傅里叶变换_百度文库.
- 格式:docx
- 大小:10.73 KB
- 文档页数:4
常用傅立叶变换表
Document serial number【NL89WT-NY98YT-NC8CB-NNUUT-NUT108】
18
δ(ω) 代表分布. 这个变换展示了狄拉克δ函数的重要性:该函数是常函数的傅立叶变换
19 变换23的频域对应
20 由变换3和24得到.
21
由变换1和25得到,应用了:
时域信号
弧频率表示的 傅里叶变换
注释
1线性
2 时域平移
3 频域平移, 变换2的频域对应
4
如果
值较大,则
会收缩到
原点附近,而会扩散并变得扁平. 当 | a | 趋向无穷时,成为 Delta 函数。
5 傅里叶变换的二元性性质。
通过交换时域变量 和频域变量 得到. 6 傅里叶变换的微分性质 7 变换6的频域对应 8 表示 和 的卷积 — 这就是 9
和归一化的 10 变换10的频域对应。
矩形函数是理想的低通滤波器,是这类滤波器对冲击的响应。
11
tri 是 12 变换12的频域对应 13 exp( αt 2) 的傅里叶变换是他本身. 只有当 Re(α) > 0时,这是可积的。
14
15
16 a>0
17
变换本身就是一个公式。
五种傅里叶变换包括常规的傅里叶变换(FT)、短时傅里叶变换(STFT)、小波变换(WT)、希尔伯特变换(HT)和希尔伯特黄变换(HHT)。
它们的主要区别和联系如下:
1. 傅里叶变换(FT):将一个以时间t为自变量的连续的信号f(t)转换为以频率为自变量的函数F(jf),该函数是复数形式的。
此变换的前提是信号是平稳的,即其频率特性不会随时间变化。
2. 短时傅里叶变换(STFT):在傅里叶变换的基础上,对每个时间段内的信号进行傅里叶变换,从而得到该时间段的频谱。
STFT可以处理非平稳信号,因为其可以将信号的时间依赖性和频率依赖性分开。
3. 小波变换(WT):与傅里叶变换类似,小波变换也是将信号分解成不同的频率成分。
不同的是,小波变换使用的是小波基,可以更好地适应处理非平稳信号。
4. 希尔伯特变换(HT):对一个信号进行希尔伯特变换可以得到该信号的解析信号,该解析信号可以更好地表示信号的相位信息。
5. 希尔伯特黄变换(HHT):是一种用于处理非线性和非平稳信号的变换,其基于经验模式分解(EMD),可以将信号分解成一系列固有模式函数(IMF)。
每个IMF都可以进行希尔伯特变换,从而得到该IMF的相位信息。
总的来说,五种傅里叶变换都是为了更好地处理和解析信号,选择哪种变换取决于具体的应用场景和信号的性质。
傅里叶变换常用公式1.傅里叶变换定义:F(w) = ∫[f(t)e^(-jwt)] dt2.傅里叶逆变换定义:f(t) = ∫[F(w)e^(jwt)] dw / (2π)傅里叶逆变换定义了将频域函数F(w)转换回时域函数f(t)的方式。
3.单位冲激函数的傅里叶变换:F(w) = ∫[δ(t)e^(-jwt)] dtδ(t)是单位冲激函数,其傅里叶变换结果为14.周期函数的傅里叶级数展开:f(t) = ∑[a(n)cos(nω0t) + b(n)sin(nω0t)]f(t)可以用无穷级数形式表示,其中ω0为基本角频率,a(n)和b(n)为系数。
5.周期函数的傅里叶变换:F(w)=2π∑[δ(w-nω0)]周期函数f(t)的频谱是一系列频率为nω0的冲激函数。
6.卷积定理:FT[f*g]=F(w)G(w)f*g表示函数f(t)和g(t)的卷积,FT表示傅里叶变换,*表示复数乘法。
卷积定理说明卷积在频域中的运算等于对应的傅里叶变换相乘。
7.积分定理:∫[f(t)g(t)] dt = 1/2π ∫[F(w)G(-w)] dw积分定理表明函数f(t)和g(t)的乘积在时域中的积分等于它们在频域中的乘积的逆变换。
8.平移定理:g(t) = f(t - t0) 对应的傅里叶变换 F(w) = e^(-jwt0) G(w)平移定理说明在时域中将函数f(t)右移t0单位,等价于在频域中将F(w)乘以e^(-jwt0)。
9.缩放定理:g(t) = f(at) 对应的傅里叶变换 G(w) = 1/,a, F(w/a)缩放定理说明在时域中将函数f(t)横向拉伸为af(t),等价于在频域中将F(w)纵向压缩为1/,a,F(w/a)。
除了以上列举的公式,傅里叶变换还有许多性质和定理,如频移定理、频域微分定理、频域积分定理等,这些公式和定理在信号处理中非常有用,可以加速计算和简化问题的分析。
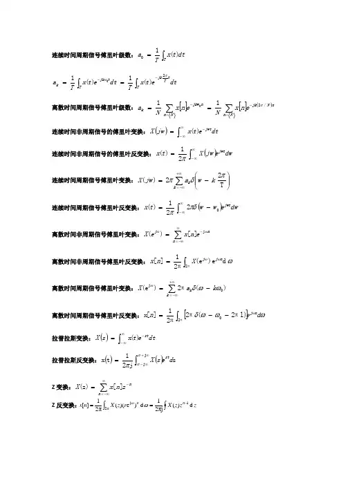
连续时间周期信号傅里叶级数:⎰=T dt t x Ta )(1⎰⎰--==T tTjkT tjk k dt et x Tdt et x Ta πω2)(1)(1离散时间周期信号傅里叶级数:[][]()∑∑=-=-==Nn nN jk Nn njkwk e n x Ne n x Na /2110π连续时间非周期信号的傅里叶变换:()⎰∞∞--=dt e t x jw Xjwt )(连续时间非周期信号的傅里叶反变换:()dw e jw X t x jwt ⎰∞∞-=π21)(连续时间周期信号傅里叶变换:∑+∞-∞=⎪⎪⎭⎫⎝⎛-=k k kw a jw X T 22)(πδπ连续时间周期信号傅里叶反变换:()dw e w w t x jwt ⎰∞∞--=0221)(πδπ离散时间非周期信号傅里叶变换:∑∞-∞=-=nnj e n x eX ωωj ][)(离散时间非周期信号傅里叶反变换:⎰=π2d e )(e π21][ωωωn j j X n x离散时间周期信号傅里叶变换:∑+∞-∞=-=kk k a X )(π2)e (0j ωωδω离散时间周期信号傅里叶反变换:[]ωωωδωd e n n j ⎰--=π20πl)2(π2π21][x拉普拉斯变换:()dt e t s Xst -∞∞-⎰=)(x拉普拉斯反变换:()()s j21t x j j d e s X st ⎰∞+∞-=σσπZ 变换:∑∞-∞=-=nnz n x X ][)z (Z 反变换: ⎰⎰-==z z z X r z X n x n nd )(πj21d )e ()(π21][1j π2ωω。
傅里叶变换的四种形式
傅里叶变换的四种形式包括:
1.连续傅里叶变换(Continuous Fourier Transform):这是将频率域的函数F(ω)表示为时间域的函数f(t)的积分形式。
其逆变换为:一般可称函数f(t)为原函数,而称函数F(ω)为傅里叶变换的像函数,原函数和像函数构成一个傅里叶变换对(transform pair)。
对于周期函数,其傅里叶级数是存在的。
2.离散时域傅里叶变换(Discrete Time Fourier Transform,DTFT):DTFT在时域上是离散的,在频域上则是周期的。
DTFT可以被看作是傅里叶级数的逆变换。
3.离散傅里叶变换(Discrete Fourier Transform,DFT):DFT 是连续傅里叶变换在时域和频域上都离散的形式,将时域信号的采样变换为在离散时间傅里叶变换(DTFT)频域的采样。
4.离散傅里叶级数(Discrete Fourier Series,DFS):对于周期性离散信号,可以使用离散傅里叶级数(DFS)进行表示。
常用傅里叶变换公式大全傅里叶变换是一种重要的数学工具,它可以将时域信号转换为频域信号,从而更好地理解信号的特性。
下面就是常用的傅里叶变换公式大全:1、傅里叶变换:$$F(u)=\int_{-\infty}^{\infty}f(x)e^{-2\pi iux}dx$$2、傅里叶反变换:$$f(x)=\int_{-\infty}^{\infty}F(u)e^{2\pi iux}du$$3、离散傅里叶变换:$$F(u)=\sum_{n=-\infty}^{\infty}f(n)e^{-2\pi iun}$$4、离散傅里叶反变换:$$f(n)=\frac{1}{N}\sum_{u=-\infty}^{\infty}F(u)e^{2\pi iun}$$5、快速傅里叶变换:$$F(u)=\sum_{n=0}^{N-1}f(n)W_N^{nu}$$6、快速傅里叶反变换:$$f(n)=\frac{1}{N}\sum_{u=0}^{N-1}F(u)W_N^{-nu}$$7、离散余弦变换:$$F(u)=\sum_{n=0}^{N-1}f(n)\cos\frac{(2n+1)u\pi}{2N}$$8、离散余弦反变换:$$f(n)=\frac{1}{N}\sum_{u=0}^{N-1}F(u)\cos\frac{(2n+1)u\pi}{2N}$$9、离散正弦变换:$$F(u)=\sum_{n=0}^{N-1}f(n)\sin\frac{(2n+1)u\pi}{2N}$$10、离散正弦反变换:$$f(n)=\frac{1}{N}\sum_{u=0}^{N-1}F(u)\sin\frac{(2n+1)u\pi}{2N}$$以上就是常用的傅里叶变换公式大全,它们可以帮助我们更好地理解信号的特性,并且可以用来解决许多实际问题。
因此,傅里叶变换在科学研究和工程应用中都有着重要的作用。
从头到尾彻底理解傅里叶变换算法、上前言第一部分、DFT第一章、傅立叶变换的由来第二章、实数形式离散傅立叶变换(Real DFT)从头到尾彻底理解傅里叶变换算法、下第三章、复数第四章、复数形式离散傅立叶变换/***************************************************************************************************/这一片的傅里叶变换算法,讲解透彻,希望对大家会有所帮助。
感谢原作者们(July、dznlong)的精心编写。
/**************************************************************************************************/前言:“关于傅立叶变换,无论是书本还是在网上可以很容易找到关于傅立叶变换的描述,但是大都是些故弄玄虚的文章,太过抽象,尽是一些让人看了就望而生畏的公式的罗列,让人很难能够从感性上得到理解”---dznlong,那么,到底什么是傅里叶变换算法列?傅里叶变换所涉及到的公式具体有多复杂列?傅里叶变换(Fourier transform)是一种线性的积分变换。
因其基本思想首先由法国学者傅里叶系统地提出,所以以其名字来命名以示纪念。
哦,傅里叶变换原来就是一种变换而已,只是这种变换是从时间转换为频率的变化。
这下,你就知道了,傅里叶就是一种变换,一种什么变换列?就是一种从时间到频率的变化或其相互转化。
ok,咱们再来总体了解下傅里叶变换,让各位对其有个总体大概的印象,也顺便看看傅里叶变换所涉及到的公式,究竟有多复杂:以下就是傅里叶变换的4种变体(摘自,维基百科)连续傅里叶变换一般情况下,若“傅里叶变换”一词不加任何限定语,则指的是“连续傅里叶变换”。
连续傅里叶变换将平方可积的函数f(t)表示成复指数函数的积分或级数形式。
傅里叶变换的11个性质公式傅里叶变换的11个性质公式是傅立叶变换的基本性质,由他们可以推出其它性质。
其中包括线性性质、有穷性质、周期性质、旋转性质、折叠性质、应变性质、平移性质、对称性质、频域算子性质、滤波性质、压缩性质等共11条。
1、线性性质:如果x(t)和y(t)是两个信号,则有:X(ω)=F[x(t)],Y(ω)=F[y(t)],则有:X(ω)+Y(ω)=F[x(t)+y(t)];αX(ω)=F[αx(t)];X(ω)*Y(ω)=F[x(t)*y(t)]。
2、有穷性质:如果x(t)是有穷的,则X(ω)也是有穷的。
3、周期性质:如果x(t)在周期T内无穷重复,则X(ω)也在周期2π/T内无穷重复。
4、旋转性质:X(ω-ω0) = F[x(t)e^(-jω0t)],即信号x(t)经过相位旋转成x(t)e^(-jω0t),其傅里叶变换也会经过相位旋转成X(ω-ω0)。
5、折叠性质:X(ω+nω0)=F[x(t)e^(-jnω0t)],即信号x(t)经过频率折叠后变为x(t)e^(-jnω0t),其傅里叶变换也会经过频率折叠成X(ω+nω0)。
6、应变性质:X(aω)=F[x(at)],即信号x(t)经过时间应变成x(at),其傅里叶变换也会经过频率应变成X(aω)。
7、平移性质:X(ω-ω0) = F[x(t-t0)],即信号x(t)经过时间平移成x(t-t0),其傅里叶变换也会经过频率平移成X(ω-ω0)。
8、对称性质:X(-ω) = X*(-ω),即傅里叶变换的实部和虚部对称。
9、频域算子性质:X(ω)Y(ω)=F[h(t)*x(t)],即傅里叶变换不仅可以表示信号,还可以表示系统的频域表示,即h(t)*x(t),其傅里叶变换为X(ω)Y(ω)。
10、滤波性质:H(ω)X(ω)=F[h(t)*x(t)],即傅里叶变换可以用来表示滤波器的频域表示,即h(t)*x(t),其傅里叶变换为H(ω)X(ω)。
傅里叶变换图像的频率是表征图像中灰度变化剧烈程度的指标,是灰度在平面空间上的梯度。
对图像而言,图像的边缘部分是突变部分,变化较快,因此反应在频域上是高频分量;图像的噪声大部分情况下是高频部分;图像平缓变化部分则为低频分量;也就是说,傅里叶变换提供另外一个角度来观察图像,可以将图像从灰度分布转化到频率分布上来观察图像的特征。
图像进行二维傅里叶变换得到频谱图,就是图像梯度的分布图。
一般来讲,梯度大则该点的亮度强,否则该点亮度弱。
傅里叶变换的作用:(1)图像增强与图像去噪绝大部分噪音都是图像的高频分量,通过低通滤波器来滤除高频—噪音;边缘也是图像的高频分量,可以通过添加高频分量来增强图像的边缘;(2)图像分割之边缘检测提取图像高频分量(3)图像特征提取形状特征:傅里叶描述子纹理特征:直接通过傅里叶系数来计算纹理特征其他特征:将提取的特征值进行傅里叶变换使特征具有平移,伸缩、旋转不变形(4)图像压缩可以直接通过傅里叶系数来压缩数据;常用的离散余弦变换是傅里叶变换的实变换。
频域中的重要概念:图像高频分量:图像突变部分;在某些情况下指图像边缘信息,某些情况下指噪音更多是两者的混合;低频分量:图像变换平缓部分,也就是图像轮廓信息高通滤波器:让图像使低频分量抑制,高频分量通过低通滤波器:带通滤波器:使图像在某一部分的频率信息通过,其他过低或过高的都抑制。
模板运算与卷积公式:在时域内做模板运算,实际上就是对图像进行卷积。
模板运算是图像处理一个很重要的处理过程,很多图像处理过程中,比如增强/去噪,边缘检测中普遍用到。
根据卷积定理,时域卷积等价于频域乘积。
因此,在时域内对图像做模板运算就等效于在频域内对图像做滤波处理。
比如说一个均值模板,其频域响应为一个低通滤波器;在时域内对图像作均值滤波就等效于在频域内对图像用均值模板的频域响应对图像的频域响应做一个低通滤波。
为什么我们要用正弦曲线来代替原来的曲线呢?分解信号的目的是为了更加简单地处理原来的信号。
f(t)=tε(t)傅里叶变换
摘要:
一、傅里叶变换的定义与背景
二、傅里叶变换的数学表达式
三、傅里叶变换在信号处理中的应用
四、傅里叶变换在图像处理中的应用
五、总结
正文:
一、傅里叶变换的定义与背景
傅里叶变换是一种在信号处理和图像处理中广泛应用的数学方法,它是由法国数学家傅里叶在19 世纪提出的。
傅里叶变换可以将一个信号从时域转换到频域,从而使我们更容易地分析和处理信号。
二、傅里叶变换的数学表达式
傅里叶变换的数学表达式为:f(t)=tε(t)。
其中,f(t) 表示原始信号,t 表示时间,ε(t) 表示基函数,它满足正弦和余弦函数的性质。
三、傅里叶变换在信号处理中的应用
傅里叶变换在信号处理中有着广泛的应用,例如在滤波、信号识别、去噪等方面。
通过傅里叶变换,我们可以将信号分解为不同频率的正弦和余弦波,从而实现对信号的滤波和识别。
四、傅里叶变换在图像处理中的应用
傅里叶变换在图像处理中的应用也非常重要,例如在图像压缩、图像去
噪、边缘检测等方面。
通过傅里叶变换,我们可以将图像从空间域转换到频域,从而更容易地实现图像的压缩和去噪。
从头到尾彻底理解傅里叶变换算法、上前言第一部分、DFT第一章、傅立叶变换的由来第二章、实数形式离散傅立叶变换(Real DFT)从头到尾彻底理解傅里叶变换算法、下第三章、复数第四章、复数形式离散傅立叶变换/***************************************************************************************************/这一片的傅里叶变换算法,讲解透彻,希望对大家会有所帮助。
感谢原作者们(July、dznlong)的精心编写。
/**************************************************************************************************/前言:“关于傅立叶变换,无论是书本还是在网上可以很容易找到关于傅立叶变换的描述,但是大都是些故弄玄虚的文章,太过抽象,尽是一些让人看了就望而生畏的公式的罗列,让人很难能够从感性上得到理解”---dznlong,那么,到底什么是傅里叶变换算法列?傅里叶变换所涉及到的公式具体有多复杂列?傅里叶变换(Fourier transform)是一种线性的积分变换。
因其基本思想首先由法国学者傅里叶系统地提出,所以以其名字来命名以示纪念。
哦,傅里叶变换原来就是一种变换而已,只是这种变换是从时间转换为频率的变化。
这下,你就知道了,傅里叶就是一种变换,一种什么变换列?就是一种从时间到频率的变化或其相互转化。
ok,咱们再来总体了解下傅里叶变换,让各位对其有个总体大概的印象,也顺便看看傅里叶变换所涉及到的公式,究竟有多复杂:以下就是傅里叶变换的4种变体(摘自,维基百科)连续傅里叶变换一般情况下,若“傅里叶变换”一词不加任何限定语,则指的是“连续傅里叶变换”。
连续傅里叶变换将平方可积的函数f(t)表示成复指数函数的积分或级数形式。
傅里叶变换,拉普拉斯变换和Z 变换的意义来源:于理扬的日志
傅里叶变换在物理学、数论、组合数学、信号处理、概率论、统计学、密码学、声学、光学、海洋学、结构动力学等领域都有着广泛的应用(例如在信号处理中, 傅里叶变换的典型用途是将信号分解成幅值分量和频率分量。
傅里叶变换能将满足一定条件的某个函数表示成三角函数(正弦和/或余弦函数或者它们的积分的线性组合。
在不同的研究领域, 傅里叶变换具有多种不同的变体形式, 如连续傅里叶变换和离散傅里叶变换。
傅里叶变换是一种解决问题的方法,一种工具,一种看待问题的角度。
理解的关键是:一个连续的信号可以看作是一个个小信号的叠加, 从时域叠加与从频域叠加都可以组成原来的信号,将信号这么分解后有助于处理。
我们原来对一个信号其实是从时间的角度去理解的,不知不觉中,其实是按照时间把信号进行分割, 每一部分只是一个时间点对应一个信号值, 一个信号是一组这样的分量的叠加。
傅里叶变换后, 其实还是个叠加问题, 只不过是从频率的角度去叠加, 只不过每个小信号是一个时间域上覆盖整个区间的信号, 但他确有固定的周期,或者说,给了一个周期,我们就能画出一个整个区间上的分信号,那么给定一组周期值(或频率值,我们就可以画出其对应的曲线,就像给出时域上每一点的信号值一样,不过如果信号是周期的话,频域的更简单,只需要几个甚至一个就可以了,时域则需要整个时间轴上每一点都映射出一个函数值。
傅里叶变换就是将一个信号的时域表示形式映射到一个频域表示形式;逆傅里叶变换恰好相反。
这都是一个信号的不同表示形式。
它的公式会用就可以,当然把证明看懂了更好。
对一个信号做傅里叶变换,可以得到其频域特性,包括幅度和相位两个方面。
幅度是表示这个频率分量的大小, 那么相位呢, 它有什么物理意义?频域的相位与时域的相位有关系吗?信号前一段的相位(频域与后一段的相位的变化是否与信号的频率成正比关系。
傅里叶变换就是把一个信号,分解成无数的正弦波(或者余弦波信号。
也就是说用无数的正弦波, 可以合成任何你所需要的信号。
想一想这个问题:给你很多正弦信号,你怎样才能合成你需要的信号呢?答案是要两个条件, 一个是每个正弦波的幅度, 另一个就是每个正弦波之间的相位差。
所以现在应该明白了吧,频域上的相位,就是每个正弦波之间的相位。
傅里叶变换用于信号的频率域分析,一般我们把电信号描述成时间域的数学模型,而数字信号处理对信号的频率特性更感兴趣,而通过傅立叶变换很容易得到信号的频率域特性。
傅里叶变换简单通俗理解就是把看似杂乱无章的信号考虑成由一定振幅、相位、频率的基本正弦(余弦信号组合而成,傅里叶变换的目的就是找出这些基本正弦(余弦信号中振幅较大(能量较高信号对应的频率,从而找出杂乱无章的信号中的主要振动频率特点。
如减速机故障时, 通过傅里叶变换做频谱分析, 根据各级齿轮转速、齿数与杂音频谱中振幅大的对比,可以快速判断哪级齿轮损伤。
拉普拉斯变换,是工程数学中常用的一种积分变换。
它是为简化计算而建立的实变量函数和复变量函数间的一种函数变换。
对一个实变量函数作拉普拉斯变换, 并在复数域中作各种运算, 再将运算结果作拉普拉斯反变换来求得实数
域中的相应结果, 往往比直接在实数域中求出同样的结果在计算上容易得多。
拉普拉斯变换的这种运算步骤对于求解线性微分方程尤为有效, 它可把微分方程化为容易求解的代数方程来处理,从而使计算简化。
在经典控制理论中,对控制系统的分析和综合, 都是建立在拉普拉斯变换的基础上的。
引入拉普拉斯变换的一个主要优点, 是可采用传递函数代替微分方程来描述系统的特性。
这就为采用直观和简便的图解方法来确定控制系统的整个特性(见信号流程图、动态结构图、分析控制系统的运动过程(见奈奎斯特稳定判据、根轨迹法以及综合控制系统的校正装置(见控制系统校正方法提供了可能性。
拉普拉斯变换在工程学上的应用:应用拉普拉斯变换解常变量齐次微分方程,可以将微分方程化为代数方程,使问题得以解决。
在工程学上,拉普拉斯变换的重大意义在于:将一个信号从时域上,转换为复频域(s 域上来表示;在线性系统,控制自动化上都有广泛的应用。
在数字信号处理中, Z 变换是一种非常重要的分析工具。
但在通常的应用中, 我们往往只需要分析信号或系统的频率响应, 也即是说通常只需要进行傅里叶变换即可。
那么,为什么还要引进Z 变换呢? Z 变换和傅里叶变换之间有存在什么样的关系呢?傅里叶变换的物理意义非常清晰:将通常在时域表示的信号, 分解为多个正弦信号的叠加。
每个正弦信号用幅度、频率、相位就可以完全表征。
傅里叶变换之后的信号通常称为频谱, 频谱包括幅度谱和相位谱, 分别表示幅度随频率的分布及相位随频率的分布。
在自然界, 频率是有明确的物理意义的, 比如说声音信号, 男同胞声音低沉雄浑, 这主要是因为男声中低频分量更多; 女同胞多高亢清脆, 这主要是因为女声中高频分量更多。
对一个信号来说, 就包含的信息量来讲, 时域信号及其相应的傅里叶变换之后的信号是完全一样的。
那傅里叶变换有什么作用呢?因为有的信号主要在时域表现其特性, 如电容充放电的过程; 而有的信号则主要在频域表现其特性,如机械的振动,人类的语音等。
若信号的特征主要在频域表示的话, 则相应的时域信号看起来可能杂
乱无章, 但在频域则解读非常方便。
在实际中, 当我们采集到一段信号之后, 在没有任何先验信息的情况下, 直觉是试图在时域能发现一些特征, 如果在时域无所发现的话, 很自然地将信号转换到频域再看看能有什么特征。
信号的时域描述与频域描述, 就像一枚硬币的两面, 看起来虽然有所不同, 但实际上都是同一个东西。
正因为如此, 在通常的信号与系统的分析过程中,我们非常关心傅里叶变换。
既然人们只关心信号的频域表示,那么Z 变换又是怎么回事呢? 要说到Z 变换, 可能还要先追溯到拉普拉斯变换。
拉普拉斯变换是以法国数学家拉普拉斯命名的一种变换方法, 主要是针对连续信号的分析。
拉普拉斯和傅里叶都是同时代的人, 他们所处的时代在法国是处于拿破仑时代, 国力鼎盛。
在科学上也取代英国
成为当时世界的中心,在当时众多的科学大师中,拉普拉斯、拉格朗日、傅里叶就是他们中间最为璀璨的三颗星。
傅里叶关于信号可以分解为正弦信号叠加的论文,其评审人即包括拉普拉斯和拉格朗日。
回到正题,傅里叶变换虽然好用,而且物理意义明确,但有一个最大的问题是其存在的条件比较苛刻, 比如时域内绝对可积的信号才可能存在傅里叶变换。
拉普拉斯变换可以说是推广了这以概念。
在自然界, 指数信号exp(-x 是衰减最快的信号之一, 对信号乘上指数信号之后, 很容易满足绝对可积的条件。
因此将原始信号乘上指数信号之后一般都能满足傅里叶变换的条件,这种变换就是拉普拉斯变换。
这种变换能将微分方程转化为代数方程, 在18世纪计算机还远未发明的时候, 意义非常重大。
从上面的分析可以看出, 傅里叶变换可以看做是拉普拉斯的一种特殊形式,即所乘的指数信号为exp(O。
也即是说拉普拉斯变换是傅里叶变换的推广,是一种更普遍的表达形式。
在进行信号与系统的分析过程中, 可以先得到拉普拉斯变换这种更普遍的结果, 然后再得到傅里叶变换这种特殊的结果。
这种由普遍到特殊的解决办法, 已经证明在连续信号与系统的分析中能够带来很大的方便。
Z 变换可以说是针对离散信号和系统的拉普拉斯变换, 由此我们就很容易理解Z 变换的重要性,也很容易理解Z 变换和傅里叶变换之间的关系。
Z 变换中的Z 平面与拉普拉斯中的S平面存在映射的关系,z=exp(Ts。
在Z变换中,单位圆上的结果即对应离散时间傅里叶变换的结果。