不等式经典题型专题练习(含答案)-
- 格式:doc
- 大小:101.50 KB
- 文档页数:10
不等式专题训练一.选择题(共9小题)1.当1≤x≤2时,ax+2>0,则a的取值范围是( )A.a>﹣1B.a>﹣2C.a>0D.a>﹣1且a≠0 2.下列说法不一定成立的是( )A.若a>b,则a+c>b+c B.若a+c>b+c,则a>bC.若a>b,则ac2>bc2D.若ac2>bc2,则a>b3.如果不等式组恰有3个整数解,则a的取值范围是( )A.a≤﹣1B.a<﹣1C.﹣2≤a<﹣1D.﹣2<a≤﹣1 4.已知x=2是不等式(x﹣5)(ax﹣3a+2)≤0的解,且x=1不是这个不等式的解,则实数a的取值范围是( )A.a>1B.a≤2C.1<a≤2D.1≤a≤25.已知关于x的不等式组恰有3个整数解,则a的取值范围是( )A.B.C.D.6.关于x的不等式x﹣b>0恰有两个负整数解,则b的取值范围是( )A.﹣3<b<﹣2B.﹣3<b≤﹣2C.﹣3≤b≤﹣2D.﹣3≤b<﹣2 7.若x>y,则下列式子中错误的是( )A.x﹣3>y﹣3B.x+3>y+3C.﹣3x>﹣3y D.>8.关于x的不等式组的解集为x>1,则a的取值范围是( )A.a>1B.a<1C.a≥1D.a≤19.不等式组的解集是x>1,则m的取值范围是( )A.m≥1B.m≤1C.m≥0D.m≤0二.填空题(共4小题)10.若不等式组恰有两个整数解.则实数a的取值范围是 .11.若不等式组有解,则a的取值范围是 .12.不等式(m﹣2)x>2﹣m的解集为x<﹣1,则m的取值范围是 .13.按下面程序计算,若开始输入x的值为正数,最后输出的结果为656,则满足条件所有x的值是 .三.解答题(共5小题)14.已知关于x,y的方程组的解满足不等式组,求满足条件的m的整数值.15.已知x=3是关于x的不等式的解,求a的取值范围.16.解不等式:≤﹣1,并把解集表示在数轴上.17.某商店需要购进甲、乙两种商品共160件,其进价和售价如下表:甲乙进价(元/件)1535售价(元/件)2045(1)若商店计划销售完这批商品后能获利1100元,问甲、乙两种商品应分别购进多少件?(2)若商店计划投入资金少于4300元,且销售完这批商品后获利多于1260元,请问有哪几种购货方案?并直接写出其中获利最大的购货方案.18.某中学为了绿化校园,计划购买一批榕树和香樟树,经市场调查榕树的单价比香樟树少20元,购买3棵榕树和2棵香樟树共需340元.(1)请问榕树和香樟树的单价各多少?(2)根据学校实际情况,需购买两种树苗共150棵,总费用不超过10840元,且购买香樟树的棵数不少于榕树的1.5倍,请你算算,该校本次购买榕树和香樟树共有哪几种方案.不等式专题练习参考答案与试题解析一.选择题(共9小题)1.当1≤x≤2时,ax+2>0,则a的取值范围是( )A.a>﹣1B.a>﹣2C.a>0D.a>﹣1且a≠0【考点】C2:不等式的性质.【分析】当x=1时,a+2>0;当x=2,2a+2>0,解两个不等式,得到a的范围,最后综合得到a的取值范围.【解答】解:当x=1时,a+2>0解得:a>﹣2;当x=2,2a+2>0,解得:a>﹣1,∴a的取值范围为:a>﹣1.2.下列说法不一定成立的是( )A.若a>b,则a+c>b+c B.若a+c>b+c,则a>bC.若a>b,则ac2>bc2D.若ac2>bc2,则a>b【考点】C2:不等式的性质.【分析】根据不等式的性质进行判断.【解答】解:A、在不等式a>b的两边同时加上c,不等式仍成立,即a+c>b+c,不符合题意;B、在不等式a+c>b+c的两边同时减去c,不等式仍成立,即a>b,不符合题意;C、当c=0时,若a>b,则不等式ac2>bc2不成立,符合题意;D、在不等式ac2>bc2的两边同时除以不为0的c2,该不等式仍成立,即a>b,不符合题意.故选:C.3.如果不等式组恰有3个整数解,则a的取值范围是( )A.a≤﹣1B.a<﹣1C.﹣2≤a<﹣1D.﹣2<a≤﹣1【考点】CC:一元一次不等式组的整数解.【分析】首先根据不等式组得出不等式组的解集为a<x<2,再由恰好有3个整数解可得a的取值范围.【解答】解:如图,由图象可知:不等式组恰有3个整数解,需要满足条件:﹣2≤a<﹣1.故选:C.4.已知x=2是不等式(x﹣5)(ax﹣3a+2)≤0的解,且x=1不是这个不等式的解,则实数a的取值范围是( )A.a>1B.a≤2C.1<a≤2D.1≤a≤2【考点】C3:不等式的解集.【分析】根据x=2是不等式(x﹣5)(ax﹣3a+2)≤0的解,且x=1不是这个不等式的解,列出不等式,求出解集,即可解答.【解答】解:∵x=2是不等式(x﹣5)(ax﹣3a+2)≤0的解,∴(2﹣5)(2a﹣3a+2)≤0,解得:a≤2,∵x=1不是这个不等式的解,∴(1﹣5)(a﹣3a+2)>0,解得:a>1,∴1<a≤2,故选:C.5.已知关于x的不等式组恰有3个整数解,则a的取值范围是( )A.B.C.D.【考点】CC:一元一次不等式组的整数解.【分析】先求出不等式组的解集(含字母a),因为不等式组有3个整数解,可逆推出a的值.【解答】解:由于不等式组有解,则,必定有整数解0,∵,∴三个整数解不可能是﹣2,﹣1,0.若三个整数解为﹣1,0,1,则不等式组无解;若三个整数解为0,1,2,则;解得.故选:B.6.关于x的不等式x﹣b>0恰有两个负整数解,则b的取值范围是( )A.﹣3<b<﹣2B.﹣3<b≤﹣2C.﹣3≤b≤﹣2D.﹣3≤b<﹣2【考点】C7:一元一次不等式的整数解.【分析】表示出已知不等式的解集,根据负整数解只有﹣1,﹣2,确定出b的范围即可.【解答】解:不等式x﹣b>0,解得:x>b,∵不等式的负整数解只有两个负整数解,∴﹣3≤b<﹣2故选:D.7.若x>y,则下列式子中错误的是( )A.x﹣3>y﹣3B.x+3>y+3C.﹣3x>﹣3y D.>【考点】C2:不等式的性质.【分析】根据不等式的性质:不等式两边加(或减)同一个数(或式子),不等号的方向不变;不等式两边乘(或除以)同一个正数,不等号的方向不变;不等式两边乘(或除以)同一个负数,不等号的方向改变.可得答案.【解答】解:A、不等式的两边都减3,不等号的方向不变,故A正确;B、不等式的两边都加3,不等号方向不变,故B正确;C、不等式的两边都乘﹣3,不等号的方向改变,故C错误;D、不等式的两边都除以3,不等号的方向改变,故D正确;故选:C.8.关于x的不等式组的解集为x>1,则a的取值范围是( )A.a>1B.a<1C.a≥1D.a≤1【考点】C3:不等式的解集.【分析】解两个不等式后,根据其解集得出关于a的不等式,解答即可.【解答】解:因为不等式组的解集为x>1,所以可得a≤1,故选:D.9.不等式组的解集是x>1,则m的取值范围是( )A.m≥1B.m≤1C.m≥0D.m≤0【考点】C3:不等式的解集.【分析】表示出不等式组中两不等式的解集,根据已知不等式组的解集确定出m的范围即可.【解答】解:不等式整理得:,由不等式组的解集为x>1,得到m+1≤1,解得:m≤0,故选:D.二.填空题(共4小题)10.若不等式组恰有两个整数解.则实数a的取值范围是 <a≤1.【考点】CC:一元一次不等式组的整数解.【分析】求出每个不等式的解集,根据找不等式组解集的规律找出不等式组的解集,根据已知不等式组有两个整数解得出不等式组1<2a≤2,求出不等式组的解集即可.【解答】解:,∵解不等式①得:x>﹣,解不等式②得:x<2a,∴不等式组的解集为﹣<x<2a,∵不等式组有两个整数解,∴1<2a≤2,∴<a≤1,故答案为:<a≤1.11.若不等式组有解,则a的取值范围是 a>﹣1.【考点】C3:不等式的解集.【分析】先解出不等式组的解集,根据已知不等式组有解,即可求出a的取值范围.【解答】解:∵由①得x≥﹣a,由②得x<1,故其解集为﹣a≤x<1,∴﹣a<1,即a>﹣1,∴a的取值范围是a>﹣1.故答案为:a>﹣1.12.不等式(m﹣2)x>2﹣m的解集为x<﹣1,则m的取值范围是 m<2.【考点】C3:不等式的解集.【分析】根据不等式的性质3,不等式的两边同乘或除以同一个负数,不等号的方向改变,可得答案.【解答】解:不等式(m﹣2)x>2﹣m的解集为x<﹣1,∴m﹣2<0,m<2,故答案为:m<2.13.按下面程序计算,若开始输入x的值为正数,最后输出的结果为656,则满足条件所有x的值是 131或26或5或.【考点】CE:一元一次不等式组的应用.【分析】利用逆向思维来做,分析第一个数就是直接输出656,可得方程5x+1=656,解方程即可求得第一个数,再求得输出为这个数的第二个数,以此类推即可求得所有答案.【解答】解:我们用逆向思维来做:第一个数就是直接输出其结果的:5x+1=656,解得:x=131;第二个数是(5x+1)×5+1=656,解得:x=26;同理:可求出第三个数是5;第四个数是,∴满足条件所有x的值是131或26或5或.故答案为:131或26或5或.三.解答题(共5小题)14.已知关于x,y的方程组的解满足不等式组,求满足条件的m的整数值.【考点】97:二元一次方程组的解;CC:一元一次不等式组的整数解.【分析】首先根据方程组可得,再解不等式组,确定出整数解即可.【解答】解:①+②得:3x+y=3m+4,②﹣①得:x+5y=m+4,∵不等式组,∴,解不等式组得:﹣4<m≤﹣,则m=﹣3,﹣2.15.已知x=3是关于x的不等式的解,求a的取值范围.【考点】C3:不等式的解集.【分析】方法1:先根据不等式,解此不等式,再对a分类讨论,即可求出a的取值范围.方法2:把x=3带入原不等式得到关于a的不等式,解不等式即可求出a的取值范围.【解答】解:方法1:解得(14﹣3a)x>6当a<,x>,又x=3是关于x的不等式的解,则<3,解得a<4;当a>,x<,又x=3是关于x的不等式的解,则>3,解得a<4(与所设条件不符,舍去).综上得a的取值范围是a<4.方法2:把x=3带入原不等式得:3×3﹣>,解得:a<4.故a的取值范围是a<4.16.解不等式:≤﹣1,并把解集表示在数轴上.【考点】C4:在数轴上表示不等式的解集;C6:解一元一次不等式.【分析】先去分母,再去括号,移项、合并同类项,把x的系数化为1即可.【解答】解:去分母得,4(2x﹣1)≤3(3x+2)﹣12,去括号得,8x﹣4≤9x+6﹣12,移项得,8x﹣9x≤6﹣12+4,合并同类项得,﹣x≤﹣2,把x的系数化为1得,x≥2.在数轴上表示为:.17.某商店需要购进甲、乙两种商品共160件,其进价和售价如下表:甲乙进价(元/件)1535售价(元/件)2045(1)若商店计划销售完这批商品后能获利1100元,问甲、乙两种商品应分别购进多少件?(2)若商店计划投入资金少于4300元,且销售完这批商品后获利多于1260元,请问有哪几种购货方案?并直接写出其中获利最大的购货方案.【考点】9A:二元一次方程组的应用;CE:一元一次不等式组的应用.【分析】(1)等量关系为:甲件数+乙件数=160;甲总利润+乙总利润=1100.(2)设出所需未知数,甲进价×甲数量+乙进价×乙数量<4300;甲总利润+乙总利润>1260.【解答】解:(1)设甲种商品应购进x件,乙种商品应购进y件.根据题意得:.解得:.答:甲种商品购进100件,乙种商品购进60件.(2)设甲种商品购进a件,则乙种商品购进(160﹣a)件.根据题意得.解不等式组,得65<a<68.∵a为非负整数,∴a取66,67.∴160﹣a相应取94,93.方案一:甲种商品购进66件,乙种商品购进94件.方案二:甲种商品购进67件,乙种商品购进93件.答:有两种购货方案,其中获利最大的是方案一.18.某中学为了绿化校园,计划购买一批榕树和香樟树,经市场调查榕树的单价比香樟树少20元,购买3棵榕树和2棵香樟树共需340元.(1)请问榕树和香樟树的单价各多少?(2)根据学校实际情况,需购买两种树苗共150棵,总费用不超过10840元,且购买香樟树的棵数不少于榕树的1.5倍,请你算算,该校本次购买榕树和香樟树共有哪几种方案.【考点】9A:二元一次方程组的应用;CE:一元一次不等式组的应用.【分析】(1)设榕树的单价为x元/棵,香樟树的单价是y元/棵,然后根据单价之间的关系和340元两个等量关系列出二元一次方程组,求解即可;(2)设购买榕树a棵,则香樟树为(150﹣a)棵,然后根据总费用和两种树的棵数关系列出不等式组,求出a的取值范围,在根据a是正整数确定出购买方案.【解答】解:(1)设榕树的单价为x元/棵,香樟树的单价是y元/棵,根据题意得,,解得,答:榕树和香樟树的单价分别是60元/棵,80元/棵;(2)设购买榕树a棵,则购买香樟树为(150﹣a)棵,根据题意得,,解不等式①得,a≥58,解不等式②得,a≤60,所以,不等式组的解集是58≤a≤60,∵a只能取正整数,∴a=58、59、60,因此有3种购买方案:方案一:购买榕树58棵,香樟树92棵,方案二:购买榕树59棵,香樟树91棵,方案三:购买榕树60棵,香樟树90棵.。
不等式练习考点一:一元二次不等式的解法1 •不等式X2—2X—3C0的解集是()A. (_3,1)B. (-1,3)C. (",_1 切(3,咼)D.(, 一3切(1, +处)2•不等式2x2—x—1 A0的解集是()1八1A. (——,1) B • (1 , +R)2C . (-°o,12 (2,畑)D• (-°0,-一2 (3*°)23 •不等式x(x—1)v0的解集是()A. {x|x<0}B. {x|xc1}C. {x|0cxc1} D . {x|x c0 或x>1}4 •已知集合A={x|0cxc2}, B={x|(x_1)(x+1)>0},则 B =()A. (0,1) B . (1,2) C. (",-1)U(0,邑) D•(严-1)U(1S5 .已知集合A = {x乏R2x-3^0},集合B ={x^ R2x—3x + 2c0},则A"B =()f (A) x x迢f(B) x31Ex c2》(C){ x 1 £X < 2}f(D) i31£X£2I2J2J I2J 6•不等式x(x-2)^0的解集是()A. [0,2) B • [0,2] C. (-::,0]IJ[2,二)D • (-::,0) U (2,)7 •设集合A = {x|x>l},B ={x|x(x—2) <0},则B 等于( )A. {x|x>2} B • {x|0c x c2} C. {x| 1<x<2} D • {x|0cx£l}考点二:含绝对值不等式的解法28•不等式x -2 <2的解集是( )(A)-1,1 (B) -2,2 (0 -1,0 U 0,1 ( D) -2,0 u 0,29 •不等式丨2-x|> 1的解集是A、{x | 1 < x< 3}B、{x | x< 1 或x> 3}C、{ x | x< 1}D、{x | x >3}10 •不等式|x -1|:::2的解集为( )A. ^x| -V x < 3B. ^x|x 3C.「x|x::—1D.1x|x :T或x - 3^11 • 7.不等式3-2x^5的解集是()A. {x x 兰一1}B. {x —1 兰x 兰4}C. {x x 兰一1或x>4}D. {x x Z 4}12 •不等式x2-x c2的解集为()考点三:利用均值不等式求函数的最值113 •若a 一1,则a 的取值范围是()a +1A. [1, ::)B. [2, ::)C • [-2,2] D • [-2,0)(0,2]414.若x 0,则函数y =3x 有()xA.最大值2 3B.最小值2 3115 .若x 1,则X —1 • -------- 的最小值是A. -2x -1B. 14x 的最小值是(x16. 若x 0,则J*A.2B.3 C. 2.2 D.41x17. 已知x t求x _1的最小值A. 1B.2C. 3D. 4C.最大值4 3 D.最小值4 3)C. 2D. 3)(A) -1,2(B)一1,1(C)一2,1(D)-2,2参考答案1. B【解析】试题分析:由x2-2x -3 :::0:二(x -3)(x • 1) :::0= -1 :::x :::3 ,所以不等式2x -2x-3:::0 的解集为(-1,3),故选B.考点:1. 一元二次不等式.2. D.【解析】1试题分析:将不等式2x2 -x-1・0化简为:2(x -1)(x ) • 0 ,根据一元二次不等式与21 2二次函数的关系知,x 1或x ,即不等式2x2-x-1・0的解集是2—1 - -(-〜)(1, ■-).2考点:一元二次不等式的解法.3. C【解析】试题分析:画出x(x -1) ::: 0对应二次函数的草图,如下图所示,是开口方向向上,与x轴的交点分别是x=0,x=1,应用口诀“小于取中间”写出解集,所以x(x-1):::0的解集为:x |0 ::x : 1 ?。
初一不等式难题,经典题训练(附答案)1. 已知不等式3x-a ≤0的正整数解恰好是1,2,3,则a 的取值范围是_______ 2. 已知关于x 的不等式组0521x a x ->⎧⎨-≥-⎩无解,则a 的取值范围是_________3. 若关于x 的不等式(a-1)x-2a +2>0的解集为x<2,则a 的值为( )A 0B 2C 0或2D -1 4. 若不等式组220x a b x ->⎧⎨->⎩的解集为11x -<<,则2006()a b +=_________5. 已知关于x 的不等式组的解集41320x xx a +⎧>+⎪⎨⎪+<⎩为x<2,那么a 的取值范围是_________6. 若方程组的解满足4143x y k x y +=+⎧⎨+=⎩条件01x y <+<,则k 的取值范围是( )A. 41k -<<B. 40k -<<C. 09k <<D. 4k >- 7. 不等式组9511x x x m +<+⎧⎨>+⎩的解集是2x >,则m 的取值范围是( )A. 2m ≤B. 2m ≥C. 1m ≤D. 1m f 8.不等式()()20x xx +-<的解集是_________9.当a>3时,不等式ax+2<3x+b 的解集是,则b=______10.已知a,b 为常数,若ax+b>0的解集是13x <,则的0bx a -<解集是( ) A. 3x >- B 3x <- C. 3x > D. 3x <11.如果关于x 的不等式组的整7060x m x n -≥⎧⎨-⎩p 数解仅为1,2,3,那么适合不等式组的整数(m,n)对共有( )对A 49B 42C 36D 13 12.已知非负数x,y,z 满足123234x y z ---==,设345x y z ω=++,求的ω最大值与最小值12.不等式A 卷1.不等式2(x + 1) -12732-≤-xx 的解集为_____________。
基本不等式题型练习含答案题目1:解不等式2x + 5 > 9。
解答1: 2x + 5 > 9 首先,将不等式两边都减去5。
2x > 4 然后,将不等式两边都除以2。
x > 2 所以,不等式的解集为x > 2。
题目2:解不等式3 - 2x ≤ 7。
解答2: 3 - 2x ≤ 7 首先,将不等式两边都减去3。
-2x ≤ 4 然后,将不等式两边都除以-2。
注意,因为除以负数会改变不等号的方向,所以需要将不等号反转。
x ≥ -2 所以,不等式的解集为x ≥ -2。
题目3:解不等式4x + 3 < 19。
解答3: 4x + 3 < 19 首先,将不等式两边都减去3。
4x < 16 然后,将不等式两边都除以4。
x < 4 所以,不等式的解集为x < 4。
题目4:解不等式5 - 3x > 8。
解答4: 5 - 3x > 8 首先,将不等式两边都减去5。
-3x > 3 然后,将不等式两边都除以-3。
注意,因为除以负数会改变不等号的方向,所以需要将不等号反转。
x < -1 所以,不等式的解集为x < -1。
题目5:解不等式2x - 1 ≤ 5x + 3。
解答5: 2x - 1 ≤ 5x + 3 首先,将不等式两边都减去2x。
-1 ≤ 3x + 3 然后,将不等式两边都减去3。
-4 ≤ 3x 最后,将不等式两边都除以3。
-4/3 ≤ x 所以,不等式的解集为x ≥ -4/3。
题目6:解不等式4 - 2x ≥ 10 - 3x。
解答6: 4 - 2x ≥ 10 - 3x 首先,将不等式两边都加上3x。
4 + x ≥ 10 然后,将不等式两边都减去4。
x ≥ 6 所以,不等式的解集为x ≥ 6。
题目7:解不等式2(3x + 1) > 4x + 6。
解答7: 2(3x + 1) > 4x + 6 首先,将不等式两边都展开。
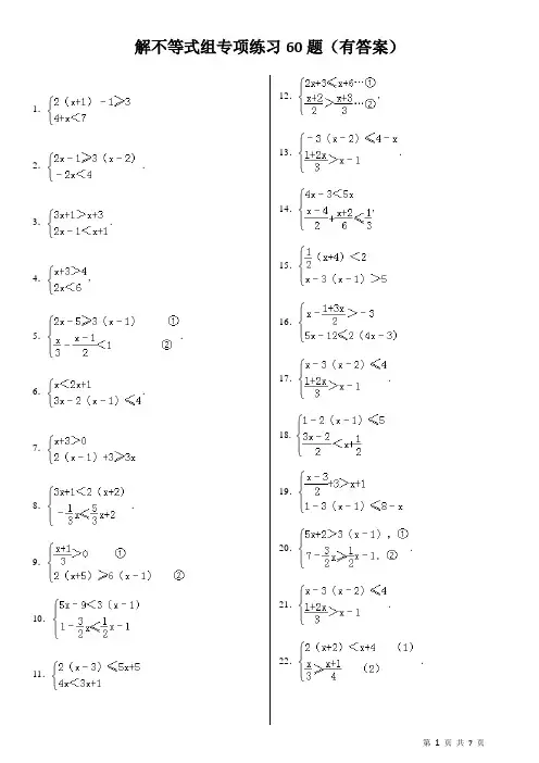
解不等式组专项练习60题(有答案)1.2..3..4.,5..6..7.8..9.10.11.12.,13..14.,15.16.17..18.19.20..21..22..23.24.25.,.26.27.,28.29..30.已知:2a﹣3x+1=0,3b﹣2x﹣16=0,且a≤4<b,求x的取值范围.31..32..33.已知:a=,b=,并且2b ≤<a.请求出x的取值范围.34.35.,36.,并将其解集在数轴上表示出来.37..38.,并把解集在数轴上表示出来.39.已知关于x、y 的方程组的解满足x>y >0,化简|a|+|3﹣a|.40.,并把它的解集在数轴上表示出来.41.42.43..44..45..46..47.关于x、y 的二元一次方程组,当m为何值时,x>0,y≤0.48.并将解集表示在数轴上.49.已知关于x、y 的方程组的解是一对正数,求m的取值范围.50.已知方程组的解满足,化简.51..52.53..54..55..56.57.58.59.60.解不等式组60题参考答案:1、解:,由①得2x≥2,即x≥1;由②得x<3;故不等式组的解集为:1≤x<3.2.解:,由①得:x≤5,由②得:x>﹣2,不等式组的解集为﹣2<x≤53.解:解不等式①,得x>1.解不等式②,得x<2.故不等式组的解集为:1<x<2.4.解:,解不等式①得,x>1,解不等式②得,x<3,故不等式的解集为:1<x<3,5.解不等式①,得x≤﹣2,解不等式②,得x>﹣3,故原不等式组的解集为﹣3<x≤﹣2,6.解:,解不等式①得:x>﹣1,解不等式②得:x≤2,不等式组的解集为:﹣1<x≤2,7.解:,由①得x>﹣3;由②得x≤1故此不等式组的解集为:﹣3<x≤1,8.解:解不等式①,得x<3,解不等式②,得x≥﹣1.所以原不等式的解集为﹣1≤x<3.9.解:∵由①得,x>﹣1;由②得,x≤4,∴此不等式组的解集为:﹣1<x≤4,10.解:,解不等式①得:x<3,解不等式②得:x≥1,不等式组的解集是1≤x<3 11.解:,由①得,x≥﹣;由②得,x<1,故此不等式组的解集为:﹣<x<1,12.解:∵由①得,x≤3,由②得x>0,∴此不等式组的解集为:0<x≤3,13.解:解不等式①,得x≥1;解不等式②,得x<4.∴1≤x<4.14.解:原不等式组可化为,解不等式①得x>﹣3;解不等式②得x≤3.所以-3<x≤3 15.解:由(1)得:x+4<4,x<0由(2)得:x﹣3x+3>5,x<﹣1∴不等式组解集是:x<﹣116.解:,解不等式(1),得x<5,解不等式(2),得x≥﹣2,因此,原不等式组的解集为﹣2≤x<5.17.解:由①得:去括号得,x﹣3x+6≤4,移项、合并同类项得,﹣2x≤﹣2,化系数为1得,x≥1.由②得:去分母得,1+2x>3x﹣3,移项、合并同类项得,﹣x>﹣4,化系数为1得,x<4 ∴原不等式组的解集为:1≤x<4.18.解:解不等式①,得x≥﹣1,解不等式②,得x<3,∴原不等式组的解集为﹣1≤x<3.19.解:解不等式(1)得x<1解不等式(2)得x≥﹣2所以不等式组的解集为﹣2≤x<1.20.解:解不等式①,得x>﹣.解不等式②,得x≤4.所以,不等式组的解集是﹣<x≤4.21.解:①的解集为x≥1②的解集为x<4原不等式的解集为1≤x<4.22.解:解不等式(1),得2x+4<x+4,x<0,不等式(2),得4x≥3x+3,x≥3.∴原不等式无解.23.解:解不等式2x+5≤3(x+2),得x≥﹣1解不等式x﹣1<x,得x<3.所以,原不等式组的解集是﹣1≤x<3.24.解:解不等式①,得x≥﹣1,解不等式②,得x<3,∴原不等式组的解是﹣1≤x<3.25.解:由题意,解不等式①,得x<2,解不等式②,得x≥﹣1,∴不等式组的解集是﹣1≤x<2.26.:由不等式①得:x≥0由不等式②得:x<4原不等式组的解集为0≤x<427.解:由不等式①得:2x≤8,x≤4.由不等式②得:5x﹣2+2>2x,3x>0,x>0.∴原不等式组的解集为:0<x≤4.28.解:解不等式①,得x≤﹣1,解不等式②,得x>﹣2,所以不等式组的解集为﹣2<x≤﹣1.29.解:解不等式①,得x≤2.解不等式②,得x>﹣3.所以原不等式组的解集为x≤2.30. 解:由2a﹣3x+1=0,3b﹣2x﹣16=0,可得a=,b=,∵a≤4<b,∴,由(1),得x≤3.由(2),得x>﹣2.∴x的取值范围是﹣2<x≤3.31.解:由①得:x≤2.由②得:x>﹣1.∴不等式组的解集为﹣1<x≤2.32.解:解不等式①,得x>;解不等式②,得x≤4.∴不等式的解集是<x≤4.33.解:把a,b代入得:2×.化简得:6x﹣21≤15<2x+8.解集为:3.5<x≤6.34.解:解不等式①,得x≤2.5,解不等式②,得x>﹣1,解不等式③,得x≤2,所以这个不等式组的解集是﹣1<x≤2.35.解:解不等式①,得x≥﹣1.解不等式②,得x<2.所以不等式组的解集是﹣1≤x<2.36.解:由①,得x<2.由②,得x≥﹣1.∴这个不等式组的解集为﹣1≤x<2.37.解:由①得:x>﹣1由②得:x所以解集为﹣1<x.38.解:由①得:﹣2x≥﹣2,即x≤1,由②得:4x﹣2<5x+5,即x>﹣7,所以﹣7<x≤1.在数轴上表示为:39.解:由方程组,解得.由x>y>0,得.解得a>2当2<a≤3时,|a|+|3﹣a|=a+3﹣a=3;当a>3时,|a|+|3﹣a|=a+a﹣3=2a﹣3.40.解:由(1)得x<8由(2)得,x≥4故原不等式组的解集为4≤x<8.41.解:由①得2x<6,即x<3,由②得x+8>﹣3x,即x>﹣2,所以解集为﹣2<x<3.42.解:(1)去括号得,10﹣4x+12≥2x﹣2,移项、合并同类项得,﹣6x≥﹣24,解得,x≤4;(2)去分母得,3(x﹣1)>1﹣2x,去括号得,3x﹣3>1﹣2x,移项、合并同类项得,5x>4,化系数为1得,x >.∴不等式组的解集为:<x≤4.43.解:解第一个不等式得:x <;解第二个不等式得:x≥﹣12.故不等式组的解集是:﹣12≤x <.44.解:原方程组可化为:,由(1)得,x<﹣3由(2)得,x≥﹣4根据“小大大小中间找”原则,不等式组的解集为﹣4≤x<﹣3.45.由①得:x<2,由②得:x≥﹣1∴﹣1≤x<2.46.整理不等式组得解之得,x>﹣2,x≤1∴﹣2<x≤147.解:①+②×2得,7x=13m﹣3,即x=③,把③代入②得,2×+y=5m﹣3,解得,y=78-m9,因为x>0,y≤0,所以,解得<m≤9848. 解不等式①,得x ≤,解不等式②,得x≥﹣8.把不等式的解集在数轴上表示出来,如图:所以这个不等式组的解集为﹣8≤x≤.49.解:由题意可解得,解得,故<m<1350.解:由2x﹣2=5得x=,代入第一个方程得+2y=5a;则y=a﹣,由于y <0,则a<(1)当a <﹣2时,原式=﹣(a+2)﹣[﹣(a ﹣)]=﹣2;(2)当﹣2<a<时,原式=a+2﹣[﹣(a﹣)]=2a+;(3)当<a<时,原式=a+2﹣(a﹣)=2;851.解不等式(1)得:2﹣x﹣1≤2x+4 ﹣3x≤3 x≥﹣1解不等式(2),得:x2+x>x2+3x ﹣2x>0 x<0 ∴原不等式组的解集为:﹣1≤x<0.52.解不等式(1)得:x≥-1 解不等式(2),得:x<2 ∴原不等式组的解集为:﹣1≤x<2.53.解①得x<解②得x≥3,∴不等式组的解集为无解.54.解第一个不等式得x<8解第二个不等式得x≥2∴原不等式组的解集为:2≤x<8.55.解:由①得:1﹣2x+2≤5∴2x≥﹣2即x≥﹣1由②得:3x﹣2<2x+1∴x<3.∴原不等式组的解集为:﹣1≤x<3.56.解:原不等式可化为:即在数轴上可表示为:∴不等式的解集为:1≤x<357.解:,解不等式①,得x<3,解不等式②,得x≥﹣1,把不等式的解集在数轴上表示出来,如图所示.不等式组的解集是﹣1≤x<358.解:由题意,解不等式①得x>2,不等式②×2得x﹣2≤14﹣3x解得x≤4,∴原不等式组的解集为2<x≤4.59.解:解不等式①,得x<2.(2分)解不等式②,得x≥﹣1.(4分)所以,不等式组的解集是﹣1≤x<2.(5分)解集在数轴上表示为:60.解:由①,得x≥﹣,由②,得x<3,所以不等式组的解集为﹣≤x<3.。
完整版)解不等式组计算专项练习60题(有答案)1.解不等式组60题参考答案:1.解:由不等式①得2a-3x+1≥0,即x≤(2a+1)/3;由不等式②得3b-2x-16≥0,即x≤(3b-16)/2.又因为a≤4<b,所以2a+1≤9,3b-16≥8,所以x的取值范围为x≤3或x≥-11/2.2.解:由不等式①得x≤-1或x≥3;由不等式②得x≤4/3或x≥2.综合起来,x的取值范围为x≤-1或x≥3,或者4/3≤x≤2.3.解:由不等式①得x>(a+1)/2;由不等式②得x0,所以a/2>(a+1)/2,所以不等式组的解集为a/2<x<(a+1)/2.4.解:由不等式①得x≥1;由不等式②得x<3.所以不等式组的解集为1≤x<3.5.解:由不等式①得x≤-2;由不等式②得x>-3.所以不等式组的解集为-3<x≤-2.6.解:由不等式①得x>-1;由不等式②得x≤2.所以不等式组的解集为-1<x≤2.7.解:由不等式①得x≤-1;由不等式②得x≥-2.所以不等式组的解集为-2≤x≤-1.8.解:由不等式①得x>-3;由不等式②得x≤1.所以不等式组的解集为-3<x≤1.9.解:由不等式①得x>-1;由不等式②得x≤4.所以不等式组的解集为-1<x≤4.10.解:由不等式①得x-3.所以不等式组的解集为-3<x<2.11.解:由不等式①得x≥1;由不等式②得x<3.所以不等式组的解集为1≤x<3.1.由不等式组的①得x≥-1,由不等式组的②得 x<4,因此不等式组的解集为 -1≤x<4.2.由不等式①得x≤3,由不等式②得 x>0,因此不等式组的解集为0<x≤3.3.解不等式①得x≥1,解不等式②得 x<4,因此不等式组的解集为1≤x<4.4.原不等式组可化为:x+45,x<-1.因此不等式组的解集为-3<x≤3.5.解不等式①得 x<5,解不等式②得x≥-2,因此不等式组的解集为 -2≤x<5.6.解不等式①得x≥1,解不等式②得 x<4,因此不等式组的解集为1≤x<4.7.解不等式①得x≥-1,解不等式②得 x<3,因此不等式组的解集为 -1≤x<3.8.解不等式①得 x<1,解不等式②得x≥-2,因此不等式组的解集为 -2≤x<1.9.解不等式①得 x>-1,解不等式②得x≤4,因此不等式组的解集为 -1<x≤4.10.解不等式①得x≥1,解不等式②得 x<4,因此不等式组的解集为1≤x<4.11.解不等式①得 x>-1,解不等式②得x≤4,因此不等式组的解集为 -1<x≤4.12.解不等式组的①得-∞<x<1,因为②中的不等式没有解,所以不等式组的解集为 -∞<x<1.13.解不等式①得x≥1,解不等式②得 x<4,因此不等式组的解集为1≤x<4.14.原不等式组可化为:x>-3,x≤3.因此不等式组的解集为-3<x≤3.15.解不等式组的①得 x<1,因为②中的不等式没有解,所以不等式组的解集为 -∞<x<1.16.解不等式①得 x<2,解不等式②得x≥-1,因此不等式组的解集为 -1≤x<2.17.解不等式①得x≥1,解不等式②得1≤x<4,因此不等式组的解集为1≤x<4.18.解不等式①得x≥-1,解不等式②得 x<3,因此不等式组的解集为 -1≤x<3.19.解不等式①得 x<1,解不等式②得x≥-2,因此不等式组的解集为 -2≤x<1.20.解不等式①得 x>-1,解不等式②得x≤4,因此不等式组的解集为 -1<x≤4.21.不等式①的解集为x≥1,不等式②的解集为 x<4,因此原不等式的解集为1≤x<4.22.解不等式①得 x<0,解不等式②得x≥3,因此原不等式无解。
不等式专项练习一、单选题1.若函数221y ax ax =++的图像恒在直线2y =−上方,则实数a 的取值范围为( ) A .()0,3B .[)0,3C .()3,+∞D .{}()03,∞⋃+2.已知对于任意实数2,20x kx x k −+>恒成立,则实数k 的取值范围是( ) A .1k > B .11k −<< C .1k <−D .1k >−3.若实数a 、b 满足0a b >>,下列不等式中恒成立的是( )A .a b +>B .a b +<C .22ab +>D .22ab +<4.已知,R a b ∈,则“1a >或1b >”是“2a b +>”的( )条件. A .充分非必要 B .必要非充分 C .充分必要 D .既非充分又非必要5.如果0,0a b <>,那么下列不等式中正确的是( )A .22a b <BC .a b >D .11a b< 6.已知0ax b −>的解集为(,2)−∞,关于x 的不等式2056ax bx x +≥−−的解集为( )A .(,2](1,6)−∞−−B .(,2](6,)−∞−+∞C .[2,1)(1,6)−−−D .[2,1)(6,)−−+∞7.设关于x 的一元二次不等式20ax bx c ++≤与20dx ex f ++≤的解集分别为(][),23,−∞⋃+∞与∅,则不等式()()220ax bx c dx ex f ++++≥的解集为( )A .()2,3B .[]2,3C .RD .∅二、填空题8.若不等式2|2||1|2x x a a −++≥−对任意的R x ∈恒成立,则实数a 的取值范围是___________.x a10.不等式213x x+≤的解集为________. 11.已知0,0x y >>,且211x y+=,则2x y +的最小值是___________.12.不等式()40x −≥的解集是___________. 13.若正实数a 、b 满足431a b+=,则a b +的最小值是______.14.已知集合{}21S x kx kx =+>,若R S =,则实数k 的取值范围是______15.2310x x −−=的两根分别是1x 和2x ,则1211x x +=___________. 16.已知0x y <<,则21x +与21+y 的大小关系为___________.17.设,x y ∈R ,若|||4||||1|5x x y y +−++−≤,则23x y xy −+的取值范围为___________.18.已知a b c ∈R 、、,下列命题中正确的是______(将正确命题的序号填在横线上) ①若a b >,则22;ac bc > ②若0a b >>,则11a b<; ③若0ba>,则0ab >; ④若a b c >>,则||||a b b c +>+.19.已知m 为常数,若关于x 的方程()222(1)310x m x m m −−+−+=有两个实数根12,x x ,且12121−−=x x x x ,则m 的值为_______:20.已知实数a 、b 满足2222a b +=,则()()2211a b ++的最大值为___________.21.不等式组230,340.x x x −>⎧⎨−−>⎩的解集为_________.22.关于x 的不等式220ax bx ++>的解集为3{|}2x x −<<,则b 的值为___.23.已知 0,0a b >>, 且1ab =, 则 21123234a b a b+++ 的最小值为_____.24.若命题“关于x 的不等式2210x cx ++>的解集为R ”是真命题,则实数c 的取值范围是___________25.已知关于x 的不等式()226300x ax a a −+−≥>的解集为[]12,x x ,则12123ax x x x ++的最小值是___________.26.若223x a x x −+≤−++对x ∈R 恒成立,则实数a 的取值范围是__________.27.设二次函数()()22,f x mx x n m n =−+∈R ,若函数()f x 的值域为[)0,∞+,且()12f ≤,则222211m n n m +++的取值范围为___________.28.设实数a ,c 满足:35a −<<,23c −<<,若m a c =−,则m 的取值范围为__________三、解答题29.解关于x 的一元二次不等式()2330x a x a −++>.30.命题“已知,R a b ∈,若0a >且0b >,则11222a b a b+≥+”,判断命题的真假,并证明.31.关于x 的不等式组()222022550x x x k x k ⎧−−>⎪⎨+++<⎪⎩的整数解的集合为A .(1)当3k =吋,求集合A :(2)若集合{}2A =−,求实数k 的取值范围: (3)若集合A 中有2019个元素,求实数k 的取值范围.32.解不等式 (1)2332x x −>− (2)1144x x x≤−−−33.不等式220ax x a −+≥对任意x D ∈恒成立. (1)若R D =,求实数a 的取值范围; (2)若[1,2]D =,求实数a 的最小值.34.设1234,,,a a a a 是四个正数. (1)已知3124a a a a <,比较12a a 与1324a a a a ++的大小;(2)已知()()()()1234111116a a a a ++++<,求证:1234,,,a a a a 中至少有一个小于1.35.记关于x 的不等式1101a x +−<+的解集为P ,不等式23x +<的解集为Q . (1)若3a =,求P ;(2)若P Q Q ⋃=,求实数a 的取值范围.36.已知不等式24216k x k k +≤++(),其中x ,k ∈R . (1)若x =4,解上述关于k 的不等式;(2)若不等式对任意k ∈R 恒成立,求x 的最大值.参考答案:1.B【分析】根据给定条件,借助一元二次不等式恒成立求解作答.【详解】因函数221y ax ax =++的图像恒在直线2y =−上方,则R x ∀∈,2212ax ax ++>−成立,即2230ax ax ++>恒成立, 当0a =时,30>恒成立,则0a =,当0a ≠时,必有0a >且2(2)430a a ∆=−⋅<,解得0<<3a ,综上得03a ≤<, 所以实数a 的取值范围为[)0,3. 故选:B 2.A【分析】讨论0k =、0k ≠,根据不等式恒成立,结合二次函数性质列不等式组求范围. 【详解】当0k =时,20x −>不恒成立; 当0k ≠时,24(1)0k k >⎧⎨∆=−<⎩,所以1k >; 综上,1k >. 故选:A 3.A【分析】利用作差法可判断各选项中不等式的正误.【详解】因为0a b >>,则20a b +−=>,故a b +>A 对B 错;222022a a b b +−=+−≥,即22a b +≥ 当且仅当22ab =时,即当4a b =时,等号成立,CD 都错. 故选:A. 4.B【分析】根据充分必要条件的定义判断.【详解】当1a >或1b >时,如2a =,3b =−,此时1a b +=2<,因此不充分, 若1a ≤且1b ≤,则2a b a b +≤+≤,因此是必要的. 即为必要不充分条件.5.D【分析】对A,B,C ,举反例判定即可,对D ,根据110a b<<判定即可【详解】对A ,若2,1a b =−=,则22a b <<AB 错误; 对C ,若1,2a b =−=,则a b >不成立,故C 错误; 对D ,因为110a b<<,故D 正确; 故选:D 6.A【分析】根据给定解集可得20b a =<,再代入分式不等式求解即得. 【详解】因0ax b −>的解集为(,2)−∞,则0a <,且2ba=,即有2,0b a a =<, 因此,不等式2056ax bx x +≥−−化为:22056ax a x x +≥−−,即22056x x x +≤−−, 于是有:220560x x x +≤⎧⎨−−>⎩或220560x x x +≥⎧⎨−−<⎩,解220560x x x +≤⎧⎨−−>⎩得2x −≤,解220560x x x +≥⎧⎨−−<⎩得16x −<<,所以所求不等式的解集为:(,2](1,6)−∞−−. 故选:A 7.B【分析】根据条件求出20dx ex f ++>和20ax bx c ++≥的解集,进而可得()()220axbx c dx ex f ++++≥的解集.【详解】20dx ex f ++≤的解集为∅, 则20dx ex f ++>的解集为R.20++≤ax bx c 的解集为(][),23,−∞⋃+∞,则20ax bx c ++≥的解集为[]2,3,()()220ax bx c dx ex f ∴++++≥转化为20ax bx c ++≥所以不等式()()220ax bx c dx ex f ++++≥的解集为[]2,3.8.[1,3]−【分析】先利用三角不等式求出|2||1|x x −++的最小值为3,然后解不等式232a a ≥−可得答案【详解】因为21213x x x x −++≥−++=,当且仅当(2)(1)0x x −+≥时取等号, 所以|2||1|x x −++的最小值为3,因为不等式2|2||1|2x x a a −++≥−对任意的R x ∈恒成立, 所以232a a ≥−,即2230a a −−≤,解得13a −≤≤, 即实数a 的取值范围是[1,3]−, 故答案为:[1,3]− 9.9【分析】利用参变量分离法可知9a ≥,再利用基本不等式可得出关于a 的等式,即可得解.【详解】由题意可知()2521xxa f x =+≥+对任意的x ∈R 恒成立,即()()5221x xa ≥−+, 另一方面()()()()22522124252299x x x x x −+=−+⋅+=−−+≤,当且仅当22x =时,即当1x =时,等号成立,所以,9a ≥,另一方面,由基本不等式可得()()2111521xx af x =++−≥=+,可得9a =, 当且仅当213x +=时,即当1x =时,等号成立,故9a =. 故答案为:9. 10.()[),01,−∞⋃+∞【分析】移项通分后转化为一元二次不等式后可得所求的解. 【详解】不等式213x x +≤可化为10xx −≤,也就是()100x x x ⎧−≤⎨≠⎩, 故0x <或1≥x ,故答案为:()[),01,−∞⋃+∞. 11.8【分析】根据基本不等式结合()2122x y x y x y ⎛⎫+=++ ⎪⎝⎭求解即可.【详解】()214222248x y x y x y x y y x ⎛⎫+=++=+++≥+= ⎪⎝⎭, 当且仅当4x yy x=,即4,2x y ==时取等号. 故答案为:8.12.[){}{}4,31+∞⋃⋃−【分析】根据不等式特点得到2230x x −−≥且40x −≥,解不等式,求出交集即为答案.0≥,且2230x x −−≥,解得3x ≥或1x ≤−, 当3x =或1x =−时,不等式成立;当3x >或1x <−时,则40x −≥,解得:4x ≥,所以4x ≥; 综上,不等式的解集为[){}{}4,31+∞⋃⋃− 故答案为:[){}{}4,31+∞⋃⋃−13.7+7【分析】利用基本不等式“1”的代换求目标式最小值,注意取值条件.【详解】因为a 、b 均为正实数,且431a b+=,所以()()43437b aa b a b a b a b+=++=++77≥+=+当且仅当26b ==+时取等号,所以a b +的最小值是7+故答案为:7+14.[)0,4【分析】根据题意可得21+>kx kx 在R 上恒成立,根据二次不等式在在R 上恒成立运算求解,注意讨论0k =与0k ≠两种情况.【详解】由题意可得:21+>kx kx 在R 上恒成立,即210kx kx −+> 当0k =时,则10>恒成立,∴0k =时成立当0k ≠时,则()2Δ40k k k >⎧⎪⎨=−−<⎪⎩,解得04k << 综上所述:[)0,4∈k .故答案为:[)0,4. 15.3−【分析】利用根与系数关系得12123,1x x x x +==−,即可求目标式的值. 【详解】因为方程2310x x −−=的两根分别是12,x x , 所以12123,1x x x x +==−,则21121211331x x x x x x ++===−−. 故答案为:3− 16.2211x y +>+【分析】利用不等式性质判断大小关系.【详解】由题设,||||0x y >>,故220x y >>,所以2211x y +>+. 故答案为:2211x y +>+ 17.[3,9]−【分析】利用绝对值三角不等式可得|||4||||1|5x x y y +−++−=,即04x ≤≤,01y ≤≤,利用23m x y xy =−+中(,)x y 与{(,)|04,01}x y x y ≤≤≤≤有公共点,讨论3x =或2y =−、3x ≠研究m 的范围即可.【详解】|||4||||4||4|4x x x x x x +−=+−≥+−=,当04x ≤≤时等号成立,|||1||||1||1|1y y y y y y +−=+−≥+−=,当01y ≤≤时等号成立,所以|||4||||1|5x x y y +−++−≥,而|||4||||1|5x x y y +−++−≤, 故|||4||||1|5x x y y +−++−=,此时04x ≤≤,01y ≤≤,令23m x y xy =−+中(,)x y ,与{(,)|04,01}x y x y ≤≤≤≤所表示的区域有公共点, 当3x =或2y =−时6m =,而3[0,4]x =∈,故6m =满足; 当3x ≠时,由62[0,1]3m y x −=−∈−得:6233m x −≤≤−,而04x ≤≤, 若34x <≤时60m −>,此时23(1)x m x ≤≤−,故69<≤m ; 若03x ≤<时60m −>,此时233x m x ≥≥−,故36m −≤<; 综上,3m −≤≤9. 故答案为:[3,9]−【点睛】关键点点睛:利用绝对值三角不等式得|||4||||1|5x x y y +−++−=确定x 、y 的范围,再将问题转化为23m x y xy =−+中(,)x y 与{(,)|04,01}x y x y ≤≤≤≤有公共点求m 的范围即可. 18.②③【分析】①取0c =检验即可;②和③利用不等式两端同时乘以一个正数,不等式的方向不改变;④取1,0,2a b c ===−检验即可【详解】①若a b >,当0c =时,则22ac bc =,故①错误; ②若0a b >>,不等式两边同时乘以1ab,则110a b <<,故②正确;③若0ba>,不等式两边同时乘以2a ,则0ab >,故③正确; ④若a b c >>,当1,0,2a b c ===−时,则||||a b b c +<+,故④错误; 故答案为:②③ 19.2.【分析】根据一元二次方程的根与系数的关系,结合题意列出方程,即可求得m 的值.【详解】由题意,关于x 的方程()222(1)310x m x m m −−+−+=有两个实数根12,x x ,则满足()22[2(1)]4310m m m −−−+>,解得0m >,又由122122(1),31x x x x m m m +=−=−+,因为12121−−=x x x x ,可得22(3111)m m m −−−=+,即220m m −−=, 解得2m =或1m =−(舍去),即m 的值为2. 故答案为:2. 20.258【分析】利用基本不等式计算可得;【详解】解:因为2222a b +=,所以()()221215a b +++=,所以()()221215a b +++=≥即()()22252114a b ++≤,即()()2225118a b ++≤,当且仅当()22121a b +=+, 即2514b +=,2512a +=时取等号,故()()2211a b ++的最大值为258. 故答案为:25821.()4,+∞【分析】解一元二次不等式取交集即可.【详解】原不等式组化简为3034(4)(1)041x x x x x x x −>>⎧⎧⇒⇒>⎨⎨−+>><−⎩⎩或 故答案为:()4,+∞. 22.13【分析】根据题意,可得方程220ax bx ++=的两个根为﹣2和3,由根与系数的关系可得关于a 、b 的方程,再求出a ,b 的值.【详解】根据不等式220ax bx ++>的解集为3{|}2x x −<<, 可得方程220ax bx ++=的两个根为﹣2和3,且0a <, 则2(2)3(2)3a b a ⎧=−⨯⎪⎪⎨⎪−=−+⎪⎩,解得1313a b ⎧=−⎪⎪⎨⎪=⎪⎩. 故答案为:13.23.【分析】利用基本不等式可求最小值. 【详解】2112341234123234634634a b a b a b a b ab a b a b++++=+=++++,而3412634a b a b++≥+34a b +=由341a b ab ⎧+=⎪⎨=⎪⎩a b ⎧=⎪⎪⎨⎪=⎪⎩或a a ⎧=⎪⎪⎨⎪=⎪⎩故3412634a b a b ++≥+3a b ⎧=⎪⎪⎨⎪=⎪⎩3a a ⎧=⎪⎪⎨⎪=⎪⎩ 故21123234ab a b +++的最小值为故答案为: 24.(1,1)−【分析】根据判别式小于0可得.【详解】因为命题“关于x 的不等式2210x cx ++>的解集为R ”是真命题, 所以2440c ∆=−<,解得11c −<<,即(1,1)−. 故答案为:(1,1)−25.【分析】由题知112226,3x x x x a a ==+,进而根据基本不等式求解即可.【详解】解:因为关于x 的不等式()226300x ax a a −+−≥>的解集为[]12,x x ,所以12,x x 是方程()226300x ax a a −+−=>的实数根,所以112226,3x x x x a a ==+,因为0a >,所以1212316a x x a x x a ++=+≥16a a =,即a 所以12123ax x x x ++的最小值是故答案为:26.(−∞,5]【分析】若2()x a f x −+…对x ∈R 恒成立,求出函数的最小值,即可求a 的取值范围. 【详解】由2()x a f x −+…得2()a x f x +…,因为()|(2)(3)|5f x x x −−+=…,当且仅当32x −剟取等号, 所以当32x −剟时,()f x 取得最小值5,又当0x =时,2x 取得最小值0, 所以当0x =时,2()x f x +取得最小值5, 故5a …,取a 的取值范围为(−∞,5]. 故答案为:(−∞,5] 27.[1,13]【分析】根据二次函数的性质和已知条件得到m 与n 的关系,化简222211m n n m +++后利用不等式即可求出其范围.【详解】二次函数f (x )对称轴为1x m=, ∵f (x )值域为[]0,∞+,∴0m >且21121001f m n n mn m m mm ⎛⎫⎛⎫=⇒⋅−+=⇒=⇒= ⎪ ⎪⎝⎭⎝⎭,n >0.()12224f m n m n ≤⇒−+≤⇒+≤,∵()()()()2222224422222222221111111m m n n m n m n m n n m m n m n m n +++++++==+++++++ =()22222222222m n m n m n m n +−++++=()()222222222m n mn m n +++−++=()()222222212m n m n m n +++−++=221m n +−∴221211m n mn +−≥−=,22221()34313m n m n +−=+−≤−=, ∴222211m n n m +++∈[1,13]. 故答案为:[1,13]. 28.(6,7)−【分析】结合已知条件利用不等式性质即可求解. 【详解】因为23c −<<,所以32c −<−<, 又因为35a −<<,所以67a c m −<−=<, 故m 的取值范围为(6,7)−. 故答案为:(6,7)−. 29.详见解析.【分析】原不等式可化为()(3)0x a x −−>,通过对a 与3的大小关系分类讨论即可得出. 【详解】原不等式可化为()(3)0x a x −−>. (1)当3a >时,3x <或x a >, (2)当3a =时,3x ≠, (3)当3a <时,x a <或3x >.综上所述,当3a >时,不等式的解集为{|3x x <或}x a >; 当3a =时,不等式的解集为{|3}x x ≠; 当3a <时,不等式的解集为{|x x a <或3}x >. 30.真,证明见解析【分析】利用基本不等式判断与证明命题的真假.【详解】因为0a >且0b >,所以()111122222b a a b a b a b ⎛⎫++=++≥+= ⎪⎝⎭, 当且仅当a b =时取等号, 所以11222a b a b+≥+正确,所以该命题为真命题. 31.(1)∅; (2)[)3,2−;(3)[)(]2021,20202021,2022−−⋃.【分析】(1)解一元二次不等式组求解集即可;(2)由不等式组有唯一整数解2x =−,应用数轴法有23k −<−≤,即可得结果. (3)讨论52k −<−、52k −>−,由元素个数确定k 的范围. (1)当3k =时(1)(2)0(25)(3)0x x x x +−>⎧⎨++<⎩,可得532x −<<−,满足条件的整数x 不存在,故A =∅.(2)由220x x −−>得:1x <−或2x >.因为()222022550x x x k x k ⎧−−>⎪⎨+++<⎪⎩有唯一整数解2x =−,又()222550x k x k +++=的两根为k −和52−,则23k −<−≤,所以32k −≤<,综上,所求k 的取值范围为[)3,2−. (3)当52k −<−时,{}3,4,,2021A =−−−,所以20222021k −≤−<−,得20212022k <≤.当52k −>−时,{}2,3,4,,2020A =−,所以20202021k <−≤,得20212020k −≤<−.所以实数k 的取值范围为[)(]2021,20202021,2022−−⋃. 32.(1){}1x x <(2)542x x x ⎧⎫>≤⎨⎬⎩⎭或【分析】(1)分32x ≥和32x <两种情况去绝对值符号,解不等式即可;(2)根据分式不等式的解法解不等式即可. (1)解:由2332x x −>−,得322332x x x ⎧≥⎪⎨⎪−>−⎩或322332x x x ⎧<⎪⎨⎪−+>−⎩,解得x ∈∅或1x <,所以不等式的解集为{}1x x <; (2) 解:由1144xx x≤−−−, 得2504x x −≥−, 则()()254040x x x ⎧−−≥⎨−≠⎩,解得4x >或52x ≤,所以不等式的解集为542x x x ⎧⎫>≤⎨⎬⎩⎭或.33.(1)4a ≥;(2)4.【分析】(1)由一元二次不等式在实数集上恒成立求参数范围即可;(2)讨论0a =、0a <、0a >,结合二次函数的性质求参数范围,即可得最小值. (1)由题设不等式恒成立,则20180a a >⎧⎨∆=−≤⎩,可得4a ≥. (2)当0a =时,0x −≥在[1,2]x ∈上不成立;当0a ≠时,二次函数2()2f x ax x a =−+的对称轴12x a=, 当0a <时,则()f x 开口向下且对称轴102x a=<,()f x 在[1,2]x ∈上递减,则(2)620f a =−≥,得13a ≥,此时无解;当0a >时,则()f x 开口向上且对称轴102x a=>, 若112a≤,12a ≥时,()f x 在[1,2]x ∈上递增,则(1)310f a =−≥得13a ≥,此时12a ≥;若1122a <<,1142a <<时,111()20242f a a a a =−+≥得a ≥142a ≤<;若122a ≥,14a ≤时,()f x 在[1,2]x ∈上递减,则(2)620f a =−≥得13a ≥,此时无解;综上,4a ≥,故a4. 34.(1)131224a a a a a a +<+(2)证明见解析【分析】(1)利用比差法比较12a a 与1324a a a a ++的大小; (2)利用反证法证明. (1)因为1234,,,a a a a 是四个正数,3124a a a a <,所以1423a a a a <, 所以()()131214122314231224224224a a a a a a a a a a a a a a a a a a a a a a a a ++−−−−==+++,因为1423a a a a <,所以14230a a a a −<,因为1234,,,a a a a 是四个正数,所以224()0a a a +>, 所以1312240a a a a a a +−<+ 所以131224a a a a a a +<+ (2)假设1234,,,a a a a 都不小于1,则1(1,2,3,4)n a n ≥=,那么()()()()12341111222216a a a a ++++≥⨯⨯⨯=与已知条件矛盾,所以假设不成立,所以1234,,,a a a a 中至少有一个小于1.35.(1)()1,3− (2)[]5,1−【分析】(1)当3a =时,分式不等式化为301x x −<−,结合分式不等式解法的结论,即可得到解P .(2)由含绝对值不等式的解法,得(5,1)Q =−,并且集合P 是Q 的子集,由此建立不等式关系,即可得到a 的取值范围. (1) 当3a =时,1101a x +−<+,即1140x −<+,化简得301x x −<+,即(3)(1)0x x −+<,所以13x -<<, 所以不等式的解集为(1,3)−,由此可得(1,3)P =−. (2){}{}{}2332351Q x x x x x x =+<=−<+<=−<<,可得(5,1)Q =−, P Q Q ⋃=,得P Q ⊆,再解1101a x +−<+,即()()10−+<x a x ①当1a =−时,()210x +<无解,P =∅,满足P Q ⊆;②当1a >−时,解得1x a −<<,此时(1,)(5,1)a −⊆−,由此可得11a −<≤,即a 的取值范围是(]1,1−.③当1a <−时,解得1a x <<−,此时(,1)(5,1)a −⊆−,由此可得51a −≤<−,即a 的取值范围是[)5,1−−.综上所述,a 的取值范围是[]5,1−36.(1)1{|1x k −≤≤或k ≤k ≥(2)1【分析】(1)将x =4代入不等式化简可得,222)10k k −−≥(() ,利用一元二次不等式的解法求解即可;(2)利用换元法,令211t k =+≥,将问题转化为61x t t ≤+−对任意t ≥1恒成立,利用基本不等式求解61t t+−的最小值,即可得到x 的取值范围,从而得到答案.(1)若x =4,则不等式24216k x k k +≤++()变形为42320k k +≥﹣,即22(2)(1)0k k −≥−, 解得21k ≤或22k ≥,所以11k −≤≤ 或k ≤k ≥,故不等式的解集为1{|1x k −≤≤或k ≤k ≥; (2)令211t k =+≥,则不等式24216k x k k +≤++()对任意k ∈R 恒成立, 等价于4226611k k x t k t ++≤=+−+对任意t ≥1恒成立,因为66111t t t+−>−=,当且仅当6t t=,即t 1≥时取等号,所以x ≤1,故x 的最大值为1.。
不等式的练习题及解答一、简单的不等式求解1. 求解不等式5x + 7 < 22。
解答:首先将不等式转化为5x < 22 - 7,即5x < 15。
然后将不等式两边同时除以5,得到x < 3。
所以不等式的解集为{x | x < 3}。
2. 求解不等式2 - 3x > 7。
解答:首先将不等式转化为-3x > 7 - 2,即-3x > 5。
然后将不等式两边同时除以-3,并注意此处要改变不等式的方向,得到x < -5/3。
所以不等式的解集为{x | x < -5/3}。
二、复杂的不等式求解3. 求解不等式2x + 5 > 3x - 4。
解答:首先将不等式转化为2x - 3x > -4 - 5,即-x > -9。
然后将不等式两边同时乘以-1,并注意此处要改变不等式的方向,得到x < 9。
所以不等式的解集为{x | x < 9}。
4. 求解不等式3(x - 1) ≤ 2x + 5。
解答:首先将不等式展开得到3x - 3 ≤ 2x + 5。
然后将不等式化简,得到x ≤ 8。
所以不等式的解集为{x | x ≤ 8}。
三、不等式的图像表示5. 绘制不等式2x + 3 > 0在数轴上的表示。
解答:首先求解不等式2x + 3 > 0,得到x > -3/2。
然后在数轴上标记出-3/2这个点,并使用一个空心圆圈表示。
最后在这个点的右侧画上一个箭头,表示x的取值范围在-3/2的右侧。
因此,不等式2x + 3 > 0在数轴上的表示为(-3/2, +∞)。
6. 绘制不等式x - 4 ≤ 6在数轴上的表示。
解答:首先求解不等式x - 4 ≤ 6,得到x ≤ 10。
然后在数轴上标记出10这个点,并使用一个实心圆圈表示。
最后在这个点的左侧画上一个箭头,表示x的取值范围在10的左侧。
因此,不等式x - 4 ≤ 6在数轴上的表示为(-∞, 10]。
四.不等式一、选择题1.如果a ,b ,c 满足c <b <a 且ac <0,那么下列选项中不一定成立的是 ---------- ( ) A . ab >acB . c (b -a )>0C . 22cb ab <D . ac (a -c )<02.在R 上定义运算:(1)x y x y *=-,若不等式()()1x y x y -*+<对一切实数x 恒成立,则实数y 的取值范围是 ( ) A .1322y -<<B .3122y -<<C .11y -<<D .02y <<3.已知关于x 的不等式21<++ax x 的解集为P ,若P ∉1,则实数a 的取值范围为…( )A .),0[]1,(+∞--∞B .]0,1[-C .),0()1,(+∞--∞D .]0,1(- 4.若不等式102x m x m-+<-成立的一个充分非必要条件是1132x <<,则实数m 的取值范围是 ( )A . 14,,43⎛⎤⎡⎫-∞+∞ ⎪⎥⎢⎝⎦⎣⎭ ;B . 14,43⎡⎤⎢⎥⎣⎦;C . 13,62⎡⎤⎢⎥⎣⎦; D .以上结论都不对.5.已知关于x 的不等式|2|3x x m -+-<的解集为非空集合,则实数m 的取值范围是( ) A . 1m < B .1m ≤ C .1m > D .1m ≥ 6.如图为函数log n y m x =+的图像,其中m 、n 为常数,则下列结论正确的是( ) A .0m <,1n >. B . 0m >,1n >. C .0m >,01n <<. D . 0m <,01n <<. 7.若0a b <<,则下列结论中不恒成立....的是( ) A . a b > B .11a b> C . 222a b ab +> D .2a b ab +>-8.若0a b <<,则下列结论中不恒成立....的是( ) A . a b > B .11ab>C . 222a b ab +> D .2a b ab +>-二、填空题1.已知函数2()f x x x =-,若()()3l o g 1(2)f m f +<,则实数m 的取值范围是 .2.设y x ,是满足42=+y x 的正数,则y x lg lg +的最大值是 .Oxy123.设1>a ,若仅有一个常数c 使得对于任意的[]a a x 2,∈,都有[]2,a a y ∈满足方程c y x a a =+log log ,这时,a 的取值的集合为 .4.(文)已知关于x 的不等式(1)(1)0ax x -+<的解集是1(,)(1,)a-∞-+∞ ,则实数a 的取值范围是_______.5.(理)已知关于x 的不等式组2122kx x k ≤++≤有唯一实数解,则实数k 的取值集合是_________.6.不等式|32|1x -<的解是 .7.设函数()f x x x a =-,若对于任意21,x x 21),,3[x x ≠+∞∈,不等式0)()(2121>--x x x f x f 恒成立,则实数a 的取值范围是 .8.已知x 是1、2、x 、4、5这五个数据的中位数,又知1-、5、1x-、y 这四个数据的平均数为3,则x y + 最小值为 .9.若关于x 的不等式(组)2272209(21)9nnx x ≤+-<+对任意n *∈N 恒成立,则所有这样的解x 的集合是 .10.若关于x 的不等式211()022n x x +-≥对任意n *∈N 在(,]x λ∈-∞恒成立,则实常数λ的取值范围是 . 11.若由命题A: “22031x x>-”能推出命题B: “x a >”,则a 的取值范围是________.12.无穷等比数列}{n a 各项和S 的值为2,公比0<q ,则首项1a 的取值范围是 . 13.关于x 的方程0)5(6241=-+⋅-⋅+k k k x x在区间]1,0[上有解,则实数k 的取值范围是 .14.研究问题:“已知关于x 的不等式02>+-c bx ax 的解集为)2,1(,解关于x 的不等式02>+-a bx cx”,有如下解法:41-2-4xyO 解:由02>+-c bx ax ⇒0)1()1(2>+-xc xb a ,令xy 1=,则)1,21(∈y ,所以不等式02>+-a bx cx 的解集为)1,21(.参考上述解法,已知关于x 的不等式0<++++cx b x ax k 的解集为)3,2()1,2( --,则关于x 的不等式0111<--+-cx bx ax kx 的解集为 .15.设函数()f x 的定义域为[4,4]-,其图像如下图,那么不等式()0sin f x x≤的解集为____________. 三、解答题 1.(本题满分10分)解不等式:221122log (325)log (45)x x x x --≤+-.2.(本题满分14分,第1小题6分,第2小题8分)已知关于x 的不等式2(4)(4)0kx k x --->,其中k R ∈.(1)当k 变化时,试求不等式的解集A ;(2)对于不等式的解集A ,若满足A Z B = (其中Z 为整数集). 试探究集合B 能否为有限集?若能,求出使得集合B 中元素个数最少的k 的所有取值,并用列举法表示集合B ;若不能,请说明理由.3.(本题满分14分)本题共有2个小题,第1小题满分7分,第2小题满分7分. 某商品每件成本价80元,售价100元,每天售出100件.若售价降低x 成(1成=10%),售出商品数量就增加x 58成,要求售价不能低于成本价.(1)设该商店一天的营业额为y ,试求y 与x 之间的函数关系式)(x f y =,并写出定义域;(2)若再要求该商品一天营业额至少10260元,求x 的取值范围.4.(本题满分16分)本题共有2个小题,第1小题满分8分,第2小题满分8分.已知函数()122xxf x =-.(1)(理)设集合()154A x f x ⎧⎫=≤⎨⎬⎩⎭,{}260B x x x p =-+<,若A B ≠∅ ,求实数p 的取值范围;(文)若2)(=x f ,求x 的值;(2)若()()220tf t mf t +≥对于[]1,2t ∈恒成立,求实数m 的取值范围.5.某医药研究所开发一种新药,据监测:服药后每毫升血液中的含药量()f x 与时间x 之间满足如图所示曲线.当[0,4]x ∈时,所示的曲线是二次函数图像的一部分,满足21()(4)44f x x =--+,当(4,19]x ∈时,所示的曲线是函数12log (3)4y x =-+的图像的一部分.据测定:每毫升血液中含药量不少于1微克时治疗疾病有效.请你算一下,服用这种药一次大概能维持多长的有效时间?(精确到0.1小时)()小时419Oy 4x()微克6.(本题满分14分)迎世博,要设计如图的一张矩形广告,该广告含有大小相等的左中右三个矩形栏目,这三栏的面积之和为260000cm,四周空白的宽度为10cm,栏与栏之间的中缝空白的宽度为5cm,怎样确定广告矩形栏目高与宽的尺寸(单位:cm),能使整个矩形广告面积最小.参考答案 一、选择题1-5CABBC 6-8DDD 二、填空题 1.8(,8)9-2.2lg ; 3.{2} 4.10a -<< 5.15122k k -=+=或6.1(,1)37.3a ≤8.11029.2{1,}9-10.(]1-∞-,11.(],2-?12.)4,2( 13.]6,5[ 14.)1,21()31,21( --15.[4,)[2,0)[1,)ππ--- 三、解答题1.解:原不等式的解集为5{|3}4x x -≤<-2.解:(1)当0k =时,(,4)A =-∞; 当0k >且2k ≠时,4(,4)(,)A k k=-∞++∞ ;当2k =时,(,4)(4,)A =-∞+∞ ;(不单独分析2k =时的情况不扣分)当0k <时,4(,4)A k k=+.(2) 由(1)知:当0k ≥时,集合B 中的元素的个数无限;当0k <时,集合B 中的元素的个数有限,此时集合B 为有限集.因为44k k+≤-,当且仅当2k =-时取等号,所以当2k =-时,集合B 的元素个数最少. 此时()4,4A =-,故集合{}3,2,1,0,1,2,3B =---. 3.(1)依题意,)5081(100)101(100x x y +⋅-=;3分又售价不能低于成本价,所以080)101(100≥--x .2分所以)850)(10(20)(x x x f y +-==,定义域为]2,0[.2分(2)10260)850)(10(20≥+-x x ,化简得:0133082≤+-x x 3分 解得4132≤≤x .3分所以x 的取值范围是221≤≤x .1分4.(1)(理)(],2A =-∞ 3分 设()26g x x x p =-+,因为A B ≠∅ ,所以()20g <进而 (),8p ∈-∞ 5分 (文)(1)当0<x 时,0)(=x f ;当0≥x 时,xx x f 212)(-=. …… 2分由条件可知 2212=-xx ,即 012222=-⋅-xx,解得 212±=x . …… 4分 02>x,()21log2+=∴x . …… 2分(2)因为[]1,2t ∈,所以()122ttf t =-, 2分()()220tf t mf t +≥恒成立即2211222022t t t t t m ⎛⎫⎛⎫-+-≥ ⎪ ⎪⎝⎭⎝⎭恒成立,即()()2221210t t m -++≥,因为2213t-≥,所以2210tm ++≥恒成立, 3分()]5,17[21],2,1[2--∈+-∴∈tt ,即5m ≥- 3分 5.由2041(4)414x x ≤≤⎧⎪⎨--+≥⎪⎩,解得:4234x -≤≤ ① (4分) 由12419log (3)41x x <≤⎧⎪⎨-+≥⎪⎩,解得:411x <≤ ② (8分)由①、②知:42311x -≤≤, (10分)11(423)10.5--≈, (12分)∴服用这种药一次大概能维持的有效时间为10.5小时. (14分) 6.解:设矩形栏目的高为acm ,宽为bcm ,则20000ab =,20000b a∴=广告的高为20a +,宽为330b +(其中0,0a b >>) 广告的面积(20)(330)S a b =++30(2)606004000030()606004000030260600120006060072600a b a aa a=++=++≥⨯⨯+=+=当且仅当40000a a=,即200a =时,取等号,此时100b =.故当广告的高为200cm ,宽为100cm 时,可使广告的面积最小.。
解不等式组计算专项练习60题(有答案)1.解不等式组专项练60题(附答案)2.解:2x+1≤3x,得x≥1;3x-16≥2x,得x≥16,综合得1≤x<16,即x∈[1,16)。
3.解:|a-1|<1,即-1<a-1<1,解得0<a<2;|a+2|<2,即-2<a+2<2,解得-4<a<-0.5.综合得-4<a<-0.5,0<a<2,即a∈(-4,-0.5)∪(0,2)。
4.解:x+1>0,即x>-1;x-3<0,即x<3,综合得-1<x<3,即x∈(-1,3)。
5.解:x-2≥0,即x≥2;2x+1≤3x-2,得x≥3,综合得x≥3,即x∈[3,∞)。
6.解:x+1>0,即x>-1;2x-3≤x+2,得x≤5,综合得-1<x≤5,即x∈(-1,5]。
7.解:x-3≥0,即x≥3;2x-1≤3x-4,得x≤3,综合得x=3.8.解:x+3>0,即x>-3;x-1≤0,即x≤1,综合得-3<x≤1,即x∈(-3,1]。
9.解:x+1>0,即x>-1;3x-2≤2x+8,得x≤10,综合得-1<x≤10,即x∈(-1,10]。
10.解:x-1≥0,即x≥1;x+2≥0,即x≥-2,综合得x≥1,即x∈[1,∞)。
11.解:x-3<0,即x<3;x-1≥0,即x≥1,综合得x∈(-∞,3)∩[1,∞),即x∈[1,3)。
12.删除此段。
13.解:x-2>0,即x>2;x+1≤0,即x≤-1,综合得x∈(2.-1]。
14.解:x+3≥0,即x≥-3;3x-2≤2x+5,得x≤7,综合得-3≤x≤7,即x∈[-3,7]。
15.解:x+1>0,即x>-1;2x-5≥0,即x≥2.5,综合得x>2.5,即x∈(2.5,∞)。
高中数学不等式经典题型专题训练试题学校:___________姓名:___________班级:___________考号:___________说明:1、本试卷包括第Ⅰ卷(选择题)和第Ⅱ卷(非选择题)两部分。
满分100分。
考试时间120分钟。
2、考生请将第Ⅰ卷选择题的正确选项填在答题框内,第Ⅱ卷直接答在试卷上。
考试结束后,只收第Ⅱ卷第Ⅰ卷(选择题)一.单选题(共10小题,每题2分,共20分)1.设a=sin14°+cos14°,b=sin16°+cos16°,,则a,b,c大小关系()A.a<b<c B.b<a<c C.c<b<a D.a<c<b2.已知实数x,y满足条件,则目标函数z=2x-y()A.有最小值0,有最大值6B.有最小值-2,有最大值3C.有最小值3,有最大值6D.有最小值-2,有最大值63.若x是三角形的最小内角,则函数y=sinx+cosx+sinxcosx的最大值是()A.-1B.C.D.4.不等式x2-|x|-2<0的解集是()A.{x|-2<x<2}B.{x|x<-2或x>2}C.{x|-1<x<1}D.{x|x<-1或x>1}5.若不等式f(x)=ax2-x-c>0的解集为(-2,1),则函数y=f(x)的图象为()A.B.C.D.6.设a=0.20.3,b=0.20.2,c=log20.4,则a,b,c的大小关系为()A.c<a<b B.c<b<a C.a<b<c D.b<c<a7.设0<b<a<1,则下列不等式中成立的是()A.a2<ab<1B.C.ab<b2<1D.2b<2a<28.对任意的锐角α,β,下列不等关系中正确的是()A.sin(α+β)>sinα+sinβB.sin(α+β)>cosα+cosβC.cos(α+β)<sinα+sinβD.cos(α+β)<cosα+cosβ9.若0<m<n,则下列结论正确的是()A.B.2m>2n C.D.log2m>log2n10.设a<b<0,则下列不等式中不成立的是()A.B.C.|a|>-b D.二.填空题(共10小题,每题2分,共20分)11.已知x>-1,y>0且满足x+2y=2,则的最小值为______.12.已知a,b∈R+,且2a+b=1则的最大值是______.13.已知向量,若⊥,则16x+4y的最小值为______.14.若x>0,y>0,且+=1,则x+y的最小值是______.15、在如图所示的锐角三角形空地中,欲建一个面积最大的内接矩形花园(阴影部分),则其边长x为______(m).16.已知x>-1,y>0且满足x+2y=2,则的最小值为______.17.若实数a+b=2,a>0,b>0,则的最小值为______.18.若x,y满足约束条件,则z=3x-y的最小值是______.19.若a,b∈R,且4≤a2+b2≤9,则a2-ab+b2的范围是______.20.已知f(x)=,不等式f(x)≥-1的解集是______.三.简答题(共10小题,共60分)21.(6分)已知x>0,y>0,(1)若2x+y=1,求+的最小值.(2)若x+8y-xy=0,求xy的最小值.22.(6分)设a,b,c均为正数,且a+b+c=1,证明:(1)ab+bc+ca≤;(2)++≥1.23.(6分)已知a,b,c均为正实数,且满足abc=1,证明:(1)a+b+c≥;(2)a2+b2+c2≥24.(6分)设函数f(x)=|x+3|-|x-4|①解不等式f(x)>3;②求函数f(x)的最小值.25.(6分)已知向量=(1+sin2x,sinx-cosx),=(1,sinx+cosx),函数f(x)=•.(Ⅰ)求f(x)的最大值及相应的x的值;(Ⅱ)在△ABC中,a,b,c分别是三个内角A,B,C所对边,若f()=2,a=2,求△ABC 面积的最大值.26.(6分)27.(4分)已知:x,y,z∈R,x2+y2+z2=1,则x-2y-3z的最大值为______.28.(4分)若a,b,c∈R+,且++=1,求a+2b+3c的最小值.29.(10分)某工厂生产一种产品的成本费共由三部分组成:①原材料费每件50元;②职工工资支出7500+20x元;③电力与机器保养等费用为x2-30x+600元:其中x是该厂生产这种产品的总件数.(I)把每件产品的成本费p(x)(元)表示成产品件数x的函数,并求每件产品的最低成本费;(Ⅱ)如果该厂生产的这种产品的数量x不超过170件且能全部销售,根据市场调查,每件产品的销售价为Q(x)(元),且Q(x)=1240-.试问生产多少件产品,总利润最高?并求出最高总利润.(总利润=总销售额-总的成本)30.(6分)已知定义在R上的函数f(x)=|x-1|+|x+2|的最小值为a.(1)求a的值;(2)若m,n是正实数,且m+n=a,求+的最小值.参考答案一.单选题(共__小题)1.设a=sin14°+cos14°,b=sin16°+cos16°,,则a,b,c大小关系()A.a<b<c B.b<a<c C.c<b<a D.a<c<b答案:D解析:解:由题意知,a=sin14°+cos14°==,同理可得,b=sin16°+cos16°=,=,∵y=sinx在(0,90°)是增函数,∴sin59°<sin60°<sin61°,∴a<c<b,故选D.2.已知实数x,y满足条件,则目标函数z=2x-y()A.有最小值0,有最大值6B.有最小值-2,有最大值3C.有最小值3,有最大值6D.有最小值-2,有最大值6答案:D解析:解:画出不等式组表示的平面区域如图中阴影部分所示.当目标函数z=2x-y过直线x=3与直线y=0的交点(3,0),目标函数取得最大值6;当目标函数z=2x-y过直线x=0与直线x-y+2=0的交点(0,2)时,目标函数取得最小值-2.故选D.3.若x是三角形的最小内角,则函数y=sinx+cosx+sinxcosx的最大值是()A.-1B.C.D.答案:D解析:解:y=sinx+cosx+sinxcosx=sinx(1+cosx)+1+cosx-1=(1+sinx)(1+cosx)-1≤[(1+sinx)2+((1+cosx)2]-1(当且仅当1+sinx=1+cosx时成立,此时sinx=cosx=)即y(max)=+故选D4.不等式x2-|x|-2<0的解集是()A.{x|-2<x<2}B.{x|x<-2或x>2}C.{x|-1<x<1}D.{x|x<-1或x>1}答案:A解析:解:原不等式化为|x|2-|x|-2<0因式分解得(|x|-2)(|x|+1)<0因为|x|+1>0,所以|x|-2<0即|x|<2解得:-2<x<2.故选A5.若不等式f(x)=ax2-x-c>0的解集为(-2,1),则函数y=f(x)的图象为()A.B.C.D.答案:B解析:解:∵不等式f(x)=ax2-x-c>0的解集为(-2,1),∴a<0,且-2,1是对应方程ax2-x-c=0的两个根,∴(-2,0),(1,0)是对应函数f(x)=ax2-x-c与x轴的两个交点,∴对应函数y=f(x)的图象为B.故选B.6.设a=0.20.3,b=0.20.2,c=log20.4,则a,b,c的大小关系为()A.c<a<b B.c<b<a C.a<b<c D.b<c<a答案:A解析:解:∵函数y=0.2x是减函数,0.3>0.2,故有a=0.20.3<0.20.2=1,又a=0.20.3>0,可得b>a >0.由于函数y=log2x在(0,+∞)上是增函数,故c=log20.4<log21=0,即c<0.综上可得,b>a>c,故选A.7.设0<b<a<1,则下列不等式中成立的是()A.a2<ab<1B.C.ab<b2<1D.2b<2a<2答案:D解析:解:采用特殊值法,取a=,b=.则a2=,b2=,ab=,故知A,C错;对于B,由于函数y=是定义域上的减函数,∴,故B错;对于D,由于函数y=2x是定义域上的增函数,∴2b<2a<2,故D对.故选D.8.对任意的锐角α,β,下列不等关系中正确的是()A.sin(α+β)>sinα+sinβB.sin(α+β)>cosα+cosβC.cos(α+β)<sinα+sinβD.cos(α+β)<cosα+cosβ答案:D解析:解:对于AB中的α,β可以分别令为30°,60°则知道A,B均不成立对于C中的α,β可以令他们都等于15°,则知道C不成立cos(α+β)=cosαcosβ-sinαsinβ<cosα×1+cosβ×1=cosα+cosβ故选D9.若0<m<n,则下列结论正确的是()A.B.2m>2n C.D.log2m>log2n 答案:C解析:解:观察B,D两个选项,由于底数2>1,故相关的函数是增函数,由0<m<n,∴2m<2n,log2m<log2n,所以B,D不对.又观察A,C两个选项,两式底数满足0<<1,故相关的函数是一个减函数,由0<m<n,∴,所以A不对,C对.故答案为C.10.设a<b<0,则下列不等式中不成立的是()A.B.C.|a|>-b D.答案:D解析:解:∵a<b<0,∴,A正确,-a>-b>0,,B正确,|a|>|b|=-b,C正确;,故D不正确.故选D.二.填空题(共__小题)11.已知x>-1,y>0且满足x+2y=2,则的最小值为______.答案:3解析:解:∵x>-1,y>0且满足x+2y=2,∴x+1>0且x+1+2y=3,∴=()(x+1+2y)=[5++]≥(5+2)=3,当且仅当=即x=0且y=1时取等号,故答案为:3.12.已知a,b∈R+,且2a+b=1则的最大值是______.答案:解析:解:∵2a+b=1,∴4a2+b2=1-4ab,∴S==4ab+2-1,令=t>0,则S=4-,∵2a+b=1,∴1≥2⇒0<t≤故当t=时,S有最大值为:故答案为:.13.已知向量,若⊥,则16x+4y的最小值为______.答案:8解析:解:∵∴4(x-1)+2y=0即4x+2y=4∵=当且仅当24x=22y即4x=2y=2取等号故答案为814.若x>0,y>0,且+=1,则x+y的最小值是______.答案:25解析:解:∵x>0,y>0,且+=1,∴x+y=(x+y)(+)=17++≥17+2=25当且仅当=,即x=5,y=20时取等号,∴x+y的最小值是25,故答案为:25.15、在如图所示的锐角三角形空地中,欲建一个面积最大的内接矩形花园(阴影部分),则其边长x为______(m).答案:20解析:解:设矩形高为y,由三角形相似得:=,且x>0,y>0,x<40,y<40,⇒40=x+y≥2,仅当x=y=20m时,矩形的面积s=xy取最大值400m2.故答案为:20.16.已知x>-1,y>0且满足x+2y=2,则的最小值为______.答案:3解析:解:∵x>-1,y>0且满足x+2y=2,∴x+1>0且x+1+2y=3,∴=()(x+1+2y)=[5++]≥(5+2)=3,当且仅当=即x=0且y=1时取等号,故答案为:3.17.若实数a+b=2,a>0,b>0,则的最小值为______.答案:解析:解:∵实数a+b=2,a>0,b>0,则=+=++≥+2=+,当且仅当b=a=4-2时取等号.故答案为:.18.若x,y满足约束条件,则z=3x-y的最小值是______.答案:-4解析:解:由约束条件作出可行域如图,化目标函数z=3x-y为y=3x-z,由图可知,当直线y=3x-z过点C(0,4)时直线在y轴上的截距最大,z有最小值为-4.故答案为:-4.19.若a,b∈R,且4≤a2+b2≤9,则a2-ab+b2的范围是______.答案:[2,]解析:解:∵a,b∈R,且4≤a2+b2≤9;∴设a=rcosθ,b=rsinθ,且2≤r≤3,∴s=a2-ab+b2=r2cos2θ-r2sinθcosθ+r2sin2θ=r2(1-sinθcosθ)=r2(1-sin2θ),由三角函数的图象与性质,得;当sin2θ取最大值1且r取最小值2时,s取得最小值2,当sin2θ取最小值-1且r取最大值3时,s取得最大值;综上,a2-ab+b2的范围是[2,].故答案为:.20.已知f(x)=,不等式f(x)≥-1的解集是______.答案:{x|-4≤x≤2}解析:解:∵已知f(x)=,故由不等式f(x)≥-1可得①,或②.解①可得-4<x≤0,解②可得0<x≤2.综上可得,不等式的解集为{x|-4≤x≤2},故答案为{x|-4≤x≤2}.三.简答题(共__小题)21.已知x>0,y>0,(1)若2x+y=1,求+的最小值.(2)若x+8y-xy=0,求xy的最小值.答案:解:(1)+=(+)(2x+y)=2+++1=3++≥3+2,当且仅当2x2=y2等号成立,∴+的最小值为3+2.(2)∵x+8y-xy=0,∴xy=x+8y≥2,当且仅当x=8y时等号成立.∴≥4,∴xy≥32,∴xy的最小值为32.解析:解:(1)+=(+)(2x+y)=2+++1=3++≥3+2,当且仅当2x2=y2等号成立,∴+的最小值为3+2.(2)∵x+8y-xy=0,∴xy=x+8y≥2,当且仅当x=8y时等号成立.∴≥4,∴xy≥32,∴xy的最小值为32.22.设a,b,c均为正数,且a+b+c=1,证明:(1)ab+bc+ca≤;(2)++≥1.答案:证明:(1)由a2+b2≥2ab,b2+c2≥2bc,c2+a2≥2ca,可得a2+b2+c2≥ab+bc+ca,(当且仅当a=b=c取得等号)由题设可得(a+b+c)2=1,即a2+b2+c2+2ab+2bc+2ca=1,即有3(ab+bc+ca)≤1,则ab+bc+ca≤;(2)+b≥2a,+c≥2b,+a≥2c,故+++(a+b+c)≥2(a+b+c),即有++≥a+b+c.(当且仅当a=b=c取得等号).故++≥1.解析:证明:(1)由a2+b2≥2ab,b2+c2≥2bc,c2+a2≥2ca,可得a2+b2+c2≥ab+bc+ca,(当且仅当a=b=c取得等号)由题设可得(a+b+c)2=1,即a2+b2+c2+2ab+2bc+2ca=1,即有3(ab+bc+ca)≤1,则ab+bc+ca≤;(2)+b≥2a,+c≥2b,+a≥2c,故+++(a+b+c)≥2(a+b+c),即有++≥a+b+c.(当且仅当a=b=c取得等号).故++≥1.23.已知a,b,c均为正实数,且满足abc=1,证明:(1)a+b+c≥;(2)a2+b2+c2≥.答案:证明:∵a,b,c∈R+∴a+b≥2,b+c≥2,a+c≥2∴2a+2b+2c≥2+2+2∴a+b+c≥++∵abc=1,∴a+b+c≥++;(2)∵a2+b2≥2ab,b2+c2≥2bc,a2+c2≥2ac,∴2a2+2b2+2c2≥2ab+2bc+2ac,∴a2+b2+c2≥ab+bc+ac,∵ab+bc+ac=≥=++,∴a2+b2+c2≥++.解析:证明:∵a,b,c∈R+∴a+b≥2,b+c≥2,a+c≥2∴2a+2b+2c≥2+2+2∴a+b+c≥++∵abc=1,∴a+b+c≥++;(2)∵a2+b2≥2ab,b2+c2≥2bc,a2+c2≥2ac,∴2a2+2b2+2c2≥2ab+2bc+2ac,∴a2+b2+c2≥ab+bc+ac,∵ab+bc+ac=≥=++,∴a2+b2+c2≥++.24.设函数f(x)=|x+3|-|x-4|①解不等式f(x)>3;②求函数f(x)的最小值.答案:解:①不等式f(x)>3,即|x+3|-|x-4|>3.而|x+3|-|x-4|表示数轴上的x对应点到-3对应点和4对应点的距离之差,数轴上的2对应点到-3对应点和4对应点的距离之差为3,故不等式的解集为{x|x>2}.…(3分)②f(x)=|x+3|-|x-4|表示数轴上的x对应点到-3对应点和4对应点的距离之差,可得函数f(x)的最小值为-7.(7分)解析:解:①不等式f(x)>3,即|x+3|-|x-4|>3.而|x+3|-|x-4|表示数轴上的x对应点到-3对应点和4对应点的距离之差,数轴上的2对应点到-3对应点和4对应点的距离之差为3,故不等式的解集为{x|x>2}.…(3分)②f(x)=|x+3|-|x-4|表示数轴上的x对应点到-3对应点和4对应点的距离之差,可得函数f(x)的最小值为-7.(7分)25.已知向量=(1+sin2x,sinx-cosx),=(1,sinx+cosx),函数f(x)=•(Ⅰ)求f(x)的最大值及相应的x的值;(Ⅱ)在△ABC中,a,b,c分别是三个内角A,B,C所对边,若f()=2,a=2,求△ABC 面积的最大值.答案:解:(Ⅰ)∵=(1+sin2x,sinx-cosx),=(1,sinx+cosx),∴f(x)=•=1+sin2x+sin2x-cos2x,=1+sin2x-cos2x,=1+sin(2x-),∴当2x-=2kπ+即x=+kπ,k∈Z时,函数取得最大值1+.(Ⅱ)由(I)知f()=2时,sin(A-)=,∴A-=2kπ+或A-=2kπ+,即A=+2kπ或A=π+2kπ,k∈Z,∵A是三角形的一个内角,∴A=,即△ABC是直角三角形.∵a=2,∴b2+c2=4,∴S△ABC=bc≤=1(当且仅当b=c=时,取得最大值),∴△ABC面积的最大值为1.解析:解:(Ⅰ)∵=(1+sin2x,sinx-cosx),=(1,sinx+cosx),∴f(x)=•=1+sin2x+sin2x-cos2x,=1+sin2x-cos2x,=1+sin(2x-),∴当2x-=2kπ+即x=+kπ,k∈Z时,函数取得最大值1+.(Ⅱ)由(I)知f()=2时,sin(A-)=,∴A-=2kπ+或A-=2kπ+,即A=+2kπ或A=π+2kπ,k∈Z,∵A是三角形的一个内角,∴A=,即△ABC是直角三角形.∵a=2,∴b2+c2=4,∴S△ABC=bc≤=1(当且仅当b=c=时,取得最大值),∴△ABC面积的最大值为1.26、解:由柯西不等式:(1+3+5)²≤(a+b+c)()因为:a+b+c=12所以(1+3+5)²≤12*()81≤12*()≤当且仅当==时取等号即:最小值为27.已知:x,y,z∈R,x2+y2+z2=1,则x-2y-3z的最大值为______.答案:解:由已知x,y,z∈R,x2+y2+z2=1,和柯西不等式(a2+b2+c2)(e2+f2+g2)≥(ae+bf+cg)2则构造出[12+(-2)2+(-3)2](x2+y2+z2)≥(x-2y-3z)2.即:(x-2y-3z)2≤14即:x-2y-3z的最大值为.故答案为.解析:解:由已知x,y,z∈R,x2+y2+z2=1,和柯西不等式(a2+b2+c2)(e2+f2+g2)≥(ae+bf+cg)2则构造出[12+(-2)2+(-3)2](x2+y2+z2)≥(x-2y-3z)2.即:(x-2y-3z)2≤14即:x-2y-3z的最大值为.故答案为.28.若a,b,c∈R+,且,求a+2b+3c的最小值.答案:解:∵a,b,c∈R+,,∴=1+1+1,当且仅当a=2b=3c=3时取等号.即a+2b+3c≥9,∴a+2b+3c的最小值为9.解析:解:∵a,b,c∈R+,,∴=1+1+1,当且仅当a=2b=3c=3时取等号.即a+2b+3c≥9,∴a+2b+3c的最小值为9.29.某工厂生产一种产品的成本费共由三部分组成:①原材料费每件50元;②职工工资支出7500+20x元;③电力与机器保养等费用为x2-30x+600元:其中x是该厂生产这种产品的总件数.(I)把每件产品的成本费p(x)(元)表示成产品件数x的函数,并求每件产品的最低成本费;(Ⅱ)如果该厂生产的这种产品的数量x不超过170件且能全部销售,根据市场调查,每件产品的销售价为Q(x)(元),且Q(x)=1240-.试问生产多少件产品,总利润最高?并求出最高总利润.(总利润=总销售额-总的成本)答案:解:(I)P(x)=50++=+x+40.由基本不等式得P(x)≥2+40=220.当且仅当=x,即x=90时,等号成立.所以P(x)=+x+40.每件产品的最低成本费为220 元.(Ⅱ)设总利润为y=f(x)=xQ(x)-xP(x)=,f′(x)==(x-100)(x+120)当0<x<100时,f′(x)>0,当x>100时,f′(x)<0.所以f(x)在(0,100)单调递增,在(100,170)单调递减,所以当x=100时,ymax=f(100)=故生产100件产品时,总利润最高,最高总利润为.解析:解:(I)P(x)=50++=+x+40.由基本不等式得P(x)≥2+40=220.当且仅当=x,即x=90时,等号成立.所以P(x)=+x+40.每件产品的最低成本费为220 元.(Ⅱ)设总利润为y=f(x)=xQ(x)-xP(x)=,f′(x)==(x-100)(x+120)当0<x<100时,f′(x)>0,当x>100时,f′(x)<0.所以f(x)在(0,100)单调递增,在(100,170)单调递减,所以当x=100时,ymax=f(100)=故生产100件产品时,总利润最高,最高总利润为.30.已知定义在R上的函数f(x)=|x-1|+|x+2|的最小值为a.(1)求a的值;(2)若m,n是正实数,且m+n=a,求+的最小值.答案:解:(1)由|x-1|+|x+2|的几何意义表示了数轴上点x到点1与到点-2的距离之和,如图:则x在[-2,1]上时,函数f(x)=|x-1|+|x+2|取得最小值a=3.即a=3.(2)由题意,m+n=3,则+=+=+++=1++≥1+2=1+.(当且仅当=时,等号成立).即+的最小值为1+.解析:解:(1)由|x-1|+|x+2|的几何意义表示了数轴上点x到点1与到点-2的距离之和,如图:则x在[-2,1]上时,函数f(x)=|x-1|+|x+2|取得最小值a=3.即a=3.(2)由题意,m+n=3,则+=+=+++=1++≥1+2=1+.(当且仅当=时,等号成立).即+的最小值为1+.。
高中不等式练习题及答案高中不等式练习题及答案在高中数学学习中,不等式是一个重要的概念和工具。
不等式是数学中描述数值大小关系的一种方式,它可以帮助我们解决各种实际问题。
在学习不等式的过程中,练习题是必不可少的,下面我将为大家提供一些高中不等式练习题及其答案。
1. 练习题一:解不等式:2x - 5 < 3x + 2解答:将不等式中的变量移到一边,常数移到另一边,得到:2x - 3x < 2 + 5化简得:-x < 7由于系数为负数,所以不等号方向需要翻转,得到:x > -72. 练习题二:解不等式:3(x - 2) > 2(x + 3)解答:先进行分配律的运算,得到:3x - 6 > 2x + 6将变量移到一边,常数移到另一边,得到:3x - 2x > 6 + 6化简得:x > 123. 练习题三:解不等式:4x + 5 > 3 - 2x解答:将变量移到一边,常数移到另一边,得到:4x + 2x > 3 - 5化简得:6x > -2由于系数为正数,所以不等号方向不需要翻转,得到:x > -1/34. 练习题四:解不等式:2x - 3 > 5x + 1解答:将不等式中的变量移到一边,常数移到另一边,得到:2x - 5x > 1 + 3化简得:-3x > 4由于系数为负数,所以不等号方向需要翻转,得到:x < -4/35. 练习题五:解不等式:2x + 1 < 3(x - 2)解答:先进行分配律的运算,得到:2x + 1 < 3x - 6将变量移到一边,常数移到另一边,得到:2x - 3x < -6 - 1化简得:-x < -7由于系数为负数,所以不等号方向需要翻转,得到:x > 7通过以上的练习题,我们可以看到解不等式的基本步骤。
首先,将不等式中的变量移到一边,常数移到另一边;然后,化简不等式;最后,根据系数的正负确定不等号的方向。
初中数学不等式精选典型试题 1。
不等式组的整数解是_________________.2。
不等式2x -7〈5-2x 的正整数解有( )个3。
已知关于x 的不等式组的整数解共有6个,则a 的取值范围是 .4、不等式122x >的解集是: ;不等式133x ->的解集是: ;5、不等式组⎩⎨⎧-+0501>>x x 的解集为 . 不等式组3050x x -<⎧⎨-⎩>的解集为 。
6、不等式组2050x x ⎧⎨-⎩>>的解集为 . 不等式组112620x x ⎧<⎪⎨⎪->⎩的解集为 。
7.如果不等式33131++>+x mx 的解集为x 〉5,则m 值为___________. 8.关于x 的不等式(5 – 2m)x 〉 —3的解是正数,那么m 所能取的最小整数是__________。
9. k 满足______时,方程组⎩⎨⎧=-=+4,2y x k y x 中的x 大于1,y 小于1.10.不等式2〈|x — 4| 〈3的解集为_____________。
11.已知a ,b 和c 满足a ≤2,b ≤2,c ≤2,且a + b + c = 6,则abc=______________。
12.已知a 是自然数,关于x 的不等式组⎩⎨⎧>-≥-02,43x a x 的解集是x >2,则a =-—-————-———-—--—.13.已知a ,b 是实数,若不等式(2a — b )x + 3a – 4b <0的解是94>x ,则不等式(a – 4b )x + 2a – 3b 〉0的解是__________。
14.不等式|x | + |y| 〈 100有_________组整数解.15.设a , a + 1, a + 2为钝角三角形的三边,那么a 的取值范围是______________。
16。
532(1)314(2)2x x x -≥⎧⎪⎨-<⎪⎩ 17。
高中数学不等式证明题目训练卷及答案一、选择题1、若\(a > b > 0\),则下列不等式中一定成立的是()A \(a +\frac{1}{b} > b +\frac{1}{a}\)B \(\frac{b + 1}{a + 1} >\frac{b}{a}\)C \(a \frac{1}{b} > b \frac{1}{a}\)D \(\frac{2a + b}{a + 2b} >\frac{a}{b}\)答案:A解析:因为\(a > b > 0\),所以\(a b > 0\)。
A 选项:\((a +\frac{1}{b})(b +\frac{1}{a})=(a b) +(\frac{1}{b} \frac{1}{a})=(a b) +\frac{a b}{ab}> 0\),所以\(a +\frac{1}{b} > b +\frac{1}{a}\),A 选项正确。
B 选项:\(\frac{b + 1}{a + 1} \frac{b}{a} =\frac{a(b+ 1) b(a + 1)}{a(a + 1)}=\frac{a b}{a(a + 1)}\),因为\(a(a + 1) > 0\),但\(a b\)的正负不确定,所以\(\frac{b + 1}{a + 1}\)与\(\frac{b}{a}\)大小不确定,B 选项错误。
C 选项:\((a \frac{1}{b})(b \frac{1}{a})=(a b) (\frac{1}{b} \frac{1}{a})=(a b) \frac{a b}{ab}\),当\(ab > 1\)时,\((a b) \frac{a b}{ab} < 0\),C 选项错误。
D 选项:\(\frac{2a + b}{a + 2b} \frac{a}{b} =\frac{b(2a + b) a(a + 2b)}{b(a + 2b)}=\frac{b^2 a^2}{b(a +2b)}\),因为\(b^2 a^2 < 0\),\(b(a + 2b) > 0\),所以\(\frac{2a + b}{a + 2b} \frac{a}{b} < 0\),D 选项错误。
数学 基本不等式[基础题组练]1.若a ,b ∈R ,且ab >0,则下列不等式中,恒成立的是( ) A .a 2+b 2>2ab B .a +b ≥2ab C.1a +1b >2abD.b a +a b ≥22.若正实数x ,y 满足x +y =2,且1xy ≥M 恒成立,则M 的最大值为( )A .1B .2C .3D .43.设x >0,则函数y =x +22x +1-32的最小值为( )A .0 B.12 C .1D.32 4.已知x >0,y >0,且4x +y =xy ,则x +y 的最小值为( ) A .8 B .9 C .12D .165.已知x >0,y >0,2x +y =3,则xy 的最大值为________. 6.(2017·高考江苏卷)某公司一年购买某种货物600吨,每次购买x 吨,运费为6万元/次,一年的总存储费用为4x 万元.要使一年的总运费与总存储费用之和最小,则x 的值是________.7.函数y =x 2x +1(x >-1)的最小值为________.8.已知x >0,y >0,且2x +8y -xy =0,求 (1)xy 的最小值; (2)x +y 的最小值.[综合题组练]1.若a >0,b >0,a +b =1a +1b ,则3a +81b 的最小值为( ) A .6 B .9 C .18D .242.不等式x 2+x <a b +ba 对任意a ,b ∈(0,+∞)恒成立,则实数x 的取值范围是( )A .(-2,0)B .(-∞,-2)∪(1,+∞)C .(-2,1)D .(-∞,-4)∪(2,+∞)3.已知x >0,y >0,且2x +4y +xy =1,则x +2y 的最小值是________. 4.已知正实数a ,b 满足a +b =4,则1a +1+1b +3的最小值为________.【参考答案】[基础题组练]1.若a ,b ∈R ,且ab >0,则下列不等式中,恒成立的是( ) A .a 2+b 2>2ab B .a +b ≥2ab C.1a +1b >2abD.b a +a b≥2 解析:选D.因为a 2+b 2-2ab =(a -b )2≥0,所以A 错误.对于B ,C ,当a <0,b <0时,明显错误.对于D ,因为ab >0, 所以b a +a b≥2b a ·ab=2. 2.(2019·安徽省六校联考)若正实数x ,y 满足x +y =2,且1xy ≥M 恒成立,则M 的最大值为( )A .1B .2C .3D .4解析:选A.因为正实数x ,y 满足x +y =2, 所以xy ≤(x +y )24=224=1,所以1xy ≥1;又1xy≥M 恒成立, 所以M ≤1,即M 的最大值为1.3.设x >0,则函数y =x +22x +1-32的最小值为( )A .0 B.12 C .1D.32解析:选A.y =x +22x +1-32=⎝⎛⎭⎫x +12+1x +12-2≥2⎝⎛⎭⎫x +12·1x +12-2=0,当且仅当x +12=1x +12,即x =12时等号成立.所以函数的最小值为0.故选A. 4.(2019·长春市质量检测(一))已知x >0,y >0,且4x +y =xy ,则x +y 的最小值为( ) A .8 B .9 C .12D .16解析:选B.由4x +y =xy 得4y +1x =1,则x +y =(x +y )⎝⎛⎭⎫4y +1x =4x y +y x +1+4≥24+5=9,当且仅当4x y =yx,即x =3,y =6时取“=”,故选B.5.已知x >0,y >0,2x +y =3,则xy 的最大值为________.解析:xy =2xy 2=12×2xy ≤12×⎝ ⎛⎭⎪⎫2x +y 22=98,当且仅当2x =y =32时取等号. 答案:986.(2017·高考江苏卷)某公司一年购买某种货物600吨,每次购买x 吨,运费为6万元/次,一年的总存储费用为4x 万元.要使一年的总运费与总存储费用之和最小,则x 的值是________.解析:一年购买600x 次,则总运费与总存储费用之和为600x ×6+4x =4⎝⎛⎭⎫900x +x ≥8900x·x =240,当且仅当x =30时取等号,故总运费与总存储费用之和最小时x 的值是30.答案:307.函数y =x 2x +1(x >-1)的最小值为________.解析:因为y =x 2-1+1x +1=x -1+1x +1=x +1+1x +1-2,x >-1,所以y ≥21-2=0,当且仅当x =0时,等号成立. 答案:08.已知x >0,y >0,且2x +8y -xy =0,求 (1)xy 的最小值; (2)x +y 的最小值. 解:(1)由2x +8y -xy =0, 得8x +2y =1, 又x >0,y >0, 则1=8x +2y ≥28x ·2y =8xy. 得xy ≥64,当且仅当x =16,y =4时,等号成立. 所以xy 的最小值为64.(2)由2x +8y -xy =0,得8x +2y =1,则x +y =⎝⎛⎭⎫8x +2y ·(x +y ) =10+2x y +8yx≥10+22x y ·8yx=18. 当且仅当x =12且y =6时等号成立, 所以x +y 的最小值为18.[综合题组练]1.若a >0,b >0,a +b =1a +1b ,则3a +81b 的最小值为( )A .6B .9C .18D .24解析:选C.因为a >0,b >0,a +b =1a +1b ,所以ab (a +b )=a +b >0,所以ab =1.则3a +81b ≥23a ·34b =23a +4b ≥232a ·4b=18,当且仅当a =4b =2时取等号.所以3a +81b 的最小值为18.故选C.2.不等式x 2+x <a b +ba 对任意a ,b ∈(0,+∞)恒成立,则实数x 的取值范围是( )A .(-2,0)B .(-∞,-2)∪(1,+∞)C .(-2,1)D .(-∞,-4)∪(2,+∞)解析:选C.根据题意,由于不等式x 2+x <a b +ba对任意a ,b ∈(0,+∞)恒成立,则x 2+x <⎝⎛⎭⎫a b +b a min ,因为a b +b a ≥2 a b ·ba=2,当且仅当a =b 时等号成立,所以x 2+x <2,求解此一元二次不等式可知-2<x <1,所以x 的取值范围是(-2,1).3.已知x >0,y >0,且2x +4y +xy =1,则x +2y 的最小值是________.解析:令t =x +2y ,则2x +4y +xy =1可化为1=2x +4y +xy ≤2(x +2y )+12⎝ ⎛⎭⎪⎫x +2y 22=2t+t 28.因为x >0,y >0,所以x +2y >0,即t >0,t 2+16t -8≥0,解得t ≥62-8.即x +2y 的最小值是62-8.答案:62-84.已知正实数a ,b 满足a +b =4,则1a +1+1b +3的最小值为________. 解析:因为a +b =4,所以a +1+b +3=8,所以1a +1+1b +3=18[(a +1)+(b +3)]⎝ ⎛⎭⎪⎫1a +1+1b +3=18⎝ ⎛⎭⎪⎫2+b +3a +1+a +1b +3≥18(2+2)=12,当且仅当a +1=b +3,即a =3,b =1时取等号,所以1a +1+1b +3的最小值为12.答案:12。
高中数学不等式经典题型集锦姓名班级学号得分注意事项:1、本试题满分100分,考试时间90分钟2、答题前填好自己的姓名、班级、考号等信息3.请将答案正确填写在答题卡上一.单选题(每题3分,共48分)1.若t∈(0,1],则t+有最小值()A.2B.3 C.-2D.不存在2.不等式(1+x)(2-x)(3+x2)>0的解集是()A.φB.RC.{x|-1<x<2} D.{x|x>2或x<-1}3.如果实数x,y满足:,则目标函数z=4x+y的最大值为()A.2 B.3 C.D.44.设变量x,y满足约束条件,则z=6x-y的最小值为()A.-8 B.0 C.-2 D.-75.在△ABC中,E为AC上一点,且,P为BE上一点,且(m>0,n>0),则取最小值时,向量=(m,n)的模为()A.B.C.D.26.若a,b,c>0且a2+2ab+2ac+4bc=12,则a+b+c的最小值是()A.B.3 C.2 D.7.不等式x2-ax-12a2<0(a<0)的解集是()A.(-3a,4a)B.(4a,-3a)C.(-3,4)D.(2a,6a)8.若第一象限的点(a,b)关于直线x+y-2=0的对称点在直线2x+y+3=0上,则的最小值是()A.1 B.3 C.D.9.若直线2ax-by+2=0(a>0,b>0)被圆x2+y2+2x-4y+1=0截得的弦长为4,则的最小值是()A.5 B.6 C.8 D.910.若a,b,c>0且,则2a+b+c的最小值为()A.B.C.D.11.已知x,y满足,且z=2x-y的最大值是最小值的4倍,则a的值是()A.B.C.2 D.-212.不等式的解集是()A.[1,+∞)B.(2,+∞)∪(-∞,-1]C.[2,+∞)∪(-∞,-1] D.[3,+∞)∪(-∞,2)13.若不等式x2-ax+b<0的解集为(1,2),则不等式<的解集为()A.(,+∞)B.(-∞,0)∪(,+∞)C.(,+∞)D.(-∞,0)∪(,+∞)14.若关于x的不等式-+ax>-1的解集为{x|-1<x<2},则实数a=()A.B.C.-2 D.215.若a>0,b>0,则不等式-b<<a等价于()A.<x<0或0<x<B.-<x<C.x<-或x>D.x<或x>16.二次函数f(x)=ax2+bx+c中,a>0且a≠1,对于任意的x∈R都有f(x-3)=f(1-x),设m=f(),n=f[],则()A.m<n B.m=nC.m>n D.m,n的大小关系不确定二.填空题(每题3分,共27分)17.设,x,y∈R,a>1,b>1,若a x=b y=4,a+b=2,则的最大值为______.18.已知3a+2b=1,a,b∈R*,则的最小值______.19.已知实数x,y满足x>y>0且x+y=1,则的最小值是______.20.若x>0,y>0,且+=2,则6x+5y的最小值为______.21.已知x,y为正数,且x++3y+=10,则x+3y的最大值为______.22.若实数a,b满足2a+2b=1,则a+b的最大值是______.23.已知0<b<a<c≤4,ab=2,则的最小值是______.24.设x,y∈R,且x2+xy+y2=9,则x2+y2的最小值为______.25.若x>0,y>0,且y=,则x+y的最小值为______.三.简答题(每题5分,共25分)26.已知a,b,c为正数,证明:≥abc.27.已知不等式|x+2|+|x-2丨<10的解集为A.(1)求集合A;,不等式a+b>(x-4)(-9)+m恒成立,求实数m的(2)若∀a,b∈A,x∈R+取值范围.28.设,则的最小值为______.,x+y+z=3.29.已知x,y,z∈R+(1)求++的最小值(2)证明:3≤x2+y2+z2<9.30.已知关于x的不等式在x∈(a,+∞)上恒成立,求实数a的最小值.参考答案一.单选题(共__小题)1.若t∈(0,1],则t+ 有最小值()A.2B.3 C.-2D.不存在答案:B解析:解:构造函数f(t)=t+,根据双勾函数的图象和性质,f(t)在(0,)上单调递减,在(,+∞)上单调递增,所以,当t∈(0,1]时,f(t)单调递减,=f(1)=3,即f(t)min故答案为:B.2.不等式(1+x)(2-x)(3+x2)>0的解集是()A.φB.RC.{x|-1<x<2} D.{x|x>2或x<-1}答案:C解析:解:∵3+x2>0,∴原不等式即为(1+x)(2-x)>0,再化为(1+x)(x-2)<0,解得-1<x<2.故选C3.如果实数x,y满足:,则目标函数z=4x+y的最大值为()A.2 B.3 C.D.4答案:C解析:解:约束条件的可行域如下图示:由图易得目标函数z=4x+y在A(,)处取得最大,最大值,故选C.4.设变量x,y满足约束条件,则z=6x-y的最小值为()A.-8 B.0 C.-2 D.-7答案:D解析:解:由约束条件作出可行域如图,联立,得B(-1,1),化目标函数z=6x-y为y=-6x+z,由图可知,当直线y=-6x+z过B时,直线在y轴上的截距最大,z最小为6×(-1)-1=-7.故选:D.5.在△ABC中,E为AC上一点,且,P为BE上一点,且(m>0,n>0),则取最小值时,向量=(m,n)的模为()A.B.C.D.2答案:C解析:解:∵,∴=m+4n,又∵P为BE上一点,不妨设=λ,(0<λ<1),∴=+=+λ=+λ()=(1-λ)+λ,∴m+4n=(1-λ)+λ,∵,不共线,∴,∴m+4n=1,∴=()(m+4n)=5++≥5+2=9当且仅当=即m=且n=时,上式取到最小值,∴向量=(m,n)的模||==故选:C6.若a,b,c>0且a2+2ab+2ac+4bc=12,则a+b+c的最小值是()A.B.3 C.2 D.答案:A解析:解:(a+b+c)2=a2+b2+c2+2ab+2ac+2bc=(a2+2ab+2ac+4bc)+b2+c2-2bc=12+(b-c)2≥12,当且仅当b=c时取等号,∴a+b+c≥故选项为A7.不等式x2-ax-12a2<0(a<0)的解集是()A.(-3a,4a)B.(4a,-3a)C.(-3,4)D.(2a,6a)答案:B解析:解:x2-ax-12a2<0,因式分解得:(x-4a)(x+3a)<0,可化为:或,∵a<0,∴4a<0,-3a>0,解得:4a<x<-3a,则原不等式的解集是(4a,-3a).故选B8.若第一象限的点(a,b)关于直线x+y-2=0的对称点在直线2x+y+3=0上,则的最小值是()A.1 B.3 C.D.答案:C解析:解:设A(a,b)关于直线x+y-2=0的对称点B(x0,y)在直线2x+y+3=0上,∴线段AB的中点(,)在直线x+y-2=0上,由题意得:,∴a+2b=9,∴+=+=++≥+2=,当且仅当:=即b=2a时“=”成立,故选:C.9.若直线2ax-by+2=0(a>0,b>0)被圆x2+y2+2x-4y+1=0截得的弦长为4,则的最小值是()A.5 B.6 C.8 D.9答案:D解析:解:由x2+y2+2x-4y+1=0得:(x+1)2+(y-2)2=4,∴该圆的圆心为O(-1,2),半径r=2;又直线2ax-by+2=0(a>0,b>0)被圆x2+y2+2x-4y+1=0截得的弦长为4,∴直线2ax-by+2=0(a>0,b>0)经过圆心O(-1,2),∴-2a-2b+2=0,即a+b=1,又a>0,b>0,∴=()•(a+b)=1+++4≥5+2=9(当且仅当a=,b=时取“=”).故选D.10.若a,b,c>0且,则2a+b+c的最小值为()A.B.C.D.答案:D解析:解:若a,b,c>0且,所以,∴,则(2a+b+c)≥,故选项为D.11.已知x,y满足,且z=2x-y的最大值是最小值的4倍,则a的值是()A.B.C.2 D.-2答案:B解析:解:由题意可得,∴a<1,不等式组表示的平面区域如图所示,三角形的三个顶点坐标分别为(a,a),(a,2-a),(1,1).由z=2x-y可得y=2x-z,则z表示直线y=2x-z在y轴上的截距的相反数,截距越大,z越小作直线L:y=-2x,把直线向可行域平移,当直线经过(1,1)时,z最大为1,当直线经过点(a,2-a)时,z最小为3a-2,∵z=2x-y的最大值是最小值的4倍,∴4(3a-2)=1,即12a=9,∴a=.故选B.12.不等式的解集是()A.[1,+∞)B.(2,+∞)∪(-∞,-1]C.[2,+∞)∪(-∞,-1] D.[3,+∞)∪(-∞,2)答案:B解析:解:不等式化为即,即,转化为:所以不等式的解集为:(-∞,-1]∪(2,+∞).故选B.13.若不等式x2-ax+b<0的解集为(1,2),则不等式<的解集为()A.(,+∞)B.(-∞,0)∪(,+∞)C.(,+∞)D.(-∞,0)∪(,+∞)答案:B解析:解:因为不等式x2-ax+b<0的解集为(1,2),所以1+2=a,1×2=b,即a=3,b=2,所以不等式<为,整理得,解得x<0或者x>,所以不等式的解集为:(-∞,0)∪(,+∞).故选B.14.若关于x的不等式-+ax>-1的解集为{x|-1<x<2},则实数a=()A.B.C.-2 D.2答案:A解析:解:由的解集是{x|-1<x<2},可知-1与2是方程的两根,∴,解得 a=.故选A.15.若a>0,b>0,则不等式-b<<a等价于()A.<x<0或0<x<B.-<x<C.x<-或x>D.x<或x>答案:D解析:解:故选D.16.二次函数f(x)=ax2+bx+c中,a>0且a≠1,对于任意的x∈R都有f(x-3)=f(1-x),设m=f(),n=f[],则()A.m<n B.m=nC.m>n D.m,n的大小关系不确定答案:A解析:解:∵二次函数f(x)=ax2+bx+c中,a>0且a≠1,对于任意的x∈R都有f(x-3)=f(1-x),∴二次函数f(x)关于直线x==-1对称.∴m=f()=f(-2),n=f[]=f()=,∵a>0且a≠1,∴函数f(x)在(-∞,-1]上单调递减,∴.∴n>m.故选:A.二.填空题(共__小题)17.设,x,y∈R,a>1,b>1,若a x=b y=4,a+b=2,则的最大值为______.答案:解析:解:∵a>1,b>1,a+b=2,∴,即ab≤2,当且仅当时取等号.∵a x=b y=4,∴xlga=lg4,ylgb=lg4,∴===.故答案为.18.已知3a+2b=1,a,b∈R*,则的最小值______.答案:解析:解;∵3a+2b=1,a,b∈R*,∴3a∵====∴的最小值为故答案:.19.已知实数x,y满足x>y>0且x+y=1,则的最小值是______.答案:解析:解:∵x>y>0且x+y=1,∴.则=+=+=f(x),f′(x)=-=,令f′(x)>0,解得<x<1,此时函数f(x)单调递增;令f′(x)<0,解得,此时函数f(x)单调递减.∴当x=时,函数f(x)取得最小值,=.故答案为:.20.若x>0,y>0,且+=2,则6x+5y的最小值为______.答案:解析:解:6x+5y===,当且仅当,a=时取等号.故答案为:.21.已知x,y为正数,且x++3y+=10,则x+3y的最大值为______.答案:8解析:解:∵x++3y+=10,∴(x+3y)(x++3y+)=10(x+3y),∴(x+3y)2-10(x+3y)+10++=0,∵+≥6(=,即x=y时取等号)∴(x+3y)2-10(x+3y)+16≤0,∴2≤x+3y≤8,∴x+3y的最大值为8,此时x=y=2.故答案为:8.22.若实数a,b满足2a+2b=1,则a+b的最大值是______.答案:-2解析:解:∵2a+2b=1,∴=,即,∴a+b≤-2,当且仅当,即a=b=-1时取等号,∴a=b=-1时,a+b取最大值-2.故答案为:-2.23.已知0<b<a<c≤4,ab=2,则的最小值是______.答案:解析:解:∵已知0<b<a<c≤4,ab=2,∴0<b<1,2<a,a->0.则=+=+=(a-)+()+≥2+=4+=,当且仅当(a-)=()且c=时,等号成立,故答案为:.24.设x,y∈R,且x2+xy+y2=9,则x2+y2的最小值为______.答案:6解析:解:∵,解得x2+y2≥6,当且仅当x=y=时取等号.故答案为6.25.若x>0,y>0,且y=,则x+y的最小值为______.答案:18解析:解:∵x>0,y>0,且y=>0,解得x>2.∴x+y===x-2++2≥+2=18,当且仅当x=6时取等号,此时x+y的最小值为18.故答案为:18.三.简答题(共__小题)26.已知a,b,c为正数,证明:≥abc.答案:证明:∵a,b,c为正数,∴a2(b2+c2)≥2a2bc①,b2(a2+c2)≥2b2ac②,c2(b2+a2)≥2c2ba③①+②+③可得:2(a2b2+b2c2+c2a2)≥2abc(a+b+c)∴≥abc.27.已知不等式|x+2|+|x-2丨<10的解集为A.(1)求集合A;,不等式a+b>(x-4)(-9)+m恒成立,求实数m的(2)若∀a,b∈A,x∈R+取值范围.答案:解:(1)不等式|x+2|+|x-2丨<10等价于,或或,解得-5<x<5,故可得集合A=(-5,5);,(2)∵a,b∈A=(-5,5),x∈R+∴-10<a+b<10,∴(x-4)(-9)=1--9x+36=37-(+9x)≤37-2=25,∵不等式a+b>(x-4)(-9)+m恒成立,∴m+25≤-10,解得m≤-3528.设,则的最小值为______.答案:解:∵,∴1-2x>0∴==13+≥13+=25 当且仅当,即x=时,的最小值为25故答案为:25,x+y+z=3.29.已知x,y,z∈R+(1)求++的最小值(2)证明:3≤x2+y2+z2<9.答案:,x+y+z=3.(1)解:∵x,y,z∈R+∴++===3,当且仅当x=y=z=1时取等号,∴++的最小值是3.(2)证明:∵(x-y)2+(x-z)2+(y-z)2≥0,∴2(x2+y2+z2)≥2xy+2xz+2yz,∴3(x2+y2+z2)≥(x+y+z)2=32,∴x2+y2+z2≥3;又x2+y2+z2-9=x2+y2+z2-(x+y+z)2=-2(xy+yz+xz)<0.综上可得:3≤x2+y2+z2<9.解析:(30.已知关于x的不等式在x∈(a,+∞)上恒成立,求实数a的最小值.答案:解:不等式在x∈(a,+∞)上恒成立,设y=,∴x-1≥2,x≥3,故实数a的最小值3.。