第六章-单环芳烃(答案)
- 格式:doc
- 大小:966.50 KB
- 文档页数:5
徐寿昌编《有机化学》第二版习题参考答案第二章 烷烃1、用系统命名法命名下列化合物(1)2,3,3,4-四甲基戊烷 (2)3-甲基-4-异丙基庚烷 (3)3,3,-二甲基戊烷 (4)2,6-二甲基-3,6-二乙基辛烷 (5)2,5-二甲基庚烷 (6)2-甲基-3-乙基己烷 (7)2,2,4-三甲基戊烷 (8)2-甲基-3-乙基庚烷 2、试写出下列化合物的结构式(1) (CH 3)3CC(CH 2)2CH 2CH 3 (2) (CH 3)2CHCH(CH 3)CH 2CH 2CH 2CH 3 (3) (CH 3)3CCH 2CH(CH 3)2 (4) (CH 3)2CHCH 2C(CH 3)(C 2H 5)CH 2CH 2CH 3 (5)(CH 3)2CHCH(C 2H 5)CH 2CH 2CH 3 (6)CH 3CH 2CH(C 2H 5)2(7) (CH 3)2CHCH(CH 3)CH 2CH 3 (8)CH 3CH(CH 3)CH 2CH(C 2H 5)C(CH 3)3 3、略4、下列各化合物的系统命名对吗?如有错,指出错在哪里?试正确命名之。
均有错,正确命名如下:(1)3-甲基戊烷 (2)2,4-二甲基己烷 (3)3-甲基十一烷(4)4-异丙基辛烷 (5)4,4-二甲基辛烷 (6)2,2,4-三甲基己烷5、(3)>(2)>(5)>(1) >(4)6、略7、用纽曼投影式写出1,2-二溴乙烷最稳定及最不稳定的构象,并写出该构象的名称。
H H HHHHH H Br BrBr Br交叉式 最稳定重叠式 最不稳定8、构象异构(1),(3) 构造异构(4),(5) 等同)2),(6)9、分子量为72的烷烃是戊烷及其异构体(1) C(CH 3)4 (2) CH 3CH 2CH 2CH 2CH 3 (3) CH 3CH(CH 3)CH 2CH 3 (4) 同(1)10、 分子量为86的烷烃是己烷及其异构体(1) (CH 3)2CHCH(CH 3)CH 3 (2) CH 3CH 2CH 2CH 2CH 2CH 3 , (CH 3)3CCH 2CH 3 (3)CH 3CH 2CH(CH 3)CH 2CH 3 (4)CH 3CH 2CH 2CH(CH 3)2 14、 (4)>(2)>(3)>(1)第三章 烯烃1、略2、(1)CH 2=CH — (2)CH 3CH=CH — (3)CH 2=CHCH 2— CH 2CH CH 3MeH H i-PrEt Men-PrMe Me Et i-Prn-Pr (4)(5)(6)(7)3、(1)2-乙基-1-戊烯 (2) 反-3,4-二甲基-3-庚烯 (或(E)-3,4-二甲基-3-庚烯 (3) (E)-2,4-二甲基-3-氯-3-己烯 (4) (Z)-1-氟-2-氯-2-溴-1-碘乙烯(5) 反-5-甲基-2-庚烯 或 (E)-5-甲基-2-庚烯 (6) 反-3,4-二甲基-5-乙基-3-庚烯 (7) (E) -3-甲基-4-异丙基-3-庚烯 (8) 反-3,4-二甲基-3-辛烯 4、略 5、略 6、CH 3CH 2CHCH 2CH 3CH 3CH 2CCHCH 3CH 3OH BrCH 3CH 2CCHCH 3CH 3Cl ClCH 3CH 2C CHCH 3CH 3OH OHCH 3CH 2CH CHCH 3CH 3OHCH 3CH 2COCH 3CH 3CHOCH 3CH 2CH CHCH 3CH 3Br(1)(2)(3)(4)(5)(6)(7)7、活性中间体分别为:CH 3CH 2+ CH 3CH +CH 3 (CH 3)3C + 稳定性: CH 3CH 2+ > CH 3CH +CH 3 > (CH 3)3C + 反应速度: 异丁烯 > 丙烯 > 乙烯8、略9、(1)CH 3CH 2CH=CH 2 (2)CH 3CH 2C(CH 3)=CHCH 3 (有顺、反两种) (3)CH 3CH=CHCH 2CH=C(CH 3)2 (有、反两种)用KMnO 4氧化的产物: (1) CH 3CH 2COOH+CO 2+H 2O (2)CH 3CH 2COCH 3+CH 3COOH (3) CH 3COOH+HOOCCH 2COOH+CH 3COCH 310、(1)HBr ,无过氧化物 (2)HBr ,有过氧化物 (3)①H 2SO 4 ,②H 2O (4)B 2H 6/NaOH-H 2O 2 (5)① Cl 2,500℃ ② Cl 2,AlCl 3(6)① NH 3,O 2 ② 聚合,引发剂 (7)① Cl 2,500℃,② Cl 2,H 2O ③ NaOH 11、烯烃的结构式为:(CH 3)2C=CHCH 3 。
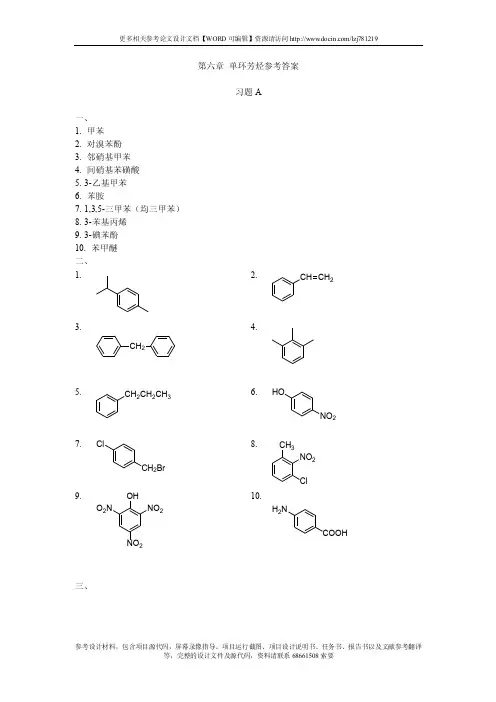
第六章 单环芳烃参考答案习题A一、 1. 甲苯2. 对溴苯酚3. 邻硝基甲苯4. 间硝基苯磺酸5. 3-乙基甲苯6. 苯胺7. 1,3,5-三甲苯(均三甲苯) 8. 3-苯基丙烯 9. 3-碘苯酚 10. 苯甲醚 二、1.2.CH CH 23.CH 24.5.CH 2CH 2CH 36.HONO 27.Cl2Br8.CH 3NO 2Cl9.OHNO 2NO 2O 2N10.H 2N三、1. CH3ClCH3Cl+2. CH2CH33. COOHCOOH 4.O2N NO25. CH3NO2CH3NO2+6.CH2Cl7. CH2CH3SO3H CH2CH3SO3H+8. C2H5CH3H3C9.OC(CH3)3,OC(CH3)3Cl10.,Cl11. CH2CH3,COOH,COOHNO212. ONO2四、1. B2. C3.A4.A5.B五、1.(1)CH 2CH 3CHCH 2CCH_++_(白色沉淀)(2)C 3H7CH CH2_+(褪色)(褪色)_⎽(3)_+(褪色)(褪色)_⎽环己烷环己烯甲苯(4)_+(褪色)(褪色)_+⎽1,3,5-三甲苯叔丁基苯1-苯基丙烯2.在苯和甲苯的混合物中加入浓硫酸,甲苯亲电取代活性比苯强,发生磺化反应生成甲基苯磺酸,溶于浓硫酸中;而苯常温不能用浓硫酸磺化,且与浓硫酸不相容,通过分液将苯分离。
然后再将下层浓硫酸层加水水解,使对应的苯磺酸发生逆磺化反应脱去磺酸基,重新转变成甲苯而分层,最后再分液将甲苯分离。
六、322AlCl3Cl 光Cl2.第一步硝基苯不发生傅克烷基化反应。
NO 2CH 2CH 34NO 2COOH3. 第一步得到硝基苯,第二步不反应。
4.32AlCl 3Cl COCH 3COCH 3CH 2CH 3FeCOCH 3CH 2CH 3Cl COCH 3CH 2CH 3Cl+七、 1. (1)CH 3CH 3(2)BrBrBr2. (1)(2)2(3)(4)3(5)(6)(7)(8)3. (1) A > D > B > C (2) B > C > A4. (1) B > D > E > C > A (2) D > A > B > C1. 甲苯的硝化和硝基苯的硝化都属于苯环上的亲电取代反应,但甲基是供电子基团,使苯环上电子云密度增加有利于亲电取代反应的进行;硝基是强吸电子基团,使苯环上电子云密度下降,不利于反应进行。
第六章芳烃在有机化学发展初期,曾把从天然树脂、香精油中得到的一类性质上和脂肪族化合物明显不同,具有高度的不饱和性(C/H高),且具有特殊的稳定性和芳香气味的有机化合物称为芳香族化合物,仅由碳氢两种元素组成的芳香族化合物称为芳香烃,简称芳烃。
因当时发现的这些芳香族化合物经递降后最终得到苯,故人们把苯及其衍生物称为芳香族化合物。
随着有机化学的不断发展,又发现了一些非苯构造的环状烃,它们与苯及其衍生物的性质相似,成环原子间的键长也趋于平均化,性质上表现为易发生取代反应,不易发生加成反应,不易被氧化,它们的质子与苯的质子相似,在核磁共振谱中显示相似的化学位移。
这些特性统称为芳香性。
后经研究发现,具有芳香性的化合物在结构上都符合休克尔规则。
所以近代有机化学把结构上符合休克尔规则,性质上具有芳香性的化合物称为芳香族化合物。
芳烃不一定具有“香”味。
根据是否含有以及所含苯环的数目和联结方式不同,芳烃又可分为如下三类:(1)单环芳烃:分子中只含有一个苯环结构,如苯、甲苯、苯乙烯等。
CH3CH CH2(2)多环芳烃:分子中含有两个或两个以上的苯环结构,如联苯、萘、蒽等。
(3)非苯芳烃:分子中不含苯环结构,但含有结构和性质与苯环相似的芳环,并具有芳香族化合物的共同特性。
如环戊二烯负离子,环庚三烯正离子等。
+(一) 单环芳烃最简单的单环芳烃是苯,其分子式为C6H6。
现代物理方法测得苯的结构为:苯分子的六个碳原子和六个氢原子都在同一平面上,六个碳原子构成正六边形,C-C键长0.140nm,C-H 键长为0.108nm,键角∠CCH及∠CCC均为120º。
(缺图)图6-1 苯分子环状结构及π电子云分布图(1)价键理论对苯结构的处理杂化轨道理论认为苯环中碳原子为sp2杂化状态,三个sp2杂化轨道分别与另外两个碳原子的sp2杂化轨道形成C-Cσ键以及与一个氢原子的s轨道形成C-Hσ键,而没有杂化的p轨道互相平行且垂直于σ键所在平面,它们侧面互相重叠形成闭合大π键(图6-1)共扼体系。
第6章单环芳烃一、选择题1.下面的化合物进行硝化反应的速度顺序是()。
[华中科技大学2000研]A.(3)>(4)>(2)>(1)B.(3)>(2)>(4)>(1)C.(4)>(2)>(3)>(1)D.(4)>(3)>(1)>(2)【答案】A【解析】给电子基的给电子能力越强,苯环上的硝化反应越快;吸电子基的吸电子能力越强,硝化反应越慢。
2.下面化合物的正确名称是()。
[华中科技大学2000研]A.对甲基苯磺酰胺B.N-甲基对甲苯磺酰胺C.对甲苯甲基苯磺酰胺D.甲氨基对甲苯磺酰胺【答案】B【解析】取代基中含磺酰胺基,要以苯磺酰胺作为主体命名。
3.苯甲醚在邻位进行硝化反应时,其中间体的极限结构对共振杂化体贡献最大的是()。
[天津大学2000;大连理工大学2004研]【答案】(C)【解析】(C)中的正电荷位于与甲氧基相连的碳原子上,甲氧基的给电子效应使正电荷分散,因此该极限结构比其他三种极限结构相对稳定,对共振杂化体的贡献最大。
4.反应的主要产物是()。
[武汉大学2001研](D)(A),(B)等量(E)(A),(C)等量【答案】(B)【解析】氯原子为邻、对位定位基,因生成(A)时的空间位阻较大,故主要产物为(B)。
5.下列化合物,芳环上起亲核取代反应速率最快的是()。
[南京大学2003研]【答案】(C)【解析】与氯原子相连的碳原子带的正电荷越多,则亲核取代反应速率越快。
硝基为吸电子基,使苯环上邻、对位电子云密度降低,正电荷增多,故(C)起亲核反应速率最快。
二、填空题1.命名:。
[浙江大学2004研]【答案】3-甲氧基-4-溴苯甲醛【解析】以醛作为主体进行命名,取代基的列出顺序按顺序规则,小基团优先。
2.命名:。
[厦门大学2003研]【答案】4-氨基-2-羟基苯甲酸乙酯【解析】以酯作为主体进行命名,写名称时,取代基的列出顺序按顺序规则,小基团优先。
3.用系统命名法命名:。
[厦门大学2002研]【答案】N-甲基-N-乙基-对溴苯胺【解析】以苯胺作为主体进行命名。
第六章单环芳烃•要求深刻理解和熟练掌握的内容:苯的结构;单环芳烃的化学性质,苯环上的亲电取代反应机理及定位规律的理论解释。
•要求一般理解和掌握的内容:单环芳烃的来源和制法•难点:•苯环上亲电取代反应定位规律的理论解释第六章单环芳烃•大多数芳烃含有苯的六碳环结构,少数非苯芳烃的结构和性质与苯环相似,也称芳烃.•芳烃的性质特点:(1)不易发生加成反应,(2)不易氧化,(3)而容易起取代反应.(1)单环芳烃•芳烃可分为以下三类:(2)多环芳烃(3)非苯芳烃苯的分子式: (C6H6)一苯环的结构1. 凯库勒结构式性质特点:苯不易发生加成,不易氧化,但容易发生取代反应。
苯的凯库勒式结构+H 2∆H=-120kJ/mol+3H 2∆H=-208kJ/mol (2)苯的氢化(3)1,3-环己二烯脱氢-H 2∆H=-23kJ/mol苯的稳定性证明(1) 环己烯催化加氢:四、单环芳烃的物理性质芳香烃不溶于水,但溶于有机溶剂。
一般芳香烃均比水轻。
沸点随相对分子质量升高而升高。
熔点除与相对分子质量有关外,还与结构有关,通常对位异构体由于分子对称,熔点较高。
苯亲电取代反应的能量示意图反应进程势能+E +EE H+六、苯环上亲电取代反应的定位效应1. 定位规律A.烷基苯的取代反应CH3CH3NO2NO2CH3混酸℃3057%40%甲苯的硝化比苯容易,新引入的取代基主要进入原取代基的邻对位。
实验现象:B.硝基苯的取代反应发烟HNO3+H2SO4NO2NO2NO295℃93.2%硝基苯的硝化比苯困难,新引入的取代基主要进入原取代基的间位。
烷烃1.用系统命名法命名下列化合物:2,3,3,4-四甲基戊烷 2,4-二甲基-3-乙基己烷 3,3-二甲基戊烷 2,6-二甲基-3,6-二乙基辛烷 2,5-二甲基庚烷 2-甲基-3-乙基己烷 2,4,4-三甲基戊烷 2-甲基-3-乙基庚烷 2.写出下列各化合物的结构式:1.2,2,3,3-四甲基戊烷 2,2,3-二甲基庚烷3、 2,2,4-三甲基戊烷4、2,4-二甲基-4-乙基庚烷5、 2-甲基-3-乙基己烷6、三乙基甲烷7、甲基乙基异丙基甲烷8、乙基异丁基叔丁基甲烷 3.用不同符号表示下列化合物中伯、仲、叔、季碳原子4.2.3.4.5.6.1.5.不要查表试将下列烃类化合物按沸点降低的次序排列:(1) 2,3-二甲基戊烷 (2) 正庚烷 (3) 2-甲基庚烷 (4) 正戊烷 (5) 2-甲基己烷解:2-甲基庚烷>正庚烷> 2-甲基己烷>2,3-二甲基戊烷> 正戊烷(注:随着烷烃相对分子量的增加,分子间的作用力亦增加,其沸点也相应增加;同数碳原子的构造异构体中,分子的支链愈多,则沸点愈低。
)6.作出下列各化合物位能对旋转角度的曲线,只考虑所列出的键的旋转,并且用纽曼投影式表示能峰、能谷的构象。
(1) CH 3-CH 3(2)CH 3CH 3CH 3CH 3CH 33(7.象的名称。
解:对位交叉式构象 最稳定 全重叠式构象 最不稳定8.下面各对化合物那一对是等同的不等同的异构体属于何种异构解:1. 不等同,构象异构2.等同 3. 不等同,构象异构 4. 不等同,构造异构 5. 不等同,构造异构 6等同化合物9.某烷烃相对分子质量为72,氯化时(1)只得一种一氯化产物,(2)得三种一氯化产物,(3)得四种一氯化产物,(4)只得两种二氯衍生物,分别这些烷烃的构造式。
解: 设有n 个碳原子: 12n+2n+2=72,n=510. 那一种或那几种相对分子量为86的烷烃有:(1)两个一溴代产物 (2)三个一溴代产物 (3)四个一溴代产物 (4)五个一溴代产物 解:分子量为86的烷烃分子式为C 6H 14CH 3CH 2CH 2CH 3CH 3CH CH 2CH 2CH 3CH 3CH CH 3CH 3CH 3C CH 3CH 2CH 3CH 3CH CH CH 3CH 3CH 312. 反应CH 3CH 3 + Cl 2CH 3CH 2Cl 的历程与甲烷氯化相似, (1) 写出链引发、链增长、链终止各步的反应式; (2) 计算链增长一步△H 值。
第六章芳烃芳烃是芳香族碳氢化合物的简称。
一般情况下,把苯及其衍生物称为芳香族化合物。
其中分子中只含一个苯环的芳烃叫做单环芳烃。
芳香二字的来由最初是指从天然树脂(香精油)中提取而得、具有芳香气的物质。
现代芳烃的概念是指具有芳香性的一类环状化合物,它们不一定具有香味,也不一定含有苯环结构。
芳香烃具有其特征性质——芳香性(易取代,难加成,难氧化)。
第一节单环芳烃的结构、异构和命名一、单环芳烃的结构苯是单环芳烃中最简单最重要的化合物,也是所有芳香族化合物的母体。
1. 凯库勒构造式根据元素分析得知苯的分子式为C6H6。
仅从苯的分子式判断,苯应具有很高的不饱和度,显示不饱和烃的典型反应—加成、氧化、聚合,然而苯却是一个十分稳定的化合物。
通常情况下,苯很难发生加成反应,也难被氧化,在一定条件下,能发生取代反应,称为“芳香性”。
1865年凯库勒从苯的分子式出发,根据苯的一元取代物只有一种,说明六个氢原子是等同的事实,提出了苯的环状结构。
这个式子虽然可以说明苯分子的组成以及原子间连接的次序,但这个式子仍存在着缺点,它不能说明苯既然含有三个双键,为什么苯不起类似烯烃的加成反应?环己烯的氢化热为119.6kJ/mol,如果苯的构造式用凯库勒式表示的话,苯的氢化热为环己烯氢化热的三倍。
119.6×3=358.8KJ/mol 。
实际上苯的氢化热是208.4KJ/mol,比预计的数值低150.4KJ/mol。
2.闭合共轭体系根据现代物理方法(如X射线法,光谱法等)证明了苯分子是一个平面正六边形构型,键角都是120℃ ,碳碳键的键长都是0.1397nm。
按照轨道杂化理论,苯分子中六个碳原子都以sp2杂化轨道互相沿对称轴的方向重叠形成六个C-C σ键,组成一个正六边形。
每个碳原子各以一个sp2杂化轨道分别与氢原子1s轨道沿对称轴方向重叠形成六个C-H σ键。
由于是sp2杂化,所以键角都是120℃,所有碳原子和氢原子都在同一平面上。
芳香族化合物最初是指从树脂或香精油等天然物质中提取得到的具有芳香气味的化合物,故称芳香族化合物。
后来发现此类化合物都含有苯环,自此以后,芳香族化合物即指含有苯环的化合物。
但实际上,含有苯环的化合物并不都具有芳香气味,具有芳香气味的化合物也不一定都含有苯环,所以“芳香族化合物”系指含有苯环的化合物并不太确切。
但由于历史原因,这一名称至今仍然沿用,不过它的含义已经不同了。
如今芳香族化合物的新含义,系指含有苯环结构及性质类似于苯(芳香性)的一类化合物。
芳香烃根据分子中所含苯环的数目和结合方式分为单环芳烃、稠环芳烃和多环芳烃。
单环芳烃:指分子中仅含一个苯环的芳烃,包括苯、苯的同系物和苯基取代的不饱和烃。
例如:苯 甲苯 乙苯 苯乙烯稠环芳烃:指分子中含两个或两个以上苯环,且苯环之间共用两个相邻的碳原子结合的芳烃。
例如:萘 蒽 菲多环芳烃:指分子中两个或两个以上苯环通过单键或碳链连接的芳烃。
例如:二联苯 1,4-联三苯 二苯甲烷本章重点讨论单环芳烃和稠环芳烃。
6.1 苯的结构苯的分子式为C 6H 6,碳氢数目比为1:1,应具有高度不饱和性。
事实则不然,在一般条件下,苯不能被高锰酸钾等氧化剂氧化,也不能与卤素、卤化氢等进行加成反应,但它却容易发生取代发应。
并且苯环具有较高的热稳定性,加热到900℃也不分解。
象苯环表现出的对热较稳定,在化学反应中不易发生加成、氧化反应,而易进行取代反应的特性,被称之为芳香性。
苯具有的特殊性质——芳香性,必然是由于它存在一个特殊的结构所决定的。
1865年,凯库勒(Kekule’)提出了苯的环状对称结构式:CH 3CH 2CH 3CH=CH 2CH 214简写式此式称为苯的凯库勒式,碳环是由三个C=C 和三个C —C 交替排列而成。
它可以说明苯分子的组成及原子相互连接次序,并表明碳原子是四价的,六个氢原子的位置等同,因而可以解释苯的一元取代产物只有一种的实验事实。
但是凯库勒式不能解释苯环在一般条件下不能发生类似烯烃的加成、氧化反应;也不能解释苯的邻位二元取代产物只有一种的实验事实。
徐寿昌编《有机化学》第二版习题参考答案第二章烷烃1、用系统命名法命名下列化合物(1)2,3,3,4-四甲基戊烷(2)3-甲基-4-异丙基庚烷(3)3,3,-二甲基戊烷(4)2,6-二甲基-3,6-二乙基辛烷(5)2,5-二甲基庚烷(6)2-甲基-3-乙基己烷(7)2,2,4-三甲基戊烷(8)2-甲基-3-乙基庚烷2、试写出下列化合物的结构式(1) (CH3)3CC(CH3)2CH2CH3(2) (CH3)2CHCH(CH3)CH2CH2CH2CH3(3) (CH3)3CCH2CH(CH3)2(4) (CH3)2CHCH2C(CH3)(C2H5)CH2CH2CH3(5)(CH3)2CHCH(C2H5)CH2CH2CH3(6)CH3CH2CH(C2H5)2(7) (CH3)2CHCH(CH3)CH2CH3(8)CH3CH(CH3)CH2CH(C2H5)C(CH3)33、略4、下列各化合物的系统命名对吗?如有错,指出错在哪里?试正确命名之。
均有错,正确命名如下:(1)3-甲基戊烷(2)2,4-二甲基己烷(3)3-甲基十一烷(4)4-异丙基辛烷(5)4,4-二甲基辛烷(6)2,2,4-三甲基己烷5、(3)>(2)>(5)>(1) >(4)6、略7、用纽曼投影式写出1,2-二溴乙烷最稳定及最不稳定的构象,并写出该构象的名称。
交叉式最稳定重叠式最不稳定8、构象异构(1),(3)构造异构(4),(5)等同)2),(6)9、分子量为72的烷烃是戊烷及其异构体(1) C(CH3)4(2) CH3CH2CH2CH2CH3 (3) CH3CH(CH3)CH2CH3(4) 同(1)10、分子量为86的烷烃是己烷及其异构体(1)(CH3)2CHCH(CH3)CH3(2) CH3CH2CH2CH2CH2CH3 , (CH3)3CCH2CH3(3)CH3CH2CH(CH3)CH2CH3(4)CH3CH2CH2CH(CH3)214、(4)>(2)>(3)>(1)第三章 烯烃1、略2、(1)CH 2=CH — (2)CH 3CH=CH — (3)CH 2=CHCH 2— CH 2CH CH 3MeH H i-PrEt Men-PrMe Me Et i-Prn-Pr (4)(5)(6)(7)3、(1)2-乙基-1-戊烯 (2) 反-3,4-二甲基-3-庚烯 (或(E)-3,4-二甲基-3-庚烯 (3) (E)-2,4-二甲基-3-氯-3-己烯 (4) (Z)-1-氟-2-氯-2-溴-1-碘乙烯(5) 反-5-甲基-2-庚烯 或 (E)-5-甲基-2-庚烯 (6) 反-3,4-二甲基-5-乙基-3-庚烯 (7) (E) -3-甲基-4-异丙基-3-庚烯 (8) 反-3,4-二甲基-3-辛烯 4、略 5、略 6、CH 3CH 2CHCH 2CH 3CH 3CH 2CCHCH 3CH 3CH 3CH 2CCHCH 3CH 3CH 3CH 2C CHCH 3CH 3CH 3CH 2CH CHCH 3CH 3CH 3CH 2COCH 3CH 3CHOCH 3CH 2CH CHCH 3CH 3(1)(2)(3)(4)(5)(6)(7)7、活性中间体分别为:CH 3CH 2+ CH 3CH +CH 3 (CH 3)3C + 稳定性: CH 3CH 2+ > CH 3CH +CH 3 > (CH 3)3C + 反应速度: 异丁烯 > 丙烯 > 乙烯8、略9、(1)CH 3CH 2CH=CH 2 (2)CH 3CH 2C(CH 3)=CHCH 3 (有顺、反两种) (3)CH 3CH=CHCH 2CH=C(CH 3)2 (有、反两种)用KMnO 4氧化的产物: (1) CH 3CH 2COOH+CO 2+H 2O (2)CH 3CH 2COCH 3+CH 3COOH (3) CH 3COOH+HOOCCH 2COOH+CH 3COCH 310、(1)HBr ,无过氧化物 (2)HBr ,有过氧化物 (3)①H 2SO 4 ,②H 2O (4)B 2H 6/NaOH-H 2O 2 (5)① Cl 2,500℃ ② Cl 2,AlCl 3(6)① NH 3,O 2 ② 聚合,引发剂 (7)① Cl 2,500℃,② Cl 2,H 2O ③ NaOH 11、烯烃的结构式为:(CH 3)2C=CHCH 3 。
第六章 单环芳烃(答案)
【作业题答案】
1. 写出下列化合物的构造式:
(1)间二硝基苯 (2)对溴硝基苯 (3)对羟基苯甲酸 (4)3,5-二硝基苯磺酸
(1)
NO 2
NO 2
Br
NO 2COOH
OH SO 3H
NO 2
O 2N
(2)
(3)
(4)
2. 命名下列化合物:
(2)
(3)
(1)
C(CH 3)3
C 2H 5
NO 2COOH
NO 2
NO 2
(1) 叔丁苯 (2)对硝基乙苯 (3)2,4-
二硝基苯甲酸 3. 用化学方法区别下列化合物。
白
白
C
CH
C H
CH
22CCl 4
褪色褪色
Ag(NH 3)2NO 3
×××
×
×
4. 用箭头表示下列化合物发生一元硝化反应时硝基进入苯环的主要位置(一个或几个)。
(1)
(2)
NHCOCH 3
COOH
(4)
NO 2
OCH
COOH
(3)
5. 完成下列反应。
+
AlCl
3
( )
(1)
¢ÙCH 3
+
CH 3CHCH 2Cl CH 3
AlCl 3
( )
KMnO 4( )
CH 3
C(CH 3)3
COOH
C(CH 3)3
(2)
无水AlCl CH 3
+
CH 3CH 2CH 2O
Cl
( )
( )Zn-Hg CH 3
C CH 2CH 2CH 3CH 3
H 2C CH 2CH 2CH 3
(3)
H 3CO H 3CO
CH 2CHCH 2
COCl
3
( )
H 3CO
H 3CO
O
H 2
C
(4)
H N O +HNO 3
24
( )H
N
O O 2N (5)
6. 指出下列反应中的错误。
(1)
CH 2CH 2CH 3
322,AlCl 3
(B )
Cl CH 2CH 2CH 2Cl
A 错,应得异丙苯;
B 错,应为氯取代α-H 。
NO 2
(2)
H C CH H SO (A )
(B )
NO 2
CH 2CH 3
KMnO NO 2
CH 2COOH
A 错,硝基苯不能发生烷基化反应;
B 错,氧化应得间硝基苯甲酸。
7.将下列各组化合物按环上硝化反应的活泼性顺序排列。
(1)苯,甲苯,间二甲苯,对二甲苯 间二甲苯 > 对二甲苯 > 甲苯 > 苯 (2)氯苯,对氯硝基苯,2,4-二硝基氯苯 氯苯 > 对氯硝基苯 > 2,4-二硝基氯苯
8. 指出下列反应的类型。
CH
3
3
CH 2Cl CH 3
Cl
( )( )自由基取代
亲电取代
9.由指定原料合成下列化合物(所需要的无机试剂任选)。
(1)
CH 3
COOH
Br
NO 2 CH 3
CH 3
Br 2
Br 2
CH 3
NO 2
KMnO 混酸
COOH
Br
2
(2)
CH 3
COOH
NO 2
CH 3
CH 3
NO 22CH 3
Br
KMnO 混酸
COOH
NO 2
Br
CH 2Cl
(3)
CH 3
CH 2Cl
CH 3
Cl
2
Cl 3
CH 3
Cl
10. 推测下列各化合物的结构。
(1)某不饱和烃A 的分子式为C 9H 8,它能和氯化亚铜氨溶液反应产生红色沉淀。
化合物A 催化加氢得到B (C 9H 12)。
将化合物B 用酸性重铬酸钾氧化得到酸性化合物C (C 8H 6O 4)。
将化合物C 加热得到D(C 8H 4O 3)。
若将化合物A 和丁二烯作用则得到另一个不饱和化合物E ,将化合物E 催化脱氢得到2-甲基联苯。
写出A 、B 、C 、D 、E 的构造式。
A
B
C
D
E
CH 3
C CH 3
CH 2CH 3
COOH
COOH
O CH 3
CH
O
O
(2)A 、B 、C 三种芳烃的分子式都是C 9H 12,氧化时A 得一元酸,B 得二元酸,C 得三元酸,进行硝化时A 和B 分别主要得到两种一硝基化合物。
而C 只得到一种一硝基化合物,推断A 、B 、C 的结构。
or
A
B
C
CH 2CH 2CH 3
CH
CH 3
CH 2CH 3
CH 3
H 3C
CH 3CH 3
CH 3
(注:可编辑下载,若有不当之处,请指正,谢谢!)。