【最新】新北师大版七年级数学下册单元测试全套
- 格式:docx
- 大小:936.94 KB
- 文档页数:30
七年级数学下册——第一章整式的乘除(复习)单项式整式多项式同底数幂的乘法幂的乘方积的乘方同底数幂的除法零指数幂负指数幂整式的加减单项式与单项式相乘单项式与多项式相乘整式的乘法多项式与多项式相乘整式运算平方差公式完全平方公式单项式除以单项式整式的除法多项式除以单项式第1章整式的乘除单元测试卷一、选择题(共10小题,每小题3分,共30分)温馨提示:每小题四个答案中只有一个是正确的,请把正确的答案选出来!1.下列运算正确的是()A. 954aaa=+ B. 33333aaaa=⋅⋅C. 954632aaa=⨯ D. ()743aa=-=⎪⎭⎫⎝⎛-⨯⎪⎭⎫⎝⎛-20122012532135.2()A. 1- B. 1 C. 0 D. 19973.设()()Ababa+-=+223535,则A=()A. 30abB. 60abC. 15abD. 12ab4.已知,3,5=-=+xyyx则=+22yx()A. 25. B 25- C 19 D、19-5.已知,5,3==ba xx则=-bax23()A、2527B、109C、53D、526. .如图,甲、乙、丙、丁四位同学给出了四 种表示该长方形面积的多项式:①(2a +b )(m +n ); ②2a (m +n )+b (m +n ); ③m (2a +b )+n (2a +b ); ④2am +2an +bm +bn , 你认为其中正确的有A 、①②B 、③④C 、①②③D 、①②③④ ( )7.如(x+m)与(x+3)的乘积中不含x 的一次项,则m 的值为( ) A 、 –3B 、3C 、0D 、18.已知.(a+b)2=9,ab= -112 ,则a ²+b 2的值等于( )A 、84B 、78C 、12D 、6 9.计算(a -b )(a+b )(a 2+b 2)(a 4-b 4)的结果是( ) A .a 8+2a 4b 4+b 8B .a 8-2a 4b 4+b 8C .a 8+b 8D .a 8-b 810.已知m m Q m P 158,11572-=-=(m 为任意实数),则P 、Q 的大小关系为 ( )A 、Q P >B 、Q P =C 、Q P <D 、不能确定二、填空题(共6小题,每小题4分,共24分)温馨提示:填空题必须是将最简洁最正确的答案填在空格处! 11.设12142++mx x 是一个完全平方式,则m =_______。
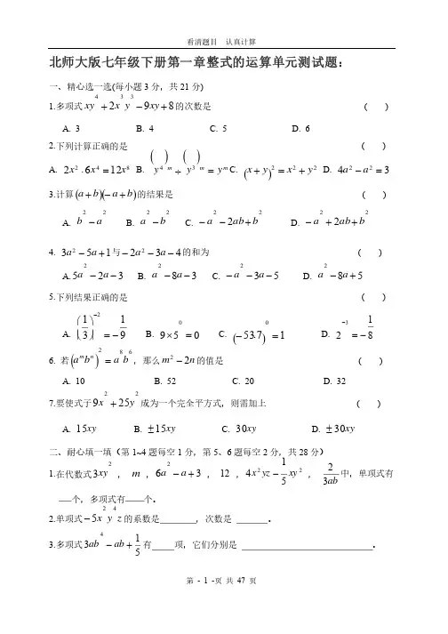
*作者:风骤起*作品编号:31005C58G01599625487创作日期:2020年12月20日实用文库汇编之最新北师大版七年级数学下册单元测试全套及答案北师大版七年级下册第一章整式的运算单元测试题一、精心选一选(每小题3分,共21分)1.多项式的次数是( )A. 3B. 4C. 5D. 62.下列计算正确的是( )A. B. C. D.3.计算的结果是( )A. B. C. D.4. 与的和为( )A. B. C. D.5.下列结果正确的是( )A. B. C. D.6. 若,那么的值是( )A. 10B. 52C. 20D. 327.要使式子成为一个完全平方式,则需加上( )A. B. C. D.二、耐心填一填(第1~4题每空1分,第5、6题每空2分,共28分)1.在代数式,,,,,中,单项式有个,多项式有个。
2.单项式的系数是,次数是。
3.多项式有项,它们分别是。
4. ⑴。
⑵。
⑶。
⑷。
⑸。
⑹。
5.⑴。
⑵。
⑶。
⑷。
6. ⑴。
⑵。
⑶。
⑷。
三、精心做一做 (每题5分,共15分)1.2.3.四、计算题。
(每题6分,共12分)1.2.五、化简再求值:,其中,。
(7分)六、若,,求的值。
(6分)七、(应用题)在长为,宽为的长方形铁片上,挖去长为,宽为的小长方形铁片,求剩余部分面积。
(6分)八、在如图边长为7.6的正方形的角上挖掉一个边长为2.6的小正方形,剩余的图形能否拼成一个矩形?若能,画出这个矩形,并求出这个矩形的面积是多少.(5分)第一章整式测试题一、 (每小题3分,共21分)1. D;2. B;3. A;4. B;5.C;6. A;7. D二、(第1~4题每空1分,第5、6题每空2分,共28分)1. 3,2;2.-5,7;3. 3,;4. ⑴⑵⑶⑷⑸⑹5.⑴⑵⑶⑷6. ⑴⑵5a+4⑶⑷三、精心做一做 (每题5分,共15分)1. ;2. ;3.四、计算题。
(每题6分,共12分)1. ;2.五、-2作者:风骤起作品编号:31005C58G01599625487创作日期:2020年12月20日六、8七、八、能,图略,第二章《相交线与平行线》测试题一、耐心填一填,一锤定音!(每小题3分,共24分)1、平行线的性质:平行线的判定:(1)两直线平行,;(4),两直线平行;(2)两直线平行,;(5),两直线平行;(3)两直线平行,;(6),两直线平行。
北师大版七年级下册第一章整式的运算单元测试题:一、精心选一选(每小题3分,共21分) 1.多项式892334+-+xy y x xy 的次数是的次数是 ( ) A. 3 B. 4 C. 5 D. 6 2.下列计算正确的是下列计算正确的是 ( ) A. 8421262x x x =× B. ()()m mmy y y =¸34C. ()222y x y x +=+D. 3422=-a a3.计算()()b a b a +-+的结果是的结果是 ( ) A. 22a b - B. 22b a - C. 222b ab a +-- D. 222b ab a ++- 4. 1532+-a a 与4322---a a 的和为的和为 ( ) A.3252--a a B. 382--a a C. 532---a a D. 582+-a a 5.下列结果正确的是下列结果正确的是 ( ) A. 91312-=÷øöçèæ- B. 0590=´ C. ()17530=-. D. 8123-=-6. 若()682b a ba nm =,那么n m 22-的值是的值是( ) A. 10 B. 52 C. 20 D. 32 7.要使式子22259y x +成为一个完全平方式,则需加上成为一个完全平方式,则需加上 ( ) A. xy 15 B. xy 15± C. xy 30 D. xy 30± 二、耐心填一填(第1~4题每空1分,第5、6题每空2分,共28分)分)1.在代数式23xy , m ,362+-a a , 12 ,22514xy yz x -,ab32中,单项式有中,单项式有 个,多项式有个,多项式有 个。
个。
2.单项式z y x 425-的系数是的系数是 ,次数是,次数是 。
3.多项式5134+-ab ab 有 项,它们分别是项,它们分别是 。
最新北师大版七年级数学下册单元测试全套与答案北师大版七年级下册第一章整式的运算单元测试题一、精心选一选(每小题3分,共21分)1.多项式892334+-+xy y x xy 的次数是 ( ) A. 3 B. 4 C. 5 D. 62.下列计算正确的是 ( ) A. 8421262x x x =⋅ B. ()()m mmy y y =÷34C. ()222y x y x +=+ D. 3422=-a a3.计算()()b a b a +-+的结果是 ( )A. 22a b -B. 22b a -C. 222b ab a +--D. 222b ab a ++-4. 1532+-a a 与4322---a a 的和为 ( )A.3252--a aB. 382--a aC. 532---a aD. 582+-a a 5.下列结果正确的是 ( )A. 91312-=⎪⎭⎫ ⎝⎛- B. 0590=⨯ C. ()17530=-. D. 8123-=-6. 若()682b a b a nm =,那么n m 22-的值是 ( )A. 10B. 52C. 20D. 32 7.要使式子22259y x +成为一个完全平方式,则需加上 ( )A. xy 15B. xy 15±C. xy 30D. xy 30±二、耐心填一填〔第1~4题每空1分,第5、6题每空2分,共28分〕 1.在代数式23xy ,m ,362+-a a ,12,22514xy yz x -,ab32中,单项式有 个,多项式有个。
2.单项式z y x 425-的系数是,次数是。
3.多项式5134+-ab ab 有项,它们分别是。
4. ⑴=⋅52x x 。
⑵()=43y 。
⑶()=322ba 。
⑷()=-425y x 。
⑸=÷39a a 。
⑹=⨯⨯-024510。
5.⑴=⎪⎭⎫⎝⎛-⋅⎪⎭⎫ ⎝⎛325631mn mn 。
七年级数学下册第二章相交线与平行线单元测试卷(一)班级姓名学号得分评卷人得分一、单选题(注释)1、如图,直线a、b、c、d,已知c⊥a,c⊥b,直线b、c、d交于一点,若∠1=500,则∠2等于【】A.600B.500C.400D.3002、如图,AB⊥BC,BC⊥CD,∠EBC=∠BCF,那么,∠ABE与∠DCF的位置与大小关系是()A.是同位角且相等B.不是同位角但相等;C.是同位角但不等D.不是同位角也不等3、如果两个角的一边在同一直线上,另一边互相平行,那么这两个角只能()A.相等B.互补C.相等或互补D.相等且互补4、下列说法中,为平行线特征的是()①两条直线平行,同旁内角互补; ②同位角相等, 两条直线平行;③内错角相等, 两条直线平行; ④垂直于同一条直线的两条直线平行.A.①B.②③C.④D.②和④5、如图,AB∥CD∥EF,若∠ABC=50°,∠CEF=150°,则∠BCE=()A.60°B.50°C.30°D.20°6、如图,如果AB∥CD,则角α、β、γ之间的关系为()A.α+β+γ=360°B.α-β+γ=180°C.α+β-γ=180°D.α+β+γ=180°7、如图,由A到B 的方向是()A.南偏东30°B.南偏东60°C.北偏西30°D.北偏西60°8、如图,由AC∥ED,可知相等的角有()A.6对B.5对C.4对D.3对9、如图,直线AB、CD交于O,EO⊥AB于O,∠1与∠2的关系是( )更多功能介绍/zt/A.互余B.对顶角C.互补D.相等10、若∠1和∠2互余,∠1与∠3互补,∠3=120°,则∠1与∠2的度数分别为( ) A.50°、40°B.60°、30°C.50°、130°D.60°、120°11、下列语句正确的是( )A.一个角小于它的补角B.相等的角是对顶角C.同位角互补,两直线平行D.同旁内角互补,两直线平行12、图中与∠1是内错角的角的个数是( )A.2个B.3个C.4个D.5个13、如图,直线AB和CD相交于点O,∠AOD和∠BOC的和为202°,那么∠AOC的度数为( )A.89°B.101°C.79°D.110°14、如图,∠1和∠2是对顶角的图形的个数有( )A.1个B.2个C.3个D.0个15、如图,直线a、b被直线c所截,现给出下列四个条件:①∠1=∠5,②∠1=∠7,③∠2+∠3=180°,④∠4=∠7,其中能判定a∥b的条件的序号是( )A.①②B.①③C.①④D.③④评卷人得分二、填空题(注释)16、如图,∠ACD=∠BCD,DE∥BC交AC于E,若∠ACB=60°,∠B=74°,则∠EDC =___°,∠CDB=____°。
北师大版七年级数学下册单元测试题含答案全套(含期末试题,共7套)第一章达标检测卷(120分,90分钟)一、选择题(每题3分,共30分) 1.计算(-x 2y)3的结果是( )A .x 6y 3B .x 5y 3C .-x 6y 3D .-x 2y 3 2.下列运算正确的是( )A .x 2+x 2=x 4B .(a -b)2=a 2-b 2C .(-a 2)3=-a 6D .3a 2·2a 3=6a 6 3.花粉的质量很小,一粒某种植物花粉的质量约为0.000 037 mg ,已知1 g =1 000 mg ,那么0.000 037 mg 用科学记数法表示为( )A .3.7×10-5 gB .3.7×10-6 gC .3.7×10-7 gD .3.7×10-8 g 4.在下列计算中,不能用平方差公式计算的是( ) A .(m -n)(-m +n) B .()x 3-y 3()x 3+y 3 C .(-a -b)(a -b) D .()c 2-d 2()d 2+c 25.已知a +b =m ,ab =-4,化简(a -2)(b -2)的结果是( ) A .6 B .2m -8 C .2m D .-2m6.若3x =4,9y =7,则3x -2y 的值为( )A .47B .74C .-3D .277.如果x +m 与x +3的乘积中不含x 的一次项,则m 的值为( ) A .-3 B .3 C .0 D .1 8.若a =-0.32,b =(-3)-2,c =⎝⎛⎭⎫-13-2,d =⎝⎛⎭⎫-130,则( ) A .a <b <c <d B .a <b <d <c C .a <d <c <b D .c <a <d <b9.如图,从边长为(a +4)cm 的正方形纸片中剪去一个边长为(a +1)cm 的正方形(a >0),剩余部分沿虚线又剪拼成一个长方形(不重叠无缝隙),则长方形的面积为( )(第9题)A .(2a 2+5a)cm 2B .(6a +15)cm 2C .(6a +9)cm 2D .(3a +15)cm 2 10.若A =(2+1)(22+1)(24+1)(28+1)+1,则A 的末位数字是( ) A .2 B .4 C .6 D .8二、填空题(每题3分,共24分) 11.计算:(2a)3·(-3a 2)=________.12.若x +y =5,x -y =1,则式子x 2-y 2的值是________. 13.计算:(-2)2 016+(-2)2 017=________.14.若(a 2-1)0=1,则a 的取值范围是________.16.已知x 2-x -1=0,则代数式-x 3+2x 2+2 018的值为__________. 17.如果()2a +2b +1()2a +2b -1=63,那么a +b 的值为________. 18.已知a +1a =5,则a 2+1a2的结果是________.三、解答题(第19题12分,第20题4分,第26题10分,其余每题8分,共66分)19.计算: (1)-23+13(2 018+3)0-⎝⎛⎭⎫-13-2; (2)992-69×71;(3)⎝⎛⎭⎫52x 3y 3+4x 2y 2-3xy ÷(-3xy); (4)(-2+x)(-2-x);(5)(a +b -c)(a -b +c); (6)(3x -2y +1)2.20.先化简,再求值:[(x 2+y 2)-(x +y)2+2x(x -y)]÷4x ,其中x -2y =2.21.(1) 已知a +b =7,ab =12.求下列各式的值: ①a 2-ab +b 2;②(a -b)2.(2)已知a =275,b =450,c =826,d =1615,比较a ,b ,c ,d 的大小.22.先阅读再解答:我们已经知道,根据几何图形的面积关系可以说明完全平方公式,实际上还有一些等式也可以用这种方式加以说明,例如:(2a+b)(a+b)=2a2+3ab+b2,就可以用图①的面积关系来说明.(1)根据图②写出一个等式:________________;(2)已知等式:(x+p)(x+q)=x2+(p+q)x+pq,请你画出一个相应的几何图形加以说明.(第22题)23.已知(x2+px+8)(x2-3x+q)的展开式中不含x2和x3项,求p,q的值.24.王老师家买了一套新房,其结构如图所示(单位:m).他打算将卧室铺上木地板,其余部分铺上地砖.(1)木地板和地砖分别需要多少平方米?(2)如果地砖的价格为每平方米x元,木地板的价格为每平方米3x元,那么王老师需要花多少钱?(第24题)25.利用我们学过的知识,可以导出下面这个形式优美的等式: a 2+b 2+c 2-ab -bc -ac =12[(a -b)2+(b -c)2+(c -a)2],该等式从左到右的变形,不仅保持了结构的对称性,还体现了数学的和谐、简洁美. (1)请你检验这个等式的正确性;(2)若a =2 016,b =2 017,c =2 018,你能很快求出a 2+b 2+c 2-ab -bc -ac 的值吗?26.探索:(x -1)(x +1)=x 2-1; (x -1)(x 2+x +1)=x 3-1; (x -1)(x 3+x 2+x +1)=x 4-1; (x -1)(x 4+x 3+x 2+x +1)=x 5-1; …(1)试写出第五个等式;(2)试求26+25+24+23+22+2+1的值;(3)判断22 017+22 016+22 015+…+22+2+1的值的个位数字是几.答案一、1.C2.C 点拨:A .x 2+x 2=2x 2,错误;B .(a -b)2=a 2-2ab +b 2,错误;C .(-a 2)3=-a 6,正确;D .3a 2·2a 3=6a 5,错误;故选C .3.D 点拨:1 mg =10-3 g ,将0.000 037 mg 用科学记数法表示为3.7×10-5×10-3=3.7×10-8 g .故4.A 点拨:A 中m 和-m 符号相反,-n 和n 符号相反,而平方差公式中需要有一项是相同的,另一项互为相反数.5.D 点拨:因为a +b =m ,ab =-4,所以(a -2)(b -2)=ab +4-2(a +b)=-4+4-2m =-2m.故选D .6.A 点拨:3x-2y=3x ÷32y =3x ÷9 y =47.故选A .7.A 点拨:(x +m)(x +3)=x 2 +(3+m)x +3m ,因为乘积中不含x 的一次项.所以m +3=0.所以m =-3.故选A .8.B9.B 点拨:(a +4)2-(a +1)2=a 2+8a +16-(a 2+2a +1)=a 2+8a +16-a 2-2a -1=6a +15(cm 2),故选B .10.C 点拨:(2+1)(22+1)(24+1)(28+1)+1 =(2-1)(2+1)(22+1)(24+1)(28+1)+1 =(22-1)(22+1)(24+1)(28+1)+1 =(24-1)(24+1)(28+1)+1 =(28-1)(28+1)+1 =216-1+1 =216.因为216的末位数字是6,所以原式末位数字是6. 二、11.-24a 5 12.5 13.-22 016 14.a ≠±1 15.25 16. 2 019 点拨:由已知得x 2-x =1,所以-x 3+2x 2+2 018=-x(x 2-x)+x 2+2 018=-x +x 2+2 018=2 019.17.±4 点拨:因为()2a +2b +1()2a +2b -1=()2a +2b 2-1=63,所以2a +2b =±8.所以a +b =±4. 18.23 点拨:由题意知⎝⎛⎭⎫a +1a 2=25,即a 2+1a 2+2=25,所以 a 2+1a2=23.三、19.解 :(1)原式=-8+13-9=-17+13=-1623.(2)原式=(100-1)2-(70-1)×(70+1)=10 000-200+1-4 900+1=4 902. (3)原式=-56x 2y 2-43xy +1.(4)原式=(-2)2-x 2=4-x 2.(5)原式=a 2-()b -c 2=a 2-b 2-c 2+2bc.(6)原式=[(3x -2y)+1]2=(3x -2y)2+2(3x -2y)+1 =9x 2+4y 2-12xy +6x -4y +1.20.解:原式=(x 2+y 2-x 2-2xy -y 2+2x 2-2xy)÷4x =(2x 2-4xy)÷4x =12x -y.因为x -2y =2, 所以12x -y =1.②(a -b)2=(a +b)2-4ab =72-4×12=1.点拨:完全平方公式常见的变形:①(a +b)2-(a -b)2=4ab ;②a 2+b 2=(a +b)2-2ab =(a -b)2+2ab.解答本题关键是不求出a ,b 的值,主要利用完全平方公式的整体变换求式子的值.(2)因为a =275,b =450=(22)50=2100,c =826=(23)26=278,d =1615=(24)15=260,100>78>75>60,所以2100>278>275>260. 所以b >c >a >d.(第22题)22.解:(1)(2a +b)(a +2b)=2a 2+5ab +2b 2 (2)如图.(所画图形不唯一)23.解:(x 2+px +8)(x 2-3x +q)=x 4-3x 3+qx 2+px 3-3px 2+pqx +8x 2-24x +8q =x 4+(p -3)x 3+(q -3p +8)x 2+(pq -24)x +8q. 因为展开式中不含x 2和x 3项, 所以p -3=0,q -3p +8=0. 解得p =3,q =1.24.解:(1)卧室的面积是2b(4a -2a)=4ab(m 2). 厨房、卫生间、客厅的面积和是b·(4a -2a -a)+a·(4b -2b)+2a·4b =ab +2ab +8ab =11ab(m 2),即木地板需要4ab m 2,地砖需要11ab m 2.(2)11ab·x +4ab·3x =11abx +12abx =23abx(元). 即王老师需要花23abx 元.25.解:(1)等式右边=12(a 2-2ab +b 2+b 2-2bc +c 2+a 2-2ac +c 2)=12(2a 2+2b 2+2c 2-2ab -2bc -2ac)=a 2+b 2+c 2-ab -bc -ac =等式左边,所以等式是成立的.(2)原式=12[(2 016-2 017)2+(2 017-2 018)2+(2 018-2 016)2]=3.26.解:(1)(x -1)(x 5+x 4+x 3+x 2+x +1)=x 6-1.(2)26+25+24+23+22+2+1=(2-1)×(26+25+24+23+22+2+1)=27-1=127. (3)22 017+22 016+22 015+…+22+2+1=(2-1)(22 017+22 016+22 015+…+22+2+1) =22 018-1. 2 018÷4=504……2,所以22 018的个位数字是4.所以22 018-1的个位数字是3,即22 017+22 016+22 015+…+22+2+1的值的个位数字是3.(120分,90分钟)题 号 一 二 三 总 分一、选择题(每题3分,共30分)1.下列图形中,∠1与∠2互为对顶角的是()2.下列作图能表示点A到BC的距离的是()3.a,b,c是同一平面内任意三条直线,交点可能有()A.1个或2个或3个B.0个或1个或2个或3个C.1个或2个D.都不对4.下列语句叙述正确的有()①如果两个角有公共顶点且没有公共边,那么这两个角是对顶角;②如果两个角相等,那么这两个角是对顶角;③连接两点的线段长度叫做两点间的距离;④直线外一点到这条直线的垂线段叫做这点到直线的距离.A.0个B.1个C.2个D.3个5.如图,下列条件:①∠1=∠3;②∠2=∠3;③∠4=∠5;④∠2+∠4=180°中,能判断直线l1∥l2的有()A.1个B.2个C.3个D.4个(第5题)(第6题)(第7题)6.如图,AB∥CD,EF⊥CD,FG平分∠EFC,则()A.∠1<∠2 B.∠1>∠2 C.∠1=∠2 D.不能确定7.如图,已知∠B+∠DAB=180°,AC平分∠DAB,如果∠C=50°,那么∠B等于()A.50°B.60°C.70°D.80°8.如图,将一副三角尺叠放在一起,使直角的顶点重合于点O,AB∥OC,DC与OB交于点E,则∠DEO的度数为()(第8题)(第9题)(第10题)9.如图,AB∥CD,CD∥EF,则∠BCE等于()A. ∠2-∠1B. ∠1+∠2 C.180°+∠1-∠2 D.180°-∠1+∠210.如图,已知A1B∥A n C,则∠A1+∠A2+…+∠A n等于()A.180°n B.(n+1)·180°C.(n-1)·180°D.(n-2)·180°二、填空题(每题3分,共24分)11.尺规作图是指用____________________________画图.12.如图,∠1=15°,∠AOC=90°.若点B,O,D在同一条直线上,则∠2=________.(第12题)(第13题)(第14题)13.如图,在铁路旁边有一村庄,现要建一火车站,为了使该村人乘火车方便(即距离最短),请你在铁路旁选一点来建火车站(位置已选好),说明理由:______________________________.14.如图,AB∥CD,EF分别交AB,CD于G,H两点,若∠1=50°,则∠EGB=________.15.同一平面内的三条直线a,b,c,若a⊥b,b⊥c,则a________c.若a∥b,b∥c,则a________c.若a∥b,b⊥c,则a________c.16.如图,已知AB∥CD,CE,AE分别平分∠ACD,∠CAB,则∠1+∠2=________.(第16题)(第17题)(第18题)17.如图,某煤气公司安装煤气管道,他们从点A 处铺设到点B 处时,由于有一个人工湖挡住了去路,需要改变方向经过点C ,再拐到点D ,然后沿与AB 平行的DE 方向继续铺设.已知∠ABC =135°,∠BCD =65°,则∠CDE =________.18.如图,沿虚线剪去长方形纸片相邻的两个角,使∠1=115°,则∠2=________. 三、解答题(19~21题每题8分,25题12分,其余每题10分,共66分)19.已知一个角的余角比它的补角的23还小55°,求这个角的度数.20.如图,已知AD ∥BC ,∠1=∠2,要说明∠3+∠4=180°,请补充完整解题过程,并在括号内填上相应的依据:(第20题)解:因为AD ∥BC(已知),所以∠1=∠3( ). 因为∠1=∠2(已知), 所以∠2=∠3.所以BE ∥________( ). 所以∠3+∠4=180°( ).21.如图,直线AB ,CD 相交于点O ,OE 平分∠BOD ,OF 平分∠COB ,∠AOD ∠DOE =4 1.求∠AOF 的度数.(第21题)22.将一副三角尺拼成如图所示的图形,过点C作CF平分∠DCE交DE于点F.(1)试说明:CF∥AB;(2)求∠DFC的度数.(第22题)23.如图,在四边形ABCD中,AB∥CD,点P为BC上一点(点P与B,C不重合),设∠CDP=∠α,∠CPD=∠β,你能不能说明,不论点P在BC上怎样运动,总有∠α+∠β=∠B.(第23题)24.如图,AB∥CD,AE平分∠BAD,CD与AE相交于F,∠CFE=∠E.试说明:AD∥BC.(第24题)25.如图,已知BE平分∠ABD,DE平分∠BDC,且∠EBD+∠EDB=90°.(1)试说明:AB∥CD;(2)H是BE的延长线与直线CD的交点,BI平分∠HBD,写出∠EBI与∠BHD的数量关系,并说明理由.(第25题)答案一、1.C 2.B 3.B 4.B 5.C 6.C7.D8.C9.C(第10题)10.C点拨:如图,过点A2向右作A2D∥A1B,过点A3向右作A3E∥A1B,……因为A1B∥A n C,所以A3E∥A2D∥…∥A1B∥A n C.所以∠A1+∠A1A2D=180°,∠DA2A3+∠A2A3E=180°,….所以∠A1+∠A1A2A3+…+∠A n-1A n C =(n-1)·180°.二、11.圆规和没有刻度的直尺12. 105°13.垂线段最短 14.50° 点拨:因为AB ∥CD ,所以∠1=∠AGF.因为∠AGF 与∠EGB 是对顶角,所以∠EGB =∠AGF.故∠EGB =50°.15.∥;∥;⊥ 16.90° 点拨:因为AB ∥CD ,所以∠BAC +∠ACD =180°.因为CE ,AE 分别平分∠ACD ,∠CAB ,所以∠1+∠2=90°.(第17题)17.110° 点拨:如图,过点C 作CF ∥AB ,因为AB ∥DE ,所以DE ∥CF.所以∠CDE =∠FCD.因为AB ∥CF ,∠ABC =135°,所以∠BCF =180°-∠ABC =45°.又因为∠FCD =∠BCD +∠BCF ,∠BCD =65°,所以∠FCD =110°.所以∠CDE =110°.故填110°.(第18题)18.155° 点拨:过E 作EF ∥AB ,如图所示.因为AB ∥CD , 所以EF ∥CD.所以∠1+∠3=∠2+∠4=180°. 所以∠3=180°-115°=65°. 所以∠4=90°-∠3=90°-65°=25°. 所以∠2=180°-∠4=180°-25°=155°.三、19.解:设这个角的度数为x ,依题意有23(180°-x)-55°=90°-x ,解得x =75°.故这个角的度数为75°.20.两直线平行,内错角相等;DF ;同位角相等,两直线平行;两直线平行,同旁内角互补21.解:因为OE 平分∠BOD , 所以∠DOE =∠EOB.又因为∠AOD ∠DOE =41,∠AOD +∠DOE +∠EOB =180°, 所以∠DOE =∠EOB =180°×16=30°,∠AOD =120°.所以∠COB =∠AOD =120°. 因为OF 平分∠COB , 所以∠BOF =60°. 所以∠AOF =180°-60°=120°. 22.解:(1)因为CF 平分∠DCE , 所以∠1=∠2=12∠DCE.因为∠DCE =90°, 所以∠1=45°. 因为∠3=45°, 所以∠1=∠3.所以CF ∥AB(内错角相等,两直线平行). (2)因为∠D =30°,∠1=45°,所以∠DFC=180°-30°-45°=105°.23.解:过点P作PE∥CD交AD于E,则∠DPE=∠α.因为AB∥CD,所以PE∥AB.所以∠CPE=∠B,即∠DPE+∠β=∠α+∠β=∠B.故不论点P在BC上怎样运动,总有∠α+∠β=∠B.24.解:因为AE平分∠BAD,所以∠1=∠2.因为AB∥CD,∠CFE=∠E,所以∠1=∠CFE=∠E.所以∠2=∠E.所以AD∥BC.25.解:(1)因为BE平分∠ABD,DE平分∠BDC,所以∠ABD=2∠EBD,∠BDC=2∠EDB.因为∠EBD+∠EDB=90°,所以∠ABD+∠BDC=2(∠EBD+∠EDB)=180°.所以AB∥CD.(2)∠EBI=12∠BHD.理由如下:因为AB∥CD,所以∠ABH=∠BHD.因为BI平分∠EBD,BH平分∠ABD,所以∠EBI=12∠EBD=12∠ABH=12∠BHD.第三章达标检测卷(120分,90分钟)一、选择题(每题3分,共24分)1.在利用太阳能热水器加热水的过程中,热水器的水温随所晒时间的长短而变化,这个问题中因变量是()A.太阳光强弱B.水的温度C.所晒时间D.热水器2.气温y(℃)随高度x(km)的变化而变化的情况如下表,由表可知,气温y随着高度x的增大而()A.升高B.降低C.不变D.以上都不对3.长方形的周长为24 cm,其中一边长为x cm(其中0<x<12),面积为y cm2,则该长方形中y与x 的关系式可以写为()A.y=x2B.y=(12-x)2C.y=(12-x)·x D.y=2(12-x)4.小明骑自行车上学,开始以正常速度匀速行驶,但行至途中自行车出了故障,只好停下来修车,车修好后,因怕耽误上课,加快了骑车速度.下面是小明离家后他到学校剩下的路程s关于时间t的图象,那么符合小明行驶情况的图象大致是()(第5题)5.如图是某市某一天的气温变化图,根据图象,下列说法中错误的是()A.这一天中最高气温是24 ℃B.这一天中最高气温与最低气温的差为16 ℃C.这一天中2时至14时之间的气温在逐渐升高D.这一天中只有14时至24时之间的气温在逐渐降低6.某校组织学生到距学校6 km的光明科技馆参观.王红准备乘出租车去科技馆,出租车的收费标准如下表:里程数收费/元3 km以下(含3 km) 8.003 km以上每增加1 km 1.80则收费y(元)与出租车行驶里程数x(km)(x≥3)之间的关系式为()A.y=8x B.y=1.8x C.y=8+1.8x D.y=2.6+1.8x7.均匀地向如图所示的容器中注满水,能反映在注水过程中水面高度h随时间t变化的图象的是()(第7题)8.A,B两地相距20 km,甲、乙两人都从A地去B地,图中l1和l2分别表示甲、乙两人所走路程s(km)与时间t(h)之间的关系.下列说法:①乙晚出发1 h;②乙出发3 h后追上甲;③甲的速度是4 km/h;④乙先到达B地.其中正确的个数是()A.1 B.2 C.3 D.4(第8题)(第11题)(第12题)(第13题)二、填空题(每题5分,共30分)9.同一温度的华氏度数y()与摄氏度数x(℃)之间的关系是y=95x+32.如果某一温度的摄氏度数是25 ℃,那么它的华氏度数是________.10.小雨画了一个边长为3 cm的正方形,如果将正方形的边长增加x cm,那么面积的增加值y(cm2)与边长的增加值x(cm)之间的关系式为______________.11.如图是甲、乙两名运动员在自行车比赛中所走路程与时间的关系图象,则甲的速度________乙的速度(用“>”“=”或“<”填空).12.小明早晨从家骑车到学校,先上坡,后下坡,行驶情况如图所示,如果返回时上、下坡的速度与去学校时上、下坡的速度相同,那么小明从学校骑车回家用的时间是________.13.某航空公司行李的托运费按行李的质量收取,30 kg以下免费,30 kg及以上按图中所示的关系来计算,若某人行李的质量为200 kg,则他需要付托运费________.14.为了增强抗旱能力,保证今年夏粮丰收,某村新修建了一个蓄水池,这个蓄水池安装了两个进水管和一个出水管(两个进水管的进水速度相同).一个进水管和一个出水管的进出水速度如图①所示,某天0点到6点(至少打开一个水管),该蓄水池的蓄水量如图②所示,并给出以下三个论断:①0点到1点不进水,只出水;②1点到4点不进水,不出水;③4点到6点只进水,不出水,则一定正确的论断是________.(第14题)三、解答题(15~17题每题10分,其余每题12分,共66分)15.下表是佳佳往表妹家打长途电话的收费记录:时间/min 1 2 3 4 5 6 7电话费/元0.6 1.2 1.8 2.4 3.0 3.6 4.2(1)上表反映了哪两个变量之间的关系?哪个是自变量?哪个是因变量?(2)若佳佳的通话时间是10 min,则需要付多少电话费?16.如图表示某市2017年6月份某一天的气温随时间变化的情况,请观察此图回答下列问题:(第16题)(1)这天的最高气温是多少摄氏度?(2)这天共有多少个小时的气温在31 ℃以上?(3)这天什么时间范围内气温在上升?(4)请你预测一下,次日凌晨1时的气温大约是多少摄氏度?17.张阳从家里跑步去体育场,在那里锻炼了一会儿后,又走到文具店去买笔,然后走回家,如图是张阳离家的距离与时间的关系图象.根据图象回答下列问题:(1)体育场离张阳家多少千米?(2)体育场离文具店多少千米?张阳在文具店逗留了多长时间?(3)张阳从文具店到家的速度是多少?(第17题)18.如图,一个半径为18 cm的圆,从中心挖去一个正方形,当挖去的正方形的边长由小变大时,剩下部分的面积也随之发生变化.(1)若挖去的正方形边长为x(cm),剩下部分的面积为y(cm2),则y与x之间的关系式是什么?(2)当挖去的正方形的边长由1 cm变化到9 cm时,剩下部分的面积由________变化到________.(第18题)19.弹簧挂上物体后会伸长.已知一弹簧的长度(cm)与所挂物体的质量(kg)之间的关系如下表:所挂物体的质量/kg0 1 2 3 4 5 6 7弹簧的长度/cm12 12.5 13 13.5 14 14.5 15 15.5(1)当所挂物体的质量为3 kg时,弹簧的长度是________;(2)如果所挂物体的质量为x kg,弹簧的长度为y cm,根据上表写出y与x的关系式;(3)当所挂物体的质量为5.5 kg时,请求出弹簧的长度;(4)如果弹簧的最大长度为20 cm,则该弹簧最多能挂质量为多重的物体?20.小明用的练习本可以到甲超市购买,也可以到乙超市购买.已知两超市的标价都是每本1元,但甲超市的优惠条件是购买10本以上,从第11本开始按标价的70%卖.乙超市的优惠条件是从第1本开始就按标价的85%卖.(1)当小明要买20本时,到哪家超市购买较省钱?(2)写出甲超市中,收款y甲(元)与购买本数x(本)(x>10)的关系式.(3)小明现有24元钱,最多可买多少本练习本?答案一、1.B 2.B 3.C 4.D5.D 点拨:由题图可知,这一天中气温在逐渐降低的时段有0时至2时和14时至24时,故选D . 6.D 点拨:由题意知,当出租车行驶里程数x ≥3时,y =8+1.8(x -3)=1.8x +2.6,故选D . 7.A8.C 点拨:①③④正确,②应为乙出发2 h 后追上甲.二、9.77 点拨:将x =25代入关系式可得y =95×25+32=45+32=77,故它的华氏度数是77 .10.y =x 2+6x 点拨:边长为3 cm 的正方形的面积是9 cm 2,边长为(x +3)cm 的正方形的面积为(3+x)2 cm 2,所以面积的增加值y =(3+x)2-9=x 2+6x.11.>12.37.2 min 点拨:由题图可知,上坡速度为3 600÷18=200(m /min ),下坡速度为(9 600-3 600)÷(30-18)=500(m /min ),返回途中,上、下坡的路程刚好相反,所用时间为3 600÷500+(9 600-3 600)÷200=37.2(min ).13.340元14.③ 点拨:①0时至1时开了一个进水管,一个出水管,②1时至4时三管齐开.三、15.解:(1)反映了电话费与通话时间之间的关系;其中通话时间是自变量,电话费是因变量. (2)设电话费为y 元,通话时间为t min .则由题意可知,y 与t 之间的关系式为y =0.6t ,故当t =10时,y =6.所以需付6元电话费.16.解:(1)37 ℃. (2)9 h . (3)3时至15时. (4)25 ℃.(答案不唯一,合理即可) 17.解:(1)体育场离张阳家2.5 km .(2)因为2.5-1.5=1(km ),所以体育场离文具店1 km .因为65-45=20(min ),所以张阳在文具店逗留了20 min .(3)文具店到张阳家的距离为1.5 km ,张阳从文具店到家用的时间为100-65=35(min ),所以张阳从文具店到家的速度为1.5÷3560=187(km /h ).18.解:(1)剩下部分的面积=圆的面积-正方形的面积,所以y 与x 之间的关系式为y =πr 2-x 2=324π-x 2.(2)(324π-1)cm 2 (324π-81)cm 2 19.解:(1)13.5 cm(2)由表格可知,y 与x 之间的关系式为y =12+0.5x.(3)当x =5.5时,y =12+0.5×5.5=14.75,即弹簧的长度为14.75 cm .(4)当y =20时,20=12+0.5x ,解得x =16,故该弹簧最多能挂16 kg 重的物体. 20.解:(1)买20本时,在甲超市购买需用10×1+10×1×70%=17(元), 在乙超市购买需用20×1×85%=17(元), 所以买20本到两家超市买收费一样.(2)y 甲=10×1+(x -10)×1×70%=0.7x +3(x >10).(3)由题知乙超市收款y 乙(元)与购买本数x (本)间的关系式为y 乙=x ×1×85%=1720x .所以当y 甲=24时,24=0.7x 甲+3,x 甲=30; 当y 乙=24时,24=1720x 乙,x 乙≈28.所以拿24元钱最多可以买30本练习本(在甲超市购买).第四章达标检测卷(120分,90分钟)题号一二三总分得分一、选择题(每题3分,共30分)1.若三角形的两个内角的和是85°,那么这个三角形是()A.钝角三角形B.直角三角形C.锐角三角形D.不能确定2.下列各图中,作出△ABC的AC边上的高,正确的是()3.如图,△ABC≌△EDF,AF=20,EC=8,则AE等于()A.6 B.8 C.10 D.124.下列各条件中,能作出唯一的△ABC的是()A.AB=4,BC=5,AC=10 B.AB=5,BC=4,∠A=40°C.∠A=90°,AB=10 D.∠A=60°,∠B=50°,AB=55.如图,AB∥ED,CD=BF,若要说明△ABC≌△EDF,则还需要补充的条件可以是()A.AC=EF B.AB=ED C.∠B=∠E D.不用补充(第3题)(第5题)(第6题)(第8题)6.如图,在△ABC中,∠ABC,∠ACB的平分线分别为BE,CD,BE与CD相交于点F,∠A=60°,则∠BFC等于()A.118°B.119°C.120°D.121°7.如果某三角形的两边长分别为5和7,第三边的长为偶数,那么这个三角形的周长可以是() A.14 B.17 C.22 D.268.如图,下列四个条件:①BC=B′C;②AC=A′C;③∠A′CA=∠B′CB;④AB=A′B′.从中任取三个为条件,余下的一个为结论,则最多可以构成正确的结论的个数是()A.1 B.2 C.3 D.49.如图,在△ABC中,E是BC上的一点,EC=2BE,点D是AC的中点,设△ABC,△ADF,△BEF 的面积分别为S△ABC,S△ADF,S△BEF,且S△ABC=12,则S△ADF-S△BEF等于()A.1 B.2 C.3 D.410.如图,△ABC的三个顶点和它内部的点P1,把△ABC分成3个互不重叠的小三角形;△ABC的三个顶点和它内部的点P1,P2,把△ABC分成5个互不重叠的小三角形;△ABC的三个顶点和它内部的点P1,P2,P3,把△ABC分成7个互不重叠的小三角形;△ABC的三个顶点和它内部的点P1,P2,P3,…,P n,把△ABC分成()个互不重叠的小三角形.A.2n B.2n+1 C.2n-1 D.2(n+1)(第9题)(第10题)二、填空题(每题3分,共24分)11.桥梁上的拉杆,电视塔的底座,都是三角形结构,而活动挂架是四边形结构,这是分别利用三角形和四边形的________________________________.12.要测量河两岸相对的两点A,B间的距离(AB垂直于河岸BF),先在BF上取两点C,D,使CD =CB,再作出BF的垂线DE,且使A,C,E三点在同一条直线上,如图,可以得到△EDC≌△ABC,所以ED=AB.因此测得ED的长就是AB的长.判定△EDC≌△ABC的理由是____________.(第12题)(第13题)(第14题)13.如图,E 点为△ABC 的边AC 的中点,CN ∥AB ,若MB =6 cm ,CN =4 cm ,则AB =________. 14.用直尺和圆规作一个角等于已知角,如图所示,则要说明∠A′O′B′=∠AOB ,需要说明△C′O′D′≌△COD ,则这两个三角形全等的依据是____________(写出全等的简写).15.已知△ABC 的三边长分别为a ,b ,c ,若a =3,b =4,则c 的取值范围是____________;已知四边形ABCD 的四边长分别为a ,b ,c ,d ,若a =3,b =4,d =10,则c 的取值范围是____________.16.如图,在△ABC 中,AD 是BC 边上的高,BE 是AC 边上的高,且AD ,BE 交于点F ,若BF =AC ,CD =3,BD =8,则线段AF 的长度为________.(第16题)(第17题)(第18题)17.如图是由相同的小正方形组成的网格,点A ,B ,C 均在格点上,连接AB ,AC ,则∠1+∠2=________.18.如图,已知四边形ABCD 中,AC 平分∠BAD ,CE ⊥AB 于点E ,且AE =12(AB +AD),若∠D =115°,则∠B =________.三、解答题(19题7分,20,21题每题8分,25题13分,其余每题10分,共66分) 19.在△ABC 中,AD 是角平分线,∠B =54°,∠C =76°. (1)求∠ADB 和∠ADC 的度数; (2)若DE ⊥AC ,求∠EDC 的度数.(第19题)20.如图,已知线段m,n,如果以线段m,n分别为等腰三角形的底或腰作三角形,能作出几个等腰三角形?请作出.不写作法,保留作图痕迹.(第20题)21.如图,在△ABC中,AB=AC,D在AC的延长线上,试说明:BD-BC<AD-AB.(第21题)22.如图,是一座大楼相邻的两面墙,现需测量外墙根部两点A,B之间的距离(人不能进入墙内测量).请你按以下要求设计一个方案测量A,B的距离.(1)画出测量图案;(2)写出简要的方案步骤;(3)说明理由.(第22题)23.如图,已知△ABC≌△ADE,AB与ED交于点M,BC与ED,AD分别交于点F,N.请写出图中两对全等三角形(△ABC≌△ADE除外),并选择其中的一对加以说明.(第23题)24.如图,在Rt△ABC中,∠ACB=90°,BC=2 cm,CD⊥AB,在AC上取一点E,使EC=BC,过点E作EF⊥AC交CD的延长线于点F,若EF=5 cm,求线段AE的长.(第24题)25.已知点P是Rt△ABC斜边AB上一动点(不与点A,B重合),分别过点A,B向直线CP作垂线,垂足分别为点E,F,点Q为斜边AB的中点.(1)如图①,当点P与点Q重合时,AE与BF的位置关系是________,QE与QF的数量关系是________;(2)如图②,当点P在线段AB上且不与点Q重合时,试判断QE与QF的数量关系,并说明理由.(第25题)答案一、1.A2.C点拨:过顶点B向AC边所在的直线作垂线,顶点和垂足之间的线段就是高,只有选项C正确,故选C.3.A点拨:因为△ABC≌△EDF,所以AC=EF.所以AE=CF.因为AF=20,EC=8,所以AE=CF =6.故选A.4.D5.B点拨:由已知条件AB∥ED可得,∠B=∠D,由CD=BF可得,BC=DF,再补充条件AB=ED,可得△ABC≌△EDF,故选B.6.C点拨:因为∠A=60°,所以∠ABC+∠ACB=120°.因为BE,CD分别是∠ABC,∠ACB的平分线,所以∠CBE=12∠ABC,∠BCD=12∠BCA.所以∠CBE+∠BCD=12(∠ABC+∠BCA)=60°.所以∠BFC=180°-60°=120°.故选C.7.C8.B9.B点拨:易得S△ABE=13×12=4,S△ABD=12×12=6,所以S△ADF-S△BEF=S△ABD-S△ABE=2.10.B点拨:△ABC的三个顶点和它内部的点P1,把△ABC分成的互不重叠的小三角形的个数=3+2×0,△ABC的三个顶点和它内部的点P1,P2,把△ABC分成的互不重叠的小三角形的个数=3+2×1,所以△ABC 的三个顶点和它内部的点P 1,P 2,P 3,…,P n ,把△ABC 分成的互不重叠的小三角形的个数=3+2(n -1)=2n +1.二、11.稳定性和不稳定性12.ASA 点拨:由题意可知,∠ECD =∠ACB ,∠EDC =∠ABC =90°,CD =CB ,故可用ASA 说明两三角形全等.13.10 cm 点拨:由CN ∥AB ,点E 为AC 的中点,可得∠EAM =∠ECN ,AE =CE.又因为∠AEM =∠CEN ,所以△AEM ≌△CEN.所以AM =CN =4 cm .所以AB =AM +MB =4+6=10(cm ).14.SSS15.1<c<7;3<c<1716.5 点拨:由已知可得,∠ADC =∠BDF =∠BEC =90°,所以∠DAC =∠DBF.又因为AC =BF ,所以△ADC ≌△BDF.所以AD =BD =8,DF =DC =3.所以AF =AD -DF =8-3=5.(第17题)17.90° 点拨:如图,由题意可知,∠ADC =∠E =90°,AD =BE ,CD =AE , 所以△ADC ≌△BEA. 所以∠CAD =∠2.所以∠1+∠2=∠1+∠CAD =90°. 18.65° 点拨:过点C 作CF ⊥AD ,交AD 的延长线于点F. 因为AC 平分∠BAD , 所以∠CAF =∠CAE.又因为CF ⊥AF ,CE ⊥AB , 所以∠AFC =∠AEC =90°. 在△CAF 和△CAE 中, ⎩⎪⎨⎪⎧∠CAF =∠CAE ,∠AFC =∠AEC ,AC =AC ,所以△CAF ≌△CAE(AAS ). 所以FC =EC ,AF =AE. 又因为AE =12(AB +AD),所以AF =12(AE +EB +AD),即AF =BE +AD.又因为AF =AD +DF ,所以DF =BE. 在△FDC 和△EBC 中,⎩⎪⎨⎪⎧CF =CE ,∠CFD =∠CEB ,DF =BE ,所以△FDC ≌△EBC(SAS ).所以∠FDC =∠EBC. 又因为∠ADC =115°,三、19.解:(1)因为∠B =54°,∠C =76°,所以∠BAC =180°-54°-76°=50°. 因为AD 平分∠BAC ,所以∠BAD =∠CAD =25°.所以∠ADB =180°-54°-25°=101°.所以∠ADC =180°-101°=79°.(2)因为DE ⊥AC ,所以∠DEC =90°.所以∠EDC =180°-90°-76°=14°. 20.解:能作出两个等腰三角形,如图所示.(第20题)21.解:因为AB =AC ,所以AD -AB =AD -AC =CD. 因为BD -BC<CD ,所以BD -BC<AD -AB.(第22题)22.解:(1)如图所示.(2)延长BO 至D ,使DO =BO ,连接AD ,则AD 的长即为A ,B 间的距离. (3)因为AO =AO ,∠AOB =∠AOD =90°,BO =DO , 所以△AOB ≌△AOD. 所以AD =AB.23.解:△AEM ≌△ACN ,△BMF ≌△DNF ,△ABN ≌△ADM.(任写其中两对即可) 选择△AEM ≌△ACN , 因为△ABC ≌△ADE ,所以AC =AE ,∠C =∠E ,∠CAB =∠EAD. 所以∠EAM =∠CAN.在△AEM 和△ACN 中,⎩⎪⎨⎪⎧∠E =∠C ,AE =AC ,∠EAM =∠CAN ,所以△AEM ≌△ACN(ASA ).选择△ABN ≌△ADM ,因为△ABC ≌△ADE ,所以AB =AD ,∠B =∠D.又因为∠BAN =∠DAM ,所以△ABN ≌△ADM(ASA ). 选择△BMF ≌△DNF ,因为△ABC ≌△ADE ,所以AB =AD ,∠B =∠D.又因为∠BAN =∠DAM ,所以△ABN ≌△ADM(ASA ).所以AN =AM.所以BM =DN.又因为∠B =∠D ,∠BFM =∠DFN ,所以△BMF ≌△DNF(AAS ). (任选一对进行说明即可) 24.解:因为∠ACB =90°,所以∠ECF +∠BCD =90°. 因为CD ⊥AB ,所以∠BCD +∠B =90°. 所以∠ECF =∠B.在△ABC 和△FCE 中,∠B =∠ECF ,BC =CE ,∠ACB =∠FEC =90°,所以AC=FE.因为EC=BC=2 cm,EF=5 cm,所以AE=AC-CE=FE-BC=5-2=3(cm).(第25题)25.解:(1)AE∥BF;QE=QF(2)QE=QF.理由:如图,延长EQ交BF于点D,由题意易得AE∥BF,所以∠AEQ=∠BDQ.在△AEQ和△BDQ中,∠AQE=∠BQD,∠AEQ=∠BDQ,AQ=BQ,所以△AEQ≌△BDQ.所以EQ=DQ.因为∠DFE=90°,所以QE=QF.第五章达标检测卷(120分,90分钟)题号一二三总分得分一、选择题(每题3分,共30分)1.下面所给的图中是轴对称图形的是()2.如图,△ABC和△ADE关于直线l对称,下列结论:①△ABC≌△ADE;②l垂直平分DB;③∠C =∠E;④BC与DE的延长线的交点一定落在直线l上.其中错误的有()A.0个B.1个C.2个D.3个(第2题)(第4题)(第6题)3.下列说法正确的是()A.等腰三角形的一个角的平分线是它的对称轴B.有一个内角是60°的三角形是轴对称图形C.等腰直角三角形是轴对称图形,它的对称轴是斜边上的中线所在的直线D.等腰三角形有3条对称轴4.如图,A,B,C三个居民小区的位置成三角形,现决定在三个小区之间修建一个购物超市,使超市到三个小区的距离相等,则超市应建在()A.AC,BC两边高的交点处B.AC,BC两边中线的交点处C.AC,BC两边垂直平分线的交点处D.∠A,∠B两内角平分线的交点处5.如图,在△ABC中,BD平分∠ABC,BC的中垂线交BC于点E,交BD于点F,连接CF.若∠A =60°,∠ABD=24°,则∠ACF的度数为()A.48°B.36°C.30°D.24°6.如图是小明在平面镜里看到的电子钟示数,这时的实际时间是()A.12:01 B.10:51 C.10:21 D.15:107.如图,将正方形纸片三次对折后,沿图中AB线剪掉一个等腰直角三角形,展开铺平得到的图形是()(第7题)8.如图,等腰三角形ABC的周长为21,底边BC的长为5,腰AB的垂直平分线交AB于点D,交AC于点E,连接BE,则△BEC的周长为()A.11 B.12 C.13 D.14(第8题)(第9题)(第10题)9.如图,已知D为△ABC边AB的中点,E在AC上,将△ABC沿着DE折叠,使A点落在BC上A.65°B.50°C.60°D.57.5°10.如图,已知AD是△ABC的角平分线,DE⊥AC,垂足为E,BF∥AC交ED的延长线于点F,若BC恰好平分∠ABF,AE=2BF.给出下列四个结论:①DE=DF;②DB=DC;③AD⊥BC;④AC=3BF.其中正确的结论共有()个.A.4 B.3 C.2 D.1二、填空题(每题3分,共24分)11.有些字母是轴对称图形,在E,H,I,M,N这5个字母中,是轴对称图形的是__________.12.我国传统的木结构房屋,窗子常用各种图案装饰,如图是一种常见的图案,这种图案有________条对称轴.(第12题)(第13题)(第15题)(第16题)(第17题)13.如图是一个经过改造的台球桌面示意图(该图由相同的小正方形组成),图中四个角上的阴影部分分别表示四个入球孔.如果一个球按图中所示的方向被击出(球可以经过多次反射),那么该球最后将落入________号球袋.14.等腰三角形一腰上的高与底边所夹的角为α,则这个等腰三角形的顶角为________.15.如图,在△ABC中,AB=AC,AD⊥BC于点D,点E,F为AD上的两点,若△ABC的面积为12,则图中阴影部分的面积是________.16.如图,在直角三角形ABC中,∠B=90°,AD平分∠BAC,交边BC于点D,如果BD=2,AC =6,那么△ADC的面积等于________.17.如图,在△ABC中,AB=AC,∠BAC=54°,∠BAC的平分线与AB的垂直平分线交于点O,将∠C沿EF(E在BC上,F在AC上)折叠,点C与点O恰好重合,则∠OEC=________.了一个规律.请根据他所发现的规律很快地写出111 111 111×111 111 111=________________________________________________________________________.三、解答题(19题8分,20~21题每题10分,24题14分,其余每题12分,共66分)19.如图,在正方形网格上有一个△ABC.(1)画△ABC关于直线MN的对称图形(不写画法);(2)若网格上的每个小正方形的边长为1,求△ABC的面积.(第19题)20.两个城镇A,B与两条公路l1,l2的位置如图所示,电信部门需在C处修建一座信号发射塔,要求发射塔到两个城镇A,B的距离必须相等,到两条公路l1,l2的距离也必须相等,那么点C应选在何处?请在图中用尺规作图找出所有符合条件的点C(不写已知、求作、作法,只保留作图痕迹).(第20题)21.如图,在等边三角形ABC中,∠ABC,∠ACB的平分线相交于点O,作BO,CO的垂直平分线分别交BC于点E和点F.小明说:“E,F是BC的三等分点.”你同意他的说法吗?请说明理由.(第21题)。
【关键字】数学新北师大版七年级数学下册课课练题全册单元同步测试及答案新北师大版七年级数学下册《1.1 同底数幂的乘法》习题下载新北师大版七年级数学下册《1.2 幂的乘方与积的乘方》习题下载新北师大版七年级数学下册《1.3 同底数幂的除法》习题下载[新北师大版七年级数学下册《1.4 整式的乘法》习题下载新北师大版七年级数学下册《1.5平方差公式》习题下载新北师大版七年级数学下册《1.6 完全平方公式》习题下载新北师大版七年级数学下册《1.7 整式的除法》习题下载新北师大版七年级数学下册《2.1 两条直线的位置关系》习题下载新北师大版七年级数学下册《2.2 探索直线平行的条件》习题下载新北师大版七年级数学下册《2.3 平行线的性质》习题下载新北师大版七年级数学下册《2.4 用尺规作角》习题下载新北师大版七年级数学下册课课练《3.1 认识三角形》习题新北师大版七年级数学下册课课练《3.2 图形的全等》习题新北师大版七年级数学下册课课练《3.3 探索三角形全等的条件》习题新北师大版七年级数学下册课课练《3.4 用尺规作三角形》习题新北师大版七年级数学下册课课练《3.5 利用三角形全等测距离》习题新北师大版七年级数学下册课课练《4.1 用表格表示的变量间关系》习题新北师大版七年级数学下册课课练《4.2 用关系式表示的变量间关系》新北师大版七年级数学下册课课练《4.3 用图像表示的变量间关系》习题新北师大版七年级数学下册课课练《5.1 轴对称现象》习题新北师大版七年级数学下册课课练《5.2 探索轴对称的性质》习题新北师大版七年级数学下册课课练《5.3 简单的轴对称图形》习题新北师大版七年级数学下册课课练《5.4 利用轴对称进行设计》习题新北师大版七年级数学下册课课练《6.1 感受可能性》习题新北师大版七年级数学下册课课练《6.2 频率的稳定性》习题新北师大版七年级数学下册课课练《6.3 等可能事件的概率》习题新北师大版七年级数学下册《1.1 同底数幂的乘法》习题下载新北师大版七年级数学下册《1.2 幂的乘方与积的乘方》习题下载新北师大版七年级数学下册《1.3 同底数幂的除法》习题下载[新北师大版七年级数学下册《1.4 整式的乘法》习题下载新北师大版七年级数学下册《1.5平方差公式》习题下载新北师大版七年级数学下册《1.6 完全平方公式》习题下载新北师大版七年级数学下册《1.7 整式的除法》习题下载新北师大版七年级数学下册《2.1 两条直线的位置关系》习题下载新北师大版七年级数学下册《2.2 探索直线平行的条件》习题下载新北师大版七年级数学下册《2.3 平行线的性质》习题下载新北师大版七年级数学下册《2.4 用尺规作角》习题下载新北师大版七年级数学下册课课练《3.1 认识三角形》习题新北师大版七年级数学下册课课练《3.2 图形的全等》习题新北师大版七年级数学下册课课练《3.3 探索三角形全等的条件》习题新北师大版七年级数学下册课课练《3.4 用尺规作三角形》习题新北师大版七年级数学下册课课练《3.5 利用三角形全等测距离》习题新北师大版七年级数学下册课课练《4.1 用表格表示的变量间关系》习题新北师大版七年级数学下册课课练《4.2 用关系式表示的变量间关系》新北师大版七年级数学下册课课练《4.3 用图像表示的变量间关系》习题新北师大版七年级数学下册课课练《5.1 轴对称现象》习题新北师大版七年级数学下册课课练《5.2 探索轴对称的性质》习题新北师大版七年级数学下册课课练《5.3 简单的轴对称图形》习题新北师大版七年级数学下册课课练《5.4 利用轴对称进行设计》习题新北师大版七年级数学下册课课练《6.1 感受可能性》习题新北师大版七年级数学下册课课练《6.2 频率的稳定性》习题新北师大版七年级数学下册课课练《6.3 等可能事件的概率》习题新北师大版七年级数学下册《1.1 同底数幂的乘法》习题下载新北师大版七年级数学下册《1.2 幂的乘方与积的乘方》习题下载新北师大版七年级数学下册《1.3 同底数幂的除法》习题下载[新北师大版七年级数学下册《1.4 整式的乘法》习题下载新北师大版七年级数学下册《1.5平方差公式》习题下载新北师大版七年级数学下册《1.6 完全平方公式》习题下载新北师大版七年级数学下册《1.7 整式的除法》习题下载新北师大版七年级数学下册《2.1 两条直线的位置关系》习题下载新北师大版七年级数学下册《2.2 探索直线平行的条件》习题下载新北师大版七年级数学下册《2.3 平行线的性质》习题下载新北师大版七年级数学下册《2.4 用尺规作角》习题下载新北师大版七年级数学下册课课练《3.1 认识三角形》习题新北师大版七年级数学下册课课练《3.2 图形的全等》习题新北师大版七年级数学下册课课练《3.3 探索三角形全等的条件》习题新北师大版七年级数学下册课课练《3.4 用尺规作三角形》习题新北师大版七年级数学下册课课练《3.5 利用三角形全等测距离》习题新北师大版七年级数学下册课课练《4.1 用表格表示的变量间关系》习题新北师大版七年级数学下册课课练《4.2 用关系式表示的变量间关系》新北师大版七年级数学下册课课练《4.3 用图像表示的变量间关系》习题新北师大版七年级数学下册课课练《5.1 轴对称现象》习题新北师大版七年级数学下册课课练《5.2 探索轴对称的性质》习题新北师大版七年级数学下册课课练《5.3 简单的轴对称图形》习题新北师大版七年级数学下册课课练《5.4 利用轴对称进行设计》习题新北师大版七年级数学下册课课练《6.1 感受可能性》习题新北师大版七年级数学下册课课练《6.2 频率的稳定性》习题新北师大版七年级数学下册课课练《6.3 等可能事件的概率》习题此文档是由网络收集并进行重新排版整理.word可编辑版本!。
北师大版七年级数学下册单元测试题及答案全套(含期末试题,共6套)第一章达标测试卷一、选择题(每题3分,共30分)1.生活中的“八宝粥”易拉罐同学们都很熟悉,你认为“八宝粥”易拉罐类似于() A.棱柱B.圆柱C.圆锥D.长方体2.下面的几何图形:①棱柱;②正方形;③圆锥;④圆;⑤长方体;⑥三角形.其中属于立体图形的是()A.①②③B.②④⑥C.①③⑤D.③④⑤3.将半圆绕它的直径所在的直线旋转一周形成的几何体是()A.圆柱B.圆锥C.球D.正方体4.一个无盖的正方体盒子的表面展开图可以是下列图形中的()(第4题)A.①B.①②C.②③D.①③5.下列说法不正确的是()A.圆锥和圆柱的底面都是圆B.棱柱的所有侧棱长都相等C.棱柱的上、下底面形状完全相同D.长方体是四棱柱,四棱柱是长方体6.一个正方体的表面展开图如图所示,六个面上各有一字,连起来是“祝福祖国万岁”,把它折成正方体后,与“万”相对的字是()A.祖B.岁C.国D.福(第6题)7.在一个正方体容器内分别装入不同量的水,再把容器按不同方式倾斜一点,容器内水面的形状不可能是()8.如图,贤贤同学用手工纸制作一个台灯灯罩,做好后发现上口太小了,于是他把纸灯罩对齐压扁,剪去上面一截后,正好合适,以下裁剪示意图中,正确的是()(第8题)9.由5个大小相同的正方体拼成的几何体如图所示,则下列说法正确的是() A.从正面看到的图形面积最小B.从左面看到的图形面积最小C.从上面看到的图形面积最小D.从三个方向看到的图形面积相等(第9题)10.如图表示一个由相同小立方块搭成的几何体从上面看到的图形,小正方形中的数字表示该位置上小立方块的个数,那么从正面看到的图形为()(第10题)二、填空题(每题3分,共24分)11.一个正方体有________个面,________个顶点.12.快速旋转一枚竖立的硬币一周(假定旋转轴在原地不动),旋转形成的立体图形是__________.13.用数学知识解释下列现象:一只蚂蚁行走的路线可以解释为____________;直升机的螺旋桨转起来形成一个圆形的面,这说明了____________.14.下列几何体(如图),属于柱体的有____________;属于锥体的有__________;属于球体的有__________.(填序号)(第14题)15.下列各图是几何体的平面展开图,请写出对应的几何体的名称.(第15题)16.用一个平面去截一个圆柱(如图),图①中截面的形状是________,图②中截面的形状是__________.(第16题)17.从不同方向观察一个几何体,所得的平面图形如图所示,那么这个几何体的侧面积是__________(结果保留π).(第17题)18.如图②是圆柱被一个平面斜切后得到的几何体,请类比梯形面积公式的推导方法(如图①),推导图②几何体的体积为__________(结果保留π).14.矩形的对角线相交所成的角中,有一个角是60°,这个角所对的边长为1 cm,则其对角线长为________,矩形的面积为________.(第18题)三、解答题(19,22题每题8分,24题14分,其余每题12分,共66分)19.图②中的几何体分别是由图①中哪个平面图形旋转一周得到的?用线连起来.(第19题)20.如图是从不同方向看一个几何体得到的图形及部分数据.(1)写出这个几何体的名称;(2)求这个几何体的侧面积.(第20题)21.观察如图所示的直六棱柱.(1)它有几个面?几个底面?底面与侧面分别是什么图形?(2)侧面的个数与底面多边形的边数有什么关系?(3)若底面的周长为25 cm,侧棱长为8 cm,则它的侧面积为多少?(第21题)22.如图所示的平面图形折叠成正方体后,相对面上的两个数之和为10,求x+y+z的值.(第22题)23.把棱长为1 cm的若干个小正方体摆放成如图所示的几何体,然后将露出的部分都涂上颜色(不涂底面).(1)该几何体中有多少个小正方体?(2)画出从正面观察所得到的平面图形.(3)求涂色部分的总面积.(第23题)24.把如图①所示的正方体切去一块,得到如图②~⑤所示的几何体.(第24题)(1)所得几何体各有多少个面?多少条棱?多少个顶点?(2)举例说明把其他形状的几何体切去一块,得到的几何体的面数、棱数和顶点数各是多少.(3)若面数记为f,棱数记为e,顶点数记为v,则f,v,e应满足什么关系式?答案1.B2.C3.C4.D5.D6.B7.A8.A9.B10.C二、11.6;812.球13.点动成线;线动成面14.①③⑤⑥;④;②15.圆锥;正方体;三棱锥;圆柱16.圆;长方形17.6π18.63π三、19.1—c;2—b;3—d;4—a20.解:(1)这个几何体是三棱柱.(2)这个几何体的侧面积为3×16×9=432 (cm2).21.解:(1)它有8个面,2个底面,底面是六边形,侧面是长方形.(2)侧面的个数与底面多边形的边数相等.(3)它的侧面积为25×8=200(cm2).22.解:由题意知x+5=10,2+y=10,2z+4=10,解得x=5,y=8,z=3.所以x+y+z=5+8+3=16.23.解:(1)该几何体中小正方体的个数为9+4+1=14(个).(2)如图所示.(第23(2)题)(3)由题意知该几何体的上面需涂色的面积为9个小正方形的面积和,前面、后面、左面、右面需涂色的面积和为6个小正方形面积和的4倍,故涂色部分的总面积为(9+6×4)×12=33(cm2).24.解:(1)题图②有7个面、15条棱、10个顶点,题图③有7个面、14条棱、9个顶点,题图④有7个面、13条棱、8个顶点,题图⑤有7个面、12条棱、7个顶点.(2)例如:把三棱锥切去一块,如图所示,得到的几何体有5个面、9条棱、6个顶点.(第24(2)题)(3)所求关系式为f +v -e =2.第二章达标测试卷一、选择题(每题3分,共30分)1.如果“盈利10%”记为+10%,那么“亏损6%”记为( )A .-16%B .-6%C .+6%D .+4%2.-15的相反数是( )A.15B .-15C .5D .-53. 太阳的温度很高,其表面温度大约有6 000 ℃,而太阳中心的温度达到了19 200 000 ℃,用科学记数法可将19 200 000表示为( ) A .1.92×106 B .1.92×107 C .19.2×106D .0.192×1074.在数23,1,-3,0中,最大的数是( )A.23B .1C .-3D .05.下列算式正确的是( )A .-32=9B.⎝ ⎛⎭⎪⎫-14÷(-4)=1 C .(-8)2=-16D .-5-(-2)=-36.下列各式:①-(-2);②-|-2|;③-22;④-(-2)2.计算结果为负数的有( )A .4个B .3个C .2个D .1个7.学校、文具店、书店依次坐落在一条南北走向的大街上,学校在文具店的南边20 m 处,书店在文具店的北边100 m 处,张明同学从文具店出发,向北走了50 m ,接着又向北走了-70 m ,此时张明的位置在( ) A .文具店B .学校C .书店D .以上都不对8.数a ,b ,c 在数轴上对应的点的位置如图所示,表示0的点为原点,则下列各式正确的是( )A .abc <0B .a +c <0C .a +b <0D .a -c <09.学完有理数后,a ,b ,c ,d 四名同学分别聊起来了,a 说:“没有最大的正数,但有最大的负数.”b 说:“有绝对值最小的数,没有绝对值最大的数.”c 说:“有理数包括正有理数和负有理数.”d 说:“相反数是它本身的数是正数.”你认为谁说得对呢?( ) A .aB .bC .cD .d10.探索规律,71=7,72=49,73=343,74=2 401,75=16 807,…,那么72 018+1的个位数字是( )A .8B .4C .2D .0 二、填空题(每题3分,共24分)11.在有理数-3.7,2,213,-34,0,0.02中,正数有______________,负分数有______________. 12.一种食用盐包装袋上标有(500±5)g ,表示这种食用盐的质量不超过________,不少于________.13.比较大小(填“>”“<”或“=”):(1)-45________-34; (2)|-5|________0; (3)-(-0.01)________⎝ ⎛⎭⎪⎫-1102.14.如图,小明写作业时不慎将墨水滴在数轴上,墨迹盖住部分对应的整数共有________个.15.若|a -11|+(b +12)2=0,则(a +b )2 018=________.16.按下面程序计算(如图),输入x =-5,则输出的答案是________ .输入x ―→平方―→-x ―→÷2―→输出答案17.在算式1-⎪⎪⎪⎪-2 3中的 里,填入运算符号________,可使得算式的值最小(在符号+,-,×,÷中选择一个).18.有六张卡片,卡片正面分别写有六个数,背面分别写有六个字母,如下表:将卡片正面的数由大到小排列,然后将卡片翻转使背面朝上,卡片上的字母组成的单词是________.三、解答题(19题16分,20,22题每题8分,24题10分,其余每题12分,共66分) 19.计算:(1)-|3-5|+2×(1-3);(2)-24×⎝ ⎛⎭⎪⎫-56+38-112;(3)(-2)3-(-13)÷⎝ ⎛⎭⎪⎫-12;(4)-12-(1-0.5)÷52×15.20.已知|x -3|与|y -1|互为相反数,求式子⎝ ⎛⎭⎪⎫x y -y x ÷(x +y)的值.21.如图,数轴上有三个点A ,B ,C ,请回答下列问题:(1)将点C 向左移动6个单位长度后,这时点B 所表示的数比点C 所表示的数大多少? (2)怎样移动A ,B ,C 中的两个点,才能使这三个点表示相同的数?有几种移法?22.若“”表示运算a-b+c,“”表示运算x-y+z-w,求-的值.23.“十一”期间,某风景区在7天假期中,每天旅游的人数变化如下表(正数表示比前一天增加的人数,负数表示比前一天减少的人数)所示(单位:万人):若9月30日的游客人数为1万人.(1)这7天内哪天游客的人数最多?哪天游客的人数最少?(2)这7天内该风景区平均每天有游客多少万人?24.如图,数轴上的点A,B,C分别表示数-3,-1,2.(1)A,B两点间的距离AB=________,A,C两点间的距离AC=________.(2)若点E表示的数为x,则AE的长等于多少?答案二、1.B 2.A 3.B 4.B 5.D 6.B7.B 8.B 9.B 10.D 二、11.2,213,0.02;-3.7,-3412.505 g ;495 g13.(1)< (2)> (3)= 14.7 15.1 16.15 17.× 18.thanks三、19.解:(1)原式=-2+2×(-2)=-2+(-4)=-6;(2)原式=20-9+2=13; (3)原式=-8-26=-34;(4)原式=-1-12×25×15=-1-125=-1125.20.解:因为|x -3|与|y -1|互为相反数,所以|x -3|+|y -1|=0.所以x =3,y =1.所以原式=⎝ ⎛⎭⎪⎫31-13÷(3+1)=⎝ ⎛⎭⎪⎫3-13÷4=23.21.解:(1)这时点B 所表示的数比点C 所表示的数大1.(2)有3种移法.①点A 右移2个单位长度,点C 左移5个单位长度; ②点A 右移7个单位长度,点B 右移5个单位长度; ③点B 左移2个单位长度,点C 左移7个单位长度.22.解:由题意知,原式=14-12+16-[-2-3+(-6)-3]=-112-(-14)=-112+14=131112.23.解:(1)由题意知,该风景区在7天假期中,每天旅游的人数如下表所示(单位:万人):由此可知,10月3日的游客人数最多,10月7日的游客人数最少.(2)这7天内该风景区平均每天的游客人数为17×(2.6+3.4+3.8+3.4+2.6+2.8+1.6)≈2.89(万人).24.解:(1)2;5(2)|x -(-3)|=|x +3|, 即AE 的长为|x +3|.第三章达标测试卷一、选择题(每题3分,共30分)1.代数式:6x 2y +1x ,5xy +x 2,-15y 2+xy ,2y ,-3中,不是整式的有( ) A .4个B .3个C .2个D .1个2.下列各式中,与2a 是同类项的是( )A .3aB .2abC .-3a 2D .a 2b3.下列代数式中符合书写要求的是( )A.a 2b 4B .213cbaC .a ×b ÷cD .ayz 34.在下列表述中,不能表示代数式“4a ”的意义的是( )A .4的a 倍B .a 的4倍C .4个a 相加D .4个a 相乘5.多项式y -x 2y +25的项数、次数分别是( )A .3,2B .3,5C .3,3D .2,3 6.下列运算正确的是( )A .-()2x +5=-2x +5B .-12()4x -2=-2x +2C.13()2m -3n =23m +nD .-⎝ ⎛⎭⎪⎫23m -2x =-23m +2x7.将有理数m 减小5后,再乘3,最后的结果是( )A .3(m -5)B .m -5×3mC .m -5+3mD .m -5+3(m -5)8.若m +n =-1,则(m +n )2-2m -2n 的值是( )A .3B .0C .1D .29.多项式12x |n |-(n +2)x +7是关于x 的二次三项式,则n 的值是( )A .2B .-2C .2或-2D .310.有一种石棉瓦,每块宽60 cm ,用于铺盖屋顶时,每相邻两块重叠部分的宽都为10 cm ,那么n (n 为正整数)块石棉瓦覆盖的宽度为( )A .60n cmB .50n cmC .(50n +10)cmD .(60n +10)cm二、填空题(每题3分,共24分)11.单项式-x 2y3的系数是________,次数是________.12.-xy 22+3xy -23是________次________项式,最高次项的系数为________. 13.计算:a 2b -2a 2b =________.14.若-x 3y 与x a y b -1是同类项,则(b -a )2 017=________.15.张老师带了100元钱去给学生买笔记本和笔.已知一本笔记本3元,一支笔2元,张老师买了a 本笔记本,b 支笔,她还剩______________元钱(用含a ,b 的代数式表示). 16.定义新运算,规定a b =13a -4b ,则-1)=________.17.一组等式:12+22+22=32,22+32+62=72,32+42+122=132,42+52+202=212,…,请观察它们的构成规律,用你发现的规律写出第9个等式:____________________. 18.为庆祝“六一”儿童节,某幼儿园举行用火柴棒摆“金鱼”比赛.按照如图所示的规律,摆第n 个图形,需用火柴棒的根数为__________.(第18题)三、解答题(20~22题每题10分,其余每题12分,共66分) 19.计算:(1)(-5a 3)-a 3-(-7a 3); (2)()5a 2+2a -1-2()3-8a +2a 2;(3)(2xy -y )-(-y +yx ); (4)3a 2b -2[ab 2-2(a 2b -2ab 2)].20.(1)先化简,再求值:12x+⎝⎛⎭⎪⎫13y2-x-⎝⎛⎭⎪⎫-32x+43y2,其中x=-12,y=-3.(2)已知A=-a2+2a-1,B=3a2-2a+4,求当a=-2时,2A-3B的值.21.如图是一个长方形广场,四角都有一块边长为x m的正方形草地,若长方形的长为a m,宽为b m.(1)请用代数式表示阴影部分的面积;(2)若长方形广场的长为350 m,宽为200 m,正方形草地的边长为10 m,求阴影部分的面积.(第21题)22.对于代数式2x2+7xy+3y2+x2-kxy+5y2,老师提出了两个问题,第一个问题:当k 为何值时,代数式中不含xy项?第二个问题:在第一个问题的前提下,如果x=2,y =-1,那么代数式的值是多少?(1)小明同学很快就完成了第一个问题,也请你把你的解答写在下面.(2)在做第二个问题时,马小虎同学把y=-1错看成y=1,他得到的最后结果却是正确的,你知道这是为什么吗?23.某校组织学生到距离学校6 km的科技馆去参观,小华因事没能乘上学校的包车,于是准备在学校门口改乘出租车去科技馆,出租车收费标准有两种类型,如下表:(1)设出租车行驶的里程为x km(x≥3且x取正整数),分别写出两种类型的总收费(用含x的代数式表示);(2)小华身上仅有11元,他乘出租车到科技馆车费够不够?24.一张正方形桌子可坐4人,按如图所示的方式将桌子拼在一起,回答下列问题.(第24题)(1)两张桌子拼在一起可以坐________人,三张桌子拼在一起可以坐________人,n张桌子拼在一起可以坐________人.(2)一家酒楼有60张这样的正方形桌子,按如图所示的方式每4张桌子拼成一张大桌子,则60张桌子可以拼成15张大桌子,共可坐多少人?(3)在(2)中,若每4张桌子拼成一张大的正方形桌子,共可坐多少人?(4)对于这家酒楼,(2)(3)中哪种拼桌子的方式能使坐的人更多?答案一、1.C2.A3.A4.D5.C6.D 7.A8.A点拨:(m+n)2-2m-2n=(m+n)2-2(m+n).当m+n=-1时,(m+n)2-2(m+n)=(-1)2-2×(-1)=1+2=3.9.A点拨:因为多项式12x|n|-(n+2)x+7是关于x的二次三项式,所以|n|=2且n+2≠0,所以n=2.10.C二、11.-13;3 12.三;三;-12 13.-a 2b 14.-1 15.(100-3a -2b ) 16.8 点拨:-1)=13×12-4×(-1)=8.17.92+102+902=912 点拨:规律:n 2+(n +1)2+[n (n +1)]2=[n (n +1)+1]2,故第9个等式为92+102+902=912.18.6n +2 点拨:第1个图形有8根火柴棒,第2个图形有14根火柴棒,第3个图形有20根火柴棒,…,第n 个图形有(6n +2)根火柴棒. 三、19.解:(1)原式=-5a 3-a 3+7a 3=a 3;(2)原式=5a 2+2a -1-6+16a -4a 2=a 2+18a -7; (3)原式=2xy -y +y -xy =xy ;(4)原式=3a 2b -2(ab 2-2a 2b +4ab 2)=3a 2b -2ab 2+4a 2b -8ab 2=7a 2b -10ab 2. 20.解:(1)原式=12x +13y 2-x +32x -43y 2=x -y 2.当x =-12,y =-3时,x -y 2=-12-(-3)2=-192.(2)2A -3B =2(-a 2+2a -1)-3(3a 2-2a +4)=-2a 2+4a -2-9a 2+6a -12=-11a 2+10a -14.当a =-2时,2A -3B =-11a 2+10a -14=-11×(-2)2+10×(-2)-14=-78. 21.解:(1)阴影部分的面积为(ab -4x 2)m 2.(2)将a =350,b =200,x =10代入(1)中得到的式子, 得350×200-4×102=70 000-400=69 600(m 2). 答:阴影部分的面积为69 600 m 2.22.解:(1)因为2x 2+7xy +3y 2+x 2-kxy +5y 2=(2x 2+x 2)+(3y 2+5y 2)+(7xy -kxy )=3x 2+8y 2+(7-k )xy ,所以只要7-k =0,这个代数式中就不含xy 项. 所以当k =7时,代数式中不含xy 项.(2)因为在第一个问题的前提下原代数式可化为3x 2+8y 2,当马小虎同学把y =-1错看成y =1时,y 2的值不变,即8y 2的值不变, 所以马小虎得到的最后结果却是正确的.23.解:(1)甲类总收费为7+(x-3)×1.6=1.6x+2.2(元);乙类总收费为6+(x-3)×1.4=1.4x+1.8(元).(2)当x=6时,甲类总收费为1.6×6+2.2=11.8(元),11.8元>11元,不够;乙类总收费为1.4×6+1.8=10.2(元),10.2元<11元,够.所以他乘出租车到科技馆车费够.24.解:(1)6;8;(2n+2)(2)按题图所示的方式每4张桌子拼成一张大桌子,那么一张大桌子可坐2×4+2=10(人).所以15张大桌子共可坐10×15=150(人).(3)在(2)中,若每4张桌子拼成一张大的正方形桌子,则一张大正方形桌子可坐8人,15张大正方形桌子共可坐8×15=120(人).(4)由(2)(3)可知,按照(2)中拼桌子的方式能使坐的人更多.第四章达标测试卷一、选择题(每题3分,共30分)1.小辉同学画出了下面四个图形,你认为是四边形的是()2.对于直线AB,线段CD,射线EF,下面能相交的是()(第3题)3.如图,表示∠1的其他方法中,不正确的是()A.∠ACB B.∠CC.∠BCA D.∠ACD4.一个多边形从一个顶点最多能引出2 018条对角线,这个多边形的边数是() A.2 018 B.2 019 C.2 020 D.2 0215.下列有关画图的表述中,不正确的是()A.画直线MN,在直线MN上任取一点PB.以点M为端点画射线MXC.过P,Q,R三点画直线D.延长线段MN到点P,使NP=MN6.∠α=40.4°,∠β=40°4′,则∠α与∠β的大小关系是()A.∠α=∠βB.∠α>∠βC.∠α<∠βD.以上都不对7.如图,观察图形,下列说法或结论中不正确的是()(第7题)A.直线BA和直线AB是同一条直线B.射线AC和射线AD是同一条射线C.AC+CD=ADD.图中有4条线段8.下列说法正确的有()①角的大小与所画角的两边的长短无关;②比较角的大小就是比较它们的度数的大小;③从角的顶点出发的一条射线把这个角分成两个角,这条射线叫做这个角的平分线;④如果∠AOC=12∠AOB,那么OC是∠AOB的平分线.A.1个B.2个C.3个D.4个9.已知∠AOB=50°,∠BOC=30°,那么∠AOC的度数是()A.20°B.40°C.80°D.20°或80°10.如图,一条流水生产线上L1,L2,L3,L4,L5处各有一名工人在工作,现要在流水生产线上设置一个零件供应站P,使五人到供应站P的距离总和最小,这个供应站设置的位置是()(第10题)A.L2处B.L3处C.L4处D.生产线上任何地方都一样11.开学整理教室时,老师总是先把每一列最前面和最后面的课桌摆好,然后依次摆中间的课桌,一会儿一列课桌便摆在一条线上,整整齐齐,这是因为______________________.12.如图,小于平角的角有________个.(第12题)(第14题)(第17题)(第18题)13.把一个直角4等分,每一个角的度数是________度________分.14.如图,阴影部分扇形的圆心角的度数是________.15.一支水笔正好与一把直尺平靠放在一起,小明发现:水笔的笔尖正好对着直尺刻度约为5.6 cm处,另一端正好对着直尺刻度约为20.6 cm处,则水笔的中点位置对着的直尺刻度约为________cm.16.在学习了“线段、射线、直线”后,小李发现:许多汉字就是由这些基本的图形组成的,例如:“一”“二”可以分别看成是一条线段和两条线段组成的,那么汉字“王”中有________条线段.17.如图,某轮船在O处测得灯塔A在北偏东40°的方向上,灯塔B在南偏东60°的方向上,则∠AOB=________.18.如图,艺术节期间某班数学兴趣小组设计了一个长方形时钟作品,其中心为O,数字3,6,9,12标在各边中点处,数字2在长方形顶点处,则数字1应该标在________三、解答题(19~22题每题10分,其余每题13分,共66分)19.计算:(1)48°39′+67°41′-37°12′11″;(2)32°45′20″×4-40°35′50″.20.尺规作图,如图,已知线段a,b,作出线段c,使c=a-b.(要求:不写作法,保留作图痕迹)(第20题)21.如图,在O点的观测站测得渔船A,B的方向分别为北偏东45°,南偏西30°,为了减少相互干扰并取得较好的捕鱼效益,渔船C恰好位于∠AOB的平分线上,求渔船C相对观测站的方向.(第21题)22.如图,直线AB,CD相交于点O,OE平分∠AOD,∠FOC=90°,∠1=40°,求∠2和∠3的度数.(第22题)23.如图,A,B,C是一条笔直的公路上的三个村庄,A,B之间的路程为100 km,A,C 之间的路程为40 km,现在要在A,B之间建一个车站P,设P,C之间的路程为x km.(1)用含x的代数式表示车站P到三个村庄的路程之和.(2)若路程之和为102 km,则车站P应建在何处?(3)若要使车站P到三个村庄的路程之和最小,则车站P应建在何处?此时路程之和是多少?(第23题)24.如图,正方形ABCD的内部有若干个点,利用这些点以及正方形ABCD的顶点A,B,C,D把原正方形分割成一些小三角形(互相不重叠):(第24题)(1)填写下表:(2)原正方形能否被分割成2 018个小三角形?若能,求此时正方形ABCD的内部有多少个点.若不能,请说明理由.答案一、1.B2.B3.B4.D5.C6.B7.D8.B点拨:从角的顶点出发的一条射线把这个角分成两个相等的角,这条射线叫做这个角的平分线,故③错误;如果∠AOC=12∠AOB,当OC在∠AOB的内部时,OC是∠AOB的平分线,但当OC在∠AOB的外部时,OC不是∠AOB的平分线,故④错误.①②正确,所以选B.9.D点拨:①当射线OC在∠AOB的外部时,∠AOC=∠AOB+∠BOC=50°+30°=80°;②当射线OC在∠AOB的内部时,∠AOC=∠AOB-∠BOC=50°-30°=20°.故选D. 10.B二、11.两点确定一条直线12.713.22;3014.36°15.13.116.1217.80°18.②三、19.解:(1)原式=(48°+67°-37°)+(39′+41′-13′)+(60″-11″)=78°67′49″=79°7′49″;(2)原式=131°1′20″-40°35′50″=90°25′30″.20.解:如图所示.(第20题)则线段BC=c=AB-AC=a-b.21.解:由题意可知∠AOB=180°-45°+30°=165°,165°÷2-30°=52.5°.所以渔船C在观测站南偏东52.5°方向.22.解:因为∠FOC=90°,∠1=40°,∠3+∠FOC+∠1=180°,所以∠3=180°-90°-40°=50°.因为∠3+∠AOD=180°,所以∠AOD=180°-∠3=130°.因为OE平分∠AOD,所以∠2=12∠AOD=65°.(2)令100+x =102,解得x =2, 即车站P 建在C 村两侧2 km 处均可.(3)当x =0时,x +100最小,此时x +100=100,即车站P 建在C 村处时,车站P 到三个村庄的路程之和最小,此时路程之和为100 km . 24.解:(1)填表如下:(2)能.当2n +2=2 018,即n =1 008时,原正方形能被分割成2 018个小三角形,此时正方形ABCD 的内部有1 008个点.第五章达标测试卷一、选择题(每题3分,共30分) 1.下列方程是一元一次方程的是( )A .x 2+x =3B .5x +2x =5y +3 C.12x -9=3 D.2x +1=22.下列方程中,解是x =2的方程是( )A .3x +6=0 B.23x =2 C .5-3x =1 D .3(x -1)=x +1 3.若代数式x +4的值是2,则x 等于( )A .2B .-2C .6D .-6 4.下列变形中,正确的是( )A .若ac =bc ,则a =bB .若a c =bc ,则a =b C .若|a |=|b |,则a =b D .若-2x -2=3,则x =12 5.将方程3x -23+1=x2去分母,正确的是( )A .3x -2+1=xB .2(3x -2)+1=3xC .2(3x -2)+6=3xD .2(3x -2)+1=x 6.某公园要修建一个周长为48 m 的长方形花坛,已知该花坛的长比宽多2 m ,设花坛的A .2x =48B .x +2=48C .(x +x +2)×2=48D .x (x +2)=48 7.若12m +1与m -2互为相反数,则m 的值为( )A .-23 B.23 C .-32 D.328.如果x +12 017=-3,那么3x +32 017等于( )A .6B .-9C .3D .-19.如图①,天平呈平衡状态,其中左侧秤盘中有一袋玻璃球,右侧秤盘中也有一袋玻璃球,还有2个各20 g 的砝码.现将左侧袋中一颗玻璃球移至右侧秤盘,并拿走右侧秤盘的1个砝码后,天平仍呈平衡状态,如图②所示,则被移动的玻璃球的质量为( )(第9题)A .10 gB .15 gC .20 gD .25 g10.对于有理数a ,b ,c ,d 规定一种运算⎪⎪⎪⎪⎪⎪a b c d =ad -bc ,如⎪⎪⎪⎪⎪⎪1 02 -2=1×(-2)-0×2=-2,那么当⎪⎪⎪⎪⎪⎪2 -43-x 5=25时,x 等于( ) A .-34 B.274 C .-234 D .-134 二、填空题(每题3分,共24分)11.如果(a -1)x -13=2是关于x 的一元一次方程,则a __________. 12.写出一个解为x =2的一元一次方程:______________. 13.已知关于x 的方程2x +a -5=0的解是x =2,则a =________. 14.若规定“*”的意义为a *b =a -2b ,则方程3*x =5的解是____________. 15.若方程3x -4=0与关于x 的方程3x +4k =12的解相同,则k =________.16.如图是一个计算程序,当输入某数后,得到的结果为5,则输入的数值x =________.(第16题)17.王经理到襄阳出差带回襄阳特产——孔明菜若干袋,分给朋友们品尝.如果每人分5袋,还余3袋;如果每人分6袋,还差3袋,则王经理带回孔明菜________袋. 18.我们知道,无限循环小数都可以转化为分数.例如:将0.3·转化为分数时,可设0.3·=x ,则x =0.3+110x ,解得x =13,即0.3·=13.仿照此方法,将0.4·5·化成分数是________.三、解答题(20~22题每题10分,其余每题12分,共66分) 19.解下列方程:(1)3x -3=x +2; (2)x +14-1=2x -16.(3)4x -3(20-x )=4;(4)3(x +2)4=x +23+5.20.m 为何值时,代数式2m -5m -13的值与代数式7-m2的值的和等于5?21.某月,小江去某地出差,回来时发现日历有好几天没翻了,就一次翻了6张,这6天的日期数之和是123.小江回来的日期应该是多少号?22.某地为了打造风光带,将一段长为360 m的河道整治任务交给甲、乙两个工程队接力完成,共用时20天,已知甲工程队每天整治24 m,乙工程队每天整治16 m,求甲、乙两个工程队分别整治了多长的河道.23.有一种用来画圆的工具板(如图),工具板长21 cm,上面依次排列着大小不等的五个圆(孔),其中最大圆的直径为3 cm,其余圆的直径从左到右依次递减x cm,最大圆的左侧距工具板左侧边缘1.5 cm,最小圆的右侧距工具板右侧边缘1.5 cm,且相邻两圆的间距均为d cm.(1)用含x的代数式表示出其余四个圆的直径;(2)若最小圆与最大圆的直径之比为11∶15,求相邻两圆的间距.(第23题)24.某市居民生活用电基本价格为每千瓦时0.60元,若每月用电量超过a kW·h,超出部分按基本电价的120%收费.(1)某用户6月用电150 kW·h,共交电费93.6元,求a的值;(2)若该用户7月的电费平均每千瓦时为0.66元,则7月用电多少千瓦时?应交电费多少元?答案一、1.C 2.D 3.B4.B 点拨:当c =0,a ≠b 时,ac =bc 也成立,故A 选项不正确;若a c =bc ,则c 不能为0,由等式的基本性质得a =b ,故B 选项正确;若|a |=|b |,则a =b 或a =-b ,故C 选项不正确;若-2x -2=3,则x =-52,故D 选项不正确. 5.C 6.C 7.B 8.B9.A 点拨:设被移动的玻璃球的质量为x g ,根据题意,得2x =20,解得x =10. 10.A二、11.≠1 12.x -2=0(答案不唯一) 13.114.x =-1 点拨:由已知得3*x =3-2x =5,即2x =-2,解得x =-1. 15.216.10 点拨:输入某数后,得到的结果为5,而输入的数值可能是奇数,也可能是偶数.当输入的数值是奇数时,可得x +3=5,解得x =2(不合题意,舍去);当输入的数值是偶数时,可得12x =5,解得x =10.17.33 点拨:设王经理带回孔明菜x 袋,根据题意列方程,得x -35=x +36.解这个方程,得x =33.18.511 点拨:设0.4·5·=y ,则y =0.45+1100y ,解得y =511.所以0.4·5·化成分数是511.三、19.解:(1)移项,得3x -x =2+3.合并同类项,得2x =5. 系数化为1,得x =52.(2)去分母,得3(x +1)-12=2(2x -1). 去括号,得3x +3-12=4x -2. 移项,得3x -4x =-2-3+12. 合并同类项,得-x =7. 系数化为1,得x =-7. (3)去括号,得4x -60+3x =4. 移项、合并同类项,得7x =64.系数化为1,得x=64 7.(4)去分母,得9(x+2)=4(x+2)+60. 移项,得9(x+2)-4(x+2)=60.合并同类项,得5(x+2)=60.所以x+2=12.解得x=10.20.解:由题意知,2m-5m-13+7-m2=5.去分母,得12m-2(5m-1)+3(7-m)=30.去括号,得12m-10m+2+21-3m=30.移项,得12m-10m-3m=30-2-21.合并同类项,得-m=7.系数化为1,得m=-7.21.解:设这6天的日期数分别为x-2,x-1,x,x+1,x+2,x+3.根据题意,可得(x-2)+(x-1)+x+(x+1)+(x+2)+(x+3)=123.解得x=20.20+3+1=24.答:小江回来的日期应该是24号.22.解:设甲工程队整治了x天,则乙工程队整治了(20-x)天.由题意,得24x+16(20-x)=360,解得x=5.所以乙工程队整治了20-5=15(天).甲工程队整治的河道长为24×5=120 (m);乙工程队整治的河道长为16×15=240 (m).答:甲、乙两个工程队分别整治了120 m,240 m的河道.23.解:(1)其余四个圆的直径分别为(3-x)cm,(3-2x)cm,(3-3x)cm,(3-4x)cm.(2)由题易得(3-4x)∶3=11∶15,解得x=0.2.将x=0.2代入2×1.5+[3+(3-x)+(3-2x)+(3-3x)+(3-4x)]+4d=21,解得d=1.25.答:相邻两圆的间距为1.25 cm.24.解:(1)因为0.60×150=90(元)<93.6元,所以a<150.由题意,得0.60a+(150-a)×0.60×120%=93.6,解得a=120.(2)设7月用电x kW·h.由题意,得0.66x=0.60×120+0.60×(x-120)×120%,解得x=240.所以0.66x=0.66×240=158.4.答:7月用电240 kW·h,应交电费158.4元.第一学期期末测试卷一、选择题(每题3分,共30分)1.下列各数中,小于-3的数是()A.-4 B.-3 C.-2 D.-12.中国航母辽宁舰是中国人民海军第一艘可以搭载固定翼飞机的航空母舰,满载排水量为60 900 t,将60 900用科学记数法表示为()A.6.09×104B.60.9×103C.0.609×103D.6.09×1033.如图,数轴上有A,B,C,D四个点,其中表示互为相反数的点是()A.点A与点D B.点A与点C C.点B与点D D.点B与点C4.下面调查中,适合采用普查的是()A.对全国中学生心理健康现状的调查B.对某市食品合格情况的调查C.对天水电视台《人文天水》收视率的调查D.对你所在的班级同学的身高情况的调查5.某超市进了一批商品,每件进价为a元,若每件要获利25%,则每件商品的零售价应定为()A.25%a元B.(1-25%)a元C.(1+25%)a元 D.a1+25%元6.线段AB=12 cm,点C在线段AB上,且AC=13BC,M为BC的中点,则AM的长为()A.4.5 cm B.6.5 cm C.7.5 cm D.8 cm7.如果x=1是方程2-13(m-x)=2x的解,那么关于y的方程m(y-3)-2=m(2y-5)的解是()A.y=-10 B.y=0 C.y=43D.y=48.为了解本校九年级学生的体能情况,随机抽查了其中30名学生,测试1 min 仰卧起坐的次数,并将其绘制成如图所示的频数直方图.那么仰卧起坐次数在25~30的人数占抽查总人数的百分比是( ) A .40%B .30%C .20%D .10%9.如图是由一些相同的小正方体构成的立体图形从三个不同方向看得到的图形,这些相同的小正方体的个数是( )A .4B .5C .6D .710.下列说法正确的有( ) ①没有绝对值最小的有理数;②上午10点10分时,时针与分针的小于平角的夹角是115°; ③53πa 3b 的系数是53,次数是4;④要了解一批冰箱的使用寿命,采用普查方式.A .4个B .3个C .2个D .1个 二、填空题(每题3分,共24分)11.-12πab 的系数为________,次数为________. 12.计算:3x 2y +2x 2y =__________.13.某中学要了解七年级学生的视力情况,在全校七年级学生中抽取了25名学生进行检测.在这个问题中,总体是____________________________,样本是__________________________________.14.如图,在直角三角形ABC 中,∠ACB =90°,以边BC 所在直线为轴旋转一周所得到的几何体是________.15.小明和小丽同时从甲村出发到乙村,小丽的速度为4 km/h ,小明的速度为5 km/h ,小丽比小明晚到15 min ,则甲、乙两村的距离是________.16.校园“mama”超市出售2种中性笔,一种每盒有8支,另一种每盒有12支,由于近段时间某班全体上课状态很不错,班委准备给每人发1支中性笔以示鼓励.若买每盒8支的中性笔x 盒,则有3位同学没有中性笔;若买每盒12支的中性笔,则可以少买2盒,且最后1盒还剩1支.根据题意列方程:________________________________________________________________________. 17.如图,O 是直线AC 上一点,OB 是一条射线,OD 平分∠AOB ,OE 在∠BOC 内,且∠BOE =13∠EOC ,∠DOE =60°,则∠EOC 的大小是________.18.高杨同学用木棒和硬币拼成如图所示的“列车”形状,第1个图需要4根木棒、2枚硬币,第2个图需要7根木棒、4枚硬币,照这样的方式摆下去,第n 个图需要__________根木棒、__________枚硬币.三、解答题(23,25题每题12分,24题10分,其余每题8分,共66分) 19.计算:-22+|5-8|+24÷(-3)×13.20.先化简,再求值:(1)(4a 2-3a )+(2+4a -a 2)-(2a 2+a -1),其中a =-2;(2)2(ab 2-a 2b )-(-2a 2b -ab 2+1),其中a =4,b =12.。
北师大版七年级数学下册单元测试题全套(含答案)第一章达标检测卷(满分: 120 分 时间: 90 分钟)一、选择题 ( 每小题 3 分,共 30 分 )1 .计算x 3 • X 3的结果是()A . 2x 3B . 2x 6C . x 6D. x 92017 年 6 月 8 日 24 时,个人普通小客车指标的基准中签几率继续创新低,约为 0.00122 ,相当于 817 人抢一个指标,小客车指标中签难度继续加大.将 0.00122用科学记数法表示应为 ()-5-3 A. 1.22 X 10 B 122X 10-3-2C. 1.22 X10 D . 1.22 X10 3.下列计算中,能用平方差公式计算的是( )5.若(y+3)( y —2) = y 2+m 什n,则m, n 的值分别为()A. m= 5, n=6 B . m= 1, n=—6 C. m= 1, n= 6D. m= 5, n=—66 .计算(8 a 2b 3—2a 3b 2+ab) + ab 的结果是()A . 8ab 2-2a 2b +1 B . 8ab 2- 2a 2b C . 8a 2b 2-2a 2b +1D. 8a 2b - 2a 2b + 17 .设(a+2b )2=(a —2b )2+A,则 A 等于( )试猜想:(n+1)( n+2)( n+3)( n+4) + 1 = 三、解答题(共66分)2.根据北京小客车指标办的通报,截至 A . ( x +3)( x - 2)B C . ( a 2+ b )( a 2- b ) D 4.下列各式计算正确的是 (A. a + 2a 2=3a 3Bbb . ( - 1- 3x )(1 +3x ). (3x + 2)(2 x - 3)).(a+ b )2= a 2 + ab+ b 2A.8ab B .-8abC.8b2 D .4ab8.若M= (a+3)(a— 4), N= (a+2)(2 a—5),其中a为有理数,则M N的大小关系是( )A. M> N B . Mk NC. M= N.无法确定2 20163 20179 .若 a= 20180,b = 2016 x 2018— 20172, c= -- x - ,则下列 a,b, c 的大小关系正确的是 ( )3 211 .计算:a 3+ a =.212 .右长方形的面积是 3a+2ab+ 3a,长为3a,则匕的范为 13 .若 x n= 2, y n= 3,贝U(xy )n=. 14 .化简a 4b* 3+ (ab )3的结果为.15 .若 2x +1= 16,则 x =.16 .用一张包装纸包一本长、宽、厚如图所示的书(单位:cm ).若将封面和封底每一边都包进去3cm,则需长方形的包装纸 cm 2.17 .已知(x+ y )2=1, (x-y )2=49,则 x 2+y 2的值为 18 .观察下列运算并填空.21X2X3X4+ 1= 24+1 = 25=5;22X3X4X5+ 1=120+1=121 = 11 ;___, , ._23X4X5X6+ 1= 360+ 1 = 361 = 19; 4X5X6X7+ 1= 840+ 1 = 841 = 292;27X8X9X 10+ 1 = 5040+ 1 = 5041 = 71 ;19. (8分)计算:A. a< b< c Ba< c< b C. bvavc Dc< b< a10.已知x 2+4y 2=13, xy = 3,求x+2y 的值.这个问题我们可以用边长分别为x 与y 的两种正方形组成、填空题(每小题3分,共24分)(第16题图)(1)2 3X 22 - 10- 2 —3—2(2) — 12+(兀一3.14)+ (-2)3.20. (12分)化简:⑴(2 x— 5)(3 x+2);2(2)(2 a+ 3b)(2 a- 3b) — (a-3b);52x3y3+ 4x2y2—3xy + ( - 3xy);(4) ( a+ b — c)( a+ b+ c).21 .(10 分)先化简,再求值:(2)[ x2+y2—(x+ y)2+2x(x—y)] +4x,其中x—2y=2.22.(8 分)若m p= 1, m2q= 7, mr= - 7,求m3p+4q—2r的值.5 523.(8分)对于任意有理数a、b、c、d,我们规定符号(a, b) (c, d) = ad—b c.例如:(1, 3) (2, 4)= 1X4-2X3=- 2.(1)( —2, 3) (4, 5)=;(2)求(3a+1, a-2) (a+2, a—3)的值,其中a2—4a+1 = 0.24.(10分)王老师家买了一套新房,其结构如图所示(单位:米).他打算将卧室铺上木地板,其余部分铺上地砖.(1)木地板和地砖分别需要多少平方米?(2)如果地砖的价格为每平方米 x 元,木地板的价格为每平方米3x 元,那么王老师需要花多少钱?25. (10 分)阅读:已知 a+b=-4, ab=3,求 a 2+ b 2的值.解:= a+ b= — 4, ab= 3,.•.a 2+b 2=(a + b )2—2ab=( —4)2 —2X3= 10.请你根据上述解题思路解答下面问题:⑴已知 a — b=—3, ab=—2,求(a+b)( a 2—b 2)的值;(2)已知 a- c —b=—10, (a —b )c=—12,求(a —b ) 2+c 2的值.7-—*卧室卫生问(第24题图)参考答案与解析、1. C 2.C3.C4.C5.B 6 . A 7.A 8.B 9.C10. B 解析:(x+2y )2=x 2+4xy+4y 3 4,故符合的图形为 B.14. a 15.3 16.(2 a 2+19a —10) 17.2518 . (n 2+5n+ 5) 解析:观察几个算式可知结果都是完全平方式, 且5=1X4+ 1, 11=2X5+ 1, 19=3X6+ 1, .. 由此可知,最后一个式子为完全平方式,且底数为 (n+1)( n + 4)+1 = n 2+5n + 5.19 .解:(1)原式=8X4— 1—8= 23.(4 分) (2)原式=—1 + 1 — 9— 8 = — 17.(8 分)20 .解:(1)原式=6x 2+4x —15x —10=6x 2—11x —10.(3 分) (2)原式=4a 2—9b 2—a 2+6ab —9b 2=3a 2+6ab —18b 2.(6 分)⑶原式=-6x 2y 2—3xy+1.(9 分)(4)原式=(a+b )2—c 2= a 2+b 2—c 2+2ab.(12 分)22—1 …一121.解:(1)原式=1 —a +a —4a+ 4=— 4a+ 5.(3 分)当 a =]时,原式=—4x 万+5=3.(5 分)(2)原式=(x 2+y 2_x 2_2xy_ y 2+2x 2—2xy )+4 x= (2x 2—4xy )+4x= gx —y .(8 分).x_2y=2, 1-2x —y=1, • .原式=1.(10 分) 22. 解:m 3p4q 2r = ( m p) 3 • ( m 2q ) 2+(而2.(4 分). mp :;,m 2q = 7,m i= - m 3p4q 2r=553 3 2 7 21 … 5 XL 蓝=5.(8 分) 23.解:(1) —22(2 分)(2)(3 a+1, a — 2) (a+2, a — 3) = (3a+1)( a — 3) — (a — 2)( a+ 2) = 3a — 9a+ a — 3 — (a — 4) = 3a — 9a422_2+ a — 3— a + 4 = 2a — 8a + 1.(5 分)= a — 4a + 1 = 0, • • 2 a — 8a = — 2,,(3a+1, a — 2) (a+2, a — 3) =—2+ 1 = — 1.(8 分)24.解:(1)卧室的面积是2b (4a —2a ) =4ab (平方米),(2分)厨房、卫生间、客厅的面积和是b - (4a-2a11. a 212. a +23b+113.64. 卜列作图能表示点 A 到BC 的距离的是()(2) .. a-c-b=- 10, (a-b )c=- 12, . .( a —b )2+ c 2= [( a —b ) — c ] 2+2( a —b )c=( — 10)2+2x( — 12)= 76.(10 分)第二章达标检测卷 (满分:120分时间:90分钟)、选择题(每小题3分,共30分)1.下列图形中,Z1 与/2互为对顶角的是()(第2题图)(第3题图)A. 154° C. 116°3.如图,已知直线a, b 被直线c 所截,那么/I 的同旁内角是() A. Z 3 B . Z4 C. Z 5D . Z6B 144 D.26° 或 154°2.如图,O 是直线AB 上一点,若/ 1 = 26° ,则/AOC 勺度数为()5.如图,下列条件:①/ 1 = /3;②/2=/3;③/4=/5;(DZ 2+74=180°中,能判断直线 l i// 12的有( )A. 1个 B . 2个 C. 3个D. 4个6.如图,直线 a, b 与直线c, d 相交,已知/ 1 = Z2, 73=110° ,则/4 的度数为(A. 70° B . 80° C. 110°D. 1007.如图,AB// CD CD// EF,则/ BCE?于()A. Z 2-Z 18.如图,将一副三角板叠放在一起,使直角的顶点重合于点 O, AB// OC DC 与OB 交于点E,则/ DEO 勺度数为()A. 85° B . 70° C. 75°D, 60°C. 180° + Z 1-Z 2D . 180° -Z 1 + Z29.如图,E, F 分别是AB, CD 上的点,G 是BC 的延长线上一点,且/ B= / DCG= / D,则下列结论不一定(第5题图)(第6题图)(第7题图)(第8题图)10. 一次数学活动中,检验两条完全相同的纸带①、 ②的边线是否平行, 小明和小丽采用两种不同的方法:小明把纸带①沿 AB 折叠,量得/ 1 = /2=50。
七年级数学下 第1章 整式的乘除--单元测试卷(一)一、选择题(共10小题,每小题3分,共30分) 1•下列运算正确的是() A. a 45a a 9B.3a 3 a 3 3a 3aC. 2 4!a 3a 5 6a 9D.347aa2012320122.—23()A.1B. 1C.D. 19971353 .设 5a 3b 2 5a 3b 2 A , 则 A=()A. .30 abB. 60 abC. 15abD. 12ab 4.已知x y5, xy 3,则2x 2y() A. 25.B25C19D 、195.已知x a 1 3,xb 5,则 x 3a 2b()A 、27 B 、 9 C 、 3D 、52251056..如图,甲、乙、丙、丁四位同学给出了四7. 如(x+m)与(x+3)的乘积中不含x 的一次项,贝U m 的值为()A 、 £B 、 3C 、 0D 、 118.已知.(a+b)2=9,ab= — 1空,贝U a^+b 2 的值等于()A 、84B 、78C 、12D 、69.计算(a — b ) (a+b )(孑+b 2) (a 4— b 4)的结果是()A . a 8+2a 4b 4+b 8B . a 8 — 2a 4b 4+b 8C . a 8+b 8D . a 8— b 810.已知P7 m 151,Qm 2 —m ( m 为任意实数)15,贝U P 、Q 的大小关系为()A 、P QB 、 P QC 、P QD 、不能确定二、填空题 (共 6小题, 每小题4分,共24分)11.设 4x 2mx121 是一个完全平方式,则m = 。
1 2 112. 已知x - 5 ,那么x — = ___________ 。
x x13. 方程x 3 2x 5 2x 1 x 8 41 的解是______ 。
14. 已知m n 2, mn 2,则(1 m)(1 n)______ 。
15. 已知2a=5,2b=10,2c=50,那么a、b、c之间满足的等量关系是____________16. 若m2 n26,且m n 3,则m n _____________ .三、解答题(共8题,共66分)17计算:(本题9分)(1)2012121- 3.140 3 2(2) 2x3y2xy 3322x y 2x 2(3) 6m2n 6m2 n2 3m23m2(4)18、(本题9分)(1)先化简,再求值:22a b2 1a 1,其中a 2,b 22 ) 、化简再求值:其中的值19、(本题8分)如图所示,长方形ABCD 是 阳光小区”内一块空地,已知 AB=2a , BC=3b ,且E 1为AB 边的中点,CF=- BC ,现打算在阴影部分种植一片草坪,求这片草坪的面积。
七年级数学下 第 1 章 整式的乘除 -- 单元测试卷(一)一、选择题(共 10 小题,每小题 3 分,共 30 分) 1.下列运算正确的是( )A.4a5a9aB.a C.3 a 3 a 3 3a 33 a 3 a 3 3a34356 92aaaD.4 3a 7a201220125 3 2.2 ( ) A. 1 B. 1 C. 0 D. 199713525 323.设 5a 3b ab A ,则 A= ()A. 30 ab B. 60 ab C. 15ab D. 12ab 4.已知 x y 5, xy 3, 则2 y 2x( ) A. 25.B 25 C19D 、 19ax b5.已知 x3,5,则 3a 2b() A 、x27 25B 、9 10C 、3 5D 、526. .如图,甲、乙、丙、丁四位同学给出了四aba种表示该长方形面积的多项式: m n①(2a+b)( m+ n ); ②2a(m+ n )+ b ( m +n); ③m(2a+b)+ n(2a+b); ④2am+2an+ b m+ b n , 你认为其中正确的有()A 、①②B 、③④C 、①②③D 、①②③④7.如(x+m) 与(x+3)的乘积中不含 x 的一次项,则 m 的值为()A 、 –3B 、3C 、0D 、11 8.已知.(a+b)2=9,ab= -1 22=9,ab= -1 22 ,则 a2+b的值等于( )A 、84B 、78C 、12D 、622449.计算(a -b )(a+b )(a +b )(a -b)的结果是() A .a8+2a 4b 4+b 8B .a 8-2a 4b 4+b 8C .a 8+b 8D .a 8-b 872810.已知 Pm Q mm(m 为任意实数),则 P 、Q 的大小关系为( )1,15 15A、P QB、P QC、P QD、不能确定二、填空题(共6小题,每小题4分,共24分)2 mx11.设4x 121是一个完全平方式,则m =_______。
北师大版七年级下册数学全册单元试卷(6套)第一章测试卷一、选择题(每题3分,共30分)1.计算(-a2)3的结果是( )A.a5B.a6C.-a5D.-a62.计算:20·2-3等于( )A.-18B.18C.0 D.83.斑叶兰被列为国家二级保护植物,它的一粒种子重约0.000 000 5 g,将0.000 000 5用科学记数法表示为( )A.5×107B.5×10-7C.0.5×10-6D.5×10-64.下列运算正确的是( )A.x2·x3=x6B.x2y·2xy=2x3y C.(-3xy)2=9x2y2D.x6÷x3=x2 5.计算4m·8-1÷2m的结果为16,则m的值等于( )A.7 B.6 C.5 D.46.下列四个算式:①5x2y4÷15xy=xy3;②16a6b4c÷8a3b2=2a3b2c;③9x8y2÷3x2y=3x4y;④(12m3-6m2-4m)÷(-2m)=-6m2+3m+2. 其中正确的有( )A .0个B .1个C .2个D .3个7.下列运用平方差公式计算,错误的是( )A .(a +b )(a -b )=a 2-b 2B .(x +1)(x -1)=x 2-1C .(2x +1)(2x -1)=2x 2-1D .(-a +b )(-a -b )=a 2-b 28.若(a +2b )2=(a -2b )2+A ,则A 等于( )A .8abB .-8abC .8b 2D .4ab9.若a =-0.32,b =-3-2,c =⎝ ⎛⎭⎪⎫-13-2,d =⎝ ⎛⎭⎪⎫-130,则a ,b ,c ,d 的大小关系是( )A .a <b <c <dB .b <a <d <cC .a <d <c <bD .c <a <d <b10.在边长为a 的正方形中挖去一个边长为b 的小正方形(a >b )(如图①),把余下的部分剪拼成一个长方形(如图②),根据两个图形中阴影部分的面积相等,可以验证( )A .(a +b )2=a 2+2ab +b 2B .(a -b )2=a 2-2ab +b 2C .a 2-b 2=(a +b )(a -b )D .(a +2b )(a -b )=a 2+ab -2b 2 二、填空题(每题3分,共30分)11.计算:a(a+1)=__________.12.如果x+y=-1,x-y=8,那么代数式x2-y2的值是________.13.某种计算机每秒可做4×108次运算,它工作3×103 s运算的次数为__________.14.如果9x2+k x+25是一个完全平方式,那么k的值是________.15.计算:(-13xy2)2·[xy(2x-y)+xy2]=__________.16.计算:(7x2y3z+8x3y2)÷4x2y2=______________.17.若(x+2m)(x-8)中不含x的一次项,则m的值为________.18.若3x=a,9y=b,则3x-2y的值为________.19.如图,一个长方形花园ABCD,AB=a,AD=b,该花园中建有一条长方形小路LMPQ和一条平行四边形小路RSTK,若LM=R S=c,则该花园中可绿化部分(即除去小路后剩余部分)的面积为________________.20.《数书九章》中的秦九韶算法是我国南宋时期的数学家秦九韶提出的一种多项式简化算法.在现代,利用计算机解决多项式的求值问题时,秦九韶算法依然是最优的算法.例如,计算“当x=8时,多项式3x3-4x2-35x+8的值”,按照秦九韶算法,可先将多项式3x3-4x2-35x+8一步步地进行改写:3x3-4x2-35x+8=x(3x2-4x-35)+8=x[x(3x-4)-35]+8.按改写后的方式计算,它一共做了3次乘法,3次加法,与直接计算相比节省了乘法次数,使计算量减少.计算当x=8时,多项式的值为1 008.请参考上述方法,将多项式x3+2x2+x-1改写为_________________________________;当x=8时,多项式的值为________.三、解答题(21,26题每题12分,22,23题每题8分,其余每题10分,共60分)21.计算:(1)(-12ab)(23ab2-2ab+43b);(2)(a+b)(a-b)+4ab3÷4ab;(3)(2x-y-z)(y-2x-z);(4)(2x+y)(2x-y)+(x+y)2-2(2x2-xy).22.用简便方法计算:(1)102×98;(2)112×92.23.先化简,再求值:(1)(x+y)(x-y)-(4x3y-8xy3)÷2xy,其中x=-1,y=1;(2)(x-1)2-x(x-3)+(x+2)(x-2),其中x2+x-5=0.24.有这样一道题:计算⎣⎢⎡⎦⎥⎤3x (2xy +1)-(26x 2y 2÷2y )+⎝ ⎛⎭⎪⎫72xy 2·47y -1÷3x 的值,其中x =2 018,y =-2 019,甲同学把x =2 018,y =-2 019错抄成x =2 081,y =-2 091,但他的计算结果也是正确的.请你解释一下,这是为什么.25.如图,一块半圆形钢板,从中挖去直径分别为x ,y 的两个半圆. (1)求剩下钢板的面积;(2)当x =2,y =4时,剩下钢板的面积是多少?(π取3.14)26.先计算,再找出规律,然后根据规律填空. (1)计算:①(a -1)(a +1)=________; ②(a -1)(a 2+a +1)=________;③(a-1)(a3+a2+a+1)=________.(2)根据(1)中的计算,用字母表示出你发现的规律.(3)根据(2)中的结论,直接写出结果:①(a-1)(a9+a8+a7+a6+a5+a4+a3+a2+a+1)=__________;②若(a-1)·M=a15-1,则M=____________________;③(a-b)(a5+a4b+a3b2+a2b3+ab4+b5)=__________;④(2x-1)(16x4+8x3+4x2+2x+1)=__________.答案一、1.D 2.B 3.B 4.C 5.A 6.C 7.C 8.A 9.B 10.C二、11.a 2+a 12.-8 13.1.2×1012 14.±30 15.29x 4y 5 16.74yz +2x17.4 18.ab 19.ab -ac -bc +c 220.x [x (x +2)+1]-1;647三、21.解:(1)原式=-12ab ·23ab 2+⎝ ⎛⎭⎪⎫-12ab ·(-2ab )+⎝ ⎛⎭⎪⎫-12ab ·43b =-13a 2b 3+a 2b 2-23ab 2; (2)原式=a 2-b 2+b 2=a 2;(3)原式=[-z +(2x -y )]·[-z -(2x -y )]=(-z )2-(2x -y )2=z 2-(4x 2-4xy +y 2)=z 2-4x 2+4xy -y 2;(4)原式=4x 2-y 2+x 2+y 2+2xy -4x 2+2xy =x 2+4xy .22.解:(1)102×98=(100+2)×(100-2)=1002-22=10 000-4=9 996; (2)112×92=(10+1)2×(10-1)2=[(10+1)×(10-1)]2=(100-1)2=10 000-200+1=9 801.23.解:(1)原式=x 2-y 2-2x 2+4y 2=-x 2+3y 2.当x =-1,y =1时,原式=-x 2+3y 2=-(-1)2+3×12=2.(2)原式=x 2-2x +1-x 2+3x +x 2-4=x 2+x -3. 因为x 2+x -5=0, 所以x 2+x =5.所以原式=x 2+x -3=5-3=2.24.解:因为[3x (2xy +1)-(26x 2y 2÷2y )+⎝ ⎛⎭⎪⎫72xy 2·47y -1]÷3x =(6x 2y +3x -13x 2y +494x 2y 2·47y -1)÷3x =(6x 2y +3x -13x 2y +7x 2y )÷3x =1, 所以上式的值与x ,y 的取值无关. 所以错抄成x =2 081,y =-2 091, 结果也是正确的.25.解:(1)S 剩=12·π⎣⎢⎡⎭⎪⎫(x +y 22-⎝ ⎛⎭⎪⎫x 22-⎝ ⎛⎭⎪⎫y 22]=14πxy .答:剩下钢板的面积为π4xy .(2)当x =2,y =4时,S 剩≈14×3.14×2×4=6.28.答:剩下钢板的面积约是6.28. 26.解:(1)①a 2-1 ②a 3-1 ③a 4-1(2)规律:(a -1)(a n +a n -1+a n -2+…+a 3+a 2+a +1)=a n +1-1(n 为正整数). (3)①a 10-1②a 14+a 13+a 12+a 11+…+a 3+a 2+a +1 ③a 6-b 6 ④32x 5-1第二章达标测试卷一、选择题(每题3分,共30分)1.下图中,∠1和∠2是对顶角的是()2.已知∠1=40°,则∠1的补角的度数是()A.100° B.140° C.50° D.60°3.如图是一条公路上人行横道线的示意图,小丽站在A点想穿过公路,如果小丽想尽快穿过,那么小丽前进的方向应该是()A.线段AB的方向B.线段AC的方向C.线段AD的方向D.线段AE的方向4.如图,已知OA⊥OB,OC⊥OD,则图中∠1和∠2的关系是() A.互余B.互补C.相等D.以上都不对5.如图,是∠B的同旁内角的角有()A.1个B.2个C.3个D.4个6.如图,直线AB,CD相交于点O,OE⊥AB于O,若∠BOD=40°,则不正确的结论是()A.∠AOC=40° B.∠COE=130°C.∠EOD=40° D.∠BOE=90°7.下图中由∠1=∠2能得到AB∥CD的是()8.在同一平面内有三条不同的直线a,b,c,如果a∥b,a与b的距离是2 cm,并且b上的点P到直线c的距离也是2 cm,那么a与c的位置关系是() A.平行B.相交C.垂直D.不一定9.如图,将四边形纸片ABCD沿PR翻折得到三角形PC′R,恰好C′P∥AB,C′R∥A D.若∠B=120°,∠D=50°,则∠C=()A.85° B.95° C.90° D.80°10.如图,若∠1=∠2,DE∥BC,则下列结论中正确的有()①FG∥DC;②∠AED=∠ACB;③CD平分∠ACB;④∠1+∠B=90°;⑤∠BFG=∠BD C.A.1个B.2个C.3个D.4个二、填空题(每题3分,共30分)11.三条直线a∥b,a∥c,则__________,理由是_________________________ _______________________________________________.12.一个角与它的余角的比是1∶2,则这个角的度数是________.13.如图,ED∥AB,ED交AF于点C,∠ECF=138°,则∠A=________.14.如图,已知直线AB和CD相交于点O,OE⊥AB,∠AOD=128°,则∠CO E的度数是________.15.已知∠AOB=60°,OC为∠AOB的平分线,以OB为始边,在∠AOB的外部作∠BOD=∠AOC,则∠COD的度数是________.16.如图,请填写一个条件:________________,使得DE∥A B.17.如图,已知AC⊥BC,CD⊥AB,AC=3,BC=4,则点B到直线AC的距离等于________,点C到直线AB的垂线段是线段________.18.如图,A,B之间是一座山,一条铁路要通过A,B两点,为此需要在A,B 之间修一条笔直的隧道,在A地测得铁路走向是北偏东63°,那么在B地按南偏西________的方向施工,才能保证铁路准确接通.19.如图,直线l∥m,将含有45°角的三角板ABC的直角顶点C放在直线m上,若∠1=25°,则∠2的度数是________.20.如图,直线l1∥l2,∠α=∠β,∠1=40°,则∠2=________.三、解答题(21,22题每题8分,23~25题每题10分,26题14分,共60分) 21.如图,已知∠B+∠BCD=180°,∠B=∠D,那么∠E=∠DFE成立吗?为什么?下面是彬彬同学进行的推理,请你将彬彬同学的推理过程补充完整.解:成立.因为∠B+∠BCD=180°(已知),所以__________(同旁内角互补,两直线平行).所以∠B=∠DCE(________________________).又因为∠B=∠D(已知),所以∠DCE=∠D(等量代换).所以AD∥BE(________________________).所以∠E=∠DFE(________________________).22.一个角的余角比它的补角的23还小55°,求这个角的度数.23.如图,已知AB∥CD,∠B=100°,EF平分∠BEC,EG⊥EF,求∠BEG和∠DEG的度数.24.如图,以点B为顶点,射线BC为一边,利用尺规作图法作∠EBC,使∠EB C=∠A,EB与AD平行吗?请说明理由.25.如图,将一副三角尺的直角顶点重合在一起.(1)若∠DOB与∠DOA的度数比是2∶11,求∠BOC的度数;(2)若叠合所成的∠BOC=n°(0<n<90),则∠AOD的补角的度数与∠BOC的度数之比是多少?26.如图,∠B,∠D的两边分别平行.(1)在图①中,∠B与∠D的数量关系是什么?为什么?(2)在图②中,∠B与∠D的数量关系是什么?为什么?(3)由(1)(2)可得结论:____________________________________________________.(4)应用:若两个角的两边分别平行,其中一个角比另一个角的2倍少30°,求这两个角的度数.答案一、1.C 2.B 3.B 4.C 5.C 6.C 7.D8.D点拨:分为两种情况:(1)如图①,直线a和直线c相交(此时直线a和直线c也可能垂直);(2)如图②,直线c和直线a平行.故不能确定a与c的位置关系.9.B点拨:因为C′P∥AB,所以∠C′PC=∠B=120°.因为C′R∥AD,所以∠C′R C=∠D=50°.由折叠的性质可知∠CP R=12∠C′PC=60°,∠C R P=12∠C′R C=25°.所以∠C=180°-60°-25°=95°.10.C二、11.b∥c;平行于同一条直线的两条直线平行12.30° 13.42°14.38°15.60°16.∠ABD=∠D(答案不唯一)17.4;CD18.63°19.20°20.140°三、21.AB∥CD;两直线平行,同位角相等;内错角相等,两直线平行;两直线平行,内错角相等22.解:设这个角的度数为x°.由题意得90-x=23(180-x)-55,解得x=75.所以这个角的度数为75°.23.解:因为AB∥CD,∠B=100°,所以∠BEC=80°.因为EF平分∠BEC,所以∠BEF=∠CEF=40°.因为EG⊥EF,所以∠GEF=90°.所以∠BEG=90°-∠BEF=90°-40°=50°,∠DEG=180°-∠GEF-∠CEF=180°-90°-40°=50°.24.解:EB与AD不一定平行.理由如下:如图,可以作出两个符合要求的角.故EB与AD不一定平行.25.解:(1)设∠DOB=2x°,则∠DOA=11x°.因为∠AOB=∠COD=90°,所以∠AOC=∠DOB=2x°,∠BOC=7x°.又因为∠DOA=∠AOB+∠COD-∠BOC=180°-∠BOC,所以11x=180-7x,解得x=10.所以∠BOC=70°.(2)因为∠AOD=∠AOB+∠COD-∠BOC=180°-∠BOC,所以∠AOD与∠BOC互补,则∠AOD的补角等于∠BOC.故∠AOD的补角的度数与∠BOC的度数之比是1∶1.26.解:(1)∠B=∠D.理由如下:如图①,因为AB∥CD,所以∠B=∠1.因为BE∥DF,所以∠1=∠D.所以∠B=∠D.(2)∠B+∠D=180°.理由如下:如图②,因为AB∥CD,所以∠B=∠2.因为BE∥DF,所以∠2+∠D=180°.所以∠B+∠D=180°.(3)如果两个角的两边分别平行,那么这两个角相等或互补(4)情况①:设一个角是x°,则另一个角也是x°.所以x=2x-30,解得x=30.情况②:设一个角是x°,则另一个角是(180-x)°.所以x=2(180-x)-30,解得x=110.180-x=70.所以这两个角的度数是30°,30°或70°,110°.第三章达标测试卷一、选择题(每题3分,共30分)1.明明从广州给远在上海的爷爷打电话,电话费随着时间的变化而变化,在这个过程中自变量是()A.明明B.电话费C.时间D.爷爷2.已知两个变量之间的关系满足y=-x+2,则当x=-1时,对应的y的值为()A.1B.3C.-1 D.-33.如果圆珠笔有12支,总售价为18元,用y(元)表示圆珠笔的售价,x(支)表示圆珠笔的数量,那么y与x之间的关系应该是()A.y=12x B.y=18xC.y=23x D.y=32x4.小明从家出发,外出散步,到一个公共阅报栏前看了一会儿报后,继续散步了一段时间,然后回家.如图描述了小明在散步过程中离家的距离s(m)与散步所用时间t(min)之间的关系.根据图象,下列信息错误的是()A.小明看报用时8 minB.公共阅报栏距小明家200 mC.小明离家最远的距离为400 mD.小明从出发到回家共用时16 min5.下面的表格列出了一个实验的统计数据,表示将皮球从高处落下时,弹跳高度b与下降高度d的关系,下面能表示这种关系的式子是()d5080100150b25405075A.b=d2B.b=2dC.b=d2D.b=d+256.一个长方形的周长为24 cm,其中一边长为x cm,面积为y cm2,则这个长方形中y与x的关系式可写为()A.y=x2B.y=(12-x)2C.y=x(12-x)D.y=2(12-x)7.小王利用计算机设计了一个程序,输入和输出的数据如下表:那么,当输入数据8时,输出的数据是()A.861 B.863C.865 D.867输入…12345…输出 (1)225310417526…8.“龟兔赛跑”讲述了这样的故事:领先的兔子看着缓慢爬行的乌龟,骄傲起来睡了一觉,当它醒来时,发现乌龟快到终点了,于是急忙追赶,但为时已晚,乌龟还是先到达了终点.用s表示路程,t表示时间,则与故事情节相吻合的是()9.如图是甲、乙两车在某时段速度随时间变化的图象,下列结论错误的是() A.乙前4 s行驶的路程为48 mB.在0 s到8 s内甲的速度每秒增加4 m/sC.两车到第3 s时行驶的路程相等D.在4 s到8 s内甲的速度都大于乙的速度10.已知点P为某个封闭图形边界上一定点,动点M从点P出发,沿其边界顺时针匀速运动一周,设点M的运动时间为x,线段PM的长度为y,表示y与x的关系图象大致如图所示,则该封闭图形可能是()二、填空题(每题3分,共30分)11.已知圆的半径为r,则圆的面积S与半径r之间有如下关系:S=πr2,在这个关系中,常量是__________,变量是__________.12.如图所示的是春季某地一天气温随时间变化的图象,根据图象判断,在这天中,最高温度与最低温度的差是________℃.13.小虎拿6元钱去邮局买面值为0.8元的邮票,买邮票后所剩的钱数y(元)与买邮票的枚数x(枚)的关系式为________________,最多可以买________枚.14.根据如图所示的程序,当输入x=3时,输出的结果y是________.15.某等腰三角形的周长是50 cm,底边长是x cm,腰长是y cm,则y与x之间的关系式是______________.16.假定甲、乙两人在一次赛跑中,路程s(m)与时间t(s)的关系如图所示,则甲、乙两人中先到达终点的是________,乙在这次赛跑中的速度为__________.17.如图,长方形ABCD的四个顶点在互相平行的两条直线上,AD=10 cm.当点B,C在平行线上运动时,长方形的面积发生了变化.(1)在这个变化过程中,自变量是______________,因变量是________________;(2)如果长方形的边AB长为x(cm),那么长方形的面积y(cm2)与x的关系式为____________.18.声音在空气中传播的速度y(m/s)与气温x(℃)之间的关系式为y=35x+331.(1)当气温为15 ℃时,声音在空气中传播的速度为__________;(2)当气温为22 ℃时,某人看到烟花燃放5 s后才听到响声,则此人与燃放的烟花所在地相距__________.19.某市自来水收费实行阶梯水价,收费标准如下表所示,用户5月份交水费4 5元,则所用水为__________.月用水量不超过12 t的部分超过12 t不超过18t的部分超过18 t的部分收费标准/(元/t) 2.00 2.50 3.00 20.火车匀速通过隧道时,火车在隧道内的长度y(m)与火车行驶时间x(s)之间的关系用图象描述如图所示,有下列结论:①火车的长度为120 m;②火车的速度为30 m/s;③火车整体都在隧道内的时间为25 s;④隧道长度为750 m.其中,正确的结论是________(把你认为正确结论的序号都填上).三、解答题(21~24题每题9分,其余每题12分,共60分)21.下表记录的是某天一昼夜温度变化的数据:时刻/时024681012141618202224温度/℃-3-5-6.5-4047.510851-1-2请根据表格数据回答下列问题:(1)早晨6时和中午12时的温度各是多少?(2)这一天的温差是多少?(3)这一天内温度上升的时段是几时至几时?22.某人沿一条直路行走,此人离出发地的距离s(k m)与行走时间t(min)的关系如图所示,请根据图中提供的信息回答下列问题:(1)此人在这次行走过程中,停留的时间为__________;(2)求此人在0~40 min这段时间内行走的速度是多少千米/时;(3)此人在这次行走过程中共走了多少千米?23.如图,若三角形ABC的底边BC长为6 cm,高AD为x cm.(1)写出三角形的面积y(cm2)与x(cm)之间的关系式;(2)指出关系式中的自变量与因变量;(3)当x=4时,三角形的面积是多少?24.如图,在长方形ABCD中,AB=12 cm,AD=8 cm.点P,Q都从点A同时出发,点P向B点运动,点Q向D点运动,且保持AP=AQ,在这个变化过程中,图中阴影部分的面积也随之变化,当AP由2 cm变到8 cm时,图中阴影部分的面积是增加了,还是减少了?增加或减少了多少平方厘米?25.弹簧挂上物体后会伸长.已知一弹簧的长度(cm)与所挂物体的质量(kg)之间的关系如下表:(1)当所挂物体的质量为3 kg时,弹簧的长度是__________;(2)在弹性限度内如果所挂物体的质量为x kg,弹簧的长度为y cm,根据上表写出y与x的关系式;(3)当所挂物体的质量为5.5 kg时,请求出弹簧的长度;(4)如果弹簧的最大长度为20 cm,那么该弹簧最多能挂质量为多少的物体?26.如图表示甲、乙两人从同一地点出发去B地的情况(图中虚线表示甲,实线表示乙),到10时时,甲大约行驶了13 k m.根据图象回答:(1)甲是几时出发的?(2)乙是几时出发的?到10时时,他大约行驶了多少千米?(3)到10时为止,谁的速度快?(4)两人最终在几时相遇?(5)你能根据图象中的信息编个故事吗?答案一、1.C 2.B 3.D 4.A 5.C 6.C 7.C 8.D9.C 点拨:A.根据图象可得,乙前4 s 的速度不变,为12 m/s ,则行驶的路程为12×4=48(m),故A 正确;B .根据图象得,甲的速度从0 m/s 均匀增加到32 m/s ,则每秒增加328=4(m/s),故B 正确;C .由甲的图象是过原点的线段,可得v =4t (v ,t 分别表示速度、时间,单位分别为m/s ,s),将v =12代入v =4t ,得t =3,则3 s 前,甲的速度小于乙的速度,所以两车到第3秒时行驶的路程不相等,故C 错误;D .在4 s 到8 s 内甲的图象一直在乙的上方,所以甲的速度都大于乙的速度,故D 正确. 10.A二、11.π;r ,S 12.10 13.y =6-0.8x ;7 14.2 15.y =25-12x 16.甲;8 m/s17.(1)AB (或CD )的长度;长方形ABCD 的面积 (2)y =10x 18.(1)340 m/s (2)1 721 m 19.20 t20.②③ 点拨:由折线图可得火车的长度为150 m ,火车的速度是150÷(35-30)=150÷5=30(m/s),火车整体都在隧道内的时间为35-5×2=25(s),隧道的长度是35×30-150=1 050-150=900(m). 三、21.解:(1)早晨6时的温度是-4 ℃,中午12时的温度是7.5 ℃. (2)10-(-6.5)=16.5(℃). 答:这一天的温差是16.5 ℃. (3)温度上升的时段是4时至14时. 22.解:(1)20 min(2)3÷4060=4.5(km/h).答:此人在0~40 min 这段时间内行走的速度是4.5 km/h.(3)4×2=8(k m).答:此人在这次行走过程中共走了8 k m. 23.解:(1)y =12×6x =3x ,即y 与x 之间的关系式为y =3x . (2)在关系式y =3x 中,x 是自变量, y 是因变量.(3)当x =4时,y =3×4=12, 即三角形的面积是12 cm 2. 24.解:图中阴影部分的面积减少了.设AP =x cm(0≤x ≤8),S 阴=y cm 2, 则y =12×8-12x 2,即y =96-12x 2. 当AP =2 cm 时,S 阴=94 cm 2;当AP =8 cm 时,S 阴=64 cm 2,94-64=30(cm 2).所以当AP 由2 cm 变到8 cm 时,图中阴影部分的面积减少了30 cm 2. 25.解:(1)13.5 cm(2)由表格可知,y 与x 之间的关系式为y =12+0.5x .(3)当x =5.5时,y =12+0.5×5.5=14.75,即弹簧的长度为14.75 cm. (4)当y =20时,20=12+0.5x , 解得x =16.故该弹簧最多能挂质量为16 kg 的物体. 26.解:(1)甲是8时出发的.(2)乙是9时出发的,到10时时,他大约行驶了13 km. (3)乙的速度快. (4)最终在12时相遇.(5)能.甲、乙两人从同一个地方出发,约好12时到B 地见面,甲8时出发,以203 km/h 的速度行驶,3 h 后发现按此速度12时无法到达,于是开始加速以20 km/h 的速度行驶,12时准时到达B 地;乙9时出发,以403 km/h 的速度匀速行驶,最后甲、乙两人12时在B 地相遇.(答案不唯一,合理即可)第四章达标测试卷一、选择题(每题3分,共30分)1.若三角形有两个内角的和是85°,那么这个三角形是()A.钝角三角形B.直角三角形C.锐角三角形D.不能确定2.如图,BC⊥AE于点C,CD∥AB,∠DCB=40°,则∠A的度数是() A.70° B.60°C.50° D.40°3.现有3 cm,4 cm,7 cm,9 cm长的四根木棒,任取其中三根组成一个三角形,那么可以组成的三角形的个数是()A.1 B.2C.3 D.44.下列说法正确的是()A.面积相等的两个图形是全等图形B.全等三角形的周长相等C.所有正方形都是全等图形D.全等三角形的边相等5.如图,AD是△ABC的角平分线,过点D向AB,AC两边作垂线,垂足分别为E,F,那么下列结论中不一定正确的是()A.BD=CD B.DE=DFC.AE=AF D.∠ADE=∠ADF6.如图,AD∥BC,AB∥CD,AC,BD交于O点,过O点的直线EF交AD于E点,交BC于F点,且BF=DE,则图中的全等三角形共有()A.6对B.5对C.3对D.2对7.将一副三角尺按下列方式进行摆放,∠1,∠2不一定互补的是()8.如图是工人师傅用同一种材料制成的金属框架,已知∠B=∠E,AB=DE,B F=EC,其中△ABC的周长为24 cm,CF=3 cm,则制成整个金属框架所需这种材料的总长度为()A.45 cm B.48 cmC.51 cm D.54 cm9.根据下列已知条件,能画出唯一一个△ABC的是()A.AB=3,BC=4,AC=8 B.AB=4,BC=3,∠A=30°C.∠A=60°,∠B=45°,AB=4 D.∠C=90°,AB=610.如图,在△ABC中,AC⊥CB,CD平分∠ACB,点E在AC上,且CE=C B,则下列结论:①DC平分∠BDE;②BD=DE;③∠B=∠CED;④∠A+∠CED=90°,其中正确的有()A.1个B.2个C.3个D.4个二、填空题(每题3分,共30分)11.如图,照相机的底部用三脚架支撑着,请你说说这样做的依据是_________ _______.12.如图,点B,C,E,F在同一直线上,AB∥DC,DE∥GF,∠B=∠F=72°,则∠D=________.13.已知三角形的两边长分别为2 和7,第三边长为偶数,则三角形的周长为_ _________.14.如图,点C,F在线段BE上,BF=EC,∠1=∠2.请你添加一个条件,使△ABC≌△DEF,这个条件可以是____________(不再添加辅助线和字母).15.如图,在△ABC中,BC=8 cm,AB>BC,BD是AC边上的中线,△ABD 与△BDC的周长的差是2 cm,则AB=__________.16.设a,b,c是△ABC的三边长,化简|a+b-c|+|b-c-a|+|c-a-b|=____ ______.17.如图,D,E,F分别为AB,AC,BC上的点,且DE∥BC,△ABC沿线段DE折叠,使点A落在点F处.若∠B=50°,则∠BDF=________.18.如图,已知边长为1的正方形ABCD,AC,BD交于点O,过点O任作一条直线分别交AD,BC于点E,F,则阴影部分的面积是________.19.如图,AD,AE分别是△ABC的角平分线、高线,且∠B=50°,∠C=70°,则∠EAD=________.20.如图,已知四边形ABCD中,AC平分∠BAD,CE⊥AB于点E,且AE=1 2(AB+AD),若∠D=115°,则∠B=________.三、解答题(21~24题每题9分,其余每题12分,共60分)21.如图,点B,F,C,E在一条直线上,FB=CE,AB∥ED,AC∥F D.试说明:AC=DF.22.如图,在△ABC中,AD是角平分线,∠B=54°,∠C=76°.(1)求∠ADB和∠ADC的度数;(2)若DE⊥AC于E,求∠EDC的度数.23.如图,在正方形ABCD中,点E,F分别在边AB,BC上,AE=BF,AF和DE相交于点G.(1)观察图形,写出图中所有与∠AED相等的角;(2)选择图中与∠AED相等的任意一个角,并加以说明.24.如图,△ABC和△ECD都是等腰直角三角形,∠ACB=∠DCE=90°,D为AB边上一点.试说明:BD=AE.25.如图,小明和小月两家位于A,B两处隔河相望,要测得两家之间的距离,小明设计方案如下:①从点A出发沿河岸画一条射线AM;②在射线AM上截取AF=FE;③过点E作EC∥AB,使B,F,C在一条直线上;④CE的长就是A,B间的距离.(1)请你说明小明设计的原理.(2)如果不借助测量仪,小明的设计中哪一步难以实现?(3)你能设计出更好的方案吗?26.如图①,在Rt△ABC中,AB=AC,∠BAC=90°,过点A的直线l绕点A旋转,BD⊥l于D,CE⊥l于E.(1)试说明:DE=BD+CE.(2)当直线l绕点A旋转到如图②所示的位置时,(1)中结论是否成立?若成立,请说明;若不成立,请探究DE,BD,CE又有怎样的数量关系,并写出探究过程.答案一、1.A 2.C 3.B 4.B 5.A 6.A7.D 8.A 9.C 10.D 二、11.三角形的稳定性12.36° 点拨:因为AB ∥DC ,DE ∥GF ,∠B =∠F =72°,所以∠DCE =∠B =72°,∠DEC =∠F =72°.在△CDE 中,∠D =180°-∠DCE -∠DEC =180°-72°-72°=36°. 13.15或17 14.CA =FD (答案不唯一)15.10 cm 点拨:由题意知(AB +BD +AD )-(BC +BD +CD )=2 cm ,AD =CD ,则AB -BC =2 cm.所以AB =BC +2=8+2=10(cm). 16.3a +b -c 17.80° 18.1419.10° 点拨:由AD 平分∠BAC ,可得∠DAC =12∠BAC =12×(180°-50°-70°)=30°.由AE ⊥BC ,可得∠EAC =90°-∠C =20°,所以∠EAD =30°-20°=10°. 20.65° 点拨:过C 作CF ⊥AD ,交AD 的延长线于F .因为AC 平分∠BAD , 所以∠CAF =∠CAE . 因为CF ⊥AF ,CE ⊥AB , 所以∠AFC =∠AEC =90°. 在△CAF 和△CAE 中,⎩⎨⎧∠CAF =∠CAE ,∠AFC =∠AEC ,AC =AC ,所以△CAF ≌△CAE (AAS ). 所以FC =EC ,AF =AE . 因为AE =12(AB +AD ), 所以AF =12(AE +EB +AD ), 即AF =BE +AD . 所以DF =BE .在△FDC 和△EBC 中,⎩⎨⎧CF =CE ,∠CFD =∠CEB ,DF =BE ,所以△FDC ≌△EBC (SAS ). 所以∠FDC =∠EBC . 又因为∠ADC =115°, 所以∠FDC =180°-115°=65°. 所以∠B =65°.三、 21.解:因为AB ∥ED ,AC ∥FD ,所以∠B =∠E ,∠ACB =∠DFE . 因为FB =CE ,所以BF +FC =CE +FC , 即BC =EF .所以△ABC ≌ △DEF (ASA ). 所以AC =DF .22.解:(1)因为∠B =54°,∠C =76°,所以∠BAC =180°-54°-76°=50°. 因为AD 平分∠BAC , 所以∠BAD =∠CAD =25°.所以∠ADB =180°-54°-25°=101°,∠ADC =180°-101°=79°. (2)因为DE ⊥AC , 所以∠DEC =90°.所以∠EDC =180°-90°-76°=14°.23.解:(1)由题可知∠DAG ,∠AFB ,∠CDE 与∠AED 相等.(2)(答案不唯一)选择∠DAG =∠AED .说明如下: 因为四边形ABCD 是正方形, 所以∠DAB =∠B =90°,AD =AB . 在△DAE 和△ABF 中,⎩⎨⎧AD =BA ,∠DAE =∠B =90°,AE =BF ,所以△DAE ≌△ABF (SAS ). 所以∠ADE =∠BAF .因为∠DAG +∠BAF =90°,∠GDA +∠AED =90°, 所以∠DAG =∠AED .24.解:因为△ABC 和△ECD 都是等腰直角三角形,且∠ACB =∠DCE =90°,所以AC =BC ,CD =CE , ∠ACE +∠ACD =∠BCD +∠ACD . 所以∠ACE =∠BCD . 在△ACE 和△BCD 中,⎩⎨⎧AC =BC ,∠ACE =∠BCD ,CE =CD ,所以△ACE ≌△BCD (SAS ). 所以BD =AE .25.解:(1)全等三角形的对应边相等.(2)③难以实现.(3)略(答案不唯一,只要设计合理即可). 26.解:(1)因为BD ⊥l ,CE ⊥l ,所以∠ADB =∠AEC =90°. 所以∠DBA +∠BAD =90°. 又因为∠BAC =90°, 所以∠BAD +∠CAE =90°. 所以∠DBA =∠CAE .因为AB =AC ,∠ADB =∠CEA =90°, 所以△ABD ≌△CAE (AAS ). 所以AD =CE ,BD =AE . 则AD +AE =BD +CE ,即DE=BD+CE.(2)(1)中结论不成立.DE=BD-CE.同(1)说明△ABD≌△CAE,所以BD=AE,AD=CE.又因为AE-AD=DE,所以DE=BD-CE.第五章达标测试卷一、选择题(每题3分,共30分)1.下列各选项中左边的图形与右边的图形成轴对称的是()2.下面四个选项中的图形分别是节能、节水、低碳和绿色食品标志,在这四个标志中,是轴对称图形的是()3.下列轴对称图形中,对称轴最多的是()A.正方形B.等边三角形C.等腰三角形D.线段4.如图,在△ABC中,点D在BC上,AB=AD=DC,∠B=80°,则∠C的度数是()A.30° B.40°C.45° D.60°5.如图,在△ABC中,AB的垂直平分线交AC于点E,若AE=2,则B,E两点间的距离是()A.2 B.3C.4 D.56.能用无刻度直尺,直接准确画出下列轴对称图形的所有对称轴的是()7.下列说法正确的是()A.等腰三角形的一个角的平分线是它的对称轴B.有一个内角是60°的三角形是轴对称图形C.等腰直角三角形是轴对称图形,它的对称轴是斜边上的中线所在的直线D.等腰三角形有3条对称轴8.如图,OP为∠AOB的平分线,PC⊥OA,PD⊥OB,垂足分别是C,D,E为OP上一点,则下列结论错误的是()A.CE=DE B.∠CPO=∠DEPC.∠CEO=∠DEO D.OC=OD9.如图,有一张直角三角形纸片,两直角边AC=5 cm,BC=10 cm,将△AB C折叠,使点B与点A重合,折痕为DE,则△ACD的周长为()A.10 cm B.12 cmC.15 cm D.20 cm10.如图,AD是△ABC的角平分线,DE⊥AC,垂足为E,BF∥AC交ED的延长线于点F,若BC恰好平分∠ABF,AE=2BF.给出下面四个结论:①DE=DF;②DB=DC;③AD⊥BC;④AC=3BF,其中正确的结论有()A.4个B.3个C.2个D.1个二、填空题(每题3分,共30分)11.以下图形中,对称轴的条数大于3的有________个.12.△ABC 和△A ′B ′C ′关于直线l 对称,若△ABC 的周长为12 cm ,△A ′B ′C ′的面积为6 cm 2,则△A ′B ′C ′的周长为________,△ABC 的面积为___________. 13.已知等腰三角形的顶角是底角的4倍,则顶角的度数为________. 14.如图,在Rt △ABC 中,∠C =90°,AD 平分∠BAC ,交BC 于D ,若CD =12BD ,点D 到边AB 的距离为6,则BC 的长是________.15.如图,在△ABC 中,AB =AC ,AD 是BC 边上的高,点E ,F 是AD 的三等分点,若△ABC 的面积为12 cm 2,则图中阴影部分的面积为__________. 16.如图,AC ,BD 相交于点O ,AB ∥DC ,AB =BC ,∠D =40°,∠ACB =35°,则∠AOD =________.17.如图是一组按照某种规律摆放成的图案,则第2 019个图案________轴对称图形(填“是”或“不是”).18.如图,∠A =15°,AB =BC =CD =DE =EF ,则∠DEF =________. 19.如图,在正方形网格中,阴影部分是涂黑7个小正方形所形成的图案,再将网格内空白的一个小正方形涂黑,使得到的新图案成为一个轴对称图形的涂法有________种.20.两组邻边分别相等的四边形我们称它为筝形.如图,在四边形ABCD 中,AB =AD ,BC =DC ,AC 与BD 相交于点O ,下列判断正确的有__________(填序号).①AC ⊥BD ;②AC ,BD 互相平分;③AC 平分∠BCD ;④∠ABC =∠ADC =90°; ⑤筝形ABCD 的面积为12AC ·B D.三、解答题(21题8分,22~25题每题10分,26题12分,共60分)21.把图中的图形补成轴对称图形,其中MN,EF为各图形的对称轴.22.如图,D为△ABC边BC延长线上一点,且CD=CA,E是AD的中点,CF 平分∠ACB交AB于点F,试判断CE与CF的位置关系.23.如图,在△ABC中,∠C=90°,AB的垂直平分线交BC于点D,交AB于点E,∠DAE与∠DAC的度数比为2∶1,求∠B的度数.24.如图,已知△ABC是等腰三角形,且AB=AC,D是△ABC外部的一点,连接AD,B D.已知AB=AD,AD∥BC,∠D=35°,求∠DAC的度数.25.如图,校园有两条路OA,OB,在交叉口附近有两块宣传牌C,D,学校准备在这里安装一盏路灯,要求灯柱的位置P离两块宣传牌一样远,并且到两条路的距离也一样远,请你帮助画出灯柱的位置点P,并说明理由.26.如图①,△ABC为等腰直角三角形,∠BAC=90°,点D为线段BC上一动点,连接AD,以AD为直角边,A为直角顶点,在AD左侧作等腰直角三角形ADE,连接CE.(1)当点D在线段BC上时(不与点B重合),线段CE和BD的数量关系与位置关系分别是什么?请给予说明.(2)当点D在线段BC的延长线上时,(1)的结论是否仍然成立?请在图②中画出相应的图形,并说明理由.答案一、1.C2.D3.A4.B5.A6.A 7.C8.B9.C点拨:△ACD的周长为AC+CD+AD.由折叠可知AD=BD,所以AC+CD+AD=AC+BC=15 cm.10.A二、11.312.12 cm;6 cm213.120°14.1815.6 cm216.75°点拨:因为AB=BC,所以∠BAC=∠ACB=35°.因为AB∥CD,所以∠ABD=∠D=40°.所以∠AOB=180°-35°-40°=105°.所以∠AOD=180°-105°=75°.17.是18.60°点拨:因为AB=BC=CD=DE=EF,所以∠BCA=∠A=15°.所以∠ABC=150°.所以∠CBD=∠CDB=30°.所以∠ACD=135°.所以∠CED=∠ECD=45°.所以∠ADE=120°.所以∠EDF=∠EFD=60°.所以∠DEF=60°.19.320.①③⑤三、21.解:如图所示.22.解:因为CD=CA,E是AD的中点,所以∠ACE=∠DCE.因为CF平分∠ACB,所以∠ACF=∠BCF.因为∠ACE+∠DCE+∠ACF+∠BCF=180°,所以∠ACE+∠ACF=90°,即∠ECF=90°.所以CE⊥CF.23.解:设∠DAC=x,则∠DAE=2x.因为DE是AB的垂直平分线,所以DA=DB.所以∠B=∠DAB=2x.因为∠C=90°,所以2x+(2x+x)=90°,x=18°.所以∠B=36°.24.解:因为AD∥BC,所以∠D=∠DBC,∠DAC=∠ACB.因为AB=AC=AD,所以∠D=∠ABD,∠ACB=∠ABC=∠ABD+∠DBC=2∠D=2×35°=70°.所以∠DAC=70°.25.解:如图,到∠AOB两边距离相等的点在这个角的平分线上,而到宣传牌C,D的距离相等的点则在线段CD的垂直平分线上,故它们的交点P即为所求.26.解:(1)CE=BD,且CE⊥BD.说明:因为∠EAD=∠BAC=90°,所以∠EAC=∠DAB.在△ACE和△ABD中,⎩⎨⎧AC =AB ,∠CAE =∠BAD ,AE =AD ,所以△ACE ≌△ABD (SAS ). 所以CE =BD ,∠ECA =∠DBA .所以∠ECD =∠ECA +∠ACD =∠DBA +∠ACD =90°. 所以EC ⊥CB .(2)(1)的结论仍然成立.理由如下: 画出的图形如图所示.因为∠CAB =∠DAE =90°,所以∠CAB +∠CAD =∠DAE +∠CAD ,即∠CAE =∠BAD . 在△ACE 和△ABD 中,⎩⎨⎧AC =AB ,∠CAE =∠BAD ,AE =AD ,所以△ACE ≌△ABD (SAS ). 所以CE =BD ,∠ACE =∠B . 因为AB =AC ,∠BAC =90°, 所以∠B =∠ACB =45°.所以∠BCE =∠ACE +∠ACB =45°+45°=90°. 所以CE ⊥BD .第六章达标测试卷一、选择题(每题3分,共30分) 1.下列事件中是必然事件的是( )A .小菊上学一定乘坐公共汽车B .某种彩票中奖率为415,买10 000张该种彩票一定会中奖。
最新北师大版七年级数学下册单元测试全套及答案北师大版七年级下册 第一章 整式的运算单元测试题一、精心选一选(每小题3分,共21分)892334+-+xy y x xy 1.多项式的次数是 ( ) A. 3 B. 4 C. 5 D. 62.下列计算正确的是 ( ) 8421262x x x =⋅()()m mmy y y =÷34()222y x y x +=+3422=-a a A. B. C. D.()()b a b a +-+3.计算的结果是 ( ) 22a b -22b a -222b ab a +--222b ab a ++-A. B. C. D. 1532+-a a 4322---a a 4. 与的和为 ( ) 3252--a a 382--a a 532---a a 582+-a a A. B. C. D. 5.下列结果正确的是 ( )91312-=⎪⎭⎫ ⎝⎛-0590=⨯()17530=-.8123-=-A. B. C. D.()682b a b a nm =n m 22-6. 若,那么的值是 ( )A. 10B. 52C. 20D. 32 22259y x +7.要使式子成为一个完全平方式,则需加上 ( ) xy 15xy 15±xy 30xy 30±A. B. C. D. 二、耐心填一填(第1~4题每空1分,第5、6题每空2分,共28分) 23xy m 362+-a a 1222514xy yz x -ab321.在代数式 , , , , ,中,单项式有 个,多项式有 个。
z y x 425-2.单项式的系数是 ,次数是 。
5134+-ab ab 3.多项式有 项,它们分别是 。
=⋅52x x ()=43y 4. ⑴ 。
⑵ 。
()=322ba ()=-425y x ⑶ 。
⑷ 。
=÷39a a =⨯⨯-024510⑸ 。
⑹ 。
=⎪⎭⎫⎝⎛-⋅⎪⎭⎫ ⎝⎛325631mn mn ()()=+-55x x 5.⑴ 。
⑵ 。
=-22)(b a ()()=-÷-235312xy y x ⑶。
⑷ 。
()=÷⋅m ma a a 23()222842a a ⋅⋅=6. ⑴ 。
⑵ 。
()()()=-+-22y x y x y x =⎪⎭⎫ ⎝⎛⨯20062005313 ⑶ 。
⑷ 。
三、精心做一做 (每题5分,共15分) ()()x xy y x x xy y x ++--+45754221.()32241232a a a a ++-2.()()xy xy y x y x 2862432-÷-+-3.四、计算题。
(每题6分,共12分) ()()()2112+--+x x x 1.()()532532-+++y x y x 2.()()x x y x x 2122++-+251=x 25-=y 五、化简再求值:,其中,。
(7分)4=m x 8=n x n m x -3六、若,,求的值。
(6分)23+a 12-b 42+a b 七、(应用题)在长为,宽为的长方形铁片上,挖去长为,宽为的小长方形铁片,求剩余部分面积。
(6分)八、在如图边长为7.6的正方形的角上挖掉一个边长为2.6的小正方形,剩余的图形能否拼成一个矩形?若能,画出这个矩形,并求出这个矩形的面积是多少.(5分)2.67.6第一章 整式测试题一、 (每小题3分,共21分)1. D ;2. B ;3. A ;4. B ;5.C ;6. A ;7. D二、 (第1~4题每空1分,第5、6题每空2分,共28分) 413,,5ab ab -7x 12y 638a b 208x y 6a 251. 3,2;2.-5,7;3. 3,;4. ⑴⑵⑶⑷⑸⑹ 2525m n -225x -2244a ab b -+44x y 5.⑴⑵⑶⑷ 22m a +42242x x y y -+136. ⑴⑵5a+4⑶⑷三、精心做一做 (每题5分,共15分)28x y xy x -+-4262a a +2334x x y -+1. ;2. ;3. 四、计算题。
(每题6分,共12分) 3x +22412925x xy y ++-1. ;2. 五、-2 六、8432ab a --七、()5156.26.7=⨯+八、能,图略,第二章《相交线与平行线》测试题一、耐心填一填,一锤定音!(每小题3分,共24分)1、平行线的性质: 平行线的判定:(1)两直线平行, ;(4) ,两直线平行; (2)两直线平行, ;(5) ,两直线平行; (3)两直线平行, ;(6) ,两直线平行。
2、把命题“平行于同一条直线的两条直线平行”改写为“如果……那么……”的形式 是 3、如图1,直线a 、b 相交,∠1=36°,则∠2=__________。
4、如图2,AB ∥EF ,BC ∥DE ,则∠E+∠B 的度数为________.5、如图3,如果∠1=40°,∠2=100°,那么∠3的同位角等于______, ∠3的内错角等于______,∠3的同旁内角等于______. C B A '''A A '6、如图4,△ABC 平移到△,则图中与线段平行的 A A '有 ;与线段相等的有 。
7、如图5,直线a ∥b ,且∠1=28°,∠2=50°,则∠ABC =___ ____。
8、如图6,已知AB ∥CD,直线EF 分别交AB,CD 于E,F,EG•平分∠BEF, 若∠1=72°,则∠2=____ ___.二、精心选一选慧眼识金!(每小题3分,共30分) 9、如图7,以下说法错误的是( ) 1∠2∠2∠3∠A 、与是内错角 B 、与是同位角 1∠3∠2∠4∠C 、与是内错角D 、与是同旁内角10、如图8,能表示点到直线的距离的线段共有( )2345A 、条B 、条C 、条D 、条ba 3 21 图图8图图3 图7图4图5图611、平面内三条直线的交点个数可能有〔 〕A 、1个或3个B 、2个或3个C 、1个或2个或3个D 、0个或1个或2个或312、两条平行线被第三条直线所截,则( )A 、一对内错角的平分线互相平行B 、一对同旁内角的平分线互相平行C 、一对对顶角的平分线互相平行D 、一对邻补角的平分线互相平行 13、三条直线相交于一点,构成的对顶角共有( )A 、3对B 、4对C 、5对D 、6对 1∠2∠14、下列所示的四个图形中,和是同位角...的是( )A 、②③B 、 ①②③C 、①②④D 、 ①④ 15、如图9,BE 平分∠ABC ,DE ∥BC ,图中相等的角共有( )A 、 3对B 、 4对C 、 5对D 、6对 b a ,c 16、如图10,直线都与直线相交,给出下列条件:①∠1=∠2;②∠3=∠6;③∠4+∠7=180°;④∠5+∠8=180°。
其中能判断a ∥b 的条件是( )A 、①②B 、②④C 、①③④D 、①②③④ 三、作图题(每小题8分,共16分)19、读句画图:如图,直线CD 与直线AB 相交于C ,根据下列语句画图 (1)过点P 作PQ ∥CD ,交AB 于点Q (2)过点P 作PR ⊥CD ,垂足为R①2121②12③12④图9图10 ·四、用心做一做,马到成功!21、填空完成推理过程:(每空1分,共20分)[1] 如图,∵AB ∥EF ( 已知 )∴∠A + =1800( ) ∵DE ∥BC( 已知 )∴∠DEF= ( ) ∠ADE= ( )[2] 如图,已知AB ⊥BC ,BC ⊥CD ,∠1=∠2.试判断BE 与CF 的关系,并说明你的理由.解:BE ∥CF.理由:∵AB ⊥BC ,BC ⊥CD (已知)o90 ∴________ = _________= ( ) 12 ∠∠ ∵ ( )∴∠ABC -∠1=∠BCD -∠2 ,( )即∠EBC=∠BCF∴________∥________ ( )[3]如图,E 点为DF 上的点,B 为AC 上的点,∠1=∠2,∠C =∠D 。
试说明:AC ∥DF 。
解:∵ ∠1=∠2(已知)∠1=∠3( ) ∴∠2=∠3(等量代换)∴ ∥ ( ) ∴ ∠C =∠ABD ( ) 又∵ ∠C =∠D (已知) ∴∠D=∠ABD ( )∴ AC ∥DF ( )ACD E FBDCBA 1222、(本小题8分)如图所示,AD ∥BC ,∠1=78°,∠2=40°,求∠ADC 的度数.23、(本小题12分)如图,∠BAF =46°,∠ACE =136°,CE ⊥CD .问CD ∥AB 吗?为什么?24、已知:如图,AB//CD ,试解决下列问题:(1)∠1+∠2=___ ___; (2分) (2)∠1+∠2+∠3=___ __;(2分) (3)∠1+∠2+∠3+∠4=_ __ __;(2分)(4)试探究∠1+∠2+∠3+∠4+…+∠n = ;(4分)参考答案:1、 同位角相等,内错角相等,同旁内角互补;同位角相等,内错角相等,同旁内角互补。
2、 如果两条直线平行于同一条直线,那么这两条直线平行3、 144度4、 180度5、 80度,80度,100度6、 C C B B ''、C C B B ''、,7、 78度8、 54度9~16:A,D,D,A,D,C, C,D 21、[1] ∠AEF 、两直线平行,同旁内角互补;∠CFE 、两直线平行,内错角相等;∠B 、两直线平行,同位角相等;[2] ∠ABC 、∠BCD 、垂直的定义;已知;BE 、CF 、内错角相等,两直线平行;[3]对顶角相等;BD 、CE 、同位角相等,两直线平行;两直线平行,同位角相等;等量代换;内错角相等,两直线平行; 22、解:因为AD ∥BC ,∠2=40° 所以∠ADB=∠2=40° 又因为∠1=78°所以∠ADC=∠ADB+∠1=40°+78°=118° CE CD ⊥23、解:因为 所以∠DCE=90° 136ACE =o∠因为 所以∠ACD=134° 46BAF =o ∠又因为所以∠BAC=134° 所以∠BAC=∠ACD CD AB ∥所以24、180°、360°、540°、(n-1)180°北师大版七年级下册第3章变量之间的关系单元测试题一、选一选,看完四个选项后再做决定呀!(每小题3分,共30分)1.李老师骑车外出办事,离校不久便接到学校到他返校的紧急电话,李老师急忙赶回学校.下面四个图象中,描述李老师与学校距离的图象是( )2.已知变量x ,y满足下面的关系x … -3 -2 -1 1 2 3 … y…11.53-3-1.5-1…则,之间用关系式表示为( )x 33x A.y =B.y =- x33x C.y =-D.y =3.某同学从学校走回家,在路上遇到两个同学,一块儿去文化宫玩了会儿,然后回家,下列象能刻画这位同学所剩路程与时间的变化关系的是( )y x y x 4.地表以下的岩层温度随着所处深度的变化而变化,在某个地点与的关系可以由2035+=x y y x 公式来表示,则随的增大而( )A 、增大B 、减小C 、不变D 、以上答案都不对5.某校办工厂今年前5个月生产某种产品总量(件)与时间(月)的关系如图1所示,则对于该厂生产这种产品的说法正确的是( )A.1月至3月生产总量逐月增加,4,5两月生产总量逐月减少 B.1月至3月生产总量逐月增加,4,5两月均产总量与3月持平 C.1月至3月生产总量逐月增加,4,5两月均停止生产 D.1月至3月生产总量不变,4,5两月均停止生产 A. B.C.D.6.如图2是反映两个变量关系的图,下列的四个情境比较合适该图的是( ) A.一杯热水放在桌子上,它的水温与时间的关系 B.一辆汽车从起动到匀速行驶,速度与时间的关系 C.一架飞机从起飞到降落的速度与时晨的关系 D.踢出的足球的速度与时间的关系l 甲l 乙7.如图3,射线,分别表示甲、乙两名运动员在自行车比赛中所走路程与时间的关系,则图中显示的他们行进的速度关系是( )A.甲比乙快 B.乙比甲快 C.甲、乙同速 D.不一定8.在利用太阳能热水器来加热水的过程中,热水器里的水温随所晒时间的长短而变化,这个问题中因变量是( )A.太阳光强弱B.水的温度C.所晒时间D.热水器x 0>x y 9.长方形的周长为24厘米,其中一边为(其中),面积为平方厘米,则这样的y x 长方形中与的关系可以写为( )2x y =()212x y -=()x x y ⋅-=12()x y -=122A 、 B 、 C 、 D 、10如果没盒圆珠笔有12支,售价18元,用y (元)表示圆珠笔的售价,x 表示圆珠笔的支数,那么y 与x 之间的关系应该是( ) 2332(A )y=12x (B )y=18x (C )y=x (D )y=x 二、填一填,要相信自己的能力!(每小题3分,共30分)0.2%100y x 1.某种储蓄的月利率是,存入元本金后,则本息和(元)与所存月数之间的关系式为____(不考虑利息税).102.如果一个三角形的底边固定,高发生变化时,面积也随之发生改变.现已知底边长为,310则高从变化到时,三角形的面积变化范围是____.405y 3.汽车开始行驶时,油箱中有油升,如果每小时耗油升,则油箱内余油量(升)与x 行驶时间(小时)的关系式为____,该汽车最多可行驶____小时.4.某公司销售部门发现,该公司的销售收入随销售量的变化而变化,其中 是自变量, 是因变量。