解不等式典型例题答案
- 格式:doc
- 大小:537.54 KB
- 文档页数:8
初中数学方程与不等式25道典型题(含答案和解析)1. 楠楠老师在解方程2x−13=x +a 2−1去分母时,因为手抖发作,将方程右侧的-1漏乘了,因而求得的方程的解为x =2,请帮助楠楠老师求出正确的解. 答案:x =-3. 解析:漏乘后方程为:2(2X -1)=3(x +a )-1. 4x -2=3x +3a -1. x =3a +1 .∵ x =2.∴ a =13.∴ 原方程去分母后得: 2(2X -1)=3(x +13)-6. 4x -2=3x +1-6. X =-3.考点:方程与不等式—一元一次方程—含字母参数的一元一次方程—错解方程.2. 已知关于x 的方程3[x −2(x −a2)]=4x 与3x +a 12−1−5x 8=1有相同的解,求 a 的值及方程的解.答案:a =2711,方程的解为x =8177.解析:把a 当作常数,方程3[x −2(x −a2)]=4x 的解为x =37a .方程3x +a 12−1−5x 8=1的解为x =27−2a 21.故37a =27−2a 21.解得a =2711,所以x =8177.考点:方程与不等式—一元一次方程—同解方程—同解方程求参数.3. 解方程组.(1){m +n3−n−m4=24m +n 3=14 (2){1−0.3(y −2)=x +15y−14=4x +920−1答案:(1){m =185n =−65.(2){x =4y =2.解析:(1)化简方程组得,{7m +n =2412m +n =42,加减消元可解得答案为{m =185n =−65.(2)化简方程组得,{2x +3y =144x −5y =6,加减消元可解得答案为{x =4y =2.考点:方程与不等式—二元一次方程组—解二元一次方程组.4. 回答下列小题.(1)当k = 时,方程组{4x +3y =1kx +(k −1)y =3的解中,x 与y 的值相等.(2)关于x ,y 的方程组{ax +by =2cx −7y =8,甲正确的解得{x =3y =−2,乙因为把c 看错了,解得{x =−2y =2,求a ,b ,c 的值. (3)若方程组{2x +3y =7ax −by =4与方程组{ax +by =64x −5y =3有相同的解,则a ,b 的值为( ).A.{a =2b =1B. {a =2b =−3C. {a =2.5b =1D. {a =4b =−5 答案:(1)11.(2)a =4,b =5,c =-2. (3)C .解析:(1)因为x 和y 的值相等,所以x =y ,代入1式可得x =y =17,再代入2式可得k =11.(2)乙看错了c ,说明乙的解只满足1式;甲是正确的解,说明甲的解满足两个等式.将解代入方程可得{3a −2b =23c +14=8−2a +2b =2,解得a =4,b =5,c =-2.(3)由题中条件:有相同的解可知,这两个方程组可以联立,即{2x +3y =7ax−by =4ax +by =64x−5y =3,由1式和4式可以解得{x =2y =1,代入2式和3式可得{2a −b =42a +b =6. 解得{a =2.5b =1,故选C.考点:方程与不等式—二元一次方程组—同解方程组.5. 台湾是中国领土不可分割的一部分,两岸在政治、经济、文化等领域的交流越来越深入,2015年10月10日是北京故宫博物院成立90周年院庆日,两岸故宫同根同源,合作举办了多项纪念活动.据统计北京故宫博物院与台北故宫博物院现共有藏品约245万件,其中北京故宫博物院藏品数量比台北故宫博物院藏品数量的2倍还多50万件,求北京故宫博物院和台北故宫博物院各约有多少万件藏品.答案:北京故宫博物院约有180万件藏品,台北故宫博物院约有65万件藏品. 解析:设北京故宫博物院约有x 万件藏品,台北故宫博物院约有y 万件藏品.依题意,列方程组得:{x +y =245x =2y +50.解得{x =180y =65.答:北京故宫博物院约有180万件藏品,台北故宫博物院约有65万件藏品. 考点:方程与不等式—二元一次方程组—二元一次方程(组)的解.6.如图所示,宽为50cm的长方形图案由10个相同的小长方形拼成,其中一个小长方形的面积为 cm2.答案:400.解析:设一个小长方形的长为x,宽为y,则可列方程组{x+y=50x+4y=2x.解得{x=40y=10.则一个小长方形的面积=40cm×10cm=400cm2.考点:方程与不等式—二元一次方程组—二元一次方程(组)的应用.7.高新区某水果店购进800千克水果,进价每千克7元,售价每千克12元,售出总量一半后,发现剩下的水果己经有5﹪受损(受损部分不可出售),为尽快售完,余下的水果准备打折出售.(1)若余下的水果打6折出售,则这笔水果生意的利润为多少元?(2)为使总利润不低于2506元,在余下的水果的销售中,营业员最多能打几折优惠顾客(限整数折,例如:5折、6折等)?答案:(1)这笔水果生意的利润为1936元.(2)营业员最多能打8折优惠顾客.解析:(1)根据题意得:400×12+(400-400×5﹪)×0.6×12-800×7=1936(元).答:这笔水果生意的利润为1936元.(2)设余下的水果应按原出售价打x折出售,根据题意列方程:400×12+(400-400×5﹪)×0.1x×12-800×7=2506.解方程得:x=7.25.答:营业员最多能打8折优惠顾客.考点:方程与不等式—一元一次方程—一元一次方程的应用.打折销售问题—经济利润问题.8. 二轮自行车的后轮磨损比前轮要大,当轮胎的磨损度(﹪)达到100时,轮胎就报废了,当两个轮的中的一个报废后,自行车就不可以继续骑行了.过去的资料表明:把甲、乙两个同质、同型号的新轮胎分别安装在一个自行车的前、后轮上后,甲、乙轮胎的磨损度(﹪)y1、y2与自行车的骑行路程x (百万米)都成正比例关系,如图(1)所示.(1)线段OB 表示的是 (填“甲”或“乙”),它的表达式是 (不必写出自变量的取值范围).(2)求直线OA 的表达式,根据过去的资料,这辆自行车最多可骑行多少百万米. (3)爱动脑筋的小聪,想了一个增大自行车骑行路程的方案:如图(2),当自行车骑行a百万米后,我们可以交换自行车的前、后轮胎,使得甲、乙两个轮胎在b 百万米处,同时报废,请你确定方案中a 、b 的值. 答案:(1)1.甲.2.y =20x. (2)OA 的解析式是y =1003x ,这辆自行车最多可骑行3百万米.(3){a =158b =154.解析:(1)∵ 线段OB 表示的是甲,设OB 的解析式是y =kx.∴ 1.5k =30. ∴ 解得:k =20. ∴ OB 的表达式是y =20x. ∴ 答案是:甲,y =20x .(2)∵ 设直线OA 的表达式为y =mx.∴ 根据题意得:1.5m =50. ∴ 解得:m =1003.∴ 则OA 的解析式是y =1003x .∵ 当y =100时,100=1003x .∴ 解得:x =3.答:这辆自行车最多可骑行3百万米.(3)∵ 根据题意,得:{1003a +20(b −a )=10020a +1003(b −a )=100. ∴ 解这个方程组,得{a =158b =154.考点:方程与不等式—二元一次方程组—解二元一次方程组.函数—一次函数—待定系数法求正比例函数解析式—一次函数的应用—一次函数应用题.9. 若关于x 的一元二次方程(x +1)2=1-k 无实根,则k 的取值范围为 .答案:k >1.解析:若方程(x +1)2=1-k 无实根,则1-k >0.∴k >1.考点:方程与不等式—一元二次方程—一元二次方程的定义—一元二次方程的相关概念.10. 小明在探索一元二次方程2x2-x -2=0的近似解时作了如下列表计算.观察表中对应的数据,可以估计方程的其中一个解的整数部分是( ).A.4B.3C.2D.1答案:D.解析:根据表格中的数据,可知:方程的一个解x的范围是:1<x<2.所以方程的其中一个解的整数部分是1.考点:方程与不等式—一元二次方程—估算一元二次方程的近似解.11.已知m、n、p分别是Rt△ABC的三边长,且m≤n<p.(1)求证:关于x的一元二次方程mx2+√2px+n=0必有实数根.(2)若x=-1是一元二次方程mx2+√2px+n=0的一个根,且Rt△ABC的周长为√2+2,求Rt△ABC的面积.答案:(1)证明见解析.(2)1.解析:(1)∵ m、n、p分别是Rt△ABC的三边长,且m≤n<p.∴ p2=m2+n2.∴ b2-4ac=2p2-4mn=2(m2+n2)-4mn=2(m-n)2≥0.∴关于x的一元二次方程mx2+√2px+n=0必有实数根.(2)∵ x=-1是一元二次方程mx2+√2px+n=0的一个根.∴ m-√2p+n=0 ①.∵ Rt△ABC的周长为2√2+2.∴ m+n+p=2√2+2②.由①、②得:m+n=2√2,p=2.∴(m+n)2=8.∴ m2+2mn+n2=8.又∵ m2+n2=p2=4.∴ 2mn=4.∴1=mn=1.2∴ Rt△ABC的面积是1.考点:方程与不等式—一元二次方程—根的判别式—判断一元二次方程根的情况.根与系数的关系—韦达定理应用.三角形—三角形基础—三角形面积及等积变换.12.关于x的方程(k-3)x2+2x+1=0有两个不等的实数根,则k的取值范围为.答案:k<4且k≠3.解析:∵关于x的方程(k-3)x2+2x+1=0有两个不等的实数根.∴ {k−3≠0△=4−4(k−3)>0.∴ k<4且k≠3.考点:方程与不等式—一元二次方程—一元二次方程的定义—根据一元二次方程求参数值.根的判别式—已知一元二次方程根的情况,求参数的取值范围.13.设a、b是方程x2+x-9=0的两个实数根,则a2+2a+b的值为.答案:8.解析:∵ a是方程x2+x-9=0的根.∴ a2+a==9.由根与系数的关系得:a+b=-1.∴ a2+2a+b=(a2+a)+(a+b)=9+(-1)=8.考点:方程与不等式—一元二次方程—根与系数的关系—韦达定理应用.14.如图,一农户要建一个矩形猪舍,猪舍的一边利用长为12cm的住房墙.另外三边用25cm长的建筑材料围成,为方便进出,在垂直于住房墙的一边留一个1m宽的门.(1)所围矩形猪舍的长、宽分别为多少时,猪舍面积为80m2?(2)能否围成一个面积为100 m2的矩形猪舍?如能,说明了围法;如不能,请说明理由.答案:(1)矩形猪舍的长为10m,宽为8m.(2)不能围成一个面积为100 m2的矩形猪舍.解析:(1)设矩形猪舍垂直于房墙的一边长为xm,则矩形猪舍的另一边长为(26-2x)m.由题意得:x(26-2x)=80.解得:x1=5,x2=8,当x=5时,26-2x=16>12(舍去).当x=8时,26-2x=10<12.答:矩形猪舍的长为10m,宽为8m.(2)由题意得:x(26-2x)=100.整理得:x2-13x+50=0.∵△=(-13)2-4×1×50=-31<0.∴方程无解.故不能围成一个面积为100 m2的矩形猪舍.考点:方程与不等式—一元二次方程—根的判别式—判断一元二次方程根的情况.一元二次方程的应用.15.某童装专卖店在销售中发现,一款童装每件进价为80元,销售价为 120元时,每天可售出20件,为了迎接“五一”国际劳动节,商店决定采取适当的降价措施,以扩大销售量,增加利润,经市场调查发现,如果每件童装降价1元,那么平均可多售出2件.(1)设每件童装降价x元时,每天可销售__________件,每件盈利__________元(用x的代数式表示).(2)每件童装降价多少元时,平均每天赢利1200元.(3)要想每天赢利2000元,可能吗?请说明理由.答案:(1)(20+2x),(40-x).(2)20元或10元.(3)不可能,理由见解析.解析:(1)根据题意得:每天可销售(20+2x);每件盈利(40-x).(2)根据题意得:(40-x)(20+2x)=1200.解得:x1=20,x2=10.答:每件童装降价20元或10元时,平均每天赢利1200元.(3)(40-x)(20+2x)=2000.整理得:x2-30x+600=0.△=62-4ac=(-30)2-4×1×600=900-2400<0.∴方程无解.答:不可能做到平均每天赢利2000元.考点:式—整式—代数式.方程与不等式—一元二次方程—一元二次方程的解.根的判别式—判断一元二次方程根的情况—一元二次方程的应用.16.若a>b,则下列不等式中正确的是.(填序号)① a-2<b-2 ② 5a<5b ③-2a<-2b ④a3<b3答案:③.解析:不等式的两边同时乘以(或除以)同一个负数,不等号改变方向.考点:方程与不等式—不等式与不等式组—不等式的基础—不等式的性质.17.解不等式:2−x+23>x+x−12.答案:x<1.解析:12-2(x+2)>6x+3(x-1).12-2x-4>6x+3x-3.-11x>-11.X<1.考点:方程与不等式—不等式与不等式组—解一元一次不等式.18.解不等式组{2x+4≤5(x+2)x−1<23x,把它的解集在数轴上表示出来,并求它的整数解.答案:原不等式组的整数解为-2,-1,0,1,2.解析:由2x+4≤5(x+2)得x≥-2.由x−1<23x得x<3.不等式组的解集在数轴上表示如下.∴原不等式组的解集为-2≤x<3.∴原不等式组的整数解为-2,-1,0,1,2.考点:方程与不等式—不等式与不等式组—在数轴上表示不等式的解集—一元一次不等式组的整数解.19.为执行中央“节能减排,美化环境,建设美丽新农村”的国策,我市某村计划建造A、B两种型号的沼气池共20个,以解决该村所有农户的燃料问题.两种型号沼气池的占地面积、使用农户数及造价见下表.已知可供建造沼气池的占地面积不超过370m2,该村农户共有498户.(1)满足条件的方案共有哪几种?写出解答过程.(2)通过计算判断,哪种建造方案最省钱?造价最低是多少万元?答案:(1)方案共三种:分别是A型6个,B型14个.A型7个,B型13个.A型8个,B型12个.(2)A型建8个的方案最省,最低造价52万元.解析:(1)设A型的建造了x个,得不等式组:{15x+20(20−x)≤370 18x+30(20−x)≥498.解得:6≤x≤8.5.三方案:A型6个,B型14个.A型7个,B型13个.A型8个,B型12个.(2)当x=6时,造价2×6+3×14=54.当x=7时,造价2×7+3×13=53.当x=8时,造价2×8+3×12=52.故A型建8个的方案最省,最低造价52万元.考点:方程与不等式—不等式与不等式组—一元一次不等式组的应用—最优化方案.20.服装店准备购进甲乙两种服装,甲种每件进价80元,售价120元;乙种每件进价60元,售价90元,计划购进两种服装共100件,其中甲种服装不少于65件.(1)若购进这100件服装的费用不得超过7500,则甲种服装最多购进多少件?(2)在(1)条件下,该服装店在5月1日当天对甲种服装以每件优惠a(0<a<20)元的价格进行优惠促销活动,乙种服装价格不变,那么该服装店应如何调整进货方案才能获得最大利润?答案:(1)甲种服装最多购进75件.(2)当0<a<10时,购进甲种服装75件,乙种服装25件.当a=10时,按哪种方案进货都可以.当10<a<20时,购进甲种服装65件,乙种服装35件.解析:(1)设购进甲种服装x件,由题意可知.80x+60(100-x)≤7500,解得:x≤75.答:甲种服装最多购进75件.(2)设总利润为w元,因为甲种服装不少于65件,所以65≤x≤75.W=(40-a)x+30(100-x)=(10-a)x+3000.方案1:当0<a<10时,10-a>0,w随x的增大而增大.所以当x=75时,w有最大值,则购进甲种服装75件,乙种服装25件.方案2:当a=10时,所有方案获利相同,所以按哪种方案进货都可以.方案3:当10<a<20时,10-a<0,w随x的增大而减小.所以当x=65时,w有最大值,则购进甲种服装65件,乙种服装35件.考点:方程与不等式—不等式与不等式组—一元一次不等式的应用—一元一次不等式组的应用—最优化方案.21.解答下列问题:(1)计算:2xx+1−2x+6x2−1÷x+3x2−2x+1.(2)解分式方程:3x+1+1x−1=6x2−1.答案:(1)2x+1.(2)x=2.解析:(1)原式=2xx+1−2(x+3)(x+1)(x−1)÷(x−1)2x+3.=2xx+1−2(x−1)x+1=2x+1.(2)3(x-1)+x+1=6.3x-3+x+1=6.4x=8.x=2.检验:当x=2时,x2+1≠0.故x=2是该分式方程的解.考点:式—分式—分式的加减法—简单异分母分式的加减.方程与不等式—分式方程—解分式方程—常规法解分式方程.22.解下列方程:(1)5x−4x−2=4x+103x−6−1.(2)x−2x+2−x+2x−2=8x2−4.答案:(1)x=2是方程的增根,原方程无解.(2)x=-1.解析:(1)等式两边同乘以3(x-2)得,3(5x-4)=4x+10.解得x=2.检验x=2时,2(x-2)=0.∴ x=2是方程的增根,原方程无解.(2)两边同乘x2-4.得:-8x=8.X=-1.经检验x=-1是原方程的解.考点:方程与不等式—分式方程—解分式方程—常规法解分式方程.分式方程解的情况—分式方程有解—分式方程有增根.23.若分式方程2xx+1−m+1x2+x=x+1x产生增根,则m的值为.答案:-2或1.解析:方程两边都乘x(x+1).得x2-(m+1)=(x+1)2.∵原方程有增根.∴最简公分母x(x+1)=0.解得x=0或-1.当x=0时,m=-2.当x=-1时,m=0.故m的值可能是-2或0.考点:方程与不等式—分式方程—分式方程解的情况—根据增根求参数.24.在“春节”前夕,某花店用13000元购进第一批礼盒鲜花,上市后很快销售一空.根据市场需求情况,该花店又用6000元购进第二批礼盒鲜花.已知第二批所购鲜花的盒数是第一批所购鲜花的12,且每盒鲜花的进价比第一批的进价少10元.问第二批鲜花每盒的进价是多少元?答案:第二批鲜花每盒的进价是 120元.解析:设第二批鲜花每盒的进价是x元.依题意有:6000x =12×13000x+10.解得x=120.经检验:x=120是原方程的解,且符合题意.答:第二批鲜花每盒的进价是120元.考点:方程与不等式—分式方程—分式方程的应用.25.甲、乙两个工程队共同承担一项筑路任务,甲队单独完成此项任务比乙队单独完成此项任务多用10天,且乙队每天的工作效率是甲队每天工作效率的1.5倍.(1)甲、乙两队单独完成此项任务各需要多少天?(2)若甲、乙两队共同工作4天后,乙队因工作需要停止施工,由甲队继续施工,为了不影响工程进度,甲队的工作效率提高到原来的2倍,如果要完成任务,那么甲队再单独施工多少天?答案:(1)甲队单独完成此项任务需要30天,乙队单独完成此项任务需要20天.(2)甲队再单独施工10天.解析:(1)设乙队单独完成此项任务需要x天,则甲队单独完成此项任务需要(x+10)天.由题意可得:1x = 1.5x+10.解得:x=20.经检验,x=20是原方程的解.∴x+10=30(天).答:甲队单独完成此项任务需要30天,乙队单独完成此项任务需要20天.(2)设甲队再单独施工a天,由题意可得:(130+120)×4+230×a=1.解得:a=10.答:甲队再单独施工10天.考点:方程与不等式—一元一次方程—一元一次方程的应用—工程问题.分式方程—分式方程的应用.。
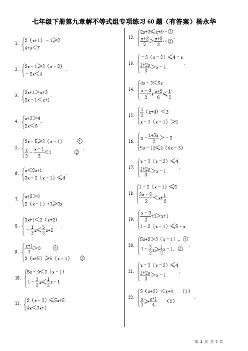
七年级下册第九章解不等式组专项练习60题(有答案)杨永华1.2..3..4.,5..6..7.8..9.10.11.12.,13..14.,15.16.17..18.19.20..21..22..23.24.25.,.26.27.,28.29..30.已知:2a﹣3x+1=0,3b﹣2x﹣16=0,且a≤4<b,求x的取值范围.31..32..33.已知:a=,b=,并且2b ≤<a.请求出x的取值范围.34.35.,36.,并将其解集在数轴上表示出来.37..38.,并把解集在数轴上表示出来.39.已知关于x、y 的方程组的解满足x>y >0,化简|a|+|3﹣a|.40.,并把它的解集在数轴上表示出来.41.42.43..44..45..46..47.关于x、y 的二元一次方程组,当m为何值时,x>0,y≤0.48.并将解集表示在数轴上.49.已知关于x、y 的方程组的解是一对正数,求m的取值范围.50.已知方程组的解满足,化简.51..52.53..54..55..56.57.58.59.60.解不等式组60题参考答案:1、解:,由①得2x≥2,即x≥1;由②得x<3;故不等式组的解集为:1≤x<3.2.解:,由①得:x≤5,由②得:x>﹣2,不等式组的解集为﹣2<x≤53.解:解不等式①,得x>1.解不等式②,得x<2.故不等式组的解集为:1<x<2.4.解:,解不等式①得,x>1,解不等式②得,x<3,故不等式的解集为:1<x<3,5.解不等式①,得x≤﹣2,解不等式②,得x>﹣3,故原不等式组的解集为﹣3<x≤﹣2,6.解:,解不等式①得:x>﹣1,解不等式②得:x≤2,不等式组的解集为:﹣1<x≤2,7.解:,由①得x>﹣3;由②得x≤1故此不等式组的解集为:﹣3<x≤1,8.解:解不等式①,得x<3,解不等式②,得x≥﹣1.所以原不等式的解集为﹣1≤x<3.9.解:∵由①得,x>﹣1;由②得,x≤4,∴此不等式组的解集为:﹣1<x≤4,10.解:,解不等式①得:x<3,解不等式②得:x≥1,不等式组的解集是1≤x<3 11.解:,由①得,x≥﹣;由②得,x<1,故此不等式组的解集为:﹣<x<1,12.解:∵由①得,x≤3,由②得x>0,∴此不等式组的解集为:0<x≤3,13.解:解不等式①,得x≥1;解不等式②,得x<4.∴1≤x<4.14.解:原不等式组可化为,解不等式①得x>﹣3;解不等式②得x≤3.所以-3<x≤3 15.解:由(1)得:x+4<4,x<0由(2)得:x﹣3x+3>5,x<﹣1∴不等式组解集是:x<﹣116.解:,解不等式(1),得x<5,解不等式(2),得x≥﹣2,因此,原不等式组的解集为﹣2≤x<5.17.解:由①得:去括号得,x﹣3x+6≤4,移项、合并同类项得,﹣2x≤﹣2,化系数为1得,x≥1.由②得:去分母得,1+2x>3x﹣3,移项、合并同类项得,﹣x>﹣4,化系数为1得,x<4 ∴原不等式组的解集为:1≤x<4.18.解:解不等式①,得x≥﹣1,解不等式②,得x<3,∴原不等式组的解集为﹣1≤x<3.19.解:解不等式(1)得x<1解不等式(2)得x≥﹣2所以不等式组的解集为﹣2≤x<1.20.解:解不等式①,得x>﹣.解不等式②,得x≤4.所以,不等式组的解集是﹣<x≤4.21.解:①的解集为x≥1②的解集为x<4原不等式的解集为1≤x<4.22.解:解不等式(1),得2x+4<x+4,x<0,不等式(2),得4x≥3x+3,x≥3.∴原不等式无解.23.解:解不等式2x+5≤3(x+2),得x≥﹣1解不等式x﹣1<x,得x<3.所以,原不等式组的解集是﹣1≤x<3.24.解:解不等式①,得x≥﹣1,解不等式②,得x<3,∴原不等式组的解是﹣1≤x<3.25.解:由题意,解不等式①,得x<2,解不等式②,得x≥﹣1,∴不等式组的解集是﹣1≤x<2.26.:由不等式①得:x≥0由不等式②得:x<4原不等式组的解集为0≤x<427.解:由不等式①得:2x≤8,x≤4.由不等式②得:5x﹣2+2>2x,3x>0,x>0.∴原不等式组的解集为:0<x≤4.28.解:解不等式①,得x≤﹣1,解不等式②,得x>﹣2,所以不等式组的解集为﹣2<x≤﹣1.29.解:解不等式①,得x≤2.解不等式②,得x>﹣3.所以原不等式组的解集为x≤2.30. 解:由2a﹣3x+1=0,3b﹣2x﹣16=0,可得a=,b=,∵a≤4<b,∴,由(1),得x≤3.由(2),得x>﹣2.∴x的取值范围是﹣2<x≤3.31.解:由①得:x≤2.由②得:x>﹣1.∴不等式组的解集为﹣1<x≤2.32.解:解不等式①,得x>;解不等式②,得x≤4.∴不等式的解集是<x≤4.33.解:把a,b代入得:2×.化简得:6x﹣21≤15<2x+8.解集为:3.5<x≤6.34.解:解不等式①,得x≤2.5,解不等式②,得x>﹣1,解不等式③,得x≤2,所以这个不等式组的解集是﹣1<x≤2.35.解:解不等式①,得x≥﹣1.解不等式②,得x<2.所以不等式组的解集是﹣1≤x<2.36.解:由①,得x<2.由②,得x≥﹣1.∴这个不等式组的解集为﹣1≤x<2.37.解:由①得:x>﹣1由②得:x所以解集为﹣1<x.38.解:由①得:﹣2x≥﹣2,即x≤1,由②得:4x﹣2<5x+5,即x>﹣7,所以﹣7<x≤1.在数轴上表示为:39.解:由方程组,解得.由x>y>0,得.解得a>2当2<a≤3时,|a|+|3﹣a|=a+3﹣a=3;当a>3时,|a|+|3﹣a|=a+a﹣3=2a﹣3.40.解:由(1)得x<8由(2)得,x≥4故原不等式组的解集为4≤x<8.41.解:由①得2x<6,即x<3,由②得x+8>﹣3x,即x>﹣2,所以解集为﹣2<x<3.42.解:(1)去括号得,10﹣4x+12≥2x﹣2,移项、合并同类项得,﹣6x≥﹣24,解得,x≤4;(2)去分母得,3(x﹣1)>1﹣2x,去括号得,3x﹣3>1﹣2x,移项、合并同类项得,5x>4,化系数为1得,x>.∴不等式组的解集为:<x≤4.43.解:解第一个不等式得:x <;解第二个不等式得:x≥﹣12.故不等式组的解集是:﹣12≤x <.44.解:原方程组可化为:,由(1)得,x<﹣3由(2)得,x≥﹣4根据“小大大小中间找”原则,不等式组的解集为﹣4≤x<﹣3.45.由①得:x<2,由②得:x≥﹣1∴﹣1≤x<2.46.整理不等式组得解之得,x>﹣2,x≤1∴﹣2<x≤147.解:①+②×2得,7x=13m﹣3,即x=③,把③代入②得,2×+y=5m﹣3,解得,y=78-m9,因为x>0,y≤0,所以,解得<m≤9848. 解不等式①,得x ≤,解不等式②,得x≥﹣8.把不等式的解集在数轴上表示出来,如图:所以这个不等式组的解集为﹣8≤x ≤.49.解:由题意可解得,解得,故<m<1350.解:由2x﹣2=5得x=,代入第一个方程得+2y=5a;则y=a ﹣,由于y<0,则a <(1)当a<﹣2时,原式=﹣(a+2)﹣[﹣(a ﹣)]=﹣2;(2)当﹣2<a <时,原式=a+2﹣[﹣(a ﹣)]=2a+;(3)当<a <时,原式=a+2﹣(a ﹣)=2;851.解不等式(1)得:2﹣x﹣1≤2x+4 ﹣3x≤3 x≥﹣1解不等式(2),得:x2+x>x2+3x ﹣2x>0 x<0 ∴原不等式组的解集为:﹣1≤x<0.52.解不等式(1)得:x≥-1 解不等式(2),得:x<2 ∴原不等式组的解集为:﹣1≤x<2.53.解①得x<解②得x≥3,∴不等式组的解集为无解.54.解第一个不等式得x<8解第二个不等式得x≥2∴原不等式组的解集为:2≤x<8.55.解:由①得:1﹣2x+2≤5∴2x≥﹣2即x≥﹣1由②得:3x﹣2<2x+1∴x<3.∴原不等式组的解集为:﹣1≤x<3.56.解:原不等式可化为:即在数轴上可表示为:∴不等式的解集为:1≤x<357.解:,解不等式①,得x<3,解不等式②,得x≥﹣1,把不等式的解集在数轴上表示出来,如图所示.不等式组的解集是﹣1≤x<358.解:由题意,解不等式①得x>2,不等式②×2得x﹣2≤14﹣3x解得x≤4,∴原不等式组的解集为2<x≤4.59.解:解不等式①,得x<2.(2分)解不等式②,得x≥﹣1.(4分)所以,不等式组的解集是﹣1≤x<2.(5分)解集在数轴上表示为:60.解:由①,得x≥﹣,由②,得x<3,所以不等式组的解集为﹣≤x<3.。
完整版)解不等式组计算专项练习60题(有答案)1.解不等式组60题参考答案:1.解:由不等式①得2a-3x+1≥0,即x≤(2a+1)/3;由不等式②得3b-2x-16≥0,即x≤(3b-16)/2.又因为a≤4<b,所以2a+1≤9,3b-16≥8,所以x的取值范围为x≤3或x≥-11/2.2.解:由不等式①得x≤-1或x≥3;由不等式②得x≤4/3或x≥2.综合起来,x的取值范围为x≤-1或x≥3,或者4/3≤x≤2.3.解:由不等式①得x>(a+1)/2;由不等式②得x0,所以a/2>(a+1)/2,所以不等式组的解集为a/2<x<(a+1)/2.4.解:由不等式①得x≥1;由不等式②得x<3.所以不等式组的解集为1≤x<3.5.解:由不等式①得x≤-2;由不等式②得x>-3.所以不等式组的解集为-3<x≤-2.6.解:由不等式①得x>-1;由不等式②得x≤2.所以不等式组的解集为-1<x≤2.7.解:由不等式①得x≤-1;由不等式②得x≥-2.所以不等式组的解集为-2≤x≤-1.8.解:由不等式①得x>-3;由不等式②得x≤1.所以不等式组的解集为-3<x≤1.9.解:由不等式①得x>-1;由不等式②得x≤4.所以不等式组的解集为-1<x≤4.10.解:由不等式①得x-3.所以不等式组的解集为-3<x<2.11.解:由不等式①得x≥1;由不等式②得x<3.所以不等式组的解集为1≤x<3.1.由不等式组的①得x≥-1,由不等式组的②得 x<4,因此不等式组的解集为 -1≤x<4.2.由不等式①得x≤3,由不等式②得 x>0,因此不等式组的解集为0<x≤3.3.解不等式①得x≥1,解不等式②得 x<4,因此不等式组的解集为1≤x<4.4.原不等式组可化为:x+45,x<-1.因此不等式组的解集为-3<x≤3.5.解不等式①得 x<5,解不等式②得x≥-2,因此不等式组的解集为 -2≤x<5.6.解不等式①得x≥1,解不等式②得 x<4,因此不等式组的解集为1≤x<4.7.解不等式①得x≥-1,解不等式②得 x<3,因此不等式组的解集为 -1≤x<3.8.解不等式①得 x<1,解不等式②得x≥-2,因此不等式组的解集为 -2≤x<1.9.解不等式①得 x>-1,解不等式②得x≤4,因此不等式组的解集为 -1<x≤4.10.解不等式①得x≥1,解不等式②得 x<4,因此不等式组的解集为1≤x<4.11.解不等式①得 x>-1,解不等式②得x≤4,因此不等式组的解集为 -1<x≤4.12.解不等式组的①得-∞<x<1,因为②中的不等式没有解,所以不等式组的解集为 -∞<x<1.13.解不等式①得x≥1,解不等式②得 x<4,因此不等式组的解集为1≤x<4.14.原不等式组可化为:x>-3,x≤3.因此不等式组的解集为-3<x≤3.15.解不等式组的①得 x<1,因为②中的不等式没有解,所以不等式组的解集为 -∞<x<1.16.解不等式①得 x<2,解不等式②得x≥-1,因此不等式组的解集为 -1≤x<2.17.解不等式①得x≥1,解不等式②得1≤x<4,因此不等式组的解集为1≤x<4.18.解不等式①得x≥-1,解不等式②得 x<3,因此不等式组的解集为 -1≤x<3.19.解不等式①得 x<1,解不等式②得x≥-2,因此不等式组的解集为 -2≤x<1.20.解不等式①得 x>-1,解不等式②得x≤4,因此不等式组的解集为 -1<x≤4.21.不等式①的解集为x≥1,不等式②的解集为 x<4,因此原不等式的解集为1≤x<4.22.解不等式①得 x<0,解不等式②得x≥3,因此原不等式无解。
1.2.3.4. *解不等式组专项练习60题(有答案)2 (x+1) - 1>34+x<72K- 1>3 (x- 2)-2x<43x+l>x+3二一—.鼻+3>42F<6,X.12.13.14.15.16. x<2x+l:二-二■ :.. 1 .7.x+3>02 (x- 1) +3>3xf3xH<2 (x+2)_劭< 号十29.10.2x+3<x+G"-①:…二.一,,…②-3 (x- 2)<4-7*_ 1 3r4x- 3<5K汀x+2.^1,LrPT冷(计4) <2X- 3(K- 1) >516. 417.19.汨>-3Si - 12<2 (4x - 3)K - 3 (K- 2) <4蝶>_r l - 2 (x- 1) <5_ 2L2^>0 ①2 (s+5) >6 &-1)9<3 (x- 1)11. *2 (x - 3)盂5疋+54x<3x+lX.20.f5x+2>3 (x- 1),①73 -1.②22.3(K- 2) <41+2区、=[—>X - 1[2 (r+2) <x+413⑵30. 已知:2a -3x+ 仁0, 3b -2x - 16=0,且 a 詔< b ,求 爷〉斗⑴40. • 2 3,并把它的解集在5-2 (x- 3) <x- 1 (2)数轴上表示出来.sr+42x " 7号33.已知:a= , b=,并且2b < v a .请求出342x 的取值范围.2<3 (x+1)23. 24. 25. 26. 27. 28. 29. r 2x+5<3 (x+2) r3 (x+2) >x+4© r 2- x>0 5^十1」-」1 ,. ■f - 3Z <4(K +5) 6 b 2 (x+19)- 9x>5[x- 2 (x- 3)] - 2<x+6 Rv - 9 r 2x+2>3x+3®宁诗―② 忌+3 (x- 2) <10 号〉小35.5x - 1<3 (x+1)(3(X- 2) +4<5K37. if - 1—-—_ 耳>3計]fx - 3 (x- 2) >438. 2s- 1 ^.K +i,并把解集在数轴上表示出.5来.一 一: __ •一 -39.已知关于x 、y 的方程组 广 尸亘"的解满足x > yL2x+y=5a> 0,化简 |a|+|3- a|.1 _ 3 (y _ 2) <9- x ②f5K-2>3 (i+l),① 32. r5i - 2<3i+441. x+8\ K >_sflO-4 (x- 3) >2 (x- 1)©- 10<0 34. ' 5x+2>3虽 11 - 2x>l+3x43. ” X - 2~2~^2x+331.x 的取值范围.45.3 (1 - x) A2 (x+9)x- 314I 0.5f2- x>05s±l• 21 .3~-3 (x+l) - (x- 3)<846. ' 2 泄1I 347.关于x、y的二元一次方程组:'-"■,当^2x+y=5ir- 2m为何值时,x> 0, yO.2<3 (x+1)53.54.55.56.48.并将解集表示在数轴上. 57.49.已知关于y的方程组x+y=m+24蜀+5y=6m -3的解是58.对正数,求m的取值范围.x+2y=5a50.已知方程组n cl2x~ 2=5的解满足-x>0y<0化简59.I(x+1) >x (x+3)②- 1 _ 5^+j.52.- 1<3 (x+1)f5x+4<3 (x+1)x - 1 - 1A 52x+7>3x - 1x- 2.br>0r l-2 (x-1) <53x- 2「2r2 (K+2)<3X+3r3x- 1<2 (x+1)x+3、r3x- 2>x+2>-1<743x- l<2x+l1 - 2(K- 1) <3 (K+1)+5解不等式组60题参考答案:fx+3>0®由①得x >- 3;由②得x <1故此不等式组的解集为:2 (x- 1) +3>3x@- 3<5x ①6 _医+ +口<4②,解不等式 ①得x >- 3;解不等式 ②得x <3.所以-3<x <315. 解:由(1)得:x+4 v 4, x v 0 由(2)得:x - 3x+3 > 5, x v - 1「.不等式组解集是: x v - 1x —臂>「3 (1)16.解:'2 ,解不等式(1),得x v 5,解不等式(2),得x 》-2 ,12<2(4K - 3)(2)因此,原不等式组的解集为- 2<v 5.17. 解:由① 得:去括号得,x - 3x+6詔,移项、合并同类项得,- 2x <- 2,化系数为1得,X 》.由② 得:去分母得,1+2x > 3x - 3,移项、合并同类项得,- x >- 4, 化系数为1得,x v 4•••原不等式组的解集为:1<cv 4.1、 解:2 (x+1) - ①4+x<7 ② ,由①得2x 支,即x 昌;由②得x v 3;故不等式组的解集为:1強v 3.2. 解:11^3 (x _ 2) I -2i<4 ②…,由①得:x <5,由②得:x >- 2,不等式组的解集为-2v x <3. 解:触解不等式①,得x > 1.解不等式②,得x v 2.故不等式组的解集为:1v x v 2. 2x- l<x+l ②4. 解:x+f>:D ,解不等式 ①得,x > 1,解不等式 ②得,x v 3,故不等式的解集为:1v x v 3, 曲<6②5. 6. 解不等式 ①,得x<- 2,解不等式 ②,得x >- 3,故原不等式组的解集为- 3v x<- 2,x<2x+l ①,解不等式 ①得:x >- 1,解不等式②得:x <2,不等式组的解集为:-1v x 电, 3x- 2 (s-1) <4@解:7. 8. 解:9. 解: 10•解:r3i+l<2 (a+2;••由①得,x >- 1 ;由②得,x <4,•此不等式组的解集为:(- 9<3 (x- 1)①—V ,(1'解不等式①,得x v 3,解不等式 ②,得x1 .所以原不等式的解集为-1<<v 3. ②解不等式 ① 得:x v 3,解不等式 ② 得:X 》,不等式组的解集是1 < v 311 .解: 12.解: XA 「;由②得,x V 1,故此不等式组的解集为: ■丿• ••此不等式组的解集为: 0 v x <3,13.解:2心-引5+5①,由①得, \^<3i+l ②•••由①得,x <,由②得x >0,(-3 (y- 2) <4- x ①]1+2》:、_ 1②解不等式①,得X 》;解不等式 ②,得x v 4. • 1« v 4.解:14.解: 原不等式组可化为18•解:解不等式 ①,得x>- 1,解不等式 ②,得x v 3 ,•••原不等式组的解集为-1 <x < 3.23•解:解不等式2x+5 <3 (x+2 ),得xA 1解不等式x - 1 <- x ,得x < 3.所以,原不等式组的解集是-324.解:解不等式 ①,得x>- 1,解不等式 ②,得x < 3,•原不等式组的解是-1強< 3. [2- …①,.解不等式①,得x <2,解不等式②,得x I,•不等式组的解集是-1 $ < 2.26. :由不等式 ①得:X%由不等式②得:x < 4原不等式组的解集为 0纟< 427. 解:由不等式①得:2x<8, x<4 .由不等式②得:5x - 2+2 > 2x , 3x > 0, x > 0. •••原不等式组的解集为:0< x <4.31. 解:由① 得:x 电.由② 得:x >- 1.A 不等式组的解集为-1< X 电.5532.解:解不等式 ①,得x >「解不等式②,得x 詔.•••不等式的解集是,< x 詔.33. 解:把a , b 代入得:2严「匕|<¥.化简得:6x - 21<15< 2x+8 .解集为:3.5< x 詬.42 334. 解:解不等式①,得x<2.5,解不等式②,得x >- 1,解不等式③,得x <所以这个不等式组的解集是-1<x 电.35 .解:解不等式①,得x>- 1.解不等式②,得x < 2 .所以不等式组的解集是-1 «< 2.36 .解:由①,得x < 2 .由②,得x A 1 .-•这个不等式组的解集为-1 <« 2. 37.解:由①得:x >- 1由②得:x G -所以解集为-1<x ;'.38. 解:由① 得:-2x>- 2,即 x <,由② 得:4x - 2 < 5x+5,即 x >- 7,所以-7 < x < .19. 解: 解不等式 20. 解: 解不等式 21 . 解:(1)得x < 1解不等式(2)得x A 2所以不等式组的解集为-2纟< 1 . ①,得x >-'.解不等式②,得.所以,不等式组的解集是-2(x- 2) <4®①的解集为X 》②的解集为x < 4原不等式的解集为22. 解: \-3'孚S - 1®解不等式(1),得2x+4 < x+4 , x < 0,不等式(2),得4x 绍x+3 , x 為.•••原不等式无解.1$< 4.25.解:由题意,28. 29. 解: 解: 解不等式①,得 解不等式①,得30. 解: 2< x <- 1. 所以原不等式组的解集为x€.-2/+16b=,x<- 1,解不等式②,得x >- 2,所以不等式组的解集为- x 电.解不等式②,由 2a - 3x+仁0, 3b - 2x - 16=0,可得得 x >-3. 3x - 1a=,•/ a <4< b , /3x - 1 .<4 ,由(1),得 x <3.3 >42 2x+16 由(2),得 x >- 2 .•x 的取值范围是-2< x W .x - y=a+3 ” + x=2a+l,/口39.解:由方程组‘ ,解得- .由 x >y > 0,得,y=a- 2在数轴上表示为:2a+l>a - 2a _ 戈〉0 •解得a >2当 2v a<3 时,|a|+|3- a|=a+3 - a=3; 当 a > 3 时,|a|+|3- a|=a+a - 3=2a - 3. 40.解:由(1 )得x V 8由(2)得,x 羽故原不等式组的解集为 4纟V & 41 •解:由①得2x V 6,即X V 3,由② 得x+8 >- 3x ,即x >- 2,所以解集为-2 V x V 3. 42. 解:(1)去括号得,10 -4x+12丝x -2,移项、合并同类项得,- 6x A 24,解得,x 詔; (2)去分母得,3 (x - 1)> 1 - 2x ,去括号得,3x - 3> 1 - 2x ,移项、合并同类项得, 5x > 4, 化系数为1得,x >'.•••不等式组的解集为: V x 詔.5 5 5 5 43. 解:解第一个不等式得: x V —;解第二个不等式得:xA 12.故不等式组的解集是:-12纟V — 2 244.解:原方程组可化为: 3 - 3xZ>2x+18 -5 (xK) <-14,由("得,x V-3 由(2)得,x » 4根据 小大大小中间找”原则,不等式组的解集为-4$V- 3. 45 •由①得:x V 2,由②得: '-4K <846.整理不等式组得* x A 1 •- 1 纟V 2 . 解之得,x >- 2, x <1 2V x <1 47.解:①+②X 2得,7x=13m - 3,即x=一: --------- ③,把 ③代入②得,2X ; +y=5m - 3, 解得, 9m - 8尸丁 ,48. 49. 50. '13^-379m- 8因为x > 0, y 切,所以,解得 ②,得 -8-7-6-5-4-3-2-10 1 2 3 4 5 解不等式①,得x <:,解不等式 解: 解: (1)当(3)当XA 8.把不等式的解集在数轴上表示出来,如图:所以这个不等式组的解集为-8«< :.nri 13朗〉丄丄,故号V mV 13由2x - 2=5得x=£,代入第一个方程得 4+2y=5a ;贝卩y=T a -「,由于y V 0,贝U a v —: a v- 2 时,原式=-(a+2)- [ -( a - ) ]= - 2 ; (2)当-2V a v 时,原式=a+2 - [ -( a- ) ]=2a+ '; 2 2 2 2 2 1 7 1 1< a v —时,原式=a+2-( a - [) =2 ,;由题意可解得 -时13>0 I 一,解得51.解不等式(1)得:2 - x - 1€x+4- 3x<3 xA 1 2 2解不等式(2),得:x +x > x +3x - 2x > 0x v 0二原不等式组的解集为:-1 <x < 0.52•解不等式(1)得:x > -1解不等式(2),得:x<2 •••原不等式组的解集为:-1 << 2.53. 解①得x < •解②得x 绍,•不等式组的解集为无解.254. 解第一个不等式得 x < 8解第二个不等式得 x 呈■ ! r .: .••原不等式组的解集为:2$< 8.55•解:由 ①得:1 - 2x+2<5「. 2x>- 2 即 x A 1 由②得:3x - 2< 2x+1 • x < 3. •原不等式组的解集为:-1$ < 3.r2K+4<3x+3£59 .解:解不等式 ①,得x < 2 . (2分)解不等式②,得x >- 1. (4 分) 所以,不等式组的解集是-1纟< 2 . ( 5分),一----------- 4 ------- A 11 1>解集在数轴上表示为::5560.解:由①,得x A ,由②,得x < 3,所以不等式组的解集为-強< 3.57•解: r3x- 1<2 (x+1)①弯②,解不等式 ①,得x < 3,解不等式②,得x A 1 ,把不等式的解集在数轴上表示出来, 不等式组的解集是 如图所示. 58.解:由题意,I 2K•原不等式组的解集为1纟< 3〔如-2〉x+2…① 、小 3 金解不等式①得x >2,不等式②X 2得x -2胡4-3X 解得x 詔, —1=S*T -尹■② 56•解:原不等式可化为:即< 4X. _在数轴上可表示为:门•不等式的解集为:1$< 34 4。
不等式解法15种典型例题典型例题一例1 解不等式:(1)015223>--x x x ;(2)0)2()5)(4(32<-++x x x . 分析:如果多项式)(x f 可分解为n 个一次式的积,则一元高次不等式0)(>x f (或0)(<x f ) 可用“穿根法”求解,但要注意处理好有重根的情况. 解:(1)原不等式可化为0)3)(52(>-+x x x把方程0)3)(52(=-+x x x 的三个根3,25,0321=-==x x x 顺次标上数轴.然后从右上开始画线顺次经过三个根,其解集如下图的阴影部分.∴原不等式解集为⎭⎬⎫⎩⎨⎧><<-3025x x x 或 (2)原不等式等价于 0)2()5)(4(32>-++x x x⎩⎨⎧>-<-≠⇔⎩⎨⎧>-+≠+⇔2450)2)(4(05x x x x x x 或 ∴原不等式解集为 {}2455>-<<--<x x x x 或或 说明:用“穿根法”解不等式时应注意:①各一次项中x 的系数必为正;②对于偶次或奇次重根可转化为不含重根的不等式,也可直接用“穿根法”,但注意“奇穿偶不穿”,其法如图.典型例题二例2 解下列分式不等式:(1)22123+-≤-x x ; (2)12731422<+-+-x x x x 分析:当分式不等式化为)0(0)()(≤<或x g x f 时,要注意它的等价变形 ① 0)()(0)()(<⋅⇔<x g x f x g x f ; ② ⎩⎨⎧≠≤⋅⇔≤0)(0)()(0)()(x g x g x f x g x f (1)解:原不等式等价于0223223≤+--⇔+≤-x x x x x x 0)2)(2(650)2)(2()2()2(32≤+-++-⇔≤+---+⇔x x x x x x x x x⎩⎨⎧≠-+≥+-+-⇔≥+-+-⇔0)2)(2(0)2)(2)(1)(6(0)2)(2()1)(6(x x x x x x x x x x 用“穿根法”∴原不等式解集为[)[)+∞⋃-⋃--∞,62,1)2,(。
解不等式组计算专项练习60题(有答案)1.解不等式组专项练60题(附答案)2.解:2x+1≤3x,得x≥1;3x-16≥2x,得x≥16,综合得1≤x<16,即x∈[1,16)。
3.解:|a-1|<1,即-1<a-1<1,解得0<a<2;|a+2|<2,即-2<a+2<2,解得-4<a<-0.5.综合得-4<a<-0.5,0<a<2,即a∈(-4,-0.5)∪(0,2)。
4.解:x+1>0,即x>-1;x-3<0,即x<3,综合得-1<x<3,即x∈(-1,3)。
5.解:x-2≥0,即x≥2;2x+1≤3x-2,得x≥3,综合得x≥3,即x∈[3,∞)。
6.解:x+1>0,即x>-1;2x-3≤x+2,得x≤5,综合得-1<x≤5,即x∈(-1,5]。
7.解:x-3≥0,即x≥3;2x-1≤3x-4,得x≤3,综合得x=3.8.解:x+3>0,即x>-3;x-1≤0,即x≤1,综合得-3<x≤1,即x∈(-3,1]。
9.解:x+1>0,即x>-1;3x-2≤2x+8,得x≤10,综合得-1<x≤10,即x∈(-1,10]。
10.解:x-1≥0,即x≥1;x+2≥0,即x≥-2,综合得x≥1,即x∈[1,∞)。
11.解:x-3<0,即x<3;x-1≥0,即x≥1,综合得x∈(-∞,3)∩[1,∞),即x∈[1,3)。
12.删除此段。
13.解:x-2>0,即x>2;x+1≤0,即x≤-1,综合得x∈(2.-1]。
14.解:x+3≥0,即x≥-3;3x-2≤2x+5,得x≤7,综合得-3≤x≤7,即x∈[-3,7]。
15.解:x+1>0,即x>-1;2x-5≥0,即x≥2.5,综合得x>2.5,即x∈(2.5,∞)。
解不等式的例题及答案1. 不等式的基本概念在数学中,不等式是代数学中的一个重要概念。
不等式用于描述变量之间的大小关系,将不等式与等式相对比,可以理解为等式描述了变量之间的相等关系,而不等式则描述了变量之间的不等关系。
不等式的解集就是使得不等式成立的所有满足条件的变量的集合。
在解不等式的过程中,需要运用不等式的性质和一些常用的解不等式的方法。
2. 一元一次不等式的例题及答案例题:解不等式2x−5>7。
解答:首先我们将不等式进行移项得到2x>7+5,即2x>12。
接下来我们将不等式两边都除以2得到 $x > \\frac{12}{2}$,即x>6。
因此,不等式2x−5>7的解集为x>6。
3. 一元二次不等式的例题及答案例题:解不等式x2−4x>0。
解答:首先将不等式x2−4x>0化简为x(x−4)>0。
接下来需要研究不等式的零点,即x和x−4分别等于0时的取值情况。
令x=0,则不等式x(x−4)的值为0。
同理,令x−4=0,则不等式x(x−4)的值也为0。
由此可知,当x=0或x=4时,不等式x(x−4)的值为0。
接下来我们将数轴分成三个区间:$(-\\infty,0)$,(0,4)和 $(4,+\\infty)$。
在每一个区间内,我们都可以选择一个测试点来代入不等式进行验证,以确定不等式的取值情况。
在区间 $(-\\infty,0)$ 中,我们选择一个测试点x=−1,代入不等式x(x−4)可得(−1)(−1−4)=5>0。
在区间(0,4)中,我们选择一个测试点x=1,代入不等式x(x−4)可得(1)(1−4)=−3<0。
在区间 $(4,+\\infty)$ 中,我们选择一个测试点x=5,代入不等式x(x−4)可得(5)(5−4)=5>0。
根据测试点的结果,我们可以得出结论:•在区间 $(-\\infty,0)$ 和 $(4,+\\infty)$ 中,不等式x(x−4)的解为大于0的实数。
初一数学不等式与不等式组30道典型题(含答案和解析)1、在式子 -3<0,x ≥2,x=a,x 2-2x,x ≠3,x+1>y 中,是不等式的有( ).A. 2个B. 3个C. 4个D. 5个 答案:C.解析:式子 -3<0,x ≥2,x ≠3,x+1>y 这四个是不等式.考点:方程与不等式——不等式与不等式组——不等式的基础——不等式的定义.2、下列结论正确的有 (填序号).①如果a >b,c <d,那么a-c >b-d. ②如果a >b,那么ab >1.③如果a >b,那么1a <1b.④如果a c2<bc2,那么a <b.答案:①④.解析:①∵c <d,∴-c >-d,∵a >b,∴a-c >b-d, 故①正确.②当b <0时,ab <1, 故②错.③若a=2,b= -1,满足a >b,但1a >1b , 故③错. ④∵ac2<bc 2,∴c 2>0,∴a <b.考点:方程与不等式——不等式与不等式组——不等式的基础——不等式的性质.3、若0<m <1,m ,m 2,1m的大小关系是( ).A. m <m 2<1m B. m 2<m <1m C. 1m <m <m 2D. 1m <m 2<m答案:B.解析:可用特殊值.考点:方程与不等式——不等式与不等式组——不等式的基础——不等式的性质.4、若a <b,则下列各式中一定成立的是( ).A.a-1<b-1B. a 3>b3 C.-a <-b D.ac <bc 答案:A.解析:根据不等式的性质可得:不等式两边加(或减)同一个数(或式子),不等号的方不变.A. a-1<b-1,故A 选项是正确的.B.a >b,不成立,故B 选项是错误的.C. a >-b,不一定成立,故 选项是错误的.D. C 的值不确定,故D 选项是错误的.考点:方程与不等式——不等式与不等式组——不等式的基础——不等式的性质.5、下列式子中,是一元一次不等式的有( ).①x 2+x <1 ②1x +2>0 ③x-3>y+4 ④2x+3<8 A.1个 B.2个 C.3个 D.4个 答案:A.解析:①不是,因为它的未知数的最高次数是2.②不是,因为不等式的左边是1x +2,它不是整式.③不是,因为不等式中含有两个未知数.④是,因为它符合一元一次不等式定义中的三个条件. 故答案为A.考点:方程与不等式——不等式与不等式组——一元一次不等式的定义.6、如果(m+1)x >2是一元一次不等式,则m = . 答案:1. 解析:∵(m+1)x∣m ∣>2是一元一次不等式.∴m+1≠0.︱m ︱=1,解得:m=1.考点:数——有理数——绝对值——方程与不等式——不等式与不等式组——一元一次不等式的定义.7、解不等式3-4(2x-3)≥3(3-2x),并把它的解集在数轴上表示出来.答案:原不等式的解集为x≤3.画图见解析.解析:去括号,得3-8x+12≥9-6x.移项,得-8x+6x≥9-3-12.合并同类项,得-2x≥-6.系数化1 ,得x≤3.把它的解集在数轴上表示为:考点:方程与不等式——不等式与不等式组——在数轴上表示不等式的解集——解一元一次不等式.8、当a<3时,不等式ax≥3x+7的解集是..答案:x≤7a−3解析:ax≥3x+7.ax-3x≥7.(a-3)x≥7.∵a<3.∴a-3<0..∴x≤7a−3考点:方程与不等式-不等式与不等式组-含参不等式(组)-解含参不等式.(x-5)-1>x+m的解集为x<2,则m的值为.9、已知不等式12答案:-4.5.解析:1(x-5)-1>x+m.212x-52-1-x >m.-12x >m+72. x <-2m-7. ∵解集为x <2. 则-2m-7=2. m=-4.5.考点:方程与不等式——不等式与不等式组——含参不等式(组)——已知解集反求参数.10、若不等式4x-a <0只有三个正整数解,则 的取值范围 . 答案:12<a ≤16.解析::将4x-a <0变形为x <a4.不等式只有三个正整数解.即x 的正整数解为1,2,3,所以3<a4≤4,解得a 的取值范围为12<a ≤16.考点:方程与不等式——不等式与不等式组——一元一次不等式的整数解.11、若关于x 的不等式mx-n >0的解集是x <15,则关于x 的不等式(m+n )x >n-m 的解集是( ).A. x <-23B. x >-23C. x <23D. x >23答案:A.解析:∵不等式mx-n >0的解集是x <15.∴m <0且n m= 15.∴m=5n,n <0.∴不等式(m+n )x >n-m 可整理为6nx >-4n 的解集是x <-23.考点:方程与不等式——不等式与不等式组——解一元一次不等式.12、若方程3(x+1)-m = 3m-5x 的解是负数,则 的取值范围是( ).A. m <34 B. m >34 C. m <−34 D. m >−34答案:A.解析:3(x+1)-m = 3m-5x.3x+5x = 3m+m-3. 8x = 4m-3. ∵解是负数. ∴8x <0. ∴4m-3<0. m <34.考点:方程与不等式—一元一次方程—含字母参数的一元一次方程—含参一元一次方程.不等式与不等式组—一元一次不等式的应用.13、若关于x ,y 的二元一次方程组 {3x +y =1+ax +3y =3的解满足x+y <2,则a 的取值范围是 . 答案:a <4.解析:将二元一次方程组两个等式相加,得4x+4y=a+4,即x+y=a+44.∵x+y <2. ∴a+44<2.∴a <4.考点:方程与不等式——二元一次方程组——含字母参数的二元一次方程组.14、关于x,y 的二元一次方程组{3x −y =ax −3y =5−4a的解满足x <y,则a 的取值范围是( ).A. a >35B. a <13C. a <53D. a >53答案:D. 解析:解法一:解不等式组得{x =7a−58y =13a−158.∵x <y.∴7a−58<13a−158.解得a >53. 解法二:两式相加得4(x-y )=5-3a. ∵x <y. ∴x-y <0. ∴5-3a <0. ∴a >53.考点:方程与不等式——不等式与不等式组——解一元一次不等式组.15、解不等式2x−13-5x+12≥1,并把它的解集在数轴上表示出来.答案:不等式的解集为x ≤-1,在数轴上表示如图所示:解析:去分母,得2(2x-1)-3(5x+1)≥6.去括号,得4x-2-15-3≥6. 移项合并同类项,得-11x ≥11. 系数化为1,得x ≤-1.∴此不等式的解集为x ≤-1,在数轴上表示如图所示:考点:方程与不等式——不等式与不等式组——在数轴上表示不等式的解集——解一元一次不等式.16、解不等式12(x+1)≤23x-1,并把它的解集表示在数轴上,再写出它的最小整数解. 答案:最小整数解为x=9. 解析:12(x+1)≤23x-1.3(x+1)≤4x-6.3x+3≤4x-6.3x-4x≤-6-3.-x≤-9.x≥9.将它的解集表示在数轴上:∴它的最小整数解为x=9.考点:方程与不等式——不等式与不等式组——解一元一次不等式.17、若m>6,则(6-m)x<m-6的解集为.答案:x>-1.解析:∵m>6.∴(6-m)x<m-6.∴x>-1.考点:方程与不等式——不等式与不等式组——含参不等式(组)——解含参不等式. 18、关于x的不等式2x-a≤-1的解集如图所示,则a的值是( ).A.4B.3C.2D.1答案:B.解析:解不等式2x-a≤-1得,x≤a−1,根据数轴可知x≤1.2=1,即a=3.∴a−12考点:方程与不等式——不等式与不等式组——在数轴上表示不等式的解集——解一元一次不等式.19、已知a、b为常数,若ax+b>0的解集是x<1,则bx-a<0的解集是( ).4A.x >-4B.x <-4C.x >4D.x <4 答案:B.解析:∵ax+b >0的解集x <14.∴x <-ba . 则-ba = 14. ∴a <0. 又∵a=-4b. ∴b >0. ∴bx-a <0. ∴bx+4b <0. ∴x+4<0. ∴x <-4.考点:方程与不等式——不等式与不等式组——含参不等式(组)——解含参不等式.20、已知方程组{2x +3y =3m +72x +y =4m +1的解满足x+y >0,求m 的取值范围.答案:m >-87.解析:{2x +3y =3m +7①2x +y =4m +1 ②.解:①+②得. 4x+4y=7m+8. 4(x+y)=7m+8. x+y=7m+84.∵x+y >0. ∴7m+84>0.∴7m+8>0. ∴7m >-8. ∴m >-87.考点:方程与不等式——二元一次方程组——含字母参数的二元一次方程组.不等式与不等式组——一元一次不等式的应用.21、解不等式组{2(x +8)≤10−4(x −3)x+12−4x+16<1,并写出该不等式组的整数解. 答案:-4<x ≤1,整数解有-3,-2,-1,0,1. 解析:{2(x +8)≤10−4(x −3)①x+12−4x+16<1 ②. 由①得:x ≤1. 由②得:x >-4. ∴-4<x ≤1.整数解有-3,-2,-1,0,1.考点:方程与不等式——不等式与不等式组——解一元一次不等式组.22、解不等式组:{7(x −5)+2(x +1)>−152x+13−3x−12<0答案:x >2.解析:{7(x −5)+2(x +1)>−15①2x+13−3x−12<0②. 解①得:x >2. 解②得:x >1. ∴x >2.考点:方程与不等式——不等式与不等式组——解一元一次不等式组.23、解不等式组:{2(x +1)>5x −7x+103>2x 答案:x <2.解析:解不等式2(x+1)>5x-7得.2x+2>5x-7. 3x <9.x <3. 解不等式x+103>2x 得.x+10>6x. 5x <10. x <2.∴原不等式的解集为x <2.考点:方程与不等式——不等式与不等式组——解一元一次不等式组.24、不等式组{x +9<5x +1x >m +1的解集是x >2,则m 的取值范围是 .答案:m ≤1.解析:由不等式组可得{x >2x >m +1,其解集为x >2,则m+1≤2,m ≤1.考点:方程与不等式——不等式与不等式组——解一元一次不等式组.25、若关于x 的不等式组{x −2<5x −a >0无解,则 的取值范围是 .答案:a ≥7.解析:解不等式组得{x <7x >a,由不等式组无解可知a ≥7.考点:方程与不等式——不等式与不等式组——解一元一次不等式组.26、已知关于x 的不等式组{x −a ≥b 2x −a <2b +1的解集为3≤x <5,则ba 的值为 .答案:-2.解析::由x-a ≥b 得x ≥a+b.由2x-a <2b+1得x <a+2b+12.∵解集为3≤x <5. ∴{a +b =3a+2b+12=5.解b=6,a=-3.∴ba = 6−3= -2.考点:方程与不等式——不等式与不等式组——解一元一次不等式组.27、已知方程组{x+y=m+3x−y=3m−1的解是一对正数,试化简∣2m+1∣+∣2-m∣.答案:化简得:m+3.解析:{x+y=m+3①x−y=3m−1②.①+②:2x=4m+2.x=2m+1.①-②:2y=-2m+4.y=-m+2.∵方程组的解是一对正数.∴{x>0 y>0.∴{2m+1>0−m+1>0.解得:-12<m<2.∴∣2m+1∣+∣2-m∣.=2m+1+2-m.=m+3.考点:数——有理数——绝对值化简——已知范围化简绝对值.方程与不等式——二元一次方程组——含字母参数的二元一次方程组——含参方程组解的分类讨论.不等式与不等式组——含参不等式(组)——方程根的取值范围.28、若关于x的不等式组{x−m<07−2x≤1的整数解有且只有4个,则m的取值范围是( ).A.6<m <7B.6≤m <7C.6≤m ≤7D.6<m ≤7 答案:D解析:{x −m <07−2x ≤1.由x-m <0得:x <m . 有7-2x ≤1得:x ≥3. ∴不等式的解集为:3≤x <m .∴不等式的整数解为:3 、4 、5 、6 . ∴m 的取值范围是6<m ≤7.考点:方程与不等式——不等式与不等式组——解一元一次不等式组——一元一次不等式组的整数解.29、对x,y 定义一种新运算T,规定:T(x,y )= ax+by2x+y (其中a 、b 均为非零常数),这里等式右边是通常的四则运算,例如:T(0,1)= a×0+b×12×0+1 = b .(1) 已知T(1,-1)= -2,T(4,2)= 1.① 求 a,b 的值.② 若关于m 的不等式组{T(2m,5−4m )≤4T(m,3−2m )>p恰好有3个整数解,求实数p 的取值范围.(2) 若T(x,y )=T(y,x )对任意实数x,y 都成立(这里T(x,y )和T(y,x )均有意义),则a,b 应满足怎样的关系式?答案: (1) ① a=1,b=3 .② -2≤p <−13 . (2) a=2b .解析: (1)① 根据题意得:T(1,-1)=a−b 2−1=-2,即a-b=-2.T(4,2)=4a+2b 8+2=1,即2a+b=5.解得: a=1,b=3.② 根据题意得:{2m+(5−4m )4m+(5−4m )≤4 ①m+3(3−2m )2m+3−2m>p ②.由①得:m ≥−12. 由②得:m <−9−3p 5.∴不等式组的解集为−12≤m <−9−3p 5.∵不等式组恰好有3个整数解,即m=0,1,2. ∴2<9−3p 5≤3.解得: -2≤p <-13.(2) 由T(x,y )=T(y,x ),得到ax+by 2x+y = ay+bx2y+x .整理得:(x 2-y 2)(2b-a )=0.∵T(x,y )=T(y,x )对任意实数x,y 都成立. ∴2b-a=0,即 a=2b.考点:式——探究规律——定义新运算.方程与不等式——不等式与不等式组——解一元一次不等式组.30、如果一元一次方程的根是一元一次不等式组的解,则称该一元一次方程为该不等式组的关联方程.(1) 在方程① 3x-1=0,② 23x+1=0,③ x-(3x+1)=-5中,不等式组{−x +2>x −53x −1>−x +2的关联方程是 .(填序号) (2)若不等式组{x −12<11+x >−3x +2的一个关联方程的根是整数,则这个关联方程可以是 (写出一个即可).(3)若方程3-x=2x,3+x=2(x+12)都是关于x 的不等式组{x <2x −m x −2≤m的关联方程,直接写出m 的取值范围.答案: (1) ③.(2)2x-1=1.(3)m 的取值范围为0≤m <1 .解析: (1)解不等式组{−x +2>x −53x −1>−x +2.解−x +2>x −5得x <312. 解3x −1>−x +2得x >34. ∴不等式的解为34<x <312.解方程① 3x-1=0得x=13,② 23x+1=0得x=-32 ,③ x-(3x+1)=-5得x=2. 根据一元一次方程的根是一元一次不等式组的解,则称该一元一次方程为该不等式组的关联方程. ∴关联方程为③. (2) 解不等式{x −12<11+x >−3x +2.解x −12<1,得x <112. 解1+x >−3x +2,得x >14. ∴不等式得解集为14<x <112.∵关联方程的根是整数,∴方程的根为1. ∵2x-1=1的方程的解为1. ∴2x-1=1满足.答案不唯一,只要解为1一元一次方程即可. (3) 解方程3-x=2x,得x=1.解方程3+x=2(x+12),得x=2.∵方程3-x=2x,3+x=2(x+12),都是关于x 的不等式组{x <2x −m x −2≤m的关联方程.∴满足{1<2×1−m 1−2≤m ,即-1<m <1.且{2<2×2−m 2−2≤m ,即0≤m <2.∴m 的取值范围为0≤m <2.考点:方程与不等式——一元一次方程——一元一次方程的解.不等式与不等式组——解一元一次不等式组.。
列一元一次不等式组解应用题60题1.某工厂计划生产A,B两种产品共10件,其生产成本和利润如下表:A种产品B种产品成本(万元∕件) 3 5利润(万元∕件) 1 2(1)若工厂计划获利14万元,问A,B两种产品应分别生产多少件?(2)若工厂投入资金不多于44万元,且获利多于14万元,问工厂有哪几种生产方案?(3)在(2)条件下,哪种方案获利最大?并求最大利润.2.某校某年级秋游,若租用48座客车若干辆,则正好坐满;若租用64座客车,则能少租1辆,且有一辆车没有坐满,但超过一半.(1)需租用48座客车多少辆?解:设需租用48座客车x辆.则需租用64座客车___辆.当租用64座客车时,未坐满的那辆车还有___个空位(用含x的代数式表示).由题意,可得不等式组:_____解这个不等式组,得:______.因此,需租用48座客车_________辆.(2)若租用48座客车每辆250元,租用64座客车每辆300元,应租用哪种客车较合算?4.某班有学生55人,其中男生与女生的人数之比为6:5.(1)求出该班男生与女生的人数;(2)学校要从该班选出20人参加学校的合唱团,要求:①男生人数不少于7人;②女生人数超过男生人数2人以上.请问男、女生人数有几种选择方案?5.某小区前坪有一块空地,现想建成一块面积大于48平方米,周长小于34米的矩形绿化草地,已知一边长为8米,设其邻边长为x米,求x的整数解.6.2011年4月25日,全国人大常委会公布《中华人民共和国个人所得税法修正案(草案)》,向社会公开征集意见.草级数全月应纳税所得额税率1 不超过1500元的部分5%2 超过1500元至4500元的部分10%3 超过4500元至9000元的部分20%………依据草案规定,解答下列问题:(1)李工程师的月工薪为8000元,则他每月应当纳税多少元?(2)若某纳税人的月工薪不超过10000元,他每月的纳税金额能超过月工薪的8%吗?若能,请给出该纳税人的月工薪范围;若不能,请说明理由.7.某电器城经销A型号彩电,今年四月份毎台彩电售价为2000元.与去年同期相比,结果卖出彩电的数量相同的,但去年销售额为5万元,今年销售额为4万元.(1)问去年四月份每台A型号彩电售价是多少元?(2)为了改善经营,电器城决定再经销B型号彩电,已知A型号彩电每台进货价为1800元,B型号彩电每台进货价为1500元,电器城预计用不多于3.3万元且不少于3.2万元的资金购进这两种彩电共20台,问有哪几种进货方案?(3)电器城准备把A型号彩电继续以原价每台2000元的价格出售,B型号彩电以每台1800元的价格出售,在这批彩电全部卖出的前提下,如何进货才能使电器城获利最大?最大利润是多少?8.某企业为了改善污水处理条件,决定购买A、B两种型号的污水处理设备共8台,其中每台的价格、月处理污水量如下表:经预算,企业最多支出57万元购买污水处理设备,且要求设备月处理污水量不低于1490吨.(1)企业有哪几种购买方案?(2)哪种购买方案更省钱?A型B型8 6价格(万元/台)200 180月处理污水量(吨/月)9.在“五•一”期间,某公司组织318名员工到雷山西江千户苗寨旅游,旅行社承诺每辆车安排有一名随团导游,并为此次旅行安排8名导游,现打算同时租甲、乙两种客车,其中甲种客车每辆载客45人,乙种客车每辆载客30人.(1)请帮助旅行社设计租车方案.(2)若甲种客车租金为800元/辆,乙种客车租金为600元/辆,旅行社按哪种方案租车最省钱?此时租金是多少?(3)旅行前,旅行社的一名导游由于有特殊情况,旅行社只能安排7名导游随团导游,为保证所租的每辆车安排有一名导游,租车方案调整为:同时租65座、45座和30座的大小三种客车,出发时,所租的三种客车的座位恰好坐满,请问旅行社的租车方案如何安排?10.为了鼓励城区居民节约用水,某市规定用水收费标准如下:每户每月的用水量不超过20度时(1度=1米3),水费为a元/度;超过20度时,不超过部分仍为a元/度,超过部分为b元/度.已知某用户四份用水15度,交水费22.5元,五月份用水30度,交水费50元.(1)求a,b的值;(2)若估计该用户六月份的水费支出不少于60元,但不超过90元,求该用户六月份的用水量x的取值范围.11.在眉山市开展城乡综合治理的活动中,需要将A、B、C三地的垃圾50立方米、40立方米、50立方米全部运往垃圾处理场D、E两地进行处理.已知运往D地的数量比运往E地的数量的2倍少10立方米.(1)求运往两地的数量各是多少立方米?(2)若A地运往D地a立方米(a为整数),B地运往D地30立方米,C地运往D地的数量小于A地运往D地的2倍.其余全部运往E地,且C地运往E地不超过12立方米,则A、C两地运往D、E两地哪几种方案?(3)已知从A、B、C三地把垃圾运往D、E两地处理所需费用如下表:A地B地C地22 20 20运往D地(元/立方米)20 22 21运往E地(元/立方米)在(2)的条件下,请说明哪种方案的总费用最少?12.小明家需要用钢管做防盗窗,按设计要求需要用同种规格、每根长6米的钢管切割成长0.8m的钢管及长2.5m 的钢管.﹙余料作废﹚(1)现切割一根长6m的钢管,且使余料最少.问能切出长0.8米及2.5米的钢管各多少根?(2)现需要切割出长0.8米的钢管89根,2.5米的钢管24根.你能用23根长6m的钢管完成切割吗?若能,请直接写出切割方案;若不能,请说明理由.13.为了对学生进行爱国主义教育,某校组织学生去看演出,有甲乙两种票,已知甲乙两种票的单价比为4:3,单价和为42元.(1)甲乙两种票的单价分别是多少元?(2)学校计划拿出不超过750元的资金,让七年级一班的36名学生首先观看,且规定购买甲种票必须多于15张,有哪几种购买方案?(1)求甲、乙两种原料每盒价钱各为多少元;(2)该工厂第三次购买时,要求甲种原料比乙种原料的2倍少200盒,且购买两种原料的总量不少于1 010盒,总金额不超过89 200元,请你通过计算写出本次购买甲、乙两种原料的所有方案.15.小明利用课余时间回收废品,将卖得的钱去购买5本大小不同的两种笔记本,要求共花钱不超过28元,且购买的笔记本的总页数不低于340页,两种笔记本的价格和页数如下表.为了节约资金,小明应选择哪一种购买方案?请说明理由.大笔记本小笔记本价格(元/本) 6 5页数(页/本)100 6016.整顿药品市场、降低药品价格是国家的惠民政策之一.根据国家《药品政府定价办法》,某省有关部门规定:市场流通药品的零售价格不得超过进价的15%.根据相关信息解决下列问题:(1)降价前,甲乙两种药品每盒的出厂价格之和为6.6元.经过若干中间环节,甲种药品每盒的零售价格比出厂价格的5倍少2.2元,乙种药品每盒的零售价格是出厂价格的6倍,两种药品每盒的零售价格之和为33.8元.那么降价前甲、乙两种药品每盒的零售价格分别是多少元?(2)降价后,某药品经销商将上述的甲、乙两种药品分别以每盒8元和5元的价格销售给医院,医院根据实际情况决定:对甲种药品每盒加价15%、对乙种药品每盒加价10%后零售给患者.实际进药时,这两种药品均以每10盒为1箱进行包装.近期该医院准备从经销商处购进甲乙两种药品共100箱,其中乙种药品不少于40箱,销售这批药品的总利润不低于900元.请问购进时有哪几种搭配方案?17.2010年的世界杯足球赛在南非举行.为了满足球迷的需要,某体育服装店老板计划到服装批发市场选购A、B 两种品牌的服装.据市场调查得知,销售一件A品牌服装可获利润25元,销售一件B品牌服装可获利润32元.根据市场需要,该店老板购进A种品牌服装的数量比购进B种品牌服装的数量的2倍还多4件,且A种品牌服装最多可购进48件.若服装全部售出后,老板可获得的利润不少于1740元.请你分析这位老板可能有哪些方案?18.某服装店欲购甲、乙两种新款运动服,甲款每套进价350元,乙款每套进价200元,该店计划用不低于7600元且不高于8000元的资金订购30套甲、乙两款运动服.(1)该店订购这两款运动服,共有哪几种方案?(2)若该店以甲款每套400元,乙款每套300元的价格全部出售,哪种方案获利最大?19.某学校组织八年级学生参加社会实践活动,若单独租用35座客车若干辆,则刚好坐满;若单独租用55座客车,则可以少租一辆,且余45个空座位.(2)已知35座客车的租金为每辆320元,55座客车的租金为每辆400元,根据租车资金不超过1500元的预算,学校决定同时租用这两种客车共4辆(可以坐不满).请你计算本次社会实践活动所需车辆的租金?20.为实现区域教育均衡发展,我市计划对某县A、B两类薄弱学校全部进行改造.根据预算,共需资金1575万元.改造一所A类学校和两所B类学校共需资金230万元;改造两所A类学校和一所B类学校共需资金205万元.(1)改造一所A类学校和一所B类学校所需的资金分别是多少万元?(2)若该县的A类学校不超过5所,则B类学校至少有多少所?(3)我市计划今年对该县A、B两类学校共6所进行改造,改造资金由国家财政和地方财政共同承担.若今年国家财政拨付的改造资金不超过400万元;地方财政投入的改造资金不少于70万元,其中地方财政投入到A、B两类学校的改造资金分别为每所10万元和15万元.请你通过计算求出有几种改造方案?21.2010年1月1日,全球第三大自贸区﹣中国﹣东盟自由贸易区正式成立,标志着该贸易区开始步入“零关税”时代,广西某民营边贸公司要把240顿白砂糖运往东盟某国的A,B两地,现用大,小两种货车共20辆,恰好能一次性装完这批白砂糖.已知这两种火车的载重量分别为15吨/辆和10吨/辆,运往A地的运费为:大车630元/辆,小车420元/辆;运往B地的运费为:大车750元/辆,小车550元/辆.(1)求这两种货车各用多少辆;(2)如果安排10辆货车前往A地,其余货车前往B地,且运往A地的白砂糖不少于115吨,请你设计出使用总运费最少的货车调配方案,并求出最少总运费?22.一家蔬菜公司收购到某种绿色蔬菜140吨,准备加工后进行销售,销售后获利的情况如下表所示:销售方式粗加工后销售精加工后销售每吨获利(元)1000 2000已知该公司的加工能力是:每天能精加工5吨或粗加工15吨,但两种加工不能同时进行.受季节等条件的限制,公司必须在一定时间内将这批蔬菜全部加工后销售完.(1)如果要求12天刚好加工完140吨蔬菜,则公司应安排几天精加工,几天粗加工?(2)如果先进行精加工,然后进行粗加工.①试求出销售利润W元与精加工的蔬菜吨数m之间的函数关系式;②若要求在不超过10天的时间内,将140吨蔬菜全部加工完后进行销售,则加工这批蔬菜最多获得多少利润?此时如何分配加工时间?23.某校为迎接县中学生篮球比赛,计划购买A、B两种篮球共20个供学生训练使用.若购买A种篮球6个,则购买两种篮球共需费用720元;若购买A种篮球12个,则购买两种篮球共需费用840元.(1)A、B两种篮球单价各多少元?(2)若购买A种篮球不少于8个,所需费用总额不超过800元.请你按要求设计出所有的购买方案供学校参考,24.为打造“书香校园”,某学校计划用不超过1900本科技类书籍和1620本人文类书籍,组建中、小型两类图书角共30个.已知组建一个中型图书角需科技类书籍80本,人文类书籍50本;组建一个小型图书角需科技类书籍30本,人文类书籍60本.(1)问符合题意的组建方案有几种?请你帮学校设计出来;(2)若组建一个中型图书角的费用是860元,组建一个小型图书角的费用是570元,试说明在(1)中哪种方案费用最低?最低费用是多少元?25.师徒二人分别组装28辆摩托车,徒弟单独工作一周(7天)不能完成,而师傅单独工作不到一周就已完成,已知师傅平均每天比徒弟多组装2辆,求:(1)徒弟平均每天组装多少辆摩托车(答案取整数)?(2)若徒弟先工作2天,师傅才开始工作,师傅工作几天,师徒两人做组装的摩托车辆数相同?26.东艺中学初三(1)班学生到雁鸣湖春游,有一项活动是划船.游船有两种,甲种船每条船最多只能坐4个人,乙种船每条船最多只能坐6个人.已知初三(1)班学生的人数是5的倍数,若仅租甲种船,则不少于12条;若仅租乙种船,则不多于9条.(1)求初三(1)班学生的人数;(2)初三(1)班学生的人数是50人,如果甲种船的租金是每条船10元,乙种船的租金是每条船12元.应怎样租船,才能使每条船都坐满,且租金最少?说明理由.27.某汽车制造厂开发了一款新式电动汽车,计划一年生产安装240辆.由于抽调不出足够的熟练工来完成新式电动汽车的安装,工厂决定招聘一些新工人;他们经过培训后上岗,也能独立进行电动汽车的安装.生产开始后,调研部门发现:1名熟练工和2名新工人每月可安装8辆电动汽车;2名熟练工和3名新工人每月可安装14辆电动汽车.(1)每名熟练工和新工人每月分别可以安装多少辆电动汽车?(2)如果工厂招聘n(0<n<10)名新工人,使得招聘的新工人和抽调的熟练工刚好能完成一年的安装任务,那么工厂有哪几种新工人的招聘方案?(3)在(2)的条件下,工厂给安装电动汽车的每名熟练工每月发2000元的工资,给每名新工人每月发1200元的工资,那么工厂应招聘多少名新工人,使新工人的数量多于熟练工,同时工厂每月支出的工资总额W(元)尽可能地少?28.君实机械厂为青扬公司生产A、B两种产品,该机械厂由甲车间生产A种产品,乙车间生产B种产品,两车间同时生产.甲车间每天生产的A种产品比乙车间每天生产的B种产品多2件,甲车间3天生产的A种产品与乙车(2)君实机械厂生产的A种产品的出厂价为每件200元,B种产品的出厂价为每件180元.现青扬公司需一次性购买A、B两种产品共80件,君实机械厂甲、乙两车间在没有库存的情况下只生产8天,若青扬公司按出厂价购买A、B两种产品的费用超过15000元而不超过15080元.请你通过计算为青扬公司设计购买方案?29.为鼓励学生参加体育锻炼,学校计划拿出不超过1600元的资金再购买一批篮球和排球,已知篮球和排球的单价比为3:2.单价和为80元.(1)篮球和排球的单价分别是多少元?(2)若要求购买的篮球和排球的总数量是36个,且购买的篮球数量多于25个,有哪几种购买方案?30.某校团委为了教育学生,开展了以感恩为主题的有奖征文活动,并为获奖的同学颁发奖品.小红与小明去文化商店购买甲、乙两种笔记本作为奖品,若买甲种笔记本20个,乙种笔记本10个,共用110元;且买甲种笔记本30个比买乙种笔记本20个少花10元.(1)求甲、乙两种笔记本的单价各是多少元?(2)若本次购进甲种笔记本的数量比乙种笔记本的数量的2倍还少10个,且购进两种笔记本的总数量不少于80本,总金额不超过320元.请你设计出本次购进甲、乙两种笔记本的所有方案.31.某地区果农收获草莓30吨,枇杷13吨,现计划租用甲、乙两种货车共10辆将这批水果全部运往省城,已知甲种货车可装草莓4吨和枇杷1吨,乙种货车可装草莓、枇杷各2吨.(1)该果农安排甲、乙两种货车时有几种方案请您帮助设计出来;(2)若甲种货车每辆要付运输费2 000元,乙种货车每辆要付运输费1 300元,则该果农应选择哪种运输方案才能使运费最少,最少运费是多少元?32.今年春季我国西南地区发生严重旱情,为了保障人畜饮水安全,某县急需饮水设备12台,现有甲、乙两种设备可供选择,其中甲种设备的购买费用为4000元/台,安装及运输费用为600元/台;乙种设备的购买费用为3000元/台,安装及运输费用为800元/台,若要求购买的费用不超过40000元,安装及运输费用不超过9200元,则可购买甲、乙两种设备各多少台?33.初中毕业了,孔明同学准备利用暑假卖报纸赚取140~200元钱,买一份礼物送给父母.已知:在暑假期间,如果卖出的报纸不超过1000份,则每卖出一份报纸可得0.1元;如果卖出的报纸超过1000份,则超过部分每份可得0.2元.(1)请说明:孔明同学要达到目的,卖出报纸的份数必须超过1000份.34.开学初,小芳和小亮去学校商店购买学习用品,小芳用18元钱买了1支钢笔和3本笔记本;小亮用31元买了同样的钢笔2支和笔记本5本.(1)求每支钢笔和每本笔记本的价格;(2)校运会后,班主任拿出200元学校奖励基金交给班长,购买上述价格的钢笔和笔记本共48件作为奖品,奖给校运会中表现突出的同学,要求笔记本数不少于钢笔数,共有多少种购买方案?请你一一写出.35.某公司计划生产甲、乙两种产品共20件,其总产值w(万元)满足:1150<w<1200,相关数据如下表.为此,公司应怎样设计这两种产品的生产方案?产品名称每件产品的产值(万元)甲45乙7536.某饮料厂为了开发新产品,用A种果汁原料和B种果汁原料试制新型甲、乙两种饮料共50千克,设甲种饮料需配制x千克,两种饮料的成本总额为y元.(1)已知甲种饮料成本每千克4元,乙种饮料成本每千克3元,请你写出y与x之间的函数关系式.(2)若用19千克A种果汁原料和17.2千克B种果汁原料试制甲、乙两种新型饮料,下表是试验的相关数据;请你列出关于x且满足题意的不等式组,求出它的解集,并由此分析如何配制这两种饮料,可使y值最小,最小值是多少?甲乙每千克饮料果汁含量果汁A 0.5千克0.2千克B 0.3千克0.4千克37.某校校园超市老板到批发中心选购甲、乙两种品牌的书包,若购进甲品牌的书包9个,乙品牌的书包10个,需要905元;若购进甲品牌的书包12个,乙品牌的书包8个,需要940元.(1)求甲、乙两种品牌的书包每个多少元?(2)若销售1个甲品牌的书包可以获利3元,销售1个乙品牌的书包可以获利10元.根据学生需求,超市老板决定,购进甲种品牌书包的数量要比购进乙品牌的书包的数量的4倍还多8个,且甲种品牌书包最多可以购进56个,这样书包全部出售后,可以使总的获利不少于233元.问有几种进货方案?如何进货?38.某运动鞋专卖店,欲购进甲、乙两型号的运动鞋共100双,若购进5双甲型号运动鞋和3双乙型号运动鞋共需(2)甲型号运动鞋每双售价为260元,乙型号运动鞋每双售价为220元,要满足进鞋资金不超过17500元,当100双运动鞋全部售出后,利润不低于7800元,鞋店经理有几种进货方案?39.2008年北京奥运会的比赛门票开始接受公众预定.下表为北京奥运会官方票务网站公布的几种球类比赛的门票价格,某球迷准备用12000元预定15张下表中球类比赛的门票:比赛项目票价(元/场)男篮1000足球800乒乓球500(1)若全部资金用来预定男篮门票和乒乓球门票,问这个球迷可以预订男篮门票和乒乓球门票各多少张?(2)若在准备资金允许的范围内和总票数不变的前提下,这个球迷想预定上表中三种球类门票,其中足球门票与乒乓球门票数相同,且足球门票的费用不超过男篮门票的费用,问可以预订这三种球类门票各多少张?40.某学校科技活动小组制作了部分科技产品后,把剩余的甲乙两种原料制作100个A、B两种类型号的工艺品.已知每制作一个工艺品所需甲乙两种原料如右表,已知剩余的甲种原料29千克,乙种原料37.2千克,假设制作x个A型工艺品.型号A型B型千克/个原料甲0.5 0.2乙0.3 0.4(1)求出x应满足的不等式组的关系式;(2)请你设计A、B两种型号的工艺品的所有制作方案;(3)经市场了解,A型工艺品售价25元/个,B型工艺品售价15元/个,若这两种型号的销售总额为y元,请写出y与x之间的函数关系式,并指出哪种制作方案,使销售总额最大,求出最大销售总额.41.商场正在销售“福娃”玩具和徽章两种奥运商品,已知购买1盒“福娃”玩具和2盒徽章共需145元;购买2盒“福娃”玩具和3盒徽章共需280元.(1)一盒“福娃”玩具和一盒徽章的价格各是多少元?(2)某公司准备购买这两种奥运商品共20盒送给幼儿园(要求每种商品都要购买),且购买总金额不能超过450元,请你帮公司设计购买方案.42.“六•一”儿童节前夕,某消防队官兵了解到汶川地震灾区一帐篷小学的小朋友喜欢奥运福娃,就特意购买了一些送给这个小学的小朋友作为节日礼物.如果每班分10套,那么余5套;如果前面的班级每个班分13套,那么最后一个班级虽然分有福娃,但不足4套.问:该小学有多少个班级?奥运福娃共有多少套?43. 红旺商店同时购进A、B两种商品共用人民币36 000元,全部售完后共获利6 000元,两种商品的进价、售价如下表:A 商品B 商品进价120元/件100元/件售价138元/件120元/件(1)求本次红旺商店购进A、B两种商品的件数;(2)第二次进货:A、B件数皆为第一次的2倍,销售时,A商品按原售价销售,B商品打折出售,全部售完后为使利润不少于11 040元,则B商品每件的最低售价应为多少?44. 我市某镇组织20辆汽车装运完A、B、C三种脐橙共100吨到外地销售.按计划,20辆汽车都要装运,每辆汽车只能装运同一种脐橙,且必须装满.根据下表提供的信息,解答以下问题:脐橙品种 A B C每辆汽车运载量(吨) 6 5 4每吨脐橙获得(百元)12 16 10(1)设装运A种脐橙的车辆数为x,装运B种脐橙的车辆数为y,求y与x之间的函数关系式;(2)如果装运每种脐橙的车辆数都不少于4辆,那么车辆的安排方案有几种?并写出每种安排方案;(3)若要使此次销售获利最大,应采用哪种安排方案?并求出最大利润的值.45.为迎接市运动会,某单位准备用800元订购10套下表中的运动服.运动服价格(元/套)男装甲100男装乙80女装50(1)若全部资金用来订购男装甲和女装,问他们可以各订多少套?(2)若在现有资金800元允许的范围内和运动服总套数不变的前提下,他们想订购表中的三种运动服,其中男装甲和男装乙的套数相同,且女装费用不超过男装甲的费用,求他们能订购三种运动服各多少套?46.为了美化校园环境,建设绿色校园,某学校准备对校园中30亩空地进行绿化.绿化采用种植草皮与种植树木两种方式,要求种植草皮与种植树木的面积都不少于10亩,并且种植草皮面积不少于种植树木面积的.已知种植草皮与种植树木每亩的费用分别为8000元与12000元.(1)种植草皮的最小面积是多少?(2)种植草皮的面积为多少时绿化总费用最低,最低费用为多少?47.罗甸县某果农今年收获梨30吨,香蕉13吨,先计划租用大小两种货车共10辆将这批水果全部运往外省销售,已知大货车可装梨4吨和香蕉1吨;小货车可装梨和香蕉各2吨.(1)该果农安排两种货车运货时,有哪几种运送方案?(2)若大货车每辆要付运费2000元,小货车每辆要付运费1300元,则该果农应选择哪一种方案才能使运费最少?最少运费是多少元?48.“爱心”帐篷集团的总厂和分厂分别位于甲、乙两市,两厂原来每周生产帐篷共9千顶,现某地震灾区急需帐篷14千顶,该集团决定在一周内赶制出这批帐篷.为此,全体职工加班加点,总厂和分厂一周内制作的帐篷数分别达到了原来的1.6倍、1.5倍,恰好按时完成了这项任务.(1)在赶制帐篷的一周内,总厂和分厂各生产帐篷多少千顶?(2)现要将这些帐篷用卡车一次性运送到该地震灾区的A,B两地,由于两市通住A,B两地道路的路况不同,卡车的运载量也不同.已知运送帐篷每千顶所需的车辆数、两地所急需的帐篷数如下表:A地B地每千顶帐篷所需车辆数甲市 4 7 乙市 3 5所急需帐篷数(单位:千顶)9 5请设计一种运送方案,使所需的车辆总数最少.说明理由,并求出最少车辆总数.49.冷饮店每天需配制甲、乙两种饮料共50瓶,已知甲饮料每瓶需糖14克,柠檬酸5克,乙饮料每瓶需糖6克,柠檬酸10克,现有糖500克,柠檬酸400克.(1)请计算有几种配制方案能满足冷饮店的要求;(2)冷饮店对两种饮料上月的销售情况作了统计,结果如下表,请你根据这些统计数据确定一种比较合理的配制方案,并说明理由.两种饮料的日销量甲10 12 14 16 21 25 30 38 40 50 乙40 38 36 34 29 25 20 12 10 0天数 3 4 4 4 8 1 1 1 2 250.为了更好治理洋澜湖水质,保护环境,市治污公司决定购买10台污水处理设备.现有A,B两种型号的设备,其中每台的价格,月处理污水量如下表:经调查:购买一台A型设备比购买一台B型设备多2万元,购买2台A 型设备比购买3台B型设备少6万元.A型B型价格(万元/台) a b处理污水量(吨/月)240 180(1)求a,b的值;。
解一元一次不等式专项练习50题(有答案)-不等式去分母的题1.解:去分母得 3(x+1)。
2x+6,去括号得 3x+3.2x+6,移项合并同类项得 x。
3,因此不等式的解集为 x。
3.2.解:去分母得 x+1-2(x-1) ≤ 2,化简得 -x ≤ -1,两边同乘-1得x ≥ 1,因此不等式的解集为x ≥ 1.3.解:去分母得 2(x+4)-6.3(3x-1),化简得 2x+8-6.9x-3,移项合并同类项得 -7x。
-5,化系数为1得 x < 5/7.4.解:去分母得 3x+6.-1,因此不等式的解集为 x。
-1.5.解:去分母得6x+2(x+1) ≤ 6-(x-14),化简得8x+8 ≤ 20-x,移项合并同类项得9x ≤ 12,因此不等式的解集为x ≤ 4/3.6.解:去分母得 2(2x-3)。
3(3x-2),化简得 4x-6.9x-6,移项合并同类项得 -5x。
0,化系数为1得 x < 0.7.解:去分母得 3(3x-4)+30 ≥ 2(x+2),化简得 9x-12+30 ≥2x+4,移项合并同类项得7x ≥ -14,化系数为1得x ≥ -2.8.解:将原不等式化简得:x-3<24-2(3-4x)。
x-3<24-6+8x。
x<21。
x>-3.9.解:将原不等式化简得:6(3x-1)<(10x+5)-6。
8x>=-16。
x>=-2.10.解:将原不等式化简得:3(x+1)-8>4(x-5)-8x。
3x+3-8>4x-20-8x。
7x>-15。
x>-15/7.11.解:将原不等式化简得:x+5-2<3x+2。
x-3x<2+2-5。
2x<-1。
x>1/2.12.解:将原不等式化简得:3(x+1)>=2(2x+1)+6。
3x+3>=4x+2+6。
x>=5。
x<=-5.13.解:将原不等式化简得:2(2x-1)-24>-3(x+4)。
《不等式的基本性质》典型例题及解析典型例题一例题01 根据不等式的基本性质,把下列不等式化成或的形式:(1);(2);(3);(4).解答(1)根据不等式的性质,不等式的两边都加5,不等号的方向不变,所以,∴.(2)根据不等式的性质,两边都减去,不等号的方向不变,所以,∴.(3)根据不等式的性质,两边都乘以4,不等号的方向不变,所以,∴.(4)根据不等式的性质,两边都除以-5,不等号的方向改变,所以,∴.例题02 若,用“<”或“>”来填空:(1);(2).分析由于,不等式两边都减去5,不等号的方向不变,不等式的两边都乘以-5,不等号的方向改变.解答(1)<,(2)>.例题03 用“”或“”号填空若且则:(1) _____;(2) _____;(3) _____;(4) _____;(5) _____;(6) _____;(7) _____;(8) _____.解答(1)因为,根据不等式的性质1,有;(2)因为,根据不等式的性质1,有;(3)因为,根据不等式的性质2,有;(4)因为,根据不等式的性质3,有,再由不等式性质1,有;(5)因为,由不等式的性质1,;(6)因为,由不等式的性质1,;(7)因为且,由不等式性质2知;(8)因为且,由不等式性质3,有说明解这类题应先观察不等号左右两边是由原来的不等式进行了什么样的变形得来的,弄清楚了,再对照不等式的性质,决定是否要改变不等号的方向.例题04 判断下列各题的结论是否正确,并说明理由.(1)如果,,那么;(2)如果,那么;(3)如果,那么;(4)如果,且,那么.解答(1)不正确.因为当或时,不成立;(2)正确.因为成立,必有且,根据不等式基本性质2,得;(3)正确.根据不等式基本性质1,由,两边都加上,得;(4)不正确.因为,那么有可能大于0,也有可能小于0,当时,根据不等式基本性质3,两边同除以得.说明①注意成立则隐含着这个条件且;②要注意(4)小题中的条件“”的讨论,因为代表有理数,所以可能取正,也可能取负数.例题05 根据不等式的基本性质,把下列不等式化成或的形式.(1);(2);(3);(4)解答(l)根据不等式基本性质1,不等式两边都加上5,不等号的方向不改变,所以,即(2)根据不等式基本性质1,不等式的两边都减去,不等式不改变方向,所以,即(3)根据不等式基本性质2,不等式两边同除以(或乘以),不等号不改变方,所以,即(4)根据不等式基本性质3,不等式两边同乘以-2(或除以-);不等号改变方向,所以,即说明在运用不等式基本性质3时,一定不要忘记改变不等号的方向.典型例题二1.有理数a,b在数轴上的位置如图,在下列各题中表示错误的是( )A.a−b>0 B.ab> 0 C.c−a<c−b D.>答案:D说明:不难看出a>b>0,所以A、B中表示的显然正确;由a>b可得−a<−b,两边同时加上c,则有c−a<c−b成立;只有D中的表示错误,因为a>b>0,所以将a>b两边同时除以ab,不等号方向不改变,即此时有>成立,所以答案为D.2.有理数a、b、c在数轴上的对应点的位置如图所示,下列式子中正确的有( )①b+c>0 ②a+b>a+c ③bc>ac ④ab>acA.1个 B.2个 C.3个 D.4个答案:C说明:由图中所给a、b、c三个数在数轴上点的位置,可以得到:①b>0,c<0且|b|<|c|,从而b+c<0;②b>c,不等式两边都加上a,得a+b>a+c;③a>b,不等式两边同乘以c(c<0),得ac<bc,即bc>ac;④b>c,不等式两边同乘以a(a>0),得ab>ac;所以②③④正确,答案为C.判断正误:①如果−a>−b,则a>b ( )错;−a>−b两边同乘以−1,不等号方向改变,得a<b②如果 2a>−2b,则a>−b ( )对; 2a>−2b两边同除以2,不等号方向不变,得a>−b③如果ab>ac,则b>c ( )错;当a≤0时,由ab>ac无法得出b>c④若x>,则x>1 ( )错;取x = −,则x>成立,但此时x>1不成立⑤若a−5>b−5,则a>b ( )对;a−5>b−5两边同加5即a>b⑥若a>b,则a2>b2 ( )错;取a = −1,b = −2,此时a>b成立,但a2<b2⑦若>,则a<b ( )错;取a = 1,b = −1,此时>成立,但a>b⑧若a>b,c>d,则ac>bd ( )错;取a = 1,b = 0,c = −1,d = −2,此时a>b,c>d都成立,但ac<bd。
不等式(组)的实际应用1.某商场销售A,B两种品牌的教学设备,这两种教学设备的进价和售价如表所示A B进价(万元/套) 1.5 1.2售价(万元/套) 1.65 1.4该商场计划购进两种教学设备若干套,共需66万元,全部销售后可获毛利润9万元。
(1)该商场计划购进A,B两种品牌的教学设备各多少套?(2)通过市场调研,该商场决定在原计划的基础上,减少A种设备的购进数量,增加B种设备的购进数量,已知B种设备增加的数量是A种设备减少的数量的1.5倍。
若用于购进这两种教学设备的总资金不超过69万元,问A种设备购进数量至多减少多少套?解答:(1)设该商场计划购进A,B两种品牌的教学设备分别为x套,y套,{1.51.2660.150.29,解得:{2030,答:该商场计划购进A,B两种品牌的教学设备分别为20套,30套;(2)设A种设备购进数量减少a套,则B种设备购进数量增加1.5a套,1.5(20a)+1.2(30+1.5a)⩽69,解得:a⩽10,答:A种设备购进数量至多减少10套。
2.2016年5月6日,中国第一条具有自主知识产权的长沙磁悬浮线正式开通运营,该线路连接了长沙火车南站和黄花国际机场两大交通枢纽,沿线生态绿化带走廊的建设尚在进行中,届时将会给乘客带来美的享受。
星城渣土运输公司承包了某标段的土方运输任务,拟派出大、小两种型号的渣土运输车运输土方。
已知2辆大型渣土运输车与3辆小型渣土运输车一次共运输土方31吨,5辆大型渣土运输车与6辆小型渣土运输车一次共运输土方70吨。
(1)一辆大型渣土运输车和一辆小型渣土运输车一次各运输土方多少吨?(2)该渣土运输公司决定派出大、小两种型号渣土运输车共20辆参与运输土方,若每次运输土方总量不小于148吨,且小型渣土运输车至少派出2辆,则有哪几种派车方案?解答:(1)设一辆大型渣土运输车一次运输x吨,一辆小型渣土运输车一次运输y 吨,{23315670,解得{85.即一辆大型渣土运输车一次运输8吨,一辆小型渣土运输车一次运输5吨;(2)由题意可得,设该渣土运输公司决定派出大、小两种型号的渣土运输车分别为x辆、y 辆,2085y⩾148y⩾2,解得{182或{173或{164,故有三种派车方案,第一种方案:大型运输车18辆,小型运输车2辆;第二种方案:大型运输车17辆,小型运输车3辆;第三种方案:大型运输车16辆,小型运输车4辆。
解不等式典型例题答案例1 解:(1)原不等式可化为0)3)(52(>-+x x x把方程0)3)(52(=-+x x x 的三个根3,25,0321=-==x x x 顺次标上数轴.然后从右上开始画线顺次经过三个根,其解集如下图的阴影部分.∴原不等式解集为⎭⎬⎫⎩⎨⎧><<-3025x x x 或 (2)原不等式等价于⎩⎨⎧>-<-≠⇔⎩⎨⎧>-+≠+⇔>-++2450)2)(4(050)2()5)(4(32x x x x x x x x x 或∴原不等式解集为{}2455>-<<--<x x x x 或或说明:用“穿根法”解不等式时应注意:①各一次项中x 的系数必为正;②对于偶次或奇次重根可转化为不含重根的不等式,也可直接用“穿根法”,但注意“奇穿偶不穿”,其法如下图.例2(1)解:原不等式等价于⎩⎨⎧≠-+≥+-+-⇔≥+-+-⇔≤+-++-⇔≤+---+⇔≤+--⇔+≤-0)2)(2(0)2)(2)(1)(6(0)2)(2()1)(6(0)2)(2(650)2)(2()2()2(302232232x x x x x x x x x x x x x x x x x x x x xx x x x用“穿根法”∴原不等式解集为[)[)+∞⋃-⋃--∞,62,1)2,(。
(2)解法一:原不等式等价于 027313222>+-+-x x x x21213102730132027301320)273)(132(222222><<<⇔⎪⎩⎪⎨⎧<+-<+-⎪⎩⎪⎨⎧>+->+-⇔>+-+-⇔x x x x x x x x x x x x x x x 或或或 ∴原不等式解集为),2()1,21()31,(+∞⋃⋃-∞。
解法二:原不等式等价于0)2)(13()1)(12(>----x x x x0)2()13)(1)(12(>-⋅---⇔x x x x用“穿根法”∴原不等式解集为),2()1,21()31,(+∞⋂⋃-∞例3解法一:原不等式⎪⎩⎪⎨⎧+<-<-⎪⎩⎪⎨⎧+<-≥-⇔240424042222x x x x x x 或 即⎩⎨⎧>-<<<-⎩⎨⎧<<--≤≥1222222x x x x x x x 或或或∴32<≤x 或21<<x故原不等式的解集为{}31<<x x .解法二:原不等式等价于 24)2(2+<-<+-x x x即⎪⎩⎪⎨⎧+->-+<-)2(42422x x x x ∴312132<<⎩⎨⎧-<><<-x x x x 故或. 例4解法一:原不等式等价下面两个不等式级的并集:⎪⎩⎪⎨⎧>-+<+-0412,05622x x x x 或⎪⎩⎪⎨⎧<-+>+-0412,05622x x x x ⎩⎨⎧<-+<--⇔;0)6)(2(,0)5)(1(x x x x 或⎩⎨⎧>-+>--;0)6)(2(,0)5)(1(x x x x;⎩⎨⎧<<-<<⇔62,51x x 或⎩⎨⎧>-<><6,2,5,1x x x x 或或 ,51<<⇔x 或2-<x 或6>x .∴原不等式解集是}6512{><<-<x x x x ,或,或.解法二:原不等式化为0)6)(2()5)(1(>-+--x x x x .画数轴,找因式根,分区间,定符号.)6)(2()5)(1(-+--x x x x 符号∴原不等式解集是}6512{><<-<x x x x ,或,或.说明:解法一要注意求两个等价不等式组的解集是求每组两个不等式的交集,再求两组的解的并集,否则会产生误解. 解法二中,“定符号”是关键.当每个因式x 的系数为正值时,最右边区间一定是正值,其他各区间正负相间;也可以先决定含0的区间符号,其他各区间正负相间.在解题时要正确运用.例5 解:移项整理,将原不等式化为0)1)(3()1)(2(2>+-++-x x x x x . 由012>++x x 恒成立,知原不等式等价于0)1)(3()2(>+--x x x .解之,得原不等式的解集为}321{><<-x x x 或.说明:此题易出现去分母得)23(2222x x x x x -+<-+的错误解法.避免误解的方法是移项使一边为0再解.另外,在解题过程中,对出现的二项式要注意其是否有实根,以便分析不等式是否有解,从而使求解过程科学合理.例6解:当0=m 时,因03<-一定成立,故原不等式的解集为R . 当0≠m 时,原不等式化为0)1)(3(<-+mx mx ;当0>m 时,解得m x m 13<<-; 当0<m 时,解得mx m 31-<<.∴当0>m 时,原不等式的解集为⎭⎬⎫⎩⎨⎧<<-m x m x 13;当0<m 时,原不等式的解集为⎭⎬⎫⎩⎨⎧-<<m x mx31.说明:解不等式时,由于R m ∈,因此不能完全按一元二次不等式的解法求解.因为当0=m 时,原不等式化为03<-,此时不等式的解集为R ,所以解题时应分0=m 与0≠m 两种情况来讨论.在解出03222=-+mx x m 的两根为m x 31-=,m x 12=后,认为m m 13<-,这也是易出现的错误之处.这时也应分情况来讨论:当0>m 时,mm 13<-;当0<m 时,m m 13>-.例7解:原不等式⎪⎩⎪⎨⎧->-≥->-⇔;)1(2,01,02)1(222x a ax x a ax 或⎩⎨⎧<-≥-.01,02)2(2x a x由0>a ,得:⎪⎪⎩⎪⎪⎨⎧<+++-≤>⇔;01)1(2,1,2)1(22a x a x x a x ⎪⎩⎪⎨⎧>≥⇔.1,2)2(x a x由判别式08)1(4)1(422>=+-+=∆a a a ,故不等式01)1(222<+++-a x a x 的解是a a x a a 2121++<<-+.当20≤<a 时,1212≤-+≤a a a,121>++a a ,不等式组(1)的解是121≤<-+x a a ,不等式组(2)的解是1>x .当2>a 时,不等式组(1)无解,(2)的解是2a x ≥. 综上可知,当20≤<a 时,原不等式的解集是[)+∞-+,21a a ;当2>a 时,原不等式的解集是⎪⎭⎫⎢⎣⎡+∞,2a .说明:本题分类讨论标准“20≤<a ,2>a ”是依据“已知0>a 及(1)中‘2ax >,1≤x ’,(2)中‘2ax ≥,1>x ’”确定的.解含有参数的不等式是不等式问题中的难点,也是近几年高考的热点.一般地,分类讨论标准(解不等式)大多数情况下依“不等式组中的各不等式的解所对应的区间的端点”去确定.本题易误把原不等式等价于不等式)1(22x a ax ->-.纠正错误的办法是熟练掌握无理不等式基本类型的解法.例8解答:去掉绝对值号得3310432<--<-x x ,∴原不等式等价于不等式组⇒⎪⎩⎪⎨⎧<-->-⇒⎪⎩⎪⎨⎧<----<-06104010433104310432222x x x x x x x x ⎪⎪⎩⎪⎪⎨⎧<<-><⇒⎩⎨⎧<+->-.321,2500)12)(3(20)52(2x x x x x x x 或 ∴原不等式的解集为⎭⎬⎫⎩⎨⎧<<<<-325021x x x 或.说明:解含绝对值的不等式,关键是要把它化为不含绝对值的不等式,然后把不等式等价转化为不等式组,变成求不等式组的解. 例9解:原不等式可化为0))((2>--a x a x .(1)当2a a <(即1>a 或0<a )时,不等式的解集为:{}2a x a x x ><或;(2)当2a a >(即10<<a )时,不等式的解集为:{}a x a x x><或2;(3)当2a a =(即0=a 或1)时,不等式的解集为:{}a x R x x≠∈且.说明:对参数进行的讨论,是根据解题的需要而自然引出的,并非一开始就对参数加以分类、讨论.比如本题,为求不等式的解,需先求出方程的根a x =1,22a x =,因此不等式的解就是x 小于小根或x 大于大根.但a 与2a 两根的大小不能确定,因此需要讨论2a a <,2a a >,2a a =三种情况.例10解:(解法1)由题可判断出α,β是方程02=++c bx ax 的两根,∴a b -=β+α,ac=β⋅α. 又02>++c bx ax 的解集是{}β<<αx x ,说明0<a .而0>α,0>β000<⇒>⇒>αβ⇒c a c, ∴0022<++⇔>++cax c b x a bx cx .⎪⎪⎩⎪⎪⎨⎧--==--=+-=⇒⎪⎪⎩⎪⎪⎨⎧=⋅-=+),1)(1(1,11βααββααββαβαβαa c c b a c ab ∴02<++cax c b x ,即0)1)(1()11(2<β-α-+β-α-+x x ,即0)1)(1(<β-α-x x .又β<α<0,∴β>α11,∴0)1)(1(<β-α-x x 的解集为⎭⎬⎫⎩⎨⎧α<<β11x x . (解法2)由题意可判断出α,β是方程02=++c bx ax 的两根,∴ac=β⋅α. 又02>++c bx ax 的解集是{}β<<αx x ,说明0<a . 而0>α,0>β000<⇒>⇒>αβ⇒c ac. 对方程02=++a bx cx 两边同除以2x 得0)1()1(2=+⋅+⋅c x b x a .令xt 1=,该方程即为02=++c t b t a ,它的两根为α=1t ,β=2t ,∴α=11x ,β=21x .∴α=11x ,β=12x ,∴方程02=++a bx cx 的两根为α1,β1. ∵β<α<0,∴β>α11. ∴不等式02>++a bx cx 的解集是⎭⎬⎫⎩⎨⎧α<<β11x x. 说明:(1)万变不离其宗,解不等式的核心即是确定首项系数的正负,求出相应的方程的根;(2)结合使用韦达定理,本题中只有α,β是已知量,故所求不等式解集也用α,β表示,不等式系数a ,b ,c 的关系也用α,β表示出来;(3)注意解法2中用“变换”的方法求方程的根.例12解:∵043)21(122>++=++x x x , 043)21(122>+-=+-x x x ,∴原不等式化为0)()2(2>-++--+b a x b a x b a .依题意⎪⎪⎪⎩⎪⎪⎪⎨⎧=-++=-+->-+34231202b a b a b a ba b a , ∴⎪⎪⎩⎪⎪⎨⎧==2325b a . 说明:解有关一元二次方程的不等式,要注意判断二次项系数的符号,结合韦达定理来解.例13解法一:设022=-+bx ax 的两根为1x ,2x ,由韦达定理得:⎪⎪⎩⎪⎪⎨⎧-=⋅-=+a x x ab x x 22121 由题意:⎪⎪⎩⎪⎪⎨⎧⨯-=-+-=-21221aa b∴1=a ,1-=b ,此时满足0>a ,0)2(42>-⨯-=∆a b . 解法二:构造解集为{}21<<-x x 的一元二次不等式:0)2)(1(<-+x x ,即022<--x x ,此不等式与原不等式022<-+bx ax 应为同解不等式,故需满足:2211--=-=b a ∴1=a ,1-=b . 说明:本题考查一元二次方程、一元二次不等式解集的关系,同时还考查逆向思维的能力.对有关字母抽象问题,同学往往掌握得不好. 例14解:分以下情况讨论(1)当0=a 时,原不等式变为:01<+-x ,∴1>x (2)当0≠a 时,原不等式变为:0)1)(1(<--x ax ①①当0<a 时,①式变为0)1)(1(>--x a x ,∴不等式的解为1>x 或a x 1<.②当0>a 时,①式变为0)1)(1(<--x ax . ②∵a a a -=-111,∴当10<<a 时,11>a ,此时②的解为ax 11<<.当1=a 时,11=a ,此时②的解为11<<x a. 说明:解本题要注意分类讨论思想的运用,关键是要找到分类的标准,就本题来说有三级分类:⎪⎪⎪⎩⎪⎪⎪⎨⎧⎪⎪⎩⎪⎪⎨⎧⎪⎩⎪⎨⎧>=<<><≠=∈11100000a a a a a a a R a 分类应做到使所给参数a 的集合的并集为全集,交集为空集,要做到不重不漏.另外,解本题还要注意在讨论0<a 时,解一元二次不等式01)1(2<++-x a ax 应首选做到将二次项系数变为正数再求解.例15解:原不等式等价于下面两个不等式组:①⎩⎨⎧≥--<-0103082x x x ②⎪⎩⎪⎨⎧->--≥--≥-222)8(103010308x x x x x x由①得⎩⎨⎧-≤≥>258x x x 或,∴8>x 由②得∴⎪⎪⎩⎪⎪⎨⎧>-≤≥≤.1374258x x x x 或 81374≤<x ,所以原不等式的解集为⎭⎬⎫⎩⎨⎧>≤<881374x x x 或,即为⎭⎬⎫⎩⎨⎧>1374x x . 说明:本题也可以转化为)()(x g x f ≤型的不等式求解,注意:⎪⎩⎪⎨⎧≤≥≥⇔≤2)]([)(0)(0)()()(x g x f x g x f x g x f , 这里,设全集}52{}0103{2≥-≤=≥--=x x x x x x U 或,⎭⎬⎫⎩⎨⎧-≤--=x x x x A 81032,则所求不等式的解集为A 的补集A ,由2)8(10301030881032222-≤⇒⎪⎩⎪⎨⎧-≤--≥--≥-⇔-≤--x x x x x x x x x x 或13745≤≤x .即⎭⎬⎫⎩⎨⎧≤≤≤=137452x x x A 或,∴原不等式的解集是⎭⎬⎫⎩⎨⎧>=1374x x A .。