-1、5-1、6-1、7-1、8-1、9-1、10-1、11-1、12-1、二、填空题 (共3题;共7分)13-1、14-1、15-1、三、解答题 (共7题;共65分) 16-1、16-2、17-1、17-2、18-1、18-2、18-3、19-1、20-1、20-2、21-1、21-2、22-1、22-2、第11 页共11 页。
蚌埠五中、田中2020-2021学年第一学期期中联考试卷高一数学考试时间:120分钟 试卷分值:150分一、选择题(本大题共12小题,每小题5分,满分60分) 1.集合{}2(2)(2)0A x x x =-+>,集合{}3(2)(2)0B x x x =-+≤则A B ⋂=().(2,2)A - .(,2)(2,)B -∞-⋃+∞ (].2,2C - [).2,2D -2.下列说法正确的是( ).1A x =是(x-1)(x+2)=0的充要条件3.11B x x >>是的既不充分也不必要条件.C A B A ⋂=⊆是 A B 的充分不必要条件 .=D A B A ⋂=∅是 A 的必要不充分条件3.下列四组函数,表示同一函数的是( ) A. B.()()01,f x g x x ==C. D.4. 下列函数是偶函数的是( ).A .B .C .D .5.已知函数⎩⎨⎧<+≥-=6),2(6,4)(x x f x x x f 则=)3(f ( ) (A )1 (B) 2 (C )3 (D)46.函数 f(x)=x 2-4x+5在区间 [0,m]上的最大值为5,最小值为1,则m 的取值范围是( ) A . ),2[+∞ B . [0,2] C .(]2,∞- D. [2,4]4)(,22)(2-=-⋅+=x x g x x x f 33)(,)(x x g x x f ==322-=x y x y =21-=x y ]1,0[,2∈=x x yy••x201A .B .C .D .8.幂函数f (x )的图象过点(2,m ),且f (m )=16,则实数m 的所有可能的值为( ).A.4或21B. ±2C.4或14D.14或29.已知函数()3,0,0xx a x f x a x -+≥⎧=⎨<⎩是(),-∞+∞上的减函数,则实数a 的取值范围是() A .()0,1 B .10,3⎛⎤ ⎥⎝⎦ C .1,13⎡⎫⎪⎢⎣⎭ D .1,3⎡⎫+∞⎪⎢⎣⎭10.0,0,228,2x y x y xy x y >>++=+已知则的最小值( )A. 3B. 4C. 92D. 112 11.2()1x x x a a -<若存在正数使成立,则的取值范围是( )∞∞∞∞∞A.(-,+) B.(-2,+) C.(0,+) D.(-1,+)()112211(),),,),...,,),()mm m i i i x y f x xy y y x y =+∈=+=∑12.已知函数f(X)(x R)满足f(-X)=2-f(x),若函数y=与函数图像的交点为(x (x (x 则A. 0B. mC. 2mD. 3m 二、填空题(每题5分,满分20分,将答案填在答题纸上) 13.已知函数y =2+x a-2 (a>0, a ≠1)的图象恒过定点A ,则定点A 的坐标为__________.]14.(1)-2,3(21)y f x y f x ⎡=+=-⎣已知函数的定义域是,则的定义域是__________.212121215.()(21)1,2+(1)(1),______0____,f x x a x f x f x x x a x x =+-+∞--->-已知函数若对于区间(,)内的任意两个不等实数都有则实数的取值范围是.[][]2221,2,2,3__________xy ax y x y a ≤+∈∈16.已知不等式对恒成立,则实数的取值范围是.(1,2)(2,1)--(2,1)(1,2)--(1,1)-三、解答题:(本大题共6个小题,共70分.解答应写出文字说明,证明过程或演算步骤) 17.(本小题满分10分)计算:120333113864π---+()()(); (2) ;18. (本小题满分12分)已知全集U=R ,集合A={x |–7≤2x –1≤7},B={x |m –1≤x ≤3m –2}. (Ⅰ)当m=3时,求A ∩B 与()U A C B ⋃; (Ⅱ)若A ∩B=B ,求实数m 的取值范围.19.(本小题满分12分)已知函数f (x )是定义在R 上的奇函数,当x >0时,()(1)f x x x =-+. (Ⅰ)求函数f (x )的解析式;(Ⅱ)求关于m 的不等式f (1–m )+ f (1–m 2)<0的解集.()()1223021329.63 1.548--⎛⎫⎛⎫ ⎪ ⎪⎝⎭⎝⎭---+20. (本小题满分12分)已知函数()在区间上有最大值和最小值.设.(1)求、的值;(2)若不等式在上恒成立,求实数的取值范围;21.(本小题满分12分)某商品在近30天内每件的销售价格(元)与时间(天)的函数关系是该商品的日销售量(件)与时间(天)的函数关系是,求这种商品的日销售金额的最大值,并指出日销售金额最大的一天是30天中的第几天?b ax ax x g ++-=12)(20>a ]3,2[41x x g x f )()(=a b 02)2(≥⋅-x x k f []2,1x ∈--k p t 20,025,,100,2530,.t t t N p t t t N +<<∈⎧=⎨-+≤≤∈⎩Q t 40+-=t Q ),300(N t t ∈≤<22. (本小题满分12分)已知函数2()|2|fx x x x a =+-,其中a 为实数。
安徽省蚌埠田家炳中学、五中 2020 届高三数学上学期期中试题文考试时间: 120 分钟试卷分值:150 分1.选择题:此题共12 小题,每题 5 分,共 60 分。
在每题给出的四个选项中,只有一项是切合题目要求的, 把答案填在题后的表格中。
1. 已知命题P : x 0, x3 0 ,那么P 是( )A. x 0, x3 0B. x 0, x3 0C. x 0, x3 0D. x 0, x3 02. 已知会合M x | x 2 0 , N x | x a ,若 M N ,则实数 a 的取值范围是( )A. [2, )B. 2,C. ,0D. ( ,0]3、已知 i 是虚数单位,则复数1 3i( ) 1 iA .2 iB .2 iC .1 2iD .1 2i4. 等差数列a n 的前 n项和为 S n,且 S3 6, a3 0 ,则公差 d 等于()A. 1B. 1C. 2D. 25、设函数 f x 为偶数,当 x (0, ) 时,f x log 2 x ,则f ( 2) ( )A . 1B .1C.2D.-22 26、已知cos k,k R, ( , ) ,则 sin( ) ( )2A . 1 k2B .1 k2C . 1 k 2D .k7、在 C 中,角,, C 所对的边分别是 a , b , c ,若 c 1 ,45o,cos 3 ,5 则 b 等于()A.5B . 10C .5D . 5 23 7 7 148、若双曲线C:x2 y2 1 的一条渐近线倾斜角为,则双曲线 C 的离心率为()a2 b2 6A.2或 3 B . 2 3 C .2或2 3D.23 39 、已知定义在R 上的函数 f x 知足 f 3 f 5 1 ,f ' x 是 f x 的导函数, 且函数 y f ' x 的图象如右图所示, 则不等式 fx 1 的解集是( )A.3,0 B.C.0,5D.3,5,3U5,10、在棱长为 3 的正方体 ABCD A 1B 1C 1D 1 中,P 在线段 BD 上,且BP1 ,M 为线段BC 1112PD 1上的动点,则三棱锥 M PBC 的体积为()A .1B.3C.9D.与 M 点的地点相关2211、如图,x , y ,x , y 分别是函数 fx sin x(0 , 0 )的图象与两条直线 l 1 : ym , l 2 : ym (m0 )的两个交点,记 Sxx ,则S m 图象大概是()12. 在 Rt ABC 中, CA CB3, M,N 是斜边AB 上的两个动点,且 MN2 ,则uuuur uuurCM CN 的取值范围为()A.3,6B.4,6C.2,5D.2,42题号 1 2 3 4 5 6 7 8 9 10 11 12答案2.填空题:此题共 4 小题,每题 5 分,共20 分。
安徽省蚌埠田家炳中学、五中 2020 届高三数学上学期期中试题理考试时间: 120 分钟试卷分值:150 分一、选择题(本大题共12 小题,共60.0 分)1. 已知全集, 会合, , 则等于 ( )A. B.C. D.2. 命题“对, ”的否认是 ( )A. ,B. ,C. ,D. ,3. 以下说法错误的选项是 ( )A. 命题“若, 则”的逆否命题是“若, 则”B. “”是“”的充足不用要条件C. 若为假命题 , 则p、q均为假命题D. 命题 p :“, 使得” , 则非p:“, ”4. 已知函数知足, 且, 当时, , 则( )A. B. C. D.5. 函数的递减区间为 ( )A. B. C. D.6. 函数的图象是 ( )7. 已知, 且, 则等于 ( )A. B. C. D.8. 为了获得函数的图象 , 能够将函数的图象A. 向左平移个单位B. 向右平移个单位C. 向右平移个单位D. 向左平移个单位9. 如图,x , y ,x , y 分别是函数 f x sin x(0 ,0 )的图象与两条直线l1:y m ,l2: y m(m 0)的两个交点,记 S x x ,则 S m 图象大概是()10. 在中 , 若, 则此三角形为 ( )A. 等边三角形B. 等腰三角形C.直角三角形D. 等腰直角三角形11. 已知函数, 方程, , 则方程的根的个数是A. 2B. 3C. 4D. 512. 已知数列是1为首项,2 为公差的等差数列 , 是1为首项,2 为公比的等比数列 , 设, , , 则当时 , n的最大值是 ( )A. 9B. 10C. 11D. 12二、填空题(本大题共 4 小题,共 20.0 分)13. 已知函数, 若, 则______ .14. 若, 则______.15. 已知是等差数列 , 其公差, 其前n项和记为, 且, , 则当取最大值时的______ .16. 若定义在上的函数知足, 是奇函数 , 现给出以下 4 个论断:是周期为 4 的周期函数;的图象对于点对称;是偶函数;的图象经过点此中正确论断的序号是_______________请填上全部正确论断的序号三、解答题(本大题共 6 小题,共 72.0 分)17.已知,,此中.若, 且为真,求x的取值范围;若是的充足不用要条件 , 务实数m的取值范围.18. 已知 ( ) =- x 2- 3, ( ) 是二次函数,当 x ∈[ -1,2] 时, f ( x ) 的最小值为 1,且g x f xf ( x ) +g ( x ) 为奇函数,求函数 f ( x ) 的表达式.19.已知函数求函数若 把的单一区间;向右平移, .个单位获得函数, 求在 区 间上的最小值和最大值.20. 已知数列求数列记是公比为 2 的等比数列 , 且的通项公式;, 求数列的前 ,n 项和,.成等差数列.21. 在中 , 内角A, B, C所对的边分别为a, b, c,已知.证明:;若的面积, 求角A的大小.22.已知数列中,,求 , ;求证:是等比数列 , 并求的通项公式;数列知足, 数列的前n项和为, 若不等式对全部恒建立 , 求的取值范围.2020 学年度第一学期期中考试一试卷高三数学(理)答案和分析1. A2. B3. C4. A5. D6. A7. B8. B 9. C10. C11.D12.A13.14. 2/315. 8 16. ①②③17. 解: 由, 解得, 因此;又 , 由于, 解得, 因此.当时 ,又为真 , 都为真 , 因此. 由是的充足不用要条件,即,,其逆否命题为,由, ,因此 , 即:18. 解:设 f ( x) ax 2bx c( a 0), 则f ( x)g (x) (a 1)x 2 bx c 3Q f (x) g( x) 为奇函数, a 1,c 3 f (x) x 2 bx3 ,对称轴b,x2( 1)当b 2, b 4 时, f ( x) 为 [-1 , 2] 上为减函数,2f (x) 的最小值为 f (2) 4 2b 3 1b3此时无解( 2)当 1b2,即 4b 2 时2f ( x)minf ( b ) 3 b 2 1 , b2224b2 2, 此时 f ( x) x 2 2 2 x3 ,( 3)当b 1时,即 b2 时, f ( x) 为 [-1 , 2] 上为增函数2f (x) 的最小值为 f ( 1) 4 b 1b 3, f ( x) x2 3x 3综上所述, f ( x) x2 2 2x 3 或 f (x) x2 3x 319.解:,,令, ,得, ,可得函数的单一增区间为, ;令, ,得可得函数若把函数获得函数,,的单一减区间为的图像向右平移个单位,, ;的图像, , ,.故在区间上的最小值为, 最大值为1.20.解:由题意可得,即, 解得:,数列的通项公式为;,.21.解:证明:,,,,,, B是三角形中的内角, , ,或, 不合实质或,即原题得证.解:的面积, , , , 又, ,, 或, 或.22.证明:解:.由得,即, 又,是认为首项 ,3 为公比的等比数列.,即.,,,两式相减得,,对全部恒建立 ,若 n 为偶数,则,,若 n 为奇数,则,,,即的取值范围为.。
2020年蚌埠市高一数学上期中模拟试卷及答案一、选择题1.若集合{}|1,A x x x R =≤∈,{}2|,B y y x x R ==∈,则A B =IA .{}|11x x -≤≤B .{}|0x x ≥C .{}|01x x ≤≤D .∅2.已知函数()1ln 1xf x x -=+,则不等式()()130f x f x +-≥的解集为( ) A .1,2⎡⎫+∞⎪⎢⎣⎭B .11,32⎛⎤ ⎥⎝⎦C .12,43⎡⎫⎪⎢⎣⎭D .12,23⎡⎫⎪⎢⎣⎭3.函数()sin lg f x x x =-的零点个数为( ) A .0B .1C .2D .34.设x ∈R ,若函数f (x )为单调递增函数,且对任意实数x ,都有f (f (x )-e x )=e +1(e 是自然对数的底数),则f (ln1.5)的值等于( ) A .5.5B .4.5C .3.5D .2.55.函数223()2xx xf x e +=的大致图像是( )A .B .C .D .6.设奇函数()f x 在[1,1]-上是增函数,且(1)1f -=-,若函数2()21f x t at ≤-+对所有的[1,1]x ∈-都成立,当[1,1]a ∈-时,则t 的取值范围是( ) A .1122t -≤≤ B .22t -≤≤C .12t ≥或12t ≤-或0t =D .2t ≥或2t ≤-或0t = 7.已知()lg(10)lg(10)f x x x =++-,则()f x 是( )A .偶函数,且在(0,10)是增函数B .奇函数,且在(0,10)是增函数C .偶函数,且在(0,10)是减函数D .奇函数,且在(0,10)是减函数8.已知定义在R 上的函数()21()x mf x m -=-为实数为偶函数,记0.5(log 3),a f =2b (log 5),c (2)f f m ==,则,,a b c ,的大小关系为( )A .a b c <<B .c a b <<C .a c b <<D .c b a <<9.若a >b >0,0<c <1,则A .log a c <log b cB .log c a <log c bC .a c <b cD .c a >c b10.设()f x 是定义域为R 的偶函数,且在()0,∞+单调递减,则( )A .233231log 224f f f --⎛⎫⎛⎫⎛⎫>> ⎪ ⎪ ⎪⎝⎭⎝⎭⎝⎭B .233231log 224f f f --⎛⎫⎛⎫⎛⎫>> ⎪ ⎪ ⎪⎝⎭⎝⎭⎝⎭C .23332122log 4f f f --⎛⎫⎛⎫⎛⎫>> ⎪ ⎪ ⎪⎝⎭⎝⎭⎝⎭D .23323122log 4f f f --⎛⎫⎛⎫⎛⎫>> ⎪ ⎪ ⎪⎝⎭⎝⎭⎝⎭11.设集合2{|430}A x x x =-+<,{|230}B x x =->,则A B =I ( )A .3(3,)2--B .3(3,)2-C .3(1,)2D .3(,3)212.已知集合{|20}A x x =-<,{|}B x x a =<,若A B A =I ,则实数a 的取值范围是( ) A .(,2]-∞-B .[2,)+∞C .(,2]-∞D .[2,)-+∞二、填空题13.已知函数241,0()3,0x x x x f x x ⎧--+≤=⎨>⎩,则函数(())3f f x =的零点的个数是________.14.函数()22()log 23f x x x =+-的单调递减区间是______.15.1232e 2(){log (1)2x x f x x x ,,-<=-≥,则f (f (2))的值为____________.16.若函数()f x 满足()3298f x x +=+,则()f x 的解析式是_________. 17.设,则________18.已知2a =5b =m ,且11a b+=1,则m =____. 19.已知函数(12)(1)()4(1)x a x f x ax x⎧-<⎪=⎨+≥⎪⎩,且对任意的12,x x R ∈,12x x ≠时,都有()()12120f x f x x x ->-,则a 的取值范围是________20.甲、乙、丙、丁四个物体同时从某一点出发向同一个方向运动,其路程()(1,2,3,4)i f x i =关于时间(0)x x ≥的函数关系式分别为1()21x f x =-,22()f x x =,3()f x x =,42()log (1)f x x =+,有以下结论:①当1x >时,甲走在最前面; ②当1x >时,乙走在最前面;③当01x <<时,丁走在最前面,当1x >时,丁走在最后面; ④丙不可能走在最前面,也不可能走在最后面; ⑤如果它们一直运动下去,最终走在最前面的是甲.其中,正确结论的序号为 (把正确结论的序号都填上,多填或少填均不得分).三、解答题21.已知2256x ≤且21log 2x ≥,求函数22()log log 22x xf x =⋅的最大值和最小值. 22.设()4f x x x=-(1)讨论()f x 的奇偶性;(2)判断函数()f x 在()0,∞+上的单调性并用定义证明.23.学校某研究性学习小组在对学生上课注意力集中情况的调查研究中,发现其在40分钟的一节课中,注意力指数y 与听课时间x (单位:分钟)之间的关系满足如图所示的图象,当(]0,12x ∈时,图象是二次函数图象的一部分,其中顶点()10,80A ,过点()12,78B ;当[]12,40x ∈时,图象是线段BC ,其中()40,50C .根据专家研究,当注意力指数大于62时,学习效果最佳.(Ⅰ)试求()y f x =的函数关系式;(Ⅱ)教师在什么时段内安排内核心内容,能使得学生学习效果最佳?请说明理由. 24.在扶贫活动中,为了尽快脱贫(无债务)致富,企业甲将经营情况良好的某种消费品专卖店以5.8万元的优惠价转让给了尚有5万元无息贷款没有偿还的小型企业乙,并约定从该店经营的利润中,首先保证企业乙的全体职工每月最低生活费的开支3600元后,逐步偿还转让费(不计息).在甲提供的资料中有:①这种消费品的进价为每件14元;②该店月销量Q (百件)与销售价格P (元)的关系如图所示;③每月需各种开支2000元.(1)当商品的价格为每件多少元时,月利润扣除职工最低生活费的余额最大?并求最大余额;(2)企业乙只依靠该店,最早可望在几年后脱贫?25.已知集合{|3A x x =≤-或2}x ≥,{|15}B x x =<<,{|12}C x m x m =-≤≤ (1)求A B I ,()R C A B ⋃;(2)若B C C ⋂=,求实数m 的取值范围.26.已知集合A ={x |x 2-2x -3≤0},B ={x |x 2-2mx +m 2-4≤0,m ∈R ,x ∈R}. (1)若A ∩B ={x |0≤x ≤3},求实数m 的值; (2)若A ⊆∁R B ,求实数m 的取值范围.【参考答案】***试卷处理标记,请不要删除一、选择题 1.C 解析:C 【解析】 【分析】求出集合B 后可得A B I . 【详解】因为集合{}|1,{|11}A x x x R x x =≤∈=-≤≤,{}2|,{|0}B y y x x R y y ==∈=≥则A B =I {}|01x x ≤≤,选C【点睛】本题考查集合的交,注意集合意义的理解,如(){}|,x y f x x D =∈表示函数的定义域,而(){}|,y y f x x D =∈表示函数的值域,()(){},|,x y y f x x D =∈表示函数的图像.2.D解析:D 【解析】 【分析】根据题意可得函数()f x 的奇偶性以及单调性,据此原不等式转化为()()31f x f x ≥-,求解可得x 的取值范围,即可得出结论. 【详解】根据题意,函数()1ln 1xf x x-=+, 则有101xx->+,解可得11x -<<, 即函数的定义域为()1,1-,关于原点对称, 又由()()11lnln 11x xf x f x x x+--==-=--+, 即函数()f x 为奇函数, 设11xt x -=+,则y lnt =, 12111x t x x -==-++,在()1,1-上为减函数, 而y lnt =在()0,∞+上为增函数, 故()1ln1xf x x-=+在区间()1,1-上为减函数, ()()()()13013f x f x f x f x +-≥⇒≥-- ()()3131111311x x f x f x x x ≤-⎧⎪⇒≥-⇒-<<⎨⎪-<-<⎩,解可得:1223x ≤<,即不等式的解集为12,23⎡⎫⎪⎢⎣⎭; 故选:D . 【点睛】本题考查函数的奇偶性与单调性的综合应用,解题时不要忽略函数的定义域,属于中档题.3.D解析:D 【解析】 【分析】画出函数图像,根据函数图像得到答案. 【详解】如图所示:画出函数sin y x =和lg y x =的图像,共有3个交点. 当10x >时,lg 1sin x x >≥,故不存在交点. 故选:D .【点睛】本题考查了函数的零点问题,画出函数图像是解题的关键.4.D解析:D 【解析】 【分析】利用换元法 将函数转化为f (t )=e+1,根据函数的对应关系求出t 的值,即可求出函数f (x )的表达式,即可得到结论 【详解】 设t=f (x )-e x ,则f (x )=e x +t ,则条件等价为f (t )=e+1, 令x=t ,则f (t )=e t +t=e+1, ∵函数f (x )为单调递增函数, ∴t=1, ∴f (x )=e x +1,即f (ln5)=e ln1.5+1=1.5+1=2.5, 故选:D . 【点睛】本题主要考查函数值的计算,利用换元法求出函数的解析式是解决本题的关键.5.B解析:B 【解析】由()f x 的解析式知仅有两个零点32x =-与0x =,而A 中有三个零点,所以排除A ,又()2232xx x f x e-++'=,由()0f x '=知函数有两个极值点,排除C ,D ,故选B . 6.D解析:D【解析】试题分析:奇函数()f x 在[]1,1-上是增函数, 且()11f -=-,在[]1,1-最大值是21,121t at ∴≤-+,当0t ≠时, 则220t at -≥成立, 又[]1,1a ∈-,令()[]22,1,1r a ta t a =-+∈-, 当0t >时,()r a 是减函数, 故令()10r ≥解得2t ≥, 当0t <时,()r a 是增函数, 故令()10r -≥,解得2t ≤-,综上知,2t ≥或2t ≤-或0t =,故选D. 考点:1、函数的奇偶性与单调性能;2、不等式恒成立问题.【方法点晴】本题主要考查函数的奇偶性与单调性能、不等式恒成立问题,属于难题.不等式恒成立问题常见方法:①分离参数()a f x ≤恒成立(min ()a f x ≤即可)或()a f x ≥恒成立(max ()a f x ≥即可);②数形结合(()y f x =图象在()y g x =上方即可);③讨论最值min ()0f x ≥或max ()0f x ≤恒成立;④讨论参数.本题是利用方法①求得t 的范围.7.C解析:C 【解析】 【分析】先判断函数的定义域关于原点对称,再由奇偶性的定义判断奇偶性,根据复合函数的单调判断其单调性,从而可得结论. 【详解】 由100100x x +>⎧⎨->⎩,得(10,10)x ∈-,故函数()f x 的定义域为()10,10-,关于原点对称,又()()lg 10lg(10)()f x x x f x -=-++=,故函数()f x 为偶函数, 而()()2lg(10)lg(10)lg 100f x x x x=++-=-,因为函数2100y x =-在()0,10上单调递减,lg y x =在()0,∞+上单调递增, 故函数()f x 在()0,10上单调递减,故选C. 【点睛】本题主要考查函数的奇偶性与单调性,属于中档题. 判断函数的奇偶性首先要看函数的定义域是否关于原点对称,如果不对称,既不是奇函数又不是偶函数,如果对称常见方法有:(1)直接法, ()()f x f x -=±(正为偶函数,负为减函数);(2)和差法,()()0f x f x -±=(和为零奇函数,差为零偶函数);(3)作商法,()()1f x f x -=±(1 为偶函数,1- 为奇函数) .8.B解析:B 【解析】由()f x 为偶函数得0m =,所以0,52log 3log 32121312,a =-=-=-=2log 521514b =-=-=,0210c =-=,所以c a b <<,故选B.考点:本题主要考查函数奇偶性及对数运算.9.B解析:B 【解析】试题分析:对于选项A ,a b 1gc 1gclog c ,log c lg a lg b==,01c <<Q ,10gc ∴<,而0a b >>,所以lg lg a b >,但不能确定lg lg a b 、的正负,所以它们的大小不能确定;对于选项B ,c lg lg log ,log lg lg c a b a b c c ==,lg lg a b >,两边同乘以一个负数1lg c改变不等号方向,所以选项B 正确;对于选项C ,利用cy x =在第一象限内是增函数即可得到c c a b >,所以C 错误;对于选项D ,利用xy c =在R 上为减函数易得a b c c <,所以D 错误.所以本题选B.【考点】指数函数与对数函数的性质【名师点睛】比较幂或对数值的大小,若幂的底数相同或对数的底数相同,通常利用指数函数或对数函数的单调性进行比较;若底数不同,可考虑利用中间量进行比较.10.C解析:C 【解析】 【分析】由已知函数为偶函数,把233231log ,2,24f f f --⎛⎫⎛⎫⎛⎫ ⎪ ⎪ ⎪⎝⎭⎝⎭⎝⎭,转化为同一个单调区间上,再比较大小. 【详解】()f x Q 是R 的偶函数,()331log log 44f f ⎛⎫∴= ⎪⎝⎭.223303322333log 4log 31,1222,log 422---->==>>∴>>Q ,又()f x 在(0,+∞)单调递减,∴()23323log 422f f f --⎛⎫⎛⎫<< ⎪ ⎪⎝⎭⎝⎭,23323122log 4f f f --⎛⎫⎛⎫⎛⎫∴>> ⎪ ⎪ ⎪⎝⎭⎝⎭⎝⎭,故选C .【点睛】本题主要考查函数的奇偶性、单调性,解题关键在于利用中间量大小比较同一区间的取值.11.D解析:D 【解析】试题分析:集合()(){}{}|130|13A x x x x x =--<=<<,集合,所以3|32A B x x ⎧⎫⋂=<<⎨⎬⎩⎭,故选D.考点:1、一元二次不等式;2、集合的运算.12.B解析:B 【解析】由题意可得{}|2A x x =<,结合交集的定义可得实数a 的取值范围是[)2,+∞ 本题选择B 选项.二、填空题13.4【解析】【分析】根据分段函数的解析式当时令则解得当时做出函数的图像即可求解【详解】当时令则解得当时令得作出函数的图像由图像可知与有两个交点与有一个交点则的零点的个数为4故答案为:4【点睛】本题考查解析:4 【解析】 【分析】根据分段函数的解析式当0x ≤时,令()3f x =,则2413x x --+=,解得22x =-±0x >时,()31xf x =>,1x =,做出函数()f x ,1,22,22y y y ==-=--.【详解】Q 241,0()3,0x x x x f x x ⎧--+≤=⎨>⎩,∴当0x ≤时,()()2241255f x x x x =--+=-++≤,令()3f x =,则2413x x --+=, 解得22x =-±1220,4223,-<-+<-<--当0x >时,()31xf x =>,令()3f x =得1x =,作出函数()f x ,1,22,22y y y ==-=--由图像可知,()f x 与1y =有两个交点,与22y =-+ 则(())3f f x =的零点的个数为4. 故答案为:4 【点睛】本题考查了分段函数的零点个数,考查了数形结合的思想,属于基础题.14.【解析】设()因为是增函数要求原函数的递减区间只需求()的递减区间由二次函数知故填解析:()-3∞-,【解析】设2log y t =,223t x x =+-,(0t >)因为2log y t =是增函数,要求原函数的递减区间,只需求223t x x =+-(0t >)的递减区间,由二次函数知(,3)x ∈-∞-,故填(,3)x ∈-∞-.15.2【解析】【分析】先求f (2)再根据f (2)值所在区间求f (f (2))【详解】由题意f (2)=log3(22–1)=1故f (f (2))=f (1)=2×e1–1=2故答案为:2【点睛】本题考查分段函数解析:2 【解析】【分析】先求f (2),再根据f (2)值所在区间求f (f (2)). 【详解】由题意,f (2)=log 3(22–1)=1,故f (f (2))=f (1)=2×e 1–1=2,故答案为:2. 【点睛】本题考查分段函数求值,考查对应性以及基本求解能力.16.【解析】【分析】设带入化简得到得到答案【详解】设代入得到故的解析式是故答案为:【点睛】本题考查了利用换元法求函数解析式属于常用方法需要学生熟练掌握解析:()32f x x =+ 【解析】 【分析】设32t x =+,带入化简得到()32f t t =+得到答案. 【详解】()3298f x x +=+,设32t x =+ 代入得到()32f t t =+故()f x 的解析式是() 32f x x =+ 故答案为:()32f x x =+ 【点睛】本题考查了利用换元法求函数解析式,属于常用方法,需要学生熟练掌握.17.-1【解析】【分析】由分段函数的解析式先求出f(-2)的值并判定符号从而可得f(f(-2))的值【详解】∵fx=1-xx≥0x2x<0-2<0∴f-2=-22=4>0所以f(f(-2))=f4=1-解析:-1 【解析】 【分析】由分段函数的解析式先求出的值并判定符号,从而可得的值.【详解】, ,所以,故答案为-1. 【点睛】本题主要考查分段函数的解析式,属于简单题. 求分段函数的函数值,要先确定要求值的自变量属于哪一段区间,然后代入该段的解析式求值,当出现的形式时,应从内到外依次求值.18.10【解析】因为2a=5b=m 所以a=log2mb=log5m 由换底公式可得=logm2+logm5=logm10=1则m=10点睛:(1)在对数运算中先利用幂的运算把底数或真数进行变形化成分数指数解析:10 【解析】因为2a =5b =m ,所以a =log 2m ,b =log 5m , 由换底公式可得11a b+=log m 2+log m 5=log m 10=1,则m =10. 点睛:(1)在对数运算中,先利用幂的运算把底数或真数进行变形,化成分数指数幂的形式,使幂的底数最简,然后再运用对数运算法则化简合并,在运算中要注意化同底或指数与对数互化.(2)熟练地运用对数的三个运算性质并配以代数式的恒等变形是对数计算、化简、证明常用的技巧.19.【解析】【分析】根据判断出函数在上为增函数由此列不等式组解不等式组求得的取值范围【详解】由于对任意的时都有所以函数在上为增函数所以解得故答案为:【点睛】本小题主要考查根据函数的单调性求参数的取值范围 解析:[1,0)-【解析】 【分析】 根据()()12120f x f x x x ->-判断出函数在R 上为增函数,由此列不等式组,解不等式组求得a 的取值范围.【详解】由于对任意的12,x x R ∈,12x x ≠时,都有()()12120f x f x x x ->-,所以函数在R 上为增函数,所以1210124a a a a ->⎧⎪<⎨⎪-≤+⎩,解得10a -≤<.故答案为:[)1,0-. 【点睛】本小题主要考查根据函数的单调性求参数的取值范围,考查指数函数的单调性,考查分式型函数的单调性,属于基础题.20.③④⑤【解析】试题分析:分别取特值验证命题①②;对数型函数的变化是先快后慢当x=1时甲乙丙丁四个物体又重合从而判断命题③正确;指数函数变化是先慢后快当运动的时间足够长最前面的动物一定是按照指数型函数解析:③④⑤ 【解析】试题分析:分别取特值验证命题①②;对数型函数的变化是先快后慢,当x=1时甲、乙、丙、丁四个物体又重合,从而判断命题③正确;指数函数变化是先慢后快,当运动的时间足够长,最前面的动物一定是按照指数型函数运动的物体,即一定是甲物体;结合对数型和指数型函数的图象变化情况,可知命题④正确.解:路程f i (x )(i=1,2,3,4)关于时间x (x≥0)的函数关系是:,,f 3(x )=x ,f 4(x )=log 2(x+1),它们相应的函数模型分别是指数型函数,二次函数,一次函数,和对数型函数模型. 当x=2时,f 1(2)=3,f 2(2)=4,∴命题①不正确; 当x=4时,f 1(5)=31,f 2(5)=25,∴命题②不正确;根据四种函数的变化特点,对数型函数的变化是先快后慢,当x=1时甲、乙、丙、丁四个物体又重合,从而可知当0<x <1时,丁走在最前面,当x >1时,丁走在最后面, 命题③正确;指数函数变化是先慢后快,当运动的时间足够长,最前面的动物一定是按照指数型函数运动的物体,即一定是甲物体,∴命题⑤正确.结合对数型和指数型函数的图象变化情况,可知丙不可能走在最前面,也不可能走在最后面,命题④正确. 故答案为③④⑤.考点:对数函数、指数函数与幂函数的增长差异.三、解答题21.最小值为14-,最大值为2. 【解析】 【分析】 由已知条件化简得21log 32x ≤≤,然后化简()f x 求出函数的最值 【详解】由2256x ≤得8x ≤,2log 3x ≤即21log 32x ≤≤ ()()()222231log 1log 2log 24f x x x x ⎛⎫=-⋅-=-- ⎪⎝⎭.当23log ,2x = ()min 14f x =-,当2log 3,x = ()max 2f x =. 【点睛】熟练掌握对数的基本运算性质是转化本题的关键,将其转化为二次函数的值域问题,较为基础.22.(1)奇函数(2)()f x 在()0,+∞上是增函数,证明见解析. 【解析】【分析】(1)分别确定函数的定义域和()f x 与()f x -的关系即可确定函数的奇偶性;(2)()12,0,x x ∀∈+∞,且12x x <,通过讨论()()12f x f x -的符号决定()1f x 与()2f x 的大小,据此即可得到函数的单调性. 【详解】 (1)()4f x x x=-的定义域为0x ≠,()()()44f x x x f x x x ⎛⎫-=--=--=- ⎪-⎝⎭,()4f x x x ∴=-是奇函数. (2)()12,0,x x ∀∈+∞,且12x x <,()()()()()()121212122112121212124444441f x f x x x x x x x x x x x x x x x x x x x ⎛⎫⎛⎫⎛⎫-=---=-+- ⎪ ⎪ ⎪⎝⎭⎝⎭⎝⎭-⎛⎫=-+=-+ ⎪⎝⎭∵()1212,0,,x x x x ∈+∞<,121240,10x x x x ∴-+, ()1212410x x x x ⎛⎫∴-+< ⎪⎝⎭, ()()12f x f x <. ∴Q ()f x 在()0,+∞上是增函数.【点睛】本题主要考查函数的奇偶性,函数的单调性的证明等知识,意在考查学生的转化能力和计算求解能力.23.(Ⅰ)()()(](]2110800,1229012,40x x f x x x ⎧--+∈⎪=⎨⎪-+∈⎩;(Ⅱ)在()4,28x ∈时段内安排核心内容,能使得学生学习效果最佳,理由见解析 【解析】 【分析】(I )当(]0,12x ∈时,利用二次函数顶点式求得函数解析式,当(]12,40x ∈时,一次函数斜截式求得函数解析式.由此求得()f x 的函数关系式.(II )利用分段函数解析式解不等式()62f x >,由此求得学习效果最佳的时间段. 【详解】(Ⅰ)当(]0,12x ∈时,设()()21080f x a x =-+,过点()12,78代入得,则()()2110802f x x =--+,当(]12,40x ∈时,设y kx b =+,过点()12,78、()40,50,得12784050k b k b +=⎧⎨+=⎩,即90y x =-+,则函数关系式为()()(](]211080,0,12290,12,40x x f x x x ⎧--+∈⎪=⎨⎪-+∈⎩.(Ⅱ)由题意(]0,12x ∈,()211080622x --+>或(]12,40x ∈,9062x -+>.得412x <≤或1228x <<,∴428x <<.则老师就在()4,28x ∈时段内安排核心内容,能使得学生学习效果最佳. 【点睛】本小题主要考查分段函数解析式的求法,考查待定系数法求一次函数、二次函数的解析式,考查函数在实际生活中的应用,考查数形结合的数学思想方法,属于基础题. 24.(1)当P =19.5元,最大余额为450元;(2)20年后 【解析】 【分析】(1)根据条件关系建立函数关系,根据二次函数的图象和性质即可求出函数的最值; (2)根据函数的表达式,解不等式即可得到结论. 【详解】设该店月利润余额为L ,则由题设得L =Q (P ﹣14)×100﹣3600﹣2000,① 由销量图,易得Q =250,14P 20340,20P 262p p -+⎧⎪⎨-+<⎪⎩剟„代入①式得L =(250)(14)1005600,14P 20340(14)100560,20P 262P P P P -+-⨯-⎧⎪⎨⎛⎫-+-⨯-< ⎪⎪⎝⎭⎩剟„ (1)当14≤P ≤20时,2(250)(14)1005600200780075600L P P p p =-+-⨯-=-+-,当P =19.5元,L max =450元,当20<P ≤26时,23340(14)100560615656022L P P P p ⎛⎫=-+-⨯-=-+- ⎪⎝⎭,当P =613元时,L max =12503元. 综上:月利润余额最大,为450元,(2)设可在n 年内脱贫,依题意有12n ×450﹣50000﹣58000≥0,解得n ≥20,即最早可望在20年后脱贫. 【点睛】本题主要考查实际函数的应用问题,根据条件建立函数关系,利用二次函数的图象和性质是即可得到结论,属于中档题.25.(1) {|25}A B x x =≤<I (){|35}R C A B x x ⋃=-<< (2) 5(,1)(2,)2-∞-U 【解析】试题分析:(1)根据集合的交集的概念得到{|25}A B x x ⋂=≤<,{|32}R C A x x =-<<,进而得到结果;(2)∵B C C ⋂= ∴C B ⊆,分情况列出表达式即可. 解析:(1){|25}A B x x ⋂=≤<{|32}R C A x x =-<< (){|35}R C A B x x ⋃=-<<(2)∵B C C ⋂= ∴C B ⊆Ⅰ)当C =∅时,∴12m m ->即1m <-Ⅱ)当C ≠∅时,∴121125m m m m -≤⎧⎪->⎨⎪<⎩∴522m <<综上所述:m 的取值范围是()5,12,2⎛⎫-∞-⋃ ⎪⎝⎭26.(1)2;(2){|35}m m m -或 【解析】试题分析:(1)根据一元二次不等式的解法,对A ,B 集合中的不等式进行因式分解,从而解出集合A ,B ,再根据A∩B=[0,3],求出实数m 的值;(2)由(1)解出的集合A ,B ,因为A ⊆C R B ,根据子集的定义和补集的定义,列出等式进行求解.解:由已知得:A={x|﹣1≤x≤3}, B={x|m ﹣2≤x≤m+2}. (1)∵A ∩B=[0,3] ∴∴,∴m=2;(2)C R B={x|x <m ﹣2,或x >m+2} ∵A ⊆C R B ,∴m ﹣2>3,或m+2<﹣1, ∴m >5,或m <﹣3.考点:交、并、补集的混合运算.。
安徽省蚌埠田家炳中学2020-2021学年上学期高一年级12月月考数学试卷考试时间:120分钟 试卷分值:150分一、选择题(本大题共12小题,共60.0分)1.已知集合A ={x|log 2x <1},集合B ={x|−1≤x ≤1},则A ∩B =( )A. [−1,1]B. [−1,2)C. (0,1]D. (−∞,2)2.下列函数中,即是偶函数又在(0,+∞)上单调递减的是( )A. y =1xB. y =e −xC. y =−x 2+1D. y =lgx 3.函数f(x)=√1−x +lg(x +2)的定义域为( )A. (−2,1)B. [−2,1]C. (−2,+∞)D. (−2,1]4.已知a =log 0.75,b =0.75,c =50.7,则a ,b ,c 的大小关系是( )A. a <b <cB. c <a <bC. a <c <bD. b <c <a5.函数f(x)=e x +x +1零点所在的区间是( )A. (0,1)B. (−1,0)C. (−2,−1)D. (1,2)6.德国著名数学家狄利克雷(Diricℎlet,1805~l859)在数学领域成就显著.19世纪,狄利克雷定义了一个“奇怪的函数”,y =f(x)={1,x ∈Q 0,x ∈∁R Q,其中R 为实数集,Q 为有理数集.则下列说法正确是( )A. f(f(x))=0B. 函数f(x)是奇函数C. ∀x 1,x 2∈∁R Q ,f(x 1+x 2)=f(x 1)+f(x 2)恒成立D. 函数f(x)不能用解析法表示7.已知函数f(x)={(a −1)x 2+ax +3a,(x ≥1)a x−1,(x <1)是定义域上的递减函数,则实数a 的取值范围是( )A. (25,1)B. (0,25]C. (25,23]D. (23,1) 8.若当x ∈R 时,函数f(x)=a |x|始终满足0<|f(x)|≤1,则函数y =log a |1x |的图象大致为( )A. B.C. D.9.方程x +log 3x =3的解为x 0,若x 0∈(n,n +1),n ∈N ,则n =( )A. 0B. 1C. 2D. 310.某种产品的有效期y(单位:天)与储藏的温度x(单位:℃)满足关系式y =e kx+b (e =2.71828…,k 、b 为常数),若该产品在0℃下的有效期为192天,在33℃下的有效期是24天,则该产品在22℃的有效期为( )A. 45天B. 46天C. 47天D. 48天11.设f(x)={2x (0<x ≤2)−3+log 2x(x >2),则f[f(2)]=( ) A. −2 B. −1 C. 0 D. 812.已知函数f(x)={e x ,x ≤0lnx,x >0,g(x)=f(x)+a ,若g(x)恰有2个零点,则实数a 的取值范围是( )A. (−1,0)B. [−1,0)C. (0,1)D. (0,1]二、填空题(本大题共4小题,共20.0分)13.计算(lg 14−lg25)÷100−12+71+log 72=______. 14.函数y =ln√x 2−6的单调递减区间是______.15.任意幂函数都经过定点A(m,n),则函数f(x)=n +log a (x −m)(a >0且a ≠1)经过定点______.16.大西洋鲑鱼每年都要逆流而上,游回到自己出生的淡水流域产卵.记鲑鱼的游速为v(单位:m/s),鲑鱼的耗氧量的单位数为Q.科学研究发现v 与log 3Q 100成正比.当v =1m/s 时,鲑鱼的耗氧量的单位数为900.当v =2m/s 时,其耗氧量的单位数为 .三、解答题(本大题共6小题,共70.0分)17、(本小题满分10分)设f(x)=log a (1+x)+log a (3−x)(a >0,a ≠1),且f(1)=2.(1)求a 的值及f(x)的定义域.(2)求f(x)在区间[0,32]上的最大值. 18、(本小题满分12分)噪声污染已经成为影响人们身体健康和生活质量的严重问题.实践证明,声音强度D(分贝)由公式D =algI +b(a,b 为非零常数)给出,其中I(W/cm 2)为声音能量.(1)当声音强度D 1,D 2,D 3满足3D 1−2D 2=D 3时,求对应的声音能量I 1,I 2,I 3满足的等量关系式;(2)当人们低声说话,声音能量为10−13W/cm2时,声音强度为30分贝;当人们正常说话,声音能量为10−12W/cm2时,声音强度为40分贝.已知声音能量大于60分贝属于噪音,且一般人在大于100分贝小于120分贝的空间内,一分钟就会暂时性失聪,则声音能量在什么范围时,人会暂时性失聪.19、(本小题满分12分)已知函数f(x)=log a(1−x),g(x)=log a(1+x),其中a>0且a≠1.(1)求函数f(x)+g(x)的定义域;(2)判断函数f(x)+g(x)的奇偶性,并证明;(3)若f(x)>g(x),求x的取值范围.20、(本小题满分12分)2018年10月24日,世界上最长的跨海大桥一港珠澳大桥正式通车.在一般情况下,大桥上的车流速度v(单位:千米/时)是车流密度x(单位:辆/千米)的函数.当桥上的车流密度达到220辆/千米时,将造成堵塞,此时车流速度为0;当车流密度不超过20辆/千米时,车流速度为100千米/时,研究表明:当20≤x≤220时,车流速度v是车流密度x的一次函数.(Ⅰ)当0≤x≤220时,求函数v(x)的表达式;(Ⅱ)当车流密度x为多大时,车流量(单位时间内通过桥上某观测点的车辆数,单位:辆/时)f(x)=x⋅v(x)可以达到最大?并求出最大值.21、(本小题满分12分)甲商店某种商品4月份(30天,4月1日为第一天)的销售价格P(元)与时间t(天)函数关系如图(一)所示,该商品日销售量Q(件)与时间t(天)函数关系如图(二)所示.①写出图(一)表示的销售价格与时间的函数关系式P=f(t),写出图(二)表示的日销售量与时间的函数关系式Q=g(t),及日销售金额M(元)与时间的函数关系M=h(t).②乙商店销售同一种商品,在4月份采用另一种销售策略,日销售金额N(元)与时间t(天)之间的函数关系为N=−2t2−10t+2750,比较4月份每天两商店销售金额的大小.22、(本小题满分12分)已知函数f(x)=log a(1−x)+log a(x+3)(0<a<1)(1)求函数f(x)的定义域;(2)求函数f(x)的零点;(3)若函数f(x)的最小值为−4,求a的值.参考答案一、选择题(本大题共12小题,共60.0分)1. C2. C3. D4. A5. C6. D7. B 8. B 9. C 10. D 11. B 12. B二、填空题(本大题共4小题,共20.0分)13. −6 14. (−∞,−√6) 15. (2,1) 16. 8100三、解答题(本大题共6小题,共70.0分)17.(10分) 解:(1)∵f(x)=log a (1+x)+log a (3−x)(a >0,a ≠1),∴f(1)=log a 2+log a 2=2log a 2=2,∴a =2;∴f(x)=log 2(1+x)+log 2(3−x),∴{1+x >03−x >0, 解得−1<x <3;∴f(x)的定义域是(−1,3). ......(5分)(2)∵f(x)=log 2(1+x)+log 2(3−x)=log 2(1+x)(3−x)=log 2[−(x −1)2+4], 且x ∈(−1,3);∴当x =1时,f(x)在区间[0,32]上取得最大值,是log 24=2. ......(10分)18. (12分) 解:(1)当声音强度D 1,D 2,D 3满足3D 1−2D 2=D 3时,有3(algI 1+b)−2(algI 2+b)=algI 3+b ,即3algI 1−2algI 2=algI 3,得3lgI 1−2lgI 2=lgI 3,∴lgI 13−lgI 22=lgI 3,∴lg I 13I 22=lgI 3,则I 13=I 22⋅I 3; ......(6分)(2)由题意,{30=−13a +b 40=−12a +b,解得{a =10b =160. ∴D =10lgI +160,由100<D <120,得100<10lgI +160<120,解得10−6<I <10−4,故I ∈(10−6,10−4)时,人会暂时性失聪. ......(12分)19. (12分) 解:(1)由题意可得{1−x >01+x >0,即{x <1x >−1,解得−1<x <1, 所以定义域为:(−1,1). -----(4分)(2)设F(x)=f(x)+g(x)=log a (1−x)+log a (1+x),由于F(x)的定义域为(−1,1),关于原点对称,而且F(−x)=log a (1+x)+log a (1−x)=F(x),所以,F(x)为偶函数. ------(8分)(3)当a >1时,由log a (1−x)>log a (1+x),可得1−x >1+x ,x <0,所以−1<x <0.当0<a <1时,由log a (1−x)>log a (1+x),可得1−x <1+x ,x >0,所以0<x <1. 综上,当a >1时,x 的取值范围为(−1,0);当0<a <1时,x 的取值范围为(0,1 ).-------(12分)20. (12分)解:(I)当20≤x ≤220时,设v(x)=kx +b ,则{20k +b =100220k +b =0, 解得:{k =−12b =110, ∴v(x)={100,0≤x ≤20−12x +110,20<x ≤220. ......(6分) (II)由(I)得f(x)={100x,0≤x ≤20−12x 2+110x,20<x ≤220. 当0≤x ≤20时,f(x)≤f(20)=2000;当20<x ≤220时,f(x)=−12(x −110)2+6050, ∴当x =110时,f(x)的最大值为f(110)=6050.∴车流密度为110辆/千米时,车流量最大,最大值为6050辆/时. ......(12分)21.(12分)解:①设价格函数是y =kt +b ,过点(0,15)、(30,30),则{b =1530k +b =30⇒l {b =15k =12; ∴f(t)=12t +15(0<t ≤30, t ∈N); 设销售量函数y =at +m ,过点(0,160),(30,40),则{m =16030a +m =40⇒{m =160a =−4; ∴g(t)=−4t +160(0<t ≤30)(t ∈N);则M =(12t +15)(−4t +160)=−2t 2+20t +2400(0<t ≤30,t ∈N). ......(6分)②N =−2t 2−10t +2750(t ∈N),则Q(t)=M −N =30t −350{<0 0<t ≤11>0 30≥t ≥12(t ∈N),即前11天甲商店销售额少,以后乙均比甲少. ......(12分)22. (12分) 解:(1)要使函数有意义:则有{1−x >0x +3>0,解之得:−3<x <1, 则函数的定义域为:(−3,1) ......(4分)(2)函数可化为f(x)=log a (1−x)(x +3)=log a (−x 2−2x +3)由f(x)=0,得−x 2−2x +3=1,即x 2+2x −2=0,x =−1±√3∵−1±√3∈(−3,1),∴函数f(x)的零点是−1±√3 ......(8分)(3)函数可化为:f(x)=log a(1−x)(x+3)=log a(−x2−2x+3)=log a[−(x+1)2+4]∵−3<x<1,∴0<−(x+1)2+4≤4,∵0<a<1,∴log a[−(x+1)2+4]≥log a4,即f(x)min=log a4,由log a4=−4,得a−4=4,∴a=4−14=√2......(12分)2。
安徽省蚌埠田家炳中学、五中高三上学期期中考试数学试题(理)一、选择题(本大题共12小题,共60.0分)1.已知全集U =R ,集合A ={x|x 2>4},B ={x|x+3x−1≤0},则(C U A)∩B 等于( ) A. {x|−2≤x <1} B. {x|−3≤x <2}C. {x|−2≤x <2}D. {x|−3≤x ≤2}2.命题“对∀∈R ,x 2−3x +5≤0”的否定是( )A. ∃x 0∈R ,x 02−3x 0+5≤0B. ∃x 0∈R ,x 02−3x 0+5>0C. ∀x ∈R ,x 2−3x +5≤0D. ∀x 0∈R ,x 02−3x 0+5>0 3.下列说法错误的是( )A. 命题“若x 2−4x +3=0,则x =3”的逆否命题是“若x ≠3,则x 2−4x +3≠0”B. “x >1”是“|x|>0”的充分不必要条件C. 若p ∧q 为假命题,则p 、q 均为假命题D. 命题p :“∃x ∈R ,使得x 2+x +1<0”,则非p :“∀x ∈R ,x 2+x +1≥0”4.已知函数f (x )满足f (−x )=−f (x ),且f (x +2)=f (x ),当0≤x ≤1时,f(x)=2x(1−x),则f(−52)=( )A. −12 B. −14 C. 14D. 125.函数y =(12)2x 2−3x+1的递减区间为( )A. (1,+∞)B. (−∞,34]C. (−∞,1)D. [34,+∞)6.函数y =lncosx(−π2<x <π2)的图象是( )7.已知tan(α+π4)=12,且−π2<α<0,则sin2α+2sin 2α等于( )A. −2√55B. −25C. 25D. 2√558.为了得到函数y =sin(2x −π3)的图象,可以将函数y =cos2x 的图象 A. 向左平移5π12个单位B. 向右平移5π12个单位C. 向右平移π6个单位D. 向左平移π6个单位9.如图,(),x y M M M ,(),x y N N N 分别是函数()()sin f x x ωϕ=A +(0A >,0ω>)的图象与两条直线1:l y m =,2:l y m =-(0m A ≥≥)的两个交点,记S x x N M =-,则()S m 图象大致是( )10.在△ABC 中,若acosC +ccosA =bsinB ,则此三角形为( )A. 等边三角形B. 等腰三角形C. 直角三角形D. 等腰直角三角形11.已知函数f(x)={−x,x ⩽0−x 2+2x,x >0,方程f 2(x)−bf(x)=0,b ∈(0,1),则方程的根的个数是 ( ) A. 2B. 3C. 4D. 512.已知数列{a n }是1为首项,2为公差的等差数列,{b n }是1为首项,2为公比的等比数列,设c n =a b n ,T n =c 1+c 2+⋯+c n ,(n ∈N ∗),则当T n <2019时,n 的最大值是( ) A. 9B. 10C. 11D. 12二、填空题(本大题共4小题,共20.0分)13.已知函数f(x)=ax 3+bx +1,若f(a)=8,则f(−a)=______ . 14.若sin(π6−α)=13,则cos 2(π6+α2)=______.15.已知{a n }是等差数列,其公差d <0,其前n 项和记为S n ,且S 16>0,S 17<0,则当S n 取最大值时的n =______.16.若定义在R 上的函数f(x)满足f(x +2)=−f(x),f(x +1)是奇函数,现给出下列4个论断: ①f(x)是周期为4的周期函数;②f(x)的图象关于点(1,0)对称; ③f(x)是偶函数;④f(x)的图象经过点(−2,0);其中正确论断的序号是_______________请填上所有正确论断的序号 三、解答题(本大题共6小题,共72.0分)17.已知p:x 2−7x +10<0,q:x 2−4mx +3m 2<0,其中m >0. (1)若m =3,且p ∧q 为真,求x 的取值范围;(2)若¬q 是¬p 的充分不必要条件,求实数m 的取值范围.18.已知g (x )=-x 2-3,f (x )是二次函数,当x ∈[-1,2]时,f (x )的最小值为1,且f(x)+g(x)为奇函数,求函数f(x)的表达式.19.已知函数,x∈R.(1)求函数f(x)的单调区间;(2)若把f(x)向右平移π6个单位得到函数g(x),求g(x)在区间[−π2,0]上的最小值和最大值.20.已知数列{a n}是公比为2的等比数列,且a2,a3+1,a4成等差数列.(I)求数列{a n}的通项公式;(II)记,求数列{b n}的前n项和T n.21.在△ABC中,内角A,B,C所对的边分别为a, b, c,已知b+c=2acosB.(1)证明:A=2B;(2)若△ABC的面积S=a24,求角A的大小.22.已知数列{a n}中,a1=1,a n+1=a na n+3(n∈N∗).(1)求a2,a3;(2)求证:{1a n +12}是等比数列,并求{a n}的通项公式a n;(3)数列{b n}满足b n=(3n−1)⋅n2n·a n,数列{b n}的前n项和为T n,若不等式(−1)nλ<T n+ n2n−1对一切n∈N∗恒成立,求λ的取值范围.【参考答案】1. A2. B3. C4. A5. D6. A7. B8. B9. C10. C11. D12. A13. −6 14.2/3 15. 8 16. ①②③ 17. 解:(1)由,解得,所以;又,因为,解得,所以.当m =3时,q:3<x <9又为真,都为真,所以3<x <5.(2)由是的充分不必要条件,即,,其逆否命题为,由(1),,所以, 即:18. 解:设2()(0)f x ax bx c a =++≠ ,则2()()(1)3f x g x a x bx c +=-++-()()f x g x +为奇函数,1,3a c ∴== 2()3f x x bx ∴=++,对称轴2b x =-, (1)当2,42bb -><-时,()f x 为[-1,2]上为减函数, ()f x ∴的最小值为(2)4231f b =++=3b ∴=- ∴此时无解(2)当12,2b-≤-≤即42b -≤≤时 2min()()3124b b f x f =-=-=,b ∴=±b ∴=-此时2()3f x x =-+,(3)当12b-<-时,即2b >时,()f x 为[-1,2]上为增函数 ()f x ∴的最小值为(1)41f b -=-=3,b ∴= 2()33f x x x ∴=++综上所述,2()3f x x =-+或2()33f x x x =++19. 解:(1)f(x)=1+2√3sinxcosx−2sin2x, =√3sin2x+cos2x=2sin(2x+π6),令2kπ−π2≤2x+π6≤2kπ+π2,k∈Z,得kπ−π3≤x≤kπ+π6,k∈Z,可得函数f(x)的单调增区间为[kπ−π3,kπ+π6],k∈Z;令2kπ+π2≤2x+π6≤2kπ+3π2,k∈Z,得kπ+π6≤x≤kπ+2π3,k∈Z,可得函数f(x)的单调减区间为[kπ+π6,kπ+2π3],k∈Z;(2)若把函数f(x)的图像向右平移个单位,得到函数的图像,∵x∈[−π2,0], ∴2x−π6∈[−7π6,−π6],.故g(x)在区间[−π2,0]上的最小值为−2,最大值为1.20. 解:(I)由题意可得2(a3+1)=a2+a4,即2(4a1+1)=2a1+8a1, 解得:a1=1,∴数列{a n}的通项公式为a n=2n−1;,T n=b1+b2+b3+⋯+b n=(1+2+3+⋯+n)+(20+21+22+⋯+2n−1)=n(n+1)2+1−2n1−2=n(n+1)2+2n−1.21. 解:(1)证明:∵b+c=2acosB,∴sinB+sinC=2sinAcosB,∴sinB+sin(A+B)=2sinAcosB,∴sinB+sinAcosB+cosAsinB=2sinAcosB,∴sinB=sinAcosB−cosAsinB=sin(A−B),∵A,B是三角形中的内角,∴0<B<π,−π<A−B<π,∴π−B=A−B或B=A−B, ∴A=π(不合实际或A=2B, 即原题得证.(2)解:∵△ABC的面积S=a24∴12bcsinA=a24a22, ∴2bcsinA=a2, ∴2sinBsinC=sinA=sin2B,∴sinC =cosB , 又∵0<C <π,0<B <π, ∴B +C =π2,或C =B +π2,∴A =π2或A =π4.22. (1)证明:a 2=11+3=14,a 3=1414+3=113.(2)解:由a n+1=ana n +3得1an+1=a n +3a n =1+3a n,即1an+1+12=3(1a n+12), 又1a 1+12=32,∴{1a n+12}是以为首项,3为公比的等比数列.∴1a n+12=32×3n−1=3n2, 即a n =23n −1. (3)解:b n =n 2n−1,T n =1×120+2×121+3×122+⋯+(n −1)·12n−2+n ·12n−1,T n 2=1×121+2×122+⋯+(n −1)·12n−1+n ·12n ,两式相减得Tn2=120+121+122+⋯+12n−1−n2n =2−n+22n,∴T n =4−n+22,∴(−1)n λ<4−22n−1对一切n ∈N ∗恒成立,若n 为偶数,则λ<(4−22n−1)min=4−222−1=3,∴λ<3,若n 为奇数,则−λ<(4−22n−1)min=4−221−1=2,∴λ>−2, ∴−2<λ<3,即λ的取值范围为(−2,3).。
蚌埠五中、田中2020-2021学年第一学期期中联考试卷高一数学考试时间:120分钟 试卷分值:150分一、选择题(本大题共12小题,每小题5分,满分60分) 1.集合{}2(2)(2)0A x x x =-+>,集合{}3(2)(2)0B x x x =-+≤则A B ⋂=().(2,2)A - .(,2)(2,)B -∞-⋃+∞ (].2,2C - [).2,2D -2.下列说法正确的是( ).1A x =是(x-1)(x+2)=0的充要条件3.11B x x >>是的既不充分也不必要条件.C A B A ⋂=⊆是 A B 的充分不必要条件 .=D A B A ⋂=∅是 A 的必要不充分条件3.下列四组函数,表示同一函数的是( ) A. B.()()01,f x g x x ==C. D.4. 下列函数是偶函数的是( ).A .B .C .D .5.已知函数⎩⎨⎧<+≥-=6),2(6,4)(x x f x x x f 则=)3(f ( ) (A )1 (B) 2 (C )3 (D)46.函数 f(x)=x 2-4x+5在区间 [0,m]上的最大值为5,最小值为1,则m 的取值范围是( ) A . ),2[+∞ B . [0,2] C .(]2,∞- D. [2,4]4)(,22)(2-=-⋅+=x x g x x x f 33)(,)(x x g x x f ==322-=x y x y =21-=x y ]1,0[,2∈=x x yy••x201A .B .C .D .8.幂函数f (x )的图象过点(2,m ),且f (m )=16,则实数m 的所有可能的值为( ).A.4或21B. ±2C.4或14D.14或29.已知函数()3,0,0xx a x f x a x -+≥⎧=⎨<⎩是(),-∞+∞上的减函数,则实数a 的取值范围是() A .()0,1 B .10,3⎛⎤ ⎥⎝⎦ C .1,13⎡⎫⎪⎢⎣⎭ D .1,3⎡⎫+∞⎪⎢⎣⎭10.0,0,228,2x y x y xy x y >>++=+已知则的最小值( )A. 3B. 4C. 92D. 112 11.2()1x x x a a -<若存在正数使成立,则的取值范围是( )∞∞∞∞∞A.(-,+) B.(-2,+) C.(0,+) D.(-1,+)()112211(),),,),...,,),()mm m i i i x y f x xy y y x y =+∈=+=∑12.已知函数f(X)(x R)满足f(-X)=2-f(x),若函数y=与函数图像的交点为(x (x (x 则A. 0B. mC. 2mD. 3m 二、填空题(每题5分,满分20分,将答案填在答题纸上) 13.已知函数y =2+x a-2 (a>0, a ≠1)的图象恒过定点A ,则定点A 的坐标为__________.]14.(1)-2,3(21)y f x y f x ⎡=+=-⎣已知函数的定义域是,则的定义域是__________.212121215.()(21)1,2+(1)(1),______0____,f x x a x f x f x x x a x x =+-+∞--->-已知函数若对于区间(,)内的任意两个不等实数都有则实数的取值范围是.[][]2221,2,2,3__________xy ax y x y a ≤+∈∈16.已知不等式对恒成立,则实数的取值范围是.(1,2)(2,1)--(2,1)(1,2)--(1,1)-三、解答题:(本大题共6个小题,共70分.解答应写出文字说明,证明过程或演算步骤) 17.(本小题满分10分)计算:120333113864π---+()()(); (2) ;18. (本小题满分12分)已知全集U=R ,集合A={x |–7≤2x –1≤7},B={x |m –1≤x ≤3m –2}. (Ⅰ)当m=3时,求A ∩B 与()U A C B ⋃; (Ⅱ)若A ∩B=B ,求实数m 的取值范围.19.(本小题满分12分)已知函数f (x )是定义在R 上的奇函数,当x >0时,()(1)f x x x =-+. (Ⅰ)求函数f (x )的解析式;(Ⅱ)求关于m 的不等式f (1–m )+ f (1–m 2)<0的解集.()()1223021329.63 1.548--⎛⎫⎛⎫ ⎪ ⎪⎝⎭⎝⎭---+20. (本小题满分12分)已知函数()在区间上有最大值和最小值.设.(1)求、的值;(2)若不等式在上恒成立,求实数的取值范围;21.(本小题满分12分)某商品在近30天内每件的销售价格(元)与时间(天)的函数关系是该商品的日销售量(件)与时间(天)的函数关系是,求这种商品的日销售金额的最大值,并指出日销售金额最大的一天是30天中的第几天?b ax ax x g ++-=12)(20>a ]3,2[41x x g x f )()(=a b 02)2(≥⋅-x x k f []2,1x ∈--k p t 20,025,,100,2530,.t t t N p t t t N +<<∈⎧=⎨-+≤≤∈⎩Q t 40+-=t Q ),300(N t t ∈≤<22. (本小题满分12分)已知函数2()|2|fx x x x a =+-,其中a 为实数。
(Ⅰ)当1a =-时,求函数()f x 的最小值; (Ⅱ)若)(x f 在]1,1[-上为增函数,求实数a 的取值范围; (Ⅲ)对于给定的负.数a ,若存在两个不相等的实数21,x x (12x x < 且20x ≠ )使得)()(21x f x f =,求121x x x +的取值范围.高一数学答案一、选择题(本大题共12小题,每小题5分,满分60分)1.A2.D3.D4.A5.C6.D7.C8.C9.B 10.B 11.D 12.B 二、填空题(每题5分,满分20分,将答案填在答题纸上) 13.(-2,-1)14. 50,2⎡⎤⎢⎥⎣⎦15.12a ≥-16. 1a ≥-三、解答题:(本大题共6个小题,共70分.解答应写出文字说明,证明过程或演算步骤) 17.(本小题满分10分)解:(Ⅰ)原式=25–1–23+16=16.…………5分(2 )原式= = == …………10分18. (本小题满分12分) 解:易得:A={x |–3≤x ≤4},…………2分(Ⅰ)当m=3时,B={x |2≤x ≤7},UB ={x |x <2或x >7}.…………4分故A ∩B=[2,4]; …………5分 A ∪(UB )=(–∞,4]∪(7,+∞).…………6分(Ⅱ)∵A ∩B=B ,∴B ⊆A ,…………7分23221)23()827(1)49(--+--2323212)23()23(1)23(-⨯-⨯+--22)23()23(123--+--21当B=∅时,m –1>3m –2,∴m <21, …………9分 当B ≠∅时,即m ≥21时,m –1≥–3,且3m –2≤4, ∴–2≤m ≤2,∴21≤m ≤2,…………11分综上所述,m ≤2.…………12分19. (本小题满分12分)解:(Ⅰ)∵函数f (x )是定义在R 上的奇函数,∴f (–x )= –f (x ),…………1分∴当x=0时,f (x )=0;…………2分当x <0时,–x >0,f (x )= –f (–x )=(–x )(1–x )=x (x –1). …………4分∴f (x )=(1)0(1+)0.x x x x x x -≤⎧⎨->⎩,,,…………5分(Ⅱ)∵函数f (x )为奇函数,∴f (1–m )+f (1–m 2)<0⇔f (1–m 2)<–f (1–m )=f (m –1),…………8分易知f (x )在R 单调递减, …………9分 ∴1–m 2>m –1,解得–2<m <1.……12分20. (本小题满分12分),因为,所以在区间上是增函数,故,解得. (2)由已知可得,所以可化为,a b x a x g -++-=1)1()(20>a )(x g ]3,2[⎩⎨⎧==4)3(1)2(g g ⎩⎨⎧==01b a 21)(-+=x x x f 02)2(≥⋅-xx k f xx x k 22212⋅≥-+化为,令,则,因,故, 记,因为,故,所以的取值范围是.21.(本小题满分12分)设日销售金额为(元),则,则……………8分当,t =10时,(元); 当,t=25时,(元).由1125>900,知y max =1125(元),且第25天,日销售额最大. …………12分 22. (本小题满分12分)解:2222,2()|2|2,2x a x x afx x x x a a x x a ⎧-≥=+-=⎨<⎩(Ⅰ)12-(Ⅱ)若0>a ,则)(x f 在R 上为增函数,符合题意; 若0=a ,不合题意;若0<a ,则12a≤-,从而2a ≤-综上,实数a 的取值范围为2a ≤-或0>a 。
k x x ≥⋅-⎪⎭⎫⎝⎛+2122112xt 21=122+-≤t t k []2,1x ∈--[]2,4t ∈=)(t h 122+-t t []2,4t ∈min ()1h t =k (],1-∞y Q p y ⋅=⎩⎨⎧∈≤≤+-∈<<++-=),,3025(,4000140),,250(,8002022N t t t t N t t t t y ⎩⎨⎧∈≤≤--∈<<+--=),,3025(,900)70(),,250(,900)10(22N t t t N t t t N t t ∈<<,250900max =y N t t ∈≤≤,30251125max =y(Ⅲ)因为0a < ,则()f x 在(,)2a -∞ 上为减函数,在(,)2a +∞上为增函数,所以122a x x << ,令112x x M x +=1.若122aa x ≤<,则12x x a +=,由20x ≠ 知22a x a<≤-且20x ≠ 所以121222221x ax a x ax x a x x x -+=+-=--+令()1a g x x ax =--+ ,则()g x 在(0 ,[)上为增函数,在)+∞,(-上为减函数(1)当4a ≤-时,2a≤且a - , 则()g x 在(0 ,[)上为增函数,在]a -,[,2a上为减函数 从而当22ax a<<-且20x ≠所以2()1g x a -+ 或2()1g x a ≤-+(2)当41a -<<-时,2a >且a - , 则()g x 在(0 ,[,0)2a上为增函数,在]a -上为减函数从而当22a x a <<-且20x ≠ 所以2()12ag x >+或2()1g x a -+ (3)当10a -≤<时,2a >且a -则()g x 在(0,]a - ,[,0)2a 上为增函数, 从而当22a x a <<-且20x ≠ 所以2()12ag x >+ 或2()22g x a <- 2.若12x a < ,则2122222a x x a x =-,2212x x x a =-且2x a >- 2222222211222(,22)(11)1x x x x a x a a x a x x x x a +=+=--∞-∈+---因为221a a --+综上所述,当4a ≤-时,121x x x +的取值范围为(1][21,)a a a --+-++∞;当41a -<<-时,121x x x +的取值范围为(,1](1,)2a a +--++∞; 当10a -≤<时,121x x x +的取值范围为(,22)(1,)2a a -∞-++∞。